The Changes in Visual Acuity Values of Japanese School Children during the COVID-19 Pandemic
Abstract
:1. Introduction
2. Materials and Methods
2.1. Ethics Approval
2.2. Data Collection
2.3. VA Test and Assessment Method
2.4. Data Analysis
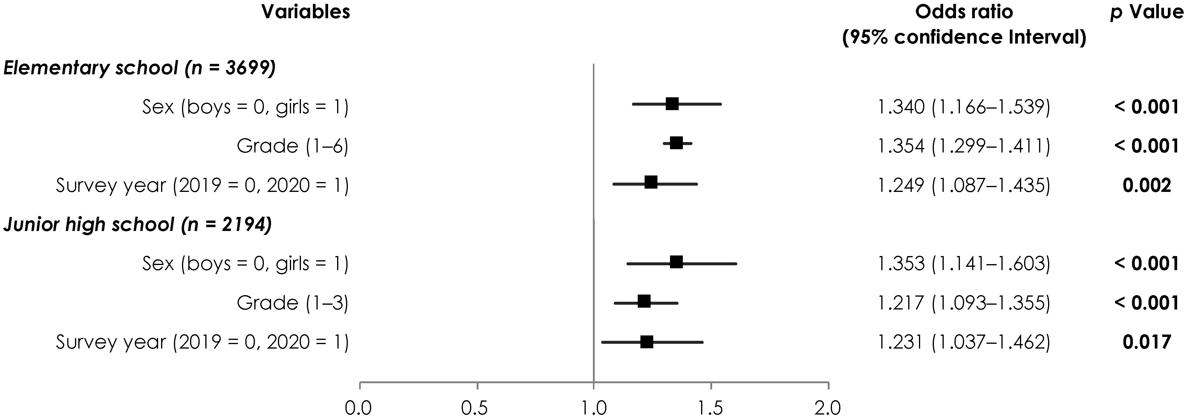
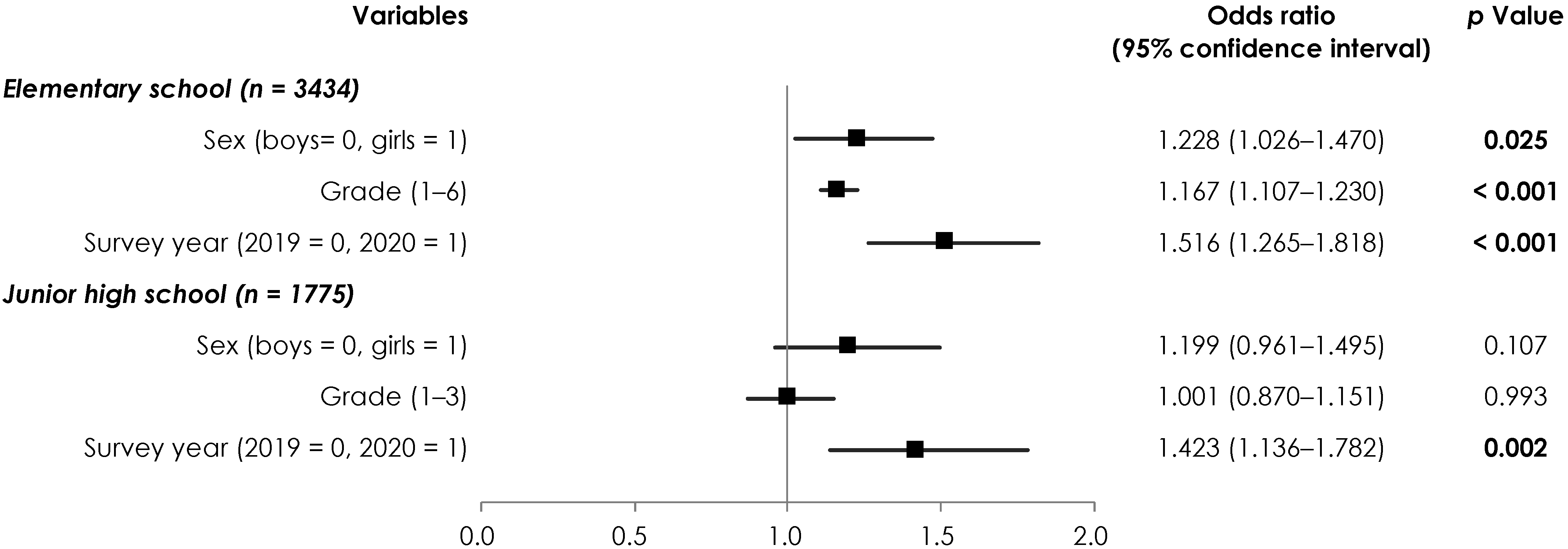
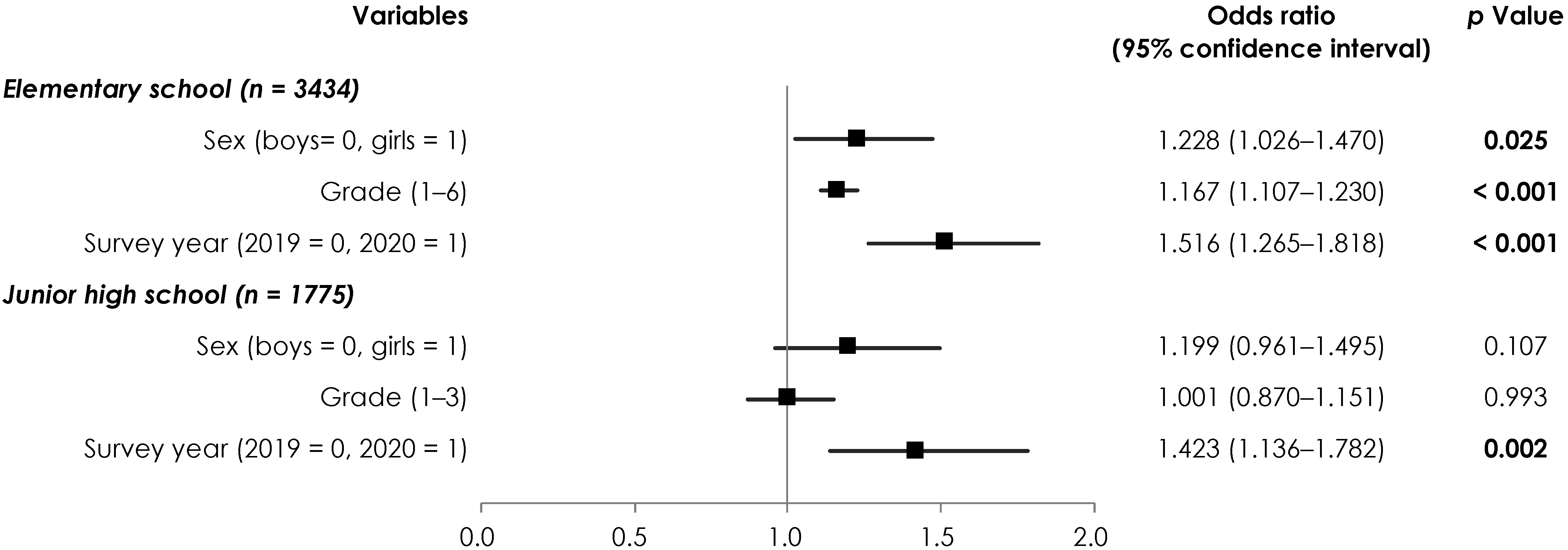
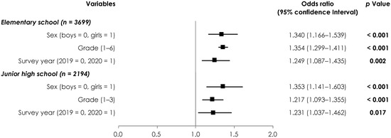
3. Results
4. Discussion
5. Conclusions
Author Contributions
Funding
Institutional Review Board Statement
Informed Consent Statement
Data Availability Statement
Acknowledgments
Conflicts of Interest
References
- WHO Director General’s Opening Remarks at the Media Briefing on COVID-19. Available online: https://www.who.int/director-general/speeches/detail/who-director-general-s-opening-remarks-at-the-media-briefing-on-covid-19 (accessed on 24 August 2021).
- UNICEF. COVID-19 and Children. Available online: https://data.unicef.org/covid-19-and-children/ (accessed on 24 August 2021).
- Dunton, G.F.; Do, B.; Wang, S.D. Early effects of the COVID-19 pandemic on physical activity and sedentary behavior in children living in the U.S. BMC Public Health 2020, 20, 1351. [Google Scholar] [CrossRef]
- Guan, H.; Okely, A.D.; Aguilar-Farias, N.; Del Pozo Cruz, B.; Draper, C.E.; El Hamdouchi, A.; Florindo, A.A.; Jáuregui, A.; Katzmarzyk, P.T.; Kontsevaya, A.; et al. Promoting healthy movement behaviours among children during the COVID-19 pandemic. Lancet Child. Adolesc. Health 2020, 4, 416–418. [Google Scholar] [CrossRef]
- Moore, S.A.; Faulkner, G.; Rhodes, R.E.; Brussoni, M.; Chulak-Bozzer, T.; Ferguson, L.J.; Mitra, R.; O’Reilly, N.; Spence, J.C.; Vanderloo, L.M.; et al. Impact of the COVID-19 virus outbreak on movement and play behaviours of Canadian children and youth: A national survey. Int. J. Behav. Nutr. Phys. Act. 2020, 17, 85. [Google Scholar] [CrossRef]
- Xiang, M.; Zhang, Z.; Kuwahara, K. Impact of COVID-19 pandemic on children and adolescents’ lifestyle behavior larger than expected. Prog. Cardiovasc. Dis. 2020, 63, 531–532. [Google Scholar] [CrossRef] [PubMed]
- Nagata, J.M.; Abdel Magid, H.S.; Pettee Gabriel, K. Screen time for children and adolescents during the coronavirus disease 2019 pandemic. Obesity 2020, 28, 1582–1583. [Google Scholar] [CrossRef]
- An, R. Projecting the impact of the coronavirus disease-2019 pandemic on childhood obesity in the United States: A microsimulation model. J. Sport Health Sci. 2020, 9, 302–312. [Google Scholar] [CrossRef]
- Nogueira-de-Almeida, C.A.; Del Ciampo, L.A.; Ferraz, I.S.; Del Ciampo, I.R.L.; Contini, A.A.; Ued, F.D.V. COVID-19 and obesity in childhood and adolescence: A clinical review. J. Pediatr. (Rio J.) 2020, 96, 546–558. [Google Scholar] [CrossRef] [PubMed]
- Rundle, A.G.; Park, Y.; Herbstman, J.B.; Kinsey, E.W.; Wang, Y.C. COVID-19-related school closings and risk of weight gain among children. Obesity 2020, 28, 1008–1009. [Google Scholar] [CrossRef] [PubMed] [Green Version]
- Zhao, Y.; Guo, Y.; Xiao, Y.; Zhu, R.; Sun, W.; Huang, W.; Liang, D.; Tang, L.; Zhang, F.; Zhu, D.; et al. The effects of online homeschooling on children, parents, and teachers of grades 1–9 during the COVID-19 pandemic. Med. Sci. Monit 2020, 26, e925591. [Google Scholar] [CrossRef]
- Cui, S.; Zhang, C.; Wang, S.; Zhang, X.; Wang, L.; Zhang, L.; Yuan, Q.; Huang, C.; Cheng, F.; Zhang, K.; et al. Experiences and attitudes of elementary school students and their parents toward online learning in China during the COVID-19 pandemic: Questionnaire study. J. Med. Internet Res. 2021, 23, e24496. [Google Scholar] [CrossRef]
- Fegert, J.M.; Vitiello, B.; Plener, P.L.; Clemens, V. Challenges and burden of the coronavirus 2019 (COVID-19) pandemic for child and adolescent mental health: A narrative review to highlight clinical and research needs in the acute phase and the long return to normality. Child Adolesc. Psychiatry Ment. Health 2020, 14, 20. [Google Scholar] [CrossRef] [PubMed]
- Singh, S.; Roy, D.; Sinha, K.; Parveen, S.; Sharma, G.; Joshi, G. Impact of COVID-19 and lockdown on mental health of children and adolescents: A narrative review with recommendations. Psychiatry Res. 2020, 293, 113429. [Google Scholar] [CrossRef] [PubMed]
- Meherali, S.; Punjani, N.; Louie-Poon, S.; Abdul Rahim, K.; Das, J.K.; Salam, R.A.; Lassi, Z.S. Mental health of children and adolescents amidst COVID-19 and past pandemics: A rapid systematic review. Int. J. Environ. Res. Public Health 2021, 18, 3432. [Google Scholar] [CrossRef]
- National Center for Child Health and Development. Results of Questionnaire for COVID-19 and Children; National Center for Child Health and Development: Tokyo, Japan, 2021. Available online: https://www.ncchd.go.jp/center/activity/covid19_kodomo/report/CxC1_finalrepo_20210306revised.pdf (accessed on 24 August 2021).
- The National Network of Physical and Mental Health in Japanese Children. Results of Emergency Survey for Body and Soul in Children. Available online: http://kodomonokaradatokokoro.com/images/20210119.pdf (accessed on 24 August 2021).
- School Health and Safety Act. Available online: https://elaws.e-gov.go.jp/document?lawid=333AC0000000056 (accessed on 24 August 2021).
- The Regulations for School Health and Safety Act. Available online: https://elaws.e-gov.go.jp/document?lawid=333M50000080018 (accessed on 24 August 2021).
- The Ministry of Education, Culture, Sports, Science and Technology. Available online: https://www.mext.go.jp/content/20200316-mxt_kouhou01-000004520_2.pdf (accessed on 24 August 2021).
- Dolgin, E. The myopia boom. Nature 2015, 519, 276–278. [Google Scholar] [CrossRef] [Green Version]
- Rudnicka, A.R.; Kapetanakis, V.V.; Wathern, A.K.; Logan, N.S.; Gilmartin, B.; Whincup, P.H.; Cook, D.G.; Owen, C.G. Global variations and time trends in the prevalence of childhood myopia, a systematic review and quantitative meta-analysis: Implications for aetiology and early prevention. Br. J. Ophthalmol. 2016, 100, 882–890. [Google Scholar] [CrossRef] [Green Version]
- The National Network of Physical and Mental Health in Japanese Children. Annual Report of Physical and Mental Health among the Children 2020—English Digest Edition. Available online: http://kodomonokaradatokokoro.com/hakusho/hakusho2020e.html (accessed on 24 August 2021).
- Tokyo Metropolitan Board of Education. Reports of School Health in Tokyo. Available online: https://www.kyoiku.metro.tokyo.lg.jp/administration/statistics_and_research/files/report2020/chousa_co.pdf (accessed on 20 February 2022).
- Shih, Y.F.; Chiang, T.H.; Hsiao, C.K.; Chen, C.J.; Hung, P.T.; Lin, L.L. Comparing myopic progression of urban and rural Taiwanese schoolchildren. Jpn. J. Ophthalmol. 2010, 54, 446–451. [Google Scholar] [CrossRef] [PubMed]
- Jones, L.A.; Sinnott, L.T.; Mutti, D.O.; Mitchell, G.L.; Moeschberger, M.L.; Zadnik, K. Parental history of myopia, sports and outdoor activities, and future myopia. Investig. Ophthalmol. Vis. Sci. 2007, 48, 3524–3532. [Google Scholar] [CrossRef] [PubMed] [Green Version]
- Rose, K.A.; Morgan, I.G.; Ip, J.; Kifley, A.; Huynh, S.; Smith, W.; Mitchell, P. Outdoor activity reduces the prevalence of myopia in children. Ophthalmology 2008, 115, 1279–1285. [Google Scholar] [CrossRef]
- Dirani, M.; Tong, L.; Gazzard, G.; Zhang, X.; Chia, A.; Young, T.L.; Rose, K.A.; Mitchell, P.; Saw, S.M. Outdoor activity and myopia in Singapore teenage children. Br. J. Ophthalmol. 2009, 93, 997–1000. [Google Scholar] [CrossRef]
- Guo, Y.; Liu, L.J.; Xu, L.; Tang, P.; Lv, Y.Y.; Feng, Y.; Meng, M.; Jonas, J.B. Myopic shift and outdoor activity among primary school children: One-year follow-up study in Beijing. PLoS ONE 2013, 8, e75260. [Google Scholar] [CrossRef]
- Ho, C.L.; Wu, W.F.; Liou, Y.M. Dose–response relationship of outdoor exposure and myopia indicators: A systematic review and meta-analysis of various research methods. Int. J. Environ. Res. Public Health 2019, 16, 2595. [Google Scholar] [CrossRef] [PubMed] [Green Version]
- Wu, P.C.; Tsai, C.L.; Wu, H.L.; Yang, Y.H.; Kuo, H.K. Outdoor activity during class recess reduces myopia onset and progression in school children. Ophthalmology 2013, 120, 1080–1085. [Google Scholar] [CrossRef] [PubMed]
- Pärssinen, O.; Lyyra, A.L. Myopia and myopic progression among schoolchildren: A three-year follow-up study. Investig. Ophthalmol. Vis. Sci. 1993, 34, 2794–2802. [Google Scholar]
- Vasudevan, B.; Esposito, C.; Peterson, C.; Coronado, C.; Ciuffreda, K.J. Under-correction of human myopia—Is it myopigenic? A retrospective analysis of clinical refraction data. J. Optom. 2014, 7, 147–152. [Google Scholar] [CrossRef] [PubMed] [Green Version]
- Chua, S.Y.; Sabanayagam, C.; Cheung, Y.B.; Chia, A.; Valenzuela, R.K.; Tan, D.; Wong, T.Y.; Cheng, C.Y.; Saw, S.M. Age of onset of myopia predicts risk of high myopia in later childhood in myopic Singapore children. Ophthalmic Physiol. Opt. 2016, 36, 388–394. [Google Scholar] [CrossRef]
- Hu, Y.Y.; Wu, J.F.; Lu, T.L.; Wu, H.; Sun, W.; Guo, D.D.; Jiang, W.J.; Wang, X.R.; Jonas, J.B.; Bi, H.S. Prevalence and associations of anisometropia in children. Investig. Ophthalmol. Vis. Sci. 2016, 57, 979–988. [Google Scholar] [CrossRef] [Green Version]
- Golebiowski, B.; Long, J.; Harrison, K.; Lee, A.; Chidi-Egboka, N.; Asper, L. Smartphone use and effects on tear film, blinking and binocular vision. Curr. Eye Res. 2020, 45, 428–434. [Google Scholar] [CrossRef] [PubMed]
- Evans, B.J. The underachieving child. Ophthalmic Physiol. Opt. 1998, 18, 153–159. [Google Scholar] [CrossRef]
- Hussaindeen, J.R.; Shah, P.; Ramani, K.K.; Ramanujan, L. Efficacy of vision therapy in children with learning disability and associated binocular vision anomalies. J. Optom. 2018, 11, 40–48. [Google Scholar] [CrossRef]
- Hofeldt, A.J.; Hoefle, F.B.; Bonafede, B. Baseball hitting, binocular vision, and the Pulfrich phenomenon. Arch. Ophthalmol. 1996, 114, 1490–1494. [Google Scholar] [CrossRef]
- Vera, J.; Molina, R.; Cárdenas, D.; Redondo, B.; Jiménez, R. Basketball free-throws performance depends on the integrity of binocular vision. Eur. J. Sport Sci. 2020, 20, 407–414. [Google Scholar] [CrossRef] [PubMed]
- The United Nations Committee on the Rights of the Child. The Committee on the Rights of the Child Warns of the Grave Physical, Emotional and Psychological Effect of the COVID-19 Pandemic on Children and Calls on States to Protect the Rights of Children. Available online: https://tbinternet.ohchr.org/_layouts/15/treatybodyexternal/Download.aspx?symbolno=INT/CRC/STA/9095&Lang=en (accessed on 24 August 2021).



| Participants (Total: n = 5893) | |
|---|---|
| Sex Grade | Boys: 3099, Girls: 2794 ES 1: 664, ES 2: 610, ES 3: 576, ES 4: 613, ES 5: 625, ES 6: 611, JHS 1: 859, JHS 2: 776, JHS 3: 559 |
| Survey school(Total: n = 11) | |
| School classification School district School closure period Measurement month in 2020 | ES: 7, JHS: 4 City: 3, Suburb: 5, Rural: 3 <80 days: 2, <90 days: 3, <100 days: 6 May: 1, June: 8, July: 2 |
| A (1.0 ≤ A) | B (0.7 ≤ B < 1.0) | C (0.3 ≤ C < 0.7) | D (D < 0.3) | E (Vision Correctors) | |||||||
|---|---|---|---|---|---|---|---|---|---|---|---|
| 2019 | 2020 | 2019 | 2020 | 2019 | 2020 | 2019 | 2020 | 2019 | 2020 | ||
| Boys | ES 1 ES 2 ES 3 ES 4 ES 5 ES 6 JHS 1 JHS 2 JHS 3 | 144 (88.9) 120 (75.9) 97 (67.8) 116 (69.0) 109 (66.9) 83 (50.3) 125 (59.8) 107 (49.8) 39 (44.3) | 124 (77.5) 124 (76.5) 100 (63.3) 76 (53.1) 91 (54.2) 86 (52.8) 131 (52.6) 103 (49.0) 84 (39.1) | 13 (8.0) 13 (8.2) 13 (9.1) 13 (7.7) 15 (9.2) 14 (8.5) 22 (10.5) 13 (6.0) 12 (13.6) | 19 (11.9) 15 (9.3) 18 (11.4) 18 (12.6) 19 (11.3) 20 (12.3) 26 (10.4) 24 (11.4) 20 (9.3) | 3 (1.9) 17 (10.8) 23 (16.1) 20 (11.9) 18 (11.0) 22 (13.3) 20 (9.6) 39 (18.1) 18 (20.5) | 12 (7.5) 15 (9.3) 23 (14.6) 32 (22.4) 27 (16.1) 25 (15.3) 29 (11.6) 28 (13.3) 29 (13.5) | 0 (0.0) 2 (1.3) 3 (2.1) 2 (1.2) 6 (3.7) 19 (11.5) 15 (7.2) 28 (13.0) 14 (15.9) | 3 (1.9) 5 (3.1) 9 (5.7) 3 (2.1) 10 (6.0) 18 (11.0) 13 (5.2) 22 (10.5) 25 (11.6) | 2 (1.2) 6 (3.8) 7 (4.9) 17 (10.1) 15 (9.2) 28 (16.4) 27 (12.9) 28 (13.0) 5 (5.7) | 2 (1.3) 3 (1.9) 8 (5.1) 14 (9.8) 21 (12.5) 14 (8.6) 50 (20.1) 33 (15.7) 57 (25.5) |
| Girls | ES 1 ES 2 ES 3 ES 4 ES 5 ES 6 JHS 1 JHS 2 JHS 3 | 138 (84.1) 87 (69.0) 94 (63.1) 85 (55.2) 74 (53.2) 62 (43.1) 80 (47.1) 91 (50.3) 24 (32.0) | 134 (75.3) 119 (72.6) 79 (62.7) 80 (54.1) 73 (47.1) 57 (41.0) 93 (40.3) 65 (38.2) 73 (40.3) | 16 (9.8) 21 (16.7) 21 (14.1) 16 (10.4) 11 (7.9) 20 (13.9) 12 (7.1) 17 (9.4) 4 (5.3) | 22 (12.4) 22 (13.4) 18 (14.3) 12 (8.1) 19 (12.3) 16 (11.5) 27 (11.7) 14 (8.2) 21 (11.6) | 6 (3.7) 12 (9.5) 19 (12.8) 28 (18.2) 19 (13.7) 24 (16.7) 18 (10.6) 23 (12.7) 14 (18.7) | 12 (6.7) 15 (9.1) 16 (12.7) 27 (18.2) 31 (20.0) 21 (15.1) 26 (11.3) 22 (12.9) 23 (12.7) | 2 (1.2) 3 (2.4) 6 (4.0) 11 (7.1) 19 (13.7) 21 (14.6) 18 (10.6) 27 (14.9) 23 (30.7) | 2 (1.1) 5 (3.0) 6 (4.8) 13 (8.8) 16 (10.3) 27 (19.4) 34 (14.7) 22 (12.9) 18 (9.9) | 2 (1.2) 3 (2.4) 9 (6.0) 14 (9.1) 16 (11.5) 17 (11.8) 42 (24.7) 23 (12.7) 10 (13.3) | 8 (4.5) 3 (1.8) 7 (5.6) 16 (10.8) 16 (10.3) 18 (12.9) 51 (22.1) 47 (27.6) 46 (25.4) |
| Same | One-Step Difference | Two-Step Difference | Three-Step Difference | ||||||
|---|---|---|---|---|---|---|---|---|---|
| 2019 | 2020 | 2019 | 2020 | 2019 | 2020 | 2019 | 2020 | ||
| Boys | ES 1 ES 2 ES 3 ES 4 ES 5 ES 6 JHS 1 JHS 2 JHS 3 | 151 (94.4) 130 (85.5) 120 (88.2) 134 (88.7) 131 (88.5) 115 (83.3) 149 (81.9) 148 (79.1) 66 (79.5) | 135 (85.4) 136 (85.5) 122 (81.3) 95 (73.6) 114 (77.6) 114 (76.5) 155 (77.9) 132 (74.6) 119 (75.8) | 8 (5.0) 19 (12.5) 12 (8.8) 14 (9.3) 14 (9.5) 17 (12.3) 23 (12.6) 33 (17.6) 15 (18.1) | 22 (13.9) 20 (12.6) 23 (15.3) 28 (21.7) 27 (18.4) 27 (18.1) 33 (16.6) 42 (23.7) 30 (19.0) | 1 (0.6) 3 (2.0) 4 (2.9) 3 (2.0) 2 (1.4) 4 (2.9) 6 (3.3) 5 (2.7) 2 (2.4) | 1 (0.6) 3 (1.9) 4 (2.7) 6 (4.7) 6 (4.1) 7 (4.7) 10 (5.0) 0 (0.0) 6 (3.8) | 0 (0.0) 0 (0.0) 0 (0.0) 0 (0.0) 1 (0.7) 2 (1.4) 4 (2.2) 1 (0.5) 0 (0.0) | 0 (0.0) 0 (0.0) 1 (0.7) 0 (0.0) 0 (0.0) 1 (0.7) 1 (0.5) 2 (0.8) 2 (1.3) |
| Girls | ES 1 ES 2 ES 3 ES 4 ES 5 ES 6 JHS 1 JHS 2 JHS 3 | 146 (90.1) 105 (85.4) 123 (87.9) 110 (78.6) 99 (80.5) 95 (74.8) 97 (75.8) 129 (81.6) 53 (81.5) | 142 (83.5) 134 (83.2) 100 (84.0) 105 (79.5) 103 (74.1) 89 (73.6) 125 (69.4) 90 (73.2) 95 (70.4) | 15 (9.3) 16 (13.0) 15 (10.7) 24 (17.1) 15 (12.2) 27 (21.3) 23 (18.0) 22 (13.9) 10 (15.4) | 22 (12.9) 22 (13.7) 18 (15.1) 25 (18.9) 31 (22.3) 24 (19.8) 41 (22.8) 23 (18.7) 25 (18.5) | 1 (0.6) 2 (1.6) 1 (0.7) 6 (4.3) 8 (6.5) 5 (3.9) 6 (4.7) 3 (1.9) 1 (1.5) | 6 (3.5) 5 (3.1) 1 (0.8) 1 (0.8) 3 (2.2) 4 (3.3) 11 (6.1) 7 (5.7) 10 (7.4) | 0 (0.0) 0 (0.0) 1 (0.7) 0 (0.0) 1 (0.8) 0 (0.0) 2 (1.6) 4 (2.5) 1 (1.5) | 0 (0.0) 0 (0.0) 0 (0.0) 1 (0.8) 2 (1.4) 4 (3.3) 3 (1.7) 3 (2.4) 5 (3.7) |
Publisher’s Note: MDPI stays neutral with regard to jurisdictional claims in published maps and institutional affiliations. |
© 2022 by the authors. Licensee MDPI, Basel, Switzerland. This article is an open access article distributed under the terms and conditions of the Creative Commons Attribution (CC BY) license (https://creativecommons.org/licenses/by/4.0/).
Share and Cite
Noi, S.; Shikano, A.; Imai, N.; Tamura, F.; Tanaka, R.; Kidokoro, T.; Yoshinaga, M. The Changes in Visual Acuity Values of Japanese School Children during the COVID-19 Pandemic. Children 2022, 9, 342. https://doi.org/10.3390/children9030342
Noi S, Shikano A, Imai N, Tamura F, Tanaka R, Kidokoro T, Yoshinaga M. The Changes in Visual Acuity Values of Japanese School Children during the COVID-19 Pandemic. Children. 2022; 9(3):342. https://doi.org/10.3390/children9030342
Chicago/Turabian StyleNoi, Shingo, Akiko Shikano, Natsuko Imai, Fumie Tamura, Ryo Tanaka, Tetsuhiro Kidokoro, and Mari Yoshinaga. 2022. "The Changes in Visual Acuity Values of Japanese School Children during the COVID-19 Pandemic" Children 9, no. 3: 342. https://doi.org/10.3390/children9030342
APA StyleNoi, S., Shikano, A., Imai, N., Tamura, F., Tanaka, R., Kidokoro, T., & Yoshinaga, M. (2022). The Changes in Visual Acuity Values of Japanese School Children during the COVID-19 Pandemic. Children, 9(3), 342. https://doi.org/10.3390/children9030342

