Observer-Based Approximate Affine Nonlinear Model Predictive Controller for Hydraulic Robotic Excavators with Constraints
Abstract
1. Introduction
- (1)
- Parameter identification was performed to identify the key parameters in the nonlinear non-affine model of the hydraulic excavator using measured data. Then, the nonlinear non-affine model is approximated to an affine nonlinear state-space model, which can reduce unmodeled errors and more accurately reflect the system’s dynamic features compared to the conventional first-order linearization models.
- (2)
- An approximated nonlinear model predictive control (ANMPC) is designed based on the approximate affine nonlinear state-space model, which can still be solved by quadratic programming (QP), with the same computation burden as a linear MPC, avoiding solving the nonlinear MPC problem. As only pressure and displacement sensors are installed for the robotic excavator, we design an EKF observer for the electro-hydraulic system to estimate the unknown velocity information while reducing the measurement error of displacement and pressure signals.
- (3)
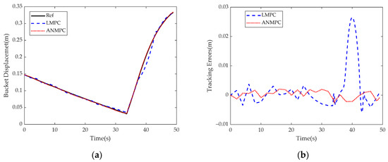
- Experiments were conducted on a 1.7-ton hydraulic excavator, where three joints of the hydraulic excavator were simultaneously controlled to execute a typical excavation trajectory. The results demonstrate that the proposed observer-based ANMPC outperforms the conventional LMPC in trajectory tracking control during excavation.
2. System Description and Modeling
2.1. Electro-Hydraulic System Description
2.2. Kinematics
2.3. Mathematical Model of EHS
2.4. Model Validation
3. Approximate Nonlinear Model Predictive Controller Design
3.1. Approximation Affine Nonlinear State Space Model
3.2. ANMPC Design
3.3. EKF-Based ANMPC Design
4. Experiment
4.1. Experiment Platform
4.2. Controller Settings
4.3. Trajectory Planning
4.4. Experiment Results
5. Conclusions
Author Contributions
Funding
Data Availability Statement
Conflicts of Interest
References
- Lee, M.; Choi, H.; Kim, C.; Moon, J.; Kim, D.; Lee, D. Precision Motion Control of Robotized Industrial Hydraulic Excavators via Data-Driven Model Inversion. IEEE Robot. Autom. Lett. 2022, 7, 1912–1919. [Google Scholar] [CrossRef]
- Sun, D.; Hwang, S.; Han, J. Lever Control for Position Control of a Typical Excavator in Joint Space Using a Time Delay Control Method. J. Intell. Robot. Syst. 2021, 102, 63. [Google Scholar] [CrossRef]
- Xiang, Y.S.; Li, R.Y.; Brach, C.; Liu, X.L.; Geimer, M. A Novel Algorithm for Hydrostatic-Mechanical Mobile Machines with a Dual-Clutch Transmission. Energies 2022, 15, 2095. [Google Scholar] [CrossRef]
- Dao, H.V.; Na, S.; Nguyen, D.G.; Ahn, K.K. High accuracy contouring control of an excavator for surface flattening tasks based on extended state observer and task coordinate frame approach. Autom. Constr. 2021, 130, 103845. [Google Scholar] [CrossRef]
- Song, H.J.; Li, G.Q.; Li, Z.; Xiong, X. Trajectory Control Strategy and System Modeling of Load-Sensitive Hydraulic Excavator. Machines 2023, 11, 10. [Google Scholar] [CrossRef]
- Feng, H.; Yin, C.B.; Ma, W.; Yu, H.F.; Cao, D.H. Parameters identification and trajectory control for a hydraulic system. ISA Trans. 2019, 92, 228–240. [Google Scholar] [CrossRef]
- Feng, H.; Yin, C.B.; Weng, W.W.; Ma, W.; Zhou, J.J.; Jia, W.H.; Zhang, Z.L. Robotic excavator trajectory control using an improved GA based PID controller. Mech. Syst. Signal Proc. 2018, 105, 153–168. [Google Scholar] [CrossRef]
- Ye, Y.; Yin, C.B.; Gong, Y.; Zhou, J.J. Position control of nonlinear hydraulic system using an improved PSO based PID controller. Mech. Syst. Signal Proc. 2017, 83, 241–259. [Google Scholar] [CrossRef]
- Ding, R.; Bing, X.; Zhang, J.; Min, C. Self-tuning pressure-feedback control by pole placement for vibration reduction of excavator with independent metering fluid power system. Mech. Syst. Signal Proc. 2017, 92, 86–106. [Google Scholar] [CrossRef]
- Huang, Z.P.; Xu, Y.P.; Ren, W.; Fu, C.W.; Cao, R.K.; Kong, X.D.; Li, W.F. Design of Position Control Method for Pump-Controlled Hydraulic Presses via Adaptive Integral Robust Control. Processes 2022, 10, 14. [Google Scholar] [CrossRef]
- Hanh, L.D.; Ahn, K.K.; Kha, N.B.; Jo, W.K. Trajectory control of electro-hydraulic excavator using fuzzy self tuning algorithm with neural network. J. Mech. Sci. Technol. 2009, 23, 149–160. [Google Scholar] [CrossRef]
- Park, J.; Cho, D.; Kim, S.; Kim, Y.B.; Kim, P.Y.; Kim, H.J. Utilizing online learning based on echo-state networks for the control of a hydraulic excavator. Mechatronics 2014, 24, 986–1000. [Google Scholar] [CrossRef]
- Yang, F.B.; Zhou, H.P.; Deng, W.X. Active Disturbance Rejection Adaptive Control for Hydraulic Lifting Systems with Valve Dead-Zone. Electronics 2022, 11, 1788. [Google Scholar] [CrossRef]
- Mayne, D.Q.; Rakovic, S. Model predictive control of constrained piecewise acne discrete-time systems. Int. J. Robust Nonlinear Control 2003, 13, 261–279. [Google Scholar] [CrossRef]
- Feng, N.; Wu, D.F.; Yu, H.L.; Yamashita, A.S.; Huang, Y.Q. Predictive compensator based event-triggered model predictive control with nonlinear disturbance observer for unmanned surface vehicle under cyber-attacks. Ocean Eng. 2022, 259, 111868. [Google Scholar] [CrossRef]
- Mayne, D.Q.; Rawlings, J.B.; Rao, C.V.; Scokaert, P. Constrained model predictive control: Stability and optimality. Automatica 2000, 36, 789–814. [Google Scholar] [CrossRef]
- Yuan, H.B.; Na, H.C.; Young-Bae, K. Robust MPC–PIC force control for an electro-hydraulic servo system with pure compressive elastic load. Control Eng. Pract. 2018, 79, 170–184. [Google Scholar] [CrossRef]
- Bender, F.A.; Goltz, S.; Braunl, T.; Sawodny, O. Modeling and Offset-Free Model Predictive Control of a Hydraulic Mini Excavator. IEEE Trans. Autom. Sci. Eng. 2017, 14, 1682–1694. [Google Scholar] [CrossRef]
- Bender, F.A.; Mitschke, M.; Braeunl, T.; Sawodny, O. Predictive operator modeling for virtual prototyping of hydraulic excavators. Autom. Constr. 2017, 84, 133–145. [Google Scholar] [CrossRef]
- Jose, J.T.; Das, J.; Mishra, S.K. Dynamic Improvement of Hydraulic Excavator Using Pressure Feedback and Gain Scheduled Model Predictive Control. IEEE Sens. J. 2021, 21, 18526–18534. [Google Scholar] [CrossRef]
- Bai, G.X.; Meng, Y.; Liu, L.; Luo, W.D.; Gu, Q. Review and Comparison of Path Tracking Based on Model Predictive Control. Electronics 2019, 8, 1077. [Google Scholar] [CrossRef]
- Xiong, K.; Zhang, H.Y.; Chan, C.W. Performance evaluation of UKF-based nonlinear filtering. Automatica 2006, 42, 261–270. [Google Scholar] [CrossRef]
- Khadim, Q.; Hagh, Y.S.; Pyrhonen, L.; Jaiswal, S.; Zhidchenko, V.; Kurvinen, E.; Sopanen, J.; Mikkola, A.; Handroos, H. State Estimation in a Hydraulically Actuated Log Crane Using Unscented Kalman Filter. IEEE Access 2022, 10, 62863–62878. [Google Scholar] [CrossRef]
- Guo, Q.; Zhang, Y.; Celler, B.G.; Su, S.W. Backstepping Control of Electro-Hydraulic System Based on Extended-State-Observer With Plant Dynamics Largely Unknown. IEEE Trans. Ind. Electron. 2016, 63, 6909–6920. [Google Scholar] [CrossRef]
- Liu, M.; Zhang, L.X.; Shi, P.; Zhao, Y.X. Fault Estimation Sliding-Mode Observer With Digital Communication Constraints. IEEE Trans. Autom. Control 2018, 63, 3434–3441. [Google Scholar] [CrossRef]
- Strano, S.; Terzo, M. Accurate state estimation for a hydraulic actuator via a SDRE nonlinear filter. Mech. Syst. Signal Proc. 2016, 75, 576–588. [Google Scholar] [CrossRef]
- Deng, H.; Xu, Z.; Li, H.-X. A novel neural internal model control for multi-input multi-output nonlinear discrete-time processes. J. Process Control 2009, 19, 1392–1400. [Google Scholar] [CrossRef]
- Ding, W.H.; Deng, H.; Xia, Y.M.; Duan, X.G. Tracking control of electro-hydraulic servo multi-closed-chain mechanisms with the use of an approximate nonlinear internal model. Control Eng. Pract. 2017, 58, 225–241. [Google Scholar] [CrossRef]
- Li, H.-X.; Deng, H. An approximate internal model-based neural control for unknown nonlinear discrete processes. IEEE Trans. Neural Netw. 2006, 17, 659–670. [Google Scholar]
- Yan, Z.; Wang, J. Model Predictive Control of Nonlinear Systems with Unmodeled Dynamics Based on Feedforward and Recurrent Neural Networks. IEEE Trans. Ind. Inform. 2012, 8, 746–756. [Google Scholar] [CrossRef]
- Yan, Z.; Wang, J. Robust Model Predictive Control of Nonlinear Systems with Unmodeled Dynamics and Bounded Uncertainties Based on Neural Networks. IEEE Trans. Neural Netw. Learn. Syst. 2014, 25, 457–469. [Google Scholar] [CrossRef]
- Boutayeb, M.; Aubry, D. A strong tracking extended Kalman observer for nonlinear discrete-time systems. IEEE Trans. Autom. Control 1999, 44, 1550–1556. [Google Scholar] [CrossRef]
- Zhao, Y.M.; Wang, J.; Zhang, Y.; Luo, C. A Novel Method of Soil Parameter Identification and Force Prediction for Automatic Excavation. IEEE Access 2020, 8, 11197–11207. [Google Scholar] [CrossRef]















| Joint i | ||||
|---|---|---|---|---|
| 1 (Rotation) | 0.65 | 0.82 | 90 | −180 to 180 |
| 2 (Boom) | 1.8 | 0 | 0 | −56.1 to 65.5 |
| 3 (Arm) | 0.95 | 0 | 0 | −30.0 to −154.0 |
| 4 (Bucket) | 0.535 | 0 | 0 | −44.5 to −118.5 |
| Parameters | |||||||
|---|---|---|---|---|---|---|---|
| Estimated Values | 0 | 133.75 | 1.65 × 10−6 | 12.5 | 1.05 × 1010 | 81.33 | 1.047 × 104 |
| Parameters | |||||||
|---|---|---|---|---|---|---|---|
| Boom | 0 | 53.3 | 2.5 × 10−5 | 5.0 | 1.05 × 1010 | 63.16 | 8.21 × 103 |
| Arm | 0 | 89.17 | 3.67 × 10−5 | 8.33 | 1.05 × 1010 | 71.77 | 9.33 × 103 |
| Parameters | Boom | Arm | Bucket |
|---|---|---|---|
| [, ] | [10, 2] | [10, 2] | [10, 2] |
| [, ] (mA) | [−1000, 1000] | [−1000, 1000] | [−1000, 1000] |
| [, ] (mA) | [−100, 100] | [−100, 100] | [−100, 100] |
| [, ] (m) | [0, 0.38] | [0, 0.445] | [0, 0.352] |
| [, ] (m/s) | [−0.3, 0.3] | [−0.5, 0.5] | [−0.5, 0.5] |
| [, ] (MPa) | [−15, 15] | [−12, 12] | [−12, 12] |
| Dead zone (mA) | [300, 300] | [220, 220] | [200, 200] |
| Errors (10−3 m) | Joint Space | Cartesian Space | ||||||
|---|---|---|---|---|---|---|---|---|
| Boom | Arm | Bucket | Distance | X-Axis | Z-Axis | Angle | ||
| LMPC | Max | 4.1 | 3.9 | 26.4 | 87.5 | 25.6 | 63.9 | 0.0659 |
| RMSE | 2.3 | 2.1 | 6.7 | 31.4 | 19.7 | 24.5 | 0.0425 | |
| ANMPC | Max | 1.9 | 1.7 | 2.1 | 23.1 | 13.8 | 18.5 | 0.02 |
| RMSE | 1.0 | 0.9 | 1.2 | 11.6 | 5.6 | 10.1 | 0.0083 | |
Disclaimer/Publisher’s Note: The statements, opinions and data contained in all publications are solely those of the individual author(s) and contributor(s) and not of MDPI and/or the editor(s). MDPI and/or the editor(s) disclaim responsibility for any injury to people or property resulting from any ideas, methods, instructions or products referred to in the content. |
© 2023 by the authors. Licensee MDPI, Basel, Switzerland. This article is an open access article distributed under the terms and conditions of the Creative Commons Attribution (CC BY) license (https://creativecommons.org/licenses/by/4.0/).
Share and Cite
Wang, J.; Zhang, H.; Hao, P.; Deng, H. Observer-Based Approximate Affine Nonlinear Model Predictive Controller for Hydraulic Robotic Excavators with Constraints. Processes 2023, 11, 1918. https://doi.org/10.3390/pr11071918
Wang J, Zhang H, Hao P, Deng H. Observer-Based Approximate Affine Nonlinear Model Predictive Controller for Hydraulic Robotic Excavators with Constraints. Processes. 2023; 11(7):1918. https://doi.org/10.3390/pr11071918
Chicago/Turabian StyleWang, Jian, Hao Zhang, Peng Hao, and Hua Deng. 2023. "Observer-Based Approximate Affine Nonlinear Model Predictive Controller for Hydraulic Robotic Excavators with Constraints" Processes 11, no. 7: 1918. https://doi.org/10.3390/pr11071918
APA StyleWang, J., Zhang, H., Hao, P., & Deng, H. (2023). Observer-Based Approximate Affine Nonlinear Model Predictive Controller for Hydraulic Robotic Excavators with Constraints. Processes, 11(7), 1918. https://doi.org/10.3390/pr11071918

