Development of a Paper-Based Electrochemical Immunosensor for Cardiac Troponin I Determination Using Gold Nanoparticle-Modified Screen-Printed Electrodes
Abstract
1. Introduction
2. Materials and Methods
2.1. Reagents
2.2. Immunosensor Development
2.3. Atomic Force Microscopy (AFM)
2.4. Optimization Studies
2.5. Analytical Curve
2.6. Selectivity, Reproducibility, and Stability of the Immunosensor
2.7. Application of the Immunosensor in Blood Serum and Saliva Samples
3. Results
3.1. Electrochemical Behavior of the Immunosensor

Optimization Studies
3.2. Atomic Force Microscopy of the Immunosensor
3.3. Analytical Curve
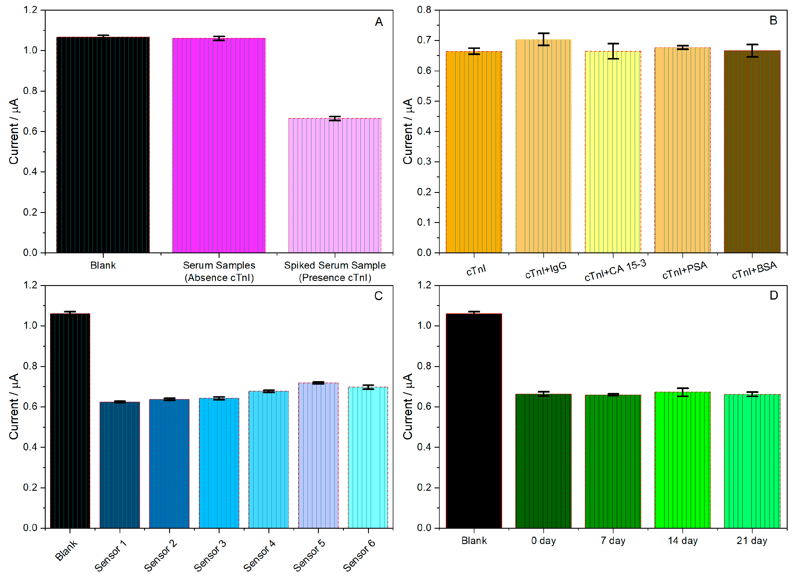
3.4. Specificity, Reproducibility, and Stability of the Immunosensor

3.5. Application in Blood and Saliva Samples
4. Conclusions
Supplementary Materials
Author Contributions
Funding
Institutional Review Board Statement
Informed Consent Statement
Data Availability Statement
Acknowledgments
Conflicts of Interest
Abbreviations
| CDV | Cardiovascular Diseases |
| AMI | Acute Myocardial Infarction |
| BNP | B-type Natriuretic Peptide |
| CK-MB | Creatine Kinase MB |
| SERS | Surface-enhanced Raman Scattering |
| LFAS | Lateral Flow Assays |
| cTnI | Troponin I |
| AuNP | Gold Nanoparticles |
| NaCl | Sodium Chloride |
| BSA | Bovine Serum Albumin |
| Ab | Antibody |
| SPE | Screen Printed Electrode |
| PBS | Phosphate Buffer |
| AFM | Atomic Force Microscopy |
| LOD | Limits of Detection |
| LOQ | Limits of Quantification |
References
- Negahdary, M. Aptamers in nanostructure-based electrochemical biosensors for cardiac biomarkers and cancer biomarkers: A review. Biosens. Bioelectron. 2020, 152, 112018. [Google Scholar] [CrossRef] [PubMed]
- Cardoso, A.G.; Ahmed, S.R.; Keshavarz-Motamed, Z.; Srinivasan, S.; Rajabzadeh, A.R. Recent advancements of nanomodified electrodes-towards Point-of-Care detection of cardiac biomarkers. Bioelectrochemistry 2023, 152, 108440. [Google Scholar] [CrossRef]
- Han, K.; Li, G.; Tian, L.; Li, L.; Shi, Y.; Huang, T.; Li, Y.; Xu, Q. Multifunctional peptide-oligonucleotide conjugate promoted sensitive electrochemical biosensing of cardiac troponin I. Biochem. Eng. J. 2021, 174, 108104. [Google Scholar] [CrossRef]
- Minopoli, A.; Della Ventura, B.; Lenyk, B.; Gentile, F.; Tanner, J.A.; Offenhäusser, A.; Mayer, D.; Velotta, R. Ultrasensitive antibody-aptamer plasmonic biosensor for malaria biomarker detection in whole blood. Nat. Commun. 2020, 11, 6134. [Google Scholar] [CrossRef]
- Lim, S.H.; Sung, Y.J.; Jo, N.; Lee, N.Y.; Kim, K.S.; Lee, D.Y.; Kim, N.S.; Lee, J.; Byun, J.Y.; Shin, Y.B.; et al. Nanoplasmonic immunosensor for the detection of SCG2, a candidate serum biomarker for the early diagnosis of neurodevelopmental disorder. Sci. Rep. 2021, 11, 22764. [Google Scholar] [CrossRef]
- Lin, L.P.; Tham, S.Y.; Loh, H.S.; Tan, M.T.T. Biocompatible graphene-zirconia nanocomposite as a cyto-safe immunosensor for the rapid detection of carcinoembryonic antigen. Sci. Rep. 2021, 11, 22536. [Google Scholar] [CrossRef]
- Di Bartolomeo, A.; Iemmo, L.; Urban, F.; Palomba, M.; Carotenuto, G.; Longo, A.; Sorrentino, A.; Giubileo, F.; Barucca, G.; Rovere, M.; et al. Graphite platelet films deposited by spray technique on low density polyethylene substrates. Mater. Today Proc. 2020, 20, 87–90. [Google Scholar] [CrossRef]
- Alam, M.A. Graphene based electrochemical biosensors for the detection of cardiac biomarkers. Biosens. Bioelectron. X 2024, 20, 100515. [Google Scholar] [CrossRef]
- Tang, L.; Yang, J.; Wang, Y.; Deng, R. Recent Advances in Cardiovascular Disease Biosensors and Monitoring Technologies. ACS Sens. 2023, 8, 956–973. [Google Scholar] [CrossRef]
- Negahdary, M.; Sharma, A.; Anthopoulos, T.D.; Angnes, L. Recent advances in electrochemical nanobiosensors for cardiac biomarkers. TrAC Trends Anal. Chem. 2023, 164, 117104. [Google Scholar] [CrossRef]
- Dhara, K.; Mahapatra, D.R. Review on electrochemical sensing strategies for C-reactive protein and cardiac troponin I detection. Microchem. J. 2020, 156, 104857. [Google Scholar] [CrossRef]
- Arumugasamy, S.K.; Chellasamy, G.; Yun, K.; Hyun, J. Bio-quantum dots for electrochemical sensing of cardiac biomarkers of acute myocardial infarction. J. Ind. Eng. Chem. 2024, 129, 488–498. [Google Scholar] [CrossRef]
- Asl, S.K.; Rahimzadegan, M. The recent progress in the early diagnosis of acute myocardial infarction based on myoglobin biomarker: Nano-aptasensors approaches. J. Pharm. Biomed. Anal. 2022, 211, 114624. [Google Scholar] [CrossRef]
- Qin, X.; Li, D.; Qin, X.; Chen, F.; Guo, H.; Gui, Y.; Zhao, J.; Jiang, L.; Luo, D. Electrochemical detection of the cardiac biomarker cardiac troponin I. View 2024, 5, 20240025. [Google Scholar] [CrossRef]
- Wei, J.; Mu, Y.; Song, D.; Fang, X.; Liu, X.; Bu, L.; Zhang, H.; Zhang, G.; Ding, J.; Wang, W.; et al. A novel sandwich immunosensing method for measuring cardiac troponin I in sera. Anal. Biochem. 2003, 321, 209–216. [Google Scholar] [CrossRef] [PubMed]
- Su, Y.; Xu, S.; Zhang, J.; Chen, X.; Jiang, L.-P.; Zheng, T.; Zhu, J.-J. Plasmon Near-Field Coupling of Bimetallic Nanostars and a Hierarchical Bimetallic SERS “Hot Field”: Toward Ultrasensitive Simultaneous Detection of Multiple Cardiorenal Syndrome Biomarkers. Anal. Chem. 2018, 19, 864–872. [Google Scholar] [CrossRef] [PubMed]
- Wu, W.-Y.; Bian, Z.-P.; Wang, W.; Zhu, J.-J. PDMS gold nanoparticle composite film-based silver enhanced colorimetric detection of cardiac troponin I. Sens. Actuators B Chem. 2010, 147, 298–303. [Google Scholar] [CrossRef]
- Cho, I.-H.; Paek, E.-H.; Kim, Y.-K.; Kim, J.-H.; Paek, S.-H. Chemiluminometric enzyme-linked immunosorbent assays (ELISA)-on-a-chip biosensor based on cross-flow chromatography. Anal. Chim. Acta 2009, 632, 247–255. [Google Scholar] [CrossRef]
- Li, F.; Guo, L.; Hu, Y.; Li, Z.; Liu, J.; He, J.; Cui, H. Multiplexed chemiluminescence determination of three acute myocardial infarction biomarkers based on microfluidic paper-based immunodevice dual amplified by multifunctionalized gold nanoparticles. Talanta 2020, 207, 120346. [Google Scholar] [CrossRef]
- Han, G.-R.; Gancharov, A.; Eryilmaz, M.; Joung, H.-A.; Ghosh, R.; Yim, G.; Chang, N.; Kim, M.; Ngo, K.; Veszpremi, M.; et al. Deep Learning-Enhanced Chemiluminescence Vertical Flow Assay for High-Sensitivity Cardiac Troponin I Testing. Small 2025, 21, 2411585. [Google Scholar] [CrossRef]
- Han, G.-R.; Ki, H.; Kim, M.-G. Automated, Universal, and Mass-Producible Paper-Based Lateral Flow Biosensing Platform for High-Performance Point-of-Care Testing. ACS Appl. Mater. Interfaces 2020, 8, 1885–1894. [Google Scholar] [CrossRef] [PubMed]
- Natarajan, S.; Jayaraj, J.; Prazeres, D.M.F. A Cellulose Paper-Based Fluorescent Lateral Flow Immunoassay for the Quantitative Detection of Cardiac Troponin I. Biosensors 2021, 11, 49. [Google Scholar] [CrossRef] [PubMed]
- Dudala, S.; Dubey, S.K.; Javed, A.; Ganguly, A.; Goel, S.J. Electromicrofluidic device with integrated PDMS microchannel and laser-induced graphene electrochemical detection of cardiac biomarker in a point-of-care platform. Micromech. Microeng 2022, 32, 104001. [Google Scholar] [CrossRef]
- Gerdan, Z.; Saylan, Y.; Denizli, A. Biosensing Platforms for Cardiac Biomarker Detection. ACS Omega 2024, 9, 9946–9960. [Google Scholar] [CrossRef]
- Vasantham, S.V.; Alhans, R.; Singhal, C.; Nagabooshanam, S.; Nissar, S.; Basu, T.; Ray, S.C.; Wadhwa, S.; Narang, J.; Mathur, A. Paper based point of care immunosensor for the impedimetric detection of cardiac troponin I biomarker. Biomed. Microdevices 2020, 22, 6. [Google Scholar] [CrossRef]
- Fu, H.; Qin, Z.; Li, X.; Pan, Y.; Xu, H.; Pan, P.; Song, P.; Liu, X. Paper-Based All-in-One Origami Nanobiosensor for Point-of-Care Detection of Cardiac Protein Markers in Whole Blood. ACS Sens. 2023, 8, 3574–3584. [Google Scholar] [CrossRef]
- Wang, L.; Han, Y.; Wang, H.; Han, Y.; Liu, J.; Lu, G.; Yu, H. MXene-functionalized paper-based electrochemical immunosensor for label-free detection of cardiac troponin I. J. Semicond. 2021, 42, 092601. [Google Scholar] [CrossRef]
- Zhong, S.; Chen, L.; Shi, X.; Chen, G.; Sun, D.; Zhang, L. Recent advances in electrochemical aptasensors for detecting cardiac biomarkers: A review. Microchem. J. 2023, 193, 109063. [Google Scholar] [CrossRef]
- Vasudevan, M.; Tai, M.J.Y.; Perumal, V.; Gopinath, S.C.B.; Murthe, S.S.; Ovinis, M.; Mohamed, N.M.; Joshi, N. Highly sensitive and selective acute myocardial infarction detection using aptamer-tethered MoS2 nanoflower and screen-printed electrodes. Biotechnol. Appl. Biochem. 2021, 68, 1386–1395. [Google Scholar] [CrossRef]
- Carrasco, I.L.; Cuniberti, G.; Opitz, J.; Beshchasna, N. Evaluation of Transducer Elements Based on Different Material Configurations for Aptamer-Based Electrochemical Biosensors. Biosensors 2024, 14, 341. [Google Scholar] [CrossRef]
- Ahmadi, A.; Khoshfetrat, S.M.; Mirzaeizadeh, Z.; Kabiri, S.; Rezaie, J.; Omidfar, K. Electrochemical immunosensor for determination of cardiac troponin I using two-dimensional metal-organic framework/Fe3O4-COOH nanosheet composites loaded with thionine and pCTAB/DES modified electrode. Talanta 2022, 237, 122911. [Google Scholar] [CrossRef]
- Ma, J.; Feng, L.; Li, J.; Zhu, D.; Wang, L.; Su, S. Biological Recognition-Based Electrochemical Aptasensor for Point-of-Care Detection of cTnI. Biosensors 2023, 13, 746. [Google Scholar] [CrossRef] [PubMed]
- Devaraj, R.; Loganathan, A.K.; Krishnamoorthy, L. Development of an aptasensor for highly sensitive detection of cardiac troponin I using cobalt–nickel metal-organic framework (CoNi-MOF). Heliyon 2024, 10, e33238. [Google Scholar] [CrossRef] [PubMed]
- Vasudevan, M.; Tai, M.J.Y.; Perumal, V.; Gopinath, S.C.B.; Murthe, S.S.; Ovinis, M.; Muti Mohamed, N.; Joshi, N. Cellulose acetate-MoS2 nanopetal hybrid: A highly sensitive and selective electrochemical aptasensor of Troponin I for the early diagnosis of Acute Myocardial Infarction. J. Taiwan Inst. Chem. Eng. 2021, 118, 245–253. [Google Scholar] [CrossRef]
- Sun, B.; Bao, L.; Sun, Y.; Liu, J.; Wu, Y.; Li, H.; Yu, S.; Liu, Y.; Dang, Q.; Yang, L. Electrochemical immunosensor based on ferrocene derivatives amplified signal for detection of acute myocardial infarction warning biomarker-cTnI. Microchem. J. 2024, 199, 110057. [Google Scholar] [CrossRef]
- Pourali, A.; Rashidi, M.R.; Barar, J.; Pavon-Djavid, G.; Omidi, Y. Voltammetric biosensors for analytical detection of cardiac troponin biomarkers in acute myocardial infarction. TrAC Trends Anal. Chem. 2021, 134, 116123. [Google Scholar] [CrossRef]
- Wang, X.Y.; Zhang, F.; Zhang, C.; Zheng, L.R.; Yang, J. The Biomarkers for Acute Myocardial Infarction and Heart Failure. Biomed Res. Int. 2020, 2020, 2018035. [Google Scholar] [CrossRef]
- Marston, S.; Zamora, J.E. Troponin structure and function: A view of recent progress. J. Muscle Res. Cell Motil. 2020, 41, 71–89. [Google Scholar] [CrossRef]
- Reyes-Retana, J.A.; Duque-Ossa, L.C. Acute myocardial infarction biosensor: A review from bottom up. Curr. Probl. Cardiol. 2021, 46, 100739. [Google Scholar] [CrossRef]
- Mansuriya, B.D.; Altintas, Z. Enzyme-Free Electrochemical Nano-Immunosensor Based on Graphene Quantum Dots and Gold Nanoparticles for Cardiac Biomarker Determination. Nanomaterials 2021, 11, 578. [Google Scholar] [CrossRef]
- Gupta, A.; Sharma, S.K.; Sharma, A.L.; Deep, A. 2-Aminotrimesic Acid-Functionalized Graphene Oxide-Modified Screen-Printed Electrodes for Sensitive Electrochemical Detection of Cardiac Marker Troponin I. Phys. Status Solidi A 2021, 218, 2000700. [Google Scholar] [CrossRef]
- Eshlaghi, S.N.; Syedmoradi, L.; Amini, A.; Omidfar, K. A Label-Free Electrochemical Aptasensor Based on Screen Printed Carbon Electrodes With Gold Nanoparticles-Polypyrrole Composite for Detection of Cardiac Troponin I. IEEE Sens. J. 2023, 23, 3439–3445. [Google Scholar] [CrossRef]
- Oliveira, A.E.F.; Pereira, A.C. Development of a Simple and Cheap Conductive Graphite Ink. J. Electrochem. Soc. 2021, 168, 087508. [Google Scholar] [CrossRef]
- Oliveira, A.E.F.; Pereira, A.C.; de Resende, M.A.C.; Ferreira, L.F. Fabrication of a Simple and Cheap Screen-printedSilver/Silver Chloride (Ag/AgCl) Quasi-reference Electrode. Electroanalysis 2022, 34, 809–819. [Google Scholar] [CrossRef]
- Oliveira, A.E.F.; Pereira, A.C.; de Resende, M.A.C.; Ferreira, L.F. Gold Nanoparticles: A Didactic Step-by-Step of the Synthesis Using the Turkevich Method, Mechanisms, and Characterizations. Analytica 2023, 4, 250–263. [Google Scholar] [CrossRef]
- Gholami, M.D.; O’Mullane, A.P.; Sonar, P.; Ayoko, G.A.; Izake, E.L. Antibody coated conductive polymer for the electrochemical immunosensing of Human Cardiac Troponin I in blood plasma. Anal. Chim. Acta 2021, 1185, 339082. [Google Scholar] [CrossRef]
- Welch, N.G.; Scoble, J.A.; Muir, B.W.; Pigram, P.J. Orientation and characterization of immobilized antibodies for improved immunoassays (Review). Biointerphases 2017, 12, 02D301. [Google Scholar] [CrossRef]
- Al-Shami, A.; Oweis, R.J.; Al-Fandi, M.G. Developing an electrochemical immunosensor for early diagnosis of hepatocellular carcinoma. Sens. Rev. 2021, 41, 125–134. [Google Scholar] [CrossRef]
- Anuthum, S.; Wiratchan, S.; Semakul, N.; Jakmunee, J.; Ounnunkad, K. Signaling redox probe/DNA aptamer complexes on a new POP/2D WSe2 composite-based immunosensor towards the simultaneous detection of three-protein overexpression as an alternative severe SARS-COV-2 infection diagnosis. Sens. Actuators B Chem. 2024, 404, 135196. [Google Scholar] [CrossRef]
- Jo, H.; Her, J.; Lee, H.; Shim, Y.B.; Ban, C. Highly sensitive amperometric detection of cardiac troponin I using sandwich aptamers and screen-printed carbon electrodes. Talanta 2017, 165, 442–448. [Google Scholar] [CrossRef]
- Food and Drug Administration (FDA). M10 Bioanalytical Method Validation and Study Sample Analysis: Guidance for Industry. Available online: https://www.fda.gov/media/162903/download (accessed on 14 March 2025).
- Miller, C.S.; Foley, J.D.; Floriano, P.N.; Christodoulides, N.; Ebersole, J.L.; Campbell, C.L.; Bailey, A.L.; Rose, B.G.; Kinane, D.F.; Novak, M.J.; et al. Utility of salivary biomarkers for demonstrating acute myocardial infarction. J. Dent. Res. 2014, 93, 72S–79S. [Google Scholar] [CrossRef]
- Chekin, F.; Vasilescu, A.; Jijie, R.; Singh, S.K.; Kurungot, S.; Iancu, M.; Badea, G.; Boukherroub, R.; Szunerits, S. Sensitive electrochemical detection of cardiac troponin I in serum and saliva by nitrogen-doped porous reduced graphene oxide electrode. Sens. Actuators B Chem. 2018, 262, 180–187. [Google Scholar] [CrossRef]
- Kirbas, Z.O.; Bayraktar, B.; Aktas, E.O. Investigation of the relationship of cardiac troponin I and cortisol hormone levels with some variables in children: Relational screening model. Med. Sci. 2024, 13, 310–314. [Google Scholar] [CrossRef]
- Roia, W.; Gala, T.; Yoavb, N.; Amjada, A.S.; Omria, B.; Danaa, B.; Talia, Z.; Feigaa, N.Z.; Omerb, D.; Aaronb, P.; et al. Development of saliva-based cardiac troponin I point-of-care test using alpha-amylase depletion: A feasibility study. Coron. Artery Dis. 2023, 34, 351–355. [Google Scholar] [CrossRef]
- Westreich, R.; Neumann, Y.; Deutsch, O.; Krief, G.; Stiubea-Choen, R.; Zager, D. Development of saliva-based cTnI point-of-care test: A feasibility study. Eur. Heart J. 2020, 41, ehaa946-1693. [Google Scholar] [CrossRef]


| Step | Conditions | Optimized Condition |
|---|---|---|
| Incubation time anti-cTnI | 4, 6, and 8 hs | 6 hs |
| Incubation time BSA | 30, 60, and 90 min | 60 min |
| Incubation time cTnI | 30, 60, and 90 min | 60 min |
| BSA concentration | 0.5, 1.0, and 1.5 mg mL−1 | 1.0 mg mL−1 |
| Phosphate buffer pH | 6.00–8.50 | 7.00 |
| Sensor/Immunosensor | LOD (fg mL−1) | Linear Range (fg mL−1) | Reference |
|---|---|---|---|
| cTnI/MWCNT/μPAD | 5 × 104 | 5 × 104–5 × 107 | [25] |
| cTnI/E-µPAD | 40.0 | 1.00–1 × 108 | [26] |
| Anti-cTnI/f-MXene/SPE | 5.8 × 104 | 5 × 106–1 × 108 | [27] |
| cTnI/WSe2/POP/3SPCE | 2.4 × 10−8 | 0–5 × 10−5 | [49] |
| SPCE/AuNP/TTCA/Tro4/cTnI/Tro6 | 2.4 × 104 | 2.4 × 104–2.4 × 106 | [50] |
| SPE/AuNP/Anti-cTnI/BSA/cTnI | 9.83 | 10–80 | This work |
| Added Concentration (fg mL−1) | Concentration Found (fg mL−1) | RSD (%) | Recovery (%) |
|---|---|---|---|
| 10.0 | 10.5 | 0.90 | 105.0 |
| 30.0 | 31.7 | 0.40 | 105.9 |
| 50.0 | 51.4 | 0.03 | 102.8 |
| Added Concentration (fg mL−1) | Concentration Found (fg mL−1) | RSD (%) | Recovery (%) |
|---|---|---|---|
| 0.2 | 9.4 | 0.70 | - |
| 100.0 | 99.7 | 1.24 | 99.7 |
| 1000.0 | 320.0 | 1.15 | 32.0 |
Disclaimer/Publisher’s Note: The statements, opinions and data contained in all publications are solely those of the individual author(s) and contributor(s) and not of MDPI and/or the editor(s). MDPI and/or the editor(s) disclaim responsibility for any injury to people or property resulting from any ideas, methods, instructions or products referred to in the content. |
© 2025 by the authors. Licensee MDPI, Basel, Switzerland. This article is an open access article distributed under the terms and conditions of the Creative Commons Attribution (CC BY) license (https://creativecommons.org/licenses/by/4.0/).
Share and Cite
de Resende, M.A.C.; Oliveira, A.E.F.; Cândido, T.C.d.O.; da Silva, D.N.; da Trindade, S.O.D.; Ferreira, L.F.; Pereira, A.C. Development of a Paper-Based Electrochemical Immunosensor for Cardiac Troponin I Determination Using Gold Nanoparticle-Modified Screen-Printed Electrodes. Chemosensors 2025, 13, 383. https://doi.org/10.3390/chemosensors13110383
de Resende MAC, Oliveira AEF, Cândido TCdO, da Silva DN, da Trindade SOD, Ferreira LF, Pereira AC. Development of a Paper-Based Electrochemical Immunosensor for Cardiac Troponin I Determination Using Gold Nanoparticle-Modified Screen-Printed Electrodes. Chemosensors. 2025; 13(11):383. https://doi.org/10.3390/chemosensors13110383
Chicago/Turabian Stylede Resende, Mayra Asevedo Campos, Ana Elisa Ferreira Oliveira, Thaís Cristina de Oliveira Cândido, Daniela Nunes da Silva, Scarlat Ohanna Dávila da Trindade, Lucas Franco Ferreira, and Arnaldo César Pereira. 2025. "Development of a Paper-Based Electrochemical Immunosensor for Cardiac Troponin I Determination Using Gold Nanoparticle-Modified Screen-Printed Electrodes" Chemosensors 13, no. 11: 383. https://doi.org/10.3390/chemosensors13110383
APA Stylede Resende, M. A. C., Oliveira, A. E. F., Cândido, T. C. d. O., da Silva, D. N., da Trindade, S. O. D., Ferreira, L. F., & Pereira, A. C. (2025). Development of a Paper-Based Electrochemical Immunosensor for Cardiac Troponin I Determination Using Gold Nanoparticle-Modified Screen-Printed Electrodes. Chemosensors, 13(11), 383. https://doi.org/10.3390/chemosensors13110383

