Abstract
Chemiresistive ammonia gas sensors with a low limit of detection of 0.15 ppm and moisture-independent characteristics based on p-type copper iodide (CuI) semiconductor films have been developed. CuI films were deposited on glass and polyethylene terephthalate (PET) substrates using a Successive Ionic Layer Adsorption and Reaction method to fabricate CuI/glass and CuI/PET gas sensors, respectively. They have a nanoscale morphology, an excess iodine and sulfur impurity content, a zinc blende γ-CuI crystal structure with a grain size of ~34 nm and an optical band gap of about 2.95 eV. The high selective sensitivity of both sensors to NH3 is explained by the formation of the [Cu(NH3)2]+ complex. At 5 °C, the responses to 3 ppm ammonia in air in terms of the relative resistance change were 24.5 for the CuI/glass gas sensor and 28 for the CuI/PET gas sensor, with short response times of 50 s to 210 s and recovery times of 10–70 s. The sensors have a fast response–recovery and their performance was well maintained after long-term stability testing for 45 days. After 1000 repeated bends of the flexible CuI/PET gas sensor in different directions, with bending angles up to 180° and curvature radii up to 0.25 cm, the response changes were only 3%.
1. Introduction
The rapid and effective detection of food contaminated with bacteria or fungi at the early stage of spoilage is of great importance to human health, since the consumption of such food may cause great harm to human health. According to [1,2,3], ammonia (NH3) plays a key role in the detection of food spoilage, since eggs, pork, beef and dried aquatic products including meat products, fish and shrimp will release ammonia after the continuous breakdown of food protein by microorganisms. The early detection of spoilage of protein-rich foods is possible by detecting the release of very small amounts of ammonia using gas sensors [1,2,3]. For example, the authors of [2] suggested using resistive-type gas sensors to detect ammonia released during shrimp spoilage, the signal of which is associated with a change in the resistance of a thin-film-sensitive semiconductor layer during NH3 adsorption due to the reversible release of electrons from the ammonia molecule into the semiconductor. In addition, highly sensitive resistive ammonia gas sensors are promising for use in healthcare, since ammonia in exhaled breath at sub-ppm levels is of great importance for medical diagnostics, as it is known [2,4,5,6,7,8] to be a medical biomarker of kidney diseases and stomach infections caused by Helicobacter pylori bacteria (H. pylori), which can cause gastric ulcers. According to [5], the NH3 concentration in the exhaled breath of patients with end-stage renal disease (mean 4.88 ppm, range from 0.82 ppm to 14.7 ppm) is higher compared to the exhaled air of healthy control patients (mean 0.96 ppm, range from 0.425 ppm to 1.8 ppm, according to [5], or about 0.2–0.5 ppm, according to [2]). After a dose of urea, the concentration of ammonia in the exhaled breath of patients testing positive for H. pylori is eight times higher (0.05 to 0.4 ppm) compared with the concentration in the exhaled breath of healthy patients because the conversion of urea to ammonia and bicarbonate is stimulated by H. pylori [5]. Therefore, the selective detection of NH3 at the level of several ppm and below 1 ppm, as well as the limit of detection (LoD) at the level of hundreds of ppb, is of great importance. This includes the fact that the high sensitivity of the sensor to ammonia should be accompanied by a minor reaction to the presence of interfering gases such as ethanol, acetone and especially H2O due to the high humidity in the breathing and food storage environment [2,5,8]. In addition, the gas sensor should be simple, inexpensive and not require heating, i.e., operate at room temperature. Lightweight, flexible, wearable sensors are preferred because they can be attached to clothing or curved surfaces [1,2,4,5,6,7,8,9,10,11,12]. However, the reproducibility and long-term stability of a flexible gas sensor are related not only to its stable composition, but also to the bending effect. Finally, the gas sensor should have a relatively short response and recovery time. Fulfilling all of the above requirements is not an easy task. For example, according to [13], today, breath testing for early disease detection is still in its infancy, underutilized and commercial devices are not yet available. Materials proposed in the current literature for flexible resistive ammonia sensors operating at room temperature include organic polymers [4,9], their composites with inorganic nanostructures [1,2,6,8,10], inorganic nanostructured semiconductor layers [5,11] and their nanohybrids [7,14]. However, chemirestive organic polymers and their composites, such as nitrogen-doped carbon nano-onion/polypyrrole nanocomposites [1] and carbon nanotube-conjugated polymer composites [6], suffer from low sensitivity. Polyaniline mesh [9], polyaniline/carbon nanotubes [8] and grafted polyaniline grown on polyethylene terephthalate film [4] have too slow responses and recoveries. For example, in [4], the response time of an ammonia sensor at room temperature was 7 min. The authors [2] described the inability of an ammonia sensor based on multi-walled carbon nanotubes grown on polydimethylsiloxane films modified with polyaniline to achieve the adsorption equilibrium for a response time of 100 s and a recovery time of 236 s. ZnO nanostructures deposited on Kevlar fabric in [11] and CuO/WS2 nanohybrids in [14] have low sensitivity to NH3. The limit of detection of the CuO/WS2 sensor in [14] is too high and is 5 ppm NH3; the LoD of the sensor based on reduced graphene oxide and molybdenum disulfide in [7] is even higher and is 10 ppm NH3. The materials of the ammonia sensor in [5] with a nanostructured CuBr layer coated with a 100 nm thick CeO2 layer are very toxic [15]. Therefore, overcoming these challenges by developing flexible ammonia gas sensors operating at room temperature with a selective and high response, fast response–recovery speed, high mechanical strength, no physiological toxicity and maintaining gas detection efficiency under an uncontrolled movement, high humidity or complex environmental changes is highly necessary.
Herein, to create low-temperature, highly sensitive rigid and flexible ammonia sensors that meet the above requirements, a nanostructured film of the copper compound Cu(I), namely the most stable at room temperature, the cubic γ-phase of copper iodide (CuI), was chosen as a chemiresistive material. According to the literature data [5,16,17,18], copper with the oxidation state Cu+ is capable of capturing NH3 with the formation of the complex [Cu(NH3)2]+, which is thermodynamically stable under such temperature conditions. This complex can reduce the concentration of mobile copper ions and vacancies near the CuI surface, thereby reducing its conductivity. Due to the [Cu(NH3)2]+ complex, which immobilizes copper(I) ions and consequently reduces the electrical conductivity of CuBr, the CeO2-coated flexible CuBr sensor developed in [5] exhibited excellent ammonia-sensing properties with an ultra-high response, selectivity, excellent reversibility and fast response–recovery at room temperature, which are well maintained even after repeated bending and long-term stability testing. The sensor [5] showed a significant response to simulated breath from H. pylori-infected patients that contained 50 ppb NH3, confirming its potential in medical diagnostics. In [5], a coating of CuBr with a toxic CeO2 film was used to prevent water vapor from reaching the surface of CuBr, which is an ionic compound soluble in water. A distinctive feature of the cubic γ-phase CuI is that it is a p-type semiconductor, so when gas molecules are adsorbed on its surface, the energy bands near the surface of the semiconductor are curved, which leads to a change in resistance. The effect of resistance change is especially strong in thin nanostructured films with a large specific surface area. In addition, CuI is insoluble in water, and its nanostructured layers can create highly hydrophobic surfaces, as was recently shown for this material obtained using the Successive Ionic Layer Adsorption and Reaction (SILAR) method in [19]. Therefore, unlike copper bromide in [5], CuI does not require additional water-repellent coatings. Moreover, copper iodide can be produced from widely available materials and has a low environmental impact [20,21]. The biocompatibility of CuI has been demonstrated through its use in antimicrobial dental adhesive systems [22] and as a source of iodine and copper as a dietary food supplement [23]. In [24], a chemiresistive sensor based on CuI nanomaterials in combination with copper iodide–isopropanolamine complexes (CuI-C3H9NO) showed high sensitivity with a fast response and recovery for the detection of ammonia along with negligible (almost zero) sensitivity to water vapor, ethanol vapor and vehicle exhaust gases. For ammonia detection, nanostructured films of the CuI and CuI-C3H9NO mixture were prepared in [24] by annealing a copper iodide solution in isopropanolamine on a silicon substrate at 250 °C. Thus, the ammonia sensor created in [24] was inflexible. In addition, its LoD reached 10 ppm NH3, which prevented its use for monitoring human exhalation and early stages of food spoilage.
This paper presents highly sensitive and selective ammonia sensors with fast response–recovery and a detection limit of 0.15 ppm based on nanostructured CuI thin films obtained on rigid glass and flexible polyethylene terephthalate (PET) substrates using the SILAR method at a solution temperature of 25 °C. The crystal structure, morphology, chemical composition and optical properties of the obtained copper iodide layers were investigated. To confirm the possibility of their use for monitoring the freshness of products both inside refrigerators and outdoors, as well as for analyzing human breath, the responses of our chemiresistive ammonia sensors in the temperature range of 5–55 °C were studied. The mechanism of the highly selective sensitivity of the material to ammonia due to the formation of [Cu(NH3)2]+ complexes was confirmed by studying the dependence of gas sensitivity on the temperature at which the sensors operated.
2. Materials and Methods
2.1. Materials
Ammonium hydroxide solution (5.0 M NH4OH) was purchased from Fluka Chemicals Ltd., Gillingham, UK. Copper (II) sulfate pentahydrate (CuSO4·5H2O), sodium thiosulfate pentahydrate (Na2S2O3·5H2O), sodium iodide (NaI), acetone (CH3COCH3 ≥99.5% (by GC)) and ethanol (C2H5OH ≥99.8% (by GC)) were purchased from VWR PDH Chemicals, Radnor, PA, USA. The 50 μm thick polyethylene terephthalate film (PET, 6020-Polyester Film for Electrical Insulation) was purchased from Henan YAAN Electrical Insulation Material Plant Co., Ltd., Xuchang, China.
2.2. Preparation of CuI/Glass and CuI/PET Chemiresistive Ammonia Sensors
Rigid glass substrates and flexible polyethylene terephthalate films (50 mm × 25 mm) were successively cleaned in an ultrasonic bath with isopropanol and distilled water at 50 °C for 25 min each. PET film was chosen as the substrate for the flexible gas sensor due to the excellent mechanical properties, stable surface chemistry and exceptional foldability of this polymer material, making it an ideal substrate for flexible electronic devices [8]. The back side of the substrates was laminated with a self-adhesive polypropylene film, which was removed after the deposition of the copper iodide layer. Thus, in the obtained samples of CuI/glass and CuI/PET, the nanostructured copper iodide film was located only on one side of the substrate. Deposition of nanostructured CuI films on glass and PET substrates was performed using automatic SILAR technology. A universal motorized platform with numerical control for commercial 3D printers was used for this purpose, the automation of all SILAR steps was programmed using g-code and the reproducibility of the substrate immersion rate and the time of each SILAR step was ensured with an accuracy of <0.1%, similar to that described in [25]. The temperature of all solutions used in SILAR deposition was controlled at 25 °C. Figure 1a shows the setup for the automatic SILAR method used in this work.
Figure 1.
(a)—Schematic diagram of the automatic SILAR method used in this work. (b)—Photographs of the high-precision LCR meter GW INSTEK LCR 6002 (GW Instek, Taipei, Taiwan) (top left) and RMS digital multimeter UNI-T UT171C (top right) used in gas sensing measurements. Schematic structure of NH3 gas sensors (bottom middle) and photograph of CuI/glass sensor (bottom left) and CuI/PET sensor in four bent states (bottom right).
When applying the CuI layer, one SILAR cycle consisted of four stages with rapid (0.5 s) immersion of the substrates in the solutions and removal from them. The first stage involved immersing the substrate for 20 s in a cationic aqueous solution containing 0.1 M CuSO4 and 0.1 M Na2S2O3, in which Na2S2O3, in accordance with [26], reduced Cu2+ ions from CuSO4 to Cu+ and also acted as a ligand. The second stage was immersion in distilled water for 50 s to remove weakly adsorbed ions from the surface. The third stage was immersion of the substrate with firmly adsorbed Cu+ ions for 20 s in an aqueous anionic solution of 0.1 M NaI to obtain a CuI monolayer as a result of the interaction of Cu+ and I−. The fourth step involved rinsing in distilled water for 50 s to remove excess ions and loosely bound particles from the surface. After every 10 SILAR cycles, the water in the beakers was replaced with clean water. After 60 SILAR cycles, CuI/glass and CuI/PET samples with nanostructured copper iodide films of about 1 μm thickness, as assessed by scanning electron microscopy, were obtained. Figure 1b shows photos of experimental CuI/glass and CuI/PET samples with thin-film ohmic contacts deposited by RF magnetron sputtering of an Au80Pd20 target. As can be seen in the schematic of these sensors in the middle of Figure 1b, the Au80Pd20 thin-film contacts were partially covered with self-adhesive aluminum tapes to connect them to the external electrical circuit.
2.3. Characterization
Scanning electron microscopy/energy-dispersive X-ray spectrometry (SEM-EDS) analysis was performed for the morphological characterization of the CuI/glass and CuI/PET samples and their elemental mapping using a Zeiss ULTRA Plus SEM (ZEISS, Jena, Germany) with secondary electron detector equipped with an OXFORD X-Max 20 EDS detector (Oxford Instruments, Abingdon, UK). SEM images and EDS spectra were recorded from areas of about 50 × 50 μm at an accelerating voltage of 10 kV. EDS maps of the samples were superpositions of the signal obtained from the electron backscatter detector (colored white) and the intensities of the characteristic lines of Cu, S and I (colored in shades of the corresponding color). The resolution of the EDS map was 500 × 500 pixels.
To analyze the crystal structure of CuI, the X-ray diffraction pattern was obtained on a Shimadzu XRD-6100 (Shimadzu Corporation, Kyoto, Japan) X-ray diffractometer using CuKα1 radiation (λ = 1.54060 Å) and Bragg–Brentano focusing (θ–2θ). The crystalline phase was identified by comparing the experimental X-ray diffraction pattern with the JCPDS database using PCPDFWIN v.1.30 software. Then, the X-ray diffraction pattern was processed to remove the background using New-Profile v.3.4(486) and OriginPro v.7.5 software, and the parameters of its diffraction line profiles were calculated. The average size of copper iodide nanocrystals D was estimated from the broadening of the X-ray peak (111) using the Scherrer equation, in which the full width at half maximum of the profile was corrected for instrumental broadening according to [19]. The lattice parameter of CuI was calculated from the positions of the X-ray diffraction peaks using the Nelson–Riley graphical extrapolation method and refined by the least-squares method using the UnitCell software (OSX version) as in [19]. According to [27], the crystal lattice microstrains were obtained from the relationship ɛ = Δd/d (where d is the crystal interplanar spacing according to JCPDS and Δd is the difference between the corresponding experimental and reference interplanar spacing). According to [27], the dislocation density was defined as the length of dislocation lines per unit volume and was estimated from the relationship 1/D2.
Optical transmittance spectra T(λ) and diffuse reflectance spectra Rd(λ) of CuI/glass and CuI/PET samples were recorded in the wavelength range λ from 385 to 1100 nm using a LAMBDA 35 PerkinElmer spectrophotometer (PerkinElmer Life and Analytical Sciences, Shelton, CT, USA). The optical band gap Eg for direct allowed transitions in nanostructured CuI films was determined from the T(λ) and Rd(λ) spectra using the Tauc method as a generally accepted technique for estimating the accurate optical bandgap energy of semiconductors using UV–Vis spectroscopy. The procedure for estimating the optical band gap was carried out by fitting the experimentally determined absorption coefficient α, which is a function of the wavelength α(λ), to the Tauc equation, which is a power expression in the form of the following equation:
where for the CuI film thickness l, α = 1/l ln [(1 − Rd)2/T], h is Planck’s constant, ν is the frequency and A is the proportionality coefficient.
The band gap was determined by directly extrapolating the linear region of the Tauc plot, (α hv)2 versus hv, to the horizontal axis.
In addition, Eg was obtained, according to [19,28,29], from the Kubelka–Munk function F, calculated using the following equation:
According to [19,28,29], the Eg values were obtained graphically from the dependences of (F·hν)2 on hν by extrapolating their linear parts to hν.
2.4. Sensing Measurements
In this work, experimental samples of chemiresistive sensors CuI/glass and CuI/PET were tested in the temperature range from 5 °C to 55 °C for the presence of ammonia, ethanol, acetone and water vapor in the dry air. These gaseous products are released when protein foods spoil in refrigerators and in the open air [1,3] and are also components of exhalation [5,8,24]. The experimental sensor test setup contained a 1.7 L glass thermostatic chamber providing sensor operating temperatures ranging from 5 °C to 55 °C.
Since exhaled air, as well as gaseous markers of protein product spoilage, contain a lot of moisture, similar to that proposed in [14], the product of the interaction of NH3 and H2O, ammonium hydroxide vapor (NH4OH), was used to assess the suitability of the obtained nanostructured copper iodide layers for chemiresistive ammonia sensors. For testing gas sensors, a liquid solution of 5.0 M NH4OH, as well as, in other experiments, acetone, ethanol or water as interfering components, were introduced, similar to that described in [8,14,24], through a microdosing syringe microdispenser into the chamber, where they quickly evaporated. During the test, the chamber remained sealed. The resistance value of the CuI/glass or CuI/PET sample inside the test chamber immediately before the introduction of the test gas or vapor was defined as R0. The resistance was measured between thin-film Au80Pd20 contacts by determining the current at a voltage between the contacts of 1 V. The increase in resistance from R0 to Rg for CuI/glass and CuI/PET sensors under the influence of test gases/vapors at temperatures in the range of 5 °C to 55 °C was continuously monitored by a GW Instek LCR-6002 m, a photograph of which is shown in Figure 1b top left and visualized on the monitor screen in the form of dynamic response curves. For tests at lower temperature (5 °C), resistance measurements were performed with a UNI-T UT171C RMS digital multimeter (UNI-T, Guangdong, China), which is shown in Figure 1b top right. According to [7], the response time (tresponce) was defined as the time required for the sensor to reach 90% of the maximum resistance value Rg. The chamber was then purged with clean dry air using an air compressor and the recovery curve was recorded as the drop-in sensor resistance over time from Rg to R0. According to [7], the recovery time (trecovery) was defined as the time required for the maximum value to decrease to 10% of Rg. The relative humidity (RH) of the air was controlled using a high-precision control, and RH values were adjusted up to 100% by injecting and evaporating water into the test chamber.
To evaluate the sensitivity of CuI/glass and CuI/PET chemiresistive sensors at different operating temperatures, their response S* to ammonia, ethanol, acetone or water was determined, according to [1,4,6,9,11,12,14], using the formula:
In addition, another expression for the sensor response, which was used in [2,5,7,8,10], we designated as S and determined according to the formula:
According to [8,12], to determine the selectivity of the sensitivity of the CuI/glass and CuI/PET chemiresistive ammonia sensors, their responses to ammonia (S*NH3), acetone (S*acetone), ethanol (S*ethanol) and water (S*H2O) were compared. To confirm the selective detection of ammonia at relative humidity up to 100% at different temperatures, we recorded S*H2O responses after introducing 200 µL H2O into the 1.7 L test chamber.
According to [2,4,7,8,9,10], the mechanical properties of the sensor, such as bending and fatigue strength, were evaluated to test the applicability of the flexible CuI/PET gas sensor in wearable electronic equipment. Similar to [2,4,7,8,10], we used the relative change in its resistance (Rbent − R0)/R0 with the number of bends at different bending angles φ in the range from 0° to 180°. In all experiments, (Rbent − R0) was the difference between the resistance of the bent and unbent sensor in dry air at 22 °C. In accordance with [8], the determination of the bending angle φ involved creating tangents at the two end points of the film, extending perpendicular lines from the tangents, and measuring the film length for the arc length corresponding to the round-center angle, which is the bending angle φ. In addition, similar to [9], for the large bends shown in Figure 1b, we recorded (Rbent − R0)/R0 as a function of the bending radius (r) in the range of 0.25 cm–2.0 cm. Similar to [4], bending with the sensitive surface (CuI film) inward was defined as compression, while bending with the sensitive surface outward was defined as tension. The bending experiments with the CuI/PET sensor were repeated 1000 times. The repeatability and long-term stability of the responses of the prepared CuI/glass and CuI/PET sensors were checked periodically for 45 days.
3. Results
The SEM images in Figure 2a,b demonstrate the nanostructured morphology of the CuI layer in the CuI/glass sample. The observed crystal grains are triangular in shape and orientated differently in the (111) plane, which is characteristic of copper iodide γ-CuI, since {111} is the lowest energy surface in the cubic zinc-blend structure [30,31,32,33]. The SEM image in Figure 2c shows a smooth thin-film Au80Pd20 contact produced by high-frequency magnetron sputtering on a copper iodide surface. The energy-dispersive X-ray spectrum in Figure 2d shows that the composition of the CuI film on the glass substrate is enriched in iodine and contains 2 at. % S due to the instability of the thiosulfate ion in the cationic solution used in the automatic SILAR deposition process. The Si, O and Mg peaks in this EDS spectrum belong to glass. In addition, the O peak as well as the C peak can be partly explained by the absorption of atmospheric gases O2 and CO2 on the large surface of the nanostructured CuI film. The uniform distribution of copper, iodine and sulfur atoms over a large surface area of the CuI/glass sample is confirmed by the EDS maps in Figure 2e–h.
Figure 2.
SEM images of the CuI/glass sample with low (a) and high (b) magnification. (c)—SEM image of a thin-film contact obtained by RF magnetron sputtering of the Au80Pd20 alloy on the copper iodide surface of the CuI/glass gas sensor. (d)—EDS spectrum of the CuI/glass sample. (e)—Overall energy-dispersive X-ray spectroscopy (EDS) map of CuI/glass sample. Elemental EDS mapping of individual elements in the CuI/glass sample: (f)—Cu; (g)—I; (h)—S.
The SEM images of CuI film in the CuI/PET sample shown in Figure 3a,b look similar to those shown in Figure 2a,b for the CuI/glass sample. Thus, it can be concluded that the substrate does not affect the morphology of the CuI film. Similarly, from the X-ray spectroscopy spectrum in Figure 3c, the CuI composition in the CuI/PET sample has excess iodine and sulfur impurities. Additional elements in the EDS spectrum are carbon and oxygen from the PET substrate. The overall EDS map in Figure 3d and the elemental EDS mapping of individual elements in Figure 3e–g demonstrate the uniform distribution of Cu, I and S atoms over the surface of the CuI/PET sample.
Figure 3.
SEM images of the CuI/PET sample with low (a) and high (b) magnification. (c)—EDS spectrum of the CuI/PET sample. (d)—Overall EDS map of CuI/PET sample. Elemental EDS mapping of individual elements in the CuI/PET sample: (e)—Cu; (f)—I; (g)—S.
The X-ray diffraction pattern in Figure 4 of the nanostructured copper iodide film in the CuI/PET sample contains nine reflections of the cubic zinc-blend γ-CuI crystal structure. A similar structure was described in [24] for a copper iodide nanomaterial used in a wearable flexible thin-film chemiresistive ammonia sensor. The values of the crystal lattice parameter a = 6.048 Å of CuI in the CuI/PET sample, calculated by the Nelson–Riley graphical extrapolation method and the least squares method, turned out to be slightly smaller than the reference parameter (according to the JCPDS database #06-0246, a = 6.051 Å). In addition, the analysis of the X-ray diffraction pattern in Figure 4 shows that the CuI film is nanocrystalline with an average grain size D = 34 nm, moderate tensile microstrains ɛ equal to 5.1∙103 rel. units and a dislocation density of ~1∙1015 lines/m2.
Figure 4.
X-ray diffraction pattern of CuI/PET sample.
The optical properties of nanocrystalline copper iodide films prepared by the automatic SILAR method on solid glass substrates and on flexible polyethylene terephthalate film were analyzed using their optical transmittance and diffuse reflectance spectra. The T(λ) and Rd(λ) plots in Figure 5a,b, respectively, show the translucency and high diffuse reflectance of both CuI films, which are well explained by their nanostructured morphology, as shown in Figure 2 and Figure 3. The sharp decrease in the transmittance and diffuse reflectance in Figure 5a,b at λ less than 420 nm, according to [21,33], indicates the strong absorption of visible light through excitation in the direct band gap of copper iodide. The Tauc plots, (α hv)2 versus hv in Figure 5c and the Kubelka–Munk plots, (F·hν)2 versus hν, in Figure 5d determined the band gap for the direct optical transitions Eg in the CuI layers to be ≈ 2.9–2.95 eV in the CuI/glass sample and ≈ 2.95 eV in the CuI/PET sample. These Eg values are close to the typical value Eg ≈ 3.0 eV for CuI films obtained by different methods in [30,33,34,35], as well as for those doped with sulfur CuI films containing up to 5 at. % S in [36]. The steeper absorption edge and narrower Urbach tail in Figure 5c, as well as the higher Eg value for copper iodide in the CuI/PET sample compared to the CuI/glass sample, indicate, in accordance with [36], a lower density of subband defects in the flexible sample. Since the Bohr exciton radius of CuI is 1.5 nm [37], the absence of an increase in Eg due to the quantum confinement effect indicates that the sizes of CuI nanocrystals in all samples obtained using the automated SILAR method significantly exceed this value, which is in good agreement with the SEM and XRD results.
Figure 5.
Optical properties of copper iodide films in CuI/glass and CuI/PET samples obtained by the automatic SILAR method: (a)—transmission spectra; (b)—diffuse reflectance spectra; (c)—Tauc plots; (d)—graphs for determining the band gap of nanostructured CuI films using the Kubelka–Munk function. Inserts in (a,b) contain data on uncoated glass and PET substrates.
To explain the operation of semiconductor-based chemiresistive NH3 sensors, it is necessary to take into account that the detection mechanism common to such sensors is a two-stage process [11]. In the first stage, oxygen from the air is adsorbed by the surface of a nanostructured semiconductor. The adsorbed oxygen molecules are converted into ions by extracting electrons from the valence band of the p-type semiconductor according to the reaction:
Thus, the resistance of the p-type semiconductor decreases due to the formation of a hole accumulation zone over its entire surface. In the second stage, electron-donor NH3 molecules adsorbed on the surface of the semiconductor react with oxygen ions O2− according to the following reaction [11]:
As a result, electrons are released back into the valence band of the p-type semiconductor, and due to the injection of electrons, the hole concentration in its surface layer decreases, which leads to an increase in the resistance of the p-type semiconductor. When the atmosphere is changed back to air, the resistance returns to its original value due to the reabsorption of oxygen. Similar gas detection mechanisms are characteristic of various semiconductors, including many metal oxide sensors operating at high temperatures, as well as various electron-donor gases and vapors, such as ethanol, acetone, water and other interfering compounds, which prevents the selectivity of NH3 gas analysis [11]. The advantage of selectivity and increased sensitivity towards ammonia for CuI [24], as well as other copper compounds with the oxidation state Cu+, for example, CuBr [5], lies in their ability to bind NH3 to form a complex [Cu(NH3)2]+. According to [16,17,18], the [Cu(NH3)2]+ complex is thermodynamically stable at room and lower temperatures, and by injecting electrons, it rapidly and strongly increases the resistance of materials containing Cu+ compounds in an ammonia-containing atmosphere. In the CuI/glass and CuI/PET ammonia gas sensors developed in this work, the two above-mentioned sensing mechanisms work synergistically, thereby improving their responses and accelerating the response–recovery time at low temperatures.
During the sensitivity measurements, when ammonia entered the test chamber, the resistance of the CuI/glass and CuI/PET gas sensors increased from R0 to Rg, which, in accordance with [4,7], is explained by the electron-donor property of NH3 molecules and the p-type of the CuI semiconductor. A similar effect should be demonstrated by water, acetone and ethanol vapors [2,7,8]. The results of gas sensitivity measurements for CuI/glass and CuI/PET sensors are presented in Figure 6 as diagrams of the S* responses to NH3, H2O, acetone and ethanol at operating temperatures of 5 °C, 22 °C, 35 °C, 45 °C and 55 °C. An exception is the lack of results from a study of the sensitivity of the CuI/PET sensor to acetone due to the interaction of polyethylene terephthalate plastic with acetone, described in [38]. Since the ammonia sensitivity experiments used an aqueous solution of 5.0 M NH4OH, this resulted in a temperature-dependent increase in RH, which is shown in Table 1 as the operating conditions. The sensitivity of the sensors to air humidity was studied using 12 ppm water vapor, as well as a concentration of H2O at which the relative humidity reached 100%. To assess the reliability of the data obtained, they were analyzed using an analysis of variance (ANOVA) with a standard one-way regression test at a level of 5% or lower. Each experiment was performed five times. In these tests, a significance value of p < 0.05 was defined as statistically significant. As can be seen in Figure 6, the S* responses to low ammonia concentrations (3 ppm) in both sensors are much higher than for high acetone and ethanol concentrations (120 ppm). In Figure 6 it can also be seen that even extremely high concentrations of water vapor in the air, corresponding to a relative humidity of 100%, do not demonstrate such large responses as 3 ppm of ammonia at temperatures in the range of 5–45 °C. Table 1 shows the response ratios of S*NH3/S*ethanol, S*NH3/S*acetone and S*NH3/S*H2O, which are particularly large at operating temperatures of 5 °C and 22 °C.
Figure 6.
Diagrams of responses S* = ΔR/R0 to 3 ppm of NH3, 12 ppm of H2O, 120 ppm of acetone, 120 ppm of ethanol and to RH 100% for CuI/glass and CuI/PET sensors operating at different temperatures: (a)—5 °C; (b)—22 °C; (c)—35 °C; (d)—45 °C; (e)—55 °C. (f)—Plots of responses S* = ΔR/R0 of CuI/glass and CuI/PET sensors to water, acetone and ethanol at different temperatures.
Table 1.
Selectivity of the sensitivity of chemiresistive sensors CuI/glass and CuI/PET to NH3 compared to acetone, ethanol and water vapor, calculated from the response ratios S* = ΔR/R0.
In this regard, the CuI/glass and CuI/PET ammonia sensors developed in this work have negligible sensitivity to air humidity. In comparison, recent studies of flexible room temperature ammonia sensors based on the polyaniline and carbon nanotube composite films in [2] doubled the NH3 responses, when the relative humidity increased to 80% compared with dry air. In [8], highly sensitive polyaniline/carbon nanotube ammonia sensors increased the gas-sensing response in the humidity range from 40% to 80% RH with an overall variation rate of 13%. Similarly, in [10], in an ultrasensitive flexible room-temperature ammonia sensor based on Au-functionalized polypyrrole-wrapped enriched-edge sulfur-vacancies MoS2 nanosheets, the ammonia response increased with the increasing relative humidity until it exceeded 90% RH. In contrast, the ammonia response of the flexible room-temperature ammonia sensor based on a nitrogen-doped carbon nano-onions/polypyrrole nanocomposite decreased from 18% to 3% as the relative humidity increased from 30% to 90%.
The observed highly selective sensitivity of CuI/glass and CuI/PET gas sensors to ammonia, according to [5,16,17,18], is associated with the capture of NH3 by the large surface area of the nanostructured CuI film upon the injection of ammonia, followed by the formation of the [Cu(NH3)2]+ complex. According to [5], this complex immobilizes Cu+ ions and reduces the concentration of holes created by copper vacancies, thereby reducing the conductivity of CuI. When gaseous ammonia is removed by displacing it with air, [Cu(NH3)2]+ decomposes, which leads to a decrease in resistance [5]. According to [17,18], the [Cu(NH3)2]+ complex is thermodynamically stable at low temperatures and an increase in temperature leads to its decomposition and the subsequent desorption of ammonia. Therefore, the best selective sensitivity of CuI/glass and CuI/PET gas sensors to ammonia was recorded at 5 °C and 22 °C, as can be seen in Figure 6a,b and Table 1. The low response of both sensors to water vapor and their humidity-independent gas sensitivity characteristics, presented in Figure 6 and Table 1, are related to the high hydrophobicity of nanostructured CuI films, which was reported in [19]. The above indicates the ability of the sensors to distinguish and demonstrate increased sensitivity specifically to ammonia at a relative humidity of up to 100%. As can be seen in Figure 6c–e and in Table 1, at temperatures in the range of 35–55 °C for both sensors, the responses and selectivity in determining ammonia decrease, although they are still quite high. In Figure 6f, it is evident that the sensitivity of CuI/glass and CuI/PET gas sensors to interfering exhalation vapors such as ethanol, acetone and water, which are also released during the spoilage of protein products [2,5,8], is low and does not depend on temperature in the entire range of 5–55 °C. Overall, the CuI/glass and CuI/PET gas sensors developed in this work demonstrated high sensitivity to ammonia, which is comparable with the data for ultrasensitive flexible ammonia sensors operating at room temperature, information on which is collected in [5,10].
Figure 7 shows that even at sub-ppm ammonia concentrations, namely at 0.75 ppm NH3, both sensors have a clear and sharp response S = Rg/R0 with a short response time from 50 s to 210 s. After replacing the ammonia in the test chamber with dry air, the sensor resistances quickly return to the R0 value within a recovery time of 10–70 s. These response and recovery rate values are similar to those presented in [1,2,5,7,8] for chemiresistive ammonia sensors with a short response–recovery time. Moreover, the CuI/glass and CuI/PET gas sensors obtained in this work have a faster response–recovery than the devices presented in [4,6,9,11].
Figure 7.
Response curves S = Rg/R0 after sensor exposure to 0.75 ppm NH3 and recovery when the atmosphere was changed back to dry air for the developed gas sensors operating at different temperatures: (a)—CuI/glass sensor at 5 °C; (b)—CuI/glass sensor at 22 °C; (c)—CuI/glass sensor at 55 °C; (d)—CuI/PET sensor at 5 °C; (e)—CuI/ PET sensor at 22 °C; (f)—CuI/ PET sensor at 55 °C.
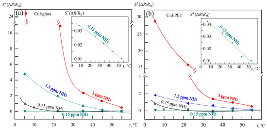
The data on the effect of temperature on the response of CuI/glass and CuI/PET gas sensors to various ammonia concentrations, as shown in Figure 8, confirm their highly selective sensitivity to ammonia due to the reversible formation of copper(I) ammonia complexes on the copper iodide surface, the stability of which decreases with the increasing temperature. As can be seen from the insets in Figure 8, at the lowest NH3 concentration of 0.15 ppm, which we used in the experiments, the S* responses of both gas sensors operating at 55 °C are equal to 0.01 and increase to S* = 0.03 for CuI/glass and to S* = 0.04 for CuI/PET at 8 °C. Thus, the ammonia concentration of 0.15 ppm was recognized by us as the detection limit of the developed sensors. Such a small LoD value is important for detecting ammonia in exhaled breath and for the early detection of the spoilage of protein-rich foods [1,2,3,4,5,6,8].
Figure 8.
Sensitivity of CuI/glass (a) and CuI/PET (b) sensors to different ammonia concentrations depending on operating temperatures in the range of 5–55 °C.
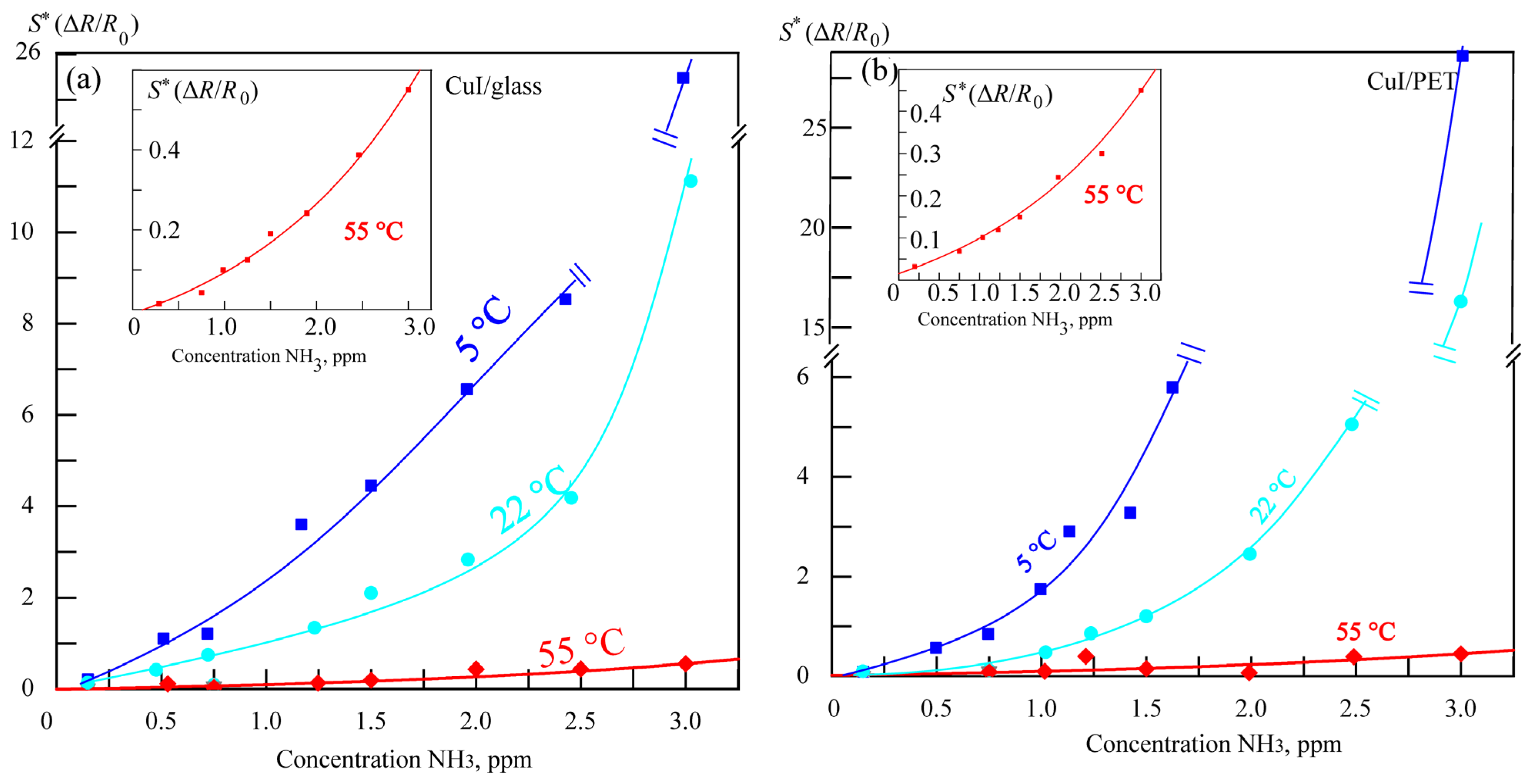
It is evident from Figure 9 that, as for other chemiresistive gas sensors [36,39,40], at low ammonia concentrations, the dependences of the responses of the CuI/glass and CuI/PET sensors on the ammonia concentration in the air, as shown in Figure 9, are not linear, but are approximated by exponential functions. Thus, in view of the exponential dependence of S* on the NH3 concentration, the problem of detecting ammonia in exhaled air, as well as in gas emissions of perishable products, can be solved using the simplest circuit solutions, for example, those developed for RFID tags.
Figure 9.
Dependencies of the responses of CuI/glass (a) and CuI/PET (b) sensors operating at different temperatures on the concentration of ammonia in the air in the range of 0.15–3 ppm.
Since one of the most important parameters of flexible chemirestive sensors is the stability of their characteristics after tensile and compressive deformations arising during bending [8,10,14], experiments were carried out on bending the CuI/PET sensor in two perpendicular directions at different bending angles φ and radii of curvature r. The determination of the bending angle φ is shown in Figure 10, Figure 11 and Figure 12. According to [8], the process involves creating tangents at the two end points of the flexible sensor, extending perpendicular lines from the tangents to obtain a round-center angle, which is the bending angle φ. It is evident from Figure 10 that the outward bending of the CuI/PET sensor in the direction along the thin-film strip contacts of Au80Pd20, which creates tensile strains in CuI, has almost no effect on the sensor resistance up to φ equal to 85° (red line in Figure 10). The inward bending of the CuI/PET sensor at φ above 45° leads to a decrease in the sensor resistance due to the compression of the nanostructured CuI film during its compaction with an increase in the contact area between copper iodide nanoparticles within this sensitive layer. As a result, when the CuI/PET sensor was bent inward, the (Rbent − R0)/R0 value became slightly negative for φ greater than 45° (blue line in Figure 10). Under conditions of strong bending up to a bending angle φ of 170–180° in the direction along the thin-film strip contacts, which is shown in Figure 11, the resistance Rbent of the CuI/PET sensor deviated significantly from the value R0. At the same time, the tendency for Rbent to increase under tension and decrease under compression remains, and the absolute values of (Rbent − R0)/R0 increase with the decreasing bending radius r, especially in the range of a small r from 3 cm to 1.25 cm.
Figure 10.
Relative resistance change (Rbent − R0)/R0 at different bending angles φ of the CuI/PET sensor in dry air at 22 °C (the sensor was bent in the direction along the thin-film strip contacts of Au80Pd20). The photo and diagram at the top show the sensor bending outward with tensile strains in CuI, which corresponds to the red line in the graph. The photo and diagram at the bottom show the sensor bending inward with compressive strains in CuI, which corresponds to the blue line in the graph.
Figure 11.
Relative change in resistance (Rbent − R0)/R0 at bending angles φ of 170–180° and different radii of curvature r of the CuI/PET sensor in dry air at 22 °C (the sensor was bent in the direction along the thin-film strip contacts of Au80Pd20). (a)—The diagram on the top shows the outward bending of the sensor with tensile strains in CuI, which corresponds to the red line in the graph. The diagram on the bottom shows the inward bending of the sensor with compressive strains in CuI, which corresponds to the blue line in the graph. (b)—Photo of the unbent CuI/PET sensor. (c)—Photo of the CuI/PET sensor bent outward at a bending angle of φ ≈ 180°.
Figure 12.
Experiments on bending of the CuI/PET sensor in the direction perpendicular to the Au80Pd20 thin-film contacts in dry air at 22 °C. (a)—Relative change in resistance (Rbent − R0)/R0 at bending angles φ of 170–180° and different radii of curvature r. The diagram on the top shows the outward bending of the sensor with tensile strains in CuI, which corresponds to the red line in the graph. The diagram on the bottom shows the inward bending of the sensor with compressive strains in CuI, which corresponds to the blue line in the graph. (b)—Photo of the inward bending of the CuI/PET sensor to r of 5 cm and φ of ~25°. (c)—Photo of the inward bending of the CuI/PET sensor to r of 3.5 cm and φ of ~40°. (d)—Photo of the inward bending of the CuI/PET sensor to r of 1.5 cm and φ of ~170°. (e)—Photo of the inward bending of the CuI/PET sensor to r of 0.25 cm and φ of ~180°.
Figure 12 shows the effect of bending the CuI/PET sensor in the direction perpendicular to the Au80Pd20 thin-film contacts on its resistance. Figure 12a, with the diagram on the top and the red line on the graph, shows a significant increase in (Rbent − R0)/R0 for the outward bending of the CuI/PET sensor with small radii of curvature r from 3 cm to 0.5 cm due to the occurrence of large tensile strains in CuI during such bending. The diagram on the bottom of Figure 12a shows the inward bending of the CuI/PET sensor in the direction perpendicular to the thin-film contacts. For a relatively small amount of inward bending from the unbent state to an r of ~1.5 cm, the blue line on the graph demonstrates a decrease in the sensor resistance due to the compression of the nanostructured CuI film during its compaction with an increase in the contact area between the copper iodide nanoparticles within this sensing layer. This is similar to what is described in Figure 10 for small inward compressive strains of the CuI/PET sensor in the direction along the thin-film strip contacts. Photos in Figure 12b,c illustrate such bends. However, large inward compressive strains in CuI for small r in the range of 1.5–0.2 cm, which are illustrated by the photos in Figure 12d,e, lead to an increase in Rbent and, thus, to positive values of (Rbent − R0)/R0.
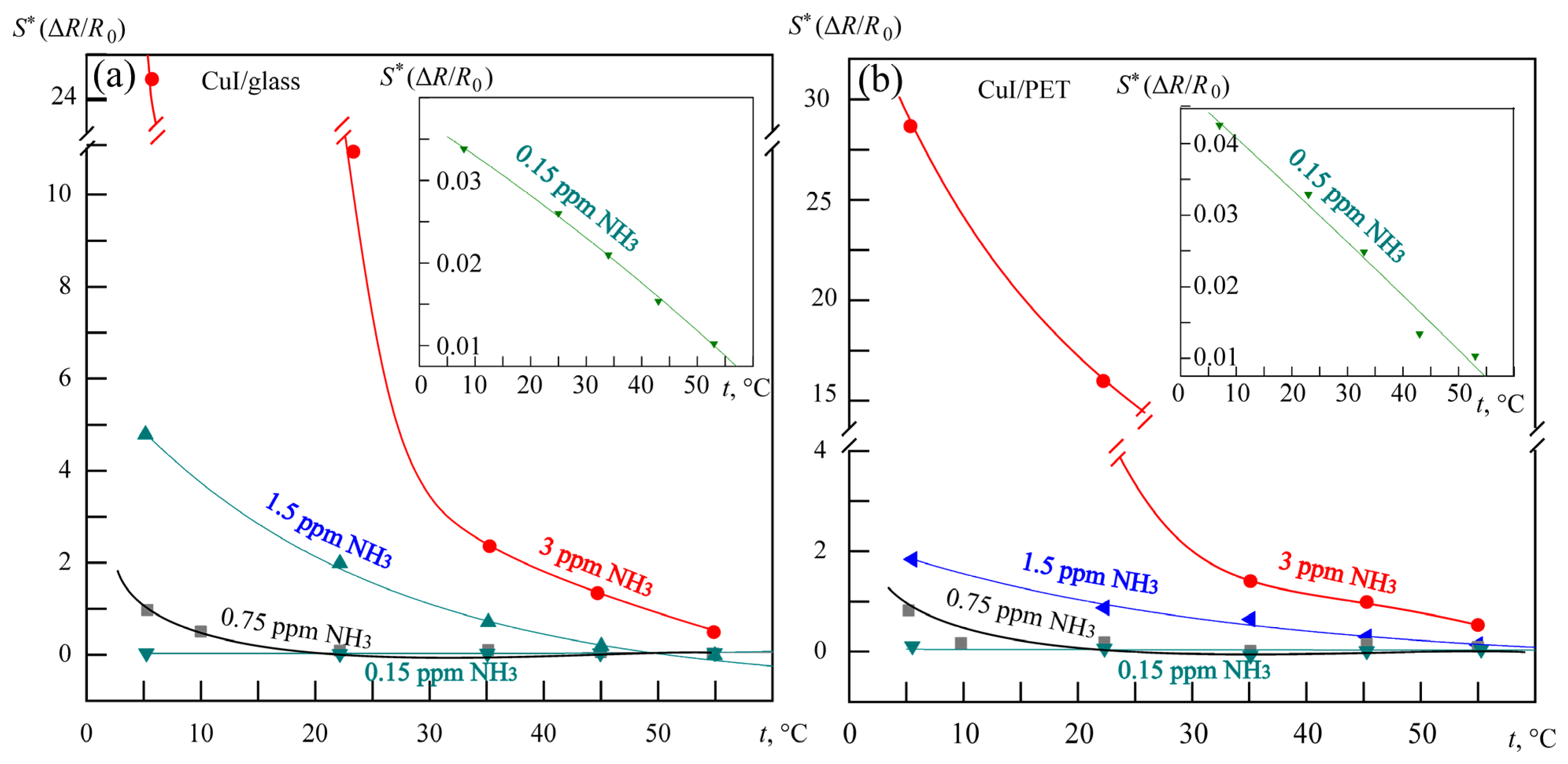
As shown in Figure 13, the CuI/glass and CuI/PET sensors have good long-term stability and recoverability at a high relative humidity of 90%. Moreover, the CuI/PET sensor showed excellent flexibility and stability due to the high adhesion of the nanostructured CuI film to the flexible PET substrate, which has good mechanical properties according to [14]. At the end of the bending strain test of the CuI/PET sensor, its resistance returned to the original R0 value. In addition, the performance of the sensor was slightly affected by repeated bending. According to the ANOVA analysis with the standard one-way regression test with a significance value of p < 0.05, after 1000 bending cycles for 45 days, the response changes remained in a reasonable range of 3%, indicating a reliable performance over time and the reproducibility of ammonia analysis.
Figure 13.
Responses of CuI/glass (a) and CuI/PET (b) sensors to 3 ppm NH3 at 5 °C and 90% relative humidity during a long-term stability test. The CuI/PET sensor was additionally bent in different directions with bending angles up to 180° and curvature radii up to 0.25 cm.
4. Discussion
This work presents chemiresistive ammonia gas sensors with a low limit of detection of 0.15 ppm for use in healthcare and for the early detection of the spoilage of protein-rich foods at room temperature or at 5 °C in a refrigerator. The functional material of the sensors is a hydrophobic nanostructured film of biocompatible p-type semiconductor copper iodide with the effect of increasing resistance under the influence of gas-phase electron donors. CuI films were deposited from aqueous solutions onto rigid glass and flexible polyethylene terephthalate substrates using the Successive Ionic Layer Adsorption and Reaction method to fabricate CuI/glass and CuI/PET gas sensors, respectively. A nanoscale morphology, excess iodine and sulfur impurities in the copper iodide film composition were demonstrated independently of the substrate used. At a thickness of 1 μm, the copper iodide film has a zinc-blend γ-CuI crystal structure and a grain size of about 34 nm. The optical band gap of about 2.95 eV corresponds to that of nanostructured copper iodide layers. An insignificant reaction to the presence of ethanol, acetone and water vapor in the air was experimentally confirmed, taking into account high humidity and the presence of these vapors in breathing and food storage environments. The resistance of the developed CuI/glass and CuI/PET gas sensors increased by no more than 1.15 times in the presence of high concentrations of interfering vapors, such as 120 ppm ethanol, 120 ppm acetone and 12 ppm water and did not depend on the operating temperature in the range of 5–55 °C. At the same time, the high sensitivity of both sensors to NH3 has been experimentally proven, which is explained by the formation of a thermodynamically stable [Cu(NH3)2]+ complex under low-temperature conditions. This mechanism of selective high sensitivity to ammonia has been confirmed by studies of the dependence of the increase in the sensor resistance on the temperature after introducing only 0.15–3 ppm of ammonia into the test chamber. At an operating temperature of 5 °C, the resistance of the sensors in the presence of 3 ppm NH3 increased by 25–29 times; at a temperature of 22 °C, their sensitivity to 3 ppm ammonia was 11–16 and decreased with a further increase in temperature. The growth of the resistance of the sensors when responding to 100% relative humidity was in the range of 1.06–1.3 times, which confirmed their moisture-independent gas-sensitive characteristics. Both developed ammonia sensors have fast response–recovery with a response time of no more than 250 s and a recovery time of less than 100 s, as well as excellent reversibility. The performance of the CuI/glass and CuI/PET gas sensors is well maintained after long-term stability tests for 45 days. Even after repeated 1000 bends of the flexible CuI/PET gas sensor in different directions with bending angles up to 180° and curvature radii up to 0.25 cm, the response changes remained in a reasonable range of 3%, indicating a reliable performance over time and the reproducibility of the ammonia analysis. All of the above confirms the progress in the development of low-temperature, highly sensitive and selective ammonia sensors based on nanostructured copper iodide layers and the prospects of their use for detecting ammonia in exhaled air and during the storage of protein-rich foods.
5. Conclusions
The highly sensitive and selective ammonia sensors based on thin nanostructured copper iodide layers developed in this work are simple, biocompatible, low-cost, and do not require heating since they operate at room temperature or lower. Other advantages include a fast response–recovery speed, no physiological toxicity and the ability to operate under high-humidity conditions. It was experimentally proven that the responses to 3 ppm ammonia in air in the form of a relative resistance change were 24.5 for the CuI/glass gas sensor and 28 for the CuI/PET gas sensor, while the response–recovery time was short and ranged from 50 s/10 s to 70 s/210 s. In addition, the flexible gas sensor with a nanostructured copper iodide film deposited on a polyethylene terephthalate substrate has a well-preserved performance even after repeated bending in long-term stability tests. Therefore, it can maintain the ammonia detection efficiency under uncontrolled movements to be used as a wearable electronic device attached to clothing or curved surfaces.
Author Contributions
Conceptualization, N.P.K. and S.I.P.; methodology, K.A.; validation, M.F., D.F., Y.M.S. and A.L.K.; formal analysis, S.V.D.; investigation, V.M.S.; resources, M.F.; data curation, S.I.P.; writing—original draft preparation, N.P.K.; writing—review and editing, D.F., Y.M.S. and A.L.K.; visualization, K.A.; supervision, S.I.P.; project administration, S.I.P.; funding acquisition, S.I.P. All authors have read and agreed to the published version of the manuscript.
Funding
The work was supported by the Ministry of Education and Science of Ukraine and within the MSCA4Ukraine project funded by the European Union. Views and opinions expressed are, however, those of the author(s) only and do not necessarily reflect the views of the European Union. Neither the European Union, nor the MSCA4Ukraine Consortium as a whole or individual member institutions of the MSCA4Ukraine Consortium can be held responsible for them.
Institutional Review Board Statement
Not applicable.
Data Availability Statement
The data are available from the author for correspondence upon reasonable request.
Conflicts of Interest
The authors declare no conflicts of interest.
References
- Lawaniya, S.D.; Kumar, S.; Yu, Y.; Awasthi, K. Nitrogen-doped carbon nano-onions/polypyrrole nanocomposite based low-cost flexible sensor for room temperature ammonia detection. Sci. Rep. 2024, 14, 7904. [Google Scholar] [CrossRef] [PubMed]
- Zhu, C.; Zhou, T.; Xia, H.; Zhang, T. Flexible room-temperature ammonia gas sensors based on PANI-MWCNTs/PDMS film for breathing analysis and food safety. Nanomaterials 2023, 13, 1158. [Google Scholar] [CrossRef] [PubMed]
- Luo, J.; Zhu, Z.; Lv, W.; Wu, J.; Yang, J.; Zeng, M.; Hu, N.; Su, Y.; Liu, R.; Yang, Z. E-nose system based on fourier series for gases identification and concentration estimation from food spoilage. IEEE Sens. J. 2023, 23, 3342–3351. [Google Scholar] [CrossRef]
- Matsuguchi, M.; Horio, K.; Uchida, A.; Kakunaka, R.; Shiba, S. A flexible ammonia gas sensor based on a grafted polyaniline grown on a polyethylene terephthalate film. Sensors 2024, 24, 3695. [Google Scholar] [CrossRef] [PubMed]
- Li, H.-Y.; Lee, C.-S.; Kim, D.H.; Lee, J.-H. Flexible room-temperature NH3 sensor for ultrasensitive, selective, and humidity-independent gas detection. ACS Appl. Mater. Interfaces 2018, 10, 27858–27867. [Google Scholar] [CrossRef]
- Nijkoops, A.; Ciocca, M.; Krik, S.; Douaki, A.; Gurusekaran, A.; Vasquez, S.; Petrelli, M.; Angeli, M.A.C.; Petti, L.; Lugli, P. Flexible and printed chemiresistive ammonia gas sensors based on carbon nanotube and conjugated polymers: A comparison of response and recovery performance. IEEE Sens. Lett. 2023, 7, 1–4. [Google Scholar] [CrossRef]
- Ren, Z.; Shi, Y.; Song, T.; Wang, T.; Tang, B.; Niu, H.; Yu, X. Flexible low-temperature ammonia gas sensor based on reduced graphene oxide and molybdenum disulfide. Chemosensors 2021, 9, 345. [Google Scholar] [CrossRef]
- Zhuang, Y.; Wang, X.; Lai, P.; Li, J.; Chen, L.; Lin, Y.; Wang, F. Wireless flexible system for highly sensitive ammonia detection based on polyaniline/carbon nanotubes. Biosensors 2024, 14, 191. [Google Scholar] [CrossRef]
- Cai, J.; Zhang, C.; Khan, A.; Liang, C.; Li, W.-D. Highly transparent and flexible polyaniline mesh sensor for chemiresistive sensing of ammonia gas. RSC Adv. 2018, 8, 5312–5320. [Google Scholar] [CrossRef]
- Tian, X.; Cui, X.; Yao, B.; Wang, S.; Li, H.; Chen, T.; Xiao, X.; Wang, Y. Ultrasensitive room-temperature flexible ammonia gas sensor based on Au-functionalized polypyrrole wrapped enriched edge sulfur vacancies MoS2 nanosheets. Sens. Actuators B. Chem. 2023, 395, 134449. [Google Scholar] [CrossRef]
- Aydas, B.; Atılgan, A.; Ajjaq, A.; Acar, S.; ЁOktem, M.F.; Yildiz, A. Flexible NH3 gas sensors based on ZnO nanostructures deposited on kevlar substrates via hydrothermal method. Ceram. Int. 2024, 50, 32477–32489. [Google Scholar] [CrossRef]
- Navale, Y.H.; Navale, S.T.; Galluzzi, M.; Stadler, F.J.; Debnath, A.K.; Ramgir, N.S.; Gadkari, S.C.; Gupta, S.K.; Aswal, D.K.; Patil, V.B. Rapid synthesis strategy of CuO nanocubes for sensitive and selective detection of NO2. J. Alloys Compd. 2017, 708, 456–463. [Google Scholar] [CrossRef]
- Das, S.; Pal, M. Review—Non-invasive monitoring of human health by exhaled breath analysis: A comprehensive review. J. Electrochem. Soc. 2020, 167, 037562. [Google Scholar] [CrossRef]
- Zhao, C.; Wang, P.; Niu, G.; Luo, D.; Wang, Q.; Wang, F. Rapid and efficient detection of NH3 at room temperature using CuO/WS2 nanohybrids. IEEE Sens. J. 2022, 22, 12539–12546. [Google Scholar] [CrossRef]
- Leung, Y.H.; Yung, M.M.; Ng, A.M.; Ma, A.P.; Wong, S.W.; Chan, C.M.; Ng, Y.H.; Djurišić, A.B.; Guo, M.; Wong, M.T.; et al. Toxicity of CeO2 nanoparticles—The effect of nanoparticle properties. J Photochem Photobiol B. Biol. 2015, 145, 48–59. [Google Scholar] [CrossRef] [PubMed]
- Marberger, A.; Petrov, A.W.; Steiger, P.; Elsener, M.; Kröcher, O.; Nachtegaal, M.; Ferri, D. Time-resolved copper speciation during selective catalytic reduction of NO on Cu-SSZ-13. Nat. Catal. 2018, 1, 221–227. [Google Scholar] [CrossRef]
- Chen, L.; Falsig, H.; Janssens, T.V.W.; Grönbeck, H. Activation of oxygen on (NH3–Cu–NH3)+ in NH3-SCR over Cu-CHA. J. Catal. 2018, 358, 179–186. [Google Scholar] [CrossRef]
- Wang, X.; Chen, L.; Vennestrøm, P.N.R.; Janssens, T.V.W.; Jansson, J.; Grönbeck, H.; Skoglundh, M. Direct measurement of enthalpy and entropy changes in NH3 promoted O2 activation over Cu-CHA at low temperature. ChemCatChem 2021, 13, 2577–2582. [Google Scholar] [CrossRef]
- Klochko, N.P.; Barbash, V.A.; Kopach, V.R.; Petrushenko, S.I.; Shepotko, Y.M.; Yashchenko, O.V.; Fijalkowski, M.; Adach, K.I.; Dukarov, S.V.; Sukhov, V.M.; et al. Composite fabric with nanocellulose impregnated cotton for eco-friendly thermoelectric textile. Cellulose 2024, 31, 5947–5961. [Google Scholar] [CrossRef]
- Jamshidi, M.; Gardner, J.M. Copper(I) iodide thin films: Deposition methods and hole-transporting performance. Molecules 2024, 29, 1723. [Google Scholar] [CrossRef]
- Darnige, P.; Thimont, Y.; Presmanes, L.; Barnabé, A. Insights into stability, transport, and thermoelectric properties of transparent p-type copper iodide thin films. J. Mater. Chem. C 2023, 11, 630–644. [Google Scholar] [CrossRef]
- Mennito, A.S.; Schmidt, M.; Lane, A.; Kelly, A.; Sabatini, C.; Renne, W.; Evans, Z. Assessing the antimicrobial properties of copper-iodide doped adhesives in an in vitro caries model: A pilot study. Contemp Clin Dent 2022, 13, 118–124. [Google Scholar] [CrossRef] [PubMed]
- Patnaik, P. Handbook of Inorganic Chemicals; McGraw-Hill: New York, NY, USA, 2003; 1086p, ISBN 0-07-049439-8. [Google Scholar]
- Yang, X.; Ling, Q.; Lin, Y.; Lv, Y.; Xi, J.; Fu, L.; Chen, F.; Zhang, R.; Zhao, S. Preparation and ammonia sensing of copper iodide nanomaterials combined with copper iodide-isopropanolamine complexes. ChemistrySelect 2024, 9, e202402808. [Google Scholar] [CrossRef]
- Petrushenko, S.I.; Fijalkowski, M.; Kopach, V.R.; Shepotko, Y.M.; Adach, K.; Dukarov, S.V.; Sukhov, V.M.; Fedonenko, A.; Khrypunova, A.L.; Klochko, N.P. Carbon fabric coated with nanostructured zinc oxide layers for use in triboelectric self-powered touch sensors. J. Mater. Sci. Mater. Electron. 2024, 35, 414–420. [Google Scholar] [CrossRef]
- Ungureşan, M.L.; Niac, G. Composition of the intermediate of the fast interaction between copper(II) and thiosulfate ions in aqueous solution. Rev. Roum. Chim. 2007, 52, 481–485. Available online: https://api.semanticscholar.org/CorpusID:201079700 (accessed on 16 June 2024).
- Dongol, M.; El-Denglawey, A.; Abd El Sadek, M.S.; Yahia, I.S. Thermal annealing effect on the structural and the optical properties of nano CdTe films. Optik 2015, 126, 1352–1357. [Google Scholar] [CrossRef]
- Haryński, Ł.; Olejnik, A.; Grochowska, K.; Siuzdak, K. A facile method for Tauc exponent and corresponding electronic transitions determination in semiconductors directly from UV–Vis spectroscopy data. Opt. Mater. 2022, 127, 112205. [Google Scholar] [CrossRef]
- Patel, M.; Chavda, A.; Mukhopadhyay, I.; Kim, J.; Ray, A. Nanostructured SnS with inherent anisotropic optical properties for high photoactivity. Nanoscale 2016, 8, 2293–2303. [Google Scholar] [CrossRef] [PubMed]
- Li, J.; Wang, R.; Zhang, D.; Su, Z.; Li, H.; Yan, Y. Copper iodide (CuI) coating as a self-cleaning adsorbent for highly efficient dye removal. J. Alloys Compd. 2019, 774, 191–200. [Google Scholar] [CrossRef]
- Stralka, T.; Bar, M.; Schöppach, F.; Selle, S.; Yang, C.; von Wenckstern, H.; Grundmann, M. Grain and grain boundary conduction channels in copper iodide thin films. Phys. Status Solidi (A) 2023, 220, 2200883. [Google Scholar] [CrossRef]
- Grundmann, M.; Schein, F.-L.; Lorenz, M.; Böntgen, T.; Lenzner, J.; von Wenckstern, H. Cuprous iodide: A p-type transparent semiconductor, history, and novel applications. Phys. Status Solidi (A) 2013, 210, 1671–1703. [Google Scholar] [CrossRef]
- Zhang, Y.; Liu, L.; Wang, Z.; Yang, Y.; Xing, F. Light-assisted defects migration in cuprous iodide (CuI). J. Alloys Compd. 2022, 900, 163456. [Google Scholar] [CrossRef]
- Tsay, C.-Y.; Chen, Y.-C.; Tsai, H.-M.; Sittimart, P.; Yoshitake, T. The role of Zn substitution in improving the electrical properties of cui thin films and optoelectronic performance of CuI MSM photodetectors. Materials 2022, 15, 8145. [Google Scholar] [CrossRef] [PubMed]
- Xue, R.; Gao, G.; Yang, L.; Xu, L.; Zhang, Y.; Zhu, J. The impact of thickness-related grain boundary migration on hole concentration and mobility of p-type transparent conducting CuI films. RSC Adv. 2024, 14, 9072–9079. [Google Scholar] [CrossRef] [PubMed]
- Mirza, A.S.; Pols, M.; Soltanpoor, W.; Tao, S.; Brocks, G.H.L.A.; Morales-Masis, M. The role of sulfur in sulfur-doped copper(I) iodide p-type transparent conductors. Matter 2023, 6, 4306–4320. [Google Scholar] [CrossRef]
- Yang, Y.; Liu, S.; Kimura, K. Synthesis of well-dispersed CuI nanoparticles from an available solution precursor. Chem. Lett. 2005, 34, 1158–1159. [Google Scholar] [CrossRef]
- Ali, B.T.I.; Widiastuti, N.; Kusumawati, Y.; Ivansyah, A.L.; Jaafar, J. Solvent selection in membrane preparation from polyethylene terephthalate plastic waste: Computational and experimental study. Mater. Res. Express 2022, 9, 125302. [Google Scholar] [CrossRef]
- Maity, A.; Raychaudhuri, A.K.; Ghosh, B. High sensitivity NH3 gas sensor with electrical readout made on paper with perovskite halide as sensor material. Sci. Rep. 2019, 9, 7777. [Google Scholar] [CrossRef] [PubMed]
- Rath, R.J.; Herrington, J.O.; Adeel, M.; Güder, F.; Dehghani, F.; Farajikhah, S. Ammonia detection: A pathway towards potential point-of-care diagnostics. Biosens. Bioelectron. 2024, 251, 116100. [Google Scholar] [CrossRef] [PubMed]
Disclaimer/Publisher’s Note: The statements, opinions and data contained in all publications are solely those of the individual author(s) and contributor(s) and not of MDPI and/or the editor(s). MDPI and/or the editor(s) disclaim responsibility for any injury to people or property resulting from any ideas, methods, instructions or products referred to in the content. |
© 2025 by the authors. Licensee MDPI, Basel, Switzerland. This article is an open access article distributed under the terms and conditions of the Creative Commons Attribution (CC BY) license (https://creativecommons.org/licenses/by/4.0/).












