Increased Risk of End-Stage Kidney Disease After Traumatic Amputation: Nationwide Cohort Study
Abstract
1. Introduction
2. Materials and Methods
2.1. Data Source and Study Setting
2.2. Study Population
2.3. Amputation: Disability and Levels of Injury
2.4. Study Outcomes and Follow-Up
2.5. Covariates
2.6. Statistical Analysis
3. Results
3.1. Baseline Characteristics
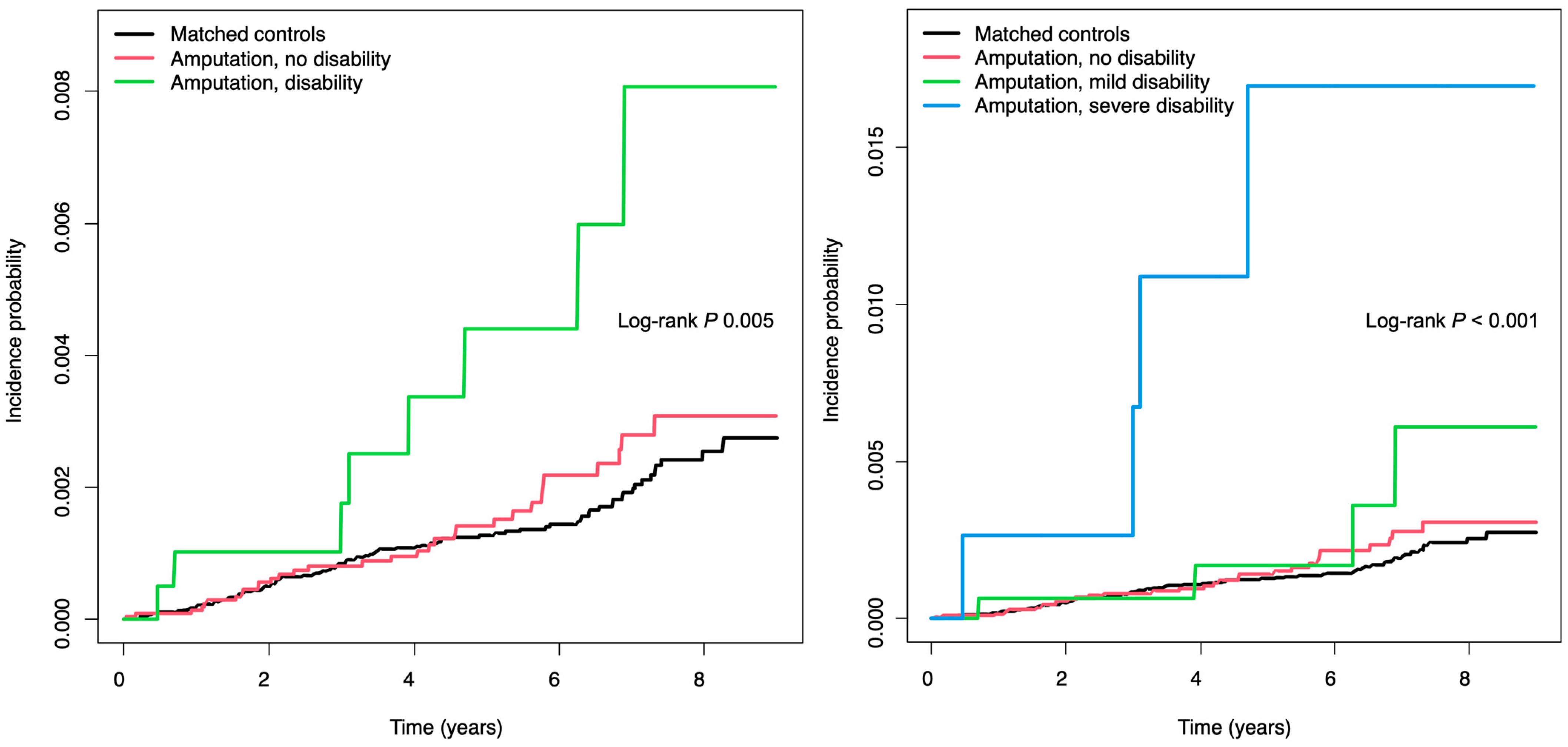
3.2. Risk of ESKD Among Patients with Amputation
4. Discussion
5. Conclusions
Supplementary Materials
Author Contributions
Funding
Institutional Review Board Statement
Informed Consent Statement
Data Availability Statement
Conflicts of Interest
References
- McDonald, C.L.; Westcott-McCoy, S.; Weaver, M.R.; Haagsma, J.; Kartin, D. Global prevalence of traumatic non-fatal limb amputation. Prosthet. Orthot. Int. 2021, 45, 105–114. [Google Scholar] [CrossRef]
- Pasquina, P.F.; Miller, M.; Carvalho, A.J.; Corcoran, M.; Vandersea, J.; Johnson, E.; Chen, Y.T. Special Considerations for Multiple Limb Amputation. Curr. Phys. Med. Rehabil. Rep. 2014, 2, 273–289. [Google Scholar] [CrossRef] [PubMed]
- Wu, H.; Li, Y.; Ren, L.; Li, J.; Wang, Y.; Jiang, C.; Wu, J. Prevalence and associated risk factors for chronic kidney disease in the elderly physically disabled population in Shanghai, China: A cross-sectional study. BMC Public. Health 2023, 23, 1987. [Google Scholar] [CrossRef]
- Kampmann, J.D.; Heaf, J.G.; Mogensen, C.B.; Mickley, H.; Wolff, D.L.; Brandt, F. Prevalence and incidence of chronic kidney disease stage 3–5—Results from KidDiCo. BMC Nephrol. 2023, 24, 17. [Google Scholar] [CrossRef]
- Choi, H.L.; Yoo, J.E.; Kim, M.; Kim, B.; Park, J.; Chang, W.H.; Lee, H.; Han, K.; Shin, D.W. Risk of Heart Disease in Patients With Amputation: A Nationwide Cohort Study in South Korea. J. Am. Heart Assoc. 2024, 13, e033304. [Google Scholar] [CrossRef] [PubMed]
- Ejtahed, H.S.; Soroush, M.R.; Hasani-Ranjbar, S.; Angoorani, P.; Mousavi, B.; Masumi, M.; Edjtehadi, F.; Soveid, M. Prevalence of metabolic syndrome and health-related quality of life in war-related bilateral lower limb amputees. J. Diabetes Metab. Disord. 2017, 16, 17. [Google Scholar] [CrossRef]
- Mayfield, J.A.; Reiber, G.E.; Maynard, C.; Czerniecki, J.M.; Caps, M.T.; Sangeorzan, B.J. Survival following lower-limb amputation in a veteran population. J. Rehabil. Res. Dev. 2001, 38, 341–345. [Google Scholar]
- Feinglass, J.; Pearce, W.H.; Martin, G.J.; Gibbs, J.; Cowper, D.; Sorensen, M.; Henderson, W.G.; Daley, J.; Khuri, S. Postoperative and late survival outcomes after major amputation: Findings from the Department of Veterans Affairs National Surgical Quality Improvement Program. Surgery 2001, 130, 21–29. [Google Scholar] [CrossRef] [PubMed]
- Aulivola, B.; Hile, C.N.; Hamdan, A.D.; Sheahan, M.G.; Veraldi, J.R.; Skillman, J.J.; Campbell, D.R.; Scovell, S.D.; LoGerfo, F.W.; Pomposelli, F.B., Jr. Major lower extremity amputation: Outcome of a modern series. Arch. Surg. 2004, 139, 395–399; discussion 399. [Google Scholar] [CrossRef]
- Assi, R.; Al Azzi, Y.; Protack, C.D.; Williams, W.T.; Hall, M.R.; Wong, D.J.; Lu, D.Y.; Vasilas, P.; Dardik, A. Chronic kidney disease predicts long-term mortality after major lower extremity amputation. N. Am. J. Med. Sci. 2014, 6, 321–327. [Google Scholar] [CrossRef][Green Version]
- Arhuidese, I.; Nejim, B.; Aji, E.A.; Canner, J.; Malas, M.B. Survival after major lower extremity amputation in patients with end-stage renal disease. J. Vasc. Surg. 2019, 70, 1291–1298. [Google Scholar] [CrossRef]
- Shin, D.W.; Cho, J.; Park, J.H.; Cho, B. National General Health Screening Program in Korea: History, current status, and future direction. Precis. Future Med. 2022, 6, 9–31. [Google Scholar] [CrossRef]
- Cho, H.; Park, J.; Kim, B.; Han, K.; Choi, H.L.; Shin, D.W. Increased Risk of Fracture after Traumatic Amputation: A Nationwide Retrospective Cohort Study. Healthcare 2024, 12, 1362. [Google Scholar] [CrossRef] [PubMed]
- Jung, W.; Kim, M.; Jeon, H.J.; Chang, W.H.; Yoo, J.E.; Han, K.; Shin, D.W. Assessment of Disability and Depression Following Amputation Among Adults in Korea. JAMA Netw. Open 2023, 6, e2320873. [Google Scholar] [CrossRef] [PubMed]
- Kim, M.; Jung, W.; Kim, S.Y.; Park, J.H.; Shin, D.W. The Korea National Disability Registration System. Epidemiol. Health 2023, 45, e2023053. [Google Scholar] [CrossRef] [PubMed]
- Jung, H.W.; Choi, I.Y.; Shin, D.W.; Han, K.; Yoo, J.E.; Chun, S.; Yi, Y. Association between physical performance and incidence of end-stage renal disease in older adults: A national wide cohort study. BMC Nephrol. 2021, 22, 85. [Google Scholar] [CrossRef] [PubMed]
- Bae, E.H.; Lim, S.Y.; Kim, B.; Oh, T.R.; Song, S.H.; Suh, S.H.; Choi, H.S.; Yang, E.M.; Kim, C.S.; Ma, S.K.; et al. Effects of Blood Pressure According to Age on End-Stage Renal Disease Development in Patients With Diabetes: A Nationwide Population-Based Cohort Study. Hypertension 2022, 79, 1765–1776. [Google Scholar] [CrossRef]
- Chun, S.; Han, K.; Kim, B.; Lee, D.; Cho, I.Y.; Choi, H.L.; Park, J.H.; Jeon, J.; Jang, H.R.; Shin, D.W. Elevated risk of end-stage kidney disease in stroke patients: A population-based observational study. Int. J. Stroke 2024, 17474930241295890. Available online: https://pubmed.ncbi.nlm.nih.gov/39410665/ (accessed on 5 November 2024). [CrossRef] [PubMed]
- Genthon, A.; Wilcox, S.R. Crush syndrome: A case report and review of the literature. J. Emerg. Med. 2014, 46, 313–319. [Google Scholar] [CrossRef] [PubMed]
- Doyle, J.F.; Forni, L.G. Acute kidney injury: Short-term and long-term effects. Crit. Care 2016, 20, 188. [Google Scholar] [CrossRef]
- Li, X.; Li, Z.; Jiang, W.; Wei, J.; Xu, K.; Bai, T. Effect of lower extremity amputation on cardiovascular hemodynamic environment: An in vitro study. J. Biomech. 2022, 145, 111368. [Google Scholar] [CrossRef] [PubMed]
- Staplin, N.; Herrington, W.G.; Murgia, F.; Ibrahim, M.; Bull, K.R.; Judge, P.K.; Ng, S.Y.A.; Turner, M.; Zhu, D.; Emberson, J.; et al. Determining the Relationship Between Blood Pressure, Kidney Function, and Chronic Kidney Disease: Insights From Genetic Epidemiology. Hypertension 2022, 79, 2671–2681. [Google Scholar] [CrossRef] [PubMed]
- Aakjær, M.; Houlind, M.B.; Treldal, C.; Ankarfeldt, M.Z.; Jensen, P.S.; Andersen, O.; Iversen, E.; Christrup, L.L.; Petersen, J. Differences in Kidney Function Estimates Based on Creatinine and/or Cystatin C in Non-Traumatic Amputation Patients and Their Impact on Drug Prescribing. J. Clin. Med. 2019, 8, 89. [Google Scholar] [CrossRef]
- Herlihy, D.R.; Thomas, M.; Tran, Q.H.; Puttaswamy, V. Primary prophylaxis for venous thromboembolism in people undergoing major amputation of the lower extremity. Cochrane Database Syst. Rev. 2020, 7, Cd010525. [Google Scholar] [CrossRef]
- Mohammed, N.M.; Mahfouz, A.; Achkar, K.; Rafie, I.M.; Hajar, R. Contrast-induced Nephropathy. Heart Views 2013, 14, 106–116. [Google Scholar] [CrossRef]
- Pike, M.; Taylor, J.; Kabagambe, E.; Stewart, T.G.; Robinson-Cohen, C.; Morse, J.; Akwo, E.; Abdel-Kader, K.; Siew, E.D.; Blot, W.J.; et al. The association of exercise and sedentary behaviours with incident end-stage renal disease: The Southern Community Cohort Study. BMJ Open 2019, 9, e030661. [Google Scholar] [CrossRef]
- Hollis, N.D.; Zhang, Q.C.; Cyrus, A.C.; Courtney-Long, E.; Watson, K.; Carroll, D.D. Physical activity types among US adults with mobility disability, Behavioral Risk Factor Surveillance System, 2017. Disabil Health J 2020, 13, 100888. [Google Scholar] [CrossRef] [PubMed]
- Weil, E.; Wachterman, M.; McCarthy, E.P.; Davis, R.B.; O’Day, B.; Iezzoni, L.I.; Wee, C.C. Obesity among adults with disabling conditions. Jama 2002, 288, 1265–1268. [Google Scholar] [CrossRef] [PubMed]
- Stevens, A.; Courtney-Long, E.; Gillespie, C.; Armour, B.S. Hypertension among US adults by disability status and type, National Health and Nutrition Examination Survey, 2001–2010. Prev. Chronic Dis. 2014, 11, E139. [Google Scholar] [CrossRef]
- Jain, M.A.; Robinson, M.D.P. Upper Limb Amputation; UK Ministry of Defence: London, UK, 2008. [Google Scholar]
- Chung, K.C.; Yoon, A.P.; Malay, S.; Shauver, M.J.; Wang, L.; Kaur, S.; FRANCHISE Group. Patient-Reported and Functional Outcomes After Revision Amputation and Replantation of Digit Amputations: The FRANCHISE Multicenter International Retrospective Cohort Study. JAMA Surg. 2019, 154, 637–646. [Google Scholar] [CrossRef]
- Shirazian, S.; Grant, C.D.; Aina, O.; Mattana, J.; Khorassani, F.; Ricardo, A.C. Depression in Chronic Kidney Disease and End-Stage Renal Disease: Similarities and Differences in Diagnosis, Epidemiology, and Management. Kidney Int. Rep. 2017, 2, 94–107. [Google Scholar] [CrossRef] [PubMed]
- Kolossváry, E.; Ferenci, T.; Kováts, T. Potentials, challenges, and limitations of the analysis of administrative data on vascular limb amputations in health care. Vasa 2020, 49, 87–97. [Google Scholar] [CrossRef] [PubMed]
- Cases, A.; Coll, E. Dyslipidemia and the progression of renal disease in chronic renal failure patients. Kidney Int. Suppl. 2005, 99, S87–S93. [Google Scholar] [CrossRef]
- Chen, S.H.; Lee, M.C.; Pu, C. Medication adherence in patients with type 2 diabetes after disability onset: A difference-in-differences analysis using nationwide data. BMC Med. 2024, 22, 102. [Google Scholar] [CrossRef] [PubMed]
- Yoo, J.E.; Lee, D.; Kim, B.; Chang, W.H.; Jin, S.M.; Han, K.; Shin, D. Increased Risk of Type 2 Diabetes After Traumatic Amputation: A Nationwide Retrospective Cohort Study. Front. Endocrinol. 2024, 15, 1437860. [Google Scholar]


| Variables | Matched Controls (n = 82,298) | Individuals with Amputation (n = 24,925) | p Value |
|---|---|---|---|
| Age (years) | 53.4 ± 11.9 | 54.2 ± 12.1 | <0.001 |
| Sex (male) | 64,376 (78.2) | 19,007 (76.3) | <0.001 |
| Income (lowest 20%) | 14,320 (17.4) | 4679 (18.8) | <0.001 |
| Place of residence (urban) | 37,568 (45.7) | 8395 (33.7) | <0.001 |
| Alcohol consumption | |||
| None | 35,974 (43.7) | 11,326 (45.4) | <0.001 |
| Mild to moderate | 37,746 (45.9) | 10,341 (41.5) | |
| Heavy | 8578 (10.4) | 3258 (13.1) | |
| Smoking status | |||
| Never | 36,491 (44.3) | 11,213 (45.0) | <0.001 |
| Former | 20,830 (25.3) | 5365 (21.5) | |
| Current | 24,977 (30.4) | 8347 (33.5) | |
| Regular physical activity | 18,214 (22.1) | 4387 (17.6) | <0.001 |
| Body mass index (kg/m2) | 24.2 ± 3.1 | 24.1 ± 3.2 | <0.001 |
| Systolic BP (mmHg) | 124.2 ± 14.3 | 124.3 ± 14.7 | 0.504 |
| Diastolic BP (mmHg) | 77.5 ± 9.8 | 77.4 ± 9.9 | 0.145 |
| Fasting glucose (mg/dL) | 101.3 ± 24.7 | 101.9 ± 27.4 | 0.002 |
| Total cholesterol (mg/dL) | 196.7 ± 37.4 | 195.4 ± 37.6 | <0.001 |
| eGFR (mL/min/1.73 m2) | 90.8 ± 51.8 | 92.7 ± 50.5 | <0.001 |
| Comorbidities | |||
| Hypertension | 27,722 (33.7) | 8616 (34.6) | 0.010 |
| Type 2 diabetes | 10,139 (12.3) | 3231 (13.0) | 0.007 |
| Dyslipidemia | 22,086 (26.8) | 6496 (26.1) | 0.015 |
| Subjects (N) | Events (n) | Follow-Up Duration (Person-Years) | IR | Model 1 HR (95% CI) | Model 2 HR (95% CI) | |
|---|---|---|---|---|---|---|
| Matched controls | 82,298 | 100 | 361,584.2 | 0.3 | 1 (Ref.) | 1 (Ref.) |
| Patients with amputation | 24,925 | 40 | 106,790.9 | 0.4 | 1.36 (0.94–1.96) | 1.75 (1.20–2.54) |
| By disability | ||||||
| No disability | 22,868 | 32 | 97,571.0 | 0.3 | 1.19 (0.80–1.77) | 1.63 (1.09–2.45) |
| Disability | 2057 | 8 | 9219.9 | 0.9 | 3.12 (1.52–6.41) | 2.42 (1.16–5.04) |
| By severity of disability | ||||||
| Mild disability | 1672 | 4 | 7564.1 | 0.5 | 1.90 (0.70–5.16) | 1.41 (0.51–3.87) |
| Severe disability | 385 | 4 | 1655.8 | 2.4 | 8.74 (3.22–23.74) | 8.22 (2.99–22.61) |
| By levels of amputation | ||||||
| Absence of limb | 41 | 0 | 93.8 | – | – | – |
| Upper limbs | ||||||
| Above the elbow | 66 | 0 | 271.4 | – | – | – |
| Between the elbow and wrist | 113 | 2 | 519.7 | 3.8 | 13.73 (3.39–55.64) | 17.90 (4.37–73.40) |
| Below the wrist * | 23,962 | 33 | 102,731.8 | 0.3 | 1.17 (0.79–1.73) | 1.52 (1.01–2.27) |
| No disability | 22,200 | 27 | 94,822.9 | 0.3 | 1.04 (0.68–1.58) | 1.43 (0.93–2.21) |
| Mild disability | 1544 | 4 | 6977.7 | 0.6 | 2.06 (0.76–5.60) | 1.55 (0.56–4.28) |
| Severe disability | 218 | 2 | 931.2 | 2.1 | 7.71 (1.90–31.27) | 6.91 (1.69–28.25) |
| Lower limbs | ||||||
| Above the knee | 44 | 0 | 180.1 | – | – | – |
| Between the knee and ankle | 152 | 2 | 671.0 | 3.0 | 10.83 (2.67–43.92) | 5.68 (1.38–23.29) |
| Below the ankle | 547 | 3 | 2323.3 | 1.3 | 4.64 (1.47–14.63) | 5.69 (1.79–18.07) |
| Variables | Amputees Who Developed No ESKD | Amputees Who Developed ESKD | p Value | Multivariate HR (95% CI) |
|---|---|---|---|---|
| Age (years) | 54.1 ± 12.1 | 61.3 ± 10.3 | <0.001 | 1.00 (0.97–1.04) |
| Sex (male) | 18,975 (76.3) | 32 (80.0) | 0.578 | 2.16 (0.77–6.07) |
| Income (lowest 20%) | 4674 (18.8) | 5 (12.5) | 0.309 | 0.88 (0.34–2.29) |
| Place of residence (urban) | 8377 (33.7) | 18 (45.0) | 0.130 | 1.90 (0.97–3.72) |
| Alcohol consumption | ||||
| None | 11,305 (45.4) | 21 (52.5) | 0.136 | 1 (ref.) |
| Mild to moderate | 10,323 (41.5) | 18 (45.0) | 1.05 (0.50–2.23) | |
| Heavy | 3257 (13.1) | 1 (2.5) | 0.23 (0.03–1.79) | |
| Smoking status | ||||
| Never | 11,195 (45.0) | 18 (45.0) | 0.579 | 1 (ref.) |
| Former | 5354 (21.5) | 11 (27.5) | 1.31 (0.53–3.21) | |
| Current | 8336 (33.5) | 11 (27.5) | 1.32 (0.53–3.28) | |
| Regular physical activity | 4383 (17.6) | 4 (10.0) | 0.207 | 0.47 (0.16–1.34) |
| Body mass index (kg/m2) | 24.1 ± 3.2 | 22.8 ± 2.9 | 0.010 | 0.80 (0.66–0.98) |
| Systolic BP (mmHg) | 124.3 ± 14.7 | 132.2 ±16.5 | <0.001 | 1.02 (0.99–1.05) |
| Diastolic BP (mmHg) | 77.4 ± 9.9 | 80.4 ± 9.4 | 0.052 | 0.99 (0.95–1.04) |
| Fasting glucose (mg/dL) | 101.8 ± 27.1 | 142.1 ± 86.0 | <0.001 | 1.01 (1.00–1.01) |
| Total cholesterol (mg/dL) | 195.4 ± 37.6 | 192.2 ± 44.8 | 0.594 | 1.00 (0.99–1.00) |
| eGFR (mL/min/1.73 m2) | 92.8 ± 50.5 | 53.1 ± 22.9 | <0.001 | 0.94 (0.93–0.95) |
| Comorbidities | ||||
| Hypertension | 8582 (34.5) | 34 (85.0) | <0.001 | 5.55 (2.00–15.39) |
| Type 2 diabetes | 3210 (12.9) | 21 (52.5) | <0.001 | 1.70 (0.75–3.89) |
| Dyslipidemia | 6473 (26.0) | 23 (57.5) | <0.001 | 2.49 (1.19–5.21) |
Disclaimer/Publisher’s Note: The statements, opinions and data contained in all publications are solely those of the individual author(s) and contributor(s) and not of MDPI and/or the editor(s). MDPI and/or the editor(s) disclaim responsibility for any injury to people or property resulting from any ideas, methods, instructions or products referred to in the content. |
© 2025 by the authors. Licensee MDPI, Basel, Switzerland. This article is an open access article distributed under the terms and conditions of the Creative Commons Attribution (CC BY) license (https://creativecommons.org/licenses/by/4.0/).
Share and Cite
Yoo, J.E.; Kim, B.; Chang, W.H.; Lee, K.; Jang, H.R.; Han, K.; Shin, D.W. Increased Risk of End-Stage Kidney Disease After Traumatic Amputation: Nationwide Cohort Study. Healthcare 2025, 13, 80. https://doi.org/10.3390/healthcare13010080
Yoo JE, Kim B, Chang WH, Lee K, Jang HR, Han K, Shin DW. Increased Risk of End-Stage Kidney Disease After Traumatic Amputation: Nationwide Cohort Study. Healthcare. 2025; 13(1):80. https://doi.org/10.3390/healthcare13010080
Chicago/Turabian StyleYoo, Jung Eun, Bongseong Kim, Won Hyuk Chang, Kyungho Lee, Hye Ryoun Jang, Kyungdo Han, and Dong Wook Shin. 2025. "Increased Risk of End-Stage Kidney Disease After Traumatic Amputation: Nationwide Cohort Study" Healthcare 13, no. 1: 80. https://doi.org/10.3390/healthcare13010080
APA StyleYoo, J. E., Kim, B., Chang, W. H., Lee, K., Jang, H. R., Han, K., & Shin, D. W. (2025). Increased Risk of End-Stage Kidney Disease After Traumatic Amputation: Nationwide Cohort Study. Healthcare, 13(1), 80. https://doi.org/10.3390/healthcare13010080

