Psychometric Properties of the Connor-Davidson Resilience Scale for South America (CD-RISC-25SA) in Peruvian Adolescents
Abstract
1. Introduction
2. Background
Connor-Davidson Resilience Scale
3. Materials and Methods
3.1. Study Design
3.2. Setting and Participants
3.3. Data Collection
Connor-Davidson Resilience Scale for South America
3.4. Face and Content Validity
3.5. Data Analysis
3.5.1. Exploratory Factor Analysis
3.5.2. Confirmatory Factor Analysis
3.6. Ethical Considerations
4. Results
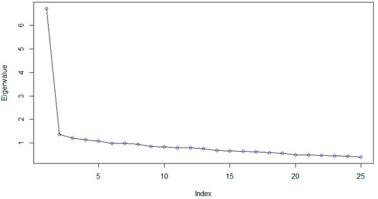
4.1. Exploratory Factor Analysis
4.2. Confirmatory Factor Analysis
5. Discussion
5.1. Four-Dimensional Model
5.2. Items Eliminated
5.3. Resilience in the Context of South America
5.4. Limitations
6. Conclusions
Author Contributions
Funding
Institutional Review Board Statement
Informed Consent Statement
Data Availability Statement
Acknowledgments
Conflicts of Interest
References
- Jones, N.L.; Gilman, S.E.; Cheng, T.L.; Drury, S.S.; Hill, C.V.; Geronimus, A.T. Life course approaches to the causes of health disparities. Am. J. Public Health 2019, 109, S48–S55. [Google Scholar] [CrossRef] [PubMed]
- Harris, K.M.; McDade, T.W. The biosocial approach to human development, behavior, and health across the life course. RSF Russell Sage Found. J. Soc. Sci. 2018, 4, 2–26. [Google Scholar] [CrossRef] [PubMed]
- Yu, S. The life-course approach to health. Am. J. Public Health 2006, 96, 768. [Google Scholar] [CrossRef]
- Mikkelsen, B.; Williams, J.; Rakovac, I.; Wickramasinghe, K.; Hennis, A.; Shin, H.-R.; Farmer, M.; Weber, M.; Berdzuli, N.; Borges, C.; et al. Life course approach to prevention and control of non-communicable diseases. Br. Med. J. 2019, 365, l257. [Google Scholar] [CrossRef] [PubMed]
- Tottenham, N. Risk and developmental heterogeneity in previously institutionalized children. J. Adolesc. Health 2012, 51, S29–S33. [Google Scholar] [CrossRef]
- Dorsen, C. Vulnerability in homeless adolescents: Concept analysis. J. Adv. Nurs. 2010, 66, 2819–2827. [Google Scholar] [CrossRef] [PubMed]
- Brito, E.S.; Schoen, T.H.; Marteleto, M.R.F.; Oliveira-Monteiro, N.R. Identity status of adolescents living in institutional shelters. J. Hum. Growth Dev. 2017, 27, 315–321. [Google Scholar] [CrossRef]
- Palummo, J. La Situación de Niños, Niñas y Adolescentes en las Instituciones de Protección y Cuidado de América Latina y el Caribe; UNICEF Oficina Regional para América Latina y el Caribe: Panama City, Panama, 2013. [Google Scholar]
- Defensoría del Pueblo del Perú. Niñez y Adolescencia. Available online: https://www.defensoria.gob.pe/grupos_de_proteccion/ninez-adolescencia (accessed on 21 October 2022).
- United Nations Children’s Fund. 10.5 Millones de Motivos para Seguir Trabajando: Programa de Cooperación Perú—UNICEF 2017–2021; UNICEF Oficina para Peru: Lima, Peru, 2017. [Google Scholar]
- Harris, K.M. An integrative approach to health. Demography 2010, 47, 1–22. [Google Scholar] [CrossRef]
- Rutter, M. Resilience in the face of adversity: Protective factors and resistance to psychiatric disorder. Br. J. Psychiatry 1985, 147, 598–611. [Google Scholar] [CrossRef]
- Fletcher, D.; Sarkar, M. Psychological resilience. Eur. Psychol. 2013, 18, 12–23. [Google Scholar] [CrossRef]
- Rodríguez-Fernández, A.; Ramos-Díaz, E.; Ros, I.; Fernández-Zabala, A. Relaciones de la resiliencia con el autoconcepto y el Apoyo Social Percibido en una muestra de adolescentes. Acción Psicol. 2015, 12, 1–14. [Google Scholar] [CrossRef]
- Wang, J.-L.; Zhang, D.-J.; Zimmerman, M.A. Resilience theory and its implications for Chinese adolescents. Psychol. Rep. 2015, 117, 354–375. [Google Scholar] [CrossRef] [PubMed]
- Masten, A.S.; Best, K.M.; Garmezy, N. Resilience and development: Contributions from the study of children who overcome adversity. Dev. Psychopathol. 1990, 2, 425–444. [Google Scholar] [CrossRef]
- Martin, A.J.; Marsh, H.W. Academic resilience and its psychological and educational correlates: A construct validity approach. Psychol. Sch. 2006, 43, 267–281. [Google Scholar] [CrossRef]
- Gilligan, R. Adversity, resilience and young people: The protective value of positive school and spare time experiences. Child. Soc. 2000, 14, 37–47. [Google Scholar] [CrossRef]
- Howe, A.; Smajdor, A.; Stöckl, A. Towards an understanding of resilience and its relevance to medical training. Med. Educ. 2012, 46, 349–356. [Google Scholar] [CrossRef] [PubMed]
- Johnson, J.L.; Wiechelt, S.A. Introduction to the special issue on resilience. Subst. Use Misuse 2004, 39, 657–670. [Google Scholar] [CrossRef]
- Wu, Q.; Tsang, B.; Ming, H. Social capital, family support, resilience and educational outcomes of Chinese migrant children. Br. J. Soc. Work 2012, 44, 636–656. [Google Scholar] [CrossRef]
- Mota, C.P.; Costa, M.; Matos, P.M. Resilience and deviant behavior among institutionalized adolescents: The relationship with significant adults. Child Adolesc. Soc. Work J. 2016, 33, 313–325. [Google Scholar] [CrossRef]
- Mota, C.P.; Matos, P.M. Adolescents in institutional care: Significant adults, resilience and well-being. Child Youth Care Forum 2015, 44, 209–224. [Google Scholar] [CrossRef]
- Burrow-Sánchez, J.J.; Corrales, C.; Jensen, C.O.; Meyers, K. Resilience in a sample of Mexican American adolescents with substance use disorders. Psychol. Assess. 2014, 26, 1038–1043. [Google Scholar] [CrossRef]
- Windle, G.; Bennett, K.M.; Noyes, J. A methodological review of resilience measurement scales. Health Qual. Life Outcomes 2011, 9, 8. [Google Scholar] [CrossRef] [PubMed]
- Salisu, I.; Hashim, N. A critical review of scales used in resilience research. J. Bus. Manag. 2017, 19, 23–33. [Google Scholar] [CrossRef]
- Gucciardi, D.F.; Jackson, B.; Coulter, T.J.; Mallett, C.J. The Connor-Davidson Resilience Scale (CD-RISC): Dimensionality and age-related measurement invariance with Australian cricketers. Psychol. Sport Exerc. 2011, 12, 423–433. [Google Scholar] [CrossRef]
- Yu, X.-n.; Lau, J.T.F.; Mak, W.W.S.; Zhang, J.; Lui, W.W.S.; Zhang, J. Factor structure and psychometric properties of the Connor-Davidson Resilience Scale among Chinese adolescents. Compr. Psychiatry 2011, 52, 218–224. [Google Scholar] [CrossRef]
- Elvik Jørgensen, I.; Seedat, S. Factor structure of the Connor-Davidson resilience scale in South African adolescents. Int. J. Adolesc. Ment. Health. 2008, 20, 23–32. [Google Scholar] [CrossRef]
- Connor, K.M.; Davidson, J.R.T. Development of a new resilience scale: The Connor-Davidson Resilience Scale (CD-RISC). Depress. Anxiety 2003, 18, 76–82. [Google Scholar] [CrossRef]
- Serrano-Parra, M.D.; Garrido-Abejar, M.; Notario-Pacheco, B.; Bartolomé-Gutiérrez, R.; Solera-Martínez, M.; Martínez-Vizcaíno, V. Validez de la escala de resiliencia de Connor-Davidson(10 ítems) en una población de mayores no institucionalizados. Enferm. Clin. 2013, 23, 14–21. [Google Scholar] [CrossRef]
- Campbell-Sills, L.; Stein, M.B. Psychometric analysis and refinement of the connor–davidson resilience scale (CD-RISC): Validation of a 10-item measure of resilience. J. Trauma. Stress 2007, 20, 1019–1028. [Google Scholar] [CrossRef]
- Dominguez-Lara, S.A.; Gravini-Donado, M.; Torres-Villalobos, G. Análisis psicométrico de dos versiones de la Connor-Davidson Resilience Scale en estudiantes universitarios peruanos: Propuesta del CD-RISC-7. Rev. Argent. Cienc. Comport. 2019, 11, 36–51. [Google Scholar] [CrossRef]
- Vaishnavi, S.; Connor, K.; Davidson, J.R.T. An abbreviated version of the Connor-Davidson Resilience Scale (CD-RISC), the CD-RISC2: Psychometric properties and applications in psychopharmacological trials. Psychiatry Res. 2007, 152, 293–297. [Google Scholar] [CrossRef] [PubMed]
- Davidson, J.R.T. Connor-Davidson Resilience Scale (CDRISC) Manual. 2018. Available online: http://www.connordavidson-resiliencescale.com/CD-RISC%20Manual%2008-19-18.pdf (accessed on 16 April 2020).
- Notario-Pacheco, B.; Solera-Martínez, M.; Serrano-Parra, M.D.; Bartolomé-Gutiérrez, R.; García-Campayo, J.; Martínez-Vizcaíno, V. Reliability and validity of the Spanish version of the 10-item Connor-Davidson Resilience Scale (10-item CD-RISC) in young adults. Health Qual. Life Outcomes 2011, 9, 63. [Google Scholar] [CrossRef] [PubMed]
- Levey, E.J.; Rondon, M.B.; Sanchez, S.; Williams, M.A.; Gelaye, B. Psychometric properties of the Spanish version of the 10-item Connor Davidson Resilience Scale (CD-RISC) among adolescent mothers in Peru. J. Child Adolesc. Trauma 2021, 14, 29–40. [Google Scholar] [CrossRef] [PubMed]
- Connor, K.M.; Davidson, J.R.T. Connor-Davidson Escala de Resiliencia-25SA (CD-RISC-25SA). 2008. [Google Scholar]
- Von Elm, E.; Altman, D.G.; Egger, M.; Pocock, S.J.; Gøtzsche, P.C.; Vandenbroucke, J.P. The Strengthening the Reporting of Observational Studies in Epidemiology (STROBE) statement: Guidelines for reporting observational studies. Prev. Med. 2007, 45, 247–251. [Google Scholar] [CrossRef] [PubMed]
- Sacks, D. Age limits and adolescents. Paediatr. Child Health 2003, 8, 577. [Google Scholar] [CrossRef]
- Hays, R.D.; Weech-Maldonado, R.; Teresi, J.A.; Wallace, S.P.; Stewart, A.L. Commentary: Copyright restrictions versus open access to survey instruments. Med. Care 2018, 56, 107–110. [Google Scholar] [CrossRef] [PubMed]
- Korn, E.L.; Graubard, B.I. Analysis of Health Surveys; John Wiley & Sons: Hoboken, NJ, USA, 1999. [Google Scholar]
- Furr, R.M. Psychometrics: An Introduction, 4th ed.; SAGE Publications: Thousand Oaks, CA, USA, 2021. [Google Scholar]
- Lloret-Segura, S.; Ferreres-Traver, A.; Hernández-Baeza, A.; Tomás-Marco, I. El análisis factorial exploratorio de los ítems: Una guía práctica, revisada y actualizada. Ann. Psychol. 2014, 30, 1151–1169. [Google Scholar] [CrossRef]
- Orcan, F. Exploratory and confirmatory factor analysis: Which one to use first? J. Meas. Eval. Educ. Psychol. 2018, 9, 414–421. [Google Scholar] [CrossRef]
- The R Foundation. The R Project for Statistical Computing; The R Foundation: Vienna, Austria, 2021. [Google Scholar]
- Barendse, M.T.; Oort, F.J.; Timmerman, M.E. Using exploratory factor analysis to determine the dimensionality of discrete responses. Struct. Equ. Modeling Multidiscip. J. 2015, 22, 87–101. [Google Scholar] [CrossRef]
- Brown, T.A. Confirmatory Factor Analysis for Applied Research, 2nd ed.; Guilford Press: New York, NY, USA, 2015. [Google Scholar]
- Goretzko, D.; Pham, T.T.H.; Bühner, M. Exploratory factor analysis: Current use, methodological developments and recommendations for good practice. Curr. Psychol. 2021, 40, 3510–3521. [Google Scholar] [CrossRef]
- Watkins, M.W. Exploratory factor analysis: A guide to best practice. J. Black Psychol. 2018, 44, 219–246. [Google Scholar] [CrossRef]
- Jackson, J.E. Oblimin rotation. In Encyclopedia of Biostatistics, 2nd ed.; Armitage, P., Colton, T., Eds.; John Wiley & Sons: Hoboken, NJ, USA, 2005. [Google Scholar]
- Olsson, U.; Drasgow, F.; Dorans, N.J. The polyserial correlation coefficient. Psychometrika 1982, 47, 337–347. [Google Scholar] [CrossRef]
- Cronbach, L.J. Coefficient alpha and the internal structure of tests. Psychometrika 1951, 16, 297–334. [Google Scholar] [CrossRef]
- Gadermann, A.; Guhn, M.; Zumbo, B.D. Ordinal alpha. In Encyclopedia of Quality of Life and Well-Being Research; Michalos, A.C., Ed.; Springer: Dordrecht, The Netherlands, 2014; pp. 4513–4515. [Google Scholar]
- Forero, C.G.; Maydeu-Olivares, A.; Gallardo-Pujol, D. Factor analysis with ordinal indicators: A monte carlo study comparing DWLS and ULS estimation. Struct. Equ. Modeling Multidiscip. J. 2009, 16, 625–641. [Google Scholar] [CrossRef]
- Pituch, K.A.; Stevens, J.P. Applied Multivariate Statistics for the Social Sciences: Analyses with SAS and IBM’s SPSS, 6th ed.; Routledge: New York, NY, USA, 2015; p. 814. [Google Scholar]
- World Medical Association. World Medical Association Declaration of Helsinki: Ethical principles for medical research involving human subjects. JAMA 2013, 310, 2191–2194. [Google Scholar] [CrossRef]
- Sibley, A.; Sheehan, M.; Pollard, A.J. Assent is not consent. J. Med. Ethics 2012, 38, 3. [Google Scholar] [CrossRef]
- Miller, V.A.; Drotar, D.; Kodish, E. Children’s competence for assent and consent: A review of empirical findings. Ethics Behav. 2004, 14, 255–295. [Google Scholar] [CrossRef]
- Tait, A.R.; Geisser, M.E. Development of a consensus operational definition of child assent for research. BMC Med. Ethics 2017, 18, 41. [Google Scholar] [CrossRef]
- Cheah, P.Y.; Parker, M. Consent and assent in paediatric research in low-income settings. BMC Med. Ethics 2014, 15, 22. [Google Scholar] [CrossRef]
- Child, D. The Essentials of Factor Analysis, 3rd ed.; Continuum International Publishing Group: London, UK, 2006. [Google Scholar]
- Chen, F.F. Sensitivity of goodness of fit indexes to lack of measurement invariance. Struct. Equ. Modeling Multidiscip. J. 2007, 14, 464–504. [Google Scholar] [CrossRef]
- Cheung, G.W.; Rensvold, R.B. Evaluating goodness-of-fit indexes for testing measurement invariance. Struct. Equ. Modeling Multidiscip. J. 2002, 9, 233–255. [Google Scholar] [CrossRef]
- Cardoso, J.B.; Thompson, S.J. Common themes of resilience among Latino immigrant families: A systematic review of the literature. Fam. Soc. 2010, 91, 257–265. [Google Scholar] [CrossRef]
- Blanco, V.; Guisande, M.A.; Sánchez, M.T.; Otero, P.; Vázquez, F.L. Spanish validation of the 10-item Connor–Davidson Resilience Scale (CD-RISC 10) with non-professional caregivers. Aging Ment. Health 2019, 23, 183–188. [Google Scholar] [CrossRef] [PubMed]
- Fernández Valera, M.M.; Meseguer de Pedro, M.; Soler Sánchez, M.I. Propiedades psicométricas de la versión española de la escala de resiliencia de 10 ítems de Connor-Davidson (CD-RISC 10) en una muestra de desempleados. Summa Psicol. 2018, 15, 1–9. [Google Scholar] [CrossRef][Green Version]
- Riveros Munévar, F.; Bernal Vargas, L.; Bohórquez Borda, D.; Vinaccia Alpi, S.; Quiceno, J.M. Validez de constructo y confiabilidad del Connor-Davidson Resilience Scale (CD-RISC 10) en población colombiana con enfermedades crónicas. Salud Soc. 2016, 7, 130–137. [Google Scholar] [CrossRef]
- Riveros Munévar, F.; Bernal Vargas, L.; Bohórquez Borda, D.; Vinaccia Alpi, S.; Quiceno, J.M. Análisis psicométrico del Connor-Davidson Resilience Scale (CD-RISC-10) en población universitaria colombiana. Psicol. Caribe 2018, 34, 161–171. [Google Scholar] [CrossRef]
- Ponce Cisternas, F.P. Análisis exploratorio de modelos de ecuaciones estructurales sobre la escala de resiliencia de Connor y Davidson (CD-RISC) en Chile y España. Salud Soc. 2016, 6, 238–247. [Google Scholar] [CrossRef]
- Rodríguez-Fernández, A.; Ramos-Díaz, E.; Ros, I.; Fernández-Zabala, A.; Revuelta, L. Bienestar subjetivo en la adolescencia: El papel de la resiliencia, el autoconcepto y el apoyo social percibido. Suma Psicol. 2016, 23, 60–69. [Google Scholar] [CrossRef]
- Crespo, M.; Fernández-Lansac, V.; Soberón, C. Adaptación Española de la “Escala de resiliencia de Connor-Davidson” (CD-RISC) en situaciones de estrés crónico. Behav. Psychol. 2014, 22, 219–238. [Google Scholar]
- García León, M.Á.; González-Gomez, A.; Robles-Ortega, H.; Padilla, J.L.; Peralta-Ramirez, I. Propiedades psicométricas de la Escala de Resiliencia de Connor y Davidson (CD-RISC) en población española. Ann. Psychol. 2018, 35, 33–40. [Google Scholar] [CrossRef]
- Gras, M.-E.; Font-Mayolas, S.; Baltasar, A.; Patiño, J.; Sullman, M.J.M.; Planes, M. La escala de resiliencia de Connor-Davidson en adultos españoles jóvenes. Clínica Salud 2019, 30, 73–79. [Google Scholar] [CrossRef]
- Burns, R.A.; Anstey, K.J. The Connor–Davidson Resilience Scale (CD-RISC): Testing the invariance of a uni-dimensional resilience measure that is independent of positive and negative affect. Personal. Individ. Differ. 2010, 48, 527–531. [Google Scholar] [CrossRef]
- Ungar, M. Resilience across cultures. Br. J. Soc. Work 2006, 38, 218–235. [Google Scholar] [CrossRef]
- Ungar, M. Resilience, trauma, context, and culture. Trauma Violence Abus. 2013, 14, 255–266. [Google Scholar] [CrossRef] [PubMed]
- Wilson, C.A.; Plouffe, R.A.; Saklofske, D.H.; Di Fabio, A.; Prince-Embury, S.; Babcock, S.E. Resiliency across cultures: A validation of the resiliency scale for young adults. J. Psychoeduc. Assess. 2019, 37, 14–25. [Google Scholar] [CrossRef]
- Southwick, S.M.; Bonanno, G.A.; Masten, A.S.; Panter-Brick, C.; Yehuda, R. Resilience definitions, theory, and challenges: Interdisciplinary perspectives. Eur. J. Psychotraumatol. 2014, 5, 25338. [Google Scholar] [CrossRef]
- Eraslan Çapan, B. Güvenli bağlanma ve affedicilik: Psikolojik sağlamlığın aracılık rolü. Hacet. Univ. J. Educ. 2018, 33, 280–292. [Google Scholar] [CrossRef]
- Palmieri, P.A.; Leyva-Moral, J.M.; Camacho-Rodriguez, D.E.; Granel-Gimenez, N.; Ford, E.W.; Mathieson, K.M.; Leafman, J.S. Hospital survey on patient safety culture (HSOPSC): A multi-method approach for target-language instrument translation, adaptation, and validation to improve the equivalence of meaning for cross-cultural research. BMC Nurs. 2020, 19, 23. [Google Scholar] [CrossRef]
- Cameron, C.A.; Ungar, M.; Liebenberg, L. Cultural understandings of resilience: Roots for wings in the development of affective resources for resilience. Child Adolesc. Psychiatr. Clin. N. Am. 2007, 16, 285–301. [Google Scholar] [CrossRef]
- Krederdt-Araujo, S.L.; Dominguez-Cancino, K.A.; Jiménez-Cordova, R.; Paz-Villanueva, M.Y.; Fernandez, J.M.; Leyva-Moral, J.M.; Palmieri, P.A. Spirituality, social support, and diabetes: A cross-sectional study of people enrolled in a nurse-led diabetes management program in Peru. Hisp. Health Care Int. 2019, 17, 162–171. [Google Scholar] [CrossRef]
- Sidheek, K.P.F.; Satyanarayana, V.A.; Sowmya, H.R.; Chandra, P.S. Using the Kannada version of the Connor Davidson Resilience Scale to assess resilience and its relationship with psychological distress among adolescent girls in Bangalore, India. Asian J. Psychiatry 2017, 30, 169–172. [Google Scholar] [CrossRef] [PubMed]
- Velickovic, K.; Rahm Hallberg, I.; Axelsson, U.; Borrebaeck, C.A.K.; Rydén, L.; Johnsson, P.; Månsson, J. Psychometric properties of the Connor-Davidson Resilience Scale (CD-RISC) in a non-clinical population in Sweden. Health Qual. Life Outcomes 2020, 18, 132. [Google Scholar] [CrossRef] [PubMed]
- Manzano-García, G.; Ayala Calvo, J.C. Psychometric properties of Connor-Davidson Resilience Scale in a Spanish sample of entrepreneurs. Psicothema 2013, 25, 245–251. [Google Scholar] [CrossRef] [PubMed]
- Gallup International. Religion Prevails in the World. Available online: https://www.gallup-international.bg/en/36009/religion-prevails-in-the-world/ (accessed on 28 June 2022).
- Gallup International. Losing our Religion? Two Thirds of People Still Claim to Be Religious. Available online: https://www.gallup-international.bg/en/33531/losing-our-religion-two-thirds-of-people-still-claim-to-be-religious/ (accessed on 7 August 2022).
- Gallup International. Global Values: Race, Religion, Culture. Available online: http://www.gallup-international.com/survey-results/survey-result/religion-race-culture (accessed on 2 August 2022).
- Kemppainen, V.; Tossavainen, K.; Turunen, H. Nurses’ Roles in Health Promotion Practice: An Integrative Review. Health Promot. Int. 2012, 28, 490–501. [Google Scholar] [CrossRef]
- Seltzer, M.M.; Ryff, C.D. Parenting across the life span: The normative and nonnormative cases. In Life-Span Development and Behavior, Featherman, D.L., Lerner, R.M., Perlmutter, M., Eds.; Taylor & Francis Group: New York, NY, USA, 2019; Volume 12, pp. 1–40. [Google Scholar]
- Bandalos, D.L.; Finney, S.J. Factor analysis. Exploratory and confirmatory. In The Reviewer’s Guide to Quantitative Methods in the Social Science; Hancock, G.R., Stapleton, L.M., Mueller, R.O., Eds.; Routledge: New York, NY, USA, 2010; pp. 93–114. [Google Scholar]
- Waltz, C.F.; Strickland, O.L.; Lenz, E.R. Measurement in Nursing and Health Research, 5th ed.; Springer Publishing Company: New York, NY, USA, 2016. [Google Scholar]



| Item No. | Item Description | Dimension with Description | Items by Dimension |
|---|---|---|---|
| 1 | Able to adapt to change | Dimension 1: Positive acceptance of change and secure relationships | 1, 2, 4, 5, 8 |
| 2 | Close and secure relationships | ||
| 3 | Sometimes fate or God can help me | ||
| 4 | Can deal with whatever comes | ||
| 5 | Past success gives confidence for new challenge | ||
| 6 | See the humorous side of things | Dimension 2: Trust in one´s instincts, tolerance of negative affect, and strengthening effects of stress | 6, 7, 14, 15, 18, 19, 20 |
| 7 | Coping with stress strengthens | ||
| 8 | Tend to bounce back after illness or hardship | ||
| 9 | Things happen for a reason | ||
| 10 | Best effort no matter what | ||
| 11 | You can achieve your goals | ||
| 12 | Things look hopeless, I don’t give up | ||
| 13 | Know where to turn for help | Dimension 3: Personal competence, high standards and tenacity | 10, 11, 12, 16, 17, 23, 24, 25 |
| 14 | Under pressure, focus and think clearly | ||
| 15 | Prefer to take lead in problem solving | ||
| 16 | Not easily discouraged by failure | ||
| 17 | Think of self as strong person | ||
| 18 | Make unpopular or difficult decisions | ||
| 19 | Can handle unpleasant feelings | ||
| 20 | Have to act on a hunch | ||
| 21 | Strong sense of purpose | Dimension 4: Control | 13, 21, 22 |
| 22 | In control of your life | ||
| 23 | I like challenges | ||
| 24 | You work to attain your goals | Dimension 5: Spiritual influences | 3, 9 |
| 25 | Pride in your achievements |
| Variables | Sample A (n = 451) | Sample B (n = 350) |
|---|---|---|
| Age (X, min-max) | 13.74 [11,12,13,14,15,16,17,18] | 13.69 [11,12,13,14,15,16,17,18] |
| Gender (n, %) | ||
| Male | 219 (48.6) | 158 (45.1) |
| Female | 232 (51.4) | 192 (54.9) |
| Level (n, %) | ||
| Primary school | 48 (10.6) | 35 (10.0) |
| High school | 389 (86.3) | 305 (87.1) |
| Working or other academic condition | 14 (3.1) | 10 (2.9) |
| Modality (n, %) | ||
| Internal Presence | 160 (35.5) | 126 (36.0) |
| External Presence | 291 (64.5) | 224 (64.0) |
| Item No. | Item Description | Mean | Item-Test | Factor 1 | Factor 2 | Factor 3 | Factor 4 | Factor 5 |
|---|---|---|---|---|---|---|---|---|
| 21 | Strong sense of purpose | 2.77 | 0.57 | 0.652 | ||||
| 22 | In control of your life | 2.51 | 0.53 | 0.531 | ||||
| 25 | Pride in your achievements | 3.16 | 0.56 | 0.437 | ||||
| 14 | Under pressure, focus and think clearly | 2.24 | 0.51 | 0.371 | ||||
| 23 | I like challenges | 2.54 | 0.66 | 0.318 | ||||
| 17 | Think of self as strong person | 2.61 | 0.64 | 0.301 | ||||
| 20 | Have to act on a hunch | 2.19 | 0.50 | 0.253 | ||||
| 19 | Can handle unpleasant feelings | 2.23 | 0.53 | 0.236 | ||||
| 13 | Know where to turn for help | 2.39 | 0.46 | 0.225 | ||||
| 16 | Not easily discouraged by failure | 2.28 | 0.54 | 0.673 | ||||
| 12 | When things look hopeless, I don’t give up | 2.44 | 0.42 | 0.484 | ||||
| 18 | Make unpopular or difficult decisions | 1.93 | 0.46 | 0.313 | ||||
| 15 | Prefer to take the lead in problem solving | 2.48 | 0.50 | 0.311 | ||||
| 24 | You work to attain your goals | 2.50 | 0.58 | 0.243 | ||||
| 2 | Close and secure relationships | 2.05 | 0.39 | 0.190 | ||||
| 6 | See the humorous side of things | 2.36 | 0.46 | 0.655 | ||||
| 7 | Coping with stress strengthens | 2.54 | 0.55 | 0.417 | ||||
| 9 | Things happen for a reason | 2.51 | 0.35 | 0.292 | ||||
| 8 | Tend to bounce back after illness or hardship | 2.48 | 0.48 | 0.226 | ||||
| 4 | Can deal with whatever comes | 2.37 | 0.57 | 0.217 | ||||
| 10 | Best effort no matter what | 2.81 | 0.60 | 0.626 | ||||
| 11 | You can achieve your goals | 2.84 | 0.61 | 0.538 | ||||
| 5 | Past success gives confidence for new challenges | 2.76 | 0.57 | 0.368 | ||||
| 3 | Sometimes fate or God can help me | 2.20 | 0.27 | −0.394 | ||||
| 1 | Able to adapt to change | 2.47 | 0.47 | 0.289 | ||||
| Eigen values | 6.73 | 1.39 | 1.22 | 1.13 | 1.08 | |||
| Variance explained (%) | 6.3% | 5.4% | 5% | 5% | 2.6% | |||
| Cronbach alpha | 0.56 | 0.68 | 0.80 | 0.53 | 0.27 | |||
| Adjusted Model Index for Sample B | Five Dimension Model | Four Dimension Model |
|---|---|---|
| X2/df | <0.0001 | <0.0001 |
| Root Mean Squared Error of Approximation (RMSEA) | 0.043 | 0.041 |
| Comparative Fit Index (CFI) | 0.899 | 0.926 |
| Tucker Lewis Index (TLI) | 0.886 | 0.916 |
| Standardized Root Mean Square Residues (SRMR) | 0.050 | 0.047 |
| Item No. | Item Description | Proposed Dimension with Description |
|---|---|---|
| 5 | Past success gives confidence for new challenges | Dimension 1: Self-confidence and self-trust from previous experiences |
| 10 | Best effort no matter what | |
| 11 | You can achieve your goals | |
| 4 | Can deal with whatever comes | Dimension 2: Internal resources to cope with difficulties |
| 6 | See the humorous side of things | |
| 7 | Coping with stress strengthens | |
| 8 | Tend to bounce back after illness or hardship | |
| 9 | Things happen for a reason | |
| 12 | When things look hopeless, I don’t give up | Dimension 3: Personal competency and tenacity |
| 15 | Prefer to take the lead in problem solving | |
| 16 | Not easily discouraged by failure | |
| 18 | Make unpopular or difficult decisions | |
| 24 | You work to attain your goals | |
| 13 | Know where to turn for help | Dimension 4: Self-regulation and external resources |
| 14 | Under pressure, focus and think clearly | |
| 17 | Think of self as strong person | |
| 19 | Can handle unpleasant feelings | |
| 20 | Have to act on a hunch | |
| 21 | Strong sense of purpose | |
| 22 | In control of your life | |
| 23 | I like challenges | |
| 25 | Pride in your achievements |
| Main Dimension | Related Dimension | Covariance | Standard Error | p-Value |
|---|---|---|---|---|
| Dimension 1 | Dimension 2 Dimension 3 Dimension 4 | 0.413 0.316 0.311 | 0.062 0.056 0.056 | <0.0001 <0.0001 <0.0001 |
| Dimension 2 | Dimension 3 Dimension 4 | 0.288 0.253 | 0.054 0.049 | <0.0001 <0.0001 |
| Dimension 3 | Dimension 4 | 0.244 | 0.050 | <0.0001 |
Publisher’s Note: MDPI stays neutral with regard to jurisdictional claims in published maps and institutional affiliations. |
© 2022 by the authors. Licensee MDPI, Basel, Switzerland. This article is an open access article distributed under the terms and conditions of the Creative Commons Attribution (CC BY) license (https://creativecommons.org/licenses/by/4.0/).
Share and Cite
Dominguez-Cancino, K.A.; Calderon-Maldonado, F.L.; Choque-Medrano, E.; Bravo-Tare, C.E.; Palmieri, P.A. Psychometric Properties of the Connor-Davidson Resilience Scale for South America (CD-RISC-25SA) in Peruvian Adolescents. Children 2022, 9, 1689. https://doi.org/10.3390/children9111689
Dominguez-Cancino KA, Calderon-Maldonado FL, Choque-Medrano E, Bravo-Tare CE, Palmieri PA. Psychometric Properties of the Connor-Davidson Resilience Scale for South America (CD-RISC-25SA) in Peruvian Adolescents. Children. 2022; 9(11):1689. https://doi.org/10.3390/children9111689
Chicago/Turabian StyleDominguez-Cancino, Karen A., Francisca L. Calderon-Maldonado, Edith Choque-Medrano, Carola E. Bravo-Tare, and Patrick A. Palmieri. 2022. "Psychometric Properties of the Connor-Davidson Resilience Scale for South America (CD-RISC-25SA) in Peruvian Adolescents" Children 9, no. 11: 1689. https://doi.org/10.3390/children9111689
APA StyleDominguez-Cancino, K. A., Calderon-Maldonado, F. L., Choque-Medrano, E., Bravo-Tare, C. E., & Palmieri, P. A. (2022). Psychometric Properties of the Connor-Davidson Resilience Scale for South America (CD-RISC-25SA) in Peruvian Adolescents. Children, 9(11), 1689. https://doi.org/10.3390/children9111689

