Study on Temperature Cascade ELM Inversion Method for 110 kV Single-Core Cable Intermediate Joints
Abstract
1. Introduction
1.1. Simulation Model of Intermediate Joint
1.2. Temperature Field Boundary
1.3. Heat Source Loading
2. Feature Point Selection Based on NCA Algorithm
3. ELM Cascade Inversion Model
3.1. ELM Algorithm
3.2. Structure of Cascade Inversion Model
4. Experimental Results and Analysis
4.1. Experimental Flow
4.2. Results of NCA Selection of Feature Points
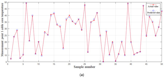
4.3. Analysis of Cascade Inversion Model Results
5. Conclusions
Author Contributions
Funding
Data Availability Statement
Conflicts of Interest
Abbreviations
| ELM | Extreme learning machine |
| NCA | Neighbor component analysis |
| R2 | Goodness of fit |
| Se | Sensitivity coefficient |
| MSE | Mean squared error |
References
- Liu, C.; Ruan, J.; Huang, D.; Zhan, Q.; Xiao, W.; Tang, K. Hot Spot Temperature of Cable Joint Considering Contact Resistance. High Volt. Eng. 2016, 42, 3634–3640. [Google Scholar] [CrossRef]
- Wang, Y.; Li, Z.; Yang, P.; Liu, W. Calculation of Conductor Temperature and Ampacity of Directly Buried Cable Based on Electromagnetic Thermal Multi Field Coupling. Acta Metrol. Sin. 2022, 43, 877–884. [Google Scholar]
- IEC 60853: 2008; Calculation of the Cycle and Emergency Current Rating of Cables. IEC: Geneva, Switzerland, 2008.
- Liang, Y.; Wang, J. Transient Temperature Rise Calculation of Buried Power Cable Based on Thermal Circuit Model and Transient Adjoint Model. High Volt. Eng. 2022, 48, 3517–3525. [Google Scholar] [CrossRef]
- Gao, Y.; Tan, T.; Ruan, J.; Gao, J.; Liu, K. Research on Temperature Retrieval and Fault Diagnosis of Cable Joint. High Volt. Eng. 2016, 42, 535–542. [Google Scholar]
- Bates, C.; Malmedal, K.; Cain, D. Cable ampacity calculations: A comparison of methods. IEEE Trans. Indus-Try Appl. 2016, 52, 112–118. [Google Scholar] [CrossRef]
- Tang, K.; Wen, W.; Ruan, J.; Zhan, Q.; Xiao, W.; Tang, K. Temperature field simulation of single core cable based on FEM. Eng. J. Wuhan Univ. (Eng. Ed.) 2018, 51, 811–816. [Google Scholar] [CrossRef]
- Pu, L.; Duan, W.; Sun, J.; Zhao, X.; Xiong, L. Core Temperature Calculation of Single-Core Cable Joints Based on FEM. Power Syst. Clean Energy 2021, 37, 57–63. [Google Scholar]
- Zhao, X.; Hao, Y.; Huang, G.; Duan, W.; Sun, H.; Li, J.; Chen, X.; Deng, J. Calculation on Steady-state Current Carrying Capacity of Intermediate Joint of Direct Buried Cable Based on the Finite Element Simulation. High Volt. Eng. 2022, 58, 64–70+85. [Google Scholar] [CrossRef]
- IEC 60853; Calculation of the Cyclic and Emergency Current Rating of Cable—Part 2: Cyclic Rating of Cables Greater Than 18/30(36) kV and Emergency Ratings of Cables of All Voltages. IEC: Geneva, Switzerland, 1989.
- Zeng, T.; Guo, Y.; Chen, Y.; Wu, Z.; Chen, Y.; Liu, G. Effect of Filling Materials and Pipe Diameter on Cable Conductor Temperature in Pipe-laying Lines. Guangdong Electr. Power 2022, 35, 130–137. [Google Scholar]
- Lin, Z.; Zhou, H.; Niu, L.; Fu, X.; Liu, Y.; Sun, Q. Thermal-fluid coupling analysis of ultra-high voltage cables laid in tunnel. Electr. Power Eng. Technol. 2022, 41, 216–223. [Google Scholar]
- Zhang, Y.; Guo, Z.; Wang, Z.; Huang, X. Calculation and Experimental Verification of Cable Support’s Temperature Rise Based on Electromagnetic-fluid-thermal Fields. High Volt. Appar. 2019, 55, 143–148+156. [Google Scholar] [CrossRef]
- Liu, G.; Wang, P.; Mao, J.; Liu, L.; Liu, Y. Simulation Calculation of Temperature Field Distribution in High Voltage Cable Joints. High Volt. Eng. 2018, 44, 3688–3698. [Google Scholar] [CrossRef]
- Lin, Y.; Hu, Y.; Li, Q.; Zhang, A. Analysis of submarine cable temperature field and ampacity model in complex environment. J. Electron. Meas. Instrum. 2021, 35, 39–46. [Google Scholar] [CrossRef]
- Cui, R.; Xiao, P.; Wu, G.; Li, J.; Du, Z.; Hao, Z. Study on Current-carrying Improvement of J-tubes Section of ±250 kV DC Submarine Cable. High Volt. Appar. 2022, 58, 61–69. [Google Scholar] [CrossRef]
- Tang, K.; Ruan, J.; Tang, L.; Zhan, Q.; Liu, Y. Temperature Field Calculation of Three Core Cable Joint. High Volt. Eng. 2019, 45, 3571–3578. [Google Scholar]
- Jiang, Y.; Fang, Y.; Zhao, W.; Yang, Y.; Liu, X.; Li, X. Research on defect detection method of power cable based on inverse problem of temperature field. Adv. Technol. Electr. Eng. Energy 2022, 41, 81–88. [Google Scholar]
- Qin, C.; Li, B.; Li, G.; Yang, X.; Li, C. Numerical Calculation of Temperature Field of 220 kV Three-Core Submarine Cable Based on Finite Element Method. J. Northeast. Electr. Power Univ. 2019, 39, 5–10. [Google Scholar] [CrossRef]
- Chen, X.; Wang, Q.; Yu, J.; Yao, G. Simulation Research on DC Ampacity of 10 kV AC XLPE Cable under Different DC Operation Topologies and Laying Modes. High Volt. 2021, 47, 4044–4054. [Google Scholar]
- Wang, Q.; Wang, G.; Chen, X.; Yu, J. Thermo-electric Coupling Simulation Analysis for 10 kV AC XLPE Cable Changed to Tripole DC Operation under Different Laying Modes. Electr. Eng. 2022, 57, 46–54. [Google Scholar] [CrossRef]
- Niu, H.; Zheng, W.; Lei, C.; Ye, K.; Wang, Y.; Lu, G. Estimation Method for Thermal Parameters of Soil Around the Cable Based on Finite Element and Particle Swarm Optimization. High Volt. Eng. 2018, 44, 1557–1563. [Google Scholar] [CrossRef]
- Jiang, T.; Cheng, S.; Bi, M.; Chen, X.; Liu, X.; Zhang, B. Electrical-Thermal Simulation of Typical Insulation Defects in Cable Joints Based on ANSYS. J. Chongqing Univ. Technol. (Nat. Sci.) 2019, 33, 151–158. [Google Scholar]
- Zhao, L.; Zhou, D.; Wang, Z. DC transformation of 10 kV three core AC cable under different laying conditions. Electr. Power Eng. Technol. 2022, 41, 143–149. [Google Scholar]
- Zhao, L.; Zhou, D.; Yan, Z.; Li, H.; Ren, J.; Wang, Z. Study on the Thermal-Electric Couple Simulation of DC Transformation for 10 kV AC Three-Core Cable Joint. South. Power Syst. Technol. 2021, 15, 105–112. [Google Scholar] [CrossRef]
- Hao, Y.; Li, J.; Chen, X.; Deng, J.; Zhao, X.; Duan, W. Calculation of Steady-State Current Carrying Capacity of Intermediate Joint of Direct Buried DC Cable. Wire Cable 2020, 63, 30–34. [Google Scholar] [CrossRef]












| Material | Structure | Density/ (kg/m3) | Thermal Conductivity/ (W/m·K) |
|---|---|---|---|
| Copper | Conductor, insulation shield, copper tape, copper mesh, contact resistance | 8900 | 401 |
| Cross-linked polyethylene | Insulation | 920 | 0.4 |
| Semi-conducting water tape | Water barrier | 1150 | 0.23 |
| Polyethylene | Outer sheath | 920 | 0.3 |
| Prefabricated silicone rubber | Joint insulation | 1100 | 0.27 |
| Fiberglass-reinforced plastic | Fiberglass-reinforced plastic shell | 1850 | 0.4 |
| Polyurethane waterproof adhesive | Sealant | 1200 | 0.357 |
| Models | MSE | R2 |
|---|---|---|
| Radial Inversion Model 1 | 0.22933 | 0.99872 |
| Radial Inversion Model 2 | 0.42671 | 0.9974 |
| Axial Inversion Model | 4.7898 | 0.99319 |
| Methodology | MSE | R2 |
|---|---|---|
| Direct Inversion | 0.22933 | 0.99872 |
| Cascade inversion | 6.9502 | 0.98963 |
Disclaimer/Publisher’s Note: The statements, opinions and data contained in all publications are solely those of the individual author(s) and contributor(s) and not of MDPI and/or the editor(s). MDPI and/or the editor(s) disclaim responsibility for any injury to people or property resulting from any ideas, methods, instructions or products referred to in the content. |
© 2024 by the authors. Licensee MDPI, Basel, Switzerland. This article is an open access article distributed under the terms and conditions of the Creative Commons Attribution (CC BY) license (https://creativecommons.org/licenses/by/4.0/).
Share and Cite
Li, X.; Feng, B.; Wang, Z.; Ruan, J.; Xiao, C. Study on Temperature Cascade ELM Inversion Method for 110 kV Single-Core Cable Intermediate Joints. Processes 2024, 12, 966. https://doi.org/10.3390/pr12050966
Li X, Feng B, Wang Z, Ruan J, Xiao C. Study on Temperature Cascade ELM Inversion Method for 110 kV Single-Core Cable Intermediate Joints. Processes. 2024; 12(5):966. https://doi.org/10.3390/pr12050966
Chicago/Turabian StyleLi, Xinhai, Bao Feng, Zhengang Wang, Jiangjun Ruan, and Chang Xiao. 2024. "Study on Temperature Cascade ELM Inversion Method for 110 kV Single-Core Cable Intermediate Joints" Processes 12, no. 5: 966. https://doi.org/10.3390/pr12050966
APA StyleLi, X., Feng, B., Wang, Z., Ruan, J., & Xiao, C. (2024). Study on Temperature Cascade ELM Inversion Method for 110 kV Single-Core Cable Intermediate Joints. Processes, 12(5), 966. https://doi.org/10.3390/pr12050966
