Energy-Efficient Bi-Objective Optimization Based on the Moth–Flame Algorithm for Cluster Head Selection in a Wireless Sensor Network
Abstract
1. Introduction
2. Related Works and Background
2.1. Selection of the Bi-Objective Optimization Algorithms
2.2. Moth–Flame Optimization (MFO) Algorithm
| Algorithm 1 (MFO) The pseudocode of the moth–flame algorithm |
| 1: Begin 2: initialize the moths position. 3: While(iteration<=Max_iteration) 4: Update the number of flame 5: OM = Fitness Function(M) 6: if iteration equal to 1 7: F = short(M) 8: OF = sort(OM) 9: else 10: F = sort(Mt−1,Mt) 11: OF = sort(Mt−1,Mt) 12: End 13: for i = 1: n 14: for j = 1: d 15: Update t as well as r 16: compute D with regard to the equivalent moth 17: Update M(i,j) with regard to the equivalent 18: End 19: End |
2.3. Whale Optimization Algorithm (WOA)
2.4. Salp Swarm Algorithm (SSA)
2.5. Low-Energy Adaptive Clustering Hierarchy (LEACH)
3. Materials and Methods
3.1. The Wireless Network Energy Consumption Model
3.2. Weighted-Sum-Based Bi-Objective Optimization
3.3. Complexity Analysis
- The procedure of updating positions allows finding neighboring solutions around the flames, which is a mechanism for typically promoting exploitation.
- As the MFO algorithm uses a population of moths, the local optima avoidance will be high.
- The search space exploration is increased and the local optima stagnation probability is decreased by assigning each moth a flame and then updating the flames sequence within each iteration.
- Taking into consideration current best-obtained solutions up to the present as the number of flames saves promising solutions as moth guides.
- The adaptive flames number balances exploration and exploitation.
- The adaptive convergence constant (r) results in accelerated convergence around the flames on the iterations course.
4. Simulation Results and Discussion
4.1. First Stage of Analysis
4.1.1. Exploration and Exploitation Process
4.1.2. Number of Alive Nodes
4.1.3. Network Throughput
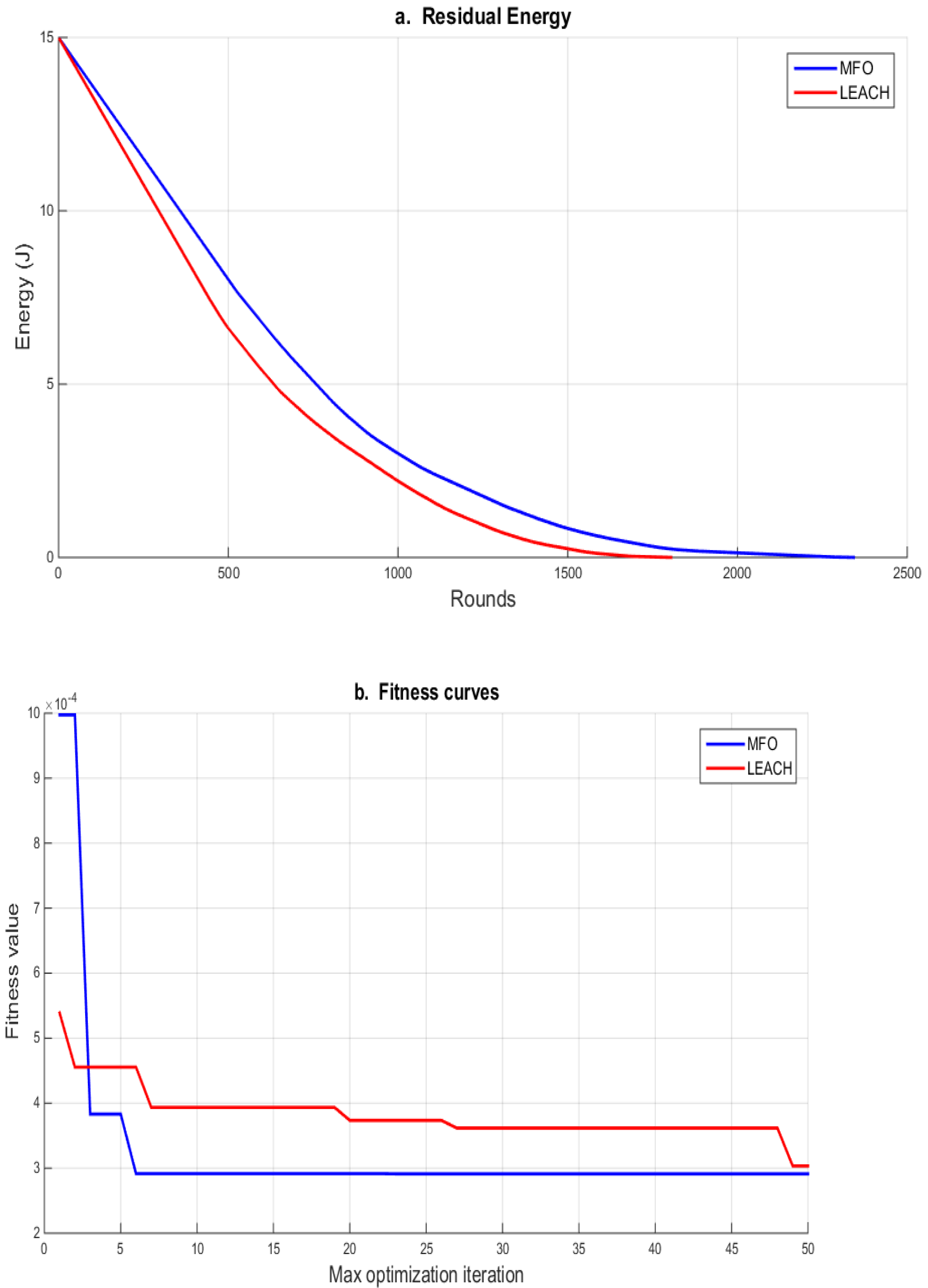
4.1.4. Residual Energy
4.1.5. Fitness Function
4.2. Second Stage of Analysis
5. Conclusions and Future Work
Author Contributions
Funding
Data Availability Statement
Conflicts of Interest
References
- Aguirre, E.; Lopez-Iturri, P.; Azpilicueta, L.; Astrain, J.J.; Villadangos, J.; Santesteban, D.; Falcone, F. Implementation and Analysis of a Wireless Sensor Network-Based Pet Location Monitoring System for Domestic Scenarios. Sensors 2016, 16, 1384. [Google Scholar] [CrossRef] [PubMed]
- Sarammal, K.; Roseline, R.A. A Review: Wireless Sensor Networks and Its Application, Platforms, Standards and Tools. Int. J. Comput. Trends Technol. 2013, 4, 7. [Google Scholar]
- Sohraby, K.; Minoli, D.; Znati, T. Wireless Sensor Networks: Technology, Protocols, and Applications; John Wiley & Sons: Hoboken, NJ, USA, 2007. [Google Scholar]
- Raj, P.; Deka, G.C. Handbook of Research on Cloud Infrastructures for Big Data Analytics. IGI Global, 1AD. Available online: https://www.igi-global.com/book/handbook-research-cloud-infrastructures-big/www.igi-global.com/book/handbook-research-cloud-infrastructures-big/95028 (accessed on 10 December 2021).
- Kharazian, A. Adaptive Clustering in Wireless Sensor Network: Considering Nodes with Lowest Energy. Int. J. Ad Hoc Sens. Ubiquitous Comput. 2012, 3, 1–12. [Google Scholar] [CrossRef]
- Djedouboum, A.C.; Ari, A.A.A.; Gueroui, A.M.; Mohamadou, A.; Aliouat, Z. Big Data Collection in Large-Scale Wireless Sensor Networks. Sensors 2018, 18, 4474. [Google Scholar] [CrossRef]
- Konstantinidis, A.; Yang, K. Multi-objective energy-efficient dense deployment in Wireless Sensor Networks using a hybrid problem-specific MOEA/D. Appl. Soft Comput. 2011, 11, 4117–4134. [Google Scholar] [CrossRef]
- Elshrkawey, M.; Elsherif, S.M.; Wahed, M.E. An Enhancement Approach for Reducing the Energy Consumption in Wireless Sensor Networks. J. King Saud Univ. -Comput. Inf. Sci. 2018, 30, 259–267. [Google Scholar] [CrossRef]
- Wei, Z.; Zhu, X.; Sun, S.; Huang, Y.; Dong, L.; Jiang, Y. Full-duplex versus half-duplex amplify-and-forward relaying: Which is more energy efficient in 60-GHz dual-hop indoor wireless systems? IEEE J. Sel. Areas Commun. 2015, 33, 2936. [Google Scholar] [CrossRef]
- Heinzelman, W.R.; Chandrakasan, A.; Balakrishnan, H. Energy-efficient communication protocol for wireless microsensor networks. In Proceedings of the 33rd Annual Hawaii International Conference on System Sciences, Maui, HI, USA, 7 January 2002; Volume 2, p. 10. [Google Scholar] [CrossRef]
- Salah-ddine, K. Recent Advances of Hierarchical Routing Protocols for AdHoc and Wireless Sensor Networks: A Literature Survey. Int. J. Inform. Technol. 2016, 9, 71–79. [Google Scholar]
- Liaqat, M.; Gani, A.; Anisi, M.H.; Ab Hamid, S.H.; Akhunzada, A.; Khan, M.K.; Ali, R.L. Distance-Based and Low Energy Adaptive Clustering Protocol for Wireless Sensor Networks. PLoS ONE 2016, 11, e0161340. [Google Scholar] [CrossRef]
- Tong, M.; Tang, M. LEACH-B: An Improved LEACH Protocol for Wireless Sensor Network. In Proceedings of the 2010 6th International Conference on Wireless Communications Networking and Mobile Computing (WiCOM), Caen, France, 28 June–2 July 2010; pp. 1–4. [Google Scholar] [CrossRef]
- Wang, R.; Wu, N.; Yu, X. Design of Digital Aerial Photography System for Unmanned Aerial Vehicle Based on Wireless Sensor Network. J. Appl. Sci. Eng. Technol. Educ. 2020, 14, 12. [Google Scholar]
- Mirjalili, S. Moth-Flame Optimization Algorithm: A Novel Nature-inspired Heuristic Paradigm. Knowl. -Based Syst. 2015, 89, 228–249. [Google Scholar] [CrossRef]
- Anbarasan, P.; Jayabarathi, T. Optimal reactive power dispatch using moth-flame optimization algorithm. Int. J. Appl. Eng. Res. 2017, 12, 3690–3701. [Google Scholar]
- Xu, Y.; Chen, H.; Luo, J.; Zhang, Q.; Jiao, S.; Zhang, X. Enhanced Moth-flame optimizer with mutation strategy for global optimization. Inf. Sci. 2019, 492, 181–203. [Google Scholar] [CrossRef]
- Shehab, M.; Abualigah, L.; AlHamad, H.; Alabool, H.; Al Shinwan, M.; Khasawneh, A. Moth–flame optimization algorithm: Variants and applications. Neural Comput. Appl. 2020, 32, 9859–9884. [Google Scholar] [CrossRef]
- Jangir, N.; Pandya, M.H.; Trivedi, I.N.; Bhesdadiya, R.H.; Jangir, P.; Kumar, A. Moth-Flame optimization Algorithm for solving real challenging constrained engineering optimization problems. In Proceedings of the 2016 IEEE Students’ Conference on Electrical, Electronics and Computer Science (SCEECS), Bhopal, India, 5–6 March 2016; pp. 1–5. [Google Scholar] [CrossRef]
- Elsakaan, A.A.; El-Sehiemy, R.A.; Kaddah, S.S.; Elsaid, M.I. An enhanced moth-flame optimizer for solving non-smooth economic dispatch problems with emissions. Energy 2018, 157, 1063–1078. [Google Scholar] [CrossRef]
- Allam, D.; Yousri, D.A.; Eteiba, M.B. Parameters extraction of the three diode model for the multi-crystalline solar cell/module using Moth-Flame Optimization Algorithm. Energy Convers. Manag. 2016, 123, 535–548. [Google Scholar] [CrossRef]
- Hazir, E.; Erdinler, E.S.; Koc, K.H. Optimization of CNC cutting parameters using design of experiment (DOE) and desirability function. J. For. Res. 2017, 29, 1423–1434. [Google Scholar] [CrossRef]
- Zawbaa, H.M.; Emary, E.; Parv, B.; Sharawi, M. Feature selection approach based on moth-flame optimization algorithm. In Proceedings of the 2016 IEEE Congress on Evolutionary Computation (CEC), Vancouver, BC, Canada, 24–29 July 2016; pp. 4612–4617. [Google Scholar] [CrossRef]
- Trivedi, I.N.; Kumar, A.; Ranpariya, A.H.; Jangir, P. Economic Load Dispatch problem with ramp rate limits and prohibited operating zones solve using Levy flight Moth-Flame optimizer. In Proceedings of the 2016 International Conference on Energy Efficient Technologies for Sustainability (ICEETS), Nagercoil, India, 7–8 April 2016; pp. 442–447. [Google Scholar] [CrossRef]
- Wang, M. Toward an optimal kernel extreme learning machine using a chaotic moth-flame optimization strategy with applications in medical diagnoses. Neurocomputing 2017, 267, 69–84. [Google Scholar] [CrossRef]
- Yousri, D.A.; AbdelAty, A.M.; Said, L.A.; AboBakr, A.; Radwan, A.G. Biological inspired optimization algorithms for cole-impedance parameters identification. AEU -Int. J. Electron. Commun. 2017, 78, 79–89. [Google Scholar] [CrossRef]
- Aziz, M.A.E.; Ewees, A.A.; Hassanien, A.E. Whale Optimization Algorithm and Moth-Flame Optimization for multilevel thresholding image segmentation. Expert Syst. Appl. 2017, 83, 242–256. [Google Scholar] [CrossRef]
- Latiff, N.M.A.; Tsimenidis, C.C.; Sharif, B.S. Energy-Aware Clustering for Wireless Sensor Networks using Particle Swarm Optimization. In Proceedings of the 18th Annual IEEE International Symposium on Personal, Indoor and Mobile Radio Communications, Montreal, QC, Canada, 3–7 September 2007. [Google Scholar]
- Lavanya, N.; Shankar, T. Energy Efficient Cluster Head Selection using Hybrid Squirrel Harmony Search Algorithm in WSN. Int. J. Adv. Comput. Sci. Appl. 2019, 10, 477–487. [Google Scholar] [CrossRef]
- Jadhav, A.R.; Shankar, T. Whale Optimization Based Energy-Efficient Cluster Head Selection Algorithm for Wireless Sensor Networks. arXiv 2017, arXiv:1711.09389. [Google Scholar]
- Selvi, M.; Nandhini, C.; Thangaramya, K.; Kulothungan, K.; Kannan, A. HBO based clustering and energy optimized routing algorithm for WSN. In Proceedings of the 2016 Eighth International Conference on Advanced Computing (ICoAC), Chennai, India, 19–21 January 2017; pp. 89–92. [Google Scholar] [CrossRef]
- Syed, M.A.; Syed, R. Weighted Salp Swarm Algorithm and its applications towards optimal sensor deployment. J. King Saud Univ. -Comput. Inf. Sci. Jul. 2022, 34, 1285–1295. [Google Scholar] [CrossRef]
- Mann, P.; Singh, S. Energy efficient clustering protocol based on improved metaheuristic in wireless sensor networks. J. Netw. Comput. Appl. 2017, 83, 40–52. [Google Scholar] [CrossRef]
- Hussain, Z.; Raziuddin, S. Completely Informed Artificial Bee Colony for Dynamic Problems and Optimal Sensor Placement. Int. J. Pure Appl. Mathe 2017, 114, 12. [Google Scholar]
- Li, P.; Nie, H.; Qiu, L.; Wang, R. Energy optimization of ant colony algorithm in wireless sensor network. Int. J. Distrib. Sens. Netw. 2017, 13, 1550147717704831. [Google Scholar] [CrossRef]
- Narasegouda, S.; Salma, M.U.; Patil, A.N. Nature Inspired Algorithm Approach for the Development of an Energy Aware Model for Sensor Network. In Studies in Computational Intelligence; Springer: Berlin/Heidelberg, Germany, 2019; pp. 55–77. [Google Scholar] [CrossRef]
- Jia, J.; Chen, J.; Chang, G.; Wen, Y.; Song, J. Multi-objective optimization for coverage control in wireless sensor network with adjustable sensing radius. Comput. Math. Appl. 2009, 57, 1767–1775. [Google Scholar] [CrossRef]
- Peiravi, A.; Mashhadi, H.; Javadi, S.H. An optimal energy-efficient clustering method in wireless sensor networks using multi-objective genetic algorithm. Int. J. Commun. Syst. 2013, 26, 114–126. [Google Scholar] [CrossRef]
- Kumaravel, V.; Panneerselvam, A. A multi objective Tabu particle swarm optimization for effective cluster head selection in WSN. Clust. Comput. 2019, 22, 12275–12282. [Google Scholar] [CrossRef]
- Attea, B.A.; Okay, F.Y.; Özdemi, S.; Akcayol, M.A. Multi-objective evolutionary algorithm based on decomposition for efficient coverage control in mobile sensor networks. In Proceedings of the 2012 6th International Conference on Application of Information and Communication Technologies (AICT), Tbilisi, Georgia, 17–19 October 2012; pp. 1–6. [Google Scholar] [CrossRef]
- Jameii, S.M.; Faez, K.; Dehghan, M. Multiobjective Optimization for Topology and Coverage Control in Wireless Sensor Networks. Int. J. Distrib. Sens. Netw. 2015, 11, 363815. [Google Scholar] [CrossRef]
- Jameii, S.M.; Faez, K.; Dehghan, M. AMOF: Adaptive multi-objective optimization framework for coverage and topology control in heterogeneous wireless sensor networks. Telecommun. Syst. 2016, 61, 515–530. [Google Scholar] [CrossRef]
- Attea, B.; Khalil, E.; Cosar, A. Multi-objective evolutionary routing protocol for efficient coverage in mobile sensor networks. Soft Comput. 2014, 61, 515–530. [Google Scholar] [CrossRef]
- Chávez-Bosquez, O.; Pozos-Parra, P.; Hernández-Ocaña, B. On Combining Numerical Optimization Techniques with a Belief Merging Approach. In Proceedings of the Eleventh Latin American Workshop on New Methods of Reasoning (LANMR), Puebla, Mexico, 15-16 November 2018; 2018; pp. 51–62. [Google Scholar]
- Blum, C.; Roli, A. Metaheuristics in combinatorial optimization: Overview and conceptual comparison. ACM Comput. Surv. 2003, 35, 268–308. [Google Scholar] [CrossRef]
- Voss, S. Meta-heuristics: The state of the art. In Lecture Notes in Computer Science; Springer: Berlin/Heidelberg, Germany, 2001; Volume 2148, pp. 1–23. [Google Scholar]
- Mirjalili, S.; Mirjalili, S.M.; Lewis, A. Grey Wolf Optimizer. Adv. Eng. Softw. 2014, 69, 46–61. [Google Scholar] [CrossRef]
- Consoli, S. The development and application of metaheuristics for problems in graph theory: A computational study. Ph.D. Thesis, Brunel University, London, UK, 2008. [Google Scholar]
- Brownlee, J. Clever Algorithms: Nature-inspired Programming Recipes; Lulu Press: Morrisville, CA, USA, 2011. [Google Scholar]
- El-Omari, D.N.K.T. Sea Lion Optimization Algorithm for Solving the Maximum Flow Problem. Int. J. Comput. Sci. Netw. Secur. 2020, 20, 30–68. [Google Scholar] [CrossRef]
- Hussain, K.; Salleh, M.N.M.; Cheng, S.; Shi, Y. Metaheuristic research: A comprehensive survey. Artif. Intell. Rev. 2019, 52, 2191–2233. [Google Scholar] [CrossRef]
- Prakasam, A.; Savarimuthu, N. Metaheuristic Algorithms and Polynomial Turing Reductions: A Case Study Based on Ant Colony Optimization. Procedia Comput. Sci. 2015, 46, 388–395. [Google Scholar] [CrossRef]
- AL-Shammari, M.Q.; Muniyandi, R.C. Optimised Tail-based Routing for VANETs using Multi-Objective Particle Swarm Optimisation with Angle Searching. Int. J. Adv. Comput. Sci. Appl. IJACSA 2020, 11, 224–232. [Google Scholar] [CrossRef]
- Ryser-Welch, P.; Miller, J. A Review of Hyper-Heuristic Frameworks. In Proceedings of the 50th Annual Convention of the Society for the Study of Artificial Intelligence and the Simulation of Behaviour, AISB 2014, London, UK, 1–4 April 2014. [Google Scholar]
- Lam, A.Y.S.; Li, V.O.K. Chemical-Reaction-Inspired Metaheuristic for Optimization. IEEE Trans. EComput. 2010, 14, 381–399. [Google Scholar] [CrossRef]
- Khan, M.F.; Aadil, F.; Maqsood, M.; Bukhari, S.H.R.; Hussain, M.; Nam, Y. Moth Flame Clustering Algorithm for Internet of Vehicle (MFCA-IoV). IEEE Access 2019, 7, 11613–11629. [Google Scholar] [CrossRef]
- Hu, H.; Bai, Y.; Xu, T. A whale optimization algorithm with inertia weight. WSEAS Trans. Comput. 2016, 15, 8. [Google Scholar]
- Li, Z.; Zhang, S.; Song, J. Lévy-Flight Moth-Flame Algorithm for Function Optimization and Engineering Design Problems. Math. Probl. Eng. 2016, 2016, 1423930. [Google Scholar] [CrossRef]
- Liu, Z.-F.; Ge, S.-Y.; Yu, Y. Optimal reactive power dispatch using chaotic particle swarm optimization algorithm. IEEE Access 2005, 29, 53–57. [Google Scholar]
- Mirjalili, S.; Lewis, A. The Whale Optimization Algorithm. Adv. Eng. Softw. 2016, 95, 51–67. [Google Scholar] [CrossRef]
- Nasiri, J.; Khiyabani, F.M. A whale optimization algorithm (WOA) approach for clustering. Cogent Math. Stat. 2018, 5, 1483565. [Google Scholar] [CrossRef]
- Mirjalili, S.; Gandomi, A.H.; Mirjalili, S.Z.; Saremi, S.; Faris, H.; Mirjalili, S.M. Salp Swarm Algorithm: A bio-inspired optimizer for engineering design problems. Adv. Eng. Softw. 2017, 114, 163–191. [Google Scholar] [CrossRef]
- Jain, R.; Kshirsagar, M.; Malik, L. Analysis of Setup Energy of LEACH Protocol for Wireless Sensor Networks. Adv. Eng. Softw. 2017, 114, 163–191. [Google Scholar]
- Kohli, S.; Bhattacharya, P.; Jha, M. Implementation of Homogeneous LEACH Protocol in Three-Dimensional Wireless Sensor Networks. Int. J. Sens. Wirel. Commun. Control 2015, 6, 4–11. [Google Scholar] [CrossRef]
- Salleh, M.N.M.; Hussain, K.; Cheng, S.; Shi, Y.; Muhammad, A.; Ullah, G.; Naseem, R. Exploration and Exploitation Measurement in Swarm-Based Metaheuristic Algorithms: An Empirical Analysis; Springer: Berlin/Heidelberg, Germany, 2018; pp. 24–32. [Google Scholar] [CrossRef]
- Amiri, E.; Keshavarz, H.; Alizadeh, M.; Zamani, M.; Khodadadi, T. Energy Efficient Routing in Wireless Sensor Networks Based on Fuzzy Ant Colony Optimization. Int. J. Distrib. Sens. Netw. Jul. 2014, 10, 768936. [Google Scholar] [CrossRef]
- Dey, A.; Sarkar, T.; Ullah, M.; Nahar, N. Implementation of Improved Harmony Search Based Clustering Algorithm in Wireless Sensor Networks. In Proceedings of the 1st International Conference on Advanced Information and Communication Technology 2016; Chittagong Independent University: Chattogram, Bangladesh, 2016. [Google Scholar]
- Amouzgar, K. Multi-Objective Optimization Using Genetic Algorithms. Available online: http://urn.kb.se/resolve?urn=urn:nbn:se:hj:diva-19851 (accessed on 10 December 2021).
- Hayajneh, T.; Doomun, R.; Al-Mashaqbeh, G.; Mohd, B. An energy-efficient and security aware route selection protocol for wireless sensor networks. Secur. Commun. Netw. 2014, 7, 2015–2038. [Google Scholar] [CrossRef]
- Miah, M.S. Performance Analysis of ILEACH and LEACH Protocols for Wireless Sensor Networks. J. Inf. Commun. Converg. Eng. 2012, 10, 384–389. [Google Scholar] [CrossRef]
- Braman, A. A Comparative Study on Advances in LEACH Routing Protocol for Wireless Sensor Networks: A survey. Int. J. Adv. Res. Comput. Commun. Eng. 2014, 3, 8. [Google Scholar]
- Liu, Z.; Liu, Z. A Dynamic Clustering Protocol for Wireless Sensor Networks. In Proceedings of the 2011 International Conference on Computational and Information Sciences, Chengdu, China, 23 October 2011; pp. 777–779. [Google Scholar] [CrossRef]
- Nazir, B.; Hasbullah, H. Energy Efficient Multi Hierarchy Clustering Protocol for Wireless Sensor Network (EMHC). In Proceedings of the International Conference on Intelligent and Information Technology 2010, Lahore, Pakistan, 28–30 October 2010; p. 6. [Google Scholar]
- Tarng, W.; Huang, K.-J.; Deng, L.-Z.; Hsie, K.-R.; Chen, M. A Study of Dynamic Clustering Method to Extend the Lifetime of Wireless Sensor Network. Int. J. Electron. Commun. Eng. 2010, 4, 61. [Google Scholar]
- Muthusamy, M.; Nallasamy, S. Enhancements of LEACH Algorithm for Wireless Networks: A Review. ICTACT J. Commun. Technol. 2013, 4, 821–827. [Google Scholar] [CrossRef]
- Gupta, A.; Malik, S.; Goyal, M.; Gupta, P. Clustering Approach for Enhancing Network Energy using LEACH Protocol in WSN. Int. J. Wired Wirel. Commun. 2012, 2, 20–25. [Google Scholar]
- Farooq, M.O.; Dogar, A.B.; Shah, G.A. MR-LEACH: Multi-hop Routing with Low Energy Adaptive Clustering Hierarchy. In Proceedings of the 2010 Fourth International Conference on Sensor Technologies and Applications, Venice, Italy, 18–25 July 2010; pp. 262–268. [Google Scholar] [CrossRef]
- Bani-Hani, R.; Ijjeh, A. A Survey on LEACH-Based Energy Aware Protocols for Wireless Sensor Networks. J. Commun. Eng. Technol. Publ. 2013, 8, 192. [Google Scholar] [CrossRef]
- Ahmedy, I.; Ngadi, M.A.; Omar, S.N.; Chaudhry, J. A review on wireless sensor networks routing protocol: Challenge in energy perspective. Sci. Res. Essays 2011, 6, 5628–5649. [Google Scholar] [CrossRef]
- Kumar, D.; Aseri, T.C.; Patel, R.B. EEHC: Energy efficient heterogeneous clustered scheme for wireless sensor networks. Comput. Commun. 2009, 32, 662–667. [Google Scholar] [CrossRef]
- Bharany, S.; Sharma, S.; Badotra, S.; Khalaf, O.I.; Alotaibi, Y.; Alghamdi, S.; Alassery, F. Energy-Efficient Clustering Scheme for Flying Ad-Hoc Networks Using an Optimized LEACH Protocol. Energies 2021, 14, 16. [Google Scholar] [CrossRef]
- Kaur, M.; Munjal, A. Data Aggregation Algorithms for Wireless Sensor Network: A Review. Ad Hoc Netw. 2020, 100, 102083. [Google Scholar] [CrossRef]
- Liu, Y.; Wu, Q.; Zhao, T.; Tie, Y.; Bai, F.; Jin, M. An Improved Energy-Efficient Routing Protocol for Wireless Sensor Networks. Sensors 2019, 19, 4579. [Google Scholar] [CrossRef] [PubMed]
- Wu, X.; Lu, K.; Zhu, G. A Survey on Software-Defined Wide Area Networks. J. Commun. 2018, 13, 253–258. [Google Scholar] [CrossRef]
- Alotaibi, Y. A New Database Intrusion Detection Approach Based on Hybrid Meta-heuristics. Comput. Mater. Contin. 2021, 66, 1879–1895. [Google Scholar] [CrossRef]
- Salem, A.O.A.; Shudifat, N. Enhanced LEACH protocol for increasing a lifetime of WSNs. Pers. Ubiquitous Comput. 2019, 23, 901–907. [Google Scholar] [CrossRef]









| Symbol | Description |
|---|---|
| Energy consumed in an electronic circuit to transmit or receive a signal | |
| Energy consumed by an amplifier to transmit at a shorter distance (multi-path) | |
| Energy consumed by an amplifier to transmit at a shorter distance (free space) | |
| Data aggregation energy | |
| The threshold estimation of the transmission distance | |
| The energy consumption of receiving the data packet | |
| The energy consumption at the cluster head | |
| The energy consumption at the node | |
| The energy consumption of transmission from the cluster head to the base station | |
| The energy consumption of transmission from the node to the cluster head |
| Parameters | Value |
|---|---|
| Population size | 30 sensor nodes |
| Deployment area | 100 100 m2 |
| The location of the sink | (50, 50) |
| Initial energy for each node | 0.5 J |
| The energy transmission | 50 nJ/bit |
| The energy receiver | 50 nJ/bit |
| 0.0013 pJ/bit/m4 | |
| 10 pJ/bit/m2 | |
| 5 nj/bit/packet | |
| 50 nJ/bit | |
| Search agents | 5 |
| The number of generations | 10,000 |
| Size of packet (K) | 4096 bits |
Disclaimer/Publisher’s Note: The statements, opinions and data contained in all publications are solely those of the individual author(s) and contributor(s) and not of MDPI and/or the editor(s). MDPI and/or the editor(s) disclaim responsibility for any injury to people or property resulting from any ideas, methods, instructions or products referred to in the content. |
© 2023 by the authors. Licensee MDPI, Basel, Switzerland. This article is an open access article distributed under the terms and conditions of the Creative Commons Attribution (CC BY) license (https://creativecommons.org/licenses/by/4.0/).
Share and Cite
Mistarihi, M.Z.; Bany Salameh, H.A.; Alsaadi, M.A.; Beyca, O.F.; Heilat, L.; Al-Shobaki, R. Energy-Efficient Bi-Objective Optimization Based on the Moth–Flame Algorithm for Cluster Head Selection in a Wireless Sensor Network. Processes 2023, 11, 534. https://doi.org/10.3390/pr11020534
Mistarihi MZ, Bany Salameh HA, Alsaadi MA, Beyca OF, Heilat L, Al-Shobaki R. Energy-Efficient Bi-Objective Optimization Based on the Moth–Flame Algorithm for Cluster Head Selection in a Wireless Sensor Network. Processes. 2023; 11(2):534. https://doi.org/10.3390/pr11020534
Chicago/Turabian StyleMistarihi, Mahmoud Z., Haythem A. Bany Salameh, Mohammad Adnan Alsaadi, Omer F. Beyca, Laila Heilat, and Raya Al-Shobaki. 2023. "Energy-Efficient Bi-Objective Optimization Based on the Moth–Flame Algorithm for Cluster Head Selection in a Wireless Sensor Network" Processes 11, no. 2: 534. https://doi.org/10.3390/pr11020534
APA StyleMistarihi, M. Z., Bany Salameh, H. A., Alsaadi, M. A., Beyca, O. F., Heilat, L., & Al-Shobaki, R. (2023). Energy-Efficient Bi-Objective Optimization Based on the Moth–Flame Algorithm for Cluster Head Selection in a Wireless Sensor Network. Processes, 11(2), 534. https://doi.org/10.3390/pr11020534

