Development of Green-Assessed and Highly Sensitive Spectrophotometric Methods for Ultra-Low-Level Nitrite Determination Using Rhodanine and 7-Hydroxycoumarin in Environmental Samples
Abstract
1. Introduction
2. Experimental Procedure
2.1. Apparatus
2.2. Materials
2.3. Reagent and Standard Solution Preparation
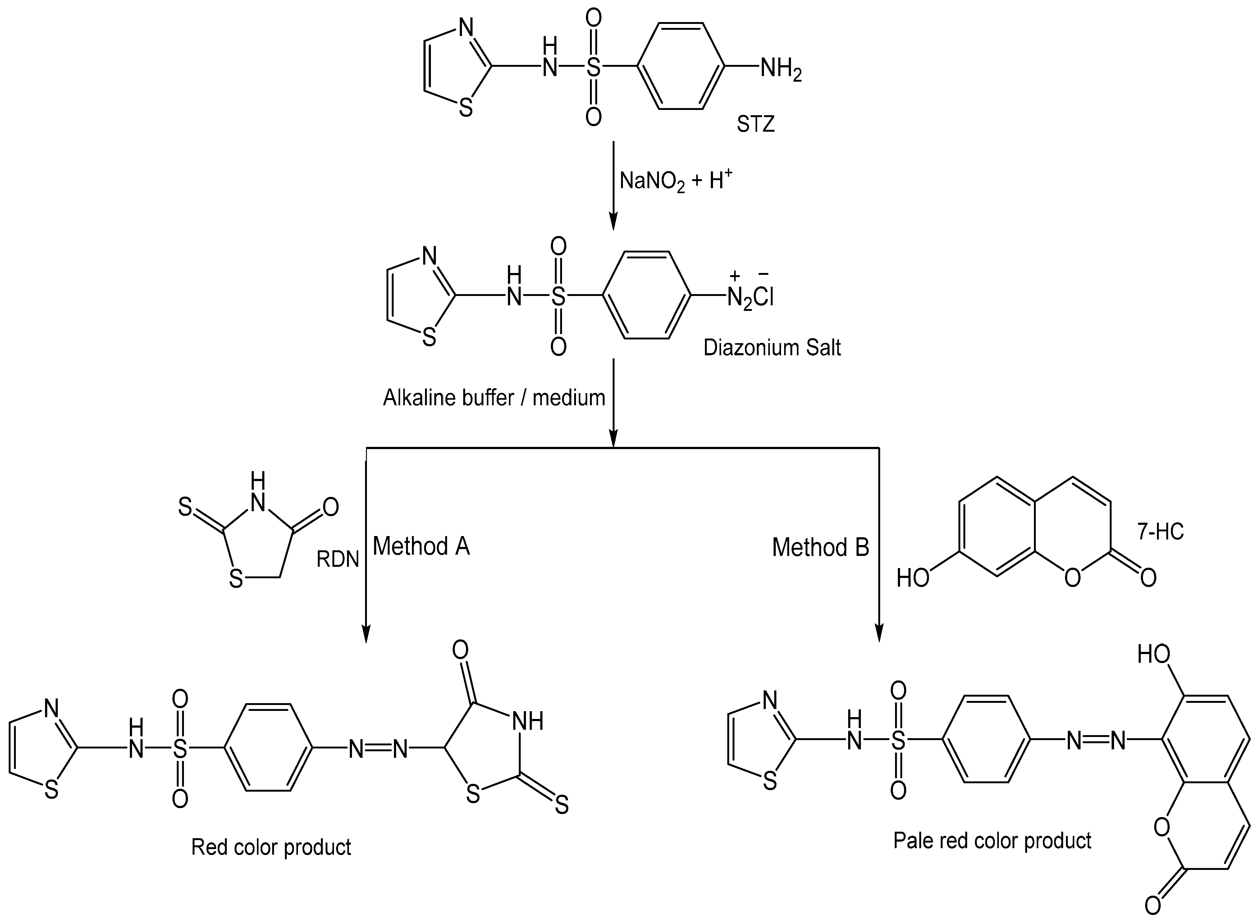
2.4. Recommended Procedure
2.4.1. Spectrophotometric Determination of Using RDN
2.4.2. Spectrophotometric Determination of Using 7-HC
2.4.3. Application of the Developed Methods for Determination
Spectrophotometric Determination of in Water Samples
Spectrophotometric Determination of in Soil Samples
3. Results and Discussion
3.1. Spectrophotometric Determination of Using RDN
3.2. Spectrophotometric Determination of Using 7-HC
3.3. Effect of Time
3.4. Analytical Data
3.5. Interference Study
3.6. Application of the Proposed Methods
3.7. Comparison with Previously Reported Methods
3.8. Greenness Assessment
3.8.1. Analytical Eco-Scale Assessment (ESA)
3.8.2. Analytical GREEnness Metric (AGREE)
3.8.3. Green Analytical Procedure Index (GAPI)
4. Conclusions
Author Contributions
Funding
Institutional Review Board Statement
Informed Consent Statement
Data Availability Statement
Acknowledgments
Conflicts of Interest
References
- Pobel, D.; Riboli, E.; Cornée, J.; Hémon, B.; Guyader, M. Nitrosamine, nitrate and nitrite in relation to gastric cancer: A case-control study in Marseille, France. Eur. J. Epidemiol. 1995, 11, 67–73. [Google Scholar]
- Thomsom, B.M.; Nokes, C.J.; Cressy, P. Intake and risk assessment of nitrate and nitrite from New Zealand foods and drinking water. Food Addit. Contam. 2007, 24, 113–121. [Google Scholar] [CrossRef] [PubMed]
- Maitre, M.; Kirkbride, K.P.; Horder, M.; Roux, C.; Beavis, A. Current perspectives in the interpretation of gunshot residues in forensic science: A review. Forensic Sci. Int. 2017, 270, 1–11. [Google Scholar] [CrossRef]
- Honikel, K.O. The use and control of nitrate and nitrite for the processing of meat products. Meat Sci. 2008, 78, 68–76. [Google Scholar] [CrossRef] [PubMed]
- Machha, A.; Schechter, A.N. Dietary nitrite and nitrate: A review of potential mechanisms of cardiovascular benefits. Eur. J. Nutr. 2011, 50, 293–303. [Google Scholar] [CrossRef] [PubMed]
- Guo, X.; Fan, Y. Determination of nitrite in food specimens using electrochemical sensor based on polyneutral red modified reduced graphene oxide paste electrode. Int. J. Electrochem. Sci. 2023, 18, 100290. [Google Scholar] [CrossRef]
- Katabami, K.; Hayakawa, M.; Gando, S. Severe methemoglobinemia due to sodium nitrite poisoning. Case Rep. Emerg. Med. 2016, 2016, 9013816. [Google Scholar] [CrossRef]
- Suzuki, H.; Iijima, K.; Moriya, A.; McElroy, K.; Scobie, G.; Fyfe, V.; McColl, K.E.L. Conditions for acid catalysed luminal nitrosation are maximal at the gastric cardia. Gut 2003, 52, 1095–1101. [Google Scholar] [CrossRef]
- Olajos, E.; Coulston, F. Comparative toxicology of N-nitroso compounds and their carcinogenic potential to man. Ecotox. Environ. Safe. 1978, 2, 317–367. [Google Scholar] [CrossRef]
- Brender, J.D.; Olive, J.M.; Felkner, M.; Suarez, L.; Marckwardt, W.; Hendricks, K.A. Dietary nitrites and nitrates, nitrosatable drugs, and neural tube defects. Epidemiology 2004, 15, 330–336. [Google Scholar] [CrossRef]
- Aschengrau, A.; Zierler, S.; Cohen, A. Quality of community drinking water and the occurrence of spontaneous abortion. Arch. Environ. Occup. Health. 1989, 44, 283–290. [Google Scholar] [CrossRef]
- Jakszyn, P.; González, C.A. Nitrosamine and related food intake and gastric and esophageal cancer risk: A systematic review of the epidemiological evidence. World J. Gastroenterol. 2006, 12, 4296–4303. [Google Scholar] [CrossRef]
- Lyall, F.; Greer, I.A.; Young, A.; Myatt, L. Nitric oxide concentrations are increased in the feto-placental circulation in intrauterine growth restriction. Placenta 1996, 17, 165–168. [Google Scholar] [CrossRef]
- Bhirud, D.; Agrawal, G.; Shah, H.; Patel, A.; Palkar, M.B.; Bhattacharya, S.; Prajapati, B.G. Nitrosamine impurities in pharmaceuticals: An empirical review of their detection, mechanisms, and regulatory approaches. Curr. Top. Med. Chem. 2024, 24, 503–522. [Google Scholar] [CrossRef]
- The International Council for Harmonisation of Technical Requirements for Pharmaceuticals for Human Use. Assessment and Control of DNA Reactive (Mutagenic) Impurities in Pharmaceuticals to Limit Potential Carcinogenic Risk. M7(R2). 2023. Available online: https://database.ich.org/sites/default/files/ICH_M7%28R2%29_Guideline_Step4_2023_0216_0.pdf (accessed on 11 December 2025).
- Ingles, J.; Louw, T.M.; Booysen, M.J. Water quality assessment using a portable UV optical absorbance nitrate sensor with a scintillator and smartphone camera. Water SA 2021, 47, 135–140. [Google Scholar] [CrossRef]
- Syers, J.K.; Mosier, A.; Freney, J.R. (Eds.) Agriculture and the Nitrogen Cycle: Assessing the Impacts of Fertilizer Use on Food Production and the Environment; Island Press: Washington DC, USA, 2013. [Google Scholar]
- Singh, S.; Anil, A.G.; Kumar, V.; Kapoor, D.; Subramanian, S.; Singh, J.; Ramamurthy, P.C. Nitrates in the environment: A critical review of their distribution, sensing techniques, ecological effects and remediation. Chemosphere 2022, 287, 131996. [Google Scholar] [CrossRef] [PubMed]
- Mai, Y.; Ghiasvand, A.; Gupta, V.; Edwards, S.; Cahoon, S.; Debruille, K.; Mikhail, I.; Murray, E.; Paull, B. Application of a portable ion chromatograph for real-time field analysis of nitrite and nitrate in soils and soil pore waters. Talanta 2024, 274, 126031. [Google Scholar] [CrossRef] [PubMed]
- World Health Organization (WHO). Guidelines for Drinking-Water Quality. In 4th Edition Incorporating the First Addendum; World Health Organization (WHO): Geneva, Switzerland, 2017. [Google Scholar]
- Schrenk, D.; Bignami, M.; Bodin, L.; Chipman, J.K.; del Mazo, J.; Grasl-Kraupp, B.; Hoogenboom, L.; Leblanc, J.C.H.; Nebbia, C.S.; Nielsen, E.; et al. Risk assessment of nitrate and nitrite in feed. EFSA J. 2020, 18, e06290. [Google Scholar] [CrossRef]
- U.S. Environmental Protection Agency (U.S. EPA). Drinking Water Standards and Health Advisories, EPA 822-R-04-005; U.S. Environmental Protection Agency: Washington DC, USA, 2004.
- EU Scientific Committee for Food (SCF). Opinion on: Nitrate and Nitrite (Expressed on 22 September 1995). Reports of the Scientific Committee for Food, 38th Series; European Commission: Brussels, Belgium, 1995. [Google Scholar]
- Food and Agriculture Organization/World Health Organization (FAO/WHO). Nitrite (and Potential Endogenous Formation of N-nitroso Compounds); WHO Food Additives Series; No. 50; WHO: Geneva, Switzerland, 2003; Available online: http://www.inchem.org/documents/jecfa/jecmono/v50je05.htm (accessed on 11 December 2025).
- Ahn, I.; Lee, S.; Jung, M.J.; Jeong, Y.; Kim, J.Y.; Kim, M.; Kim, P.S.; Lee, B.H.; Lee, Y.M.; Son, K.H. Development and application of analytical methods to quantitate nitrite in excipients and secondary amines in metformin API at trace levels using liquid chromatography-tandem mass spectrometry. Chemosensors 2025, 13, 307. [Google Scholar] [CrossRef]
- Coviello, D.; Pascale, R.; Ciriello, R.; Salvi, A.M.; Guerrieri, A.; Contursi, M.; Scrano, L.; Bufo, S.A.; Cataldi, T.R.I.; Bianco, G. Validation of an analytical method for nitrite and nitrate determination in meat foods for infants by ion chromatography with conductivity detection. Foods 2020, 9, 1238. [Google Scholar] [CrossRef]
- Aslani, R.; Esmaeili, S.; Akbari, M.E.; Molaee-Aghaee, E.; Sadighara, P.; Nazmara, S.; Mahmoudi, B. Determination of heavy metals, nitrate and nitrite in mineral and drinking bottled water in Tehran, Iran: A health risk assessment by Monte-Carlo simulation method. Heliyon 2024, 10, e40714. [Google Scholar] [CrossRef]
- Lucas, S.B.; Duarte, L.M.; Rezende, K.C.A.; Coltro, W.K.T. Nitrite determination in environmental water samples using microchip electrophoresis coupled with amperometric detection. Micromachines 2022, 13, 1736. [Google Scholar] [CrossRef]
- Wang, X.; Adams, E.; Van Schepdael, A. A fast and sensitive method for the determination of nitrite in human plasma by capillary electrophoresis with fluorescence detection. Talanta 2012, 97, 142–144. [Google Scholar] [CrossRef] [PubMed]
- Lin, Z.; Xue, W.; Chen, H.; Lin, J.M. Peroxynitrous-acid induced chemiluminescence of fluorescent carbon dots for nitrite sensing. Anal. Chem. 2011, 83, 8245–8251. [Google Scholar] [CrossRef]
- Yin, X.; Chen, Q.; Song, H.; Yang, M.; Wang, H. Sensitive and selective electrochemiluminescent detection of nitrite using dual-stabilizer-capped CdTe quantum dots. Electrochem. Commun. 2013, 34, 81–85. [Google Scholar] [CrossRef]
- Gurban, A.M.; Zamfir, L.G.; Epure, P.; Şuică-Bunghez, I.R.; Senin, R.M.; Jecu, M.L.; Jinga, M.L.; Doni, M. Flexible miniaturized electrochemical sensors based on multiwalled carbon nanotube-chitosan nanomaterial for determination of nitrite in soil solutions. Chemosensors 2023, 11, 224. [Google Scholar] [CrossRef]
- Faisal, M.; Alam, M.M.; Ahmed, J.; Asiri, A.M.; Algethami, J.S.; Altholami, R.H.; Harraz, F.A.; Rahman, M.M. Efficient nitrite determination by electrochemical approach in liquid phase with ultrasonically prepared gold-nanoparticle-conjugated conducting polymer nanocomposites. Front. Chem. 2024, 12, 1358353. [Google Scholar] [CrossRef]
- Fadil, M.A.; Abdel Hameed, R.M.; Mohamed, G.G.; Fouad, O.A. NiFe2O4 nanoparticles as highly sensitive electrochemical sensor for nitrite determination. Appl. Organomet. Chem. 2025, 39, e70043. [Google Scholar] [CrossRef]
- Zhang, J.; Chen, C.; Xu, X.; Wang, X.; Yang, X. Use of fluorescent gold nanoclusters for the construction of a NAND logic gate for nitrite. Chem. Commun. 2013, 49, 2691–2693. [Google Scholar] [CrossRef]
- Menon, S.; Vikraman, A.E.; Jesny, S.; Kumar, K.G. “Turn On” fluorescence determination of nitrite using green synthesized carbon nanoparticles. J. Fluoresc. 2016, 26, 129–134. [Google Scholar] [CrossRef]
- Shabani, A.M.H.; Ellis, P.; McKelvie, I. Simple flow injection analysis system for the spectrophotometric determination of trace amounts of nitrite in water samples. J. Flow Inject. Anal. 2010, 27, 146–150. [Google Scholar]
- Nouroozi, S.; Mirshafian, R. Flow injection kinetic spectrophotometric method for the determination of trace amounts of nitrite. Talanta 2009, 79, 1149–1153. [Google Scholar] [CrossRef] [PubMed]
- Mousavi, M.F.; Jabbari, A.; Nouroozi, S. A sensitive flow-injection method for determination of trace amounts of nitrite. Talanta 1998, 45, 1247–1253. [Google Scholar] [CrossRef] [PubMed]
- Wang, S.; Lin, K.; Chen, N.; Yuan, D.; Ma, J. Automated determination of nitrate plus nitrite in aqueous samples with flow injection analysis using vanadium (III) chloride as reductant. Talanta 2016, 146, 744–748. [Google Scholar] [CrossRef]
- Pasquali, C.E.L.; Hernando, P.F.; Alegría, J.S.D. Spectrophotometric simultaneous determination of nitrite, nitrate and ammonium in soils by flow injection analysis. Anal. Chim. Acta 2007, 600, 177–182. [Google Scholar] [CrossRef]
- Nagaraja, P.; Al-Tayar, N.G.S.; Shivakumar, A.; Shrestha, A.K.; Gowda, A.K. A simple and sensitive spectrophotometric method for the determination of trace amounts of nitrite in environmental and biological samples using 4-amino-5-hydroxynaphthalene-2,7-disulphonic acid monosodium salt. Spectroc. Acta Pt. A Molec. Biomolec. Spectr. 2010, 75, 1411–1416. [Google Scholar] [CrossRef]
- Aydın, A.; Ercan, Ö.; Taşcıoğlu, S. A novel method for the spectrophotometric determination of nitrite in water. Talanta 2005, 66, 1181–1186. [Google Scholar] [CrossRef]
- Filik, H.; Giray, D.; Ceylan, B.; Apak, R. A novel fiber optic spectrophotometric determination of nitrite using Safranin O and cloud point extraction. Talanta 2011, 85, 1818–1824. [Google Scholar] [CrossRef]
- Shariati-Rad, M.; Irandoust, M.; Mohammadi, S.H. Spectrophotometric determination of nitrite in soil and water using cefixime and central composite design. Spectroc. Acta Pt. A Molec. Biomolec. Spectr. 2015, 149, 190–195. [Google Scholar] [CrossRef]
- Sreekumar, N.V.; Narayana, B.; Hegde, P.; Manjunatha, B.R.; Sarojini, B.K. Determination of nitrite by simple diazotization method. Microchem. J. 2003, 74, 27–32. [Google Scholar] [CrossRef]
- Helaleh, M.I.H.; Korenaga, T. Sensitive spectrophotometric determination of nitrite in human saliva and rainwater and of nitrogen dioxide in the atmosphere. J. AOAC Int. 2001, 84, 53–58. [Google Scholar] [CrossRef] [PubMed]
- Fraihat, S.M. Green methods for the determination of nitrite in water samples based on a novel diazo coupling reaction. Green Process. Synth. 2017, 6, 245–248. [Google Scholar] [CrossRef]
- Irandoust, M.; Shariati-Rad, M.; Haghighi, M. Nitrite determination in water samples based on a modified Griess reaction and central composite design. Anal. Methods 2013, 5, 5977–5982. [Google Scholar] [CrossRef]
- Latvyte, E.; Greenwood, A.; Bogush, A.; Graves, J.E. Rapid and selective quantitative colourimetric analysis of nitrite in water using a S-nitrosothiol based method. Water Res. X 2024, 25, 100265. [Google Scholar] [CrossRef]
- Faraj, H.S.; Fakhre, N.A. Dispersive liquid-liquid microextraction spectrophotometric determination of human salivary nitrite content. Egypt. J. Chem. 2023, 66, 157–166. [Google Scholar]
- Narayana, B.; Sunil, K. A spectrophotometric method for the determination of nitrite and nitrate. Eurasian, J. Anal. Chem. 2009, 4, 204–214. [Google Scholar]
- Cherian, T.; Narayana, B. A new system for the spectrophotometric determination of trace amounts of nitrite in environmental samples. J. Braz. Chem. Soc. 2006, 17, 577–581. [Google Scholar] [CrossRef]
- Gauthama, B.U.; Narayana, B.; Sarojini, B.K.; Bello, K.; Suresh, N.K. Nitrate/nitrite determination in water and soil samples accompanied by in situ azo dye formation and its removal by superabsorbent cellulose hydrogel. SN Appl. Sci. 2020, 2, 1225. [Google Scholar] [CrossRef]
- Thipwimonmas, Y.; Jaidam, J.; Samoson, K.; Khunseeraksa, V.; Phonchai, A.; Thiangchanya, A.; Chang, K.H.; Abdullah, A.F.L.; Limbut, W. A simple and rapid spectrophotometric method for nitrite detection in small sample volumes. Chemosensors 2021, 9, 161. [Google Scholar] [CrossRef]
- Al-Okab, R.A.; Syed, A.A. Novel reactions for simple and sensitive spectrophotometric determination of nitrite. Talanta 2007, 72, 1239–1247. [Google Scholar] [CrossRef]
- Ozmen, H.; Polat, F.; Cukurovali, A. Spectrophotometric determination of nitrite in water samples with 4-(1-methyl-1-mesitylcyclobutane-3-yl)-2-aminothiazole. Anal. Lett. 2006, 39, 823–833. [Google Scholar] [CrossRef]
- Veena, K.; Narayana, B. Spectrophotometric determination of nitrite using new coupling agents. Indian, J. Chem. Technol. 2009, 16, 89–92. [Google Scholar]
- Rashid, C.M. Spectrophotometric determination of nitrite in curing meat samples using diazo-coupling reaction. Tikrit. J. Pure Sci. 2006, 11, 183–186. [Google Scholar]
- Zhang, H.; Qi, S.h.; Dong, Y.; Chen, X.; Xu, Y.; Ma, Y.; Chen, X. A sensitive colorimetric method for the determination of nitrite in water supplies, meat and dairy products using ionic liquid-modified methyl red as a colour reagent. Food Chem. 2014, 151, 429–434. [Google Scholar] [CrossRef] [PubMed]
- AOAC Method (36.1.21). Official Methods of Analysis of the Association of the Official Analytical Chemists, 16th ed.; AOAC International: Rockville, MD, USA, 1995. [Google Scholar]
- Akram, D.; Elhaty, I.A.; AlNeyadi Sh, S. Synthesis and spectroscopic characterization of rhodanine azo dyes as selective chemosensors for detection of iron(III). Chem. Data Collect. 2020, 28, 100456. [Google Scholar] [CrossRef]
- Amjad, R.; Munawar, M.A.; Khana Sh, R.; Naeem, M. Synthesis and spectral studies of some novel coumarin based disperse azo dyes. Pak. J. Sci. Ind. Res. 2009, 52, 117–121. [Google Scholar]
- Sirajunisa, T.; Umme, H. Spectrophotometric methods in pharmaceutical analysis: Principles, reagents, and applications. Int. J. Environ. Sci. Nat. Res. 2024, 34, 556391. [Google Scholar]
- Marczenko, Z.; Balcerzak, M. Chapter 3—Spectrophotometric methods. In Analytical Spectroscopy Library; Elsevier: Amsterdam, The Netherlands, 2000; pp. 39–52. [Google Scholar]
- Giné, M.F.; Bergamin, F.H.; Zagatto, E.A.G.; Reis, B.F. Simultaneous determination of nitrate and nitrite by flow injection analysis. Anal. Chim. Acta 1980, 114, 191–197. [Google Scholar] [CrossRef]
- Lew, R.B. Elimination of sulphite interference in the spectrophotometric determination of nitrite. Analyst 1977, 102, 476–479. [Google Scholar] [CrossRef]
- Kapoor, V.K. Analytical Profiles of Drug Substances and Excipients, Vol. 22; Academic Press, Inc.: London, UK, 1993; pp. 389–430. [Google Scholar]
- Wichitnithad, W.; Nantaphol, S.; Noppakhunsomboon, K.; Rojsitthisak, P. An update on the current status and prospects of nitrosation pathways and possible root causes of nitrosamine formation in various pharmaceuticals. Saudi Pharm. J. 2023, 31, 295–331. [Google Scholar] [CrossRef]
- Hu, T.; Baxendale, I.R.; Baumann, M. Exploring flow procedures for diazonium formation. Molecules 2016, 21, 918. [Google Scholar] [CrossRef]
- Miller, J.C.; Miller, J.N. Statistics for Analytical Chemistry, 4th ed.; Elsevier: New York, NY, USA, 1994. [Google Scholar]
- American Public Health Association (APHA). Standard Methods for the Examination of Water and Wastewater, 19th ed.; American Public Health Association (APHA): Washington, DC, USA, 1995. [Google Scholar]
- Cetinkaya, A.; Kaya, S.I.; Ozkan, S.A. An overview of the current progress in green analytical chemistry by evaluating recent studies using greenness assessment tools. TrAC-Trends Anal. Chem. 2023, 168, 117330. [Google Scholar] [CrossRef]
- Alqirsh Sh, M.; Magdy, N.; Abdel-Ghany, M.F.; El Azab, N.F. A comparative study of green solid contact ion selective electrodes for the potentiometric determination of letrozole in dosage form and human plasma. Sci. Rep. 2023, 13, 20187. [Google Scholar] [CrossRef]
- Gałuszka, A.; Migaszewski, Z.M.; Konieczka, P.; Namieśik, J. Analytical eco-scale for assessing the greenness of analytical procedures. TrAC-Trends Anal. Chem. 2012, 37, 61–72. [Google Scholar] [CrossRef]
- Pena-Pereira, F.; Wojnowski, W.; Tobiszewski, M. AGREE—Analytical GREEnness metric approach and software. Anal. Chem. 2020, 92, 10076–10082. [Google Scholar] [CrossRef]
- Płotka-Wasylka, J. A new tool for the evaluation of the analytical procedure: Green Analytical Procedure Index. Talanta 2018, 181, 204–209. [Google Scholar] [CrossRef] [PubMed]
- Keith, L.H.; Gron, L.U.; Young, J.L. Green analytical methodologies. Chem. Rev. 2007, 107, 2695–2708. [Google Scholar] [CrossRef] [PubMed]







| Parameters | Characteristic | |
|---|---|---|
| Method A: RDN | Method B: 7-HCN | |
| Color | Pale red | Red |
| λmax (nm) | 504 | 525 |
| Beer’s law range (µg mL−1) | 0.08–2.0 | 0.04–2.4 |
| Molar absorptivity (ε; L mol−1 cm−1) × 104 | 4.20 | 6.90 |
| Sandell’s sensitivity (µg cm−2) × 10−6 | 1.63 | 1.00 |
| Detection limit (LLOD; µg mL−1) | 0.0303 | 0.0387 |
| Quantification limit (LLOQ; µg mL−1) | 0.0918 | 0.1172 |
| Correction coefficient (R2) | 0.9993 | 0.9983 |
| Slope | 0.6033 | 0.6206 |
| Standard deviation of slope (Sb) × 10−3 | 4.9 | 7.0 |
| Standard deviation of intercept (Sy/x) × 10−3 | 5.6 | 7.3 |
| Standard deviation | 0.011 | 0.0197 |
| Relative standard deviation (RSD) | 2.009 | 2.1896 |
| Intra-day precision (n = 5), recoveries (%) for studied concentrations * | 95.12–99.32 | 95.75–98.82 |
| Inter-day precision, 5 days, (n = 25) recoveries (%) for studied concentrations * | 94.58–99.65 | 95.23–99.45 |
| Intra-day precision (n = 5), RSD (%) for studied concentrations * | 2.45 | 2.75 |
| Inter-day precision, 5 days, (n = 25) RSD (%) for studied concentrations * | 4.25 | 4.65 |
| Foreign Ion | Tolerance Limit (µg mL−1) |
|---|---|
| Na+, K+1, Ca+2, Pb+2, Mg+2, Al+3, Ti+4, EDTA | 10,000 |
| SO4−2, F−, Br−, Cl−, CO3−2, PO4−3, NO3− | 10,000 |
| Bi+3, Ba+2 | 1000 |
| Ni+2, Co+2, Mn+2, Cr+3 | 500 |
| Sr+2, Zn+2, Fe3+, Cu2+ | 100 |
| Proposed Methods | Sample | Added (µg mL−1) | Proposed Method | Standard Method | t-Test | F-Test | ||
|---|---|---|---|---|---|---|---|---|
Found * (µg mL−1) | Relative Error (%) | Found * (µg mL−1) | Relative Error (%) | |||||
| Method A: RDN | Tap water | 0.2 | 0.202 | 1.00 | 0.203 | 1.50 | 0.419 | 1.53 |
| 0.4 | 0.403 | 0.75 | 0.402 | 0.50 | 1.23 | 3.55 | ||
| 0.6 | 0.605 | 0.83 | 0.604 | 0.66 | 1.40 | 4.11 | ||
| Waste-water | 0.3 | 0.303 | 1.00 | 0.302 | 0.66 | 0.85 | 1.63 | |
| 0.5 | 0.504 | 0.80 | 0.505 | 1.00 | 1.60 | 4.12 | ||
| 0.7 | 0.705 | 0.71 | 0.704 | 0.57 | 1.25 | 2.43 | ||
| Soil | 1.0 | 0.982 | −1.80 | 1.01 | 1.00 | 0.894 | 4.24 | |
| 1.2 | 1.22 | 1.60 | 1.23 | 2.14 | 1.40 | 2.45 | ||
| 1.4 | 1.42 | 1.40 | 1.44 | 2.85 | 2.44 | 1.23 | ||
| Method B: 7-HC | Tap water | 0.2 | 0.221 | 0.25 | 0.198 | −0.90 | 2.236 | 1.00 |
| 0.4 | 0.407 | 1.80 | 0.418 | 4.50 | 2.00 | 1.20 | ||
| 0.6 | 0.596 | 0.66 | 0.606 | 1.00 | 1.40 | 2.70 | ||
| Waste-water | 0.3 | 0.303 | 1.00 | 0.302 | 0.66 | 0.85 | 1.63 | |
| 0.5 | 0.504 | 0.80 | 0.505 | 1.00 | 1.60 | 4.00 | ||
| 0.7 | 0.705 | 0.71 | 0.704 | 0.57 | 1.25 | 2.41 | ||
| Soil | 0.4 | 0.403 | 1.50 | 0.402 | 0.50 | 1.63 | 4.00 | |
| 0.6 | 0.596 | 0.66 | 0.606 | 1.00 | 1.40 | 2.70 | ||
| 0.8 | 1.810 | 0.12 | 0.826 | 3.25 | 2.236 | 2.25 | ||
| Reagent | Linearity Range * | LOD * | LOQ * | ε * | λmax | Remarks | Refs. |
|---|---|---|---|---|---|---|---|
| STZ ** + RDN ** | 0.08–2.00 | 0.0303 | 0.0918 | 4.20 | 504 | Simple, rapid, non-extractive, highly sensitive, and stable | This work |
| STZ ** + 7-HC ** | 0.04–2.40 | 0.0387 | 0.1172 | 6.90 | 525 | This work | |
| AHNDMS ** | 0.1–1.6 | 0.0069 | 0.021 | 2.60 | 560 | Susceptibility to interference from some metal ions (particularly Fe3+) | [37] |
| Barbituric acid | 0.00–3.22 | 0.0166 | 0.05478 | 1.53 | 310 | Time-consuming; 30 min before NaOH addition | [38] |
| Safranin O + PG ** | 0.002–0.23 | 0.0005 | NA | 0.40 | 610 | Require CPE ** using mixed micelle of a nonionic surfactant | [39] |
| Cefixime + 1-naphthyl amine | 0.02–15.00 | 0.0043 | 0.014 | 0.41 | 360 | Time-consuming (max. absorption was reached at 30 min. after mixing) | [40] |
| PNA ** + EAA ** | 0.05–6.00 | 0.05 | 0.15 | 1.59 | 507 | Less sensitive | [41] |
| SAA ** + EAA ** | 0.2–3.0 | 0.067 | 0.20 | 1.22 | 356 | Less sensitive | [41] |
| STZ ** + NEDA ** | 0.054–0.816 | 0.018 | 0.054 | 4.61 | 546 | Interference with higher thiosulfate and sulfite concentrations | [42] |
| MTL ** + PG ** | 2.50–30.00 | 1.60 | 5.28 | 0.538 | 385 | Less sensitive | [43] |
| SCL ** + PG ** | 2.50–30.00 | 2.00 | 6.60 | 0.331 | 385 | Less sensitive | [43] |
| TNL ** + PG ** | 2.50–30.00 | 1.80 | 5.94 | 0.366 | 385 | Less sensitive | [43] |
| 3-nitroaniline + 1-naphthylamine | 0.01–1.70 | 0.0005 | 0.00165 | 3.12 | 515 | Utilizing strongly acidic medium and multi-reagent diazotization coupling system | [44] |
| Sodium-3-mercapto-1-propanesulfonate | 3.45–5519.2 | 2.07 | 5.52 | 0.129 | 547 | Less sensitive | [45] |
| DLLME ** + preconcentration then Griess color | 0.1–7.0 | 0.05 | 0.10 | 0.86 | 410 | Less sensitive | [46] |
| Sulfanilic acid + methyl anthranilate | 0.2–8.00 | 0.93 | 2.82 | 1.03 | 493 | Less sensitive | [47] |
| PNA ** + ethoxy ethylenemaleic ester | 0.5–16.00 | 0.07 | 0.21 | 5.04 | 439 | Less sensitive | [48] |
| PNA ** + ethylcyanoacetate | 0.2–18.00 | 0.05 | 0.15 | 1.21 | 459 | Less sensitive | [48] |
| Sulfanilic acid + resorcinol | 0.2–2.6 | 0.003 | 0.009 | 3.22 | 385 | Less sensitive | [49] |
| Redox reaction with iodide ions in an acidic condition | 0.0625–4.00 | 0.025 | 0.085 | NA | 362 | Time consuming | [50] |
| SAA ** + PNZ ** | 0.13–1.0 | 0.08 | 0.264 | 3.48 | 540 | Less sensitive | [51] |
| SMX ** + CPN ** | 0.19–1.0 | 0.09 | 0.297 | 2.57 | 530 | Less sensitive | [51] |
| SAA 3 + TPN ** | 0.3–1.6 | 0.12 | 0.396 | 1.60 | 530 | Less sensitive | [51] |
| MMCBAT ** + N,N-dimethyl aniline | 0.05–2.00 | 0.012 | 0.0396 | 2.03 | 482 | Less sensitive | [52] |
| PNA ** + FRU ** | 0.02–0.6 | 0.485 | 1.470 | 0.146 | 680 | Less sensitive | [53] |
| PNA ** + MPAT ** | 0.4–2.0 | 0.559 | 1.695 | 0.331 | 395 | Less sensitive | [53] |
| SAA ** + Orcinol | 0.005–1.80 | 0.003 | 0.009 | 4.36 | 427 | Very close or lower (ε) values | [54] |
| catalytic effect on oxidative degradation of [BMIM]MR ** by KBrO3 | 0.006–0.287 | 0.001 | 0.003 | NA | 518 | Expensive and require a complex procedure due to using IL ** and modified MR **; interference with higher concentration of regular interferent | [55] |
| Method A: RDN | Method B: 7-HC | ||
|---|---|---|---|
| Item | Calculated PPs | Item | Calculated PPs |
| Chemicals | Chemicals | ||
| Water | 0 | Water | 0 |
| HCl | 2 | HCl | 2 |
| NaNO2 | 2 | NaNO2 | 2 |
| STZ | 1 | STZ | 1 |
| RDN | 1 | 7-HC | 1 |
| NaOH | 2 | NaOH | 2 |
| KCl | 0 | ||
| Instrument energy UV-Vis spectrophotometer pH meter | 0 | Instrument energy UV-Vis spectrophotometer pH meter | 0 |
| Occupational hazard | 3 | Occupational hazard | 3 |
| Waste | 2 | Waste | 2 |
| ESA score | 13 | ESA score | 13 |
Disclaimer/Publisher’s Note: The statements, opinions and data contained in all publications are solely those of the individual author(s) and contributor(s) and not of MDPI and/or the editor(s). MDPI and/or the editor(s) disclaim responsibility for any injury to people or property resulting from any ideas, methods, instructions or products referred to in the content. |
© 2026 by the authors. Licensee MDPI, Basel, Switzerland. This article is an open access article distributed under the terms and conditions of the Creative Commons Attribution (CC BY) license.
Share and Cite
Naggar, A.H.; Ali, A.H.; Alenezy, E.K.; Seaf-Elnasr, T.A.; Eid, S.; Hasanin, T.H.A.; Abdelwahab, A.A.; Bakr, A.-S.A.; El-Sayed, A.E.-A.Y. Development of Green-Assessed and Highly Sensitive Spectrophotometric Methods for Ultra-Low-Level Nitrite Determination Using Rhodanine and 7-Hydroxycoumarin in Environmental Samples. Chemosensors 2026, 14, 23. https://doi.org/10.3390/chemosensors14010023
Naggar AH, Ali AH, Alenezy EK, Seaf-Elnasr TA, Eid S, Hasanin THA, Abdelwahab AA, Bakr A-SA, El-Sayed AE-AY. Development of Green-Assessed and Highly Sensitive Spectrophotometric Methods for Ultra-Low-Level Nitrite Determination Using Rhodanine and 7-Hydroxycoumarin in Environmental Samples. Chemosensors. 2026; 14(1):23. https://doi.org/10.3390/chemosensors14010023
Chicago/Turabian StyleNaggar, Ahmed H., Atef Hemdan Ali, Ebtsam K. Alenezy, Tarek A. Seaf-Elnasr, Salah Eid, Tamer H. A. Hasanin, Adel A. Abdelwahab, Al-Sayed A. Bakr, and Abd El-Aziz Y. El-Sayed. 2026. "Development of Green-Assessed and Highly Sensitive Spectrophotometric Methods for Ultra-Low-Level Nitrite Determination Using Rhodanine and 7-Hydroxycoumarin in Environmental Samples" Chemosensors 14, no. 1: 23. https://doi.org/10.3390/chemosensors14010023
APA StyleNaggar, A. H., Ali, A. H., Alenezy, E. K., Seaf-Elnasr, T. A., Eid, S., Hasanin, T. H. A., Abdelwahab, A. A., Bakr, A.-S. A., & El-Sayed, A. E.-A. Y. (2026). Development of Green-Assessed and Highly Sensitive Spectrophotometric Methods for Ultra-Low-Level Nitrite Determination Using Rhodanine and 7-Hydroxycoumarin in Environmental Samples. Chemosensors, 14(1), 23. https://doi.org/10.3390/chemosensors14010023

