Multiple Bonus–Malus Scale Models for Insureds of Different Sizes
Abstract
:1. Introduction
- Models allowing a dynamic time dependence between contracts of the same insured: models based on series of correlated random effects (Bolancé et al. 2007; Abdallah et al. 2016), jitter models (Shi and Valdez 2014), time series for count data (Gourieroux and Jasiak 2004; Bermúdez et al. 2018; Bermúdez and Karlis 2021 or Pinquet 2020).
- Longitudinal models allowing for dependence structures between many type of claims (Abdallah et al. 2016; Pechon et al. 2019, 2021; Gómez-Déniz and Calderín-Ojeda 2018).
- Longitudinal models allowing dependence between claim frequency and claim severity (Shi et al. 2016; Oh et al. 2020; Jeong and Valdez 2020).
2. Review of the BMS Model
2.1. Summary of the Past-Claims-Rating Model
- The variable to model, named the target variable;
- The information used to define what we consider the past claim experience, named the scope variable.
2.2. The Bonus–Malus Scale Models
- For an insured i without insurance experience, we have and , which means that a new insured without experience has a claim score of 100, i.e., an entry level of 100.
- Each year without a claim decreases the claim score by 1;
- Each claim increases the claim score by .
- The impact of a single claim on the premium is equal to years without claims.
- The penalty for a claim is %.
- Each year without a claim decreases the premium by %.
Numerical Example
2.3. Summary of the Numerical Illustration
2.3.1. Data Used
2.3.2. Estimated Parameters of the BMS Model
- The jump parameter is equal to 6, meaning that each claim increases the BMS level by 6. After a claim, an insured would need 6 years without a claim to return to the original premium (before the claim);
- The value of is . That means that the penalty for a claim is equal to , and each year without claim decreases the premium by ;
- The maximum BMS level is , meaning that the maximum surcharge, compared with level 100, is ;
- The minimum BMS level is , meaning that the minimum surcharge, compared with level 100, is .
2.3.3. Problems with the Size of Farms
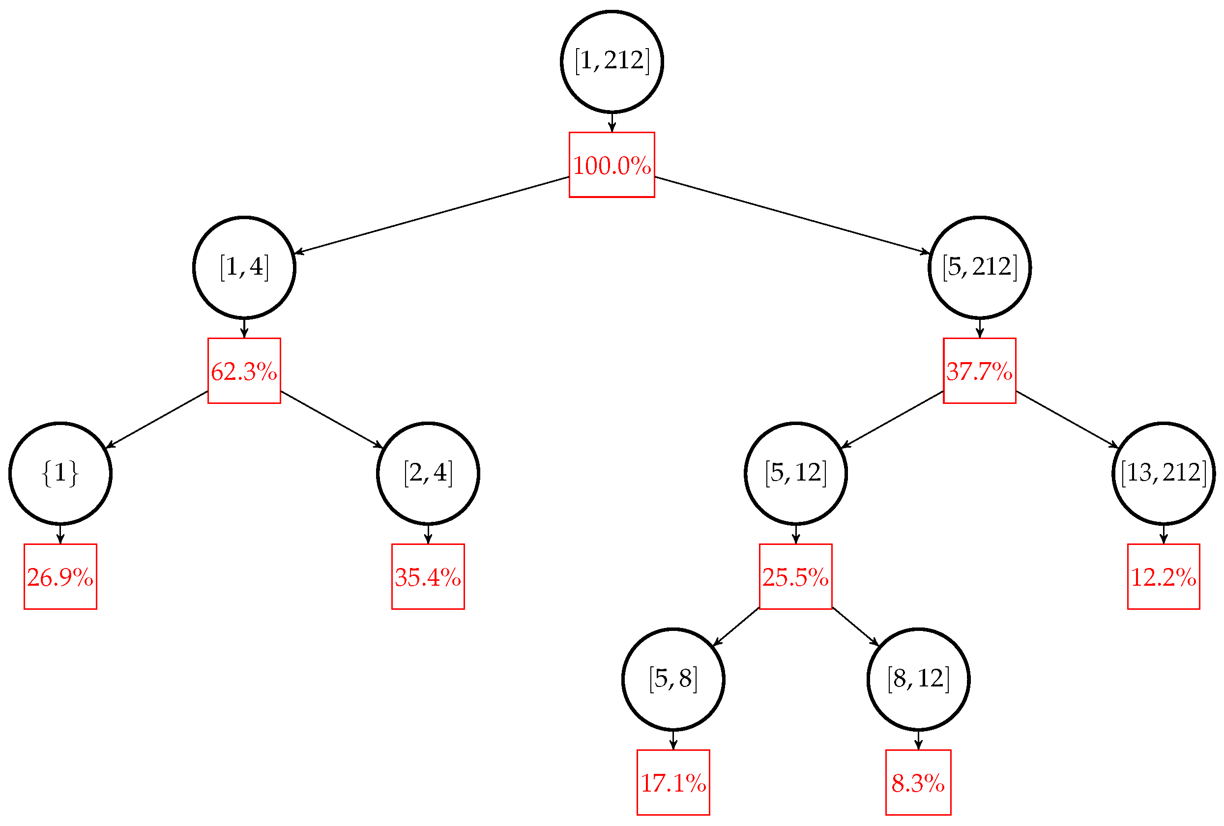
3. Partitioning the Portfolio
- The first iteration divides the insureds into two groups: insured with four or fewer than four insured items, which represents 62.3% of all insureds, and insureds with more than four items, which represents 37.7% of the insureds.
- The first group of insureds is then divided again into two groups: farms with one insured item (26.9%) and farms with between two and four insured items (35.4%). The second group is also divided into two more groups: between 5 and 12 items (31.0%) and insureds with more than 12 items (6.7%).
- Finally, only the group with between 5 and 12 items can be divided again: groups with between 5 and 8, and between 9 and 12 items, are created.
3.1. Analyzing Each Group of Farms
3.2. Different BMS Models versus the Original BMS Model
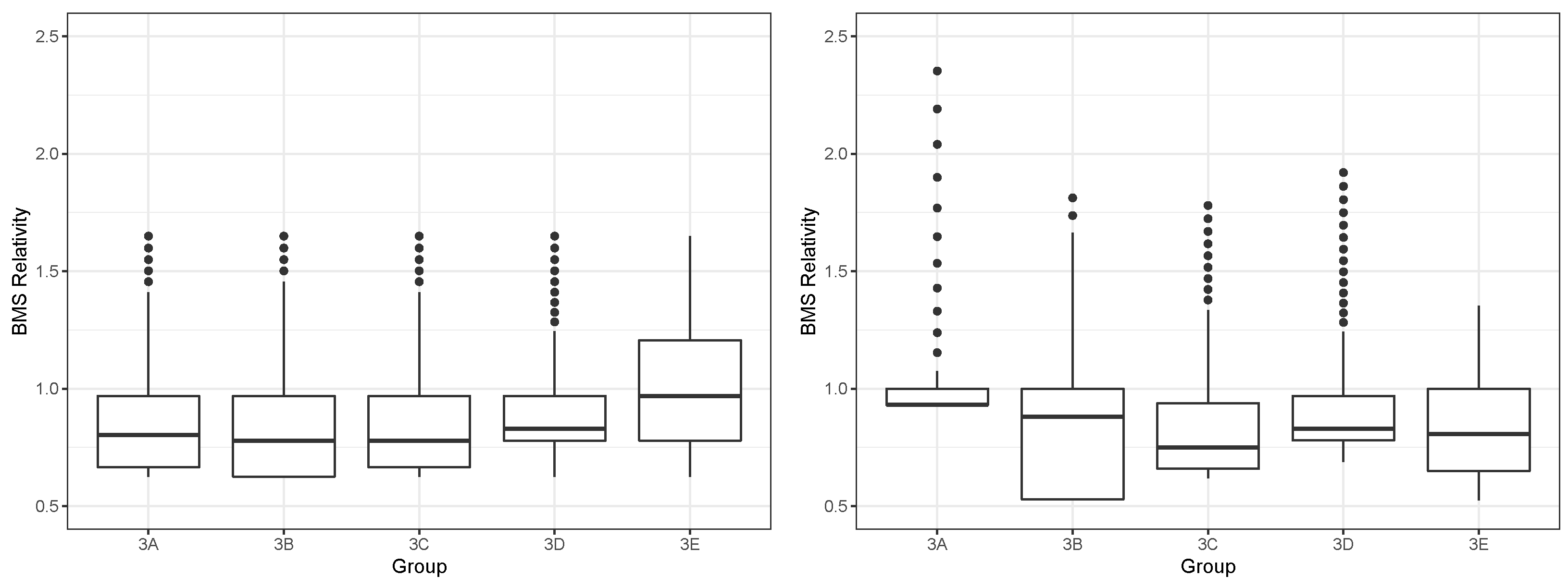
- Group 3A, which is composed of farms with only one insured item, seems very different than the other farms. Perhaps these small insureds are family farms, while the farms in the other groups are more industrial.
- Group 3A generates extreme surcharge values for insureds who claim too much: they are more than 53 times the basic premium for insureds at the top of the Bonus–Malus Scale. Even if this BMS model seems to be better than the original BMS model for group 3A (when looking at the logarithmic score), this is not realistic and cannot be applied in practice. On the other hand, groups 3B, 3C and 3D have similar maximum surcharges ranging from 0.780 to 0.920, which can also be seen as an indication that small farms with one insured item seem very different than the other farms. The maximum surcharge for larger farms is limited to an increase of 35.2% compared with the basic level (100).
- The maximum discounts are similar for each group, except group 3A. Compared with a new insured at level 100, insureds from group 3A can expect a maximum discount of only around 7%, but other insureds can obtain discounts ranging from 31.1% to 47.1%.
- The surcharge for each claim is very different from one group to another. We see that for group 3A and 3B the impact of a claim is similar, while the impacts are similar for groups 3C, 3D and 3E.
3.3. Limits of the Approach
A Study of Transition Rules
4. Conclusions
Funding
Conflicts of Interest
| 1 | Farms are sometimes passed from generation to generation. Insurance experience would not be reset in such a case. |
References
- Abdallah, Anas, Jean-Philippe Boucher, and Hélène Cossette. 2016. Sarmanov family of multivariate distributions for bivariate dynamic claim counts model. Insurance: Mathematics and Economics 68: 120–33. [Google Scholar] [CrossRef] [Green Version]
- Ágoston, Kolos Csaba, and Márton Gyetvai. 2020. Joint optimization of transition rules and the premium scale in a bonus-malus system. ASTIN Bulletin: The Journal of the IAA 50: 743–76. [Google Scholar] [CrossRef]
- Bermúdez, Lluís, and Dimitris Karlis. 2021. Multivariate inar (1) regression models based on the sarmanov distribution. Mathematics 9: 505. [Google Scholar] [CrossRef]
- Bermúdez, Lluís, Montserrat Guillén, and Dimitris Karlis. 2018. Allowing for time and cross dependence assumptions between claim counts in ratemaking models. Insurance: Mathematics and Economics 83: 161–69. [Google Scholar] [CrossRef]
- Bolancé, Catalina, Michel Denuit, Montserrat Guillén, and Philippe Lambert. 2007. Greatest accuracy credibility with dynamic heterogeneity: The harvey-fernandes model. Belgian Actuarial Bulletin 7: 14–18. [Google Scholar]
- Boucher, Jean-Philippe. 2022. Bonus-malus scale models: Creating artificial past claims history. Annals of Actuarial Science. Available online: https://archipel.uqam.ca/14973/ (accessed on 26 July 2022).
- Boucher, Jean-Philippe, and Rofick Inoussa. 2014. A posteriori ratemaking with panel data. ASTIN Bulletin: The Journal of the IAA 44: 587–612. [Google Scholar] [CrossRef]
- Bühlmann, Hans. 1967. Experience rating and credibility. ASTIN Bulletin: The Journal of the IAA 4: 199–207. [Google Scholar] [CrossRef] [Green Version]
- Cameron, A. Colin Cameron, and Pravin K. Trivedi Trivedi. 2013. Regression Analysis of Count Data. Cambridge: Cambridge University Press, vol. 53. [Google Scholar]
- Denuit, Michel, Xavier Maréchal, Sandra Pitrebois, and Jean-François Walhin. 2007. Actuarial Modelling of Claim Counts: Risk Classification, Credibility and Bonus-Malus Systems. Hoboken: John Wiley & Sons. [Google Scholar]
- Diao, Liqun, and Chengguo Weng. 2019. Regression tree credibility model. North American Actuarial Journal 23: 169–96. [Google Scholar] [CrossRef]
- Frangos, Nicholas E., and Spyridon D. Vrontos. 2001. Design of optimal bonus-malus systems with a frequency and a severity component on an individual basis in automobile insurance. ASTIN Bulletin: The Journal of the IAA 31: 1–22. [Google Scholar] [CrossRef] [Green Version]
- Gómez-Déniz, Emilio, and Enrique Calderín-Ojeda. 2018. Multivariate credibility in bonus-malus systems distinguishing between different types of claims. Risks 6: 34. [Google Scholar] [CrossRef] [Green Version]
- Gourieroux, Christian, and Joann Jasiak. 2004. Heterogeneous inar (1) model with application to car insurance. Insurance: Mathematics and Economics 34: 177–92. [Google Scholar] [CrossRef]
- Jeong, Himchan, and Emiliano A. Valdez. 2020. Predictive compound risk models with dependence. Insurance: Mathematics and Economics 94: 182–95. [Google Scholar] [CrossRef]
- Lemaire, Jean. 2012. Bonus-Malus Systems in Automobile Insurance. New York: Springer Science & Business Media, vol. 19. [Google Scholar]
- Mehmet, Mert, and Yasemin Saykan. 2005. On a bonus-malus system where the claim frequency distribution is geometric and the claim severity distribution is pareto. Hacettepe Journal of Mathematics and Statistics 34: 75–81. [Google Scholar]
- Oh, Rosy, Peng Shi, and Jae Youn Ahn. 2020. Bonus-malus premiums under the dependent frequency-severity modeling. Scandinavian Actuarial Journal 2020: 172–95. [Google Scholar] [CrossRef]
- Pechon, Florian, Michel Denuit, and Julien Trufin. 2019. Multivariate modelling of multiple guarantees in motor insurance of a household. European Actuarial Journal 9: 575–602. [Google Scholar] [CrossRef] [Green Version]
- Pechon, Florian, Michel Denuit, and Julien Trufin. 2021. Home and motor insurance joined at a household level using multivariate credibility. Annals of Actuarial Science 15: 82–114. [Google Scholar] [CrossRef]
- Pinquet, Jean. 2020. Positivity properties of the arfima (0, d, 0) specifications and credibility analysis of frequency risks. Insurance: Mathematics and Economics 95: 159–65. [Google Scholar] [CrossRef]
- Roel, Verbelen, Katrien Antonio, and Gerda Claeskens. 2018. Unraveling the Predictive Power of Telematics Data in Car Insurance Pricing. Journal of the Royal Statistical Society: Series C (Applied Statistics) 67: 1275–1304. [Google Scholar] [CrossRef] [Green Version]
- Shi, Peng, and Emiliano A. Valdez. 2014. Longitudinal modeling of insurance claim counts using jitters. Scandinavian Actuarial Journal 2014: 159–79. [Google Scholar] [CrossRef]
- Shi, Peng, Xiaoping Feng, and Jean-Philippe Boucher. 2016. Multilevel modeling of insurance claims using copulas. The Annals of Applied Statistics 10: 834–63. [Google Scholar] [CrossRef]
- Verschuren, Robert Matthijs. 2021. Predictive claim scores for dynamic multi-product risk classification in insurance. ASTIN Bulletin: The Journal of the IAA 51: 1–25. [Google Scholar] [CrossRef]








| Insured | Years | |||||||||||
|---|---|---|---|---|---|---|---|---|---|---|---|---|
| i | 2011 | 2012 | 2013 | 2014 | 2015 | 2016 | 2017 | 2018 | 2019 | 2020 | ||
| 1 | 0 | 0 | 0 | 0 | 0 | 0 | 0 | 0 | 0 | 0 | −10 | 0 |
| 2 | 2 | 0 | 1 | 0 | 0 | 0 | 2 | 0 | 1 | 0 | −6 | 6 |
| 3 | 4 | 1 | 2 | 0 | 0 | 0 | 0 | 0 | 0 | 0 | −7 | 7 |
| Policy Number | Number of Items | Effective Date | First Insurance | Coverage | … | Province | Number of Claims | Costs of Claims |
|---|---|---|---|---|---|---|---|---|
| … | … | … | … | … | ⋯ | … | … | … |
| 125721 | 2 | 15 January 2017 | 15 January 1995 | MACHINERY | ⋯ | Ontario | 2 | 186,592 |
| 125722 | 15 | 22 March 2017 | 22 March 2013 | MACHINERY | ⋯ | Quebec | 0 | 0 |
| 125723 | 1 | 11 January 2016 | 5 November 1993 | MACHINERY | ⋯ | Manitoba | 1 | 18,889 |
| 125724 | 27 | 17 February 2018 | 17 February 2018 | MACHINERY | ⋯ | Nova Scotia | 1 | 7444 |
| … | … | … | … | … | ⋯ | … | … | … |
| BMS Parameters | Log-Likelihood | Log. Score | ||||
|---|---|---|---|---|---|---|
| Distributions | (Train) | (Test) | ||||
| Poisson | 116 | 85 | 6 | 0.0312 | −8490.026 | 2857.029 |
| Division | Number of | Proportion | Average | Claims | Past Claims History | |||
|---|---|---|---|---|---|---|---|---|
| Depth | Group | Items | of Contracts | Nb. of Items | Frequency | |||
| 0 | 0A | 100.0% | 5.85 | 2.36% | 0.83 | 10.30 | 11.08 | |
| 1 | 1A | 62.3% | 2.00 | 0.71% | 0.58 | 9.95 | 10.50 | |
| 1B | 37.7% | 12.22 | 5.08% | 1.24 | 10.88 | 12.03 | ||
| 2 | 2A | 26.9% | 1.00 | 0.36% | 0.49 | 9.53 | 10.00 | |
| 2B | 35.4% | 2.75 | 0.98% | 0.64 | 10.26 | 10.87 | ||
| 2C | 25.5% | 7.57 | 3.25% | 1.04 | 10.99 | 11.96 | ||
| 2D | 12.2% | 21.94 | 8.91% | 1.68 | 10.64 | 12.17 | ||
| 3 | 3A | 26.9% | 1.00 | 0.36% | 0.49 | 9.53 | 10.00 | |
| 3B | 35.4% | 2.75 | 0.98% | 0.64 | 10.26 | 10.87 | ||
| 3C | 17.1% | 6.24 | 2.63% | 0.94 | 10.94 | 11.83 | ||
| 3D | 8.4% | 10.29 | 4.52% | 1.23 | 11.09 | 12.24 | ||
| 3E | 12.2% | 21.94 | 8.91% | 1.68 | 10.64 | 12.17 | ||
| Original BMS | BMS by Group | |||||||||||
|---|---|---|---|---|---|---|---|---|---|---|---|---|
| Group | Loglik. | Log.Score | Loglik. | Log.Score | ||||||||
| 3A | 116 | 85 | 6 | 0.0312 | −554.37 | 114.57 | 156 | 99 | 7 | 0.0713 | −539.06 | 107.70 |
| 3B | 116 | 85 | 6 | 0.0312 | −1655.34 | 550.50 | 114 | 85 | 11 | 0.0425 | −1633.46 | 553.19 |
| 3C | 116 | 85 | 6 | 0.0312 | −1778.24 | 563.72 | 118 | 85 | 6 | 0.0320 | −1768.57 | 558.16 |
| 3D | 116 | 85 | 6 | 0.0312 | −1336.60 | 459.63 | 120 | 88 | 6 | 0.0311 | −1320.47 | 457.57 |
| 3E | 116 | 85 | 6 | 0.0312 | −3165.47 | 1168.61 | 107 | 85 | 4 | 0.0431 | −3148.91 | 1166.47 |
| Total | 116 | 85 | 6 | 0.0312 | −8490.03 | 2857.03 | . | . | . | −8410.47 | 2843.08 | |
Group | Discount by Year without Claim | Surcharge by Claim | Claim Impact | Maximum Surcharge | Maximum Discount |
|---|---|---|---|---|---|
| 0A | 3.08% | 20.6% | 24.5% | 65.0% | 37.5% |
| 3A | 6.88% | 64.7% | 76.9% | 5321% | 6.90% |
| 3B | 4.16% | 59.6% | 66.5% | 81.3% | 47.1% |
| 3C | 3.15% | 17.4% | 21.2% | 78.0% | 38.2% |
| 3D | 3.06% | 20.5% | 24.3% | 92.0% | 31.1% |
| 3E | 4.22% | 18.8% | 24.1% | 35.2% | 47.6% |
| 0A | 0.931 | −0.173 | −0.176 | 0.091 | 0.052 | 0.008 |
| 3A | 0.976 | −0.953 | −0.719 | 0.141 | 0.157 | −0.133 |
| 3B | 0.888 | −0.799 | 0.170 | 0.009 | 0.247 | 0.350 |
| 3C | 0.892 | −0.864 | −0.268 | 0.026 | 0.014 | −0.031 |
| 3D | 0.828 | −1.099 | −0.045 | −0.010 | 0.159 | −0.012 |
| 3E | 0.877 | −0.445 | −0.252 | 0.167 | −0.022 | −0.045 |
| Nb. of Items | Actual Group | New Group If an Item Is Added | Nb. of Items | Actual Group | New Group If an Item Is Removed |
|---|---|---|---|---|---|
| 1 | 3A | 3B | 2 | 3B | 3A |
| 4 | 3B | 3C | 5 | 3C | 3B |
| 8 | 3C | 3D | 9 | 3D | 3C |
| 12 | 3D | 3E | 13 | 3E | 3D |
Publisher’s Note: MDPI stays neutral with regard to jurisdictional claims in published maps and institutional affiliations. |
© 2022 by the author. Licensee MDPI, Basel, Switzerland. This article is an open access article distributed under the terms and conditions of the Creative Commons Attribution (CC BY) license (https://creativecommons.org/licenses/by/4.0/).
Share and Cite
Boucher, J.-P. Multiple Bonus–Malus Scale Models for Insureds of Different Sizes. Risks 2022, 10, 152. https://doi.org/10.3390/risks10080152
Boucher J-P. Multiple Bonus–Malus Scale Models for Insureds of Different Sizes. Risks. 2022; 10(8):152. https://doi.org/10.3390/risks10080152
Chicago/Turabian StyleBoucher, Jean-Philippe. 2022. "Multiple Bonus–Malus Scale Models for Insureds of Different Sizes" Risks 10, no. 8: 152. https://doi.org/10.3390/risks10080152
APA StyleBoucher, J.-P. (2022). Multiple Bonus–Malus Scale Models for Insureds of Different Sizes. Risks, 10(8), 152. https://doi.org/10.3390/risks10080152

