Black Crust-Induced Spalling of Marble: An Multi Analytical Study on the Danbi Stone Carvings
Abstract
1. Introduction
2. Materials and Methods
2.1. Materials
2.1.1. Danbi Stone Carving
2.1.2. Simulated Sample
2.2. Analysis Method
2.2.1. P-XRF
2.2.2. Reflectance Spectral Measurement
2.2.3. Hyperspectral (HSI)
2.2.4. Infrared Thermography
2.2.5. Microscopy
2.2.6. SEM-EDS
2.2.7. Microbiological Analysis
2.2.8. On-Site Monitoring
2.3. Data Processing
2.3.1. Solar Absorption
2.3.2. Thermal Stress
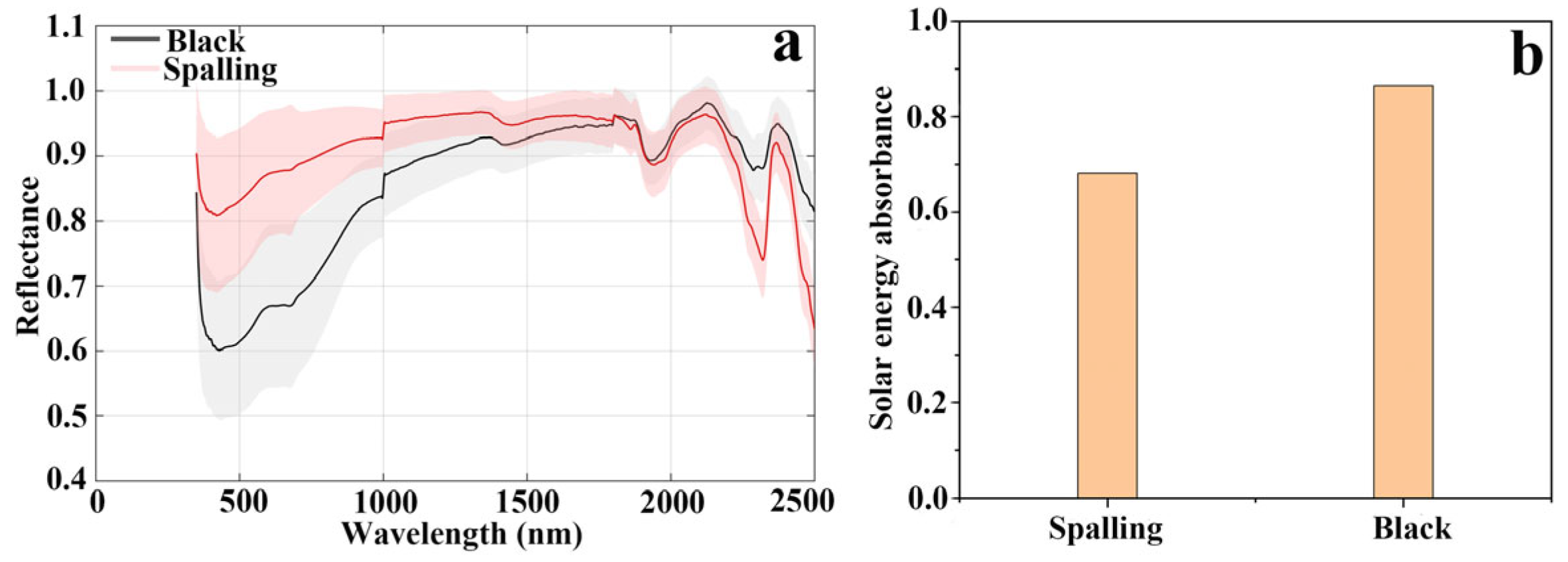
3. Results
4. Conclusions
Author Contributions
Funding
Institutional Review Board Statement
Informed Consent Statement
Data Availability Statement
Acknowledgments
Conflicts of Interest
Abbreviations and Nomenclature
| Abbreviation | Definition |
| p-XRF | Portable X-ray Fluorescence |
| SEM-EDS | Scanning Electron Microscopy coupled with Energy-Dispersive Spectroscopy |
| XRD | X-ray diffraction |
| LA-ICP-MS | Laser Ablation Inductively Coupled Plasma Mass Spectrometry |
| ICP-OES | Inductively coupled plasma optical emission spectrometry |
| Py-GC-MS | Pyrolysis–Gas Chromatography–Mass Spectrometry |
| FT-IR | Fourier Transform Infrared Spectroscopy |
| PLM | Polarized Light Microscopy |
| TGA | Thermogravimetric Analysis |
| HSI | Hyperspectral |
| PDA | Potato Dextrose Agar |
| PCR | Polymerase Chain Reaction |
| NCBI | National Center for Biotechnology Information |
| Symbolic | Definition |
| R(λ) | reflectance at different wavelength |
| A(λ) | absorption at different wavelength |
| E(λ) | energy weighting of solar spectral power density at different wavelength (ISO 9845-1 reference spectrum) |
| λ | wavelength |
| λ1 | 350 nm |
| λ2 | 2500 nm |
| Aeff | absorption at 350–2500 nm |
| Aeff,black | absorption of the black area |
| Aeff,spalling | absorption of the spalling area |
| ΔA(%) | absorption enhancement |
| Δq | reflectance at different wavelength |
| hₜₒₜ | 60 W/m2K |
| ΔT | temperature Difference |
| E | 60 GPa |
| α | 26 × 10−6 /K |
| ν | 0.27 |
References
- Vidorni, G.; Sardella, A.; De Nuntiis, P.; Volpi, F.; Dinoi, A.; Contini, D.; Comite, V.; Vaccaro, C.; Fermo, P.; Bonazza, A. Air pollution impact on carbonate building stones in Italian urban sites. Eur. Phys. J. Plus. 2019, 134, 439. [Google Scholar] [CrossRef]
- Ogrizek, M.; Gregorič, A.; Ivančič, M.; Contini, D.; Skube, U.; Vidović, K.; Bele, M.; Šala, M.; Klanjšek, G.M.; Rigler, M.; et al. Characterization of fresh PM deposits on calcareous stone surfaces: Seasonality, source apportionment and soiling potential. Sci. Total Environ. 2023, 856, 159012. [Google Scholar] [CrossRef] [PubMed]
- Ricciardi, M.; Pironti, C.; Comite, V.; Bergomi, A.; Fermo, P.; Bontempo, L.; Camin, F.; Proto, A.; Motta, O. A multi-analytical approach for the identification of pollutant sources on black crust samples: Stable isotope ratio of carbon, sulphur, and oxygen. Sci. Total Environ. 2024, 951, 175557. [Google Scholar] [CrossRef] [PubMed]
- Saiz-Jimenez, C. Microbial melanins in stone monuments. Sci. Total Environ. 1995, 167, 273–286. [Google Scholar] [CrossRef]
- Wang, F.; Fu, Y.; Li, D.; Huang, Y.; Wei, S. Study on the mechanism of the black crust formation on the ancient marble sculptures and the effect of pollution in Beijing area. Heliyon 2022, 8, e10442. [Google Scholar] [CrossRef]
- Macchia, A.; Cerafogli, E.; Rivaroli, L.; Colasanti, I.A.; Aureli, H.; Biribicchi, C.; Brunori, V. Marble chromatic alteration study using non-invasive analytical techniques and evaluation of the most suitable cleaning treatment: The case of a bust representing queen Margherita di Savoia at the US Embassy in Rome. Analytica 2022, 3, 406–429. [Google Scholar] [CrossRef]
- Mitsos, D.; Kantarelou, V.; Palamara, E.; Karydas, A.G.; Zacharias, N.; Gerasopoulos, E. Characterization of black crust on archaeological marble from the Library of Hadrian in Athens and inferences about contributing pollution sources. J. Cult. Herit. 2022, 53, 236–243. [Google Scholar] [CrossRef]
- Frank-Kamenetskaya, O.V.; Vlasov, D.Y.; Zelenskaya, M.S.; Knauf, I.V.; Timasheva, M.A. Decaying of the marble and limestone monuments in the urban environment. Case studies from Saint Petersburg, Russia. Stud. Univ. Babes-Bolyai Geol. 2009, 54, 17–22. [Google Scholar] [CrossRef][Green Version]
- Kosel, J.; Tomšič, N.; Mlakar, M.; Žbona, N.; Ropret, P. Mycological evaluation of the visible deterioration symptoms on the Spectatius family marble tomb (Slovenia). Herit. Sci. 2024, 12, 405. [Google Scholar] [CrossRef]
- Dakal, T.C.; Cameotra, S.S. Microbially induced deterioration of architectural heritages: Routes and mechanisms involved. Environ. Sci. Eur. 2012, 24, 36. [Google Scholar] [CrossRef]
- Berti, L.; Marvasi, M.; Perito, B. Characterization of the community of black meristematic fungi inhabiting the external white marble of the florence cathedral. J. Fungi. 2023, 9, 665. [Google Scholar] [CrossRef] [PubMed]
- Yavuz, A.B.; Topal, T. Thermal and salt crystallization effects on marble deterioration: Examples from Western Anatolia, Turkey. Eng. Geol. 2007, 90, 30–40. [Google Scholar] [CrossRef]
- Bonazza, A.; Sabbioni, C.; Messina, P.; Guaraldi, C.; De Nuntiis, P. Climate change impact: Mapping thermal stress on Carrara marble in Europe. Sci. Total Environ. 2009, 407, 4506–4512. [Google Scholar] [CrossRef]
- Malaga-Starzec, K.; Lindqvist, J.E.; Schouenborg, B. Experimental study on the variation in porosity of marble as a function of temperature. In Natural Stone Weathering Phenomena, Conservation Strategies and Case Studies, 2nd ed.; Siegesmund, S., Weiss, T., Vollbrecht, A., Eds.; Geological Society of London: London, UK, 2002; Volume 205, pp. 305–308. [Google Scholar] [CrossRef]
- Malaga-Starzec, K.; Åkesson, U.; Lindqvist, J.E.; Schouenborg, B. Microscopic and macroscopic characterization of the porosity of marble as a function of temperature and impregnation. Constr. Build. Mater. 2006, 20, 939–947. [Google Scholar] [CrossRef]
- Marini, P.; Bellopede, R. The influence of the climatic factors on the decay of marbles: An experimental study. Am. J. Environ. Sci. 2007, 3, 143–150. [Google Scholar] [CrossRef]
- Cantisani, E.; Pecchioni, E.; Fratini, F.; Garzonio, C.A.; Malesani, P.; Molli, G. Thermal stress in the Apuan marbles: Relationship between microstructure and petrophysical characteristics. Int. J. Rock Mech. Min. Sci. 2009, 46, 128–137. [Google Scholar] [CrossRef]
- Luque, A.; Ruiz-Agudo, E.; Cultrone, G.; Sebastián, E.; Siegesmund, S. Direct observation of microcrack development in marble caused by thermal weathering. Environ. Earth Sci. 2011, 62, 1375–1386. [Google Scholar] [CrossRef]
- Luque, A.; Leiss, B.; Alvarez-Lloret, P.; Cultrone, G.; Siegesmund, S.; Sebastian, E.; Cardell, C. Potential thermal expansion of calcitic and dolomitic marbles from Andalusia (Spain). J. Appl. Crystallogr. 2011, 44, 1227–1237. [Google Scholar] [CrossRef]
- Shushakova, V.; Fuller, E.R., Jr.; Siegesmund, S. Microcracking in calcite and dolomite marble: Microstructural influences and effects on properties. Environ. Earth Sci. 2013, 69, 1263–1279. [Google Scholar] [CrossRef]
- Shushakova, V.; Fuller, E.R., Jr.; Heidelbach, F.; Mainprice, D.; Siegesmund, S. Marble decay induced by thermal strains: Simulations and experiments. Environ. Earth Sci. 2013, 69, 1281–1297. [Google Scholar] [CrossRef]
- Eppes, M.C.; Griffing, D. Granular spalling of marble in nature: A thermal-mechanical origin for a grus and corestone landscape. Geomorphology 2010, 117, 170–180. [Google Scholar] [CrossRef]
- Sassoni, E.; Franzoni, E. Influence of porosity on artificial deterioration of marble and limestone by heating. Appl. Phys. A 2014, 115, 809–816. [Google Scholar] [CrossRef]
- Ahmad, A. Investigation of marble deterioration and development of a classification system for condition assessment using non-destructive ultrasonic technique. Mediterr. Archaeol. Archaeom. 2020, 20, 75. [Google Scholar] [CrossRef]
- Aquino, A.; Pagnotta, S.; Lezzerini, M. Artificial Thermal Decay: Influence of Mineralogy and Microstructure of Sandstone, Calcarenite and Marble. In IOP Conference Series: Earth and Environmental Science; IOP Publishing: Prague, Czech Republic, 2021. [Google Scholar] [CrossRef]
- Zhang, Z.; Liu, J.; Li, B.; Yang, X.G. Thermally induced deterioration behaviour of two dolomitic marbles under heating–cooling cycles. R. Soc. Open Sci. 2018, 5, 180779. [Google Scholar] [CrossRef] [PubMed]
- Vagnon, F.; Costanzo, D.; Ferrero, A.M.; Migliazza, M.R.; Pastero, L.; Umili, G. Simulation of temperature and chemical weathering effect on marble rocks. In IOP Conference Series: Earth and Environmental Science; IOP Publishing: Prague, Czech Republic, 2021. [Google Scholar] [CrossRef]
- Sáez-Pérez, M.P.; Durán-Suárez, J.A.; Castro-Gomes, J. Study of the correlation of the mechanical resistance properties of Macael white marble using destructive and non-destructive techniques. Constr. Build. Mater. 2024, 418, 135400. [Google Scholar] [CrossRef]
- Chavazas, M.L.; Bromblet, P.; Berthonneau, J.; Hénin, J.; Payan, C. Progressive thermal decohesion in Carrara marble monitored with nonlinear resonant ultrasound spectroscopy. Bull. Eng. Geol. Environ. 2024, 83, 383. [Google Scholar] [CrossRef]
- Mahmutoğlu, Y. Prediction of weathering by thermal degradation of a coarse-grained marble using ultrasonic pulse velocity. Environ. Earth Sci. 2017, 76, 435. [Google Scholar] [CrossRef]
- Suzuki, A.; Vettori, S.; Giorgi, S.; Carretti, E.; Benedetto, F.D.; Dei, L.; Benvenuti, M.; Moretti, S.; Pecchioni, E.; Costagliola, P. Laboratory study of the sulfation of carbonate stones through SWIR hyperspectral investigation. J. Cult. Herit. 2018, 32, 30–37. [Google Scholar] [CrossRef]
- Korkanç, M.; Hüseyinca, M.Y.; Hatır, M.E.; Tosunlar, M.B.; Bozdağ, A.; Özen, L.; İnce, İ. Interpreting sulfated crusts on natural building stones using sulfur contour maps and infrared thermography. Environ. Earth Sci. 2019, 78, 378. [Google Scholar] [CrossRef]
- Yi, Y.; Wang, C.; Li, K.; Jia, X.; Wang, C.; Wang, Y. Revealing Black Stains on the Surface of Stone Artifacts from Material Properties to Environmental Sustainability: The Case of Xianling Tomb, China. Sustainability 2025, 17, 3422. [Google Scholar] [CrossRef]
- Comite, V.; Pozo-Antonio, J.S.; Cardell, C.; Randazzo, L.; La Russa, M.F.; Fermo, P. A multi-analytical approach for the characterization of black crusts on the facade of an historical cathedral. Microchem. J. 2020, 158, 105121. [Google Scholar] [CrossRef]
- Santo, A.P.; Cuzman, O.A.; Petrocchi, D.; Pinna, D.; Salvatici, T.; Perito, B. Black on white: Microbial growth darkens the external marble of Florence cathedral. Appl. Sci. 2021, 11, 6163. [Google Scholar] [CrossRef]
- ISO 9845-1; Solar Energy—Reference Solar Spectral Irradiance at the Ground at Different Receiving Conditions—Part 1: Direct Normal and Hemispherical Solar Irradiance. International Organization for Standardization (ISO): Geneva, Switzerland, 1992.
- Weiss, T.; Siegesmund, S.; Fuller, E.R. Thermal stresses and microcracking in calcite and dolomite marbles via finite element modelling. In Natural Stone Weathering Phenomena, Conservation Strategies and Case Studies, 2nd ed.; Siegesmund, S., Weiss, T., Vollbrecht, A., Eds.; Geological Society of London: London, UK, 2002; Volume 205, pp. 90–102. [Google Scholar] [CrossRef]









| Area | O | Na | Mg | Al | Si | S | K | Ca | Fe | Ba |
|---|---|---|---|---|---|---|---|---|---|---|
| 1 | 36 | 23 | 41 | |||||||
| 2 | 23 | 77 | ||||||||
| 3 | 23 | 77 | ||||||||
| 4 | 24 | 76 | ||||||||
| 5 | 28 | 1 | 2 | 8 | 45 | 1 | 2 | 3 | 5 | 5 |
| 6 | 25 | 2 | 9 | 47 | 2 | 4 | 8 | 4 | ||
| 7 | 31 | 1 | 1 | 7 | 47 | 1 | 2 | 3 | 5 | 4 |
| Strain Number | Closet Relative Strain | Similarity | Accession Number | |
|---|---|---|---|---|
| Bacteria | KG-B1 | Bacillus halotolerans | 99.82% | ON630206.1 |
| KG-B2 | Bacillus stratosphericus | 100.00% | KC565659.1 | |
| Fungi | KG-F1 | Cladosporium anthropophilum | 100.00% | MF472931.1 |
| KG-F2 | Alternaria alternata | 100.00% | EOA84418.1 |
Disclaimer/Publisher’s Note: The statements, opinions and data contained in all publications are solely those of the individual author(s) and contributor(s) and not of MDPI and/or the editor(s). MDPI and/or the editor(s) disclaim responsibility for any injury to people or property resulting from any ideas, methods, instructions or products referred to in the content. |
© 2026 by the authors. Licensee MDPI, Basel, Switzerland. This article is an open access article distributed under the terms and conditions of the Creative Commons Attribution (CC BY) license.
Share and Cite
Zha, J.; Sheng, B.; Hu, W.; Chen, J.; Wu, W. Black Crust-Induced Spalling of Marble: An Multi Analytical Study on the Danbi Stone Carvings. Chemosensors 2026, 14, 24. https://doi.org/10.3390/chemosensors14010024
Zha J, Sheng B, Hu W, Chen J, Wu W. Black Crust-Induced Spalling of Marble: An Multi Analytical Study on the Danbi Stone Carvings. Chemosensors. 2026; 14(1):24. https://doi.org/10.3390/chemosensors14010024
Chicago/Turabian StyleZha, Jianrui, Bo Sheng, Wenjia Hu, Jiake Chen, and Wengang Wu. 2026. "Black Crust-Induced Spalling of Marble: An Multi Analytical Study on the Danbi Stone Carvings" Chemosensors 14, no. 1: 24. https://doi.org/10.3390/chemosensors14010024
APA StyleZha, J., Sheng, B., Hu, W., Chen, J., & Wu, W. (2026). Black Crust-Induced Spalling of Marble: An Multi Analytical Study on the Danbi Stone Carvings. Chemosensors, 14(1), 24. https://doi.org/10.3390/chemosensors14010024

