Near-Infrared-Emitting Meso-Substituted Heptamethine Cyanine Dyes: From the Synthesis and Photophysics to Their Use in Bioimaging
Abstract
1. Introduction
2. Materials and Methods
2.1. Materials
2.2. Characterization
2.3. Synthesis
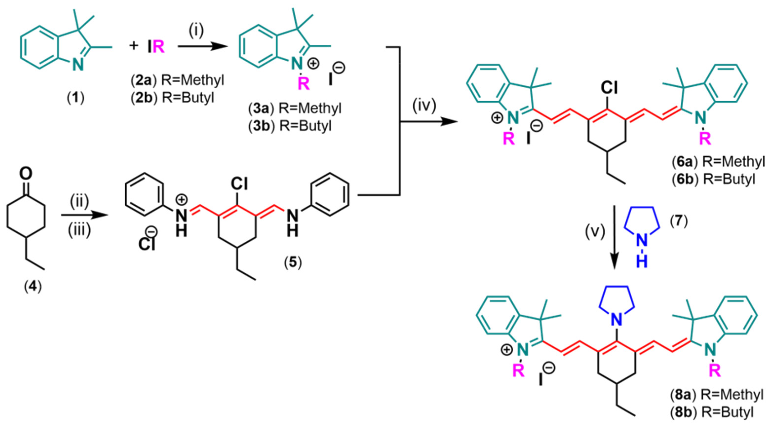
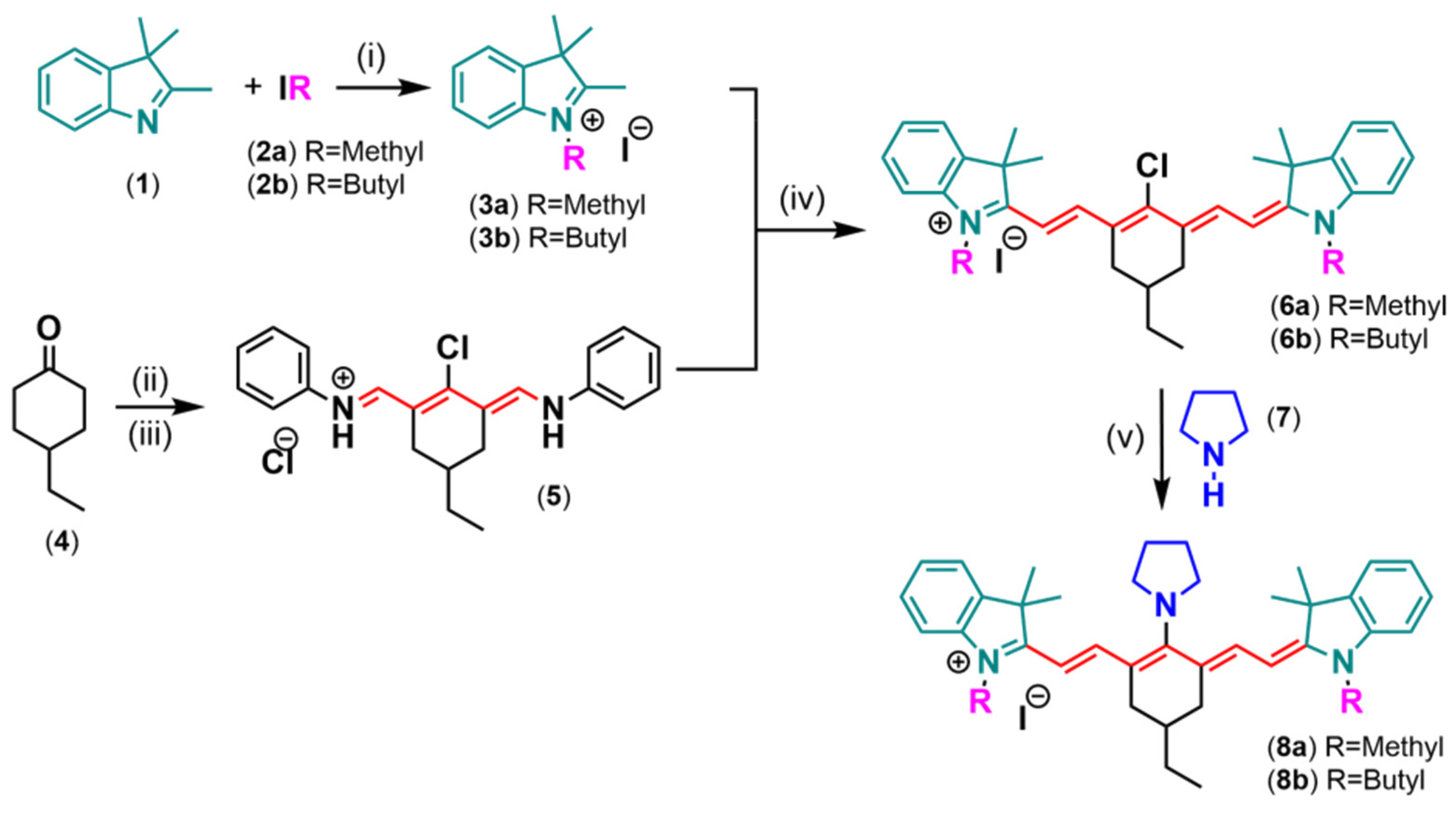
2.3.1. Indoles 3a-b
2.3.2. Pentamethine Salt 5 [28]
2.3.3. Heptamethine Cyanine Dyes 6a-b
2.3.4. Meso-Substituted Heptamethine Cyanine Dyes 8a-b
2.4. Theoretical Calculations
2.5. Cellular Stain
3. Results and Discussion
3.1. Synthesis
3.2. Photophysical Characterization
3.3. Theoretical Calculations
3.4. Bioimaging
4. Conclusions
Supplementary Materials
Author Contributions
Funding
Institutional Review Board Statement
Informed Consent Statement
Data Availability Statement
Acknowledgments
Conflicts of Interest
References
- Reichardt, C. Chiral polymethine dyes: A remarkable but forgotten conjugated π system. J. Phys. Org. Chem. 1995, 8, 761–773. [Google Scholar] [CrossRef]
- Panigrahi, M.; Dash, S.; Patel, S.; Mishra, B.K. Syntheses of cyanines: A review. Tetrahedron 2012, 68, 781–805. [Google Scholar] [CrossRef]
- Bricks, J.L.; Kachkovskii, A.D.; Slominskii, Y.L.; Gerasov, A.O.; Popov, S.V. Molecular design of near infrared polymethine dyes: A review. Dyes Pigm. 2015, 121, 238–255. [Google Scholar] [CrossRef]
- Shindy, H.A. Fundamentals in the chemistry of cyanine dyes: A review. Dyes Pigm. 2017, 145, 505–513. [Google Scholar] [CrossRef]
- Bouit, P.A.; Aronica, C.; Toupet, L.; Le Guennic, B.; Andraud, C.; Maury, O. Continuous symmetry breaking induced by ion pairing effect in heptamethine cyanine dyes: Beyond the cyanine limit. J. Am. Chem. Soc. 2010, 132, 4328–4335. [Google Scholar] [CrossRef]
- Strehmel, B.; Schmitz, C.; Kütahya, C.; Pang, Y.; Drewitz, A.; Mustroph, H. Photophysics and photochemistry of NIR absorbers derived from cyanines: Key to new technologies based on chemistry. Beilstein J. Org. Chem. 2020, 16, 415–444. [Google Scholar] [CrossRef]
- Štacková, L.; Muchová, E.; Russo, M.; Slavíček, P.; Štacko, P.; Klán, P. Deciphering the structure-property relations in substituted heptamethine cyanines. J. Org. Chem. 2020, 85, 9776–9790. [Google Scholar] [CrossRef]
- Usama, S.M.; Thompson, T.; Burgess, K. Productive manipulation of cyanine dye π-networks. Angew. Chem. Int. Ed. 2019, 8, 8974–8976. [Google Scholar] [CrossRef]
- Exner, R.M.; Cortezon-Tamarit, F.; Pascu, S.I. Explorations into the effect of meso-substituents in tricarbocyanine dyes: A path to diverse biomolecular probes and materials. Angew. Chem. Int. Ed. 2020, 60, 6230–6241. [Google Scholar] [CrossRef]
- Pascal, S.; Haefele, A.; Monnereau, C.; Charaf-Eddin, A.; Jacquemin, D.; Le Guennic, B.; Andraud, C.; Maury, O. Expanding the polymethine paradigm: Evidence for the contribution of a bis-dipolar electronic structure. J. Phys. Chem. A 2014, 118, 4038–4047. [Google Scholar] [CrossRef]
- Zhang, J.; Moemeni, M.; Yang, C.; Liang, F.; Peng, W.T.; Levine, B.G.; Lunt, R.R.; Borhan, B. General strategy for tuning the Stokes shifts of near infrared cyanine dyes. J. Mater. Chem. C 2020, 8, 16769–16773. [Google Scholar] [CrossRef]
- Sissa, C.; Painelli, A.; Terenziani, F.; Trotta, M.; Ragni, R. About the origin of the large Stokes shift in aminoalkyl substituted heptamethine cyanine dyes. Phys. Chem. Chem. Phys. 2020, 22, 129–135. [Google Scholar] [CrossRef]
- Gragg, J.L. Synthesis of Near-Infrared Heptamethine Cyanine Dyes. Ph.D. Thesis, Georgia State University, Atlanta, GA, USA, 2010. [Google Scholar]
- Gorka, A.P.; Nani, R.R.; Schnermann, M.J. Cyanine polyene reactivity: Scope and biomedical applications. Org. Biomol. Chem. 2015, 13, 7584–7598. [Google Scholar] [CrossRef] [PubMed]
- Dimer, L.M.Z.; Machado, V.G. Chromogenic and fluorogenic chemosensors for detection of anionic analites. Química Nova 2008, 31, 2134–2146. [Google Scholar] [CrossRef]
- Sun, W.; Guo, S.; Hu, C.; Fan, J.; Peng, X. Recent Development of chemosensors based on cyanine platforms. Chem. Rev. 2016, 116, 7768–7817. [Google Scholar] [CrossRef] [PubMed]
- Reichardt, C. Pyridinium-N-phenolate betaine dyes as empirical indicators of solvent polarity: Some new findings. Pure Appl. Chem. 2008, 80, 1415–1432. [Google Scholar] [CrossRef]
- Peng, X.; Song, F.; Lu, E.; Wang, Y.; Zhou, W.; Fan, J.; Gao, Y. Heptamethine cyanine dyes with a large Stokes shift and strong fluorescence: A paradigm for excited-state intramolecular charge transfer. J. Am. Chem. Soc. 2005, 127, 4170–4171. [Google Scholar] [CrossRef]
- Machado, V.G.; Nascimento, M.G.; Rezende, M.C. The halochromism of the 1-methyl-8-oxyquinolinium dye. Spectrosc. Lett. 1998, 31, 359–367. [Google Scholar] [CrossRef]
- Tada, E.B.; Novaki, L.P.; El Seoud, O.A. Solvatochromism in cationic micellar solutions: Effects of the molecular structures of the solvatochromic probe and the surfactant headgroup. Langmuir 2001, 17, 652–658. [Google Scholar] [CrossRef]
- Keum, S.R.; Roh, S.J.; Ahn, S.M.; Lim, S.S.; Kim, S.H.; Koh, K. Solvatochromic behavior of non-activated indolinobenzospiropyran 6-carboxylates in aqueous binary solvent mixtures. Part II. Dyes Pigm. 2007, 74, 343–347. [Google Scholar] [CrossRef]
- Medeiros, N.G.; Braga, C.A.; Câmara, V.C.; Duarte, R.C.; Rodembusch, F.S. Near-Infrared fluorophores based on heptamethine cyanine dyes: From their synthesis and photophysical properties to recent optical sensing and bioimaging applications. Asian J. Org. Chem. 2022, 11, 118–149. [Google Scholar] [CrossRef]
- Thomas, R.G.; Jeong, Y.Y. NIRF heptamethine cyanine dye nanocomplexes for multi modal theranosis of tumors. Chonnam Med. J. 2017, 53, 83–94. [Google Scholar] [CrossRef]
- Cosco, E.D.; Spearman, A.L.; Ramakrishnan, S.; Lingg, J.G.; Saccomano, M.; Pengshung, M.; Arús, B.A.; Wong, K.C.; Glasl, S.; Ntziachristos, V.; et al. Shortwave infrared polymethine fluorophores matched to excitation lasers enable non-invasive, multicolour in vivo imaging in real time. Nat. Chem. 2020, 12, 1123–1130. [Google Scholar] [CrossRef]
- Yang, X.; Shi, C.; Tong, R.; Qian, W.; Zhau, H.E.; Wang, R.; Zhu, G.; Cheng, J.; Yang, V.W.; Cheng, T.; et al. Near IR heptamethine cyanine dye-mediated cancer imaging. Clin. Cancer Res. 2010, 16, 2833–2844. [Google Scholar] [CrossRef]
- Myochin, T.; Kiyose, K.; Hanaoka, K.; Kojima, H.; Terai, T.; Nagano, T. Rational design of ratiometric near-infrared fluorescent pH probes with various pKa values, based on aminocyanine. J. Am. Chem. Soc. 2011, 133, 3401–3409. [Google Scholar] [CrossRef]
- Duarte, R.C.; Reimann, L.K.; Rodembusch, F.S.; Duarte, L.G.T.A. 1-Butyl-2,3,3-trimethylindol-1-ium iodide. IUCrData 2018, 3, x181130. [Google Scholar] [CrossRef]
- Menéndez, G.O.; Pichel, M.E.; Spagnuolo, C.C.; Jares-Erijman, E.A. NIR fluorescent biotinylated cyanine dye: Optical properties and combination with quantum dots as a potential sensing device. Photochem. Photobiol. Sci. 2013, 12, 236–240. [Google Scholar] [CrossRef]
- Neese, F.; Wennmohs, F.; Becker, U.; Riplinger, C. The ORCA quantum chemistry program package. J. Chem. Phys. 2020, 152, 224108. [Google Scholar] [CrossRef]
- Pracht, P.; Bohle, F.; Grimme, S. Automated exploration of the low-energy chemical space with fast quantum chemical methods. Phys. Chem. Chem. Phys. 2020, 22, 7169–7192. [Google Scholar] [CrossRef]
- Bannwarth, C.; Ehlert, S.; Grimme, S. GFN2-XTB—An accurate and broadly parametrized self-consistent tight-binding quantum chemical method with multipole electrostatics and density-dependent dispersion contributions. J. Chem. Theory Comput. 2019, 15, 1652–1671. [Google Scholar] [CrossRef]
- Brandenburg, J.G.; Bannwarth, C.; Hansen, A.; Grimme, S. B97-3c: A revised low-cost variant of the B97-D density functional method. J. Chem. Phys. 2018, 148, 064104. [Google Scholar] [CrossRef] [PubMed]
- Becke, A.D. Density-functional thermochemistry. V. Systematic optimization of exchange-correlation functionals. J. Chem. Phys. 1997, 107, 8554–8560. [Google Scholar] [CrossRef]
- Weigend, F.; Ahlrichs, R. Balanced basis sets of split valence, triple zeta valence and quadruple zeta valence quality for H to Rn: Design and assessment of accuracy. Phys. Chem. Chem. Phys. 2005, 7, 3297–3305. [Google Scholar] [CrossRef] [PubMed]
- Grimme, S.; Antony, J.; Ehrlich, S.; Krieg, H. A consistent and accurate ab initio parametrization of density functional dispersion correction (DFT-D) for the 94 elements H-Pu. J. Chem. Phys. 2010, 132, 154104. [Google Scholar] [CrossRef] [PubMed]
- Sure, R.; Grimme, S. Corrected small basis set Hartree-Fock method for large systems. J. Comput. Chem. 2013, 34, 1672–1685. [Google Scholar] [CrossRef]
- Cammi, R.; Mennucci, B.; Tomasi, J. Fast evaluation of geometries and properties of excited molecules in solution: A Tamm-Dancoff model with application to 4-dimethylaminobenzonitrile. J. Phys. Chem. A 2000, 104, 5631–5637. [Google Scholar] [CrossRef]
- Neese, F.; Schwabe, T.; Kossmann, S.; Schirmer, B.; Grimme, S. Assessment of orbital-optimized, spin-component scaled second-order many-body perturbation theory for thermochemistry and kinetics. J. Chem. Theory Comput. 2009, 5, 3060–3073. [Google Scholar] [CrossRef]
- Dost, T.L.; Gressel, M.T.; Henary, M. Synthesis and optical properties of pentamethine cyanine dyes with carboxylic acid moieties. Anal. Chem. Insights 2017, 12, 1–6. [Google Scholar] [CrossRef]
- Shi, Q.Q.; Sun, R.; Ge, F.J.; Xu, Q.F.; Li, N.J.; Lu, J.M. A comparative study of symmetrical and unsymmetrical trimethine cyanine dyes bearing benzoxazolyl and benzothiazolyl groups. Dyes Pigm. 2012, 93, 1506–1511. [Google Scholar] [CrossRef]
- Chapman, G.; Henary, M.; Patonay, G. The effect of varying short-chain alkyl substitution on the molar absorptivity and quantum yield of cyanine dyes. Anal. Chem. Insights 2011, 6, 29–36. [Google Scholar] [CrossRef]
- Shershov, V.E.; Spitsyn, M.A.; Kuznetsova, V.E.; Timofeev, E.N.; Ivashkina, O.A.; Abramov, I.S.; Nasedkina, T.V.; Zasedatelev, A.S.; Chudinov, A.V. Near-infrared heptamethine cyanine dyes. Synthesis, spectroscopic characterization, thermal properties and photostability. Dyes Pigm. 2013, 97, 353–360. [Google Scholar] [CrossRef]
- Owens, E.A.; Bruschi, N.; Tawney, J.G.; Henary, M. A microwave-assisted and environmentally benign approach to the synthesis of near-infrared fluorescent pentamethine cyanine dyes. Dyes Pigm. 2015, 113, 27–37. [Google Scholar] [CrossRef]
- Salon, J.; Wolinska, E.; Raszkiewicz, A.; Patonay, G.; Strekowski, L. Synthesis of benz[e]indolium heptamethine cyanines containing C-substituents at the central portion of the heptamethine moiety. J. Heterocycl. Chem. 2005, 42, 959–961. [Google Scholar] [CrossRef]
- Pascal, S.; Chi, S.H.; Perry, J.W.; Andraud, C.; Maury, O. Impact of ion-pairing effects on linear and nonlinear photophysical properties of polymethine dyes. ChemPhysChem 2020, 21, 2536–2542. [Google Scholar] [CrossRef]
- Strickler, S.J.; Berg, R.A. Relationship between absorption intensity and fluorescence lifetime of molecules. J. Chem. Phys. 1962, 37, 814–822. [Google Scholar] [CrossRef]
- Turro, N.J.; Scaiano, J.C.; Ramamurthy, V. Principles of Molecular Photochemistry: An Introduction, 1st ed.; University Science Book: Sausalito, CA, USA, 2008. [Google Scholar]
- Yao, Y.; Liang, Y.; Shrotriya, V.; Xiao, S.; Yu, L.; Yang, Y. Plastic near-infrared photodetectors utilizing low band gap polymer. Adv. Mater. 2007, 19, 3979–3983. [Google Scholar] [CrossRef]
- Qian, G.; Zhong, Z.; Luo, M.; Yu, D.; Zhang, Z.; Wang, Z.Y.; Ma, D. Simple and efficient near-infrared organic chromophores for light-emitting diodes with single electroluminescent emission above 1000 nm. Adv. Mater. 2009, 21, 111–116. [Google Scholar] [CrossRef]
- Shapiro, B.I. Molecular assemblies of polymethine dyes. Russ. Chem. Rev. 2006, 75, 433–456. [Google Scholar] [CrossRef]
- Lee, H.; Mason, J.C.; Achilefu, S. Synthesis and spectral properties of near-infrared aminophenyl-, hydroxyphenyl-, and phenyl-substituted heptamethinecyanines. J. Org. Chem. 2008, 3, 723–725. [Google Scholar] [CrossRef]
- Pydzińska, K.; Ziółek, M. Solar cells sensitized with near-infrared absorbing dye: Problems with sunlight conversion efficiency revealed in ultrafast laser spectroscopy studies. Dyes Pigm. 2015, 122, 272–279. [Google Scholar] [CrossRef]
- Arjona-Esteban, A.; Stolte, M.; Würthner, F. Conformational switching of π-conjugated junctions from merocyanine to cyanine states by solvent polarity. Angew. Chem. Int. Ed. 2016, 55, 2470–2473. [Google Scholar] [CrossRef]
- Egorov, V.V. Nature of the optical band shapes in polymethine dyes and H-aggregates: Dozy chaos and excitons. Comparison with dimers, H*- and J-aggregates. R. Soc. Open Sci. 2017, 4, 160550. [Google Scholar] [CrossRef]
- Bricks, J.L.; Slominskii, Y.L.; Panas, I.D.; Demchenko, A.P. Fluorescent J-aggregates of cyanine dyes: Basic research and applications review. Methods Appl. Fluoresc. 2018, 6, 012001. [Google Scholar] [CrossRef]
- Eisfeld, A.; Briggs, J. The shape of the J-band of pseudoisocyanine. Chem. Phys. Lett. 2007, 446, 354–358. [Google Scholar] [CrossRef]
- Würthner, F.; Kaiser, T.E.; Saha-Möller, C.R. J-aggregates: From serendipitous discovery to supramolecular engineering of functional dye materials. Angew. Chem. Int. Ed. 2011, 50, 3376–3410. [Google Scholar] [CrossRef]
- Rösch, U.; Yao, S.; Wortmann, R.; Würthner, F. Fluorescent H-aggregates of merocyanine dyes. Angew. Chem. Int. Ed. 2006, 45, 7026–7030. [Google Scholar] [CrossRef]
- El-Daly, S.A.; Asiri, A.M.; Alamry, K.A. Experimental determination of ground and excited state dipole moments of N,N-bis (2,5-di-tert-butylphenyl)-3,4:9,10-perylenebis (dicarboximide) (DBPI) a photostable laser dye. J. Fluoresc. 2014, 24, 1307–1311. [Google Scholar] [CrossRef]
- Lippert, E.; Lüder, W.; Moll, F.; Nägele, W.; Boos, H.; Prigge, H.; Seibold-Blankenstein, I. Umwandlung von elektronenanregungsenergie. Angew. Chem. 1961, 73, 695–706. [Google Scholar] [CrossRef]
- Dahiya, P.; Choudhury, S.D.; Maity, D.K.; Mukherjee, T.; Pal, H. Solvent polarity induced structural changes in 2,6-diamino-9,10-anthraquinone dye. Spectrochim. Acta A 2008, 69, 134–141. [Google Scholar] [CrossRef]
- Lakowicz, J.R. Principles of Fluorescence Spectroscopy, 3rd ed.; Springer: New York, NY, USA, 2006. [Google Scholar]
- Gündüz, M.G.; da Silva, C.B.; Zanotto, G.M.; Toldo, J.M.; Şimşek, R.; Şafak, C.; Gonçalves, P.F.B.; Rodembusch, F.S. Theoretical and experimental study of the ground and excited states of 1,4-dihydropyridine based hexahydroquinoline derivatives achieved by microwave irradiation. New J. Chem. 2017, 41, 11686–11694. [Google Scholar] [CrossRef]
- Breneman, C.M.; Wiberg, K.B. Determining atom-centered monopoles from molecular electrostatic potentials. The need for high sampling density in formamide conformational analysis. J. Comput. Chem. 1990, 11, 361–373. [Google Scholar] [CrossRef]
- Stowasser, R.; Hoffmann, R. What do the Kohn-Sham orbitals and eigenvalues mean? J. Am. Chem. Soc. 1999, 121, 3414–3420. [Google Scholar] [CrossRef]
- Tsuneda, T.; Song, J.W.; Suzuki, S.; Hirao, K. On Koopmans’ theorem in density functional theory. J. Chem. Phys. 2010, 133, 174101. [Google Scholar] [CrossRef]
- Harrison, J.F. On the role of the electron density difference in the interpretation of molecular properties. J. Chem. Phys. 2003, 119, 8763–8764. [Google Scholar] [CrossRef]
- Pipek, J.; Mezey, P.G. A fast intrinsic localization procedure applicable for ab initio and semiempirical linear combination of atomic orbital wave functions. J. Chem. Phys. 1989, 90, 4916–4926. [Google Scholar] [CrossRef]
- HØyvik, I.M.; Jansik, B.; JØrgensen, P. Pipek-Mezey localization of occupied and virtual orbitals. J. Comput. Chem. 2013, 34, 1456–1462. [Google Scholar] [CrossRef]
- Shi, C.; Wu, J.B.; Pan, D. Review on near-infrared heptamethine cyanine dyes as theranostic agents for tumor imaging, targeting, and photodynamic therapy. J. Biomed. Opt. 2016, 21, 050901. [Google Scholar] [CrossRef]
- Usama, S.M.; Thavornpradit, S.; Burgess, K. Optimized heptamethinecyanines for photodynamic therapy. ACS Appl. BioMater. 2018, 1, 1195–1205. [Google Scholar] [CrossRef]
- Lee, H.; Mason, J.C.; Achilefu, S. Heptamethine cyanine dyes with a robust C-C bond at the central position of the chromophore. J. Org. Chem. 2006, 71, 7862–7865. [Google Scholar] [CrossRef]
- Samanta, A.; Vendrell, M.; Das, R.; Chang, Y.T. Development of photostable near-infrared cyanine dyes. Chem. Commun. 2010, 46, 7406–7408. [Google Scholar] [CrossRef]











| Cyanine | Solvent | λabs | ε | fe | k | τ0 | Eg | λem | ΔλST |
|---|---|---|---|---|---|---|---|---|---|
| 6a | Ethyl acetate | 778 | 197,000 | 0.303 | 0.50 | 1.998 | 1.49 | 785 | 7/115 |
| Dichloromethane | 789 | 288,000 | 0.345 | 0.55 | 1.806 | 1.49 | 790 | 1/16 | |
| Methanol | 774 | 205,000 | 0.289 | 0.48 | 2.075 | 1.48 | 782 | 8/132 | |
| Acetonitrile | 775 | 225,000 | 0.329 | 0.55 | 1.826 | 1.50 | 787 | 12/197 | |
| 6b | Ethyl acetate | 783 | 189,000 | 0.249 | 0.41 | 2.465 | 1.48 | 784 | 1/16 |
| Dichloromethane | 789 | 206,000 | 0.217 | 0.35 | 2.864 | 1.48 | 793 | 4/64 | |
| Methanol | 780 | 365,000 | 0.445 | 0.73 | 1.367 | 1.48 | 784 | 4/65 | |
| Acetonitrile | 780 | 284,000 | 0.330 | 0.54 | 1.845 | 1.49 | 792 | 12/194 |
| Cyanine | Solvent | λabs | ε | fe | τ0 | |
|---|---|---|---|---|---|---|
| 8a | Dichloromethane | 602 | 47,400 | 0.578 | 1.60 | 0.627 |
| Ethanol | 578 | 41,900 | 0.622 | 1.86 | 0.537 | |
| Methanol | 572 | 42,900 | 0.578 | 1.77 | 0.566 | |
| Acetonitrile | 559 | 36,000 | 0.525 | 1.68 | 0.595 | |
| 8b | Dichloromethane | 611 | 65,300 | 0.728 | 1.95 | 0.513 |
| Ethanol | 587 | 55,600 | 0.753 | 2.19 | 0.458 | |
| Methanol | 581 | 43,000 | 0.618 | 1.83 | 0.546 | |
| Acetonitrile | 570 | 46,000 | 0.626 | 1.93 | 0.519 |
| Cyanine | Solvent | λexc (a) | LE | ICT | λexc (b) | LE | ICT | ΦFL | ||||
|---|---|---|---|---|---|---|---|---|---|---|---|---|
| λem | ΔλST | λem | ΔλST | λem | ΔλST | λem | ΔλST | |||||
| 8a | Dichloromethane | 602 | 666 | 1596 | 774 | 3691 | 712 | 731 | 365 | - | - | 0.25 |
| Ethanol | 578 | 647 | 1845 | 769 | 4297 | 708 | 735 | 519 | - | - | 0.16 | |
| Methanol | 572 | 624 | 1457 | 768 | 4462 | 703 | 736 | 638 | - | - | 0.32 | |
| Acetonitrile | 559 | 652 | 2552 | 768 | 4868 | 712 | 721 | 175 | - | - | 0.17 | |
| 8b | Dichloromethane | 611 | 660 | 1215 | 767 | 3329 | 715 | 727 | 231 | - | - | 0.27 |
| Ethanol | 587 | 654 | 1745 | 764 | 3947 | 714 | 729 | 288 | - | - | 0.25 | |
| Methanol | 581 | 647 | 1756 | 763 | 4106 | 713 | 732 | 364 | - | - | 0.32 | |
| Acetonitrile | 570 | 641 | 1943 | 763 | 4438 | 708 | 718 | 197 | - | - | 0.25 | |
Disclaimer/Publisher’s Note: The statements, opinions and data contained in all publications are solely those of the individual author(s) and contributor(s) and not of MDPI and/or the editor(s). MDPI and/or the editor(s) disclaim responsibility for any injury to people or property resulting from any ideas, methods, instructions or products referred to in the content. |
© 2023 by the authors. Licensee MDPI, Basel, Switzerland. This article is an open access article distributed under the terms and conditions of the Creative Commons Attribution (CC BY) license (https://creativecommons.org/licenses/by/4.0/).
Share and Cite
Reimann, L.K.; Fortes, D.d.S.; Santos, F.d.S.; Silva Junior, H.d.C.; Morás, A.M.; Moura, D.J.; Duarte, R.d.C.; Rodembusch, F.S. Near-Infrared-Emitting Meso-Substituted Heptamethine Cyanine Dyes: From the Synthesis and Photophysics to Their Use in Bioimaging. Chemosensors 2023, 11, 47. https://doi.org/10.3390/chemosensors11010047
Reimann LK, Fortes DdS, Santos FdS, Silva Junior HdC, Morás AM, Moura DJ, Duarte RdC, Rodembusch FS. Near-Infrared-Emitting Meso-Substituted Heptamethine Cyanine Dyes: From the Synthesis and Photophysics to Their Use in Bioimaging. Chemosensors. 2023; 11(1):47. https://doi.org/10.3390/chemosensors11010047
Chicago/Turabian StyleReimann, Louise Kommers, Daniela de Souza Fortes, Fabiano da Silveira Santos, Henrique de Castro Silva Junior, Ana Moira Morás, Dinara Jaqueline Moura, Rodrigo da Costa Duarte, and Fabiano Severo Rodembusch. 2023. "Near-Infrared-Emitting Meso-Substituted Heptamethine Cyanine Dyes: From the Synthesis and Photophysics to Their Use in Bioimaging" Chemosensors 11, no. 1: 47. https://doi.org/10.3390/chemosensors11010047
APA StyleReimann, L. K., Fortes, D. d. S., Santos, F. d. S., Silva Junior, H. d. C., Morás, A. M., Moura, D. J., Duarte, R. d. C., & Rodembusch, F. S. (2023). Near-Infrared-Emitting Meso-Substituted Heptamethine Cyanine Dyes: From the Synthesis and Photophysics to Their Use in Bioimaging. Chemosensors, 11(1), 47. https://doi.org/10.3390/chemosensors11010047

