Abstract
This paper establishes an energy router system for green and low-carbon base stations, a −48 V DC bus multi-source parallel system including photovoltaic, wind turbine, grid power, and energy storage batteries, and studies the control strategy managing system energy distribution. Firstly, from the perspective of system physical layer design, we combine multiple power circuits to complete the design of the system’s modular power conversion circuits and linearize the power electronic converters for modeling and analyze their stability. Different control strategies are proposed for different power converters to ensure the stable operation of the system. Secondly, from the perspective of overall energy optimal control, we construct system operating states and control algorithms based on the switching strategy of the energy router between different operating states of the system and use a heuristic algorithm based on rolling optimization to achieve the optimal control of the system at the physical level. Finally, we use Simulink to simulate and verify the state switching of the multi-source system, analyze control results according to the actual typical working conditions, and conduct experiments on the overall system. Simulations demonstrate that the system can achieve smooth transitions among various modes. The results of actual experiments show that the established multi-source system can save 60.28% of energy utilization costs annually, and the bus voltage control strategy can be effectively implemented while maintaining an appropriate voltage deviation.
1. Introduction
In the era of the “Internet of Everything”, the mobile data connection has become an integral part of people’s lives [1]. As a result, the infrastructure for mobile devices has rapidly developed [2]. Based on previous statistics, the number of mobile devices accessing the Internet is predicted to grow to 18.22 billion by 2025 [3]. To ensure ubiquitous wireless coverage and communication services [4], the globe is deploying base stations (BSs) intensively, which leads to a yearly increase in the number of BSs and causes several issues, such as high carbon emissions [2], high power supply requirements [5], and high operational costs [6]. At the same time, 5G has become the mainstream of data communication deployment planning, and its equipment, compared to its predecessor, has a significant increase in power consumption for equivalent communication coverage [7], which further amplifies the trend of increased energy consumption in BSs. Under the assumption of BSs’ sustainable deployment and formation of carbon emission mechanisms [8], enhancing the BSs’ transmission and power supply systems is a key research focus in BS energy consumption control technology.
At present, the BS energy consumption control technology to be controlled by the object is divided into 2 major categories [9]: (1) by the BS device, the BS sleeping technology according to the communication volume data; (2) from the BS microgrid system, the BS energy storage (ES) equipment and new energy transmission and distribution schedule.
In the first type of research, literature [10] is a review article focusing on BS sleeping, which proposes a variety of BS shutdown strategies from different design perspectives, such as stochastic, distance-aware, load-aware, etc., and considers the joint design of the BS shutdown strategy and multiple factors such as user association, resource allocation, and physical layer interference cancellation. Literature [11] analyzes the network structure of 5G ultra-dense BSs based on the current situation and user requirements. Literature [12] introduces a power-saving hibernation strategy for cloud radio networks, optimizing active and sleeping BSs based on latency constraints in cloud and mobile devices. The above study used the BS sleeping technique to investigate the BS energy management problem, but BS sleeping affects the quality of communication services to a certain extent and ignores the interaction with the power grid.
The green low-carbon BS of “BS + distributed new energy + ES”, which is feasible for the low-carbon transformation of the BS and has high economic and low-carbon benefits [13], is a crucial trend in the future [14], and scholars have also carried out some research on green BSs. It is the basis of the second type of research. In the second type of research, literature [2] utilizes deep learning to coordinate the state of the battery in a BS system based on data from Nanchang, China. Literature [15] evaluates BS backup batteries’ dispatchable capacity across different distribution networks and communication loads, considering network interruptions and battery impacts, emphasizing communication traffic and BS energy storage modeling. Literature [16] proposes a machine learning-based resource scheduling mechanism for decentralized resource prediction, optimization, and reallocation of grid-connected green micro BS for microgrids. Literature [17] presents a set of BS capacity optimizations for new energy battery packs and batteries considering the cost of battery storage. The above research is more from the perspective of scheduling and planning to study the green BS, from the BS itself and its supporting facilities (new energy, ES): the physical layer design and control strategy of the research still needs to be further in-depth. Since there are differences in different regions, no matter the BS load or the power generation from distributed new energy battery packs [18], the physical layer design of the system should be expressed as a flexible structure to realize the requirements of the BS in different regions, and the appropriate physical layer design and control strategy are essential.
Since the entire green low-carbon BS is a low-voltage DC network system with multiple electrical ports, and it is capable of operating independently and in isolation from the AC grid, this is highly homogeneous with the concept of a microgrid-type energy router (ER). Extensive research has confirmed the effectiveness of energy routers in energy control for microgrid systems [19,20,21,22,23], so the physical layer of the green BS can be designed using the architecture and principles of ER. Literature [19] studied the mapping relationship between the abstract model of the ER and the physical layer and proposed a scheme for modular physical layer configuration; however, it has certain limitations in analyzing the operating conditions of different ports and their corresponding power converters. Literature [20] studied six types of scenarios and corresponding control strategies for ER systems with novel series-parallel architectures, but it overlooked the characteristics of the sources or loads on the port side. Literature [21,22,23] investigated the optimization of ER control and scheduling under different microgrid systems, respectively, achieving economic operation of multi-source networks through algorithms, but they did not consider the feasibility of the physical layer in practice.
In particular, the research on multiport architecture and control is as follows. Literature [24] proposed a model predictive control (MPC)-based multiple-input multiple-output (MIMO) control scheme for multiport magnetic-coupled energy routers, aiming to improve their dynamic performance and system efficiency. The system ultimately achieves safe and stable operation under all conditions. In practical applications, the system may be affected by nonlinear factors and external disturbances, which are not sufficiently considered in the current model. Literature [25] proposed a multiport partial power converter (PPC) architecture that improves energy efficiency and simplifies system design by using partial power semiconductor devices and a single transformer. However, the experimental validation mainly focused on short-term performance and did not fully verify the reliability and stability of the converter in long term operation. Literature [26] proposes a priority-based load shedding algorithm for the operation of multi-source DC networks, which effectively ensures the stability of the system’s operating conditions and improves the voltage stability of the DC-link. The above studies are inspirational for us in the study of architectural design and control algorithms for the system. For a green low-carbon BS, it is necessary not only to have an algorithm that ensures long term economic operation but also to guarantee system stability based on the characteristics and operating conditions of multiple ports in the system.
To achieve the reliable and economical operation of green low-carbon BSs, the specific work of this paper is as follows: First, we construct a wind-solar-storage integrated system on the base station’s original −48 V DC bus power supply system. We also design the associated power electronic hardware devices and corresponding control strategies. At the same time, we outline the system’s operational modes under different conditions and mode transitions and verify the feasibility and stability of mode switching through simulations, demonstrating the feasibility under certain operational scenarios through experiments. Secondly, the system adopts a rolling optimization self-heuristic algorithm to coordinate energy distribution and achieve economically optimal operation. Finally, we demonstrate that the system can effectively manage energy distribution and operation in a real experimental environment.
The main contributions of this paper are: (1) In the field of energy management of the DC bus system in the BSs, we propose a novel two-layer rolling optimization algorithm that can be implemented at the hardware layer and the underlying control logic corresponding to the power conversion circuit. The matching problem between the new energy battery pack and the ES space-time is solved to achieve the optimal control of the system. (2) A multi-port/source architecture was established for the green low-carbon BS, including PV, WT, battery, grid, and BS load. Based on the characteristics of the ports and load, common operating conditions and transitions between conditions during operation were established. Each power converter was modeled and analyzed for stability, and appropriate control strategies were proposed.
2. The ER System of Green Low-Carbon BS
This section describes the overall framework and components of the ER system of green low-carbon BS.
The system can complete the energy interaction between ES, new energy, and BS load under the premise of ensuring the safe operation of the system by tracking the information on power generation and power consumption equipment and solving the issue of controlling and scheduling new energy, ES, the power grid, and load collection and power generation in the green BSs.
3. Control Strategy
3.1. Rolling Optimization Algorithm
The system can complete the energy interaction between ES, new energy, and BS load under the premise of ensuring the safe operation of the system by tracking the information on power generation and power consumption equipment and solving the issue of controlling and scheduling new energy, ES, the power grid, and load collection and power generation in the green BSs (Figure 1).
Figure 1.
The physical level of green and low-carbon BS.
The algorithm establishes three operating modes of the system based on the three tariffs of peak, flat, and valley levelling.
Figure 2a shows the block diagram of the scrolling optimization control. w(k) is the weather information of the system; X(k + j|k) is the predicted value of the state variable; r(k) is the reference trajectory; U(k|k) is the solution objective and also the control quantity; Y(k|k) is the output variable; Y(k) is the actual output of the previous time node when arriving at the next time of rolling optimization; and ΔX(k) is the corrected value of the state variable of the previous time node.
Figure 2.
Algorithm block diagram under three modes of peak periods, valley periods, and flat periods and power converter control block diagram.
The rolling optimization algorithm, updated every 15 min, determines hourly battery charging and discharging for 24 h ahead based on forecasts. The solution guides battery charge and discharge.
1. Prediction model: (1) PV prediction model:
where Epv(k) is the PV power generation, μpv is the PV power generation correction factor, which is the conversion coefficient between irradiance and illuminance and Ipv(k) is the illuminance, which is collected by the on-site illuminance sensor. Ipvmax is the illuminance corresponding to an irradiance of 1000 W/m2 under standard test conditions; Ppvmax is the installed capacity of PV. kT is the temperature/power attenuation coefficient. Tc is the PV module’s operating temperature. T is the operating period (divided into 0.25 h, 0.5 h, 0.75 h, and 1 h); Tm is the module back surface temperature. ∆T is an empirical coefficient related to the temperature difference of the back encapsulation material. TA is the ambient temperature. Vwt is the wind speed, which is collected by the anemometer on site. T1 and T2 are empirical coefficients representing upper and lower temperature limits at varying wind speeds; b is an empirical coefficient defining the module’s temperature decrease rate relative to increasing wind speed.
(2) WT prediction model:
where Ewt is the WT power generation. μwt is the WT power generation correction coefficient, and ηwt is the WT power generation efficiency, ρair is the air density; R is the length of the WT blades; Vwt is the wind speed; Pwtmax is the maximum power generation of WT; Vwtstart is the wind speed for the start-up; Vwtmax is the maximum wind speed.
(3) BS load prediction model: Considering some factors, we establish multiple load typical forecast states.
2. System model: (1) State space:
where k is the long time scale (1 h); X(k) is the state vector of the system, which consists of the battery state of charge (SOC) Xsoc(k), PV power generation Epv(k), WT power generation Ewt(k), and power consumption of the BS load Eload(k) at unit time, and the state vector is X(k) = [Xsoc(k), Epv(k), Ewt(k), Eload(k)] T; X(k + 1) is the state vector of the system with time step k + 1; U(k) is the control vector and input vector of the system at moment k. The system consists of the battery charge/discharge quantity Usystoba(k), irradiance Ipv(k), temperature T(k), and wind speed Vwind(k), and the control vector and input vector is U(k) = [Usystoba(k) Ipv(k) T(k) Vwind(k)].T; Y(k) is the output vector of the system at moment k, which is composed of the power grid output Ygrid(k) and the output vector Y(k) = [Ygrid(k)].T; system matrix A, input matrix B, output matrix C, and passthrough matrix D. The above variables, at a short time scale of i (15 min), exist in variable space.
(2) The objective function:
where F is the output value considering the operating cost and control volume, and Cgrid(k) is the k-moment electricity price.
(3) Solve the relevant constraints as follows:
where Psystoba(k) is the battery charging and discharging power at moment k (positive for charging, negative for discharging);
Psystobamax is the maximum charging and discharging power of the battery; c is the charging current limiting factor. Ygrid(k) is the utility input power; Pgridmax is the maximum grid input power. Xsoc0 is the initial SOC of the battery; Ebamax is the installed capacity of the battery. Ppv(k) is the PV power; Pwt(k) is the WT power; Ygrid(k) is the grid power; Psystoba(k) is the battery power; Pload(k) is the load power.
3. Model solving process: For the goal of solving this paper, it adopts a heuristic algorithm, which can be effectively practiced in the actual operation of the system device. The specific solution process is shown in Figure 2b.
4. Feedback and correction: The algorithmic feedback correction is to substitute the actual values every 15 min.
3.2. Control of Power Converters
Based on dynamics analysis, linearizing the power circuit, the single power converter transfer function is shown in the following equations. In addition, this paper is based on the above model for control.
1. PV power converter:
(1) Control model:
Gpvud(s) represents the transfer function of the duty cycle of the PV power circuit to the bus voltage; Ûbus(s) is the Laplace transform of the bus voltage disturbance; (s) is the Laplace transform of the PV duty cycle disturbance; Ûpvin(s) is the Laplace transform of the PV input voltage disturbance; Upvin is the average value of the PV input voltage; Rpvout is the PV port equivalent impedance of the load.
(2) Stability: The Bode diagram of the PV power converter is shown in Figure 3. According to the Bode criterion, the system is stable with a phase margin of 60 deg.
Figure 3.
PV power converter Bode diagram.
(3) Control strategy: In the case of actual work, with the lifting of the PV power generation, it may lead to an imbalance between power generation and power consumption, which translates into a lifting of the system bus voltage and affects the safety of system operation. The multi-objective tracking strategy is proposed to solve the problem of system operation safety while maximizing the application of PV power generation resources. The control block diagram is shown in Figure 2c. In the range of bus voltage U, which is less than or equal to u1, the control strategy uses MPPT. At bus voltage Ubus exceeding u2 (u2 is equal to u1 plus ∆u*), the system uses PID control with the reference voltage u* being equal to u2. When Ubus is within the range of u1 to u2, the system maintains the previous control mode and achieves the hysteresis loop control.
2. WT power converter:
(1) Control model:
Gwtud(s) represents the transfer function of the duty cycle of the WT power circuit to the bus voltage; (s) is the Laplace transform of the WT duty cycle disturbance. Ûwtin(s) is the Laplace transform of the WT input voltage disturbance. Uwtin is the average value of the WT input voltage; Rwtout is the WT port equivalent impedance of the load; Dwt is the average value of the WT duty cycle.
(2) Stability: The WT unit does not have closed-loop control. Based solely on the analysis of poles and zeros, the system is stable at typical static operating points since all system poles have positive real parts.
(3) Control strategy: Due to the WT installed capacity of the system compared to the overall system energy interaction power being low and the system itself having a certain degree of inertia, the control of the WT power unit includes an MPPT function and the AC braking. Figure 2c is the WT power converter control block diagram.
3. Grid power converter:
(1) Control model: The control model of the forward PFC is as follows:
Gpfcud(s) represents the transfer function of the duty cycle of the grid power circuit to the bus voltage; ÎLpfc(s) is the Laplace transform of the PFC inductor current disturbance; (s) is the Laplace transform of the grid duty cycle disturbance; Ûgrid(s) is the Laplace transform of the grid voltage disturbance. Upfcout is the average value of the PFC output voltage; Rpfc is the PFC output equivalent impedance of the load; Dpfc is the average value of the PFC duty cycle.
Gpfcui(s) represents the transfer function from the inductor current to the PFC output voltage; Ûpfcout(s) is the Laplace transform of the PFC output voltage disturbance.
The LLC resonant converter adopts Pulse Frequency Modulation (PFM), and the resonant frequency is close to the switching frequency. The extended describe function (EDF) method is used to establish the model.
is the state variable of the LLC converter; Ûllc is the input variable of the LLC converter; Ŷllc is the output variable of the LLC converter; Allc is the state matrix of the LLC converter; Bllc is the input matrix of the LLC converter.
The quantities of the resonant inductor Ls include the amplitude of the cosine component of the current ILsx, the amplitude of the sine component of the current ILsy, the disturbance value of the cosine component of the current iLsx, and the disturbance value of the sine component of the current iLsy. The quantities of the magnetizing inductor Lm include the amplitude of the cosine component of the current ILmx, the amplitude of the sine component of the current ILmy, the disturbance value of the cosine component of the current iLmx, and the disturbance value of the sine component of the current iLmy. The quantities of the resonant capacitor Cs include the amplitude of the cosine component of the voltage UCsx, the amplitude of the sine component of the voltage UCsy, the disturbance value of the cosine component of the voltage ûCsx, and the disturbance value of the sine component of the voltage ûCsy. Ωs is average control frequency; Rpfc is the grid power converter output equivalent impedance of the load; ûbus is the disturbance value of the bus voltage; ûllcin is the disturbance value of the LLC converter input voltage; is the disturbance of the control frequency; k is a constant; IT1 is the amplitude of the current on the primary side of the transformer.
Gllcuf(s) represents the transfer function from the bus voltage to the input voltage; Gllcuf(s) represents the transfer function from the bus voltage to the control frequency; Ûllcin(s) is the Laplace transform of the LLC input voltage disturbance; (s) is the Laplace transform of the control frequency.
The overall transfer function of the cascaded dual closed-loop systems of the preceding PFC and the succeeding LLC is as follows:
R2(s) is the reference trajectory of the PFC output voltage; Gpi2(s) is the control of the PFC voltage loop; Gpi3(s) is the control of the PFC current loop; Kpfc is the per-unit value of the PFC input voltage; H2 is the feedback coefficient of the PFC inductor current; H3 is the feedback coefficient of the PFC output voltage; Gpfc(s) is the closed-loop transfer function from the PFC reference trajectory to the output voltage.
R3(s) is the reference trajectory of the bus voltage; Zllcin is the input impedance of the LLC converter; Gpi4(s) is the control of the LLC converter; H4 is the feedback coefficient of the LLC converter; Ggrid1(s) is the complete closed-loop transfer function from the reference trajectory of the preceding PFC to the output voltage; Ggrid1(s) is the complete closed-loop transfer function from the reference trajectory of the succeeding LLC to the bus voltage.
(2) Stability:
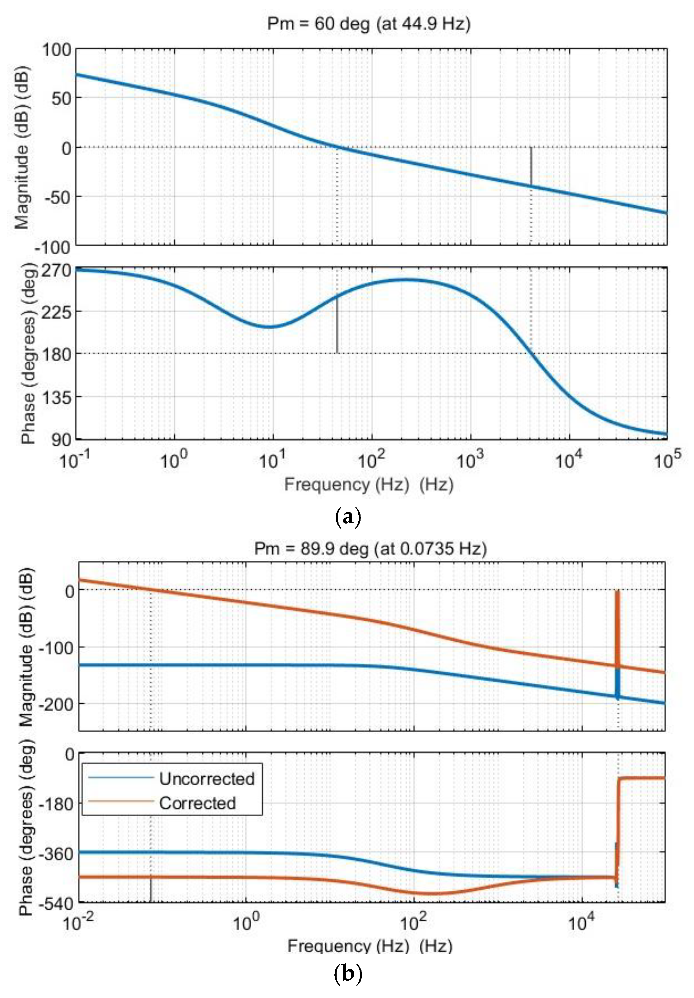
The Bode diagram of the PFC part is shown in Figure 4a. This Bode diagram includes both current loop and voltage loop double closed-loop control. According to the Bode criterion, the system is stable with a phase margin of 60 deg.
Figure 4.
Grid converter Bode diagram (a) PFC part (b) LLC part.
The Bode diagram of the LLC converter is shown in Figure 4b. According to the Bode criterion, the system is stable with a phase margin of 89.9 deg.
(3) Control strategy: The main function of the grid power module is to ensure the control of the lower limit of the bus voltage. The specific control block diagram is shown in Figure 2c. As can be seen from the figure, the control is divided into two parts. The PFC section is responsible for power factor correction. LLC resonant converter mainly achieves high-efficiency isolated conversion.
4. Battery power converter:
(1) Control model: The derivation of the battery power circuit model for the BUCK and BOOST structures is repetitive with the above content. The control model for the BUCK-BOOST structure is shown in the following equation.
GΦ2ud(s) is the transfer function from duty cycle to bus voltage in the battery power converter under BUCK-BOOST mode; DΦ2(s) is the Laplace transform of the duty cycle disturbance in the battery power converter under BUCK-BOOST mode; Ûba(s) is the Laplace transform of the battery voltage disturbance; Uba is the average value of the battery voltage; RΦ2out is the battery power converter discharging output equivalent impedance of the load.
(2) Stability: The Bode diagram of the battery power converter is shown in Figure 5. According to the Bode criterion, the system is stable with a phase margin of 90 deg.
Figure 5.
Battery power converter Bode diagram.
(3) Control strategy: The battery power module mainly achieves bi-directional power transmission, and the specific control block diagram is shown in Figure 2c.
Using constant voltage control, when the battery is in the discharge state, the battery side acts as the source side and raises the bus voltage to 53 V. The system switches between BUCK mode, BUCK-BOOST mode, and BOOST mode based on the voltage value on the battery side, with unidirectional switching. When the battery is in the charging state, the bus side acts as the source side, and the control variable is the battery side port voltage. Since the battery voltage changes with the SOC, the voltage control has multiple target values to ensure proper battery charging.
3.3. ER Operating Modes and Mode Switching
Continuing the derivation based on the multiple power converter models, the multi-port model of the system is shown in the following equation.
Based on actual operating conditions, including the relationships between bus voltage, battery SOC, and battery voltage, as well as multiple factors of electricity prices, the system generally has multiple operating modes and mode-switching processes. The operating modes and mode-switching processes are shown in Figure 6.
Figure 6.
The operating modes and mode switching.
The transformation of this multi-source system mode essentially involves the transition between several control models. This paper mainly discusses the impact of the initial values contained in the energy storage components at the moment of conversion on the system.
4. Discussion
4.1. Simulation Results
The system simulation parameters are as follows: The load power ranges from 5.2 KW to 5.6 KW, the battery capacity is 100 Ah, the installed capacity of the PV system is 8.5 KW, and the installed capacity of the WT is 0.6 KW.
The simulation results of the multi-objective tracking strategy are shown in Figure 7. At this time, the PV power unit is in MPPT mode based on the perturb and observe method. The battery is in the charging state, designated as state Φ4. When t = 2.5 s, the irradiance rises to 1000 W/m2 and the PV power unit switches to PID mode. During the mode transition, the maximum voltage reaches 54.432 V, stabilizing after 0.163 s with the bus voltage stabilized at 53 V and a voltage ripple of 682 mV. When t = 2.9 s, the irradiance drops to 900 W/m2 remaining in PID mode. At t = 3.8 s, the irradiance further drops to 800 W/m2 switching back to MPPT mode.
Figure 7.
Simulation results 1: multi-objective tracking strategy.
The simulation results from state Φ1 to state Φ2 are shown in Figure 8a. The irradiance is 200 W/m2 and the PV system, WT, and the battery are supplying power to the load. In state Φ1, the average bus voltage is 53 V, with a voltage ripple of 363 mV. At t = 3 s, the system switches to state Φ2, and after 0.457 s, the average bus voltage returns to 53 V, with a voltage ripple of 1783 mV.
Figure 8.
Simulation results 2: battery discharging (a) status Φ1 to status Φ2 (b) status Φ2 to status Φ3 (c) status Φ4 to status Φ5 (d) status Φ5 to status Φ6.
The simulation results from state Φ2 to state Φ3 are shown in Figure 8b. The irradiance is 200 W/m2 and the PV system, WT, and the battery are supplying power to the load. In state Φ2, the average bus voltage is 53 V, with a voltage ripple of 1637 mV. At t = 3 s, the system switches to state Φ3, with a peak voltage reaching a maximum of 59.203 V, and after 0.018 s, the bus voltage returns to 53 V, with a voltage ripple of 1243 mV.
The simulation results from state Φ4 to state Φ5 are shown in Figure 8c. The irradiance is 800 W/m2 with the PV system supplying power to the load and charging the battery. In state Φ4, the average bus voltage is 51 V, with a voltage ripple within 35 mV. At t = 3 s, the system switches to state Φ5, with a peak voltage reaching a maximum of 57.981 V, and after 2.135 s, the bus voltage returns to 51 V, with a voltage ripple within 48 mV.
The simulation results from state Φ5 to state Φ6 are shown in Figure 8d. The irradiance is 1000 W/m2 with the PV system supplying power to the load and charging the battery and the PV unit operating in PID mode. In state Φ5, after the PV MPPT ramp-up is completed and it enters MPPT mode, the average bus voltage is 53 V, with a voltage ripple within 574 mV. At t = 3 s, the system switches to state Φ6, with a peak voltage reaching a maximum of 54.731 V, and after 0.112 s, the bus voltage returns to 52.5 V, with a voltage ripple within 248 mV.
4.2. Experimental Platform
The experimental setup includes a PV with an 8.5 KW capacity, a WT of 0.6 KW, and a 20 KWh Li-Iron Phosphate battery. The system’s main controller uses STM32F405RGT6 microcontrollers. Data from the system’s continuous operation is gathered via the You Ren cloud platform. Figure 9a–e illustrates the experimental equipment.

Figure 9.
Experimental platform and actual operating bus voltage.
To verify the feasibility and reliability of the system’s control strategy, we conducted the following experiments. With a dummy load rated at 4 KW as the BS load and a battery current limiting factor of 0.2, we conduct simulation experiments. Figure 9f–i shows operating bus voltages. The system mode is switched by changing the system time setting.
Figure 9f shows that the system changes from mode 1 valley time to mode 2 peak time, and the control action of the system is to change the battery from a charging state to a discharging state, i.e., the output voltage of the battery side to the bus side is pulled up. The figure shows that the bus voltage rises from 51 V to 53 V, and the system can achieve smooth switching and maintain stability during the mode change; Figure 9g indicates that the system switches from the peak period of mode 2 to the flat period of mode 3, and the control action of the system is the change of the battery from the discharged state to the charging state, and the same can be stable to switch modes. For the switching from mode 3 to mode 2 and from mode 2 to mode 1, control actions for the battery-side to bus-side voltage are the same as the above 2 types of mode switching in terms of the hardware level implementation of the power electronics. The bus voltage is the same as in Figure 9h and Figure 9i, respectively. Figure 9h shows the simulation of the PV output lifting the system voltage, the bus voltage has been lifted to 55 V by the PV output, and the following system voltage can be 53 V stably. Figure 9i shows the ripple of the DC bus voltage with an average ripple of 48.07 mV. The peak voltage is less than 56 V under all the above operating conditions, which is within the safe operating range of the system.
To sum up the comparison, the experimental results match the expected results. The experiment shows that the control strategy of three modes and the mode switching proposed in this paper is effective, and the system has excellent stability.
4.3. Experimental Analysis of Daily Operation Results
The results and analyses of the continuous operation of the system are as follows. The BS is located in an industrial park, and BS load power has a high correlation with whether the day is a working day, so this paper considers a variety of factors and selects four typical days for analysis.
Typical day information is as follows. Typical day 1: the weather state is sunny, the day is a workday, and the initial battery SOC is 32.5%. Typical day 2: the weather state is sunny, the day is a non-workday, and the initial battery SOC is 15%. Typical day 3: the weather state is cloudy, the day is a workday, and the initial battery SOC is 17.4%. Typical day 4: the weather state is cloudy to drizzly, the day is a non-workday, and the initial battery SOC is 29.8%.
1. Results of the day-ahead forecast:
Figure 10a (1–4) corresponds to the day-ahead forecasts for 4 typical days.
Figure 10.
Results of rolling optimization operation.
Typical Day 1: PV output and valley time charging meet the day-long electricity needs of the base station system. At 8:00 a.m., the battery’s average SOC reaches 82.1%. During the flat electricity period, there is no grid supply, and the PV output supplies the load and charges the battery until 16:00, after which the battery discharges to supply the load. The maximum average SOC during this period is 83.8%, ending the day at 16.7%.
Typical Day 2: At 8:00 a.m., the battery reaches an average SOC of 92.6%. During the flat electricity period, there is no grid supply, with the maximum battery SOC reaching 94.5%. Starting at 15:00, the battery discharges to supply the load, ending the day at 15% SOC.
Typical Day 3: At 8:00 a.m., the battery’s average SOC is 91%. From 12:00 during the flat electricity period, both PV and the grid supply the base station loads and charge the battery. The maximum SOC reaches 85.6%. After 16:00, the grid stops supplying power, and the batteries discharge to supply the load, ending the day with an SOC of 15.2%.
Typical Day 4: At 8:00 a.m., the battery is charged to an SOC of 91%. During the flat electricity period, the grid supplies power for the base station loads and battery charging. The battery reaches an SOC of 77.9% by the end of this period, finishing the day at 16.5% SOC.
2. Intraday rolling optimization results:
Figure 10b shows the new energy output, grid output, and load consumption after intraday rolling optimization results, and Figure 10c shows the rolling optimization for a day from the beginning of the previous day at 23:00 to the end of the next day at 23:00 for the control of battery charging and discharging, and battery charging and discharging energy and the battery SOC.
Intraday optimization results are summarized as follows:
Typical Day 1: Actual PV output and valley charging met the day’s BS load. The battery reached 82.7% SOC by 8:00 a.m., with no grid supply during the flat period. PV supplied loads and charged batteries until 16:00, then batteries discharged, ending the day at 17.3% SOC.
Typical Day 2: Battery charged to 91% SOC by 8:00 a.m. No grid supply during the flat period; batteries discharged from 15:00, ending the day at 14.8% SOC.
Typical Day 3: Battery at 91% SOC by 8:00 a.m. Grid and PV supplied loads and battery during the flat period; batteries discharged post-peak, ending the day at 30.3% SOC.
Typical Day 4: Battery reached 91% SOC by 8:00 a.m. Grid-supplied loads and charging during the flat period; batteries discharged post-peak, ending the day at 29.5% SOC.
From the above, it is clear that the system control scheme can effectively implement resource regulation between PV, WT, and ES, utilizing new energy output for charging based on forecasts, controlling the amount of battery charging during off-peak times, and mitigating deep battery discharge.
3. Analysis of results:
(1) Economy: During the above optimization operation, there was no abandonment of solar and wind. Under the traditional peak and valley operation, there is the phenomenon of abandoning light and wind after the battery SOC is too high, which further increases the system operation cost. Then, from the perspective of long term operation, the system control strategy and algorithms effectively slow down the phenomenon of deep discharge and extend the service life of the battery.
The annual operating energy cost of a single BS without building a green low-carbon BS is $17,262.18. The cost of building the green and low-carbon BS system was $43,623.50. Based on the probability density distribution of a typical day, the predicted rolling optimized annual power purchase for a single BS is 16.291 MWh, with a power purchase cost of ¥6855.92. Compared to framing the system, the single green low-carbon BS saves $10,406.26 per year in energy costs, which can save 60.28% of energy consumption costs annually. This can form effective price incentive benefits [27].
(2) Analysis of annual carbon emissions: This paper uses the grid average carbon emission factor method to calculate the annual carbon emissions. The annual carbon emission of the BS without constructing the green low-carbon BS system is calculated to be 12.8586 t. The annual carbon emission with the green low-carbon BS system and the rolling optimization is 8.9208 t, which can reduce the carbon emission by 0.1585 t compared with the traditional peak-to-valley operation.
(3) Power grid peaking friendliness: The operation results are based on the indicators of load friendliness evaluation, and the negative BS loads are evaluated for friendliness [28]. The system has been optimized on a rolling basis, which helps the system to have friendly energy interactions with the grid.
(4) Comparison of Methods: The comparison between the solution method used in this paper and other heuristic algorithms shows in Figure 11. It shows that the proposed method converges faster at the beginning of the iteration. It meets the accuracy range by the 7th iteration, while other heuristic algorithms require up to the 9th iteration to achieve the same accuracy. This demonstrates that the proposed method has a faster convergence speed and is able to meet the accuracy requirements.
Figure 11.
Convergence rate comparison.
5. Conclusions
In order to achieve the reliable operation of the multi-source network for the green low-carbon BS, with a −48 V DC bus, and the economic optimization of the energy management system, this paper constructs a physical-layer system with various power electronic converters in parallel. On this basis, a two-layer rolling optimization strategy is applied. Via simulations and experiments, the following results were obtained:
(1) For power electronics at the physical layer, Simulink simulations show that the multi-source network can reliably control and switch between various states while maintaining the bus voltage within the allowable range. According to the experimental results, combined with the actual peak-valley-flat leveling tariff difference and the new energy output state, the system in the three modes and mode switching can be stable; the average ripple is 48.07 mV, and the maximum voltage is also less than 56 V.
(2) In the long term allowable results of the experimental BS, based on the probability distribution of a typical day, the method proposed in this paper can save 60.28% of energy consumption costs annually compared to system construction. Compared to the peak-valley operation strategy, the rolling optimization strategy proposed in this paper can save 60.28% of energy consumption costs, achieve optimal system control, and reduce carbon emissions by 8.9208 tons annually.
6. Future Scope
The study’s future directions include: (1) Examining the routing theory of a system using an energy router and assessing the feasibility and economics of a multi-bus system setup; (2) Considering the uncertainty of wind, solar, and load, a deeper discussion on the prediction models and optimization algorithms is needed; (3) Expanding the current focus from a single base station to a multi-base station area and considering the strong coupling between energy and communication to study the energy exchange and DC interaction system of a base station group for more comprehensive analysis.
Author Contributions
Conceptualization, G.S. and T.L.; Methodology, Z.W. and Y.W. (Yuhui Wang); Validation, Q.W.; Formal analysis, Y.W. (Yanjia Wang); Writing—original draft, Z.W. All authors have read and agreed to the published version of the manuscript.
Funding
This research received no external funding.
Data Availability Statement
Data available on request due to restrictions on privacy.
Conflicts of Interest
Authors Tong Liu, Zongping Wang, Yuhui Wang and Qi Wang were employed by the company China Telecom Corporation Limited Anhui Branch. The remaining authors declare that the research was conducted in the absence of any commercial or financial relationships that could be construed as a potential conflict of interest. The China Telecom Corporation Limited Anhui Branch provided research data.
References
- Sun, S.; Tang, C.; Xie, D.; Hailati, G.; Gu, C.; Zhang, Y.; Wang, X. Passivity-Based Stability Analysis of DC Microgrids Using Physically Decoupled Model. IEEE Trans. Power Syst. 2023, 39, 5645–5658. [Google Scholar] [CrossRef]
- Li, T.; Yu, L.; Ma, Y.; Duan, T.; Huang, W.; Zhou, Y.; Jin, D.; Li, Y.; Jiang, T. Carbon emissions of 5G mobile networks in China. Nat. Sustain. 2023, 6, 1620–1631. [Google Scholar] [CrossRef]
- Sun, S.; Tang, C.; Xie, D.; Gulizhati, H.; Gu, C.; Zhang, Y.; Wang, X. Nonlinear Modeling of Grid-connected DC Microgrid and Optimization of Estimated Region of Attraction. Zhongguo Dianji Gongcheng Xuebao = Chin. Soc. Electr. Eng. 2024, 44, 517–534. [Google Scholar]
- Ahuja, K.; Khosla, A. A novel framework for data acquisition and ubiquitous communication provisioning in smart citie. Future Gener. Comput. Syst. 2019, 101, 785–803. [Google Scholar] [CrossRef]
- Abdulqadder, I.H.; Zou, D.; Aziz, I.T. The DAG blockchain: A secure edge assisted honeypot for attack detection and multi-controller based load balancing in SDN 5G. Future Gener. Comput. Syst. 2023, 141, 339–354, ISSN 0167-739X. [Google Scholar] [CrossRef]
- Tong, J.; Liu, W.; Mao, J.; Ying, M. Role and Development of Thermal Power Units in New Power Systems. IEEE J. Radio Freq. Identif. 2022, 6, 837–841. [Google Scholar] [CrossRef]
- Piovesan, N.; López-Pérez, D.; De Domenico, A.; Geng, X.; Bao, H.; Debbah, M. Machine Learning and Analytical Power Consumption Models for 5G BSs. IEEE Commun. Mag. 2022, 60, 56–62. [Google Scholar] [CrossRef]
- Sepehriar, A.; Eslamipoor, R. An economical single-vendor single-buyer framework for carbon emission policies. J. Bus. Econ. 2024, 1–19. [Google Scholar] [CrossRef]
- Han, S.; Bian, S. Energy-efficient 5G for a greener future. Nat. Electron. 2020, 3, 182–184. [Google Scholar]
- Shinkuma, R.; Kishi, N.; Ota, K.; Dong, M.; Sato, T.; Oki, E. Smarter BS Sleeping for Greener Cellular Networks. IEEE Netw. 2021, 35, 98–103. [Google Scholar] [CrossRef]
- Han, F.; Zhao, S.; Zhang, L.; Wu, J. Survey of Strategies for Switching Off BSs in Heterogeneous Networks for Greener 5G Systems. IEEE Access 2016, 4, 4959–4973. [Google Scholar] [CrossRef]
- Chang, K.C.; Chu, K.C.; Wang, H.C.; Lin, Y.C.; Pan, J.S. Energy Saving Technology of 5G BS Based on Internet of Things Collaborative Control. IEEE Access 2020, 8, 32935–32946. [Google Scholar] [CrossRef]
- Alnoman, A.; Anpalagan, A. Computing-Aware BS Sleeping Mechanism in H-CRAN-Cloud-Edge Networks. IEEE Trans. Cloud Comput. 2021, 9, 958–967. [Google Scholar] [CrossRef]
- Garroussi, Z.; Badirou, A.W.; D’Amours, M.; Girard, A.; Sansò, B. On the Economic Viability of Solar Energy When Upgrading Cellular Networks. IEEE Trans. Green Commun. Netw. 2023, 7, 744–758. [Google Scholar] [CrossRef]
- Marsan, M.; Bucalo, G.; Di Caro, A.; Meo, M.; Zhang, Y. Towards zero grid electricity networking: Powering BSs with renewable energy sources. In Proceedings of the 2013 IEEE International Conference on Communications Workshops (ICC), Budapest, Hungary, 9–13 June 2013; pp. 596–601. [Google Scholar] [CrossRef]
- Yong, P.; Zhang, N.; Hou, Q.; Liu, Y.; Teng, F.; Ci, S.; Kang, C. Evaluating the Dispatchable Capacity of BS Backup Batteries in Distribution Networks. IEEE Trans. Smart Grid 2021, 12, 3966–3979. [Google Scholar] [CrossRef]
- Gorla, P.; Saif, M.; Chamola, V.; Sikdar, B.; Guizani, M. Decentralized Renewable Resource Redistribution and Optimization for Beyond 5G Small Cell BSs: A Machine Learning Approach. IEEE Syst. J. 2023, 17, 988–999. [Google Scholar] [CrossRef]
- Dragičević, T.; Pandžić, H.; Škrlec, D.; Kuzle, I.; Guerrero, J.M.; Kirschen, D.S. Capacity Optimization of Renewable Energy Sources and Battery Storage in an Autonomous Telecommunication Facility. IEEE Trans. Sustain. Energy 2014, 5, 1367–1378. [Google Scholar] [CrossRef]
- Miranda, C.R.; de Campos, F.P.; Ribeiro, M.V. Energy reliability in macro BSs: A feasible solution based on a type-1 Mamdani fuzzy system. Electr. Power Syst. Res. 2021, 195, 107126, ISSN 0378-7796. [Google Scholar] [CrossRef]
- Pan, M.; Xie, D.; Wang, C.; Ju, P.; Gu, C. Optimal Design and Configuration Strategy for the Physical Layer of Energy Router Based on the Complex Network Theory. IEEE Trans. Smart Grid 2023, 14, 3512–3522. [Google Scholar] [CrossRef]
- Zhao, X.; Liu, Y.; Chai, X.; Guo, X.; Wang, X.; Zhang, C.; Wei, T.; Shi, C.; Jia, D. Multimode Operation Mechanism Analysis and Power Flow Flexible Control of a New Type of Electric Energy Router for Low-Voltage Distribution Network. IEEE Trans. Smart Grid 2022, 13, 3594–3606. [Google Scholar] [CrossRef]
- Li, P.; Sheng, W.; Duan, Q.; Li, Z.; Zhu, C.; Zhang, X. A Lyapunov Optimization-Based Energy Management Strategy for Energy Hub With Energy Router. IEEE Trans. Smart Grid 2020, 11, 4860–4870. [Google Scholar] [CrossRef]
- Wang, C.; Xie, D.; Gu, C. Physical Layer Model and Configuration Strategy of Energy Router Based on the Complex Network Theory. Zhongguo Dianji Gongcheng Xuebao = Chin. Soc. Electr. Eng. 2023, 43, 2666–2676. [Google Scholar]
- Qin, H.; Liu, C.; Shi, Y.; Liu, M.; Ma, C. Prediction-Based MIMO Control of a Multiport Magnetic-Coupled Energy Router. IEEE Trans. Power Electron. 2024, 39, 6409–6420. [Google Scholar] [CrossRef]
- Kwon, Y.D.; Freijedo, F.D.; Wijekoon, T.; Liserre, M. A Multiport Partial Power Converter for Smart Home Applications. IEEE Trans. Power Electron. 2024, 39, 8824–8833. [Google Scholar] [CrossRef]
- Senapati, M.K.; Pradhan, C.; Samantaray, S.R.; Nayak, P.K. Improved power management control strategy for renewable energy-based DC micro-grid with energy storage integration. IET Gener. Transm. Distrib. 2019, 13, 838–849. [Google Scholar] [CrossRef]
- Eslamipoor, R.; Sepehriar, A. Enhancing supply chain relationships in the circular economy: Strategies for a green centralized supply chain with deteriorating products. J. Environ. Manag. 2024, 367, 121738. [Google Scholar] [CrossRef]
- Wang, Z.; Sun, M.; Gao, C.; Wang, X.; Ampimah, B.C. A new interactive real-time pricing mechanism of demand response based on an evaluation model. Appl. Energy 2021, 295, 117052, ISSN 0306-2619. [Google Scholar] [CrossRef]
Disclaimer/Publisher’s Note: The statements, opinions and data contained in all publications are solely those of the individual author(s) and contributor(s) and not of MDPI and/or the editor(s). MDPI and/or the editor(s) disclaim responsibility for any injury to people or property resulting from any ideas, methods, instructions or products referred to in the content. |
© 2025 by the authors. Licensee MDPI, Basel, Switzerland. This article is an open access article distributed under the terms and conditions of the Creative Commons Attribution (CC BY) license (https://creativecommons.org/licenses/by/4.0/).











