Anti-Inflammatory Effect of Pestalotic Acid A Derived from Pestalotiopsis vismiae, an Endophytic Fungus of Ilex prenatal, in Lipopolysaccharide-Stimulated RAW264.7 Cells
Abstract
1. Introduction
2. Materials and Methods
2.1. Materials
2.2. Source of Endophytic Fungi
2.3. Isolation and Identification of Endophytic Fungi
2.4. Cultivation and Extraction of Pestalotiopsis Vismiae
2.5. Isolation and Purification of PAA
2.6. LC/ESI-MS Analysis of PAA
2.7. Analytical HPLC for Purity Determination
2.8. Cells and Cell Culture
2.9. Cell Proliferation Assay
2.10. Measurement of Inflammatory Mediators
2.11. Preparation of Whole-Cell Lysates
2.12. Western Blotting Analysis
2.13. Immunofluorescence Staining
2.14. Statistical Analysis
3. Results
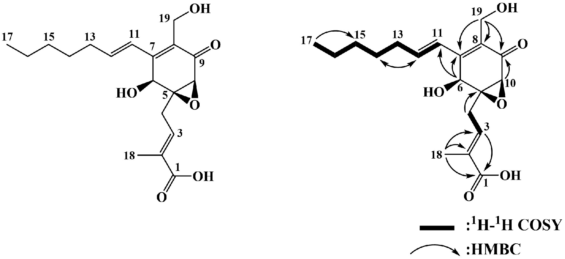
3.1. Identification of Active Compound
3.2. Pestalotic Acid A Increases Macrophage Viability
3.3. Pestalotic Acid A Inhibits Release of Nitric Oxide (NO) by Suppressing iNOS Expression in LPS-Stimulated RAW264.7 Cells
3.4. Pestalotic Acid A Inhibits Pro-Inflammatory Cytokine Production in LPS-Stimulated RAW264.7 Cells
3.5. Pestalotic Acid A Blocks Phosphorylation of p65 NF-κB in LPS-Stimulated RAW264.7 Cells
4. Discussion
5. Conclusions
Supplementary Materials
Author Contributions
Funding
Institutional Review Board Statement
Informed Consent Statement
Data Availability Statement
Conflicts of Interest
Abbreviations
| DMEM | Dulbecco’s modified Eagle’s medium |
| DMSO | dimethyl sulfoxide |
| EDTA | ethylenediamine tetraacetic acid |
| EtOAc | ethyl acetate |
| ESI-MS | electrospray ionization mass spectrometry |
| FBS | fetal bovine serum |
| HMBC | heteronuclear multiple-bond correlation spectroscopy |
| HPLC | high-performance liquid chromatography |
| iNOS | inducible nitric oxide synthase |
| IL-1β | interleukin-1 beta |
| IL-6 | interleukin-6 |
| LPS | lipopolysaccharide |
| MAPK | mitogen-activated protein kinase |
| MPLC | medium-pressure liquid chromatography |
| NMR | nuclear magnetic resonance |
| NO | nitric oxide |
| PDA | potato dextrose agar |
| TNF-α | tumor necrosis factor-alpha |
References
- Ebadi, M.; Ebadi, A. Importance and applications of endophytic fungi [Internet]. In The Diversity of Fungal World [Working Title]; IntechOpen: London, UK, 2024. [Google Scholar] [CrossRef]
- Das, M.; Kityania, S.; Nath, R.; Nath, R.; Nath, D.; Talukdar, A.D. Endophytic fungi and the health benefits from their potential bioactive secondary metabolites. In Endophytic Fungi. Fungal Biology; Singh, B.P., Abdel-Azeem, A.M., Gautam, V., Singh, G., Singh, S.K., Eds.; Springer: Cham, Switzerland, 2024; pp. 295–324. [Google Scholar] [CrossRef]
- Muthukrishnan, S.; Prakathi, P.; Sivakumar, T.; Thiruvengadam, M.; Jayaprakash, B.; Baskar, V.; Rebezov, M.; Derkho, M.; Zengin, G.; Shariati, M.A. Bioactive components and health potential of endophytic micro-fungal diversity in medicinal plants. Antibiotics 2022, 11, 1533. [Google Scholar] [CrossRef] [PubMed]
- Nazir, A.; Puthuveettil, A.R.; Hussain, F.H.N.; Hamed, K.E.; Munawar, N. Endophytic fungi: Nature’s solution for antimicrobial resistance and sustainable agriculture. Front. Microbiol. 2024, 15, 1461504. [Google Scholar] [CrossRef] [PubMed]
- Selim, K.A.; El-Beih, A.A.; AbdEl-Rahman, T.M.; El-Diwany, A.I. Biology of endophytic fungi. Curr. Res. Environ. Appl. Mycol. 2012, 2, 31–82. [Google Scholar] [CrossRef]
- Manoj, A.V.P.; May, P. Culture Dependent Isolation, Identification and Characterization of Endophytes. In Recent Trends in Endophyte Research; IIP Series: Karnataka, India, 2024; pp. 118–138. [Google Scholar] [CrossRef]
- CABI Compendium. Ilex crenata (Japanese Holly); CAB International: Wallingford, UK, 2022. [Google Scholar] [CrossRef]
- Yang, W.-Q.; Lu, Q.-P.; Chen, C.-X.; Zhu, L.-P.; Zhang, X.; Xu, W.; Hu, L.-S.; Chen, J.; Zhao, Z.-X. Six undescribed 23-norursane triterpenoids from the biotransformation of ilexgenin a by endophytic fungi and their vascular protective activity. Fitoterapia 2024, 176, 106053. [Google Scholar] [CrossRef]
- Arora, P.; Ahmad, T.; Farooq, S.; Riyaz-ul-Hassan, S. Endophytes: A Hidden Treasure of Novel Antimicrobial Metabolites; Springer: Singapore, 2019; pp. 165–192. [Google Scholar] [CrossRef]
- Zhang, F.; Ding, G.; Li, L.; Cai, X.; Si, Y.; Guo, L.; Che, Y. Isolation, antimicrobial activity, and absolute configuration of the furylidene tetronic acid core of pestalotic acids A–G. Org. Biomol. Chem. 2012, 10, 5307–5314. [Google Scholar] [CrossRef]
- Li, J.; Xie, J.; Yu, F.X.; Chen, Y.H.; Zhao, P.J. Pestalotic acids A-I, antibacterial ambuic acid analogues, from a mycoparasite (Pestalotipsis sp. cr014) of Cronartium ribicola. Arch. Pharm. Res. 2016; ahead of print. [Google Scholar] [CrossRef]
- Mahdavian, D.B.; van der Veer, W.M.; van Egmond, M.; Niessen, F.B.; Beelen, R.H. Macrophages in skin injury and repair. Immunobiology 2011, 216, 753–762. [Google Scholar]
- Moore, L.B.; Kyriakides, T.R. Molecular characterization of macrophage-biomaterial interactions. Adv. Exp. Med. Biol. 2015, 865, 109–122. [Google Scholar] [CrossRef]
- Pal, S.; Bhattachariee, A.; Ali, A.; Mandal, N.C.; Mandal, S.C.; Pal, M. Chronic inflammation and cancer: Potential chemoprevention through nuclear factor kappa B and p53 mutual antagonism. J. Inflam. 2014, 11, 1–28. [Google Scholar] [CrossRef]
- Verstrepen, L.; Beyaert, R. Receptor proximal kinases in NF-κB signaling as potential therapeutic targets in cancer and inflammation. Biochem. Pharmacol. 2014, 92, 519–529. [Google Scholar] [CrossRef]
- Shapouri-Moghaddam, A.; Mohammadian, S.; Vazini, H.; Taghadosi, M.; Esmaeili, S.-A.; Mardani, F.; Seifi, B.; Mohammadi, A.; Afshari, J.T.; Sahebkar, A. Macrophage plasticity, polarization, and function in health and disease. J. Cell. Physiol. 2018, 233, 6425–6440. [Google Scholar] [CrossRef]
- Osei, S.R.; Barnes, P.; Victor, N.S. The interactive role of macrophages in innate immunity [Internet]. Macrophages—Celebrating 140 Years of Discovery; IntechOpen: London, UK, 2022. [Google Scholar] [CrossRef]
- Larsson-Callerfelt, A.K.; Weitoft, M.; Nihlberg, K.; Bjermer, L.; Westergren-Thorsson, G.; Tufvesson, E. iNOS affects matrix production in distal lung fibroblasts from patients with mild asthma. Pulm. Pharmacol. Ther. 2015, 34, 64–71. [Google Scholar] [CrossRef] [PubMed]
- Kusaka, G.; Uno, K.; Iijima, K.; Shimosegawa, T. Role of nitric oxide in the pathogenesis of Barrett’s-associated carcinogenesis. World J. Gastrointest. Pathophysiol. 2016, 7, 131–137. [Google Scholar] [CrossRef] [PubMed][Green Version]
- Ho, L.J.; Luo, S.F.; Lai, J.H. Biological effects of interleukin-6: Clinical applications in autoimmune diseases and cancers. Biochem. Pharmacol. 2015, 97, 16–26. [Google Scholar] [CrossRef]
- Scheller, J.; Ohnesorge, N.; Rose-John, S. Interleukin-6 trans-signalling in chronic inflammation and cancer. Scand. J. Immunol. 2006, 63, 321–329. [Google Scholar] [CrossRef]
- Ipseiz, N.; Pickering, R.J.; Rosas, M.; Tyrrell, V.J.; Davies, L.C.; Orr, S.J.; Czubala, M.A.; Fathalla, D.; Robertson, A.A.; Bryant, C.E.; et al. Tissue-resident macrophages actively suppress IL-1beta release via a reactive prostanoid/IL-10 pathway. EMBO J. 2020, 39, e103454. [Google Scholar] [CrossRef]
- Archambault, A.-S.; de Brito Monteiro, L.; Starchuck, L.; Oh, J.; Perraso, E.; Patterson, A.; Verchere, C.B.; Klein Geltink, R. Purine catabolism regulates the production of IL-1beta in macrophages. J. Immunol. 2024, 212, 0286_4533. [Google Scholar] [CrossRef]
- Sethi, G.; Sung, B.; Aggarwal, B.B. TNF: A master switch for inflammation to cancer. Front. Biosci. 2008, 13, 5094–5107. [Google Scholar] [CrossRef]
- Antoniu, S.A. Targeting tumour necrosis factor-a in corticosteroid-dependent asthma. Expert Opin. Ther. Targets 2006, 60, 1012–1018. [Google Scholar]
- Kim, Y.H.; Kim, D.H.; Lim, H.; Baek, D.Y.; Shin, H.K.; Kim, J.K. The anti-inflammatory effects of methylsulfonylmethane on lipopolysaccharide-induced inflammatory responses in murine macrophages. Biol. Pharm. Bull. 2009, 32, 651–656. [Google Scholar] [CrossRef]
- Morgan, M.J.; Liu, Z.G. Crosstalk of reactive oxygen species and NF-κB signaling. Cell. Res. 2011, 21, 103–115. [Google Scholar] [CrossRef]
- Sinha, K. Lipopolysaccharide Receptor, Toll -Like Receptor 4, Mediated Signaling Pathways Leading to Cyclooxygenase-2 Expression in Murine Macrophages; Louisiana State University: Baton Rouge, LA, USA, 2022. [Google Scholar] [CrossRef]
- Yuan, S.-N.; Feng, C.-Y.; Rong, Y.; Guo, X.; Chen, Y.-Y.; Fraga-Corral, M.; Prieto, M.A.; Zhang, X.-Y.; Li, N.-Y.; Liu, C.; et al. Immunomodulatory effects of nervonic acid in RAW264.7 macrophages. J. Food Biochem. 2023, 2023, 1–10. [Google Scholar] [CrossRef]
- Glushkova, O.V.; Khrenov, M.O.; Novoselova, T.V.; Lunin, S.M.; Parfenyuk, S.B.; Alekseev, S.I.; Fesenko, E.E.; Novoselova, E.G. The role of the NF-κB, SAPK/JNK, and TLR4 signalling pathways in the responses of RAW 264.7 cells to extremely low-intensity microwaves. Int. J. Radiat. Biol. 2015, 91, 321–328. [Google Scholar] [CrossRef] [PubMed]
- Park, M.Y.; Ha, S.E.; Kim, H.H.; Bhosale, P.B.; Abusaliya, A.; Jeong, S.H.; Park, J.-S.; Heo, J.D.; Kim, G.S. Scutellarein inhibits LPS-induced inflammation through NF-κB/MAPKs signaling pathway in RAW264.7 cells. Molecules 2022, 27, 3782. [Google Scholar] [CrossRef] [PubMed]
- Yang, Y.; Xing, R.; Liu, S.; Yukun, Q.; Kecheng, L.; Yu, H.; Pengcheng, L. PI3K/Akt pathway is involved in the activation of RAW 264.7 cells induced by hydroxypropyltrimethyl ammonium chloride chitosan. J. Oceanol. Limnol. 2020, 38, 834–840. [Google Scholar] [CrossRef]
- Comalada, M.; Xaus, J.; Sánchez, E.; Valledor, A.F.; Celada, A. Macrophage Colony-stimulating Factor-, Granulocyte-macrophage Colony-stimulating Factor-, or IL-3-dependent Survival of Macrophages, but Not Proliferation, Requires the Expression of p21Waf1 through the Phosphatidylinositol 3-kinase/Akt Pathway. Eur. J Immunol. 2004, 34, 2257–2267. [Google Scholar] [CrossRef]







Disclaimer/Publisher’s Note: The statements, opinions and data contained in all publications are solely those of the individual author(s) and contributor(s) and not of MDPI and/or the editor(s). MDPI and/or the editor(s) disclaim responsibility for any injury to people or property resulting from any ideas, methods, instructions or products referred to in the content. |
© 2025 by the authors. Licensee MDPI, Basel, Switzerland. This article is an open access article distributed under the terms and conditions of the Creative Commons Attribution (CC BY) license (https://creativecommons.org/licenses/by/4.0/).
Share and Cite
Hwang, D.Y.; Ki, D.-W.; Choi, D.-C.; Yun, B.-S.; Kim, Y.H. Anti-Inflammatory Effect of Pestalotic Acid A Derived from Pestalotiopsis vismiae, an Endophytic Fungus of Ilex prenatal, in Lipopolysaccharide-Stimulated RAW264.7 Cells. Biomedicines 2025, 13, 1445. https://doi.org/10.3390/biomedicines13061445
Hwang DY, Ki D-W, Choi D-C, Yun B-S, Kim YH. Anti-Inflammatory Effect of Pestalotic Acid A Derived from Pestalotiopsis vismiae, an Endophytic Fungus of Ilex prenatal, in Lipopolysaccharide-Stimulated RAW264.7 Cells. Biomedicines. 2025; 13(6):1445. https://doi.org/10.3390/biomedicines13061445
Chicago/Turabian StyleHwang, Da Young, Dae-Won Ki, Dae-Cheol Choi, Bong-Sik Yun, and Yoon Hee Kim. 2025. "Anti-Inflammatory Effect of Pestalotic Acid A Derived from Pestalotiopsis vismiae, an Endophytic Fungus of Ilex prenatal, in Lipopolysaccharide-Stimulated RAW264.7 Cells" Biomedicines 13, no. 6: 1445. https://doi.org/10.3390/biomedicines13061445
APA StyleHwang, D. Y., Ki, D.-W., Choi, D.-C., Yun, B.-S., & Kim, Y. H. (2025). Anti-Inflammatory Effect of Pestalotic Acid A Derived from Pestalotiopsis vismiae, an Endophytic Fungus of Ilex prenatal, in Lipopolysaccharide-Stimulated RAW264.7 Cells. Biomedicines, 13(6), 1445. https://doi.org/10.3390/biomedicines13061445

