Abstract
A first-order kinetic model for the simultaneous anaerobic–aerobic degradation of municipal solid waste (MSW) is presented in the study. The model incorporates the effect of oxygen concentration on anaerobic degradation, enabling the coexistence of anaerobic and aerobic processes within specific oxygen ranges. The model can thoroughly consider the impacts of temperature, moisture content, oxygen concentration, and free air space (FAS) on the degradation rates of five substrates, i.e., holocellulose, non-cellulosic sugars, proteins, lipids, and lignin. The model was successfully verified against two experimental results. The sequential model underestimates both compression strain and degradation ratio, with peak underestimation ratios of 8.7% and 9.2%, respectively. Using the simultaneous model, the effects of anaerobic age, temperature, and aeration rate on landfill aerobic remediation efficacy are quantitatively assessed. Two evaluation criteria, namely the advance rate of aerobic remediation stabilization time (Rt) and the degradation rate after 100 days of aerobic remediation (), are adopted. The results indicate the following: (1) Rt is more sensitive to anaerobic age and temperature, while is more affected by anaerobic age and aeration rate; (2) under optimal conditions, Rt and can reach 86.3% and 70.9%, respectively. The present model provides a crucial theoretical framework for evaluating aerobic remediation effectiveness in both anaerobic sanitary landfills and informal landfills, offering valuable insights for practical implementation and management.
1. Introduction
Landfilling is a common method for managing municipal solid waste (MSW) [1,2,3]. However, due to insufficient funding and suboptimal design, numerous informal landfill sites suffer from inadequate bottom lining and top cover systems [4,5,6]. In China, over 27,000 such sites contribute to soil, water, and air pollution through leachate and landfill gas emissions [7]. Additionally, China’s 6900 active MSW sanitary landfills, primarily anaerobic and in or approaching the stable methane production phase, occupy land for extended periods and pose contamination risks to surrounding areas [8]. Aerobic remediation technology, with its potential to accelerate MSW stabilization, offers a promising solution to the aforementioned issues. However, a lack of understanding of degradation mechanisms and theoretical guidance has led to engineering failures, e.g., leaks, fires, and even explosions [9,10,11]. Therefore, developing a robust MSW degradation model is crucial for elucidating degradation behavior during aerobic remediation, ensuring the safe and effective application of aerobic remediation technology in landfill management.
Extensive theoretical studies on municipal solid waste (MSW) degradation exist, differing mainly in reaction types, substrates, and factors affecting reaction rates (see Table 1). For aerobic remediation, MSW degradation typically involves an initial anaerobic phase followed by an aerobic phase, with methane produced during the anaerobic phase undergoing oxidation in the aerobic phase. Thus, a model incorporating anaerobic degradation, aerobic degradation, and methane oxidation is essential for accurately describing the aerobic remediation process. Degradation substrates react at different rates and are generally classified into holocellulose, non-cellulosic sugars, lipids, proteins, and lignin [12,13,14]. Few models consider all five substrates [11]. Reaction rates are typically calculated using first-order kinetic models, Monod models, or empirical models. The first-order kinetic model is favored for its simplicity, broad applicability, and reliability [13]. These rates are influenced by environmental conditions, requiring correction functions for temperature, moisture content, and oxygen volume fraction [15,16,17]. Liquid saturation, which inhibits oxygen transport, necessitates the inclusion of a free air space (FAS) correction function in many models [15,18,19]. In summary, an effective aerobic degradation model should consider the effects of temperature, moisture content, oxygen volume, and FAS on first-order reaction rates and simulate the anaerobic degradation, aerobic degradation, and methane oxidation of holocellulose, non-cellulosic sugars, lipids, proteins, and lignin.
Most models for aerobic remediation of landfills use an anaerobic–aerobic degradation sequence, assuming anaerobic microorganisms cease activity in the presence of oxygen while aerobic ones become active at 1–3% oxygen volume fractions [20,21,22,23]. Typically, these models set a threshold, such as 100 Pa (about 1% oxygen) [24,25,26]. However, Yazdani et al. [27] found anaerobic degradation persists even above 15% oxygen. Charles et al. [28] also observed no decrease in methane production above 1% oxygen. These findings suggest that both aerobic and anaerobic degradation can occur simultaneously under specific oxygen conditions. Current models, which assume that MSW undergoes either aerobic or anaerobic reactions in the same space–time, fail to account for this co-occurrence. Thus, developing a model that considers this coexistence is crucial for accurately describing and studying landfill aerobic remediation.
The aim of this paper is to present a novel first-order kinetic model of simultaneous anaerobic–aerobic degradation for landfill aerobic remediation, accounting for the effects of oxygen concentration, temperature, moisture, and free air space (FAS) on the degradation rates of holocellulose, non-cellulosic sugars, proteins, lipids, and lignin. Model validity is assessed by comparing simulations with two aerobic–anaerobic landfill experiments. Using the model, sensitivity analysis quantifies the impact of anaerobic age, temperature, and aeration rate on landfill MSW remediation. The present model could provide a crucial theoretical framework for evaluating aerobic remediation effectiveness in landfills, offering valuable insights for practical implementation and management.
Table 1.
Summary of theoretical models for aerobic degradation of MSW.
Table 1.
Summary of theoretical models for aerobic degradation of MSW.
| Study | Reaction Mechanisms | Degradable Substrates | Correction Functions | |||||
|---|---|---|---|---|---|---|---|---|
| Aerobic Degradation | Anaerobic Degradation | Methane Oxidation | Temperature | Moisture Content | Oxygen Concentration | Porosity | ||
| Chen et al. [29] | √ | Cellulose, Sugars, Proteins, Lipids | □ | |||||
| Feng et al. [30] | √ | √ | √ | C6H10O5 | ● | ■ | ||
| Fathinezhad et al. [31] | √ | √ | Organic Matter | ● | ||||
| Kaiser [32] | √ | Sugars, Starch, Hemicellulose, Cellulose, Lignin | ■ | |||||
| Kim et al. [25] | √ | √ | CaHbOcNd | ● | ● | |||
| Oldenburg et al. [33] | √ | √ | Organic Matter | ● | ● | |||
| Omar and Rohani [26] | √ | √ | (C6H10O4)x | ● | ■ | ■ | ||
| Shishido and Seki [34] | √ | Sugars, Proteins, Lipids | ■ | ■ | ■ | |||
| Seng et al. [35] | √ | √ | Rapidly Degradable, Slowly Degradable, and Inert Substances | ● | ■ | ■ | ||
| Sun et al. [11] | √ | Holocellulose, Non-Cellulosic Sugars, Proteins, Lipids, and Lignin | ■ | ■ | ■ | ■ | ||
| Wang et al. [19] | √ | Sugars, Cellulose, Lignin | ■ | ■ | ■ | ■ | ||
| White et al. [36] | √ | Carbohydrates, Fats, Proteins | ||||||
| Zhang et al. [37] | √ | Organic Matter | ■ | ■ | ■ | ■ | ||
| This paper | √ | √ | √ | Holocellulose, Non-Cellulosic Sugars, Proteins, Lipids, and Lignin | ■ | ■ | ■ | ■ |
Note: “√” indicates the reaction mechanisms considered in the model, same below; “■” and “□” indicate that the aerobic and anaerobic degradation in the model considered the correction of this factor, respectively; “●” indicates that both aerobic and anaerobic degradation in the model considered the correction of this factor.
2. Development of Simultaneous Anaerobic–Aerobic Degradation Model of MSW
Despite the well-established knowledge that methanogenic archaea (strict anaerobes) are inactive in the presence of oxygen, the complex structural characteristics of MSW and the inherent limitations of aeration systems create unique challenges in landfill environments (Figure 1a). Even when aeration is implemented, certain areas remain inaccessible to air flow (partial aeration area). Moreover, in regions considered adequately aerated (sufficient aeration area), relatively enclosed spaces can develop, impeding sufficient oxygen penetration and fostering anaerobic niches (Figure 1a). This phenomenon facilitates the simultaneous occurrence of anaerobic and aerobic degradation processes across a sufficiently extensive area within the waste matrix. The coexistence of these contrasting microbial environments highlights the complexity of biodegradation processes in MSW landfills and underscores the need for sophisticated modeling approaches to accurately predict and manage landfill behavior.
Figure 1.
(a) Schematic diagram of anaerobic–aerobic degradation coexistence; (b) computational framework of the model for simultaneous anaerobic–aerobic degradation of MSW.
To address this limitation, this study proposes an aerobic–anaerobic degradation reaction calculation framework, as illustrated in Figure 1b. The framework considers four chemical substrates for anaerobic processes and five for aerobic processes. The model can simulate anaerobic degradation even under high oxygen volume fractions (Equation (17)). The subsequent sections provide a detailed introduction to the model, divided into three parts: degradable substrates, biochemical reaction equations, and degradation reaction rates and their correction functions.
2.1. Chemical Compositions and Proportions of Degradable Substrates within MSW
The main degradable physical components in MSW are kitchen waste, paper, yard waste, and textiles, while the remaining components are generally non-degradable [38]. Early research usually estimated the degradable content of MSW directly from physical components rather than chemical components, a method that may be prone to significant errors. In fact, the degradable portions of the four physical components mainly are composed of the five smaller chemical substances, such as hemicellulose, non-cellulosic sugars, proteins, lipids, and lignin. Notably, lignin and some hemicellulose encapsulated by lignin are non-degradable under anaerobic conditions and typically considered degradable only under aerobic conditions [39,40,41].
Based on previous studies [11,12,38,42], this paper summarizes the range of proportions of the five degradable chemical substrates in the four physical components and provides the corresponding recommended values under both aerobic and anaerobic conditions in Table 2. For example, the entry “8–20 (15/13.5)” indicates that the proportion of hemicellulose in kitchen waste ranges from 8% to 20%, with 15% and 13.5% being the recommended degradable proportions under aerobic and anaerobic conditions, respectively.
Table 2.
Range of proportions and recommended values under anaerobic and aerobic conditions for five degradable substrates in four main physical components of MSW (% of dry weight).
2.2. Biochemical Reaction Equations for MSW
Biochemical reaction equations are commonly used to describe the transformation of matter and energy [19,29]. The aerobic degradation process of municipal solid waste (MSW) substrates is often simplified using a single-stage reaction model. Based on the laws of mass and charge conservation, the aerobic degradation biochemical reaction equations for the five key substrates—hemicellulose, non-cellulosic sugars, proteins, lipids, and lignin—along with the simultaneous nitrification–denitrification reaction for NH3·H2O, are presented as follows [43,44]:
Hemicellulose/Non-cellulosic Sugars:
C6H10O5 + 6O2 = 6CO2 + 5H2O + 2456 kJ/mol
Lipids:
C55H104O6 + 78O2 = 55CO2 + 52H2O + 33738 kJ/mol
Proteins:
C46H77O17N12S + 47.25O2 = 12NH3·H2O + 46CO2 + H2S + 7.5H2O + 10052 kJ/mol
Lignin:
C10H12O3 + 11.5O2 = 10CO2 + 6H2O + 2306 kJ/mol
Simultaneous Nitrification–Denitrification:
NH3·H2O + 0.75O2 = 0.5N2 + 2.5H2O + 1260 kJ/mol
This study simplifies the anaerobic hydrolysis–acidification and methanogenesis processes into a single-stage reaction [45,46]. The main reasons for this simplification are as follows: (a) the hydrolysis–acidification stage is relatively short; (b) the focus of aerobic remediation is typically on aged anaerobic landfills or informal landfills, where MSWs have generally entered the methanogenesis stage. Additionally, the model further assumes that the heat released from anaerobic reactions is negligible, as it is significantly less than the heat produced by aerobic reactions [47,48,49]. Therefore, the single-stage anaerobic reaction equations for the degradation of the four key substrates—hemicellulose, non-cellulosic sugars, proteins, and lipids—are as follows [50]:
Hemicellulose/Non-cellulosic Sugars:
C6H10O5 + H2O = 3CO2 + 3CH4
Lipids:
C55H104O6+ 26H2O = 16CO2 + 39CH4
Proteins:
C46H77O17N12S+ 39.75H2O = 22.375CO2 + 23.625CH4 + 12NH3·H2O + H2S
In addition to the degradation reactions of solid-phase organic matter, aerobic remediation in landfills also involves methane oxidation reactions between gaseous components. Under the action of methanotrophic bacteria, oxygen oxidizes methane to carbon dioxide and water vapor, while releasing heat. The reaction equation is as follows:
CH4 + 2O2 = CO2 + 2H2O + 803 kJ/mol
2.3. Reaction Rates of the Five Substrates in Aerobic/Anaerobic Degradation Process
A first-order kinetic model is used to calculate the degradation reaction rates of the five substrates as follows:
where t (d) is the time; Si (kg/m3) is the content of substrate i at time t; i = 1, 2, 3, 4, and 5 represent the substrates, i.e., hemicellulose, non-cellulosic sugars, lipids, proteins, and lignin, respectively. (d−1) is the corrected degradation rate constant for substrate i; subscripts and denote aerobic and anaerobic degradation conditions, respectively.
The rate correction functions accounting for the effects of four environmental conditions, i.e., temperature, moisture content, oxygen volume fraction, and porosity, are introduced in
where (d−1) is the maximum degradation rate constant, i.e., the degradation rate in an uninhibited environment for the substrate i, for which recommended values are given in Table 3; f(T), f(w), f(), and f(FAS) are the correction functions of temperature, moisture content, oxygen volume fraction, and porosity, respectively. In addition, due to the minimal deformation of the waste matrix under anaerobic degradation [51,52], the impact of porosity variation on waste degradation under anaerobic conditions is not considered in this study.
Table 3.
Recommended values of maximum degradation rate constants for each substrate.
- (1)
- Temperature correction functions
The temperature correction functions for both aerobic and anaerobic degradation can be expressed by the following equation [17]:
where is the waste temperature (°C) and , , and are the maximum, minimum, and optimal temperatures for microbial growth (°C), respectively, for which the adopted parameters are shown in Table 4.
Table 4.
Parameters of the temperature correction function (Feng et al. [30]).
- (2)
- Moisture content correction functions
Based on existing research [15,16], the correction functions for moisture content under aerobic and anaerobic degradation conditions are expressed as follows:
where w (%) is the wet basis moisture content of the waste and and are set to 16% and 50%, respectively.
- (3)
- Oxygen volume fraction correction functions
The oxygen volume fraction, defined as the ratio of the volume of oxygen to the total volume of mixed gases in the waste (dimensionless), influences the growth of aerobic microorganisms. Higher oxygen volume fractions enhance the degradation rate of substrates from aerobic microorganisms. The correction function adopted by Haug [15], which only involves the oxygen volume fraction and aligns with the principles of microbial growth kinetics, has been widely used to account for this effect. Notably, an oxygen partial pressure of 100 Pa [24,25,26] or an oxygen volume fraction of 1–2% [31] was set as the threshold for switching between anaerobic and aerobic degradation. However, Charles et al. [28] found that anaerobic activity persists at oxygen fractions above 1% and can remain at levels over 15% in aerated MSW landfills. Unfortunately, all the available models overlooked anaerobic degradation when the oxygen volume fraction exceeds the threshold.
To better reflect landfill conditions, we propose a new correction function combining Haug’s model with threshold control, as shown in Equations (16) and (17):
where (%) is the oxygen volume fraction within the waste; (%) is the oxygen volume fraction threshold, set to 1% in the study for comprehensive consideration; is the half-saturation constant for oxygen volume fraction, typically set at 2%. For aerobic degradation, the correction value is 0 when the oxygen volume fraction is below the threshold; otherwise, Haug’s correction model is applied. For anaerobic degradation, the correction function value is 1 below the threshold, and “1 − ” above the threshold, differing from the traditional model which adopts a correction value of 0.
- (4)
- Porosity correction functions
Under aerobic degradation conditions, the correction function for porosity (Haug [15]; Sun et al. [11]) is expressed as follows:
where the FAS can be calculated by
where (kg·m−3), (%), and (dimensionless) are the density of water, the gravimetric water content, and the specific gravity of MSW, respectively.
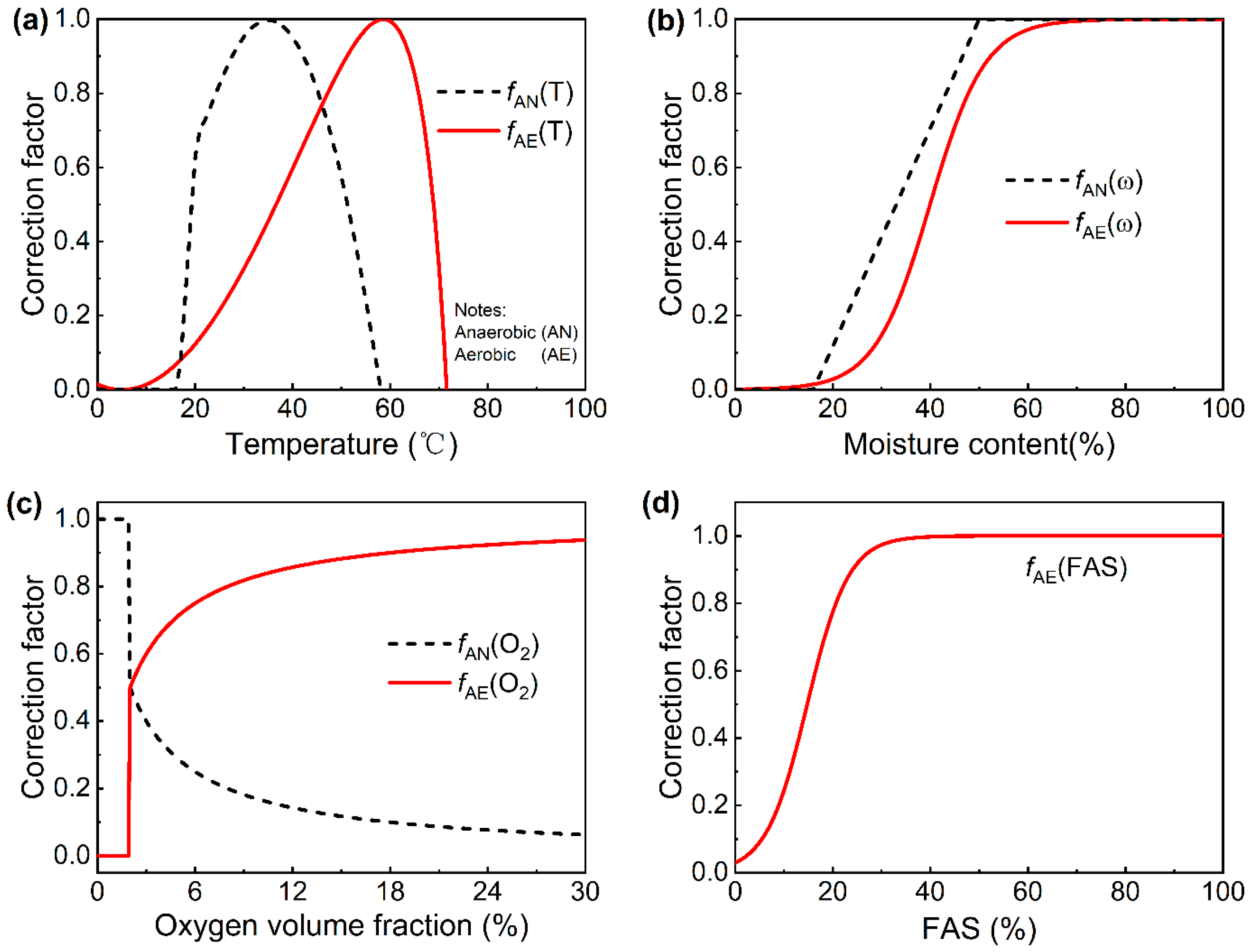
Figure 2 illustrates the variations in the values of the four reaction rate correction functions with the corresponding environmental parameters (where the porosity correction function is only considered during aerobic degradation).
Figure 2.
Reaction rate correction functions of (a) temperature, (b) moisture content, (c) oxygen volume fraction, and (d) porosity in terms of free air space (FAS).
- Others
It is worth noting that aerobic degradation also involves simultaneous nitrification–denitrification reactions. The dual-substrate model is commonly used to describe the attenuation process of NH3 in leachate:
where (g/L/d) is the consumption rate of NH3 in the nitrification reaction; (g/L/d) is the maximum reaction rate of the simultaneous nitrification–denitrification reaction; (g/L) is the concentration of NH3 in the liquid phase; (g/L) is the half-saturation constant for NH3 in the simultaneous nitrification–denitrification reaction. The rate of change in ammonia nitrogen concentration (g/L/d) in the liquid phase can be expressed as
The oxidation rate of methane can be described using a dual-substrate Michaelis–Menten kinetic equation [53].
where (kg·m−3·s−1) is the maximum CH4 consumption rate; is the half-saturation constant for methane concentration, typically set at 0.66%. Abichou et al. [53], based on laboratory experiments, proposed an approximate correction function for the methane oxidation factor:
where (%) is the saturated volumetric water content; (%) is the wilting point water content; (%) is the field capacity water content. When the matric suction values of the waste body are 33 kPa and 1500 kPa, the corresponding water contents are the field capacity water content and the wilting point water content, respectively [54].
3. Validation
Currently, there is a significant amount of research on the aerobic degradation of MSW [55]. The aerobic/anaerobic landfill column experiments by Ko et al. [51] and the anaerobic–aerobic degradation experiment by Pellera et al. [47] are adopted in this paper for the verification of the present model. The selected experiments provide detailed and comprehensive discussions on the initial state of the waste samples, experimental procedures, experimental parameters, and changes in indicators.
3.1. Aerobic/Anaerobic Landfill Column Experiment of Ko et al. [51]
Ko et al. [49] conducted landfill column experiments to compare the degradation processes under aerobic and anaerobic conditions by monitoring leachate solute concentrations and column settlement. The cylindrical reactors had a diameter of 20 cm and a height of 90 cm, with 70 cm filled with municipal solid waste (MSW) and the remaining 20 cm filled with gravel. The physical and chemical compositions of the samples are shown in Table 5. The mass of the waste in the experimental columns was approximately 13.2 kg, with degradable components accounting for 3.4 kg. The density was about 600 kg/m3, and the initial moisture content was 49.7%. The experimental temperature was maintained at room temperature, approximately 30 °C. In both sets of reaction columns, recirculation was performed at a rate of 500 mL/day at the top, while leachate was collected at the bottom. The BOD5, COD, NH3-N, and settlement of the leachate from both sets were recorded. Air ingress was strictly controlled in the anaerobic reaction columns, whereas air was injected into the aerobic reaction column A2 at a rate of 13.7 L/day/kg dry-basis mass MSW. On the fifth day, the concentrations of O2 and CO2 at the air outlet were measured.
Table 5.
Physical and chemical composition of waste samples in the work of Ko et al. [51].
Figure 3a−d illustrate the comparison between the simulated results of the proposed model and experimental data for (a) BOD5/COD, (b) compressive strain, (c) NH3-N concentration, and (d) CO2 and O2 volume fractions over time. Aerobic conditions significantly accelerated organic matter degradation (Figure 3a), improved compressive strain (Figure 3b), and enhanced leachate quality (Figure 3c) compared to anaerobic conditions. In the aerobic reaction group, both BOD5/COD (Figure 3a) and compression strain (Figure 3b) rapidly decreased after the start of the experiment and stabilized at around 200 days. At this point, the BOD5/COD and compression strain reached 0.22 and 17%, respectively. In contrast, the BOD5/COD and compression strain in the anaerobic reaction columns showed a relatively slow and steady decline throughout the 300-day experiment, ending at 0.67 and 7%, respectively. This indicates that the biochemical reaction rate in the anaerobic reaction columns is relatively slow. In the first 75 days, the NH3-N concentrations in both the aerobic and anaerobic columns rapidly increased, reaching 2641 and 2107 mg/L, respectively. In the aerobic group, due to the continuous proliferation of nitrifying bacteria, the rate of ammonia nitrification exceeded the rate of ammonification, causing the NH3-N concentration to start decreasing, ultimately reaching 31 mg/L by the end of the experiment. In contrast, without effective pathways for NH3-N removal, the NH3-N concentration in the anaerobic group continued to accumulate, finally reaching 3475 mg/L.
Figure 3.
Comparison of the present model with experimental data from Ko et al. [51] in terms of (a) BOD5/COD, (b) compression strain, (c) NH3-N over time, and (d) gas composition in the aerobic column on the 5th day.
Additionally, Figure 3d shows the gas composition changes on the 5th day in the aerobic column. Taking the first 12 h as an example, the O2 concentration in the reactor rapidly increased to 18% upon aeration at 0 h, while the CO2 concentration dropped below 1%. As the aerobic reaction proceeded, the O2 concentration fell below 3% at around 6 h, and the degradation mode gradually shifted to being anaerobic-dominated. The CO2 concentration began to rise rapidly after aeration stopped, and the rate of increase slowed at 6 h. The correlation coefficient (R2) [56] between the observed and simulated data ranged from 0.73 to 0.98, indicating good model accuracy. Overall, the present model closely matches the experimental data, effectively simulating the degradation behavior of MSW under both aerobic and anaerobic landfill conditions.
3.2. Anaerobic–Aerobic Sequence Degradation Experiment of Pellera et al. [47]
Pellera et al. [47] conducted anaerobic–aerobic sequence degradation experiments on prepared waste samples in three laboratory-scale landfill bioreactors in Greece. This study selected the R2 experiment for verification. The reactor had a capacity of 1 L, with each reactor filled with 8 kg of waste. The chemical composition of the samples is given in Table 6, with an initial moisture content of 45.8%.
Table 6.
Chemical composition of waste samples in the work of Pellera et al. [47].
The experiment comprised two phases: anaerobic and aerobic. The first phase, conducted under anaerobic conditions, lasted for 186 days. Subsequently, the system transitioned to the aerobic phase by aerating the substrate at a rate of 0.3 mL/min/kg DM. Throughout the experiment, the temperature of the bioreactors was maintained at a constant 25 ± 3 °C. Leachate recirculation was performed three times a week at a rate of 30 mL/min/kg DM.
Figure 4a shows the experimental data and model simulation results for the temperature of the waste body. The temperature of the waste body did not change significantly during the first 185 days. After the start of the aerobic phase (i.e., after day 186), the temperature rapidly increased, reaching a peak (approximately 50 °C) before gradually decreasing. This is primarily because a large amount of heat is released during the aerobic degradation of waste and methane oxidation, with most of this heat being presented as sensible heat (manifested as a temperature increase). By the end of the experiment, the temperature gradually decreased to about 34 °C. This decline is mainly due to the completion of waste degradation and methane oxidation, resulting in a decreased degradation rate and, consequently, a reduction in the heat generation rate, which fell below the heat loss rate. The above results indicate that the model can effectively simulate the temperature changes in the anaerobic–aerobic sequence degradation experiment.
Figure 4.
Comparison of the present model with experimental data from Pellera et al. [47] in terms of (a) temperature, (b) COD, (c) height of the waste body, and (d) O2 concentration over time.
Figure 4b shows the experimental data and model simulation results for the COD values in the leachate of the waste body. According to the experimental data, the COD values in the leachate of the waste body increased during the first few days of the experiment, exhibited continuous slight fluctuations until around day 100, and then began to decrease. At the start of the aerobic phase, the COD values were found to be significantly higher. However, the COD values sharply decreased as this phase progressed [47], reaching 11.6 g O2/L by the end of the experiment. This is primarily due to the rapid degradation of organic matter in the waste by aerobic bacteria following aeration. According to the model prediction results, the COD content in the leachate of the waste body slowly increased during the first 185 days and then rapidly decreased after day 186. The results indicate that the model can simulate the trend of COD changes during the anaerobic–aerobic combined degradation process of MSW.
Figure 4c shows the experimental data and model simulation results for the height of the waste body. As seen in the figure, the height of the waste body rapidly decreased during the initial few days of the experiment due to primary compression and then continued to decrease at a slow rate until day 185. Following the start of the aerobic phase, the height rapidly decreased again, primarily because the rate of aerobic degradation of MSW is much higher than that of anaerobic degradation. Figure 4d shows the experimental data and model simulation results for the O2 concentration in the waste body. As seen in the figure, the O2 concentration in the waste body remained around 0% for the first 185 days. After the start of the aerobic phase, the O2 concentration quickly rose to approximately 15% and then rapidly decreased. This is because the rate of oxygen consumption gradually exceeded the rate of oxygen input due to the rapid proliferation of aerobic bacteria and methane-oxidizing bacteria.
Around day 225, the O2 concentration decreased to approximately 5% and then slowly increased until the end of the experiment. This can be attributed to two main reasons: first, as the organic matter in the waste rapidly degraded, the oxygen demand for the degradation of the remaining organic matter gradually decreased; second, due to dilution and oxidation, the methane concentration gradually decreased, leading to a continuous decline in the methane oxidation rate. In summary, the proposed model aligns well with the experimental results of the anaerobic–aerobic degradation of MSW.
4. Application
4.1. Influence of Simultaneous Anaerobic–Aerobic Degradation
This section is dedicated to elucidating the disparities between the simulation results of simultaneous and sequential anaerobic–aerobic degradation processes. To achieve this objective, the following experimental scenario was meticulously designed. MSW was compacted in bioreactors with a cross-sectional area of 0.25 m2, and 150 kg of sample was loaded, with an initial fill height of 1 m. The heat transfer parameter was 0.5 W/°C. The initial moisture content and composition of the waste samples refer to the typical Chinese MSW components [57]. To provide an optimal growth environment for microorganisms, the moisture content was maintained within the range of 50−60% throughout the experiment. The aeration system operates at a rate of 5000 L/h, with a frequency of four cycles per day, i.e., 0.19 L/min/kg dry-basis MSW. Notably, to emphasize the disparities between the two sets of results, the anaerobic degradation rate in this section was increased to five times the values presented in Table 3. This amplification serves to highlight the distinctive characteristics of each degradation process more prominently.
Figure 5 compares the temporal variations in compression strain (, where h (m) is the height of MSW) and degradation ratio (, where msd (kg) is the mass of degradable partial in MSW) predicted by the simultaneous and sequential degradation models. The sequential model underestimates both parameters, with peak underestimations of 5.3% (day 262) for compression strain and 10.9% (day 333) for degradation ratio. The corresponding underestimate ratios would be 13.6% and 34.9%, respectively. In fact, the maximum underestimate ratios are 44.6% (day 50) and 14.6% (day 3), respectively. Without amplification, the underestimate ratios would be 8.7% and 9.2%, respectively. These findings demonstrate the superior accuracy of the simultaneous anaerobic–aerobic degradation model, particularly under enhanced anaerobic conditions, emphasizing its importance in MSW management predictions.
Figure 5.
Comparison of the results predicted by simultaneous and sequential anaerobic–aerobic degradation model in terms of (a) compression strain; (b) degradation ratio.
4.2. Influence of Temperature and Aeration in Aerobic Remediation Technology
Temperature and aeration control are the main regulatory measures in aerobic remediation landfills. Thus, using the present model, sensitivity analyses are conducted based on the orthogonal experimental method to quantify the influence of anaerobic age (i.e., the duration of anaerobic landfill before aerobic remediation), temperature, and aeration rate on the effectiveness of the landfill aerobic remediation technology. The design of the orthogonal experiment with three factors and five levels is shown in Table 7.
Table 7.
Levels of influencing factors.
The sensitivity was assessed using two indicators: the advance rate of aerobic remediation stabilization time [58] and the degradation rate after 100 days of aerobic remediation [11]. The degradation rate, an effective indicator for measuring the degree of waste degradation, is defined as the ratio of the mass of the degraded portion of the solid phase in the degradable components of MSW to the initial mass of the degradable solid phase. In this study, and are used to measure the long-term and short-term remediation effectiveness, respectively. The larger the values of and , the better the effect. The expressions are as follows:
where (d) is the time for MSW to reach anaerobic degradation stabilization; (d) is the time for aerobic remediation stabilization.
where (kg) is the degradable mass of MSW at the start of aerobic remediation; (kg) is the degradable mass of MSW after 100 days of aerobic remediation.
The temperature and aeration rate for each group of experiments were controlled to remain essentially constant during the simulation. Other experimental conditions and essential parameters refer to Section 4.1. The orthogonal experimental and simulation results with respect to and are shown in Table 8. The influence of anaerobic age on and is consistent, both showing a decreasing trend with the increase in anaerobic age. The effect of temperature on shows an initial decrease followed by an increase. The influence on is minimal, with a noticeable increase only at 56 °C. The impact of the aeration rate on and indicates that both excessively low and high aeration rates are unfavorable for waste degradation. The optimal aeration rate for degradation lies between 0.16 and 0.20 L/min/kg DM.
Table 8.
Orthogonal experimental design and simulation results.
Anaerobic age, temperature, and aeration rate are all important factors affecting the aerobic remediation of MSW. A range analysis based on Table 2 is shown in Table 9. The range analysis indicates that the sensitivity ranking of the factors affecting is as follows: anaerobic age > temperature > aeration rate. For , the ranking is anaerobic age > aeration rate > temperature. It is evident that shows high sensitivity to anaerobic age and temperature while being less sensitive to aeration rate. Conversely, exhibits high sensitivity to anaerobic age and aeration rate but is less sensitive to temperature. Notably, selecting the maximum values of each factor from Table 9, the optimal temperature and anaerobic age are determined to be 56 °C and 0 days, respectively, with the optimal aeration rates being 0.16 and 0.20 L/min/kg DM for and , respectively. Under these optimal conditions, and can reach up to 86.3% and 70.9%, respectively. The optimal temperature of 56 °C coincides with previous studies [57,59]. The optimal aeration rates of 0.16 and 0.20 L/min/kg DM also fall in the suitable range of 0.08–0.24 L/min/kg DM summarized in the work of Ma et al. [60] from 132 aerobic degradation experiments. Additionally, in the middle and late stages of aerobic remediation, due to the decrease in degradable substrates (dry weight) in the waste, the biodegradable fraction is usually lower than that of MSW at the early stage of aerobic remediation [61]. Therefore, the optimal aeration rate is generally higher in the early stage of aerobic remediation compared to the later stages. The results offer some valuable insights for the practical implementation of aerobic remediation technology.
Table 9.
Range analysis of influence factors (/).
5. Conclusions
Aerobic remediation accelerates landfill stabilization, making it an essential technique for the early reutilization of aged anaerobic landfills and simple landfills, while reducing environmental pollution. This study proposes a novel first-order kinetic simultaneous anaerobic–aerobic degradation model for MSW during landfill aerobic remediation. The model aligns well with two sets of existing MSW degradation experimental results. Using the proposed model, the effects of anaerobic age, temperature, and aeration rate on the long-term and short-term remediation effectiveness of landfill MSW were quantitatively analyzed; the main conclusions are as follows:
- (1)
- The model can comprehensively consider the effects of temperature, moisture content, oxygen concentration, and free air space on the degradation rates of five substrates: hemicellulose, non-cellulosic sugars, proteins, lipids, and lignin.
- (2)
- The anaerobic degradation model enables the coexistence of anaerobic and aerobic degradation within specific oxygen concentration ranges by incorporating the effect of oxygen concentration through a novel oxygen concentration correction function.
- (3)
- Based on existing literature, the dry weight proportions of hemicellulose, non-cellulosic sugars, proteins, lipids, and lignin in food waste, paper, yard waste, and textile waste are summarized, and recommended degradable fractions for these substrates under both aerobic and anaerobic conditions are provided.
- (4)
- The sequential model underestimates both compression strain and degradation ratio, with peak underestimation ratios of 8.7% and 9.2%, respectively. The advance rate of aerobic remediation stabilization time () is more sensitive to anaerobic age and temperature, while the degradation rate after 100 days of aerobic remediation () is more sensitive to anaerobic age and aeration rate; under optimal conditions, and can reach 86.3% and 70.9%, respectively.
- (5)
- The proposed model provides an optional theoretical tool for assessing the effectiveness of aerobic remediation in informal landfills. The results may offer valuable references for the practical implementation and management of aerobic remediation.
Author Contributions
Conceptualization, M.-Q.P. and H.X.; methodology, T.-H.C.; software, T.-H.C. and S.-T.L.; validation, M.-Q.P., T.-H.C. and T.J.; formal analysis, M.-Q.P.; investigation, S.-T.L.; resources, T.J. and H.X.; writing—original draft preparation, M.-Q.P., Y.-C.S. and T.-H.C.; writing—review and editing, M.-Q.P. and H.X.; visualization, T.-H.C. and Y.-C.S.; supervision, M.-Q.P.; funding acquisition, M.-Q.P. All authors have read and agreed to the published version of the manuscript.
Funding
Much of the work described in this paper was supported by the National Natural Science Foundation of China under Grant Nos. 42307200 and 42172309, the National Natural Science Foundation of Zhejiang Province under Grant No. LY21E080029, and the Zhejiang Province College Students’ Scientific and Technological Innovation Program (New Talent Program) under Grant No. 2024R406A037.
Data Availability Statement
All data, models, and codes that support the findings of this paper are available from the corresponding author upon reasonable request.
Acknowledgments
The writers would like to greatly acknowledge this financial support and express their most sincere gratitude.
Conflicts of Interest
The authors declare no conflict of interest.
References
- Bareither, C.A.; Benson, C.H.; Barlaz, M.A.; Edil, T.B.; Tolaymat, T.M. Performance of North American Bioreactor Landfills. I: Leachate Hydrology and Waste Settlement. J. Environ. Eng. 2010, 136, 824–838. [Google Scholar] [CrossRef]
- Giusti, L. A Review of Waste Management Practices and Their Impact on Human Health. Waste Manag. 2009, 29, 2227–2239. [Google Scholar] [CrossRef] [PubMed]
- Reddy, K.R.; Hettiarachchi, H.; Parakalla, N.S.; Gangathulasi, J.; Bogner, J.E. Geotechnical Properties of Fresh Municipal Solid Waste at Orchard Hills Landfill, USA. Waste Manag. 2009, 29, 952–959. [Google Scholar] [CrossRef] [PubMed]
- El-Fadel, M.; Shazbak, S.; Saliby, E.; Leckie, J. Comparative Assessment of Settlement Models for Municipal Solid Waste Landfill Applications. Waste Manag. Res. 1999, 17, 347–368. [Google Scholar] [CrossRef]
- Kjeldsen, P.; Barlaz, M.A.; Rooker, A.P.; Baun, A.; Ledin, A.; Christensen, T.H. Present and Long-Term Composition of MSW Landfill Leachate: A Review. Crit. Rev. Environ. Sci. Technol. 2002, 32, 297–336. [Google Scholar] [CrossRef]
- Townsend, T.G.; Powell, J.; Jain, P.; Xu, Q.; Tolaymat, T.; Reinhart, D. Sustainable Practices for Landfill Design and Operation; Springer: New York, NY, USA, 2015; ISBN 978-1-4939-2661-9. [Google Scholar]
- Geng, X.; Song, N.; Zhao, Y.; Zhou, T. Waste Plastic Resource Recovery from Landfilled Refuse: A Novel Waterless Cleaning Method and Its Cost-Benefit Analysis. J. Environ. Manag. 2022, 306, 114462. [Google Scholar] [CrossRef]
- Gu, Z.; Chen, W.; Wang, F.; Li, Q. A Pilot-Scale Comparative Study of Bioreactor Landfills for Leachate Decontamination and Municipal Solid Waste Stabilization. Waste Manag. 2020, 103, 113–121. [Google Scholar] [CrossRef]
- Hashisho, J.; El-Fadel, M. Determinants of Optimal Aerobic Bioreactor Landfilling for the Treatment of the Organic Fraction of Municipal Waste. Crit. Rev. Environ. Sci. Technol. 2014, 44, 1865–1891. [Google Scholar] [CrossRef]
- Nanda, S.; Berruti, F. Municipal Solid Waste Management and Landfilling Technologies: A Review. Environ. Chem. Lett. 2021, 19, 1433–1456. [Google Scholar] [CrossRef]
- Sun, X.-Y.; Xu, H.; Wu, B.-H.; Shen, S.-L.; Zhan, L.-T. A First-Order Kinetic Model for Simulating the Aerobic Degradation of Municipal Solid Waste. J. Environ. Manag. 2023, 329, 117093. [Google Scholar] [CrossRef]
- Chen, Y.; Guo, R.; Li, Y.-C.; Liu, H.; Zhan, T.L. A Degradation Model for High Kitchen Waste Content Municipal Solid Waste. Waste Manag. 2016, 58, 376–385. [Google Scholar] [CrossRef] [PubMed]
- Walling, E.; Trémier, A.; Vaneeckhaute, C. A Review of Mathematical Models for Composting. Waste Manag. 2020, 113, 379–394. [Google Scholar] [CrossRef]
- Xiao, D.; Chen, Y.; Xu, W.; Zhan, L. An Aerobic Degradation Model for Landfilled Municipal Solid Waste. Appl. Sci. 2021, 11, 7557. [Google Scholar] [CrossRef]
- Haug, R. The Practical Handbook of Compost Engineering; Routledge: New York, NY, USA, 2017; ISBN 978-0-203-73623-4. [Google Scholar]
- Higgins, C.W.; Walker, L.P. Validation of a New Model for Aerobic Organic Solids Decomposition: Simulations with Substrate Specific Kinetics. Process Biochem. 2001, 36, 875–884. [Google Scholar] [CrossRef]
- Rosso, L. An Unexpected Correlation between Cardinal Temperatures of Microbial Growth Highlighted by a New Model. J. Theor. Biol. 1993, 162, 447–463. [Google Scholar] [CrossRef] [PubMed]
- Malamis, D.; Moustakas, K.; Haralambous, K.-J. Evaluating In-Vessel Composting in Treating Sewage Sludge and Agricultural Waste by Examining and Determining the Kinetic Reactions of the Process. Clean Technol. Environ. Policy 2016, 18, 2493–2502. [Google Scholar] [CrossRef]
- Wang, Y.; Pang, L.; Liu, X.; Wang, Y.; Zhou, K.; Luo, F. Using Thermal Balance Model to Determine Optimal Reactor Volume and Insulation Material Needed in a Laboratory-Scale Composting Reactor. Bioresour. Technol. 2016, 206, 164–172. [Google Scholar] [CrossRef]
- Hale Boothe, D.D.; Smith, M.C.; Gattie, D.K.; Das, K.C. Characterization of Microbial Populations in Landfill Leachate and Bulk Samples during Aerobic Bioreduction. Adv. Environ. Res. 2001, 5, 285–294. [Google Scholar] [CrossRef]
- Megalla, D.; Van Geel, P.J.; Doyle, J.T. Simulating the Heat Budget for Waste as It Is Placed within a Landfill Operating in a Northern Climate. Waste Manag. 2016, 55, 108–117. [Google Scholar] [CrossRef]
- Powell, J.; Jain, P.; Kim, H.; Townsend, T.; Reinhart, D. Changes in Landfill Gas Quality as a Result of Controlled Air Injection. Environ. Sci. Technol. 2006, 40, 1029–1034. [Google Scholar] [CrossRef]
- Lu, S.-F.; Feng, S.-J.; Zheng, Q.-T.; Bai, Z.-B. A Multi-Phase, Multi-Component Model for Coupled Processes in Anaerobic Landfills: Theory, Implementation and Validation. Géotechnique 2021, 71, 826–842. [Google Scholar] [CrossRef]
- Feng, S.-J.; Li, A.Z.; Zheng, Q.T.; Cao, B.Y.; Chen, H.X. Numerical Model of Aerobic Bioreactor Landfill Considering Aerobic-Anaerobic Condition and Bio-Stable Zone Development. Environ. Sci. Pollut. Res. 2019, 26, 15229–15247. [Google Scholar] [CrossRef] [PubMed]
- Kim, S.-Y.; Tojo, Y.; Matsuto, T. Compartment Model of Aerobic and Anaerobic Biodegradation in a Municipal Solid Waste Landfil. Waste Manag. Res. 2007, 25, 524–537. [Google Scholar] [CrossRef]
- Omar, H.; Rohani, S. The Mathematical Model of the Conversion of a Landfill Operation from Anaerobic to Aerobic. Appl. Math. Model. 2017, 50, 53–67. [Google Scholar] [CrossRef]
- Yazdani, R.; Mostafid, M.E.; Han, B.; Imhoff, P.T.; Chiu, P.; Augenstein, D.; Kayhanian, M.; Tchobanoglous, G. Quantifying Factors Limiting Aerobic Degradation during Aerobic Bioreactor Landfilling. Environ. Sci. Technol. 2010, 44, 6215–6220. [Google Scholar] [CrossRef]
- Charles, W.; Walker, L.; Cord-Ruwisch, R. Effect of Pre-Aeration and Inoculum on the Start-up of Batch Thermophilic Anaerobic Digestion of Municipal Solid Waste. Bioresour. Technol. 2009, 100, 2329–2335. [Google Scholar] [CrossRef]
- Chen, Y.M.; Xu, W.J.; Ling, D.S.; Zhan, L.T.; Gao, W. A Degradation–Consolidation Model for the Stabilization Behavior of Landfilled Municipal Solid Waste. Comput. Geotech. 2020, 118, 103341. [Google Scholar] [CrossRef]
- Feng, S.J.; Bai, Z.B.; Zheng, Q.T. Three-dimensional Settlement Characteristics and Accelerated Stabilization of Landfills under Aerobic Remediation. Chin. J. Geotech. Eng. 2021, 43, 1976–1985. (In Chinese) [Google Scholar]
- Fathinezhad, A.; Jafari, N.H.; Oldenburg, C.M.; Caldwell, M.D. Numerical Investigation of Air Intrusion and Aerobic Reactions in Municipal Solid Waste Landfills. Waste Manag. 2022, 147, 60–72. [Google Scholar] [CrossRef]
- Kaiser, J. Modelling Composting as a Microbial Ecosystem: A Simulation Approach. Ecol. Model. 1996, 91, 25–37. [Google Scholar] [CrossRef]
- Oldenburg, C.M.; Borglin, S.E.; Hazen, T.C. Multiphase Modeling of Flow, Transport, and Biodegradation in a Mesoscale Landfill Bioreactor; Office of Scientific & Technical Information Report Number 840972; LBNL-50027; Lawrence Berkeley National Laboratory: Berkeley, CA, USA, 2002. [Google Scholar]
- Shishido, T.; Seki, H. Laboratory-Scale Experiment for an Active-Stage Composting Process under the Same Material and Operating Conditions. J. Agric. Meteorol. 2015, 71, 111–123. [Google Scholar] [CrossRef]
- Seng, B.; Kristanti, R.A.; Hadibarata, T.; Hirayama, K.; Katayama-Hirayama, K.; Kaneko, H. Mathematical Model of Organic Substrate Degradation in Solid Waste Windrow Composting. Bioprocess Biosyst. Eng. 2016, 39, 81–94. [Google Scholar] [CrossRef] [PubMed]
- White, J.; Robinson, J.; Ren, Q. Modelling the Biochemical Degradation of Solid Waste in Landfills. Waste Manag. 2004, 24, 227–240. [Google Scholar] [CrossRef] [PubMed]
- Zhang, Y.; Lashermes, G.; Houot, S.; Doublet, J.; Steyer, J.P.; Zhu, Y.G.; Barriuso, E.; Garnier, P. Modelling of Organic Matter Dynamics during the Composting Process. Waste Manag. 2012, 32, 19–30. [Google Scholar] [CrossRef]
- Guo, R.Y. Research on the Biochemical and Mechanical Behaviors of High Food Content MSW; Zhejiang University: Hangzhou, China, 2018. (In Chinese) [Google Scholar]
- Barlaz, M.A. Forest Products Decomposition in Municipal Solid Waste Landfills. Waste Manag. 2006, 26, 321–333. [Google Scholar] [CrossRef]
- Ham, R.K.; Norman, M.R.; Fritschel, P.R. Chemical Characterization of Fresh Kills Landfill Refuse and Extracts. J. Environ. Eng. 1993, 119, 1176–1195. [Google Scholar] [CrossRef]
- Komilis, D.P.; Ham, R.K. The Effect of Lignin and Sugars to the Aerobic Decomposition of Solid Wastes. Waste Manag. 2003, 23, 419–423. [Google Scholar] [CrossRef]
- Wang, X.; Barlaz, M.A. Decomposition and Carbon Storage of Hardwood and Softwood Branches in Laboratory-Scale Landfills. Sci. Total Environ. 2016, 557–558, 355–362. [Google Scholar] [CrossRef]
- Angelidaki, I.; Sanders, W. Assessment of the Anaerobic Biodegradability of Macropollutants. Rev. Environ. Sci. Biotechnol. 2004, 3, 117–129. [Google Scholar] [CrossRef]
- Young, A. Mathematical Modelling of Landfill Degradation. J. Chem. Technol. Biotechnol. 1989, 46, 189–208. [Google Scholar] [CrossRef]
- Tabatabaei, M.; Aghbashlo, M.; Valijanian, E.; Panahi, H.K.S.; Nizami, A.-S.; Ghanavati, H.; Sulaiman, A.; Mirmohamadsadeghi, S.; Karimi, K. A comprehensive review on recent biological innovations to improve biogas production, part 1: Upstream strategies. Renew. Energy 2020, 146, 1204–1220. [Google Scholar] [CrossRef]
- Vikhareva, I.N.; Aminova, G.K.; Mazitova, A.K. Resource Cycling: Application of anaerobic utilization methods. Sustainability 2022, 14, 9278. [Google Scholar] [CrossRef]
- Pellera, F.-M.; Pasparakis, E.; Gidarakos, E. Consecutive Anaerobic-Aerobic Treatment of the Organic Fraction of Municipal Solid Waste and Lignocellulosic Materials in Laboratory-Scale Landfill-Bioreactors. Waste Manag. 2016, 56, 181–189. [Google Scholar] [CrossRef]
- Wu, S.J.; Feng, S.J.; Zheng, Q.T.; Zhang, X.L.; Chen, H.X. Stabilization behavior of the three-phase and multi-component system of landfilled waste under aeration: Numerical modeling. Comput. Geotech. 2023, 156, 105318. [Google Scholar] [CrossRef]
- Zheng, Q.T.; Feng, S.J.; Wu, S.J.; Zhang, X.L.; Chen, H.X. Modeling of multifield coupling interactions in an aerobic landfill based on the finite volume method. Comput. Geotech. 2022, 146, 104704. [Google Scholar] [CrossRef]
- Ivanova, L.K.; Richards, D.J.; Smallman, D.J. Assessment of the Anaerobic Biodegradation Potential of MSW. Proc. Inst. Civ. Eng Waste Resour. Manag. 2008, 161, 167–180. [Google Scholar] [CrossRef]
- Ko, J.H.; Ma, Z.; Jin, X.; Xu, Q. Effects of Aeration Frequency on Leachate Quality and Waste in Simulated Hybrid Bioreactor Landfills. J. Air Waste Manag. Assoc. 2016, 66, 1245–1256. [Google Scholar] [CrossRef] [PubMed]
- Xu, Q.; Tian, Y.; Wang, S.; Ko, J.H. A comparative study of leachate quality and biogas generation in simulated anaerobic and hybrid bioreactors. Waste Manag. 2015, 41, 94–100. [Google Scholar] [CrossRef] [PubMed]
- Abichou, T.; Mahieu, K.; Chanton, J.; Romdhane, M.; Mansouri, I. Scaling Methane Oxidation: From Laboratory Incubation Experiments to Landfill Cover Field Conditions. Waste Manag. 2011, 31, 978–986. [Google Scholar] [CrossRef]
- Spokas, K.; Bogner, J.; Chanton, J. A Process-Based Inventory Model for Landfill CH4 Emissions Inclusive of Seasonal Soil Microclimate and CH4 Oxidation. J. Geophys. Res. 2011, 116, G04017. [Google Scholar] [CrossRef]
- Xiao, D.K.; Chen, Y.M.; Xu, W.J.; Zhan, L.T.; Ke, H.; Li, K. Biochemical-Thermal-Hydro-Mechanical Coupling Model for Aerobic Degradation of Landfilled Municipal Solid Waste. Waste Manag. 2022, 144, 144–152. [Google Scholar] [CrossRef] [PubMed]
- Ratner, B. The Correlation Coefficient: Its Values Range between +1/−1, or Do They? J. Target. Meas. Anal. Mark. 2009, 17, 139–142. [Google Scholar] [CrossRef]
- Tong Zhan, T.L.; Xu, X.B.; Chen, Y.M.; Ma, X.F.; Lan, J.W. Dependence of Gas Collection Efficiency on Leachate Level at Wet Municipal Solid Waste Landfills and Its Improvement Methods in China. J. Geotech. Geoenviron. Eng. 2015, 141, 04015002. [Google Scholar] [CrossRef]
- Xu, H.; Chen, T.-H.; Zhu, G.; Peng, M.-Q.; Zhan, L.-T. Semi-Quantitative Study on the Secondary Compression Characteristics of Municipal Solid Waste in Aerobic and Anaerobic Bioreactors. Waste Manag. 2024, 176, 74–84. [Google Scholar] [CrossRef]
- Mohaibes, M.; Vuorinen, H.; Heinonen-Tanski, H. Effect of Temperature on Microbial Population and Performance of an Aerobic Thermophilic Reactor Treating Cattle Slurry and Waste Food. Environ. Technol. 2011, 32, 1223–1232. [Google Scholar] [CrossRef] [PubMed]
- Ma, J.; Liu, L.; Xue, Q.; Yang, Y.; Zhang, Y.; Fei, X. A Systematic Assessment of Aeration Rate Effect on Aerobic Degradation of Municipal Solid Waste Based on Leachate Chemical Oxygen Demand Removal. Chemosphere 2021, 263, 128218. [Google Scholar] [CrossRef]
- Gourc, J.-P.; Staub, M.J.; Conte, M. Decoupling MSW Settlement into Mechanical and Biochemical Processes—Modelling and Validation on Large-Scale Setups. Waste Manag. 2010, 30, 1556–1568. [Google Scholar] [CrossRef]
Disclaimer/Publisher’s Note: The statements, opinions and data contained in all publications are solely those of the individual author(s) and contributor(s) and not of MDPI and/or the editor(s). MDPI and/or the editor(s) disclaim responsibility for any injury to people or property resulting from any ideas, methods, instructions or products referred to in the content. |
© 2024 by the authors. Licensee MDPI, Basel, Switzerland. This article is an open access article distributed under the terms and conditions of the Creative Commons Attribution (CC BY) license (https://creativecommons.org/licenses/by/4.0/).




