Toward a Positive Life beyond COVID-19: Problem-Solving Appraisal as a Resistance Resource in the Relationship between Stress and Well-Being in Students
Abstract
1. Introduction
2. Materials and Methods
2.1. Participants and Procedure
2.2. Instruments
2.3. Ethics
2.4. Data Analysis
3. Results
4. Discussion
5. Conclusions
Author Contributions
Funding
Institutional Review Board Statement
Informed Consent Statement
Data Availability Statement
Conflicts of Interest
References
- Pierce, M.; Hope, H.; Ford, T.; Hatch, S.; Hotopf, M.; John, A.; Kontopantelis, E.; Webb, R.; Wessely, S.; McManus, S. Mental health before and during the COVID-19 pandemic: A longitudinal probability sample survey of the UK population. Lancet Psychiatry 2020, 7, 883–892. [Google Scholar] [CrossRef] [PubMed]
- Daly, M.; Sutin, A.R.; Robinson, E. Longitudinal changes in mental health and the COVID-19 pandemic: Evidence from the UK Household Longitudinal Study. Psychol. Med. 2022, 52, 2549–2558. [Google Scholar] [CrossRef] [PubMed]
- Yang, C.; Chen, A.; Chen, Y. College students’ stress and health in the COVID-19 pandemic: The role of academic workload, separation from school, and fears of contagion. PLoS ONE 2021, 16, e0246676. [Google Scholar] [CrossRef]
- Hurst, C.S.; Baranik, L.E.; Daniel, F. College Student Stressors: A Review of the Qualitative Research. Stress Health 2013, 29, 275–285. [Google Scholar] [CrossRef] [PubMed]
- Pope, D. Student Stress during the Pandemic. Available online: https://ed.stanford.edu/news/student-stress-during-pandemic (accessed on 4 December 2022).
- Padmanabhanunni, A.; Wiid, C. From fear to fortitude: Differential vulnerability to PTSD among South African university students. Traumatology 2022, 28, 167–174. [Google Scholar] [CrossRef]
- Kola, L.; Kohrt, B.A.; Hanlon, C.; Naslund, J.A.; Sikander, S.; Balaji, M.; Benjet, C.; Cheung, E.Y.L.; Eaton, J.; Gonsalves, P.; et al. COVID-19 mental health impact and responses in low-income and middle-income countries: Reimagining global mental health. Lancet Psychiatry 2021, 8, 535–550. [Google Scholar] [CrossRef]
- Clark, E.; Fredricks, K.; Woc-Colburn, L.; Bottazzi, M.E.; Weatherhead, J. Disproportionate impact of the COVID-19 pandemic on immigrant communities in the United States. PLoS Negl. Trop. Dis. 2020, 14, e0008484. [Google Scholar] [CrossRef]
- Pretorius, T.; Padmanabhanunni, A. A looming mental health pandemic in the time of COVID-19? Role of fortitude in the interrelationship between loneliness, anxiety, and life satisfaction among young adults. South Afr. J. Psychol. 2021, 51, 256–268. [Google Scholar] [CrossRef]
- Spector, P.E. A control theory of the job stress process. In Theories of Organizational Stress; Cooper, C.L., Ed.; Oxford University Press: Oxford, UK, 1998; pp. 153–169. [Google Scholar]
- Coiro, M.J.; Bettis, A.H.; Compas, B.E. College students coping with interpersonal stress: Examining a control-based model of coping. J. Am. Coll. Health 2017, 65, 177–186. [Google Scholar] [CrossRef]
- Karyotaki, E.; Cuijpers, P.; Albor, Y.; Alonso, J.; Auerbach, R.P.; Bantjes, J.; Bruffaerts, R.; Ebert, D.D.; Hasking, P.; Kiekens, G.; et al. Sources of Stress and Their Associations with Mental Disorders Among College Students: Results of the World Health Organization World Mental Health Surveys International College Student Initiative. Front. Psychol 2020, 11, 1759. [Google Scholar] [CrossRef]
- Chi, Z.; Qian, L.; Haihua, L.; Nuoxun, L. The Impact of Chinese College Students’ Perceived Stress on Anxiety During the COVID-19 Epidemic: The Mediating Role of Irrational Beliefs. Front. Psychiatry 2021, 12, 731874. [Google Scholar] [CrossRef] [PubMed]
- Havnen, A.; Anyan, F.; Hjemdal, O.; Solem, S.; Gurigard Riksfjord, M.; Hagen, K. Resilience Moderates Negative Outcome from Stress during the COVID-19 Pandemic: A Moderated-Mediation Approach. Int. J. Environ. Res. Public Health 2020, 17, 6461. [Google Scholar] [CrossRef] [PubMed]
- Holman, D.; Johnson, S.; O’Connor, E. Stress management interventions: Improving subjective psychological well-being in the workplace. In Handbook of Well-Being; Diener, E., Oishi, S., Tay, L., Eds.; DEF Publishers: Salt Lake City, UT, USA, 2018. [Google Scholar]
- Goldstein, D.; Avery, C.M.; Day, J. The Buddy System-Crisis Management at the University of Georgia. About Campus 2004, 9, 26–28. [Google Scholar] [CrossRef]
- Kachaturoff, M.; Caboral-Stevens, M.; Gee, M.; Lan, V.M. Effects of peer-mentoring on stress and anxiety levels of undergraduate nursing students: An integrative review. J. Prof. Nurs. 2020, 36, 223–228. [Google Scholar] [CrossRef] [PubMed]
- Lemay, V.; Hoolahan, J.; Buchanan, A. Impact of a Yoga and Meditation Intervention on Students’ Stress and Anxiety Levels. Am. J. Pharm. Educ. 2019, 83, 7001. [Google Scholar] [CrossRef] [PubMed]
- Alsubaie, M.M.; Stain, H.J.; Webster, L.A.D.; Wadman, R. The role of sources of social support on depression and quality of life for university students. Int. J. Adolesc. Youth 2019, 24, 484–496. [Google Scholar] [CrossRef]
- Padmanabhanunni, A.; Pretorius, T.B. The loneliness–life satisfaction relationship: The parallel and serial mediating role of hopelessness, depression and ego-resilience among young adults in South Africa during COVID-19. Int. J. Environ. Res. Public Health 2021, 18, 3613. [Google Scholar] [CrossRef]
- Padmanabhanunni, A.; Pretorius, T.B.; Bouchard, J.-P.; Stiegler, N. Facing Your Fear of COVID-19: Resilience as a Protective Factor Against Burnout in South African Teachers. Ann. Med. Psychol. 2022. [Google Scholar] [CrossRef] [PubMed]
- Bartone, P.T.; Homish, G.G. Influence of hardiness, avoidance coping, and combat exposure on depression in returning war veterans: A moderated-mediation study. J. Affect. Disord. 2020, 265, 511–518. [Google Scholar] [CrossRef] [PubMed]
- Padmanabhanunni, A.; Isaacs, S.; Pretorius, T.; Faroa, B. Generalized Resistance Resources in the Time of COVID-19: The Role of Sense of Coherence and Resilience in the Relationship between COVID-19 Fear and Loneliness among Schoolteachers. OBM Neurobiol. 2022, 6, 1–16. [Google Scholar] [CrossRef]
- Shumaker, S.A.; Brownell, A. Toward a Theory of Social Support: Closing Conceptual Gaps. J. Soc. Issues 1984, 40, 11–36. [Google Scholar] [CrossRef]
- D’Zurilla, T.J.; Nezu, A.M. Problem-solving therapy. In Handbook of Cognitive-Behavioral Therapies, 3rd ed.; Dobson, K.S., Ed.; Guilford Press: New York, NY, USA, 2010; pp. 197–225. [Google Scholar]
- Folkman, S. Stress: Appraisal and coping. In Encyclopedia of Behavioral Medicine; Gellman, M.D., Ed.; Springer International Publishing: Cham, Switzerland, 2020; pp. 2177–2179. [Google Scholar]
- Heppner, P.P.; Petersen, C.H. The development and implications of a personal problem-solving inventory. J. Couns. Psychol. 1982, 29, 66–75. [Google Scholar] [CrossRef]
- Heppner, P.P.; Witty, T.E.; Dixon, W.A. Problem-Solving Appraisal and Human Adjustment: A Review of 20 Years of Research Using the Problem Solving Inventory. Couns. Psychol. 2004, 32, 344–428. [Google Scholar] [CrossRef]
- Abdollahi, A.; Hosseinian, S.; Zamanshoar, E.; Beh-Pajooh, A.; Carlbring, P. The Moderating Effect of Hardiness on the Relationships between Problem-Solving Skills and Perceived Stress with Suicidal Ideation in Nursing Students. Stud. Psychol. 2018, 60, 30–41. [Google Scholar] [CrossRef]
- Teo, D.C.H.; Suárez, L.; Oei, T.P.S. Psychometric properties of the problem solving inventory in a Singapore young male adult sample. Curr. Psychol. 2021, 40, 1420–1428. [Google Scholar] [CrossRef]
- Pretorius, T.B. Pathways to health: Conceptual clarification and appropriate statistical treatment of mediator, moderator, and indirect effects using examples from burnout research. South Afr. J. Psychol. 2020, 50, 320–335. [Google Scholar] [CrossRef]
- Thoits, P.A. Mechanisms Linking Social Ties and Support to Physical and Mental Health. J. Health Soc. Behav. 2011, 52, 145–161. [Google Scholar] [CrossRef]
- Cohen, S. Perceived stress in a probability sample of the United States. In The Social Psychology of Health; Spacapan, S., Oskamp, S., Eds.; SAGE Publications, Inc.: Thousand Oaks, CA, USA, 1988; pp. 31–67. [Google Scholar]
- Balsamo, M.; Carlucci, L.; Innamorati, M.; Lester, D.; Pompili, M. Further Insights Into the Beck Hopelessness Scale (BHS): Unidimensionality Among Psychiatric Inpatients. Front. Psychiatry 2020, 11, 727. [Google Scholar] [CrossRef]
- Zsido, A.N.; Teleki, S.A.; Csokasi, K.; Rozsa, S.; Bandi, S.A. Development of the short version of the spielberger state—Trait anxiety inventory. Psychiatry Res. 2020, 291, 113223. [Google Scholar] [CrossRef]
- Steyn, R.; Vawda, N. Job characteristics: Their relationship to job satisfaction, stress and depression. J. Psychol. Afr. 2014, 24, 281–284. [Google Scholar] [CrossRef]
- Heppner, P.P.; Pretorius, T.B.; Wei, M.; Lee, D.-G.; Wang, Y.-W. Examining the Generalizability of Problem-Solving Appraisal in Black South Africans. J. Couns. Psychol. 2002, 49, 484–498. [Google Scholar] [CrossRef]
- Pretorius, T.B. The family environment of students self-appraised as effective and ineffective problem solvers. Psychol. Rep. 1996, 79, 915–921. [Google Scholar] [CrossRef]
- Pretorius, T.B.; Diedricks, M. Problem-Solving Appraisal, Social Support and Stress-Depression Relationship. South Afr. J. Psychol. 1994, 24, 86–90. [Google Scholar] [CrossRef]
- Beck, A.T.; Weissman, A.; Lester, D.; Trexler, L. The measurement of pessimism: The hopelessness scale. J. Consult. Clin. Psychol. 1974, 42, 861–865. [Google Scholar] [CrossRef] [PubMed]
- Padmanabhanunni, A.; Pretorius, T. Behaviour is the key in a pandemic: The direct and indirect effects of Covid-19-related variables on psychological wellbeing. Psychol. Rep. 2022, 125, 34152883. [Google Scholar] [CrossRef]
- Pretorius, T.B.; Padmanabhanunni, A. Deriving Meaning from Chaos: The Mediating Role of the Sense of Coherence in the Serial Relationships among Fear of COVID-19, Indices of Psychological Distress, and Life Satisfaction. Healthcare 2022, 10, 2276. [Google Scholar] [CrossRef] [PubMed]
- Spielberger, C.D. Manual for the State-Trait Anxiety Inventory; Consulting Psychologists Press: Palo Alto, CA, USA, 1988. [Google Scholar]
- Padmanabhanunni, A.; Pretorius, T.B.; Stiegler, N.; Bouchard, J.-P. A serial model of the interrelationship between perceived vulnerability to disease, fear of COVID-19, and psychological distress among teachers in South Africa. Ann. Med. Psychol. 2022, 180, 23–28. [Google Scholar] [CrossRef]
- Hayes, A.F.; Coutts, J.J. Use Omega Rather than Cronbach’s Alpha for Estimating Reliability. But…. Commun. Methods Meas. 2020, 14, 1–24. [Google Scholar] [CrossRef]
- Hayes, A.F. Introduction to Mediation, Moderation, and Conditional Process Analysis: A Regression-Based Approach; Guilford publications: New York, NY, USA, 2017. [Google Scholar]
- Elmer, T.; Mepham, K.; Stadtfeld, C. Students under lockdown: Comparisons of students’ social networks and mental health before and during the COVID-19 crisis in Switzerland. PLoS ONE 2020, 15, e0236337. [Google Scholar] [CrossRef] [PubMed]
- Prowse, R.; Sherratt, F.; Abizaid, A.; Gabrys, R.L.; Hellemans, K.G.; Patterson, Z.R.; McQuaid, R.J. Coping with the COVID-19 pandemic: Examining gender differences in stress and mental health among university students. Front. Psychiatry 2021, 12, 650759. [Google Scholar] [CrossRef]
- Yan, L.; Gan, Y.; Ding, X.; Wu, J.; Duan, H. The relationship between perceived stress and emotional distress during the COVID-19 outbreak: Effects of boredom proneness and coping style. J. Anxiety Disord. 2021, 77, 102328. [Google Scholar] [CrossRef] [PubMed]
- Lazarus, R.S. Stress and Emotion: A New Synthesis; Springer Publishing Company, Inc.: New York, NY, USA, 2006. [Google Scholar]
- Yih, J.; Uusberg, A.; Taxer, J.L.; Gross, J.J. Better together: A unified perspective on appraisal and emotion regulation. Cogn. Emot. 2019, 33, 41–47. [Google Scholar] [CrossRef] [PubMed]
- Aslan, I.; Ochnik, D.; Çınar, O. Exploring perceived stress among students in Turkey during the COVID-19 pandemic. Int. J. Environ. Res. Public Health 2020, 17, 8961. [Google Scholar] [CrossRef] [PubMed]
- Charles, N.E.; Strong, S.J.; Burns, L.C.; Bullerjahn, M.R.; Serafine, K.M. Increased mood disorder symptoms, perceived stress, and alcohol use among college students during the COVID-19 pandemic. Psychiatry Res. 2021, 296, 113706. [Google Scholar] [CrossRef]
- Haikalis, M.; Doucette, H.; Meisel, M.K.; Birch, K.; Barnett, N.P. Changes in College Student Anxiety and Depression from Pre-to During-COVID-19: Perceived Stress, Academic Challenges, Loneliness, and Positive Perceptions. Emerg. Adulthood 2022, 10, 534–545. [Google Scholar] [CrossRef]
- Abdollahi, A.; Hosseinian, S.; Nooripour, R.; Najafi, M. Clarifying the roles of hardiness and hopelessness in relation to suicidal ideation among Malaysian undergraduate students. Pract. Clin. Psychol 2017, 5, 243–250. [Google Scholar] [CrossRef]
- Demirtas, A.S.; Yildiz, B. Hopelessness and perceived stress: The mediating role of cognitive flexibility and intolerance of uncertainty. Dusunen. Adam 2019, 32, 259. [Google Scholar] [CrossRef]
- Dixon, W.A.; Heppner, P.P.; Anderson, W.P. Problem-solving appraisal, stress, hopelessness, and suicide ideation in a college population. J. Couns. Psychol. 1991, 38, 51. [Google Scholar] [CrossRef]
- Chang, E.C. Predicting suicide ideation in an adolescent population: Examining the role of social problem solving as a moderator and a mediator. Pers. Individ. Differ. 2002, 32, 1279–1291. [Google Scholar] [CrossRef]
- Schäfer, J.Ö.; Naumann, E.; Holmes, E.A.; Tuschen-Caffier, B.; Samson, A.C. Emotion regulation strategies in depressive and anxiety symptoms in youth: A meta-analytic review. J. Youth Adolesc. 2017, 46, 261–276. [Google Scholar] [CrossRef]
- Gloria, C.T.; Steinhardt, M.A. Relationships among positive emotions, coping, resilience and mental health. Stress Health 2016, 32, 145–156. [Google Scholar] [CrossRef] [PubMed]
- Lazarus, R.S.; Folkman, S. Stress, Appraisal, and Coping; Springer Publishing Company, Inc.: New York, NY, USA, 1984. [Google Scholar]
- Chew, Q.H.; Wei, K.C.; Vasoo, S.; Chua, H.C.; Sim, K. Narrative synthesis of psychological and coping responses towards emerging infectious disease outbreaks in the general population: Practical considerations for the COVID-19 pandemic. Singapore Med. J. 2020, 61, 350–356. [Google Scholar] [CrossRef] [PubMed]
- Cheng, C.; Cheung, M.W.L. Psychological Responses to Outbreak of Severe Acute Respiratory Syndrome: A Prospective, Multiple Time-Point Study. J. Pers. 2005, 73, 261–285. [Google Scholar] [CrossRef] [PubMed]
- Melnyk, B.M.; Amaya, M.; Szalacha, L.A.; Hoying, J.; Taylor, T.; Bowersox, K. Feasibility, acceptability, and preliminary effects of the COPE online cognitive-behavioral skill-building program on mental health outcomes and academic performance in freshmen college students: A randomized controlled pilot study. J. Child Adolesc. Psychiatr. Nurs. 2015, 28, 147–154. [Google Scholar] [CrossRef] [PubMed]
- Heppner, P.P.; Heppner, M.J.; Wang, Y.-W.; Lee, D.-G. Creating a positive life: The role of problem-solving appraisal. In Positive Psychological Assessment: A Handbook of Models and Measures; Gallagher, M.W., Lopez, S.J., Eds.; American Psychological Association: Washington, DC, USA, 2019; pp. 111–124. [Google Scholar] [CrossRef]

| 1 | 2 | 3 | 4 | 5 | 6 | |
|---|---|---|---|---|---|---|
| 1. Perceived stress | – | |||||
| 2. Problem-solving confidence | 0.54 ** | – | ||||
| 3. Approach-avoidance style | 0.32 ** | 0.60 ** | – | |||
| 4. Personal control | 0.51 ** | 0.53 ** | 0.50 ** | – | ||
| 5. Hopelessness | 0.47 ** | 0.46 ** | 0.33 ** | 0.39 ** | – | |
| 6. Anxiety | 0.60 ** | 0.51 ** | 0.26 ** | 0.54 ** | 0.46 ** | – |
| Mean | 23.9 | 29.9 | 48.4 | 19.5 | 2.3 | 12.4 |
| SD | 6.3 | 8.4 | 10.6 | 5.0 | 2.4 | 4.1 |
| Alpha | 0.85 | 0.85 | 0.79 | 0.71 | 0.59 | 0.52 |
| Omega | 0.86 | 0.85 | 0.81 | 0.71 | 0.60 | 0.53 |
| Variable | Yes | No | t-Value | p | ||
|---|---|---|---|---|---|---|
| Mean | SD | Mean | SD | |||
| Tested positive? | ||||||
| Perceived stress | 23.66 | 5.83 | 23.45 | 6.43 | 0.25 | 0.805 |
| Problem-solving confidence | 29.17 | 7.24 | 29.22 | 8.12 | −0.05 | 0.962 |
| Approach-avoidance style | 47.54 | 10.26 | 48.21 | 11.00 | −0.47 | 0.641 |
| Personal control | 19.74 | 4.98 | 19.36 | 4.83 | 0.60 | 0.552 |
| Hopelessness | 2.02 | 2.26 | 2.16 | 2.39 | −0.45 | 0.650 |
| Anxiety | 12.74 | 4.00 | 12.01 | 4.14 | 1.35 | 0.178 |
| Lost family member? | ||||||
| Perceived stress | 25.27 | 6.10 | 22.93 | 6.23 | 3.34 | <0.001 |
| Problem-solving confidence | 30.97 | 8.38 | 29.17 | 8.30 | 1.91 | 0.006 |
| Approach-avoidance style | 48.51 | 10.90 | 48.37 | 10.41 | 0.12 | 0.904 |
| Personal control | 19.66 | 4.70 | 19.43 | 5.19 | 0.40 | 0.689 |
| Hopelessness | 2.31 | 2.42 | 2.28 | 2.47 | 0.10 | 0.920 |
| Anxiety | 12.95 | 4.11 | 11.96 | 4.11 | 2.12 | 0.035 |
| Variable | Beta | SE | 95% CI | p |
|---|---|---|---|---|
| Hopelessness as dependent variable | ||||
| Perceived stress | 0.133 | 0.022 | [0.090, 0.177] | <0.001 |
| Problem-solving confidence | 0.074 | 0.017 | [0.041, 0.107] | <0.001 |
| Approach-avoidance style | 0.039 | 0.011 | [0.016, 0.062] | <0.001 |
| Personal control | 0.124 | 0.028 | [0.069, 0.179] | <0.001 |
| Perceived stress X problem-solving confidence | 0.005 | 0.002 | [0.002, 0.009] | 0.005 |
| Perceived stress X approach-avoidance style | 0.006 | 0.002 | [0.003, 0.008] | <0.001 |
| Perceived stress X personal control | 0.015 | 0.003 | [0.008, 0.021] | <0.001 |
| Anxiety as dependent variable | ||||
| Perceived stress | 0.295 | 0.034 | [0.229, 0.362] | <0.001 |
| Problem-solving confidence | 0.141 | 0.026 | [0.090, 0.192] | <0.001 |
| Approach-avoidance style | 0.029 | 0.019 | [−0.007, 0.066] | 0.117 |
| Personal control | 0.258 | 0.042 | [0.175, 0.341] | <0.001 |
| Perceived stress X problem-solving confidence | −0.005 | 0.003 | [−0.010, 0.001] | 0.121 |
| Perceived stress X approach-avoidance style | −0.003 | 0.002 | [−0.008, 0.002] | 0.231 |
| Perceived stress X personal control | 0.000 | 0.005 | [−0.010, 0.010] | 0.951 |
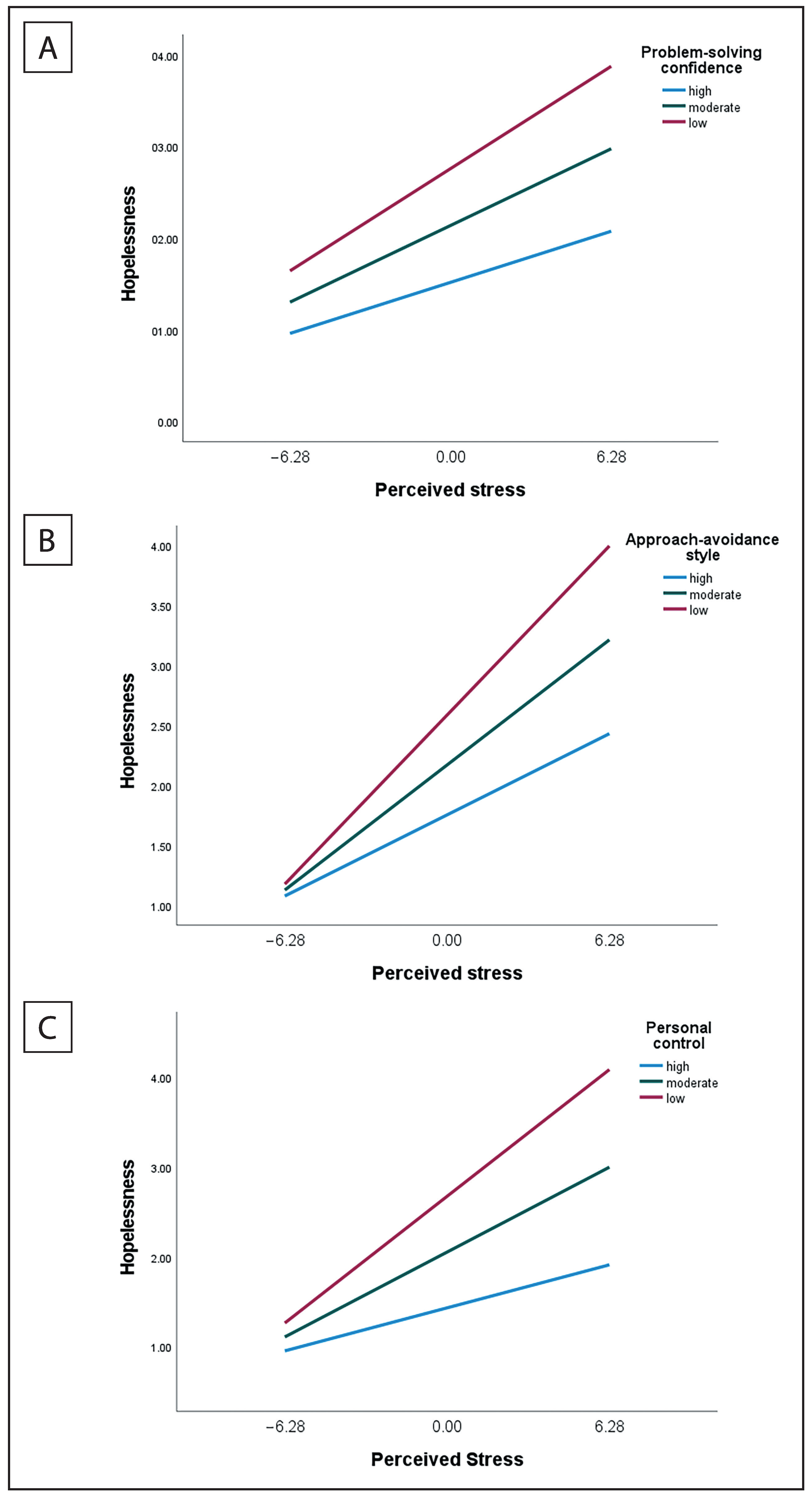
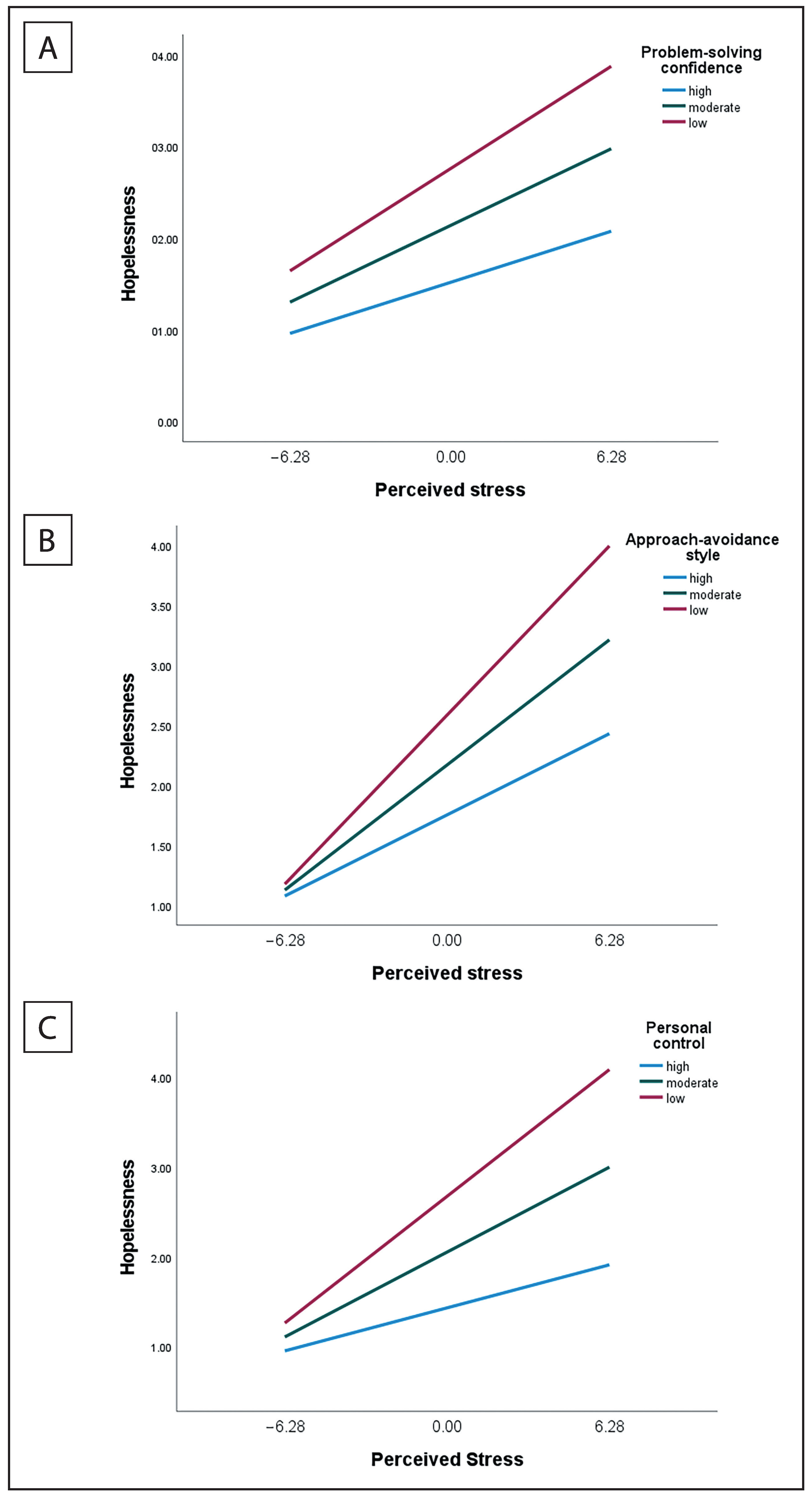
| Levels | Beta | SE | 95% CI | p |
|---|---|---|---|---|
| Problem-solving confidence | ||||
| Low problem-solving confidence | 0.178 | 0.029 | [0.121, 0.235] | < 0.001 |
| Moderate problem-solving confidence | 0.133 | 0.022 | [0.090, 0.177] | < 0.001 |
| High problem-solving confidence | 0.089 | 0.025 | [0.040, 0.138] | < 0.001 |
| Approach-avoidance style | ||||
| Low approach-avoidance style | 0.225 | 0.026 | [0.173, 0.276] | < 0.001 |
| Moderate approach-avoidance style | 0.166 | 0.020 | [0.128, 0.205] | < 0.001 |
| High approach-avoidance style | 0.108 | 0.024 | [0.061, 0.155] | < 0.001 |
| Personal control | ||||
| Low personal control | 0.225 | 0.028 | [0.170, 0.279] | < 0.001 |
| Moderate personal control | 0.150 | 0.021 | [0.108, 0.193] | < 0.001 |
| High personal control | 0.076 | 0.027 | [0.023, 0.130] | 0.005 |
Disclaimer/Publisher’s Note: The statements, opinions and data contained in all publications are solely those of the individual author(s) and contributor(s) and not of MDPI and/or the editor(s). MDPI and/or the editor(s) disclaim responsibility for any injury to people or property resulting from any ideas, methods, instructions or products referred to in the content. |
© 2023 by the authors. Licensee MDPI, Basel, Switzerland. This article is an open access article distributed under the terms and conditions of the Creative Commons Attribution (CC BY) license (https://creativecommons.org/licenses/by/4.0/).
Share and Cite
Pretorius, T.B.; Padmanabhanunni, A. Toward a Positive Life beyond COVID-19: Problem-Solving Appraisal as a Resistance Resource in the Relationship between Stress and Well-Being in Students. Healthcare 2023, 11, 350. https://doi.org/10.3390/healthcare11030350
Pretorius TB, Padmanabhanunni A. Toward a Positive Life beyond COVID-19: Problem-Solving Appraisal as a Resistance Resource in the Relationship between Stress and Well-Being in Students. Healthcare. 2023; 11(3):350. https://doi.org/10.3390/healthcare11030350
Chicago/Turabian StylePretorius, Tyrone B., and Anita Padmanabhanunni. 2023. "Toward a Positive Life beyond COVID-19: Problem-Solving Appraisal as a Resistance Resource in the Relationship between Stress and Well-Being in Students" Healthcare 11, no. 3: 350. https://doi.org/10.3390/healthcare11030350
APA StylePretorius, T. B., & Padmanabhanunni, A. (2023). Toward a Positive Life beyond COVID-19: Problem-Solving Appraisal as a Resistance Resource in the Relationship between Stress and Well-Being in Students. Healthcare, 11(3), 350. https://doi.org/10.3390/healthcare11030350

