Abstract
The purpose of this study is to analyze the relationship between the key factors and the output results, and to determine the feasible prediction method of the elastic modulus of calcium hydroxide in oil well cement. Combining the first-principles calculation method with machine learning, Material Studio (MS) was used to simulate calcium hydroxide at different temperatures and pressures, obtain the microstructure parameters of the mechanical properties of calcium hydroxide, and construct the initial data set. At the same time, the random forest feature importance analysis method is used to screen the input parameters, remove the weak correlation variables, and reduce the complexity of the prediction model. On this basis, three prediction models, the BP neural network (BP), radial product function neural network (RBF), and random forest model (RF), are constructed. The hidden layer of the prediction model was adjusted by orthogonal test. The results of different performance evaluation methods are compared, the regression ability of each model is evaluated comprehensively, and the optimal algorithm model is selected. The results show that the determination coefficient of the RBF model is 0.9988, the root mean square error is 0.04331, the average absolute error is 0.02995, the mean square error is 0.01876, and the prediction ability is the best. This method can be used to predict the elastic modulus of calcium hydroxide and provide a reliable method for predicting the elastic modulus of each phase of oil well cement.
1. Introduction
In the process of the drilling and production of oil and gas wells, in order to ensure the safe exploitation of oil and gas resources, oil and gas well cementing operation is one of the most important links. Cementing is to inject cement slurry into the annulus between casing and formation, as well as casing and casing. After it is solidified to form cement stone, the formation fluid is shielded and sealed, and the casing is supported and protected, which provides a safe barrier for the subsequent development and production of oil and gas resources [1,2,3,4].
Because the cement sheath needs to bear a lot of external force in the drilling operation, such as pressure, shear force, bending moment, etc., the deterioration of mechanical properties will lead to the destruction of the bonding interface between cement and casing or the destruction of the cement sheath body as well as the formation of a micro gap, resulting in sealing failure [5]. Therefore, the mechanical properties of the cement sheath determine the bearing capacity and deformation capacity of the cement sheath. Among them, the elastic parameters of the cement sheath have a direct impact on the stability and integrity of the structure. It is an important parameter index to measure the quality of its cementation and sealing. It is also one of the necessary parameters for analyzing the cement sheath’s variable capacity and long-term sealing capacity. It plays a vital role in structural analysis and mechanical performance evaluation [6,7,8].
The elastic modulus of hardened cement paste is an important mechanical parameter to evaluate its performance, and it is also the basis for the optimization design of concrete materials. To this end, domestic and foreign scholars carried out some fruitful research in both experimental and simulation analysis. In terms of experimental research, Boumiz et al. [9] used ultrasonic technology to measure the Young ’s modulus and Poisson’s ratio of early-age cement stone, and focused on the variation in Young ’s modulus with age, hydration degree, temperature, and other factors. It is found that the degree of connection between cement hydration particles and the filling of hydroxides in capillary pores are two main mechanisms for the increasing elastic modulus of cement stone. Constantinides et al. [10,11] confirmed the existence of two kinds of C-S-H colloids with different density and elastic modulus in cement paste by using the nanoindentation technique. The volume ratio and elastic modulus of the two kinds of C-S-H colloids and the elastic modulus of unhydrated cement and CH were measured, which laid a foundation for further study of the microstructure and macroscopic mechanical properties of cement paste. Haecker and Sun et al. [12] used the elastic resonance frequency method to test the elastic modulus of cement stone, and studied the influence of water cement ratio and hydration degree on the elastic modulus of cement stone.
In terms of simulation analysis, in recent years, scholars at home and abroad have been committed to using computers to simulate the microstructure, hydration process, and its variation in cement-based materials, trying to reveal the internal mechanism of cement hydration and its variation. The acquisition or improvement of the special properties of any material is actually achieved through the change in its meso-structure. The macroscopic properties of the material mainly depend on its meso-structure. Constantinides et al. [10] regarded cement stone as a four-phase composite material and proposed a homogenization model for predicting elastic modulus. Lin et al. [13] proposed a micromechanical method for calculating the elastic modulus of hardened cement stone. Therefore, the application of a micromechanical numerical simulation method can replace part of the test under the condition that the calculation model is reasonable and the material properties of each phase of cement are accurate and can avoid the objective limitation of test conditions and the influence of human factors on the results. Therefore, it is a reasonable choice to study cement hydration and its micromechanical properties through numerical simulation. When calculating and predicting the elastic modulus of cement stone by the micromechanics method, it is necessary to first understand the material properties of each phase of cement and obtain the elastic modulus of each phase component of cement stone.
Calcium hydroxide (CH) is the hydration product of oil well cement stone second only to C-S-H gel, and it is also the most abundant crystalline phase product in hydration products [14,15]. Therefore, the elastic modulus of CH has a direct effect on the elastic modulus of cement stone. Domestic and foreign scholars conducted a lot of research on the determination method and prediction method of CH content. Commonly used methods include chemical extraction, thermogravimetric analysis (DSC-TG), and X-ray diffraction (XRD) [16,17]. In the early stage, due to the simple equipment and easy operation of the chemical extraction method, it was often used for determination. The most popular method in the chemical extraction method was proposed by B. Franke [18], that is, using a mixed solution of acetyl acetate and isobutanol as an extractant to extract calcium hydroxide in the solution. However, the extraction method has a certain erosion effect on the C-S-H colloid so that it is extracted together with CH, resulting in a higher measurement result than the actual value. Zhang et al. used comprehensive thermal analysis (DSC-TG) to quantitatively analyze the content of CaCO3 and calcium hydroxide in carbonated cement stone powder. Compared with the test results of chemical analysis, thermogravimetric analysis is quantitative, fast and convenient, and is less affected by environmental and human factors, but the sample is easy to carbonize during preparation and treatment. The X-ray diffraction method is not affected by the change in experimental conditions, but it can only determine the crystalline calcium hydroxide, and cannot determine the amorphous calcium hydroxide, resulting in measurement results that are lower than the actual.
In terms of the prediction method of CH content, Pierre Mounanga et al. [19] established a semi-empirical model to predict the content of calcium hydroxide in the early stage of cement hydration based on the hydration reaction equation of cement. The model can calculate the amount of calcium hydroxide in cement paste according to the content of the main mineral components in cement clinker and the degree of hydration. Khunthongkeaw et al. [20] calculated the amount of calcium hydroxide produced by unit mass of C3S and C2S hydration and the amount of calcium hydroxide consumed by unit mass of SiO2 through secondary hydration through the chemical equations of hydration reaction and pozzolanic reaction, and then obtained the calculation formula of the amount of calcium hydroxide in fly ash concrete. Tatsuhiko Saeki et al. [21] established a prediction model after regression analysis of the experimental data. The model uses the degree of hydration of mineral admixtures and the rate of consumption of calcium hydroxide as variables to calculate the amount of calcium hydroxide in cement-based composites with fly ash and ground slag. Yan et al. [22] deduced the calculation formula of calcium hydroxide content in the product when the cement clinker was completely hydrated by the hydration reaction equation of Portland cement and its chemical composition calculation formula.
Since the vigorous development of quantum mechanics and the significant improvement of computer computing ability in the 20th century, molecular simulation emerged as an emerging method for calculating the properties of molecular structures and molecular systems. At present, molecular simulation has become the main research method to calculate the properties of materials at the microscopic scale. Al-Ostaz et al. [23] calculated the mechanical properties of calcium hydroxide (CH), jennite, and tobermorite14Å. Studies have shown that the size of the structural model and the molecular dynamics study of the structure and mechanical properties of the main components of the cement selected for simulation have an impact on the calculation results. Manzano et al. [20] used the force field method to study the elastic properties of calcium hydroxide and obtained the anisotropic effect of the elastic properties of calcium hydroxide. The value is Ex = Ey = 93.68 GPa, Ez = 32.8 GPa, which is in good agreement with the experimental data. Yuanzhi Liang et al. [24] studied the mechanical properties and fracture properties of calcium silicate hydrate and calcium hydroxide composites by reactive molecular dynamics simulation. The results show that the tensile strength and Young’s modulus of calcium hydroxide are the highest, followed by calcium silicate hydrate. The research results provide the necessary parameter input for the multi-scale mechanics and fracture research of cement paste.
The machine learning method has high accuracy and fast convergence. In recent years, it received extensive attention in various fields, especially in civil engineering. In the study of cement and concrete, such as the preferred proportion of composite materials [25,26] and performance prediction [27,28], it has a large number of applications. However, there are few related applications in the elastic modulus of the cement phase. In this paper, the elastic modulus of calcium hydroxide under a different temperature and pressure is simulated by MS, and the prediction is carried out by machine learning technology, which provides a new prediction method for the elastic modulus of each phase of oil well cement stone under high temperature and high pressure.
At present, domestic oil and gas exploration and development is moving towards the “two deep and one non” oil and gas field. Oil well cement is facing extreme operating environments, such as high temperature (>150 °C) and high pressure (>105 MPa). However, the hydration of oil well cement changes with time and environmental conditions. There is no suitable method to calculate and predict the elastic modulus of each phase under high temperature and high pressure. Therefore, it is of great significance to realize the prediction of the elastic modulus of each phase in oil well cement under high temperatures and high pressure to quantify the change in mechanical properties of cement stone and to measure the cementation and sealing quality of oil well cement stone under high temperatures and high pressure.
In this study, the elastic modulus and Poisson’s ratio of CH in oil well cement stone under different temperatures and pressure conditions were obtained by combining molecular dynamics simulation with the first-principles calculation method and machine learning technology, and finally the prediction method of elastic modulus of calcium hydroxide in oil well cement stone was established.
2. Data and Methodology
2.1. Dataset Establishment and Method
In order to comprehensively parameterize the mechanical properties of calcium hydroxide, relevant mechanical parameters are obtained through the first principle-related mechanical properties, and the relevant data of the elastic modulus are enriched. From a microscopic point of view, the elastic modulus is a reflection of the bonding strength between atoms, ions, or molecules. Any factor that affects bond strength can affect the elastic modulus of the material, such as the bonding method, chemical composition, microstructure, temperature, pressure, and other related factors. The elastic stiffness constant matrix of the three-dimensional material is 6 × 6, as shown in Figure 1, and Cij is the elastic constant in the figure below. It describes the stiffness of the crystal in response to applied strain. The stresses and strains of the system satisfy Hooke’s law over the range of linear deformations of the material. That is, for a sufficiently small deformation, the stress is proportional to the strain. At the same time, because the stiffness matrix is a symmetric matrix, the number of independent matrix elements of the elastic constants is up to 21.
Figure 1.
Elastic stiffness constant matrix.
The type of crystal system of three-dimensional materials determines the number of elastic constants, that is, the number of independent matrix elements of stiffness matrix. Temperature and pressure affect the change in lattice volume and density. Temperature is positively correlated with lattice volume and negatively correlated with density. As the temperature increases, the lattice volume increases and the density decreases. Pressure is negatively correlated with lattice volume and positively correlated with density. As the pressure increases, the lattice volume decreases and the density increases. The lattice volume and density will affect the elastic constant, lattice constant, and lattice angle. Through the first-principles calculation, the elastic modulus of calcium hydroxide will be affected.
Since calcium hydroxide is a hexagonal crystal system, there are five independent matrix elements, which are elastic constants C11, C12, C13, C33, and C44, respectively. Therefore, in this paper, temperature, pressure, lattice constant a, lattice constant b, lattice constant c, lattice angle α, lattice angle β, lattice angle γ, lattice volume, density, and elastic constant C11, C12, C13, C33, and C44 fifteen parameters are used as the eigenvalues of elastic modulus prediction.
In this study, the formation pressure of the Puguang gas field is used as a reference. At the same time, according to the depth of 100 m underground, the temperature will increase by about 2 °C. The simulated temperature is 298 K to 473 K, and the pressure is from 0.1 MPa to 145 MPa.
The crystal structure of CH was obtained by accessing the Crystallographic Open Database as shown in Figure 2. The obtained crystal structure of CH was simulated by Material Studio (MS) 2018 and the simulation process is shown in Figure 3. Firstly, the Castep module was used to optimize the structure to obtain the lowest energy chemical configuration of calcium hydroxide crystal, and the chemical configuration was supercelled. Next, molecular simulations were carried out by using the Forcite module, based on molecular dynamics, selecting the COMPASS II force field, and utilizing the canonical ensemble (NVT) and the isothermal–isobaric ensemble (NPT). The step size is set to 1 fs and the Q-ratio is 0.10. The Ewald addition method is used for Coulomb electrostatic interaction, and the atom-based addition method is used for van der Waals interaction. Then, the first nature principle-related mechanical property methods as well as the Voigt–Reuss method were utilized to obtain the temperature, pressure, lattice constant a, lattice constant b, lattice constant c, lattice angle α, lattice angle β, lattice angle γ, lattice volume, density, elasticity constants C11, C12, C13, C33, and C44, and other related mechanical property parameters, totaling 162 groups for CH under different temperature and pressure conditions (298–473 K, 0.1–145 MPa).
Figure 2.
Crystal structure of CH: the green ball is Ca2+, the red ball is O2−, and the white ball is H+.
Figure 3.
Flowchart of Material Studio.
2.2. Outlier Processing
In order to ensure the quality of the subsequent model, the data must be preprocessed, and the elastic modulus of each group of data was used as the basis for judging the outliers. It was known from Figure 4 that the elastic modulus of a total of five groups of sample points deviates significantly from the normal value. The abnormal values were deleted and the data were sorted out. Finally, 157 pieces of data were obtained for research.
Figure 4.
CH elastic modulus data processing (The green point is the normal value and the red point is the abnormal value).
2.3. Feature Importance
Before establishing the elastic modulus prediction model, it is very important to select the factors that affect the elastic modulus of calcium hydroxide. Feature selection is the process of analyzing and evaluating the relevant factors and determining which ones are most important and which ones can be ignored. Secondly, the feature selection technology is used to reduce the dimension of the feature space and improve the accuracy of the model. It can also effectively avoid redundant information and overfitting phenomenon between features. A total of 15 parameters of temperature, pressure, lattice constant a, lattice constant b, lattice constant c, lattice angle α, lattice angle β, lattice angle γ, lattice volume, density, and elastic constants C11, C12, C13, C33, and C44 were obtained by MS simulation. Due to the long names of some properties, these properties are numbered for ease of representation, and the process is shown in Table 1.
Table 1.
Feature number.
Among the above influences, there may be features that do not have a significant effect on the CH elastic modulus. If not removed, these features may interfere with model performance and reduce prediction accuracy. The random forest algorithm (RF) was used in this study to calculate feature importance [29,30,31]. The random forest algorithm evaluates the importance of features by calculating the split contribution of the features in constructing the decision tree and performs feature selection by ranking the importance of the features. It can automatically deal with the correlation and non-linear relationship between features and has good fitting and generalization ability.
By using the RF model to rank the importance of the features of the 15 parameters, the results are shown in Figure 5. Ten parameters with high correlation were selected. Here, temperature, pressure, lattice constant c, lattice angle γ, density, and elastic constants C11, C12, C13, C33, and C44 were selected as input, and elastic modulus as output.
Figure 5.
Feature importance.
The correlation coefficient between each feature was calculated and visualized using a heat map. Positive values indicate that the features are positively correlated and negative values indicate that the features are negatively correlated. The absolute value of the correlation coefficient represents the degree of correlation of the features, with larger values indicating a higher degree of correlation. The results are shown in Figure 6.
Figure 6.
Heat map of characteristic correlation coefficients.
3. Model Selection and Debugging
3.1. Model Selection and Introduction
A neural network is composed of many neurons. The structure of a neural network is shown in Figure 7.
Figure 7.
Neural network structure diagram.
In this study, three models of BP neural network, RF, and RBF are selected, and the modeling process is shown in Figure 8. The training set and the test set are uniformly distributed, and the data set is usually split at a ratio of 7:3 so that the model can give a fairer comparison of its performance [32,33,34,35,36].
Figure 8.
Flowchart of the Matlab 2020 models.
3.1.1. Back Propagation Neural Networks
The back propagation neural network [36] is one of the most basic feedforward neural networks and one of the most commonly used neural networks. Its training process uses a back propagation algorithm. It is a feedforward neural network composed of multiple neurons, each of which is composed of three parts: input, output, and weight. The input layer receives data from external inputs, and the hidden and output layers are responsible for processing and outputting the data. The output of each neuron is calculated by the weighted sum of the input and the weight through the activation function. The training process of it is the process of adjusting the weights to make the output of the network as close as possible to the target output.
The training process of the BP neural network is based on the error back propagation algorithm, which consists of two stages: forward propagation and back propagation. Forward propagation refers to calculating the output of the network layer by layer from the input layer until the output layer outputs the results.
3.1.2. Radial Basis Function
Radial basis function [37] is a neural network model based on radial basis function, the core of which is the transformation of radial basis function.
The basic principle of radial basis function is to map the input vector into the high-dimensional space through a series of radial basis function transformations, and then map the results in the high-dimensional space into the output space through linear transformations.
Specifically, radial basis function consists of three layers: the input layer, hidden layer, and output layer. The input layer receives the external input vectors, the neurons in the hidden layer transform the input vectors by means of it, and the output layer obtains the final output by linearly combining the outputs of the hidden layer.
3.1.3. Random Forest Algorithm
Random forest [31] is a classical bagging model, and its weak learner is a decision tree model. Firstly, the bootstrap method is used to randomly sample in the original data set to generate multiple training sets; next, for each training set, a decision tree is constructed that randomly draws a portion of the features as the nodes look for features to split and finds the optimal solution among the drawn features. Then, it is applied to the node for splitting. The random forest model is quickly adjustable and can avoid over-fitting.
3.2. Hidden Layer Parameter Adjustment
3.2.1. Method Introduction and Factor Selection
In the neural network, except for the input layer and the output layer, the levels are hidden layers. This is because in the neural network, other levels except the input layer and the output layer are similar to a black box, which cannot be seen, and the levels inside are hidden in it. By adjusting the size of the hidden layer parameter value, the prediction accuracy value can be improved.
Due to the large number of hidden layer parameters, this study adopts the orthogonal experimental method to select representative and typical experimental points, so as to reduce the number of experiments and obtain the optimal experimental results.
The elements or objects that are examined in an orthogonal experiment and have an effect on its results are called the factors, and the state of change or the amount of each factor that is prepared to be examined in the test is called the level. When orthogonal experimental design helps to determine the optimal combination, two methods of range analysis and variance analysis are usually used for analysis. The range analysis, also known as intuitive analysis, is simple to calculate, easy to understand and interpret, and is not limited by the assumption of normal distribution. Therefore, this study uses the range analysis method for analysis. The k-means is the mean value of the factor. According to the maximum value of the mean value of the corresponding index results of each factor, the best level of each factor can be determined. The range is the extreme difference value of the factor. The range reflects the degree of variation between different levels. The larger range indicates that the different levels of the factor have a greater impact on the experimental data, so the factor can be regarded as the optimal factor.
Before modeling, all data need to be preprocessed, that is, they need to be normalized. The normalization range selected in this study is within the range of [−1, 1], and the activation function or correlation function is usually valid within these ranges [34,38].
In this study, the initial value of a random number, the number of neurons, iteration times, and learning rate of BP neural network hidden layer parameters were taken as factors. The extension speeds of the radial basis function of RBF neural network hidden layer parameters were taken as the factors. The optimized number of parameters, population size, maximum number of iterations, number of decision trees, and the minimum number of leaves of RF neural network hidden layer parameters were taken as factors. Because the names of these factors were very long, these factors were numbered in order to facilitate the representation, and the process is shown in Table 2.
Table 2.
Factor number.
3.2.2. Orthogonal Experimental Results of Three Models
Results of BP Orthogonal Experimental
The orthogonal experimental design of the hidden layer of the BP model was carried out and the experimental results are shown in Table 3. Figure 9 shows the k-means of each factor of the BP model. From the maximum value of the k-means, it can be seen from the maximum value of the k-means that the best combination of the BP hidden layer is to generate a random number with an initial value of 2, a number of neurons of 8, an iteration number of 1000, and a learning rate of 0.05. The coefficient of determination R2 of the experiment set is 0.9911.
Table 3.
Results of BP orthogonal experimental.
Figure 9.
Results of BP orthogonal experimental.
Meanwhile, it can be seen from the range that the hidden layer parameters that have a greater impact on the experimental results are the number of neurons and the learning rate. The range is 0.249. The minimum impact is the initial value of the random number, and the range is only 0.090.
Results of RBF Orthogonal Experimental
The orthogonal experimental design of the hidden layer of the RBF model was carried out and the experimental results are shown in Table 4. Figure 10 shows the k-means of each factor in the RBF model. From the maximum value of the k-means, it can be seen that the best combination of RBF hidden layers is that the expansion speed of the generated radial basis function is 400, and the determination coefficient R2 of the test set is 0.9988.
Table 4.
Results of RBF orthogonal experimental.
Figure 10.
Results of RBF orthogonal experimental.
The range of the extension speed of the generated radial basis function is 0.0816, indicating that the hidden layer parameters have little effect on the experimental results.
Results of RF Orthogonal Experimental
The orthogonal experimental design of the hidden layer of the RF model was carried out and the experimental results are shown in Table 5. Figure 11 shows the k-means of each factor in the RF model, and from the maximum k-means, it can be seen that the best combination of RF hidden layers is the number of optimization parameters, which is 8, the number of populations is 4, the maximum number of iterations is 40, the number of decision trees is 300, the minimum number of leaves is 1, and the determination coefficient R2 of the test set is 0.8877.
Table 5.
Results of RF orthogonal experimental.
Figure 11.
Results of RF orthogonal experimental.
In addition, it can be seen from the range that among the hidden layer parameters, such as the number of optimization parameters, the number of populations, the maximum number of iterations, the number of decision trees, and the minimum number of leaves, the number of populations has a relatively large impact on the experimental results, and the range is 0.079.
4. Results and Discussion
4.1. Introduction of Evaluation Index
In order to evaluate the performance of the model more accurately and clearly, machine learning usually uses determination coefficient (R2), mean absolute error (MAE), mean square error (MSE), and root mean square error (RMSE). They are determined by the following equations:
where is the predicted value, is the actual value, and is the average value. It is worth noting that the performance of the model is the best when MAE, MSE, and RMSE are closest to 0, R2 is closest to 1, and the fitting degree is the highest.
4.2. Discussion and Comparison of Model Results
In order to make the model fit the highest degree, it is adjusted, and then evaluated according to the determination coefficient (R2), root mean square error (RMSE), mean absolute error (MAE), and mean square error (MSE). Table 6 shows the performance indicators obtained for the three models during the training phase. It can be seen from the table that the R2 values of BP and RBF models are 0.9990 and 0.9999, respectively, which are close to the ideal value 1, while the R2 value of RF model is 0.9631, and the performance is also very good. The RMSE, MAE, and MSE of BP and RBF are the closest to the ideal value of 0, and the RMSE, MAE, and MSE of RF are also very good.
Table 6.
The performance values of the training phase.
Table 7 shows the performance indicators of each model in the test phase. It can be seen from the table that the R2 values of BP and RBF models are 0.9911 and 0.9988, respectively, which are close to the ideal value 1 and reach 0.9732. The performance of the RF model is slightly worse than the first two. The R2 value is 0.8877. When comparing the RMSE, MAE, and MSE values of the other three performance parameters, the RBF model has the best results, which is one order of magnitude smaller than the other two models, and is closer to the ideal value of 0. The RMSE, MAE, and MSE of BP and RF are also very good. From the training results, the RBF model is the best model to predict the elastic modulus of CH.
Table 7.
The performance values of the texting phase.
Figure 12 is the regression diagram of the training phase model. The abscissa represents the CH elastic modulus read by MS simulation in the training samples, and the ordinate represents the CH elastic modulus predicted under the same conditions. The black dotted line indicates that the read elastic modulus of CH is consistent with the predicted elastic modulus of CH; that is, the horizontal and vertical coordinates are equal. The red solid line represents the linear simulation of the predicted elastic modulus of CH. The higher the coincidence degree between the two means that the model has better prediction performance and higher accuracy for the elastic modulus of CH. It can be seen from the figure that the fitting curve of the RBF model has the best coincidence with y = x, and the R2 value is the highest.
Figure 12.
The linear regression diagram of the three models in the training phase: (a) BP, (b) RBF, and (c) RF.
In order to prevent the over-fitting phenomenon of the model, the generalization ability of the model is reduced. Therefore, it is inaccurate to evaluate the prediction ability of the model only by relying on the performance evaluation results in the training stage, and the ability in the test stage needs to be evaluated.
Figure 13 is the regression diagram of the model in the test phase. Among the three models, the regression line of RBF model is the closest to y = x, and the degree of dispersion is the smallest, which shows that the prediction effect is the best. The BP and RF models also have good regression graph fitting in the test stage, but the deviation between the regression line and y = x is relatively larger than that of the RBF model.
Figure 13.
The linear regression diagram of the three models in the texting phase: (a) BP, (b) RBF, and (c) RF.
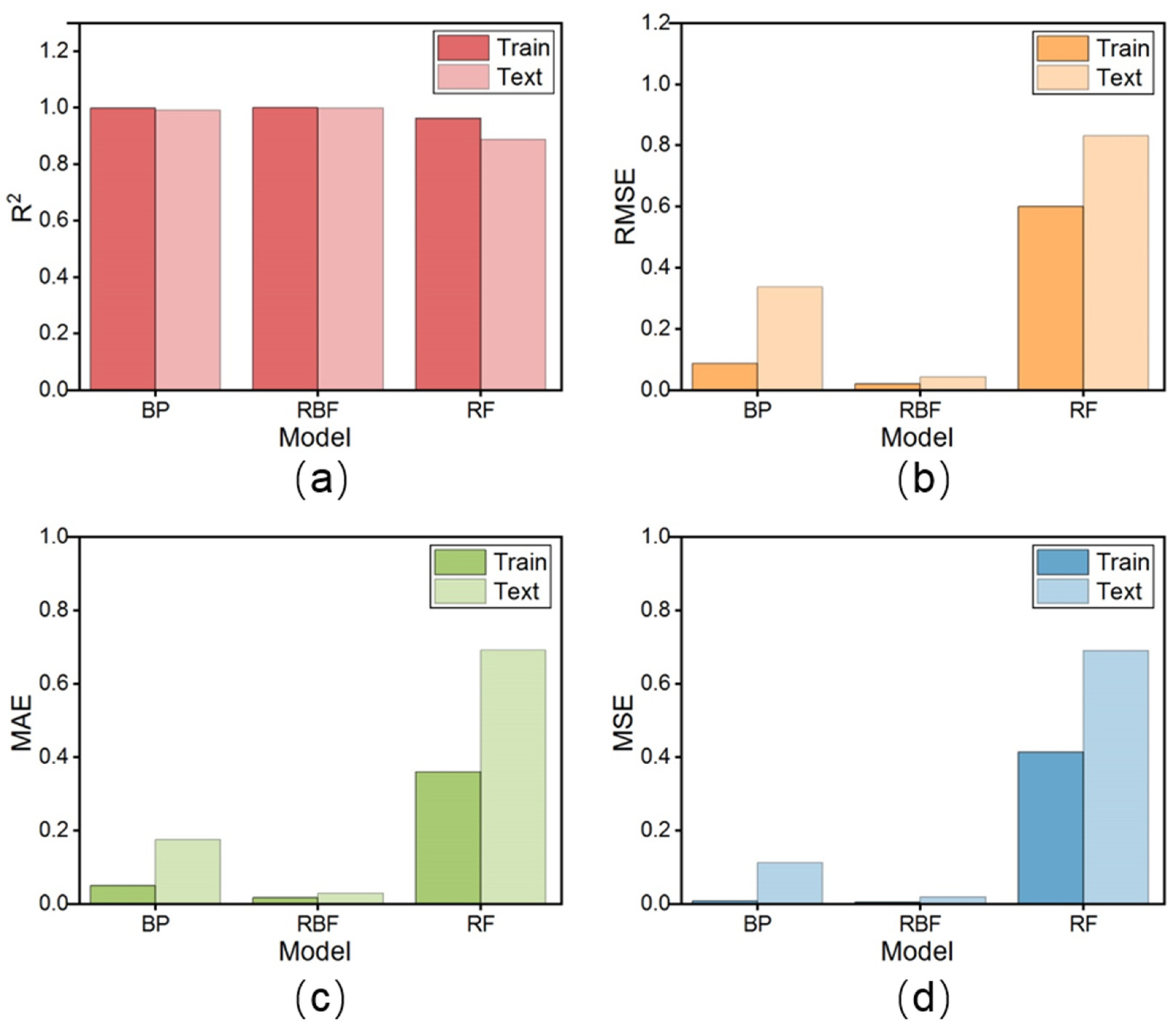
In addition to the determination coefficient (R2), the performance evaluation indexes, such as root mean square error (RMSE), mean absolute error (MAE), and mean square error (MSE), of each model in the training and testing stages are also compared in order to better understand the fitting effect of the same model. The results are shown in Figure 14. It can be seen that the performance of the three models is very good, and the training results are better than the test results. The RMSE, MAE, and MSE evaluation indexes of the RBF model are closest to 0, which is one level smaller than the RMSE, MAE, and MSE values of the other two models, indicating that the RBF model has the best fitting effect.
Figure 14.
The overall performance evaluation of the three models: (a) R2, (b) RMSE, (c) MAE, and (d) MSE.
Figure 15 makes the results of the test phase more intuitive. It can be clearly seen from the figure that the three models can basically predict most of the tested samples well, whether they are from the error results or from the comparison between the experimental values and the predicted values. However, the error result of the RBF model is only within 0.3, which is about 5 times smaller than the error result of BP and 10 times smaller than the error result of RF, which shows that he RBF model demonstrates higher prediction accuracy.
Figure 15.
Prediction error of CH elastic modulus of different models: (a) BP, (b) RBF, and (c) RF.
Therefore, compared to all aspects, all the predicted data of the RBF model can basically overlap with the experimental data, and the fitting effect is excellent. The performance of the RF model is poor in the three models. In summary, among the three models, the RBF model is the best model to predict the elastic modulus of CH in oil well cement, and the prediction effect is the best and most accurate.
5. Model Verification
In this paper, the RBF neural network is successfully used to construct the prediction model of the CH elastic modulus, and the simulated data set is tested. In order to further ensure the wide applicability of the model, the model is used to predict the elastic modulus of CH under different temperatures and pressures, as shown in Figure 16. The predicted elastic modulus fluctuation range is between 36 and 42 GPa. The predicted elastic modulus is compared with the literature data [39,40,41,42,43,44,45], and the results are in good agreement, which indicates that the prediction model has excellent generalization performance. The prediction results are true and reliable.
Figure 16.
The influence of temperature and pressure on elastic modulus.
6. Conclusions
The main purpose of this paper is to predict the elastic modulus of CH phase in oil and gas well cement by using the machine simulation method. The crystal structure of CH was obtained through the Crystallography Open Database. The molecular dynamics simulation was carried out by using Material Studio and the first-principles calculation method, and the initial data set was constructed by obtaining the relevant mechanical properties.
The hidden layer parameters are adjusted to make the three prediction models of BP, RBF, and RF achieve the best results. The fitting effects of the three machine learning algorithms are compared to verify the predictability of the proposed model. According to the research results and analysis, the following conclusions are drawn:
- (1)
- Based on the basic processing of the original data, the first 10 factors with greater influence were selected from the 15 factors affecting the elastic modulus of CH. The results show that the elastic constant is the most important factor affecting the elastic modulus of CH, and the influence of temperature, pressure, and density on the elastic modulus of CH is slightly smaller, but it cannot be ignored.
- (2)
- In this paper, the hidden layer parameters of BP, RBF, and RF prediction models are analyzed by the orthogonal experiment with range analysis, and the best level is selected by the mean value of each factor: The best combination of the BP model is that the initial value of the generated random number is 2, the number of neurons is 8, the number of iterations is 1000, and the learning rate is 0.05. The best combination of the RBF model is that the extension speed of generating radial basis function is 400. The best combination of the RF model is that the number of optimization parameters is 8, the number of populations is 4, the maximum number of iterations is 40, the number of decision trees is 300, and the minimum number of leaves is 1.
- (3)
- Compared with BP and RF models, the RBF model has the highest prediction accuracy for CH elastic modulus. The R2 values of the training and testing processes are 0.99999 and 0.9988, respectively, which are the closest to 1 among the three models. RMSE, MAE, and MSE values are also one level smaller than the RMSE, MAE, and MSE values of the other two models, and the fitting effect is the most satisfactory.
The RF model is less effective compared with the other two models. The R2 values in the training phase and the test phase are 0.9631 and 0.8877, respectively, and the results are quite different, indicating that there may be over-fitting.
Compared with previous studies, this paper realizes the prediction of the elastic modulus of calcium hydroxide under different temperatures and pressures through MS simulation and machine learning. Compared with the traditional instrument measurement method, this method is simple and rapid, time-saving and labor-saving, and the prediction accuracy is high. At the same time, this prediction method can be applied to other phases of oil well cement, which solves the problem that the phase content of oil well cement stone changes with time and environmental conditions, and it is difficult to measure. At the same time, combined with the micromechanics method, it provides a prediction method for the elastic modulus of oil well cement under high temperatures and high pressures that is difficult to be measured experimentally, which can save a lot of manpower and material resources and achieve economy.
Author Contributions
Data curation, formal analysis, investigation, methodology, writing original draft, Z.Z.; conceptualization, investigation, supervision, methodology, writing—review and editing, S.H.; conceptualization, funding acquisition, supervision, writing—review and editing, Z.L.; data curation, formal analysis, L.W.; formal analysis, Y.S., and Q.L. All authors have read and agreed to the published version of the manuscript.
Funding
This work was supported by the National Natural Science Foundation of China (grant number U22B6003).
Data Availability Statement
Article data can be obtained from the authors.
Acknowledgments
I would like to give my heartfelt thanks to all the people who have ever helped me in this paper. Finally, I am really grateful to all those who devote much time to reading this thesis and give me much advice, which will benefit me in my later study.
Conflicts of Interest
The authors declare that they have no known competing financial interests or personal relationships that could have appeared to influence the work reported in this paper.
References
- Xia, J.; Yang, C.; Wang, X. Key technologies for well drilling and completion in ultra-deep sour gas reservoirs, Yuanba Gasfield, Sichuan Basin. Nat. Gas Ind. B 2016, 3, 607–613. [Google Scholar] [CrossRef]
- Xi, Y.; Lian, W.; Fan, L.; Tao, Q.; Guo, X. Research and engineering application of pre-stressed cementing technology for preventing micro-annulus caused by cyclic loading-unloading in deep shale gas horizontal wells. J. Pet. Sci. Eng. 2021, 200, 108359. [Google Scholar] [CrossRef]
- Zhang, Y.; Wen, J.; Yin, X.; Zhang, X. Application of anticorrosive materials in cement slurry: Progress and prospect. Front. Mater. 2022, 9, 1110692. [Google Scholar] [CrossRef]
- Feng, B.; Li, J.; Li, Z.; Wu, X.; Liu, J.; Huang, S.; Sun, J. Enhancing Environmental Protection in Oil and Gas Wells through Improved Prediction Method of Cement Slurry Temperature. Energies 2023, 16, 4852. [Google Scholar] [CrossRef]
- Wang, J.; Gao, C.; Tang, J.; Hu, Z.; Liu, J. The multi-scale mechanical properties of calcium-silicate-hydrate. Cem. Concr. Compos. 2023, 140, 105097. [Google Scholar] [CrossRef]
- Zheng, Y.; Sun, D.; Feng, Q.; Peng, Z. Nano-SiO2 modified basalt fiber for enhancing mechanical properties of oil well cement. Colloids Surf. A Physicochem. Eng. Asp. 2022, 648, 128900. [Google Scholar] [CrossRef]
- Lin, J.; Yao, X.; Basquiroto De Souza, F.; Sagoe-Crentsil, K.; Duan, W. Mechanisms of dispersion of nanoparticle-decorated graphene oxide nanosheets in aqueous media: Experimental and molecular dynamics simulation study. Carbon 2021, 184, 689–697. [Google Scholar] [CrossRef]
- Yan, B.; Duan, P.; Ren, D. Mechanical strength, surface abrasion resistance and microstructure of fly ash-metakaolin-sepiolite geopolymer composites. Ceram. Int. 2017, 43, 1052–1060. [Google Scholar] [CrossRef]
- Boumiz, A.; Vernet, C.; Tenoudji, F.C. Mechanical properties of cement pastes and mortars at early ages. Adv. Cem. Based Mater. 1996, 3, 94–106. [Google Scholar] [CrossRef]
- Ulm, F.-J.; Constantinides, G.; Heukamp, F.H. Is concrete a poromechanics materials?—A multiscale investigation of poroelastic properties. Mat. Struct. 2004, 37, 43–58. [Google Scholar] [CrossRef]
- Ma, W.; Liu, C.; Brown, P.W.; Komarneni, S. Pore structures of fly ashes activated by Ca(OH)2 and CaSO4 · 2H2O. Cem. Concr. Res. 1995, 25, 417–425. [Google Scholar] [CrossRef]
- Saeki, T.; Monteiro, P.J.M. A model to predict the amount of calcium hydroxide in concrete containing mineral admixtures. Cem. Concr. Res. 2005, 35, 1914–1921. [Google Scholar] [CrossRef]
- Sisomphon, K.; Franke, L. Evaluation of calcium hydroxide contents in pozzolanic cement pastes by a chemical extraction method. Constr. Build. Mater. 2011, 25, 190–194. [Google Scholar] [CrossRef]
- Kayali, O.; Zhu, B. Corrosion performance of medium-strength and silica fume high-strength reinforced concrete in a chloride solution. Cem. Concr. Compos. 2005, 27, 117–124. [Google Scholar] [CrossRef]
- Li, Y.; Zhang, H.; Huang, M.; Yin, H.; Jiang, K.; Xiao, K.; Tang, S. Influence of Different Alkali Sulfates on the Shrinkage, Hydration, Pore Structure, Fractal Dimension and Microstructure of Low-Heat Portland Cement, Medium-Heat Portland Cement and Ordinary Portland Cement. Fractal Fract. 2021, 5, 79. [Google Scholar] [CrossRef]
- Khunthongkeaw, J.; Tangtermsirikul, S.; Leelawat, T. A study on carbonation depth prediction for fly ash concrete. Constr. Build. Mater. 2006, 20, 744–753. [Google Scholar] [CrossRef]
- Bernard, O.; Ulm, F.-J.; Lemarchand, E. A multiscale micromechanics-hydration model for the early-age elastic properties of cement-based materials. Cem. Concr. Res. 2003, 33, 1293–1309. [Google Scholar] [CrossRef]
- Franke, L.; Sisomphon, K. A new chemical method for analyzing free calcium hydroxide content in cementing material. Cem. Concr. Res. 2004, 34, 1161–1165. [Google Scholar] [CrossRef]
- Mounanga, P.; Khelidj, A.; Loukili, A.; Baroghel-Bouny, V. Predicting Ca(OH)2 content and chemical shrinkage of hydrating cement pastes using analytical approach. Cem. Concr. Res. 2004, 34, 255–265. [Google Scholar] [CrossRef]
- Galmarini, S.; Aimable, A.; Ruffray, N.; Bowen, P. Changes in portlandite morphology with solvent composition: Atomistic simulations and experiment. Cem. Concr. Res. 2011, 41, 1330–1338. [Google Scholar] [CrossRef]
- Bahador, S.D.; Cahyadi, J.H. Modelling of carbonation of PC and blended cement concrete. IES J. Part A Civ. Struct. Eng. 2009, 2, 59–67. [Google Scholar] [CrossRef]
- Ren, F.; Zhang, X.; Lin, M.; Wang, Q.; Sun, J. Recycling Local Waste Glass Bottles into Cement Paste: Effect on Hydration, Microstructure, and CO2 Emission. Materials 2023, 16, 6195. [Google Scholar] [CrossRef] [PubMed]
- Al-Ostaz, A.; Wu, W.; Cheng, A.H.-D.; Song, C.R. A molecular dynamics and microporomechanics study on the mechanical properties of major constituents of hydrated cement. Compos. Part B Eng. 2010, 41, 543–549. [Google Scholar] [CrossRef]
- Liang, Y. Mechanical and fracture properties of calcium silicate hydrate and calcium hydroxide composite from reactive molecular dynamics simulations. Chem. Phys. Lett. 2020, 761, 138117. [Google Scholar] [CrossRef]
- Sebaaly, H.; Varma, S.; Maina, J.W. Optimizing asphalt mix design process using artificial neural network and genetic algorithm. Constr. Build. Mater. 2018, 168, 660–670. [Google Scholar] [CrossRef]
- Gujar, R.; Vakharia, V. Prediction and validation of alternative fillers used in micro surfacing mix-design using machine learning techniques. Constr. Build. Mater. 2019, 207, 519–527. [Google Scholar] [CrossRef]
- Chai, B.X.; Eisenbart, B.; Nikzad, M.; Fox, B.; Blythe, A.; Bwar, K.H.; Wang, J.; Du, Y.; Shevtsov, S. Application of KNN and ANN Metamodeling for RTM Filling Process Prediction. Materials 2023, 16, 6115. [Google Scholar] [CrossRef]
- Ashrafian, A.; Shokri, F.; Taheri Amiri, M.J.; Yaseen, Z.M.; Rezaie-Balf, M. Compressive strength of Foamed Cellular Lightweight Concrete simulation: New development of hybrid artificial intelligence model. Constr. Build. Mater. 2020, 230, 117048. [Google Scholar] [CrossRef]
- Wu, Y.-H.; Shen, H. Grey-related least squares support vector machine optimization model and its application in predicting natural gas consumption demand. J. Comput. Appl. Math. 2018, 338, 212–220. [Google Scholar] [CrossRef]
- Chai, C.; Wang, Y.; Zhao, S.; Zhang, Y.; Fang, F.; Peng, L.; Zhang, X. Machine learning-assisted design of low elastic modulus β-type medical titanium alloys and experimental validation. Comput. Mater. Sci. 2024, 238, 112902. [Google Scholar] [CrossRef]
- Chen, W.; Panahi, M.; Pourghasemi, H.R. Performance evaluation of GIS-based new ensemble data mining techniques of adaptive neuro-fuzzy inference system (ANFIS) with genetic algorithm (GA), differential evolution (DE), and particle swarm optimization (PSO) for landslide spatial modelling. CATENA 2017, 157, 310–324. [Google Scholar] [CrossRef]
- Tien Bui, D.; Khosravi, K.; Li, S.; Shahabi, H.; Panahi, M.; Singh, V.; Chapi, K.; Shirzadi, A.; Panahi, S.; Chen, W.; et al. New Hybrids of ANFIS with Several Optimization Algorithms for Flood Susceptibility Modeling. Water 2018, 10, 1210. [Google Scholar] [CrossRef]
- Ahmed, A.; Al-Amin, R.; Amin, R. Design of static synchronous series compensator based damping controller employing invasive weed optimization algorithm. SpringerPlus 2014, 3, 394. [Google Scholar] [CrossRef]
- Prasad, B.K.R.; Eskandari, H.; Reddy, B.V.V. Prediction of compressive strength of SCC and HPC with high volume fly ash using ANN. Constr. Build. Mater. 2009, 23, 117–128. [Google Scholar] [CrossRef]
- Das, M.; Das, G.; Ghosh, M. Prediction of Mechanical Properties of Sensitized Stainless Steel by Neural Network Modeling and Validation Using Ball Indentation Test. J. Mater. Eng. Perform. 2023, 32, 6850–6865. [Google Scholar] [CrossRef]
- Zhou, J.; Asteris, P.G.; Armaghani, D.J.; Pham, B.T. Prediction of ground vibration induced by blasting operations through the use of the Bayesian Network and random forest models. Soil Dyn. Earthq. Eng. 2020, 139, 106390. [Google Scholar] [CrossRef]
- Abbood, H.M.; Nouri, N.M.; Riahi, M.; Alagheband, S.H. An intelligent monitoring model for greenhouse microclimate based on RBF Neural Network for optimal setpoint detection. J. Process Control. 2023, 129, 103037. [Google Scholar] [CrossRef]
- Sola, J.; Sevilla, J. Importance of input data normalization for the application of neural networks to complex industrial problems. IEEE Trans. Nucl. Sci. 1997, 44, 1464–1468. [Google Scholar] [CrossRef]
- Lothenbach, B.; Kulik, D.A.; Matschei, T.; Balonis, M.; Baquerizo, L.; Dilnesa, B.; Miron, G.D.; Myers, R.J. Cemdata18: A chemical thermodynamic database for hydrated Portland cements and alkali-activated materials. Cem. Concr. Res. 2019, 115, 472–506. [Google Scholar] [CrossRef]
- Lavergne, F.; Ben Fraj, A.; Bayane, I.; Barthélémy, J.F. Estimating the mechanical properties of hydrating blended cementitious materials: An investigation based on micromechanics. Cem. Concr. Res. 2018, 104, 37–60. [Google Scholar] [CrossRef]
- Kulik, D.A.; Wagner, T.; Dmytrieva, S.V.; Kosakowski, G.; Hingerl, F.F.; Chudnenko, K.V.; Berner, U.R. GEM-Selektor geochemical modeling package: Revised algorithm and GEMS3K numerical kernel for coupled simulation codes. Comput. Geosci. 2012, 17, 1–24. [Google Scholar] [CrossRef]
- Wagner, T.; Kulik, D.A.; Hingerl, F.F.; Dmytrieva, S.V. Gem-Selektor Geochemical Modeling Package: Tsolmod Library and Data Interface for Multicomponent Phase Models. Can. Mineral. 2012, 50, 1173–1195. [Google Scholar] [CrossRef]
- Lothenbach, B.; Le Saout, G.; Gallucci, E.; Scrivener, K. Influence of limestone on the hydration of Portland cements. Cem. Concr. Res. 2008, 38, 848–860. [Google Scholar] [CrossRef]
- Krishnya, S.; Herath, C.; Elakneswaran, Y.; Gunasekara, C.; Law, D.W.; Setunge, S. Modeling of hydration products and strength development for high-volume fly ash binders. Constr. Build. Mater. 2022, 320, 126228. [Google Scholar] [CrossRef]
- Lothenbach, B.; Matschei, T.; Möschner, G.; Glasser, F.P. Thermodynamic modelling of the effect of temperature on the hydration and porosity of Portland cement. Cem. Concr. Res. 2008, 38, 1–18. [Google Scholar] [CrossRef]
Disclaimer/Publisher’s Note: The statements, opinions and data contained in all publications are solely those of the individual author(s) and contributor(s) and not of MDPI and/or the editor(s). MDPI and/or the editor(s) disclaim responsibility for any injury to people or property resulting from any ideas, methods, instructions or products referred to in the content. |
© 2025 by the authors. Licensee MDPI, Basel, Switzerland. This article is an open access article distributed under the terms and conditions of the Creative Commons Attribution (CC BY) license (https://creativecommons.org/licenses/by/4.0/).















