Abstract
The influence of the geometric parameters of the common rail pipe on the in-rail fuel flow and pressure is a key issue in the study of high-pressure common rail systems. In this study, based on the principle of fluid dynamics, the effects of the geometric parameters of the common rail pipe inlet on the fuel flow characteristics and pressure distribution in the common rail pipe are analyzed using a combination of numerical simulation and experiment. It was found that the best pressure stabilization was achieved when the fuel inlet was conical with an angle of 120°, which indicates that both the geometry and angle of the fuel inlet have a significant effect on the fuel flow in the common rail pipe. The optimized design in this study has reduced the rail pressure fluctuation value by 3.3 MPa compared to the initial geometry parameters. It is expected to play a role in improving fuel efficiency as well as enhancing system reliability.
1. Introduction
The diesel engine is a widely used and important thermal power machine that has had a profound impact on people’s production and way of life. However, the performance and emission standards for diesel engines are rising in response to the problem of environmental pollution. Because of its consistent injection pressure, accurate injection timing, and variable injection rate, common rail fuel injection technology is extensively utilized [1,2,3,4]. By separating the high-pressure fuel pump’s fuel supply process from the injector’s fuel injection process, this technology significantly enhances the diesel engine’s control performance and combustion efficiency [5,6,7]. It also improves the fuel’s spray characteristics and combustion state, which in turn enhances the engine’s economy, dynamics, and emissions. The common rail pipe, which is the main part of the High-Pressure Common Rail Injection System (HPCRIS), will unavoidably cause certain pressure fluctuations even though it can achieve accurate pressure adjustment [8]. As a result, many academics have undertaken a great deal of research to investigate practical ways to reduce the pressure variations within the common rail pipe.
The impact of fuel pipe size on rail pressure was thoroughly investigated by Xuelong Liu [9] and his group. Their research showed that when the fuel pipe’s length increases, the resistance and pressure loss that the diesel fuel experiences during flow also rise proportionately. This alteration slows the pressure wave’s peak time point and has an additional detrimental effect on the pressure wave’s propagation efficiency.
According to a study by Bianchip [10], the volume of fuel injected by the common rail injector can be directly impacted by the pressure variation inside the high-pressure fuel pipe. It is advised to choose a high-pressure gasoline line with a comparatively small length and diameter as the preferred option in order to lessen this effect.
Li Yunqiang et al. [11] conducted a thorough investigation of the current rail pressure sensors using a 10 kHz sampling frequency in conjunction with wavelet analysis technology. They also examined the precise effects of the oil injection process on the system’s rail pressure fluctuations and confirmed the change rule of the pressure brought on by oil injection. According to the study, the amount of oil injection directly affects the rate at which rail pressure decreases, and the amount of oil injection-induced rail pressure decrease is positively connected with the amount of oil injection and unrelated to the number of injection processes or times.
Valeriy [12] investigated the causes of pressure fluctuations in the common rail tube, the law, and its relationship with the geometric parameters, and it was found that both the high-pressure pump and the injector operate with varying degrees of pressure fluctuations, and the intensity of the fluctuations within the rail is much lower than that at the injector end.
Ziguang Gao [13,14] investigated the rail pressure fluctuation characteristics of HPCRIS under different load conditions. It was shown that increasing the common rail length could reduce the total pressure and hydrodynamic-type pressure fluctuation in each working condition, and the reduction rate gradually slowed down. Meanwhile, increasing the common rail pipe diameter can also reduce the fluctuation amplitude, especially at high loads. In the case of the same volume of the common rail pipe, the short and wide common rail tube is more favorable to reduce the rail pressure fluctuation.
Herfatmanesh et al. [15] studied the HPCRIS of a 2.2-L four-cylinder direct injection diesel engine and found that pressure fluctuations in the common rail pipe affect the subsequent injection volume, resulting in fluctuations in the amount of main injection fuel. Therefore, the pilot time or injection interval needs to be adjusted to minimize such fluctuations. In addition, for a given system, the oscillation frequency of the actual fuel quantity or injection pulse width remains constant when the pilot time interval is varied, regardless of the operating conditions.
Du et al. [16] used numerical simulation to investigate the effect of the top angle of the conical inlet structure of the common rail pipe on the system performance. It was found that when the top angle was set to 120°, the velocity distribution and pressure variation inside the common rail tube showed a smoother characteristic, and the fluctuation range was significantly reduced compared with other top angles.
Huang et al. [17] addressed the problem of pressure fluctuation in a dual-rail configuration in HPCRIS, established a corresponding simulation model to analyze the mitigation effect of the distributor on pressure fluctuation, and designed a distributor with a size of 100 mm in length and 9 mm in inner diameter. Further studies show that the installation of this distributor reduces the pressure fluctuation of the CRS by more than 62.28%, which significantly improves the stability of the system.
Wang et al. [18] developed a rail pressure control strategy for marine HPCRIS, which is based on a controlled object model and uses real-time rail pressure data to predict and calculate the amount of fuel required by the controller. The prediction result is used as an input to generate a PWM control signal, and the proportional valve of the oil pump is adjusted to achieve precise control of the rail pressure.
Lian Mingguang [19] designed a dual closed-loop rail pressure adaptive controller, using Simulink to construct a strategy containing signal processing, rail pressure control, and speed adaptive control, and incorporating a finite state machine optimization process. Offline simulation shows that the adaptive algorithm is slightly slower than PID in speed response, but there is no overshooting and strong adaptability, showing good adaptive performance.
Yuan et al. [20] established a nonlinear model of HPCRIS based on fluid dynamics and mechanics laws and investigated the time-varying disturbances in it. A composite controller consisting of two parts, sliding mode feedback and disturbance feedforward compensation based on a generalized proportional-integral observer, is proposed, and finally, the effectiveness of the method is verified by simulation analysis.
The main research direction of the above scholars focuses on the study of the change rule of rail pressure, the influence of rail pressure fluctuation on the system, the improvement of rail pressure control strategy, and the study of HPCRIS with unconventional configuration, and the study of the geometrical parameter of the common rail pipe has some limitations. Therefore, this research analyzes and optimizes the geometric parameters of the fuel inlet of the common rail tube based on the constructed simulation model and test, using the pressure change as the evaluation index.
2. Mathematical Modeling of the Common Rail Pipe
2.1. Introduction to HPCRIS
The high-pressure common rail system mainly consists of the low-pressure fuel pump, high-pressure fuel pump, common rail pipe, injector, electronic control unit (ECU), sensors, tanks and filters, etc. As shown in Figure 1 below.
Figure 1.
HPCRIS schematic diagram.
The working principle of HPCRIS can be summarized in the following steps [21,22,23,24]:
- (1)
- Fuel pressurization: The low-pressure fuel pump feeds fuel into the high-pressure fuel pump, which pressurizes the fuel into the common rail pipe.
- (2)
- Pressure control: The pressure in the common rail pipe is regulated by the ECU according to the pressure measured by the pressure sensor to ensure that the oil pressure is independent of the engine speed, thus reducing the fluctuation of fuel supply due to speed changes.
- (3)
- Fuel injection: According to the instruction from the ECU, the injector opens the solenoid valve at the right time to inject high-pressure fuel into the cylinder. The injection timing, volume, and rate are precisely controlled by the ECU.
2.2. Fuel Compressibility Analysis
Pressure fluctuations in a high-pressure common rail system are caused by two main reasons. The first is that, due to the compressibility of the fuel itself, changes in its volume can lead to fluctuations in system pressure. The second is the water hammer effect, that is, the high-pressure fuel pump supplying fuel and the injector spraying process, the fuel flow, or pressure to produce a sharp change; this phenomenon will lead to a further increase in pressure fluctuations.
The high-pressure volumetric pressure change hydrodynamic process is shown in Figure 2. As fuel flows into and out of the high-pressure volume, the fuel pressure changes due to the compressibility of the fuel, and the high-pressure volume pressure change is calculated as.
Figure 2.
Mathematical modeling of common rail pipe.
In the equation, V is the volume of the common rail pipe, B is the bulk modulus of the fuel, QIn is the input fuel volume, QOut is the output fuel volume, and p is the pressure.
The above equations show that the common rail pipe volume, fuel supply, injection volume, and fuel bulk modulus affect the pressure fluctuation in the common rail pipe.
2.3. Flow Rate Model
The common rail pipe is the energy storage element of the HPCRIS, which can be simplified into a rectangular container to facilitate the mathematical modeling of the common rail pipe. As shown in Figure 2.
The amount of fuel flowing into and out of the common rail pipe should satisfy the following equilibrium relationship; the flow rate of diesel fuel from the high-pressure pump into the common rail pipe after time t to the moment t + dt is [25,26]:
The flow rate due to pressure changes in the common rail pipe is as follows:
In the formula: is the volume of the common rail pipe, mm3; is the pressure of the common rail pipe, MPa.
The flow rate from the common rail pipe to the reservoir of the fuel injector is as follows:
In the formula: is the effective flow area into the reservoir of the fuel injector, mm2; is the pressure in the reservoir of the fuel injector, MPa; .
The flow rate flowing into the injector control chamber is:
In the formula: is the effective flow area to the control chamber, mm2; is the fuel pressure in the control chamber, MPa; .
The flow rate into the low-pressure oil channel is as follows:
In the formula, is the effective flow area into the low-pressure fuel channel, mm2; the fuel pressure in the low-pressure fuel channel, MPa; .
Collating the above equations gives the following:
3. CFD Model Building and Validation
3.1. Fundamental Conservation Laws
The flowing fluid is governed by the laws of physical conservation, and the basic conservation laws include the laws of conservation of mass, energy, and momentum. The mass of fuel flowing into and out of the common rail pipe is conserved, and the combined external force on the fuel flowing in the common rail pipe is zero, i.e., energy and momentum are conserved in the system.
Mass conservation equations:
In the equation: v is the velocity vector, ρ is the fuel density, and t is the time.
Energy conservation equation:
In the equation, ρ represents the fuel density, and Sm denotes the mass source term.
Momentum conservation equation:
In the equation, p represents the static pressure, τij is the stress tensor, and gi and Fi are the gravitational body force and external body force in the i-direction, respectively.
3.2. Turbulence Model
When the flow velocity in the flow field increases to a certain level, the flow lines become indistinct, generating numerous small vortices that disrupt the laminar flow state, causing sliding and mixing between adjacent flow layers. Under these conditions, the fluid exhibits irregular motion, known as turbulence. The fluid domain within the common rail pipe is under high pressure, while the fluid at the inlet and outlet of the common rail chamber experiences high turbulence. Considering the simplicity and computational efficiency of the standard k-ε model, this study adopts the standard k-ε model to simulate the flow state of the fuel within the common rail pipe. The heat exchange between the fluid and solid walls is neglected, as well as the effects of temperature. The governing transport equations are given by the following [27]:
In the equation, k represents the turbulence kinetic energy; is the turbulence dissipation rate; is the molecular viscosity of the fluid. In the equation, represents the components of the fluid velocity, where j denotes different spatial dimensions; represents the turbulence viscosity; is the Prandtl number for turbulent kinetic energy (k); is the Prandtl number for the turbulent dissipation rate; and are model constants, with the standard model typically using values of and , respectively; is the fluid’s heat transfer coefficient; is the turbulent kinetic energy generated by the mean velocity gradient.
3.3. Geometry of the Common Rail Pipe
For the purpose of simplification in this study, the model is reduced, and the simplified common rail pipe model is shown in Figure 3. The specific geometric parameters of the common rail pipe are shown in Table 1. The length of the common rail pipe damping hole is L, the diameter of the damping hole is D, and the radius of the arcuate fuel inlet is K. The K value varies from 4 mm to ∞, and when the K value tends to infinity, the arcuate fuel inlet (①) will change to a conical fuel port (②), at which time the top angle of this conical fuel port can be considered to be θ. The continuous variation of K value not only allows us to study the effect of K on pressure and turbulence but also allows us to compare the characteristics of the two inlet structures in a more obvious way. A cross-section was selected at the midline of the damping hole length L to study the fuel flow in the damping hole.
Figure 3.
Two-dimensional model of the common rail pipe.
Table 1.
Geometric parameters of the common rail pipe.
Neglect the energy loss during fuel flow and ignore the effect of temperature changes. To ensure the diesel engine is neither in a low-load nor high-load operating state. Using a pressure-based steady-state solver. Pressure-type inlets and outlets are selected for the boundary conditions, with an inlet pressure of 160 and an outlet pressure of 150. The liquid-phase fuel density is 835 kg·m−3, and the dynamic viscosity is 0.0025 kg·m−1·s−1. The standard k-ε equation is selected for the turbulence model in Fluent. Selection of stationary wall, no-slip conditions. Convergence residuals adjusted to 10 × 10−4.
3.4. Mesh Independence Verification
Simulation analysis was performed using Ansys2020 software. In this study, a tetrahedral mesh is used to simulate the common rail pipe runner model. Different numbers of meshes (50,000, 240,000, 440,000, 600,000, 830,000, 1,030,000, 1,160,000, and 1,400,000) are selected for the CFD fluid simulation to ensure the accuracy of the simulation. The values of mass flow rate and turbulence intensity in the common rail pipe are compared at different numbers of meshes to verify the effect of the number of meshes on the simulation results. As shown in Figure 4, the mass flow rate fluctuates considerably until the number of grids is 600,000, while it stabilizes beyond 830,000. The turbulence intensity gradually increases at grid numbers less than 830,000 and stabilizes when the grid number exceeds 1.03 million. Too few meshes will affect the accuracy of the simulation, and too many meshes will increase the time of computation, so a mesh number of 1,030,000 is chosen for the fluid simulation.
Figure 4.
Mesh independence verification.
The mesh model of the common rail pipe is shown in Figure 5. In the preparatory part of CFD numerical simulation, the meshing step is crucial, which enables the transition from the continuous domain to the discrete domain by splitting the model into multiple nodes. This part of the process is decisive for ensuring the accuracy and convergence of the CFD calculations, as the mesh sparsity, size, shape design, and interface matching can profoundly affect the results of the calculations. In view of the fact that the physical state of the fuel in the inlet and outlet of the common rail pipe, the damping holes, and the structurally complex parts will change significantly, which in turn affects the pressure distribution and turbulence characteristics in these areas, local encryption of the mesh is implemented for these areas. The number of meshes is 1,033,750, the number of mesh nodes is 216,944 and the average quality of the mesh is 0.83273. Considering the computational efficiency and the automatic adjustment of the step size according to the change of the flow field of the common rail pipe, therefore, this paper selects the automatic time step, the time scale factor of 1, and the length dimension method to carry out the simulation and analysis of the common rail pipe, and all the variables can be converged to 10 × 10−4, which ensures the stability and accuracy of the simulation.
Figure 5.
Mesh model of the common rail pipe.
3.5. Validation of Simulation Models
The experimental platform for the high-pressure common rail fuel injection system of a diesel engine is established, as shown in Figure 6. The test bench primarily consists of a fuel tank, filter, low-pressure pump, high-pressure pump, relief valve, common rail pipe, controller, sensors, data acquisition system, and display panel. This test bench is provided by Longkou Long Pump Diesel Injection Hi-Tech Co. (Yantai, China). It can perform injection flow characteristic tests and rail pressure characteristic tests of high-pressure common rail fuel injection systems. There is a pressure sensor at the common rail pipe to collect data on the rail pressure signal, which has a measuring range of 0.1–1800 bar and a comprehensive accuracy of ±0.1 F.S. The pressure sensor can also be used to measure the rail pressure. The injector outlet is equipped with an EFS8246 single fuel injection meter, measuring an accuracy of 0.6 mm3. The measurement range is 0–600 mm3 under each injection, which can be used for the measurement of injector injection volume.
Figure 6.
High-pressure common rail test bench.
Different target rail pressure values (140 MPa, 145 MPa, 150 MPa, 155 MPa, and 160 MPa) are set to compare the errors of simulation and test values to verify the feasibility of the model.
As shown in Figure 7, the error of the pressure difference in the common rail pipe is less than 5%, so the simulation model of the common rail pipe established has high accuracy and can meet the test requirements. When the target rail pressure value is increased from 140 MPa to 160 MPa, the differential pressure increases by about 4 MPa (54.8%), which is due to the fact that as the target rail pressure setting increases, the fuel injection rate and injection volume also increase, which leads to an increase in the amount of rail pressure fluctuation.
Figure 7.
Error between simulated and tested values.
4. Simulation Analysis
4.1. Effect of Damping Hole Diameter D on Fuel Flow and Pressure in the Common Rail Pipe
Uneven local pressure is created in the common rail system when a diesel engine is operating. Numerous factors impact the fuel flow in the common rail pipe when pressure differentials are present.
During the operation of a diesel engine, local pressure unevenness is generated in the common rail system. Under the influence of pressure differences, the fuel flow within the common rail pipe is affected by various factors. At the same time, affected by the structure of the common rail pipe itself, will make the fuel in some areas impact each other to produce turbulence, which further affects the pressure in the common rail pipe, so the pressure and turbulence in the common rail pipe can be studied.
The inlet pressure is set to 160 MPa, and the outlet pressure is set to 150 MPa. The length L of the damping hole is kept constant, and only the diameter D is changed. A cross-section is taken at the 0.040 m position to study the variation of pressure and turbulence in the damping hole. The simulation results are as follows.
Figure 8 shows the effect of the change in diameter D on pressure. The high-pressure fuel in the common rail pipe appears near the axis of the damping hole, and the area of the high-pressure region increases with D. As D grows, the common rail pipe’s average pressure rises as well. As the average pressure rises, so does the pressure differential between the outlet and the common rail pipe, which raises the fuel flow rate and intensifies the turbulence at the outlet. Figure 9 shows the turbulence cloud. The region where turbulence occurs in the common rail pipe increases with the increase of turbulence intensity, but the maximum value of turbulence intensity shrinks slightly. The increase in D causes an increase in the amount of fuel flowing into the common rail pipe per unit of time, and fuel impingement occurs not only at the inlet but also with a lot of turbulence in the pipe and at the outlet.
Figure 8.
Effect of diameter D variation on pressure. (a) D is the pressure in the rail when 2 mm; (b) D is the pressure in the rail when 2.5 mm; (c) D is the pressure in the rail when 3 mm; (d) D is the pressure in the rail when 3.5 mm; (e) D is the pressure in the rail when 4 mm.

Figure 9.
Effect of diameter D variation on turbulence intensity. (a) D is the turbulence intensity in the rail when 2 mm; (b) D is the turbulence intensity in the rail when 2.5 mm; (c) D is the turbulence intensity in the rail when 3 mm; (d) D is the turbulence intensity in the rail when 3.5 mm; (e) D is the turbulence intensity in the rail when 4 mm.
As shown in Figure 10a, the fuel pressure decreases as it enters the common rail pipe. At the 0.034 m position, the larger the D, the higher the fuel pressure at that position. The pressure tends to stabilize after the 0.048 m position, but the value when the pressure stabilizes increases with the increase of the D value. This indicates that the change in the value of D has an effect not only on the maximum pressure in the common rail but also on what value the pressure stabilizes at in the common rail. As shown in Figure 10b, the turbulence intensity shows an overall decreasing trend, and the decreasing rate decreases gradually with the increase of D. Numerically, the larger the value of D, the smaller the turbulence intensity at the 0.034 position.
Figure 10.
(a): Curve of the influence of the change of diameter D on the rail pressure. (b): Curve of the influence of the change of diameter D on the turbulence intensity.
4.2. Effect of Damping Hole Length L on Fuel Flow and Pressure Within the Common Rail Pipe
The boundary conditions and the diameter of the damping hole D are kept constant, and only the size of the damping hole length L is changed.
As shown in Figure 11 and Figure 12, the pressure is uniformly distributed in the common rail pipe, and there is no significant change in the area where the pressure and turbulence appear in the common rail pipe with the increase of L. There is no significant pressure difference between the fuel outlet and the common rail pipe, and the maximum value of the pressure in the rail and the larger area of turbulence appear at the damping hole.
Figure 11.
Effect of length L variation on pressure. (a) L is the pressure in the rail when 1 mm; (b) L is the pressure in the rail when 1.5 mm; (c) L is the pressure in the rail when 2 mm; (d) L is the pressure in the rail when 2.5 mm; (e) L is the pressure in the rail when 3 mm.
Figure 12.
Effect of length L variation on turbulence intensity. (a) L is the turbulence intensity in the rail when 1 mm; (b) L is the turbulence intensity in the rail when 1.5 mm; (c) L is the turbulence intensity in the rail when 2 mm; (d) L is the turbulence intensity in the rail when 2.5 mm; (e) L is the turbulence intensity in the rail when 3 mm.
In Figure 13, the curves exhibit an overall decreasing trend, indicating that the further away from the fuel inlet, the lower the in-rail pressure and turbulence intensity. At the 0 mm position, as the length L increases, the pressure and turbulence intensity values at this location decrease, which helps to reduce the pressure and turbulence intensity in this region. This shows that the variation in L affects the maximum values of pressure and turbulence intensity within the common rail pipe. In the 0 mm to 14 mm interval, the curves gradually converge, with the minimum values of pressure and turbulence intensity becoming nearly identical. This suggests that, as L increases, the pressure difference in this region decreases, and turbulence intensity weakens. Beyond the 14 mm position, as the fuel moves further from the inlet and the pressure and turbulence intensity continue to decrease, the pressure and turbulence intensity within the common rail pipe are no longer significantly affected by the damping hole length L.
Figure 13.
(a): Curve of the influence of the change of length L on the rail pressure. (b): Curve of the influence of the change of length L on the turbulence intensity.
4.3. Effect of Radius K on Fuel Flow and Pressure Within the Common Rail Pipe
A comparative analysis of different fuel inlet structures is conducted, focusing on ease of fabrication. The front-end structure of the damping hole can be classified into three types: cylindrical, arcuate, and conical. The analysis ensures that the volume of the damping hole remains constant while the inlet and outlet pressures of the common rail pipe are kept unchanged. To clearly compare the effects of the arcuate and conical structures on in-rail fuel flow and pressure, points O and A are fixed, and the arcuate variation is described by the radius K. As K gradually increases to ∞, the arcuate structure transitions into a conical structure (which can also be described by the cone apex angle θ, with θ equal to 90°).
As shown in Figure 14 and Figure 15, the rail pressure basically remained around 150 MPa without significant changes. The area where turbulence occurs in the rail is still concentrated in the damping hole and the fuel outlet. The maximum value of the turbulence intensity occurs at the position when it just enters the damping hole, and the maximum value of the turbulence intensity decreases only when the radius K increases to ∞.

Figure 14.
Effect of radius K variation on pressure. (a) K is the pressure in the rail when 4 mm; (b) K is the pressure in the rail when 6 mm; (c) K is the pressure in the rail when 8 mm; (d) K is the pressure in the rail when 10 mm; (e) K is the pressure in the rail when ∞.
Figure 15.
Effect of radius K variation on turbulence intensity. (a) K is the turbulence intensity in the rail when 4 mm; (b) K is the turbulence intensity in the rail when 6 mm; (c) K is the turbulence intensity in the rail when 8 mm; (d) K is the turbulence intensity in the rail when 10 mm; (e) K is the turbulence intensity in the rail when ∞.
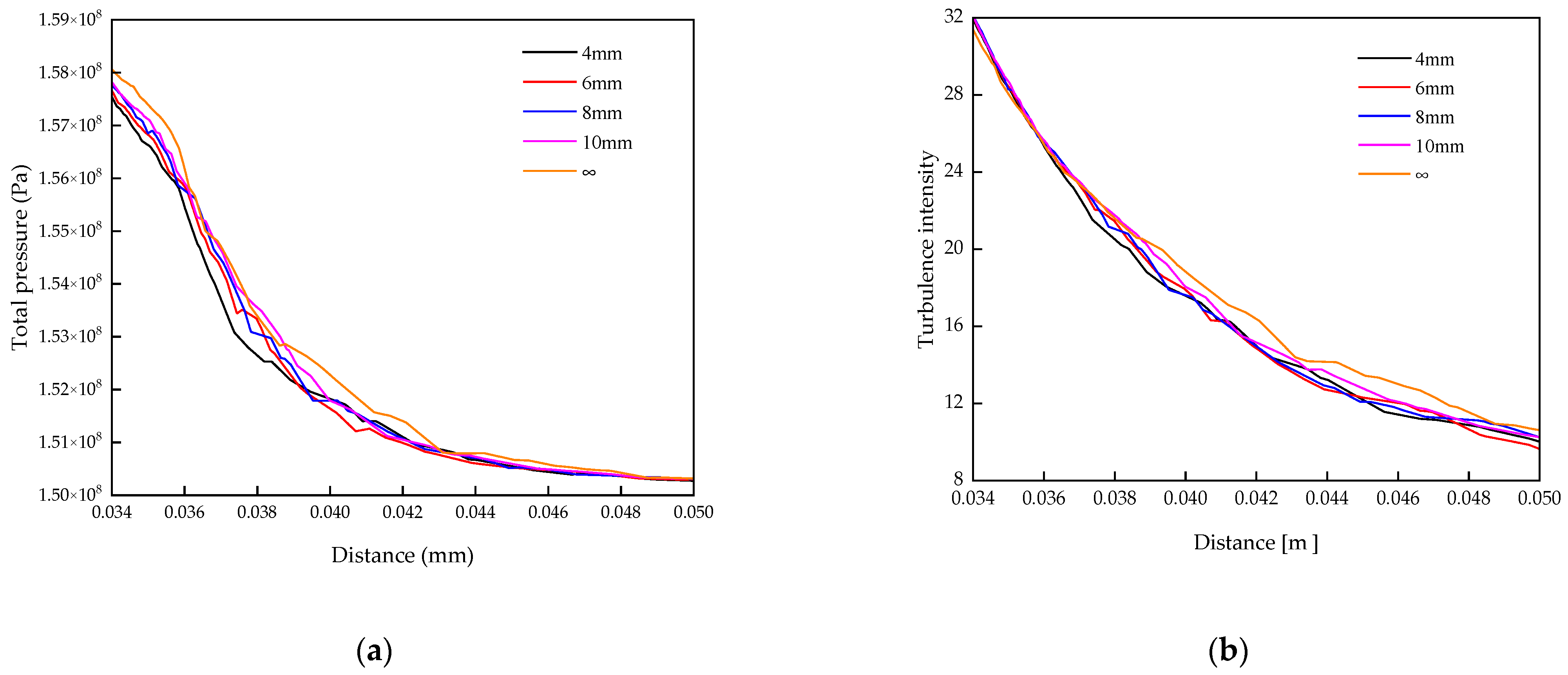
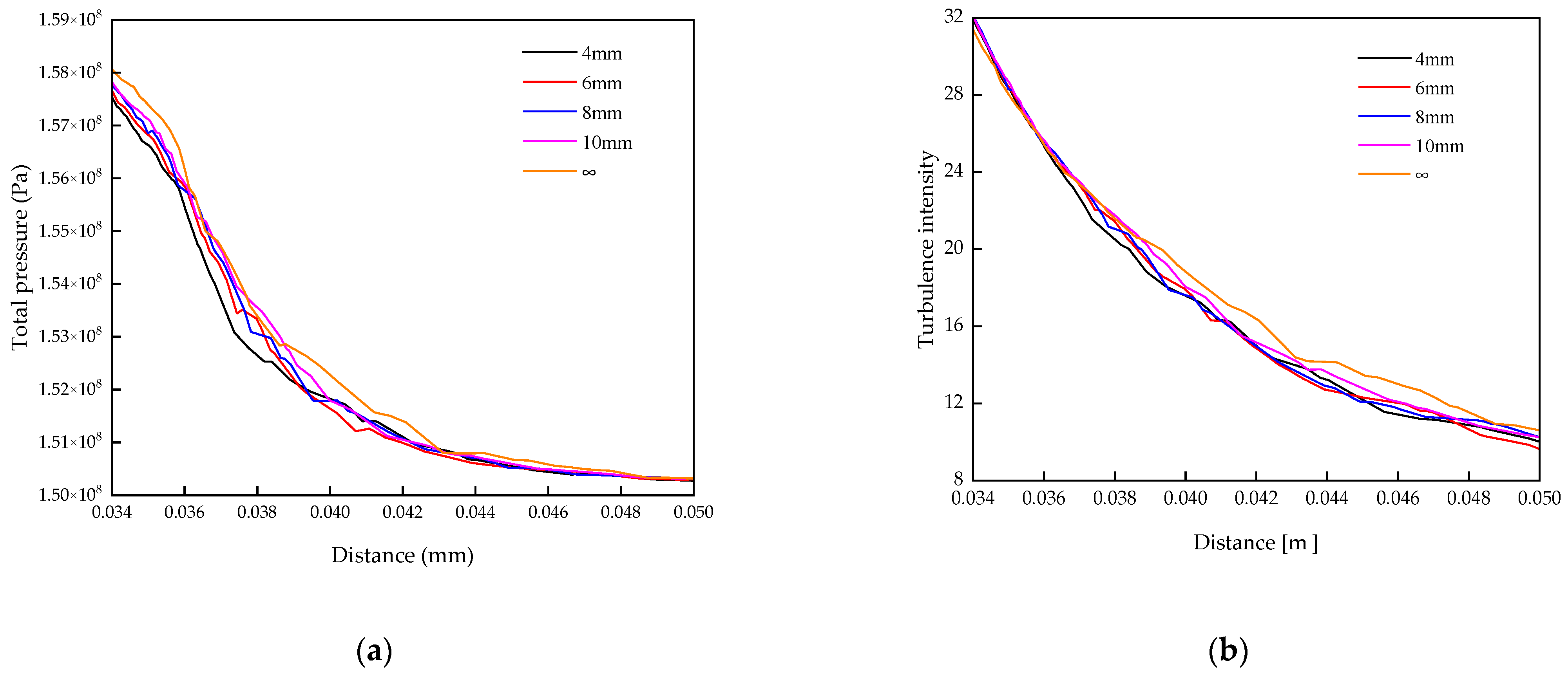
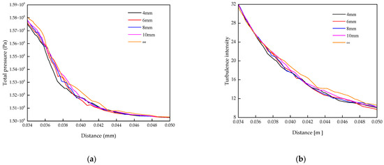
As shown in Figure 16a, with the increase of K value, the highest pressure in the common rail tube increases slightly, but all in the 0.048 m position when the pressure stabilizes, indicating that the change of K only has a slight effect on the highest pressure when the fuel just enters the common rail tube, and it has no effect on the pressure stabilized at what value. As shown in Figure 16b, at 0.034 m position, the change of K value basically has no effect on the intensity of in-rail turbulence, and the intensity of in-rail turbulence decreases gradually but fluctuates slightly in the range of 0.034–0.05 m, which may be due to the influence of the structure of the common rail pipe itself and has nothing to do with the change of K value.
Figure 16.
(a): Curve of the influence of the change of radius K on the rail pressure. (b): Curve of the influence of the change of radius K on the turbulence intensity.
On the basis that the change of K value has little effect on rail pressure and turbulence, the mass flow rate is introduced to compare the effect of circular and conical fuel inlets on fuel flow and pressure.
As shown in Figure 17, the variation of the differential pressure is small, roughly maintained in the range of 7.0 MPa to 8.0 MPa, and the differential pressure only increases by about 0.5 MPa, while the mass flow rate exhibits a more obvious increase with the increase of the radius K, and the mass flow rate is increased from about 0.290 kg/s to about 0.320 kg/s. The fuel flow rate of the conical fuel inlet is stronger than that of the curved fuel inlet.
Figure 17.
Curve of the effect of radius K on pressure difference and mass flow rate.
4.4. Effect of Apex Angle θ on Fuel Flow and Pressure Within the Common Rail Pipe
As shown in Figure 18 and Figure 19, the pressure in the common rail pipe remains stable as a whole; the pressure tends to decrease in the interval from the 0.034 m to the 0.044 m position, and the rail pressure tends to be the same after the 0.044 m position; the pressure decreases the fastest when the θ value is 60°, and with the increase of the θ value, the maximal pressure of the common rail pipe decreases.
Figure 18.
Effect of angle θ variation on pressure. (a) θ is the pressure in the rail when 60°; (b) θ is the pressure in the rail when 90°; (c) θ is the pressure in the rail when 120°; (d) θ is the pressure in the rail when 150°; (e) θ is the pressure in the rail when 180°.
Figure 19.
Curve of the influence of the change of angle θ on the rail pressure.
As shown in Figure 20, turbulence mainly occurs at the damping holes; the farther away from the damping holes, the smaller the turbulence; with the increase of θ, the maximum turbulence intensity in the common rail pipe increases. This is due to the fact that the increase of θ value makes the fuel inlet structure unfavorable to the flow of the fuel, and the fuel collides with each other in the region to produce more turbulence, which also reduces the mass flow rate of the fuel.
Figure 20.
Effect of angle θ variation on turbulence intensity. (a) θ is the turbulence intensity in the rail when 60°; (b) θ is the turbulence intensity in the rail when 90°; (c) θ is the turbulence intensity in the rail when120°; (d) θ is the turbulence intensity in the rail when 150°; (e) θ is the turbulence intensity in the rail when 180°.
5. Optimization of Common Rail Pipe Geometry Parameters
Response surface analysis was performed using Design-Expert 13 software. Based on the results of single-factor simulations, the damping hole diameter (A), damping hole length (B), and fuel inlet angle (C) were selected as the factors for the response surface optimization test, with the average pressure fluctuation within the common rail pipe (Y) as the response variable. The response surface optimization design was carried out with three factors and three levels. The levels of the response surface factors are shown in Table 2.
Table 2.
Factors and levels of the response surface.
The response surface test was conducted using a high-pressure common rail system with four injectors. Each injector sprays fuel sequentially, with the injection time for each set at 0.04 s, and the common rail pipe pressure is set to 150 MPa. The pressure curve of the common rail pipe consists of two phases: the pressurization phase and the stabilization phase. In the pressurization phase, the high-pressure fuel pump delivers a large volume of fuel to the common rail pipe to rapidly increase the pressure. In the stabilization phase, once the pressure reaches the set value, it remains steady with minimal fluctuations. The test design combinations and results of the response surface are shown in Table 3.
Table 3.
Combinations and results of the response surface test design.
Using response surface analysis software, multiple regression fitting and significance analysis were performed on the experimental results. The response surface data model showed a p-value of p < 0.0001, indicating that the model is highly significant. The lack of fit term (p = 0.7451 > 0.05) was not significant, and the equation provided a good fit. The polynomial fitting formula is as follows:
Further analysis of the response surface data yielded a 3D plot of the interaction between two factors and their impact on pressure fluctuation, as shown in Figure 21.
Figure 21.
Effect of the interaction between two factors on the pressure difference value. (a) Effect of length and diameter interaction on pressure difference value; (b) The effect of length and angle interaction on pressure difference value; (c) Effect of diameter and angle interaction on pressure difference value.
Based on the above analysis and tests, the combination that minimizes the pressure fluctuation in the common rail pipe is selected as the optimal solution within the studied range. The optimized structural parameters are shown in Table 4. The optimized parameters reduce the pressure fluctuation within the common rail pipe to 3.80 MPa.
Table 4.
Parameters of the damping hole and fuel inlet before and after optimization.
As shown in Figure 22, the pressure fluctuation curve in the common rail pipe before and after optimization, the amplitude of pressure fluctuations when the rail pressure stabilizes indicates that, prior to optimization, the pressure fluctuation range was between 1458 bar and 1529 bar. After optimization, the fluctuation range narrowed to 1477 bar to 1515 bar, with a reduced amplitude. This change can reduce the pressure impact on the common rail pipe, decrease the risk of fatigue damage, and effectively extend the service life of the equipment.
Figure 22.
Pressure fluctuation curve in the common rail pipe before and after optimization.
6. Conclusions
Using the common rail pipe intra-rail pressure fluctuation as the evaluation index and the established diesel engine high-pressure common rail system simulation model and test as a basis, this paper examines the impact of common rail pipe geometric parameters on intra-rail fuel flow and pressure fluctuation. The findings are as follows:
- (1)
- The intra-rail pressure is influenced by both the diameter and length of the damping holes, with the diameter change having a greater impact on the rail pressure than the length change. The common rail pipe becomes more turbulent when the damping holes are too large, which makes it difficult to stabilize the rail pressure.
- (2)
- The impact of fuel on the wall surface in this area can be lessened by both conical and arcuate fuel inlet structures. However, for slight variations in differential pressure, the mass flow rate of the conical fuel inlet structure is higher than that of the arcuate fuel inlet structure, which can partially offset the decrease in fuel flow rate brought on by the use of damping holes with smaller diameters.
- (3)
- In the context of this study, the geometrical parameters preferred through response surface testing resulted in a reduction of in-rail pressure fluctuations by approximately 3.3 MPa compared to the pre-optimization design. This improved structure is expected to extend the system life and improve energy efficiency under real operating conditions, and a more optimized design of the fuel flow inlet structure can be investigated in the future.
Author Contributions
Conceptualization, W.Y.; methodology, W.Y.; software, J.X.; validation, L.C.; formal analysis, L.C.; investigation, Z.L.; resources, Z.L.; data curation, J.X.; writing—original draft preparation, L.C.; writing—review and editing, L.C.; visualization, J.X.; supervision, R.L.; project administration, R.L.; funding acquisition, R.L. All authors have read and agreed to the published version of the manuscript.
Funding
This research was funded by the Key R&D Program of Shandong Province, grant number 2022CXGC020702; Rizhao Natural Science Foundation Project, grant number RZ2021ZR33; Research and Development of Key Technology of Intelligent Steering System for Large Tractors, grant number SKLIAPE2023017.
Data Availability Statement
Data are contained within the article.
Acknowledgments
I would like to thank my tutor for all his support and guidance. I would like to thank my colleagues for their care and help in my daily work.
Conflicts of Interest
Zhengyu Li was employed by the Weichai Lovol Intelligent Agriculture Technology Co., Ltd.; Jikang Xu was employed by the Qingdao Agricultural University; Wentao Yuan was employed by the Dalian University of Technology; the remaining authors declare that the research was conducted in the absence of any commercial or financial relationships that could be construed as a potential conflict of interest.
Abbreviations
| HPCRIS | High-Pressure Common Rail Injection System |
| ECU | Electronic Control Unit |
| CFD | Computational Fluid Dynamics |
| k-ε model | k-epsilon model |
| D | Damping hole diameter |
| L | Damping hole length |
| K | Radius of the arcuate fuel inlet |
| θ | Angle of conical fuel inlet |
References
- Chen, J.C. Carbon Emission Characteristics and Emission Reduction Analysis of Heavy Duty Diesel Vehicles in Use. Master’s Thesis, Hebei University of Technology, Tianjin, China, 27 May 2022. [Google Scholar]
- Ou, S.H.; Yu, Y.H.; Dong, X. Simulation and experimental investigation of closed-loop combustion control ctrategy for marine diesel engines. Trans. CSICE 2023, 41, 211–219. [Google Scholar]
- Zhang, Z.Q.; Tian, J.; Xie, G.L.; Li, J.T.; Xu, W.B.; Jiang, F.; Huang, Y.X.; Tan, D.L. Investigation on the combustion and emission characteristics of diesel engine fueled with diesel/methanol/n-butanol blends. Fuel 2022, 314, 123088. [Google Scholar] [CrossRef]
- Tian, B.Q. Investigation on Dynamic Characteristics of Diesel High Pressure Common Rail Fuel Injection System. Ph.D. Thesis, Harbin Engineering University, Harbin, China, June 2014. [Google Scholar]
- Zhao, W.L. Simulation Research of Pressure Fluctuation in the Process of Fuel Supply and Injection for Common Rail System of Diesel Engine. Master’s Thesis, Beijing Jiaotong University, Beijing, China, May 2019. [Google Scholar]
- Wang, H.P.; Zheng, D.; Tian, Y. High pressure common rail injection system modeling and control. ISA Trans. 2016, 63, 265–273. [Google Scholar] [CrossRef] [PubMed]
- Liu, Y.; Zhang, Y.T.; Qiu, T.; Ding, X.; Xiong, Q. Optimization research for a high pressure common rail diesel engine based on simulation. Int. J. Automot. Technol. 2010, 11, 625–636. [Google Scholar] [CrossRef]
- Wei, Y.P.; Fan, L.Y.; Wu, Y.L.; Gu, Y.Q.; Xu, J.; Fei, H.Z. Research on transmission and coupling characteristics of multi-frequency pressure fluctuation of high pressure common rail fuel system. Fuel 2022, 312, 122632. [Google Scholar] [CrossRef]
- Liu, X.L.; Su, W.H.; Zhan, Q. Numerical study of effects of delivery pipe on performance of common rail system. Chin. Intern. Combust. Engine Eng. 2010, 31, 47–51+57. [Google Scholar]
- Bianchi, G.M.; Falfari, S.; Pelloni, P.; Filicori, F.; Milani, M. A numerical and experimental study towards possible improvements of common rail injectors. SAE Trans. 2002, 111, 1105–1117. [Google Scholar]
- Li, Y.Q.; Wang, Y.P.; Chen, W.S. Investigation of rail pressure drop during diesel fuel injection. Trans. CSICE 2022, 40, 263–269. [Google Scholar]
- Valeriy, K. Research on the Law of Pressure Fluctuation and Influencing Factors in the Fuel Rail of High-Pressure Common Rail Fuel System. Master’s Thesis, Beijing University of Technology, Beijing, China, November 2021. [Google Scholar]
- Gao, Z.G. Research on Injection Stability and Pressure Fluctuation of High-Pressure Common Rail System. Ph.D. Thesis, Beijing Jiaotong University, Beijing, China, March 2022. [Google Scholar]
- Gao, Z.G.; Li, G.X.; Xu, C.L.; Li, H.M.; Wang, M. Simulation study on pressure fluctuation characteristics of a high-pressure common rail system. Proc. Inst. Mech. Eng. Part D J. Automob. Eng. 2023, 237, 2645–2663. [Google Scholar] [CrossRef]
- Herfatmanesh, M.R.; Peng, Z.; Ihracska, A.; Lin, Y.; Zhang, C. Characteristics of pressure wave in common rail fuel injection system of high-speed direct injection diesel engines. Adv. Mech. Eng. 2016, 8, 1687814016648246. [Google Scholar] [CrossRef]
- Du, K.; Qin, S.; Liu, D.; Zhou, X. Structural simulation analysis of high pressure common rail pipe. Vibroeng. Procedia 2021, 39, 170–175. [Google Scholar] [CrossRef]
- Huang, H.; Tian, B.; Geng, L.; Ju, Y. Study on the pressure fluctuation characteristics of the high-pressure common rail system with a distributor. J. Phys. Conf. Ser. 2022, 2378, 012028. [Google Scholar] [CrossRef]
- Wang, Q.; Yao, H.; He, Y.; Yu, Y.; Yang, J. Research on rail pressure control of high-pressure common rail system for marine diesel engine based on controlled object model. IEEE Access 2021, 9, 125384–125392. [Google Scholar] [CrossRef]
- Lian, M.G. Research on Speed Control Strategy of High Pressure Common Rail Diesel Engine Based on Adaptive Algorithm. Master’s Thesis, Harbin Engineering University, Harbin, China, March 2021. [Google Scholar]
- Yuan, Z.; Dai, C.; Sun, H.; Li, S.; Yin, B. GPIO based sliding mode control for diesel engine high pressure common rail system. Int. J. Automot. Technol. 2023, 24, 147–158. [Google Scholar] [CrossRef]
- Li, R.L. Research on Fault Diagnosis Method of Abnormal Injection in Electronic Fuel System. Master’s Thesis, Harbin Engineering University, Harbin, China, March 2020. [Google Scholar]
- Zhou, L.; Yang, K.; Nie, T.; Wu, X.; Liu, N. Modeling and simulation analysis of ultra high pressure common rail system for adjustable fuel injection rate. J. Natl. Univ. Def. Technol. 2022, 44, 179–187. [Google Scholar]
- Zheng, T. Research on Fault Diagnosis and Health Assessment of Injector in Common Rail System. Master’s Thesis, Harbin Engineering University, Harbin, China, March 2021. [Google Scholar]
- Feng, Z.Y. Design of Electronic Control of Diesel Engine Based on the Current Closed-Loop Control of Solenoid Valve. Master’s Thesis, University of Electronic Science and Technology, Chengdu, China, June 2018. [Google Scholar]
- Pu, Y. Research on the Observation Method of Fuel Injection Performance of High Pressure Common Rail System. Master’s Thesis, North University of China, Taiyuan, China, 31 May 2022. [Google Scholar]
- Zhu, L.J. Structural Optimization Design of High Pressure Common Rail Electronically Controlled Fuel Injection System for Diesel Engine. Master’s Thesis, Hangzhou Dianzi University, Hangzhou, China, March 2018. [Google Scholar]
- Ding, X.K. Analysis of Steady Flow Field and Study of Flow Force Compensation of Hydraulic Valve. Master’s Thesis, Qilu University of Technology, Jinnan, China, 3 June 2023. [Google Scholar]
Disclaimer/Publisher’s Note: The statements, opinions and data contained in all publications are solely those of the individual author(s) and contributor(s) and not of MDPI and/or the editor(s). MDPI and/or the editor(s) disclaim responsibility for any injury to people or property resulting from any ideas, methods, instructions or products referred to in the content. |
© 2025 by the authors. Licensee MDPI, Basel, Switzerland. This article is an open access article distributed under the terms and conditions of the Creative Commons Attribution (CC BY) license (https://creativecommons.org/licenses/by/4.0/).























