Abstract
This study outlines a high-yield green method for synthesizing MBT using aniline, carbon disulfide and sulfur as raw materials via a one-step reaction combined with high–low-temperature extraction. The process is supported by experimental results and lab-scale tests, and the operating conditions of the amplification process are evaluated using Aspen Plus simulation software, supplemented with Gaussian09 calculations. The sensitivity analysis results indicate that the MBT yield reaches its maximum value when the feed mass ratio of S:CS2:C6H7N:C7H8 is 6:17:20:90. Additionally, setting the reaction temperature to 240 °C and pressure to 10 MPa improves the MBT synthesis yield from 58% to 82.5%. Optimal condensation and extraction conditions are achieved at −30 °C and 1 atm, followed by a separation step at 40 °C. The simulation results provide valuable guidance for the industrial production of MBT.
1. Introduction
2-mercaptobenzothiazole (abbreviated as MBT) was first discovered by A. W. Hofmann when he prepared a disulfhydryl derivative of thiocarbanilide. As an early application, MBT was used as a vulcanization accelerator in the rubber industry by Bedford, Sebrell, Bruni and Romani [1]. Vulcanization accelerators can significantly shorten the vulcanization time of raw rubber at a moderate temperature. Considering the aging resistance of rubber articles, an accelerator (such as MBT) can ensure sufficient cross-linking of sulfur and rubber and reduce undesirable side reactions [2,3,4,5,6]. As studies focusing on MBT have increased, other scholars have discovered that MBT displays a high degree of corrosion inhibition by forming a thin protective film on metal surfaces, particularly copper, lead, aluminum and its alloys [7,8,9,10,11,12]. Meanwhile, the formation of specific-colored metal–MBT complexes in aqueous media has provided an important indicator for the spectrophotometric determination of copper, selenium, osmium, palladium and cadmium [13,14,15]. In addition to its previously mentioned applications, MBT is an important scaffold that is known to be associated with a wide range of biological activities. Derivatives of MBT are known to possess, among other traits, antimicrobial, antimycobacterial, antioxidant, radioprotective, fungicidal and antitumor qualities [16,17]. Although varied aspects of MBT have been presented in the literature, the synthesis mechanism of MBT and how to realize the industrial production of MBT through green and clean methods has rarely been reported.
At present, thanks to the research conducted by scholars from various countries, there are numerous methods available for synthesizing MBT. In 1887, A. W. Hofmann found that 2-aminothiophenol or its disulfide can produce MBT when mixed with carbon disulfide for 12~14 h, which can allow about a 45% yield of MBT to be acquired [1,13]. Through this method, as high as 60% yields were obtained by L. B. Sebrell and C. E. Boor [1]. Based on Hofmann’s research, many methods for MBT synthesis from 2-aminothiophenol under certain conditions were reported [18,19,20]. Later, an MBT preparation method with a high yield and shorter reaction time was discovered by Dunbrook and Zimmermann, which was similar to the research of Jan Teppema and L. B. Sebrell. In the experiment of Dunbrook and Zimmermann, MBT was processed via the one-pot reduction and cyclization reaction of 2-chloronitrobenzene using sodium polysulfide and carbon disulfide into an aqueous solution of 2-cholonitrobenzene and sodium sulfide. An MBT yield of up to 87.5% can be achieved, and o-chloroaniline can also be generated as a by-product in the reaction [21,22]. In Jan Teppema and L. B. Sebrell’s study, the synthesis method instead produced sodium polysulfide via a stream of saturated H2S [23]. Sebrell and Boord also outlined a reaction method to prepare MBT that utilized aniline and sulfur and carbon disulfide reagents. Under high temperature and pressures, these reagents can interact to directly obtain MBT, with a yield of about 77% [13]. When a catalyst (e.g., iodine, hydrochloric acid, aluminum chloride, etc.) is added to this reaction, an MBT yield of up to 90% can be achieved [24,25,26].
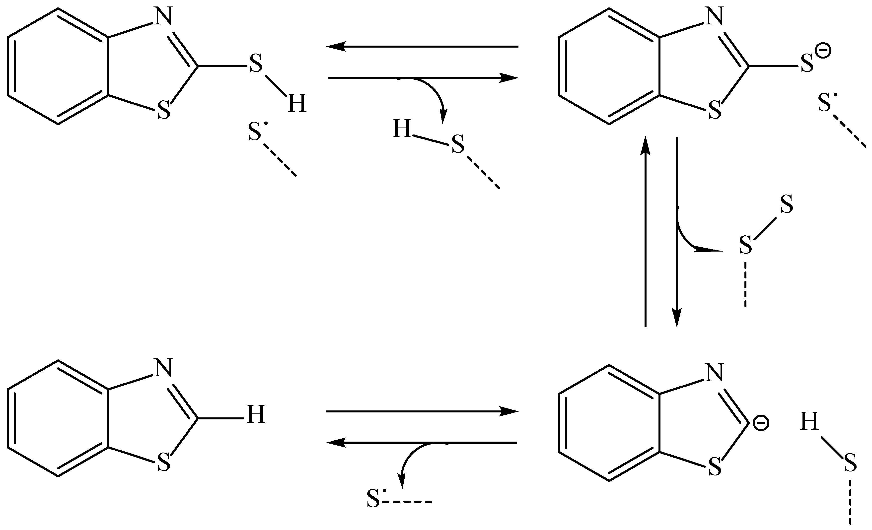
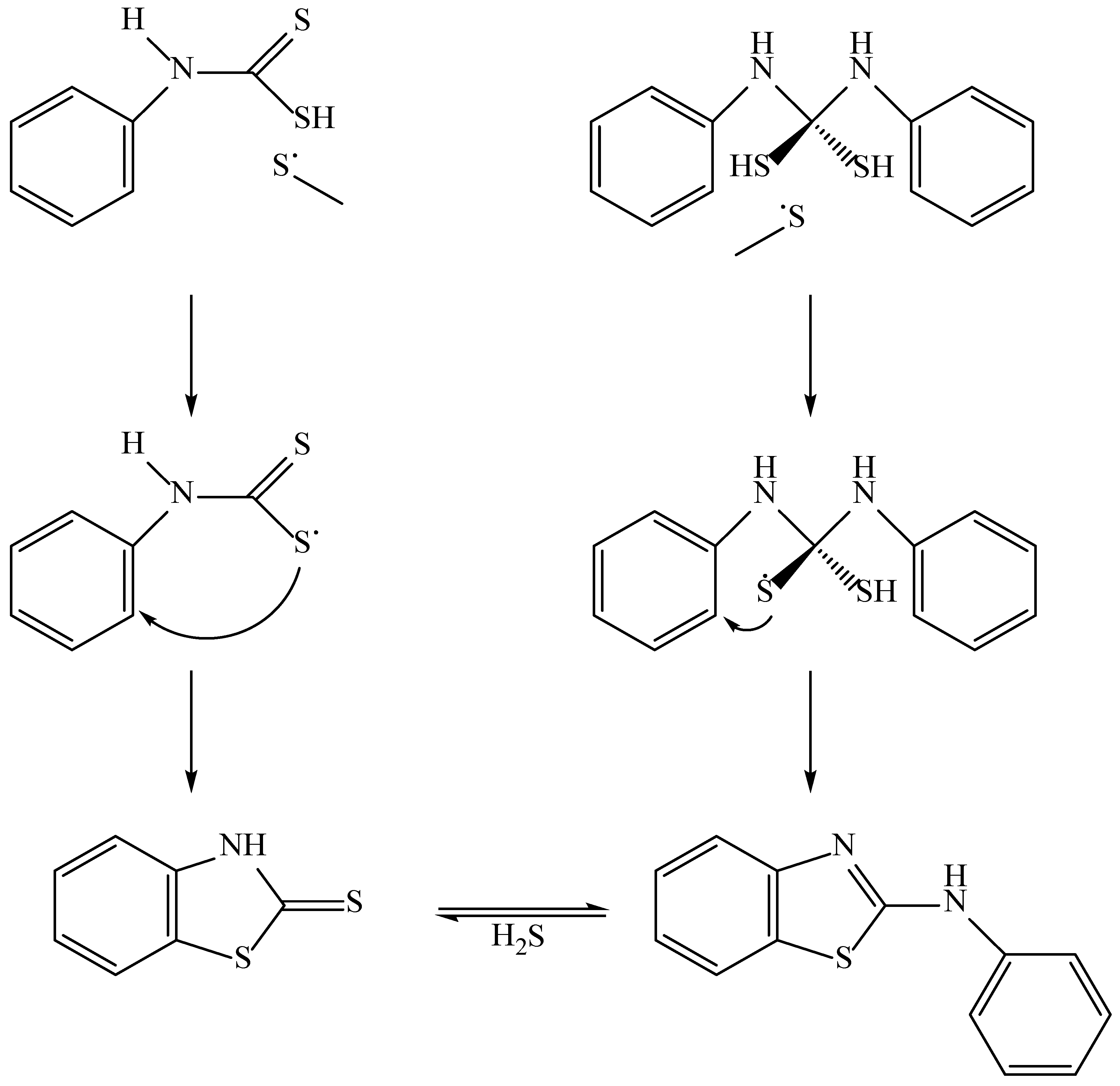
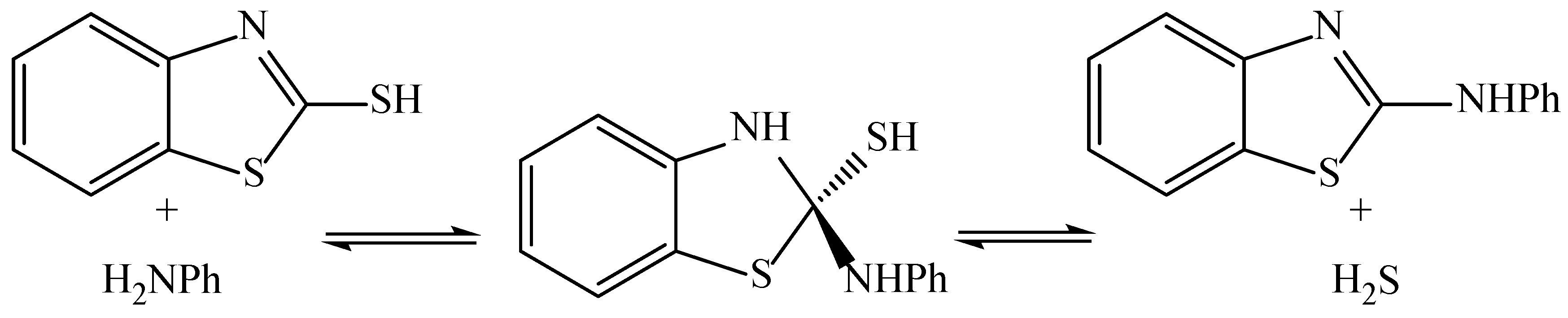
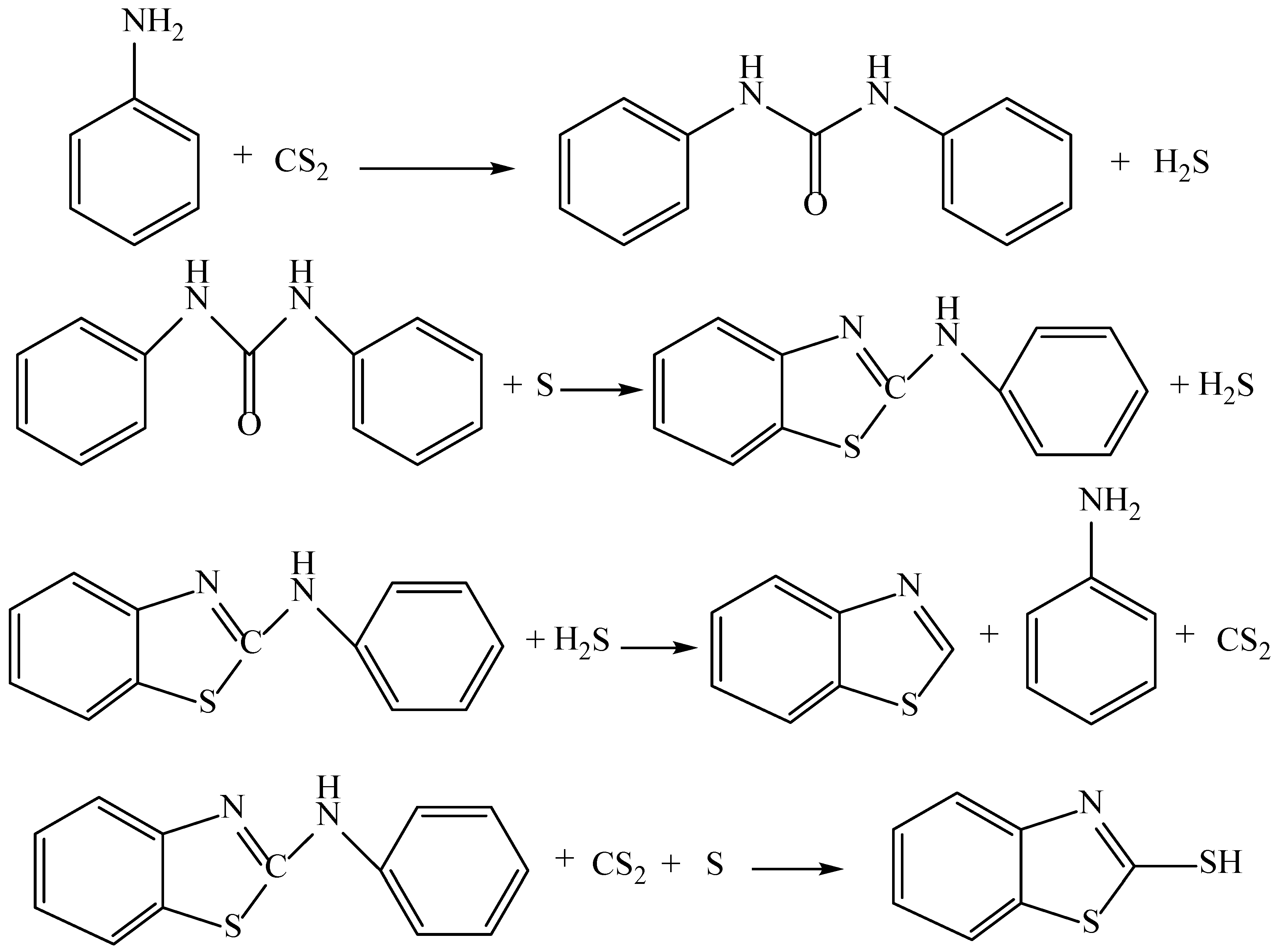
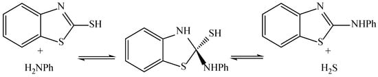
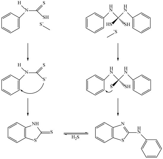
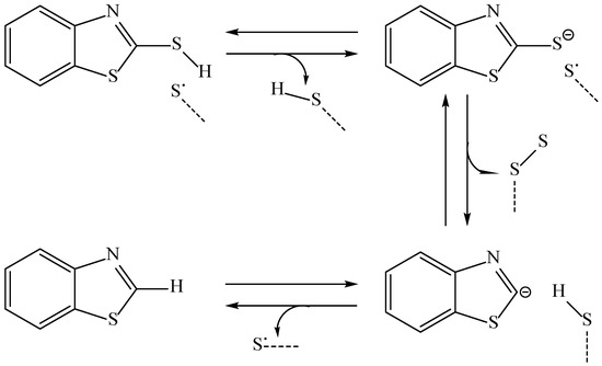
In spite of MBT’s various synthesis pathways, only the aniline method (using aniline as the main raw material) has been utilized in industrial production. The reaction principle is shown in Scheme 1. In this reaction, more than 50 by-products were identified by Isaacs and colleagues [27]. The tautomeric form of MBT (benzothiazoline-2-thione) is one of the by-products that can accompany the production of MBT. Koyama D. and Orr-Ewing A. J. demonstrated that the thione compounds’ form is strongly favored in both the gas and liquid (such as water) phases at room temperature [28]. In the presence of sulfur, benzothiazole (C7H5NS) was obtained as a by-product in the thermal degradation process of MBT; the mechanism of this is shown in Scheme 2 [27]. Louis Mina and colleagues thoroughly investigated C7H5NS as a by-product and found a likely equilibrium between C7H5NS and MBT [29]. In accordance with this discovery, MBT aniline method by-products may be incorporated as a starting material or recycled to enhance the yield of MBT. Moreover, in the main reaction, because of the incorporation of aniline and disulfide, phenylcarbamic acid and a tetrahedral substance are required as intermediates for the formation of MBT, which leads to the formation of a 2-anilinobenzothiazole (AnBTh) by-product (Scheme 3) [27]. This clearly shows that the excess hydrogen sulfide lies heavily in favor of MBT. Notably, the reaction can be conducted in the opposite direction when the nucleophilic power of the amine is increased (Scheme 4). In addition to the aforementioned by-products, other by-products, such as raw material residues and minor impurities, have not yet been described in detail.
Scheme 1.
The main aniline method reaction.
Scheme 2.
The synthesis mechanism of C7H5NS by-product.
Scheme 3.
The synthesis mechanism of AnBTh by-product.
Scheme 4.
The conversion of MBT and AnBTh.
In the currently used methods for industrial production of MBT, the generation of toxic substances and residues (such as MBT [30]) are inevitable. This is especially significant given the important roles of MBT industrial processes and in the new context of the green economy. Nowadays, mechanical–biological waste treatment technology, focused on the biological stabilization of the organic fraction of municipal solid waste, plays a key role in municipal solid waste treatment [31]. Scholars have surveyed the disadvantages of traditional technologies and, through this, have presented new, green methods. Umamaheswari B and Rama Rajaram presented a method of microaerobic degradation using the Alcaligenes sp. MH146 strain CSMB1 to treat MBT in industrial wastewater [32]. In industrial tar residue, MBT could convert to C7H5NS and aniline to treat the toxic tar residue formed through the hydrogenation procedure presented by Jianhong Zhao and colleagues [33].
In this article, through the traditional aniline and 2-chloronitrobenzenes method, we explore the green process of MBT synthesis and apply our findings to industrial applications [34]. Before applying to the industrial scale, the Aspen Plus simulation software is used to explore the optimal condition parameters with the help of the results of the experiment and theoretical study. The theoretical study aims to acquire the dynamics and thermodynamics data of each reaction by employing Gaussian software and thus obtain the rate-determining step. Finally, the study is applied to build the MBT industry up to the 10,000-ton scale of Shandong Yanggu Huatai Co., Ltd. (Liaocheng, China); this has functioned successfully to date.
2. Exploration of MBT Green Synthesis Process
2.1. Quantum Mechanical Research
Based on the MBT synthesis reaction mechanism, we use the quantum mechanics calculation method to study the feasibility of the MBT catalytic green synthesis process. The synthesis of MBT is divided into three continuous reaction processes. Among these, the content of the by-product C7H5NS and the mid-product 1,3-diphenyl-2-thiourea (abbreviated as DPTU) directly affects the MBT yield.
The quantum mechanics calculation utilized Gaussian09 software, and molecular optimization, including the reaction, mid-product and transition state, was calculated using the B3LYP/6-31++G(d,p) level [35]. By means of the calculation frequency and reaction coordinates, we obtained the correctness of the transition state. Furthermore, we obtained the kinetic data of three continuous reaction processes by analyzing the natural orbits of the mid-product and transition states. The results demonstrate that, on the one hand, an MBT catalytic synthesis reaction can improve the activation energy of the transition state and inhibit by-product formation. On the other hand, the activation energy of the transition state can be reduced in the DPTU conversion stage and, by taking advantage of DPTU, this transforms the MBT.
GROMCS 4.0.5 software is used to calculate the molecular simulation of MBT synthesis reactions, and the potential energy function is constructed using a GROMOS 53a6 force field (Equation (1)).
Non-bonded interaction is computed with a cutoff radius of 1.2 nm, while long-range electrostatic interaction and bond length are accounted for using the particle-mesh Ewald summation method and the LINCS method, respectively. Meanwhile, the Verlet integration algorithm and NPT ensemble simulation calculation are applied to solve the Newtonian equation of motion that eliminates high energy overlap to ensure energy minimization and achieve suitable density. Finally, the simulation is implemented in the NVT ensemble. The interaction energy is weakest between C7H8 and MBT (combined energy: −1.43 Kcal/mol), while the interaction ability is stronger in C7H8 and other by-products. For example, the combined energy of C7H8 and C7H5NS is −2.56 Kcal/mol. The interaction parameter Xij of DPTU and C7H5NS with C7H8 is clearly below that of the interaction parameter Xij of MBT with C7H8. In other words, this result can explain why DPTU and C7H5NS are easily dissolved in C7H8. The dynamics and thermodynamics of the reaction are also calculated, and the results show that the rate-determining step of the main reaction rate constant is 204 C−1.
2.2. Experimental Methods
Through the molecular simulation described above, we explore a novel process for synthesizing MBT, described in the following reaction equations (Scheme 5 and Scheme 6).
Scheme 5.
The main reaction equation in the MBT synthesis process.
Scheme 6.
The crucial side reaction equations in the MBT synthesis process.
The experimental methods used to perform MBT synthesis are typically divided into two steps. Firstly, a synthesis reaction is conducted in an autoclave that is made of stainless steel [36] and which is filled with CS2 (315 L, 99%), S (140 kg) and C6H7N (378 L, 99%). This autoclave is able to withstand considerable pressure and temperature as it is equipped with a safety pressure relief valve and emergency cooling devices. Under the conditions of 255 °C and 9 MPa, about 98.5% crude MBT can be acquired after reacting for around 5 h. At the same time, H2S is also produced, and needs to be absorbed by a sodium hydroxide solution. Subsequently, crude MBT is extracted by C7H8 (2500 L, 99%) in an extraction reactor after about 4 h. The extraction reactor is composed of glass and steel equipment, and the temperature should be controlled within 65 °C. Via the two main steps described above, an MBT purity and yield of 99.1% and 87.5%, respectively, can be achieved. For the calculation, the E-factor is 1.7, the energy consumption is 0.47 t (standard coal)/t (production) and the reaction mass efficiency (RME) is 69%.
This synthesis method possesses the ability to achieve high yield in an environment without H2S. Meanwhile, this separation method abandons the traditional acid–base refining process and replaces it with the high–low-temperature liquid–liquid extraction green synthesis process. The production process has also been upgraded from traditional batch production to a fully automated production process, reducing the possibility of hazardous material leakage and greatly ensuring safety and occupational health. The experimental results are summarized in Table 1, Table 2, Table 3, Table 4 and Table 5.
Table 1.
The effect on MBT yield of feed ratio.
Table 2.
The effect on MBT yield and purity of extraction agents.
Table 3.
The effect on MBT purity of extraction method.
Table 4.
The effect on MBT yield and purity of extraction agent volume.
Table 5.
The effect on MBT yield and purity of feed and extraction temperature.
3. Simulation of Preliminary Work
To achieve industrial implementation using the traditional industrial enlargement method, three stages must be performed: the experiment, a small test and a pilot test. Although the traditional method can ensure industrial success (such as a higher optimization of process conditions and a higher product yield and purity) to a large extent, its most observable disadvantages include the unavoidable long cycle and large investment, which can also be needed for the process described above. This problem has a particular impact on fine chemical engineering. In addition, if the experimental or synthesis process is extremely complex, the correlation of every process condition is closer, which also leads to difficulty in deciding the process parameters.
Compared to the traditional industrial enlargement method, advanced chemical engineering simulation software has been widely employed for process simulation purposes by industrial entities [37]. Among these simulation software, Aspen Plus (v11), released by the ASPEN TECH company, is the most representative. Aspen Plus is usually applied in fields including chemical engineering, oil refining, the coal chemical industry and oil and gas processing. Conversely, few studies have reported the use of Aspen Plus in the rubber additives field; therefore, using Aspen Plus and the results of the molecular theory simulation and experiment, we studied the possibility of the industrial production of rubber additives (MBT) in detail. While ensuring that the study was feasible, we aimed to achieve a product with the highest yield and purity and the highest optimization levels of all operating parameters.
3.1. Physical Property Data Acquisition
Generally, all chemical engineering simulation software relies on complete and precise physical property data. Aspen Plus is currently ahead of the curve on this point because it is famous for being the most complete physical property system acquired from studies and companies [37]. In this work, the pure-component physical property data of C6H7N, CS2, S, MBT, H2S, H2SO4, Na2SO4 and Na2S are obtained from the in-house PURE37 database of Aspen Plus. Similarly, the binary parameters of mixtures, such as CS2 and S, C6H7N and CS2, CS2 and H2S, C7H8 and C7H5NS, C7H8 and C6H7N, and C7H8 and CS2, are obtained from in-house NRTL database of Aspen plus [38]. However, for the special MBT and DPTU, we need to use a physical property estimate system belonging to an Aspen Plus module to solve the problem of the shortage of physical property data, since MBT and DPTU cannot be found in Aspen Plus’ in-house physical property databases. Thus, in this system, the physical properties of MBT and DPTU are estimated via the UNIFAC property method, which requires the molecular mass, molecular structure, normal boiling point, vapor pressure and molar enthalpy of combustion, sublimation and formation, etc., to be input [39].
3.2. Module Process Construction in Aspen Plus
In the actual industrial process of producing MBT, a series of complex undesirable side reactions must be performed underground in order to form the raw materials that react with MBT. Simultaneously, there are many unexpected issues that may occur. Thus, to satisfy the conditions that guarantee the calculation result is correct, we simplify the production process of MBT according to the actual conditions and, before performing the Aspen Plus simulation, we propose the following five suggestions:
- The process of MBT should occur in a steady state [40].
- Temperature should be distributed evenly in the reactor; there should be no temperature gradient.
- The influence of H2S in the reaction should be ignored.
- Undesirable side reactions should be omitted.
- A reactor and an exchanger module should be used to simulate the cooling of the kettle.
According to the production process of MBT, we programed the module process of MBT in Aspen Plus, as is shown in Figure 1 below. Firstly, the CS2 stream and S stream are mixed in the MIX1 model and then entered into the MIX2 model with the C6H7NS stream. After the three streams are combined, these materials turn into the RC-1 model to react. Secondly, we introduced the FLASH1 model to achieve initial vapor–liquid separation because the streams, after reacting, are not divided into a vapor phase and a liquid phase in the RC-1 model. Vapor-phase streams are cooled in the FLASH2 model through stream 4. After cooling, uncondensed H2S is absorbed in the RC-2 model using 32% NaOH solution, and the condensed S supplementary stream is mixed with the CS2 stream in the MIX4 model. The liquid-phase stream from the FLASH1 model with the C7H8 stream enter into the DE model (extraction kettle). Through extraction and purification, the product is sent to the next separation process through stream P, and waste liquid is disposed through stream 9.
Figure 1.
MBT module process in Aspen Plus.
4. Simulation Results and Analysis
In order to study the chemical industrial process, factors including reactant concentration, reaction temperature and pressure, reaction time, material ratio and conversion rate, and product yield and purity are regarded as key. However, since we are particularly focused on the MBT green synthesis process, we mainly studied the material ratio and reaction temperature, which directly affect the product and by-product yield. Thus, reactor modules supplemented by separation modules are mainly discussed in this paper; then, for every model selected in Aspen Plus, we perform an individual analysis and optimization to maximize the MBT yield.
4.1. Reaction Model
4.1.1. Influence of Material Feed Ratio
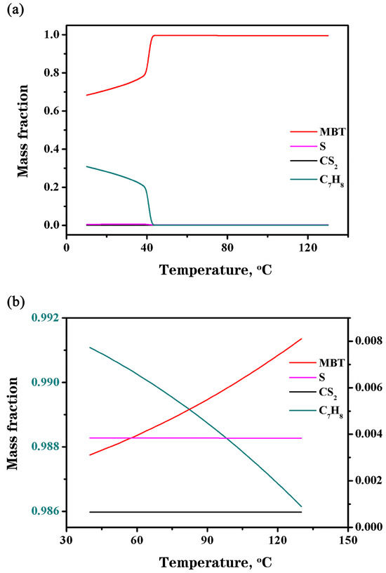
As shown in Figure 2, when the CS2: C6H7N ratio is constant, the mass fraction of MBT linearly increases at the beginning and gradually decreases after reaching the maximum level as the feed amount of S increases. Compared to MBT, the change in the C7H5NS mass fraction is completely converse before reaching the minimum level and, subsequently, C7H5NS is kept at a low amount. This phenomenon can be explained by the chemical equilibrium between MBT and C7H5NS [29]. At the beginning of the reaction, the hydrosulfonyl content in MBT is likely destroyed by the abundant S due to the large difference between the electronegativity of the S and C atoms [39]. When C7H5NS reaches the peak, the chemical equilibrium moves rightwards to promote the generation of MBT due to S. The other mass fractions, including those of H2S and C6H7N, decline slowly, while the mass fraction of DPTU, CS2 and S drop asymptotically to zero during this process. This is attributed to the fact that C6H7N and H2S are both by-products and reactants.
Figure 2.
Variation in CS2, DPTU, MBT, C7H5NS, S, C6H7N, and H2S content along with the inlet amount of S ranging from 10 to 180 and CS2 ranging from 120 to 210, (a–f) in outlet stream 3 under a fixed inlet amount of C6H7N(200).
By the same means, the results show that MBT and C7H5NS, at the start, coexist in the system when S: C6H7N is controlled at a constant level and CS2 is less than this (see Figure 2a). As expected, the development of the reaction is weak due to the limited production of MBT and greater possibility of collision between S and C7H5NS according to collision theory. It is evident that the maximal mass fraction of MBT increased by 9%, from 72% to 81%, thanks to the increase in CS2. The rest of the H2S and C6H7N appears to decrease, and the mass fraction of CS2, S and DPTU remains almost unchanged and roughly stable at zero.
Based on the above analysis, the products and by-products are directly determined by the quality ratio of S, CS2 and C6H7N, which affected the product quality under unreasonable conditions. Meanwhile, in order to accelerate the translation from C7H5NS to MBT, the initial magnitudes of S should maintain superfluous. Thus, in this optimization step, the quality ratio of S, CS2 and C6H7N is determined at approximately 6:17:20 to ensure that the yield of MBT reaches its maximum and, for other materials, it is lower.
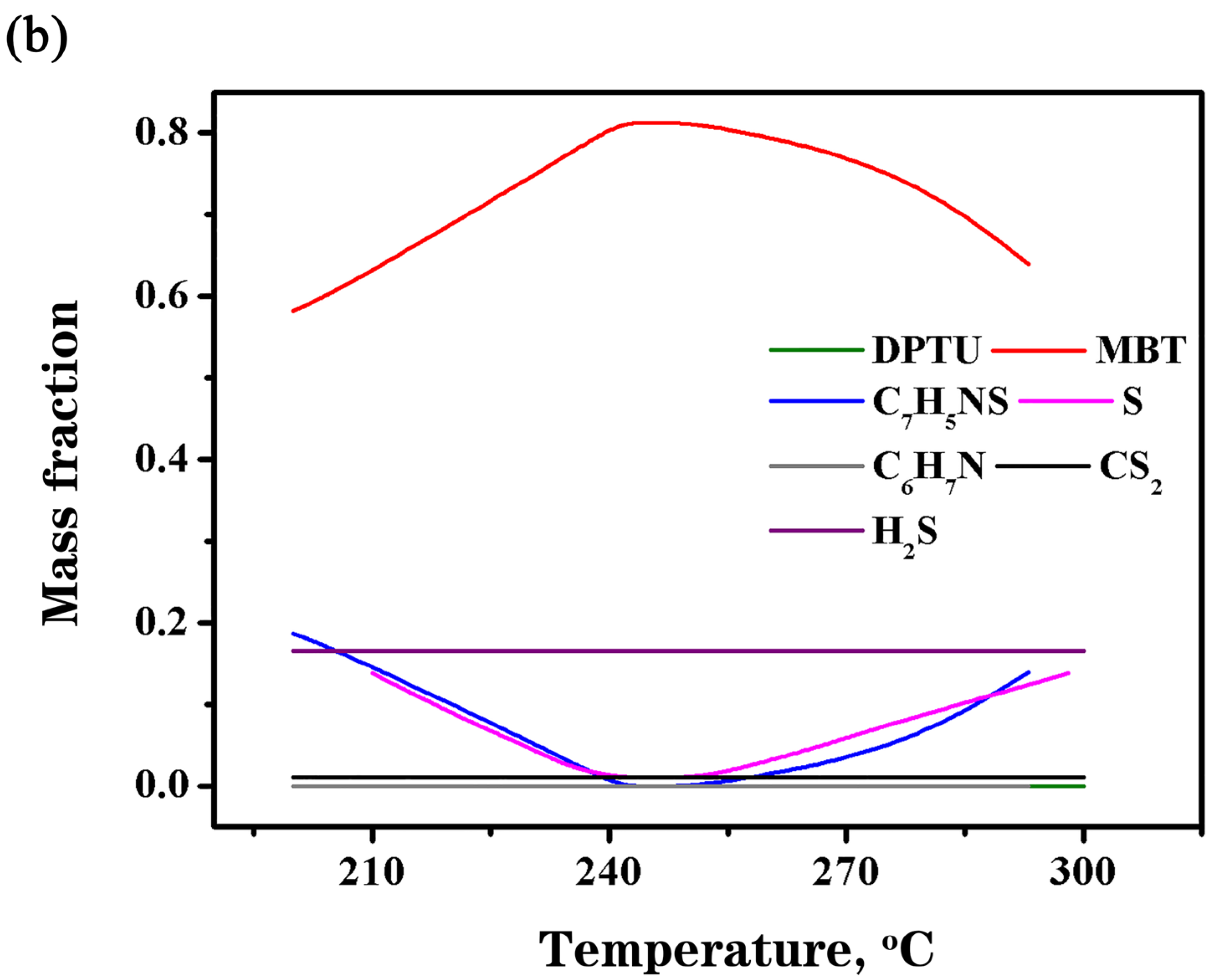
4.1.2. Influence of Pressure and Temperature
Reaction pressure and temperature also played an important role in the synthesis of MBT. We can draw the conclusion that the peak mass percentage achieved for MBT is 82.5% when the pressure and temperature of the reactor are 1 MPa and 240 °C, respectively, as shown in Figure 3. Conversely, the mass percentage of C7H5NS and S fall to their lowest at an identical temperature and pressure. This reaction pressure and temperature (1 MPa and 240 °C) are regarded as the optimal conditions. Below these optimal conditions, the MBT mass percentage gradually increases with varied pressure and enhanced temperature, and the value range (mass percentage of MBT) is clearly different. The MBT mass percentage increased from 40% to 82.5% under varying temperatures and improved from 58% to 82.5% under varying pressures. On the one hand, according to Le Chatelier’s principle, the main reaction shifted to the right due to the exothermic effects of the reaction. Furthermore, the impact of pressure depends on the presence of H2S in side reactions (as shown in Scheme 6), which restrain side reactions as pressure increases. On the other hand, the phenomenon that high temperature counteracts the maintenance of the -SH bond and that high pressure promotes side reactions producing C7H5NS when the temperature and pressure exceed the optimum conditions, is accounted for. Otherwise, the mass percentage of H2S is kept at about 18% and other materials do not clearly change at approximately 0.

Figure 3.
Variation in DPTU, MBT, C7H5NS, S, C6H7N, CS2 and H2S content at a pressure range from 5 MPa to 15 MPa (a) and temperature range from 200 °C to 300 °C (b) of the reactor in outlet stream 3.
On the basis of the curve of mass percentage obtained in Figure 3a,b, we reach the conclusion that these optimal conditions (1 MPa and 240 °C) should be investigated in a follow-up study.
4.2. Condensation Model
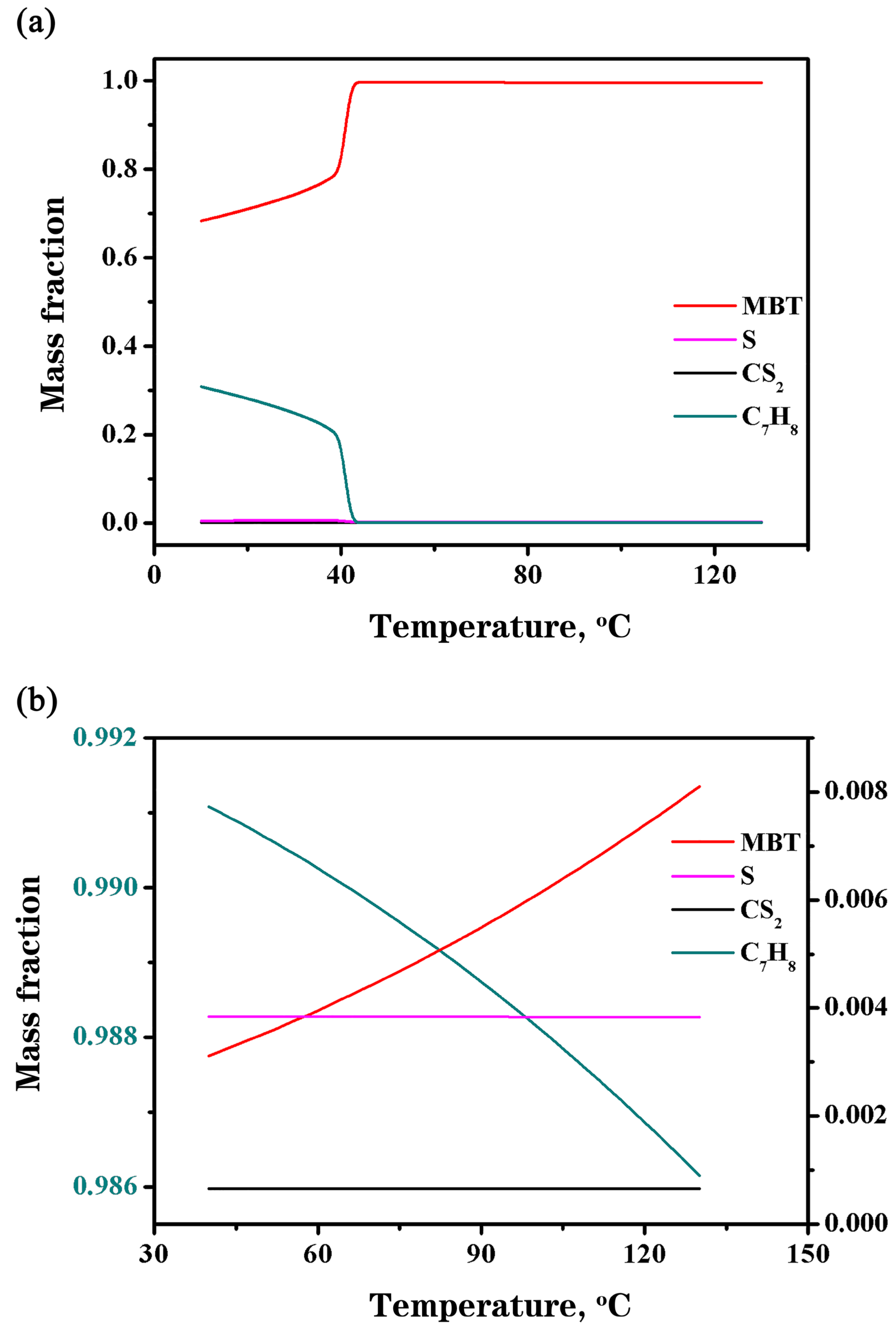
4.2.1. Influence of Pressure
Figure 4a presents clearly that CS2 and H2S display a converse change as the condenser pressure rises, as was expected. Compared to the mass fraction of CS2 (right ordinate), H2S occupies over 95% of the volume in stream 5 (left ordinate). It is worth noting that the content curve, as shown in Figure 4b, has a significant effect, as shown in Figure 4a. Below 120 kPa pressure, the mass percentage of both CS2 and H2S appears to show an upward trajectory, apart from the difference in the slope of the curve. Then, the mass percentage of CS2 declines, while the mass percentage of H2S keeps increasing. In stream 10, the mass percentage of CS2 peaks at about 70%. The physical characteristics of CS2 show that the boiling point and saturated vapor pressure are 46.2 °C and 53.32 kPa (28 °C), respectively. Thus, the gaseous state of CS2 is subjected to pressure, which readily turns it into a liquid. When CS2 almost enters into a liquid stream (10) in the condenser, some of the H2S transforms into a liquid state, and this results in the proportion of CS2 reducing as the pressure increases. The reasons for this phenomenon will not be discussed in this paper.
Figure 4.
Variation in mass fraction of CS2 and H2S in stream 5 (a) and stream 10 (b), along with variation in condenser pressure from 40 kPa to 200 kPa.
Considering the maneuverability and cost, we analyze the mass percentage of CS2 and H2S in streams 5 and 10 under 100 kPa and 120 kPa condenser pressure, respectively. The results are shown in Table 6 and further demonstrate that the separation efficiency of the condenser is not significantly different. After comprehensive consideration, a condenser pressure of 100 kPa is chosen.
Table 6.
The mass percentage of CS2 and H2S at 100 and 120 kPa in streams 5 and 10, respectively.
4.2.2. Influence of Temperature
The graph showing the calculation results demonstrates the outstanding change in regard to CS2 and H2S in stream 5 and 10 in the outlet under the influence of temperature, which is different to the effect of pressure, as shown in Figure 5. In stream 5, the variation in the mass fraction of CS2 and H2S is exactly the opposite, which is similar to the results shown in Figure 5a. Nevertheless, in the mass fraction of CS2, the inflection point occurs when the condenser temperature is at −29.2 °C, as shown in Figure 5a. When choosing a different temperature and then making a straight line parallel to the y-axis in Figure 5b for further analysis, it is clearly observed that the maximum difference value appears at the inflection point. The consequences of the results shown in Figure 5b can be explained by the dipole–dipole attraction of polar molecules. Because both H2S and CS2 are polar molecules, H2S is attracted by CS2 and fixed in stream 10, as the system temperature tends to move towards the boiling point of H2S (−60.4 °C). For convenience, the optimal separation temperature was set at −30 °C.

Figure 5.
Variation in mass fraction of CS2 and H2S in stream 5 (a) and stream 10 (b), along with variation in condenser temperature from −50 °C to 50 °C.
4.3. Extraction Model
4.3.1. Influence of Toluene Feed
As is known, a significant extraction occurs as the quantity of the extraction agent C7H8 increases. The experimental consequences suggest that MBT is more easily soluble in C7H8 than the other materials (such as S, CS2, DPTU, etc.). The “like dissolves like” rule is frequently used to argued that MBT and C7H8 belong to a polar molecule with a benzene ring. The results in Figure 6a show that the mass percentage of MBT rises gradually in stream P (left ordinate), and impurities (mainly S and CS2 analyzed; the others are ignored) are isolated from MBT with the feed amount of C7H8. The mass percentages are exactly the same, and that of the C7H8 is very high in stream 9 (left ordinate), which is presented in Figure 6b. When the ratio of C7H8 and stream 7 values is roughly 2.8, a mass percentage of MBT of about 99.5% is achieved in stream P, and the recycled fraction of C7H8 reaches about 99.0%.
Figure 6.
Variation in the mass percentage of MBT, S, CS2 and C7H8 with ratio of C7H8 and stream 7 in stream P (a) and stream 9 (b) of the extraction kettle outlet.
4.3.2. Influence of Temperature
Through our experimental study, we have demonstrated that the pressure does not play an obvious role in the extraction process. Therefore, we only analyze the influence of temperature in our work.
Compared to Figure 7a,b, when the extracting temperature is higher than 40 °C, a 99.6% mass percentage of MBT can be achieved (left ordinate), while the mass percentage of C7H8 is below 0.2% (right ordinate) in stream P. Notably, the variation in S, CS2 and MBT is moderate or considered as immovable in stream 9. The mass percentage of C7H8 (left ordinate) decreases, while the mass percentage of MBT (right ordinate) rises as temperature increases. The abovementioned trend reflects that the extraction effect is nearly fixed when the extraction temperature is higher. In conclusion, we chose an extraction temperature of 40 °C.
Figure 7.
The variation in mass percentage of MBT, S, CS2 and C7H8 with increasing temperature in stream P (a) and stream 9 (b) of the extraction kettle outlet.
5. Design of Green Synthesis Process
In summary, in this study, we provide an effective and green approach for MBT production through utilizing chemical engineering simulation technology. As can be seen in the flow block diagram of industrial MBT production shown in Figure 8, in which the parameters of the production process conditions are described, the MBT industrial process consisted of reaction, separation, and purification; the S cycle; and an auxiliary process. Through the application of the green process and the simulation results, a 10,000-ton-scale MBT industrial production process was established by Shandong Yanggu Huatai Co., Ltd. The operational result for MBT yield, at 93%, is in sharp contrast to that of the traditional process (2-chloronitrobenzene method), which achieved 84%. Meanwhile, the toxicity of raw materials and intermediates is reduced and the quantity of wastewater is notably decreased. In addition, because of this simple reaction process, plant-wide automation can be implemented. Therefore, the green process is superior to the traditional process, in terms of both security and cost.
Figure 8.
MBT production process diagram (red sections show condition parameters; black sections show raw materials and stream names).
However, the green process requires high temperature and pressure, which increase its danger, despite adopting automation. The associated hazards include reaction vessel explosion, fires and intoxication. To avoid these, we adopted a fully automated process from feeding to packaging. By implementing real-time personnel positioning, the number of on-site operators is maintained at no more than three, thereby maximizing personnel safety. For safety instrumentation, the DCS and SIS control systems enable the real-time monitoring of parameters such as temperature, pressure, liquid level, flow rate and combustible/toxic gas concentrations. In the event of abnormal conditions, alarms are triggered promptly, along with material cut-off and emergency relief operations within seconds. In case of the release of toxic and combustible steam from CS2, C6H7N and C7H8 explosions, emergency equipment stations are installed across the site, equipped with personal protective gear including heavy-duty chemical protective suits, fire-resistant clothing, self-contained breathing apparatus (SCBA), gas filter canisters and protective goggles to ensure a rapid response is possible.
6. Conclusions
The traditional MBT synthesis and purification process has been replaced by catalytic synthesis and high–low-temperature liquid–liquid extraction. For all simulation modules, we use Aspen Plus to analyze the optimal condition parameters. The results indicate that the optimal feed ratio is 6 (S): 17 (CS2): 20 (C6H7N): 90 (C7H8), and the optimal reaction, condensation and extraction temperatures and (or) pressures are 80 °C and 1 atm, −30 °C and 1 atm and 40 °C, respectively. Through practical implementation in Shandong Yanggu Huatai Co., Ltd., this process was applied to a 10,000-ton-scale MBT production plant. The simulation results had reasonable accuracy for predicting the green synthesis of MBT, and partial industrial production data is shown in Table 7.
Table 7.
Comparison of simulation results and actual parameters.
7. Discussion
The main achievement of this study lies in the application of Aspen Plus simulation software to optimize and design an industrial-scale production process for MBT, based on the high-yield, green synthesis and purification route developed in the laboratory. The simulation served as a surrogate for the conventional scale-up process, allowing for detailed exploration of key operating parameters under controlled conditions. These parameters—including production route, separation sequence, reaction conditions and product recovery—were established through theoretical analysis and validated industrial experience [1,13,23,26,27,31]. As a result, several existing issues in MBT production were successfully addressed, and the overall process was significantly improved.
Importantly, the simulation results demonstrated strong alignment with actual industrial operating conditions, reinforcing the predictive and guiding value of this work. Compared with previously reported industrial methods [13,23,26,27], the optimized process developed here adheres to modern principles of circular economy and green manufacturing. It offers advantages such as high product purity, low environmental emissions and improved operational safety. These benefits can be attributed to the improved one-step synthesis strategy and the independently developed high-/low-temperature liquid–liquid extraction technique. Furthermore, by replacing the traditional batch production method with a fully automated, continuous process, this study paves the way toward more efficient and scalable MBT production.
Nonetheless, several limitations should be noted. The simulations were performed under steady-state assumptions, which do not fully capture dynamic factors such as startup convergence and stabilization time. Additionally, while Aspen Plus offers reasonably accurate predictions, deviations may occur due to limitations in mass and heat transfer in real industrial reactors. These factors could contribute to minor discrepancies between simulated and actual performance.
Future work should aim to enhance the consistency between the simulation and actual production processes. Specifically, the optimal conditions identified from the steady-state simulations can be used as initial inputs for dynamic simulation modeling. By analyzing system stability and response over time, feedback from dynamic simulations can be iteratively integrated into the steady-state optimization loop. This closed-loop approach will enable fine-tuning of operating parameters and further bridge the gap between theoretical simulation and industrial practice.
Author Contributions
Conceptualization, Y.Z.; data curation, Y.Z.; formal analysis, Q.Z. and X.Z.; funding acquisition, Q.S.; investigation, Q.Z., X.L., R.D. and Q.S.; project administration, X.L.; resources, X.L.; software, Y.Z.; supervision, X.Z. and Q.S.; validation, X.Z.; writing—original draft, Y.Z.; writing—review and editing, X.Z. All authors have read and agreed to the published version of the manuscript.
Funding
This research received no external funding.
Data Availability Statement
Data is contained within the article.
Acknowledgments
The authors would like to sincerely thank Xiaolai Zhang for his professional guidance and insightful suggestions throughout the research and manuscript preparation. We are also grateful to Shandong Yanggu Huatai Chemical Co., Ltd. for their strong support and technical collaboration during the simulation process, pilot-scale testing and industrial implementation of the green synthesis of 2-mercaptobenzothiazole.
Conflicts of Interest
Authors Xiansuo Li, Ruiguo Dong and Qinggang Sun were employed by the company Shandong Yanggu Huatai Chemical Co., Ltd. The remaining authors declare that the research was conducted in the absence of any commercial or financial relationships that could be construed as a potential conflict of interest.
References
- Sebrell, L.B.; Boord, C.E. The preparation and properties of 1-mercapto-benzothiazole, its homologs and derivatives. J. Am. Chem. Soc. 1923, 45, 2390–2399. [Google Scholar] [CrossRef]
- López-Manchado, M.A.; Arroyo, M.; Herrero, B.; Biagiotti, J. Vulcanization kinetics of natural rubber-organoclay nanocomposites. J. Appl. Polym. Sci. 2003, 89, 1–15. [Google Scholar] [CrossRef]
- Chen, H.; Wang, C.; Hu, C.; Zhang, J.; Gao, S.; Lu, W.; Chen, L. Vulcanization accelerator enabled sulfurized carbon materials for high capacity and high stability of lithium–sulfur batteries. J. Mater. Chem. A 2015, 3, 1392–1395. [Google Scholar] [CrossRef]
- Ghosh, P.; Katare, S.; Patkar, P.; Caruthers, J.M.; Venkatasubramanian, V.; Walker, K.A. Sulfur vulcanization of natural rubber for benzothiazole accelerated formulations: From reaction mechanisms to a rational kinetic model. Rubber Chem. Technol. 2003, 76, 592–693. [Google Scholar] [CrossRef]
- Krejsa, M.R.; Koenig, J.L. A review of sulfur crosslinking fundamentals for accelerated and unaccelerated vulcanization. Rubber Chem. Technol. 1993, 66, 376–410. [Google Scholar] [CrossRef]
- Aprem, A.S.; Joseph, K.; Thomas, S. Recent developments in crosslinking of elastomers. Rubber Chem. Technol. 2005, 78, 458–488. [Google Scholar] [CrossRef]
- Ohsawa, M.; Suëtaka, W. Spectro-electrochemical studies of the corrosion inhibition of copper by mercaptobenzothiazole. Corros. Sci. 1979, 19, 709–722. [Google Scholar] [CrossRef]
- Eduok, U.; Faye, O.; Szpunar, J.; Khaled, M. CS2 mediated synthesis of corrosion-inhibiting mercaptobenzothiazole molecule for industrial zinc: Experimental studies and molecular dynamic simulations. J. Mol. Liq. 2021, 324, 115129. [Google Scholar] [CrossRef]
- Umoren, S.A.; Eduok, U.M. Application of carbohydrate polymers as corrosion inhibitors for metal substrates in different media: A review. Carbohydr. Polym. 2016, 140, 314–341. [Google Scholar] [CrossRef]
- El-Sayed, A.R.; El-Hendawy, M.M.; El-Mahdy, M.S.; Hassan, F.S.M.; Mohamed, A.E. The inhibitive action of 2-mercaptobenzothiazole on the porosity of corrosion film formed on aluminum and aluminum-titanium alloys in hydrochloric acid solution. Sci. Rep. 2023, 13, 4812. [Google Scholar] [CrossRef]
- Chiter, F.; Costa, D.; Maurice, V.; Marcus, P. DFT investigation of 2-mercaptobenzothiazole adsorption on model oxidized copper surfaces and relationship with corrosion inhibition. Appl. Surf. Sci. 2021, 537, 147802. [Google Scholar] [CrossRef]
- Wu, X.; Wiame, F.; Maurice, V.; Marcus, P. 2-Mercaptobenzothiazole corrosion inhibitor deposited at ultra-low pressure on model copper surfaces. Corros. Sci. 2020, 166, 108464. [Google Scholar] [CrossRef]
- Wu, F.L.; Hussein, W.M.; Ross, B.P.; McGeary, R.P. 2-Mercaptobenzothiazole and its derivatives: Syntheses, reactions and applications. Curr. Org. Chem. 2012, 16, 1555–1580. [Google Scholar] [CrossRef]
- Bera, B.C.; Chakrabartty, M.M. Spectrophotometric determination of selenium with 2-mercaptobenzothiazole. Analyst 1968, 93, 50–55. [Google Scholar] [CrossRef]
- Majumdar, A.K.; Chakrabartty, M.M. Spectrophotometric determination of palladium: A comparative study of 2-mercaptobenzothiazole and 2-mercaptobenzimidazole as analytical reagents. Anal. Chim. Acta 1959, 20, 379–385. [Google Scholar] [CrossRef]
- Politanskaya, L.; Duan, Z.; Bagryanskaya, I.; Eltsov, I.; Tretyakov, E.; Xi, C. Highly efficient synthesis of polyfluorinated 2-mercaptobenzothiazole derivatives. J. Fluor. Chem. 2018, 212, 130–136. [Google Scholar] [CrossRef]
- Kuznetsova, A.; Domingues, P.M.; Silva, T.; Almeida, A.; Zheludkevich, M.L.; Tedim, J.; Ferreira, M.G.S.; Cunha, A. Antimicrobial activity of 2-mercaptobenzothiazole released from environmentally friendly nanostructured layered double hydroxides. J. Appl. Microbiol. 2017, 122, 1207–1218. [Google Scholar] [CrossRef]
- Harizi, A.; Romdhane, A.; Mighri, Z. Synthesis and reactivity of benzoxa (thia) zol-2-thiones: New route to 2-alkylthiobenzoxa (thia) zoles. Tetrahedron Lett. 2000, 41, 5833–5835. [Google Scholar] [CrossRef]
- Ballabeni, M.; Ballini, R.; Bigi, F.; Maggi, R.; Parrini, M.; Predieri, G.; Sartori, G. Synthesis of Symmetrical N, N’-Disubstituted Thioureas and Heterocyclic Thiones from Amines and CS2 over a zno/Al2O3 Composite as Heterogeneous and Reusable Catalyst. J. Org. Chem. 1999, 64, 1029–1032. [Google Scholar] [CrossRef]
- Sugimoto, H.; Makino, I.; Hirai, K. Activation of dithiocarbamate by 2-halothiazolium salts. J. Org. Chem. 1988, 53, 2263–2267. [Google Scholar] [CrossRef]
- Teppema, J.; Sebrell, L.B. Researches on thiazoles. Ii. The nitration and reduction of 2-mercaptobenzothiazole and its substituted derivatives. J. Am. Chem. Soc. 1927, 49, 1779–1785. [Google Scholar] [CrossRef]
- Teppema, J.; Sebrell, L.B. Researches on mercaptothiazoles. J. Am. Chem. Soc. 1927, 49, 1748–1758. [Google Scholar] [CrossRef]
- Dunbrook, R.F.; Zimmermann, M.H. A Method for the Preparation of 2-Mercaptobenzothiazole1. J. Am. Chem. Soc. 1934, 56, 2734–2736. [Google Scholar] [CrossRef]
- Kelly, W.J. Process of Manufacturing Mercapto-Benzo-Thiazole. US Patent 1,631,871, 14 June 1927. [Google Scholar]
- Cobb, A.; Peemans, R.; Coenegrachts, P.; Nieschalk, J.; Meert, H.; De Witte, P.; Van der Steen, P.; Van der Aa, M.; Van Hecke, W.; Ceuterick, W.; et al. Acid Catalysed Process for Preparing 2-Mercaptobenzothiazole and Derivatives Thereof. WO Patent WO1997046544 A1, 11 December 1997. [Google Scholar]
- Krizanovic, K.; Svaty Jur, S.K.; Muntagova, L.; Bratislava, S.K. Method of Obtaining 2-Mercaptobenzothiazole. WO Patent WO2005/061471(A1), 7 July 2005. [Google Scholar]
- Isaacs, N.S.; Ismail, F.; Hilton, M.J.; Coulson, M. Mechanism of formation of benzothiazole-2-thiol. J. Phys. Org. Chem. 1998, 11, 1–9. [Google Scholar] [CrossRef]
- Koyama, D.; Orr-Ewing, A.J. Triplet state formation and quenching dynamics of 2-mercaptobenzothiazole in solution. Phys. Chem. Chem. Phys. 2016, 18, 26224–26235. [Google Scholar] [CrossRef] [PubMed]
- Mina, G.L.; Pennsville, N.J.; Erjavec, J.; Phillipsburg, N.J. Process For 2-Mercaptobenzothiazole. US Patent 3,975,394, 17 August 1976. [Google Scholar]
- Chipinda, I.; Hettick, J.M.; Simoyi, R.H.; Siegel, P.D. Oxidation of 2-mercaptobenzothiazole in latex gloves and its possible haptenation pathway. Chem. Res. Toxicol. 2007, 20, 1084–1092. [Google Scholar] [CrossRef] [PubMed]
- Połomka, J.; Jędrczak, A. Efficiency of waste processing in the MBT system. Waste Manag. 2019, 96, 9–14. [Google Scholar] [CrossRef]
- Umamaheswari, B.; Rajaram, R. Microaerobic degradation of 2-Mercaptobenzothiazole present in industrial wastewater. J. Hazard. Mater. 2017, 321, 773–781. [Google Scholar] [CrossRef]
- Zhao, J.; Cheng, X.; Wang, L.; Wang, J.; Song, C. Hydrogenation of tar residue derived from the synthesis of rubber vulcanization accelerator 2-mercaptobenzothiazole. Asia-Pac. J. Chem. Eng. 2017, 12, 400–405. [Google Scholar] [CrossRef]
- Juthiga, V.V.K.V.; Boddapati, S.N.M.; Balha, M.; Tamminana, R. Comprehensive review on green methods: Synthesis of benzothiazoles. Results Chem. 2025, 15, 102212. [Google Scholar] [CrossRef]
- Rai, A.K.; Singh, R.; Singh, K.N.; Singh, V. FTIR, Raman spectra and ab initio calculations of 2-mercaptobenzothiazole. Spectrochim. Acta Part A Mol. Biomol. Spectrosc. 2006, 63, 483–490. [Google Scholar] [CrossRef] [PubMed]
- Ahmadi, S.; Khormali, A. Optimization of the corrosion inhibition performance of 2-mercaptobenzothiazole for carbon steel in HCl media using response surface methodology. Fuel 2024, 357, 129783. [Google Scholar] [CrossRef]
- Hu, Y.; Wang, J.; Tan, C.K.; Sun, C.; Liu, H. Coupling detailed radiation model with process simulation in Aspen Plus: A case study on fluidized bed combustor. Appl. Energy 2018, 227, 168–179. [Google Scholar] [CrossRef]
- Wooley, R.J.; Putsche, V. Development of an ASPEN PLUS Physical Property Database for Biofuels Components; National Renewable Energy Lab (NREL): Golden, CO, USA, 1996. [Google Scholar]
- Roux, M.V.; Temprado, M.; Jimenez, P.; Foces-Foces, C.; Notario, R.; Parameswar, A.R.; Demchenko, A.V.; Chickos, J.S.; Deakyne, C.A.; Liebman, J.F. Experimental and theoretical study of the structures and enthalpies of formation of 3 H-1, 3-benzoxazole-2-thione, 3 h-1, 3-benzothiazole-2-thione, and their tautomers. J. Phys. Chem. A 2010, 114, 6336–6341. [Google Scholar] [CrossRef] [PubMed]
- Motard, R.L.; Shacham, M.; Rosen, E.M. Steady state chemical process simulation. AIChE J. 1975, 21, 417–436. [Google Scholar] [CrossRef]
Disclaimer/Publisher’s Note: The statements, opinions and data contained in all publications are solely those of the individual author(s) and contributor(s) and not of MDPI and/or the editor(s). MDPI and/or the editor(s) disclaim responsibility for any injury to people or property resulting from any ideas, methods, instructions or products referred to in the content. |
© 2025 by the authors. Licensee MDPI, Basel, Switzerland. This article is an open access article distributed under the terms and conditions of the Creative Commons Attribution (CC BY) license (https://creativecommons.org/licenses/by/4.0/).















