Behavioural Differences in Sensorimotor Profiles: A Comparison of Preschool-Aged Children with Sensory Processing Disorder and Autism Spectrum Disorders
Abstract
:1. Introduction
2. Materials and Methods
2.1. Sampling and Data Collection
2.2. Measures
2.2.1. Developmental Profile 3 (DP-3)
2.2.2. Sensory Processing Measure-Preschool (SPM-P)
2.2.3. Repetitive Behaviour Scale-Revised (RBS-R)
2.3. Statistical Analysis
3. Results
3.1. Differences between the Two Groups
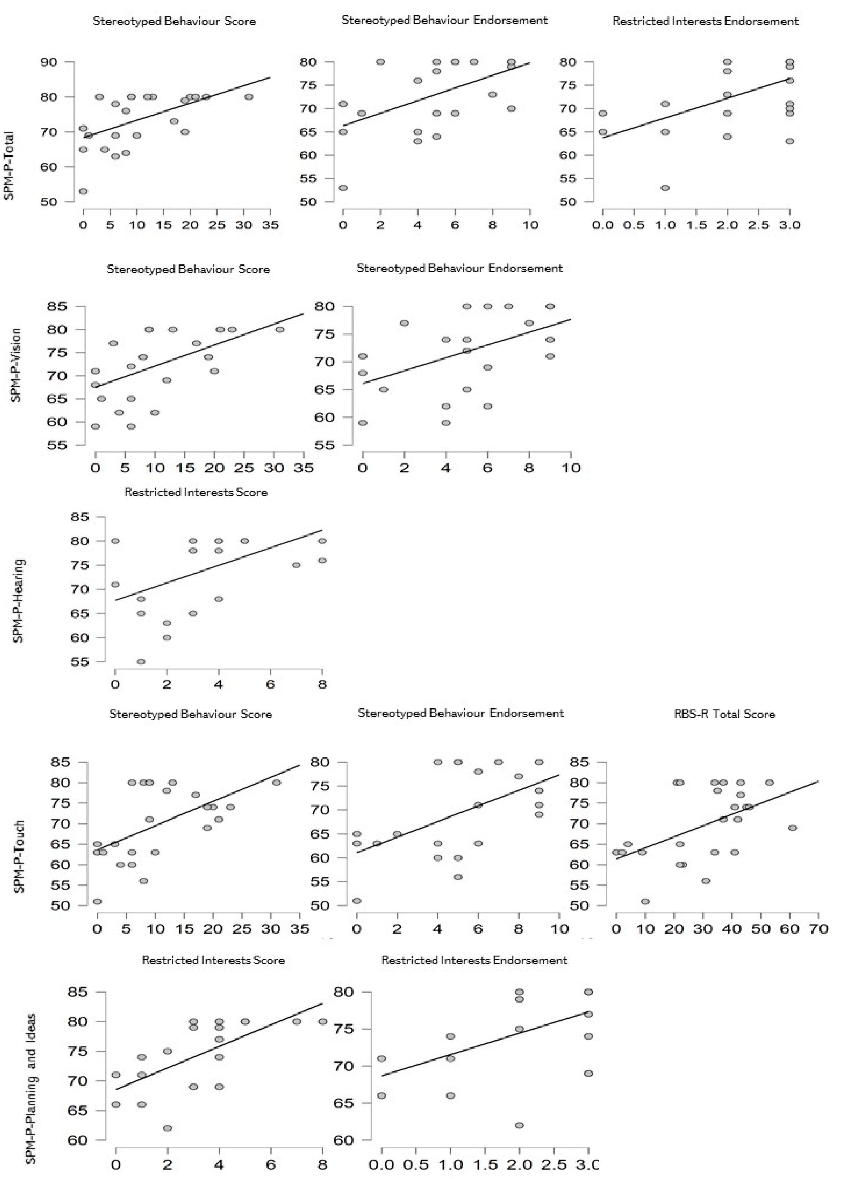
3.2. Correlations in the Whole Sample
3.3. Correlation within the Two Groups
4. Discussion
5. Limitations
6. Conclusions
Author Contributions
Funding
Institutional Review Board Statement
Informed Consent Statement
Conflicts of Interest
References
- Miller, L.J.; Anzalone, M.E.; Lane, S.J.; Cermak, S.A.; Osten, E.T. Concept evolution in sensory integration: A proposed nosology for diagnosis. Am. J. Occup. Ther. 2007, 61, 135–142. [Google Scholar] [CrossRef] [PubMed] [Green Version]
- May-Benson, T.A.; Koomar, J.A.; Teasdale, A. Incidence of pre-, peri-, and post-natal birth and developmental problems of children with sensory processing disorder and children with autism spectrum disorder. Front. Integr. Neurosci. 2009, 3, 1–12. [Google Scholar] [CrossRef] [PubMed] [Green Version]
- Degangi, G.A.; Dipietro, J.A.; Greenspan, S.I.; Porges, S.W. Psychophysiological characteristics of the regulatory disordered infant. Infant Behav. Dev. 1991, 14, 37–50. [Google Scholar] [CrossRef]
- Zeanah, C.H.; Carter, A.S.; Cohen, J.; Egger, H.; Gleason, M.M.; Keren, M.; Lieberman, A.; Mulrooney, K.; Oser, C. DC:0–5TM: Diagnostic classification of mental health and developmental disorders of infancy and early childhood (Version 2.0). Infant Ment. Health J. 2016, 37, 471–475. [Google Scholar] [CrossRef]
- Ryckman, J.; Hilton, C.; Rogers, C.; Pineda, R. Sensory processing disorder in preterm infants during early childhood and relationships to early neurobehavior. Early Hum. Dev. 2017, 113, 18–22. [Google Scholar] [CrossRef] [PubMed]
- Butera, C.; Ring, P.; Sideris, J.; Jayashankar, A.; Kilroy, E.; Harrison, L.; Cermak, S.; Aziz-Zadeh, L. Impact of Sensory Processing on School Performance Outcomes in High Functioning Individuals with Autism Spectrum Disorder. Mind Brain Educ. 2012, 13, 243–2540. [Google Scholar] [CrossRef] [PubMed]
- Mulligan, S.; Douglas, S.; Armstrong, C. Characteristics of Idiopathic Sensory Processing Disorder in Young Children. Front. Integr. Neurosci. 2021, 15, 1–10. [Google Scholar] [CrossRef]
- Edition, F. Diagnostic and statistical manual of mental disorders. Am. Psychiatr. Assoc. 2013, 21, 591–643. [Google Scholar] [CrossRef]
- Schulz, S.E.; Stevenson, R.A. Sensory hypersensitivity predicts repetitive behaviours in autistic and typically-developing children. Autism 2019, 23, 1028–1041. [Google Scholar] [CrossRef]
- Chen, Y.H.; Rodgers, J.; McConachie, H. Restricted and repetitive behaviours, sensory processing and cognitive style in children with autism spectrum disorders. J. Autism Dev. Disord. 2009, 39, 635–642. [Google Scholar] [CrossRef]
- Denisova, K.; Zhao, G. Inflexible neurobiological signatures precede atypical development in infants at high risk for autism. Sci. Rep. 2017, 7, 11285. [Google Scholar] [CrossRef] [PubMed] [Green Version]
- Pellicano, E.; Burr, D. When the world becomes ‘too real’: A Bayesian explanation of autistic perception. Trends Cogn. Sci. 2012, 16, 504–510. [Google Scholar] [CrossRef] [PubMed]
- Alpern, G.D. Developmental Profile 3, 3rd ed.; Western Psychological Services: Los Angeles, CA, USA, 2009. [Google Scholar]
- Lanfranchi, S.; Vianello, R. DP-3—Developmental Profile-3, 3rd ed.; Hogrefe Editore Srl: Firenze, Italy, 2015. [Google Scholar]
- Kuhaneck, H.M.; Ecker, C.E.; Parham, L.D.; Henry, D.A.; Glennon, T.J. Sensory Processing Measure-Preschool (SPM-P): Manual; Western Psychological Services: Los Angeles, CA, USA, 2010. [Google Scholar]
- del Signore, S.; Bressan, I.; Rizzo, M.A.; Ruffini, M.; Tenaglia, A. SPM-P—Sensory Processing Measure—Preschool; Italian Edition; Hogrefe Editore Srl: Firenze, Italy, 2020. [Google Scholar]
- Bodfish, J.W.; Symons, F.J.; Parker, D.E.; Lewis, M.H. Varieties of repetitive behavior in autism: Comparisons to mental retardation. J. Autism Dev. Disord. 2000, 30, 237–243. [Google Scholar] [CrossRef] [PubMed]
- Fulceri, F.; Narzisi, A.; Apicella, F.; Balboni, G.; Baldini, S.; Brocchini, J.; Domenici, I.; Cerullo, S.; Igliozzi, R.; Cosenza, A.; et al. Application of the Repetitive Behavior Scale-Revised—Italian version—In preschoolers with autism spectrum disorder. Res. Dev. Disabil. 2016, 48, 43–52. [Google Scholar] [CrossRef] [PubMed]
- Hertzog, D.; Cermak, S.; Bar-Shalita, T. Sensory modulation, physical activity and participation in daily occupations in young children. Can. J. Occup. Ther. 2019, 86, 106–113. [Google Scholar] [CrossRef] [PubMed]
- Apicella, F.; Costanzo, V.; Purpura, G. Are early visual behavior impairments involved in the onset of autism spectrum disorders? Insights for early diagnosis and intervention. Eur. J. Pediatr. 2020, 179, 225–234. [Google Scholar] [CrossRef]
- Kozou, H.; Azouz, H.G.; Abdou, R.M.; Shaltout, A. Evaluation and remediation of central auditory processing disorders in children with autism spectrum disorders. Int. J. Pediatr. Otorhinolaryngol. 2018, 104, 36–42. [Google Scholar] [CrossRef]
- Miguel, H.O.; Sampaio, A.; Martínez-Regueiro, R.; Gómez-Guerrero, L.; López-Dóriga, C.G.; Gómez, S.; Carracedo, Á.; Fernández-Prieto, M. Touch Processing and Social Behavior in ASD. J. Autism Dev. Disord. 2017, 47, 2425–2433. [Google Scholar] [CrossRef]
- Hadders-Algra, M. Reduced variability in motor behaviour: An indicator of impaired cerebral connectivity? Early Hum. Dev. 2008, 84, 787–789. [Google Scholar] [CrossRef]
- Purpura, G.; Fulceri, F.; Puglisi, V.; Masoni, P.; Contaldo, A. Motor coordination impairment in children with autism spectrum disorder: A pilot study using Movement Assessment Battery for Children-2 Checklist. Minerva Pediatr. 2020, 72, 22–29. [Google Scholar] [CrossRef]
- Ravizza, S.M.; Solomon, M.; Ivry, R.B.; Carter, C.S. Restricted and repetitive behaviors in autism spectrum disorders: The relationship of attention and motor deficits. Dev. Psychopathol. 2013, 25, 773–784. [Google Scholar] [CrossRef] [PubMed] [Green Version]
- Radonovich, K.; Fournier, K.A.; Hass, C.J. Relationship between postural control and restricted, repetitive behaviors in autism spectrum disorders. Front. Integr. Neurosci. 2013, 7, 1–7. [Google Scholar] [CrossRef] [PubMed] [Green Version]
- Oldehinkel, M.; Mennes, M.; Marquand, A.; Charman, T.; Tillmann, J.; Ecker, C.; Dell’Acqua, F.; Brandeis, D.; Banaschewski, T.; Baumeister, S.; et al. Altered Connectivity between Cerebellum, Visual, and Sensory-Motor Networks in Autism Spectrum Disorder: Results from the EU-AIMS Longitudinal European Autism Project. Biol. Psychiatry Cogn. Neurosci. Neuroimaging 2019, 4, 260–270. [Google Scholar] [CrossRef] [PubMed] [Green Version]
- Camarata, S.; Miller, L.J.; Wallace, M.T. Evaluating Sensory Integration/Sensory Processing Treatment: Issues and Analysis. Front. Integr. Neurosci. 2020, 14, 1–13. [Google Scholar] [CrossRef]
- Muratori, F.; Calderoni, S.; Bizzari, V. George Frankl: An undervalued voice in the history of autism. Eur. Child Adolesc. Psychiatry 2020, 30, 1273–1280. [Google Scholar] [CrossRef]
- Purpura, G.; Costanzo, V.; Chericoni, N.; Puopolo, M.; Scattoni, M.L.; Muratori, F.; Apicella, F. Bilateral patterns of repetitive movements in 6- to 12-month-old infants with autism spectrum disorders. Front. Psychol. 2017, 8, 1168. [Google Scholar] [CrossRef] [Green Version]
- Ozonoff, S.; Young, G.S.; Rogers, S.J. Gross Motor Development, Movement Abnormalities and Early Identification of Autism. J. Autism Dev. Disord. 2008, 38, 644–656. [Google Scholar] [CrossRef] [Green Version]
- Caruso, A.; Gila, L.; Fulceri, F.; Salvitti, T.; Micai, M.; Baccinelli, W.; Bulgheroni, M.; Scattoni, M.L. Early motor development predicts clinical outcomes of siblings at high-risk for autism: Insight from an innovative motion-tracking technology. Brain Sci. 2020, 10, 379. [Google Scholar] [CrossRef]
- Bhat, A.N.; Galloway, J.C.; Landa, R.J. Relationship between early motor delay and later communication delay in infants at risk for autism. Infant Behav. Dev. 2012, 35, 838–846. [Google Scholar] [CrossRef] [Green Version]
- Iverson, J.M. Early motor and communicative development in infants with an older sibling with autism spectrum disorder. J. Speech Lang. Hear. Res. 2018, 61, 2673–2684. [Google Scholar] [CrossRef]
- Leekam, S.R.; Nieto, C.; Libby, S.J.; Wing, L.; Gould, J. Describing the sensory abnormalities of children and adults with autism. J. Autism Dev. Disord. 2007, 37, 894–910. [Google Scholar] [CrossRef] [PubMed]
- Greenspan, S.I.; Wieder, S. The interdisciplinary council on developmental and learning disorders diagnostic manual for infants and young children—An overview. J. Can. Acad. Child Adolesc. Psychiatry 2008, 17, 76–89. [Google Scholar] [PubMed]
- Cioni, G.; Inguaggiato, E.; Sgandurra, G. Early intervention in neurodevelopmental disorders: Underlying neural mechanisms. Dev. Med. Child Neurol. 2016, 58, 61–66. [Google Scholar] [CrossRef] [PubMed] [Green Version]
- Purpura, G.; Cioni, G.; Tinelli, F. Multisensory-based rehabilitation approach: Translational insights from animal models to early intervention. Front. Neurosci. 2017, 11, 430. [Google Scholar] [CrossRef] [Green Version]
- Caliendo, M.; Di Sessa, A.; D’Alterio, E.; Frolli, A.; Verde, D.; Iacono, D.; Romano, P.; Vetri, L.; Carotenuto, M. Efficacy of neuro-psychomotor approach in children affected by autism spectrum disorders: A multicenter study in Italian pediatric population. Brain Sci. 2021, 11, 1210. [Google Scholar] [CrossRef]
- Ayres, A.J. Types of sensory integrative dysfunction among disabled learners. Am. J. Occup. Ther. Off. Publ. Am. Occup. Ther. Assoc. 1972, 26, 13–18. [Google Scholar]
- Ayres, J.A. Characteristics of types of sensory integrative dysfunction. Am. J. Occup. Ther. Off. Publ. Am. Occup. Ther. Assoc. 1971, 25, 329–334. [Google Scholar]



| SPD (n = 18) | ASD (n = 25) | p-Value | |
|---|---|---|---|
| Gender (M; F) | 16; 2 | 19; 6 | 0.290 |
| Age in months (mean, DS) | 53.66 (12.7) | 52.7 (9.97) | 0.824 |
| Age range (months) | 31–70 | 39–71 | |
| Gestational Age in weeks (means, DS) | 38.05 (2.15) | 37.68 (2.42) | 0.401 |
| Gestational Age range (weeks) | 30–40 | 30–40 |
| SPD | ASD | |
|---|---|---|
| Mean (DS) | Mean (DS) | |
| SPM-P Total Score | 61.2 (9.7) | 73.4 (7.4) |
| SPM-P Vision | 59.2 (8.9) | 72.2 (7) |
| SPM-P Hearing | 58.7 (9.7) | 74.4 (7.6) |
| SPM-P Touch | 56.5 (9.3) | 69.6 (8.7) |
| SPM-P Body Awareness | 61.6 (13.03) | 67.04 (12.7) |
| SPM-P Balance and Motion | 60.3 (15.8) | 69.5 (11.3) |
| SPM-P Planning and Ideas | 62.7 (10.1) | 75.2 (5.7) |
| SPM-P Social Participation | 59.7 (8.8) | 74.7 (11.2) |
| RBS-R Stereotyped Behaviour Score | 1.1 (1.8) | 10.2 (8.4) |
| RBS-R Stereotyped Behaviour Endorsement | 0.83 (1.1) | 5.2 (3.2) |
| RBS-R Self-Injurious Behaviour Score | 0.3 (0.75) | 1.9 (1.8) |
| RBS-R Self-Injurious Behaviour Endorsement | 0.22 (0.54) | 1.6 (1.5) |
| RBS-R Compulsive Behaviour Score | 0.7 (0.9) | 4 (3.1) |
| RBS-R Compulsive Behaviour Endorsement | 0.7 (0.9) | 2.5 (1.6) |
| RBS-R Ritualistic/Sameness Behaviour Score | 2.5 (2.7) | 10.6 (5.6) |
| RBS-R Ritualistic/Sameness Behaviour Endorsement | 2.3 (2.1) | 6.9 (3.2) |
| RBS-R Restricted Interests Score | 0.7 (0.8) | 3.7 (2.2) |
| RBS-R Restricted Interests Endorsement | 0.7 (0.8) | 2.3 (0.9) |
| RBS-R Total Score | 5.3 (5.1) | 30.32 (16.3) |
| RBS-R Total Number Endorsed | 4.7 (4.1) | 18.5 (8.5) |
| DP-3 General Developmental Standard Score | 60.8 (22.02) | 52.7 (9.9) |
| DP-3 Motor Development | 82.3 (21.72) | 32.3 (13.9) |
| DP-3 Adaptive Behaviour | 68.5 (17.03) | 49.9 (15.6) |
| DP-3 Social-Emotional Development | 69.7 (20.9) | 35.4 (17.5) |
| DP-3 Cognitive Functioning | 65.9 (22.2) | 37 (18) |
| DP-3 Communication | 61.1 (20.9) | 36.8 (17.6) |
| DP-3 Scores | Significant Correlation, Controlling for Age and Groups | |
|---|---|---|
| DP-3 General Developmental Standard Score | SPM-P | Social Participation (rho = −0.567; p < 0.001); Vision (rho = −0.339; p = 0.030). |
| RBSR | Stereotyped Behaviour Score (rho = −0.329; p = 0.036); Stereotyped Behaviour Endorsement (rho = −0.383; p = 0.013); Restricted Interests Endorsement (rho = −0.310; p = 0.048). | |
| DP-3 Motor Development | SPM-P | Total Score (rho = −0.383; p = 0.013); Social Participation (rho = −0.535; p < 0.001); Hearing (rho = −0.340; p = 0.029); Touch (rho = −0.402; p = 0.009); Balance and Motion (rho = −0.402; p = 0.047). |
| RBS-R | Stereotyped Behaviour Score (rho = −0.309; p = 0.050); Stereotyped Behaviour Endorsement (rho = −0.325; p = 0.038). | |
| DP-3 Adaptive Behaviour | SPM-P | Social Participation (rho= −0.403; p = 0.009). |
| RBS-R | Stereotyped Behaviour Score (rho = −0.333; p = 0.033); Stereotyped Behaviour Endorsement (rho = −0.319; p = 0.042). | |
| DP-3 Social-Emotional Development | SPM-P | Total Score (rho = −0.338; p = 0.031); Social Participation (rho = −0.604; p < 0.001); Vision (rho = −0.430; p = 0.005); Hearing (rho = −0.318; p = 0.042); Planning and Ideas (rho = −0.308; p = 0.050). |
| RBS-R | Stereotyped Behaviour Score (rho = −0.395; p = 0.011); Stereotyped Behaviour Endorsement (rho = −0.475; p = 0.002); Restricted Interests Score (rho = −0.349; p = 0.025); Restricted Interests Endorsement (rho = −0.422; p = 0.006); RBS-R Total Score (rho = −0.334; p = 0.033); RBS-R Total Endorsed (rho = −0.356; p = 0.022). | |
| DP-3 Cognitive Functioning | SPM-P | Social Participation (rho = −0.426; p = 0.005); Vision (rho = −0.355; p = 0.023); Hearing (rho = −0.343; p = 0.028). |
| RBS-R | Stereotyped Behaviour Score (rho = −0.339; p = 0.030); Stereotyped Behaviour Endorsement (rho = −0.353; p = 0.023); Compulsive Behaviour Endorsement (rho = −0.359; p = 0.021); RBS-R Total Endorsed (rho = −0.306; p = 0.052). | |
| DP-3 Communication | SPM-P | Social Participation (rho = −0.459; p = 0.003); Vision (rho = −0.467; p = 0.002); Hearing (rho = −0.328; p = 0.036). |
| RBS-R | Stereotyped Behaviour Score (rho = −0.313; p = 0.047); Stereotyped Behaviour Endorsement (rho = −0.306; p = 0.052). | |
Publisher’s Note: MDPI stays neutral with regard to jurisdictional claims in published maps and institutional affiliations. |
© 2022 by the authors. Licensee MDPI, Basel, Switzerland. This article is an open access article distributed under the terms and conditions of the Creative Commons Attribution (CC BY) license (https://creativecommons.org/licenses/by/4.0/).
Share and Cite
Purpura, G.; Cerroni, F.; Carotenuto, M.; Nacinovich, R.; Tagliabue, L. Behavioural Differences in Sensorimotor Profiles: A Comparison of Preschool-Aged Children with Sensory Processing Disorder and Autism Spectrum Disorders. Children 2022, 9, 408. https://doi.org/10.3390/children9030408
Purpura G, Cerroni F, Carotenuto M, Nacinovich R, Tagliabue L. Behavioural Differences in Sensorimotor Profiles: A Comparison of Preschool-Aged Children with Sensory Processing Disorder and Autism Spectrum Disorders. Children. 2022; 9(3):408. https://doi.org/10.3390/children9030408
Chicago/Turabian StylePurpura, Giulia, Francesco Cerroni, Marco Carotenuto, Renata Nacinovich, and Luca Tagliabue. 2022. "Behavioural Differences in Sensorimotor Profiles: A Comparison of Preschool-Aged Children with Sensory Processing Disorder and Autism Spectrum Disorders" Children 9, no. 3: 408. https://doi.org/10.3390/children9030408
APA StylePurpura, G., Cerroni, F., Carotenuto, M., Nacinovich, R., & Tagliabue, L. (2022). Behavioural Differences in Sensorimotor Profiles: A Comparison of Preschool-Aged Children with Sensory Processing Disorder and Autism Spectrum Disorders. Children, 9(3), 408. https://doi.org/10.3390/children9030408

