A Compact Microwave-Driven UV Lamp for Dental Light Curing
Abstract
:1. Introduction
2. Materials and Methods
2.1. Geometry
2.2. Microwave Theory
2.3. Plasma Parameter Settings
2.4. Input Parameters and Boundary Conditions
3. Results and Discussion
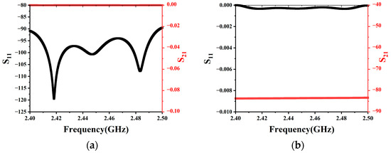
3.1. Dimension Optimization
3.2. Plasma Parameter Sensitive Analysis
3.2.1. Input Power Analysis
3.2.2. Gas Pressure Analysis
3.2.3. Gas Component Analysis
3.3. Experimental Verification
4. Conclusions
Author Contributions
Funding
Data Availability Statement
Conflicts of Interest
References
- Mangat, D.; Dhingra, D.; Bhardwaj, D. Curing Lights and the science behind them—An Overview. IOSR J. Dent. Med. Sci. 2014, 13, 35–39. [Google Scholar] [CrossRef]
- Chen, Y.-C.; Ferracane, J.L.; Prahl, S.A. Quantum yield of conversion of the photoinitiator camphorquinone. Dent. Mater. 2007, 23, 655–664. [Google Scholar] [CrossRef] [PubMed]
- Santini, A.; Gallegos, I.T.; Felix, C.M. Photoinitiators in dentistry: A review. Prim. Dent. J. 2013, 2, 30–33. [Google Scholar] [CrossRef]
- Hasanain, F.A.; Nassar, H.M. Utilizing Light Cure Units: A Concise Narrative Review. Polymers 2021, 13, 1596. [Google Scholar] [CrossRef]
- Park, Y.J.; Chae, K.H.; Rawls, H.R. Development of a new photoinitiation system for dental light-cure composite resins. Dent. Mater. Off. Publ. Acad. Dent. Mater. 1999, 15, 120–127. [Google Scholar] [CrossRef]
- Rueggeberg, F.A.; Giannini, M.; Arrais, C.A.G.; Price, R.B.T. Light curing in dentistry and clinical implications: A literature review. Braz. Oral Res. 2017, 31, e61. [Google Scholar] [CrossRef]
- Jadhav, S.; Hegde, V.; Aher, G.; Fajandar, N. Influence of light curing units on failure of directcomposite restorations. J. Conserv. Dent. JCD 2011, 14, 225–227. [Google Scholar] [CrossRef]
- Alasiri, R.A.; Algarni, H.A.; Alasiri, R.A. Ocular hazards of curing light units used in dental practice? A systematic review. Saudi Dent. J. 2019, 31, 73–180. [Google Scholar] [CrossRef]
- Hammesfahr, P.D.; O’Connor, M.T.; Wang, X. Light-curing technology: Past, present, and future. Compend. Contin. Educ. Dent. 2002, 23, 18–24. [Google Scholar]
- Santini, A. Current status of visible light activation units and the curing of light-activated resin-based composite materials. Dent. Update 2010, 37, 214–227. [Google Scholar] [CrossRef]
- Nomoto, R.; McCabe, J.F.; Hirano, S. Comparison of halogen, plasma and LED curing units. Oper. Dent. 2004, 29, 287–294. [Google Scholar]
- Chang, M.-H.; Das, D.; Varde, P.V.; Pecht, M. L Light emitting diodes reliability review. Microelectron. Reliab. 2012, 52, 762–782. [Google Scholar] [CrossRef]
- Serdar, Ü.; Nejat, E. CHAPTER 6—Adhesives and Bonding in Orthodontics. In Current Therapy in Orthodontics; Nanda, R., Kapila, S., Eds.; Mosby: Saint Louis, MO, USA, 2010; pp. 45–67. [Google Scholar]
- Lister, G. Electrodeless Lamps and UV Sources. In Handbook of Advanced Lighting Technology; Karlicek, R., Sun, C.-C., Zissis, G., Ma, R., Eds.; Springer International Publishing: Cham, Switzerland, 2017; pp. 1141–1171. [Google Scholar]
- Espiau, F.M.; Joshi, C.J.; Chang, Y. Plasma Lamp with Dielectric Waveguide. US 20060208648, 21 September 2006. [Google Scholar]
- DeVincentis, M. Plasma Lamp with Compact Waveguide. US 11553699, 20 April 2010. [Google Scholar]
- Gilliard, R.; DeVincentis, M.; Hafidi, A.; O’Hare, D.; Hollingsworth, G. Longitudinally mounted light emitting plasma in a dielectric resonator. J. Phys. D Appl. Phys. 2011, 44, 224008. [Google Scholar] [CrossRef]
- Hafidi, A.; O’hare, D.; DeVincentis, M. Plasma Lamp Having Tunable Frequency Dielectric Waveguide with Stabilized Permittivity. US 20110148293, 23 June 2011. [Google Scholar]
- Espiau, F.M.; Matloubian, M.; Brockett, T.J. Method and System for Adjusting the Frequency of a Resonator Assembly for a Plasma Lamp. US 20100134013, 3 June 2010. [Google Scholar]
- Yuan, J.; Lin, G.; Chen, H.; Su, K. Design of compact circular resonator for electrodeless microwave plasma lamp. Electron. Lett. 2013, 49, 1008–1010. [Google Scholar] [CrossRef]
- Espiau, F.M.; Brockett, T.J.; Matloubian, M.; Doughty, D.A. Electrodeless Lamps with Grounded Coupling Elements and Improved Bulb Assemblies. US 20130113374, 5 September 2013. [Google Scholar]
- Ferrari, C.; Longo, I.; Socci, L.; Cavagnaro, M. Coaxially driven microwave electrodeless UV lamp. J. Electromagn. Waves Appl. 2014, 28, 669–684. [Google Scholar] [CrossRef]
- Liu, P.; Chen, M.; Chen, J.; Guo, F.; Wang, S.; Chen, Z.; Liu, M. A new remote control microwave plasma jet excited by surface waves. IEEE Trans. Plasma Sci. 2014, 42, 3942–3948. [Google Scholar] [CrossRef]
- Jordan, U.; Anderson, D.; Lapierre, L.; Lisak, M.; Olsson, T.; Puech, J.; Semenov, V.E.; Sombrin, J.; Tomala, R. On the effective diffusion length for microwave breakdown. IEEE Trans. Plasma Sci. 2006, 34, 421–430. [Google Scholar] [CrossRef]
- Yuan, Z.C.; Shi, J.M. Collisional, nonuniform plasma sphere scattering calculation by FDTD employing a drude model. Int. J. Infrared Millim. Waves 2007, 28, 987–992. [Google Scholar]
- Zhong, N.Y.; Zhu, H.C.; Yang, F.M.; Hong, T.; Yang, Y.; Huang, K.M. A new structure of microwave-driven UVlamp. Int. J. RF Microw. Comput. Aided Eng. 2021, 31, 12. [Google Scholar] [CrossRef]
- Huang, Y.; Zhong, N.; Zhu, H.; Huang, K. Microwave-Driven Electrodeless Ultraviolet Lamp Based on Coaxial Slot Radiator. Processes 2022, 10, 890. [Google Scholar] [CrossRef]
- Long, C.; Guo, Q.G. Simulation study of ultraviolet radiation efficiency of low-voltage microwave induction lamp. Vac. Electron. 2017, 3, 27–31. (In Chinese) [Google Scholar]
- Itikawa, Y. Effective collision frequency of electrons in gases. Phys. Fluids 1973, 16, 831–835. [Google Scholar] [CrossRef]















| Parameter | Value |
|---|---|
| Input power | 6 W |
| Microwave frequency | 2.45 × 109 Hz |
| Plasma frequency | 3.4 × 1011 rad/s |
| Collision frequency | 3 × 108 Hz |
| Field breakdown | 3.98 × 103 V/m |
| Plasma frequency maintained | 1.7 × 1011 rad/s |
| Parameter | Definitions | Value |
|---|---|---|
| Ri | Radius of inner conductor (Radius of the bottom plane of the frustum) | 3 mm |
| Ro | Radius of outer conductor | 7 mm |
| Rt | Radius of the upper plane of the frustum | 0.8 mm |
| RLi | Inner radius of the bulb | 2.2 mm |
| RLo | Outer radius of the bulb | 4.5 mm |
| d | Thickness of outer conductor | 0.3 mm |
| Li | Length of inner conductor | 40 mm |
| Lo | Length of outer conductor | 53.5 mm |
| Lt | Length of the frustum | 12 mm |
| Lin | Depth of bulb insertion | 8 mm |
| Lb | Length of the overall bulb | 9 mm |
| Input Power | COV | Average Values of Electric Field Strength in Bulb Region |
|---|---|---|
| 4 W | 0.97 | 8897 V/m |
| 6 W | 1.00 | 11,218 V/m |
| 8 W | 1.05 | 13,095 V/m |
| 10 W | 1.07 | 14,615 V/m |
| 12 W | 1.09 | 15,874 V/m |
| Gas Pressure | COV | Average Values of Electric Field Strength in Bulb Region |
|---|---|---|
| 200 pa | 1.09 | 5214 V/m |
| 150 pa | 1.09 | 6050 V/m |
| 100 pa | 1.10 | 7954 V/m |
| 50 pa | 1.00 | 11,218 V/m |
| 20 pa | 0.86 | 16,827 V/m |
| Gas Complement | COV | Average Values of Electric Field Strength in Bulb Region |
|---|---|---|
| Ar-Hg | 1.00 | 11,218 V/m |
| Kr | 1.02 | 11,165 V/m |
| CO | 1.01 | 11,171 V/m |
| He | 1.08 | 8896 V/m |
| Ne | 1.07 | 9259 V/m |
| Cs | 1.09 | 5730 V/m |
Disclaimer/Publisher’s Note: The statements, opinions and data contained in all publications are solely those of the individual author(s) and contributor(s) and not of MDPI and/or the editor(s). MDPI and/or the editor(s) disclaim responsibility for any injury to people or property resulting from any ideas, methods, instructions or products referred to in the content. |
© 2023 by the authors. Licensee MDPI, Basel, Switzerland. This article is an open access article distributed under the terms and conditions of the Creative Commons Attribution (CC BY) license (https://creativecommons.org/licenses/by/4.0/).
Share and Cite
Liu, S.; Huang, Y.; Guo, Q. A Compact Microwave-Driven UV Lamp for Dental Light Curing. Processes 2023, 11, 2651. https://doi.org/10.3390/pr11092651
Liu S, Huang Y, Guo Q. A Compact Microwave-Driven UV Lamp for Dental Light Curing. Processes. 2023; 11(9):2651. https://doi.org/10.3390/pr11092651
Chicago/Turabian StyleLiu, Siyuan, Yuqing Huang, and Qinggong Guo. 2023. "A Compact Microwave-Driven UV Lamp for Dental Light Curing" Processes 11, no. 9: 2651. https://doi.org/10.3390/pr11092651
APA StyleLiu, S., Huang, Y., & Guo, Q. (2023). A Compact Microwave-Driven UV Lamp for Dental Light Curing. Processes, 11(9), 2651. https://doi.org/10.3390/pr11092651
