Abstract
This paper investigates the partial anti-synchronization problem of fractional-order chaotic systems through the dynamic feedback control method. Firstly, a necessary and sufficient condition is proposed, by which the existence of the partial anti-synchronization problem is proved. Then, an algorithm is given and used to obtain all solutions of this problem. Moreover, the partial anti-synchronization problem of the fractional-order chaotic systems is realized through the dynamic feedback control method. It is noted that the designed controllers are single-input controllers. Finally, two illustrative examples with numerical simulations are used to verify the correctness and effectiveness of the proposed results.
1. Introduction
It is well known that Lorenz first found the chaos attractor [1] in 1963. From then on, chaotic systems and their control problems have been widely studied by scholars. With the development of chaos theory, many new chaotic systems were derived, and a lot of important results were applied in several scientific areas, such as economics, robotics, automatic control, signal detection and processing (see [2,3,4,5,6,7] and the references therein). As we know that the control problems of chaotic systems include stabilization, complete synchronization, anti-synchronization, simultaneous synchronization and anti-synchronization, lag synchronization, and projective synchronization, numerous valuable conclusions have been drawn from the study of these problems (for details, please see [8,9,10,11,12,13,14]). The anti-synchronization problem of chaotic systems has been a hot topic in recent years, and a variety of results have been published. In [12], it is pointed out for the first time that the anti-synchronization problem of a given chaotic system exists if and only if . That is to say, the slave system and the master system can achieve anti-synchronization through the designed controller u, which is described as and meets the condition , where and B is a constant matrix. Only when this necessary and sufficient condition is met can a simple and physical controller be designed. It is noted that only a few chaotic or hyper-chaotic systems can meet the above condition: . A natural question arises: If this condition is not met, can the part variables of the given chaotic system realize anti-synchronization or not? If yes, this type of anti-synchronization is called the partial anti-synchronization problem, which will be introduced in Section 2.1. However, to the best of our knowledge, there are no relative results that have been published so far.
It is well known that chaotic systems can generally be divided into two categories: integer-order chaotic systems and fractional-order chaotic systems. Integer-order chaotic systems and fractional-order chaotic systems are closely related, and the difference between them lies mainly in the order of the differential equation. For any given chaotic system , where is the state and is the continuous function, the system is a fractional-order chaotic system when , . Compared with integer-order chaotic systems, fractional-order chaotic systems develop later. Until now, lots of both important and useful results have been obtained (see [15,16,17,18,19,20,21,22,23,24]). However, there are no published results about the partial anti-synchronization problem of fractional-order chaotic systems. Therefore, we shall investigate the partial anti-synchronization problem of fractional-order chaotic systems in this paper.
Motivated by the above conclusions, we study the partial anti-synchronization problem of fractional-order chaotic systems through the dynamic feedback control method. The main contributions of this paper are summarized as follows:
- (a)
- A necessary and sufficient condition is presented to determine the existence of the partial anti-synchronization problem;
- (b)
- An algorithm is proposed to obtain all solutions of this partial anti-synchronization problem;
- (c)
- This partial anti-synchronization problem is realized through the dynamic feedback control method, and the designed controllers are single-input controllers.
2. Preliminaries and Problem Formation
2.1. Preliminaries
The Caputo derivative of order is defined as
where , is a function with the following expression:
Consider the following fractional-order nonlinear system:
where is the state, and is a continuous function.
Let the system (1) be the master system; then, the corresponding slave system is
where is the state, is a continuous function, is a constant matrix, is assumed to be controllable, , and is the controller to be designed.
Set ; then, the sum system (i.e., the addition between system (1) and the system (2)) is given as
where is the state, and are given in Equation (2).
Definition 1.
Remark 1.
It is well known that only a few chaotic systems can meet the condition , such as the modified Chua system. However, the famous Lorenz system does not satisfy that condition. When the whole chaotic system does not achieve anti-synchronization, a natural question arises of whether the part variables of a given chaotic system can realize anti-synchronization or not. Moreover, if yes, how can those part variables of that given chaotic system be found? In the following, we firstly give a definition of partial anti-synchronization.
Consider the system (1). If there exists a non-singular transformation:
where , , , and is a constant matrix, then the system (1) is divided into the following two subsystems:
where .
According to Remark 1, the subsystem (5) satisfies the condition of anti-synchronization. Therefore, let the system (5) be the master subsystem; then, the slave subsystem is presented as follows:
where and Z is given in Equation (6), is a constant matrix, is assumed to be controllable, , and is the controller to be designed.
Let ; then, the sum subsystem (i.e., the addition between the subsystem (5) and the subsystem (7)) is given as
where is the state, and are given in Equation (7).
Definition 2.
For the stabilization problem of the sum subsystem (8), there are many methods to deal with it. Here, we choose the dynamic feedback control method, and introduce it in the following.
Lemma 1
([15]). Consider the system (2). If is stabilized, then the designed controller u is proposed as follows:
where , , and
2.2. Problem Formulation
The system (1) with is not an odd function; there are three problems to be solved.
- (1)
- Whether the partial anti-synchronization problem exists or not;
- (2)
- If the partial anti-synchronization problem exists, how can the non-singular transformation matrix T in Equation (4) be found, and how many matrices in the form T can be obtained?
- (3)
- How can a simple and physical controller U be designed to realize this type anti-synchronization?
3. Main Results
3.1. The Existence of the Partial Anti-Synchronization Problem
In this section, the existence of the partial anti-synchronization problem for the system (1) is investigated, and a conclusion is derived as follows.
Theorem 1.
3.2. All Solutions of the Partial Anti-Synchronization Problem
From Section 3.1, we know that the partial anti-synchronization problem exists if the matrix T given in Equation (4) is obtained. How to get this matrix T and how many matrices in the form T are important in this problem. A flowchart is shown in the Figure 1, and an algorithm is proposed in the next.
Figure 1.
Flowchart of the algorithm.
In conclusion, we can obtain all of the transformation matrices in the form T given in Equation (4) by Algorithm 1 if the partial anti-synchronization problem of the system (1) exists.
| Algorithm 1 Consider the system (1). |
|
3.3. Controller Design
For the sum subsystem (8), there are many control methods for realizing its stabilization problem. The dynamic feedback control method for the stabilization problem for fractional=order chaotic systems was proposed in [15]. As we know, the partial anti-synchronization problem of the system (1) and the system (2) is equivalent to the stabilization of the sum subsystem (8). Thus, we present the following conclusion without a proof.
Theorem 2.
Consider the sum subsystem (8). If can be stabilized, then the designed controller U is proposed as follows:
where , , and
4. Illustrative Examples with Numerical Simulations
In this section, two examples are used to verify the correctness and effectiveness of the proposed results.
Example 1.
where .
Consider a fractional-order Lorenz system [25]:
According to Algorithm 1, it is easy to verify that
is the only solution of the following linear equations about :
i.e.,
Thus,
According to Theorem 1,
The master subsystem is given as
where
The slave subsystem is presented as
where
and then the sum subsystem is expressed as
According to Theorem 2, the designed controller U is
where .
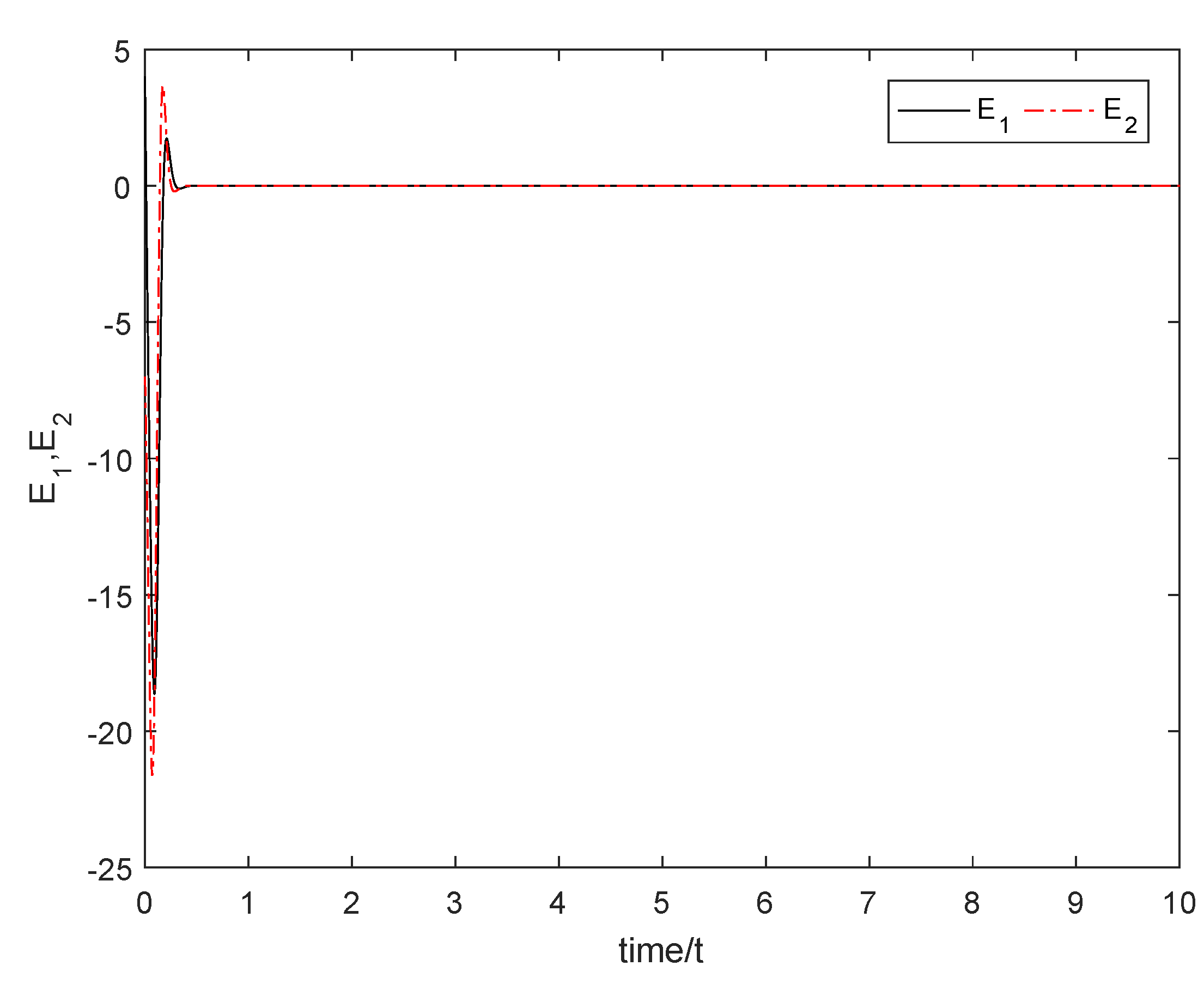
The initial conditions are selected as: , , , , and with . Using the simulation tool in Matlab, the numerical simulations were performed. From Figure 2, we observe that the sum subsystem (36) is asymptotically stable through the controller U, which implies that the master subsystem (32) and the slave subsystem (34) achieve anti-synchronization. Figure 3 show the states of the master subsystem (32) and the slave subsystem (34). It can be seen that the state vectors of the slave subsystem (34) have the same amplitude but opposite signs compared to those of the master subsystem (32).
Figure 2.
The sum subsystem (36) is asymptotically stable.
Example 2.
Fractional-order hyper-Chen system [26]
where .
According to Algorithm 1, we conclude that
is the unique solution of the following linear equations about :
i.e.,
Thus,
According to Theorem 1,
The master subsystem is given as
where
The slave subsystem is presented as
where
and then the sum subsystem is expressed as
According to Theorem 2, the designed controller U is
where .
The initial conditions are selected as: , , , , , and with . Using the simulation tool in Matlab, the numerical simulations were performed. From Figure 4, we notice that the sum subsystem (48) is asymptotically stable through the controller U, which implies that the master subsystem (44) and the slave subsystem (46) achieve anti-synchronization. Figure 5 shows the states of the master subsystem (44) and the slave subsystem (46). It can be seen that the state vectors of the slave subsystem (46) have the same amplitude but opposite signs compared to those of the master subsystem (44).
Figure 4.
The sum subsystem (48) is asymptotically stable.
5. Conclusions
The partial anti-synchronization problem of fractional-order chaotic systems was investigated through the dynamic feedback control method. Firstly, the existence of the partial anti-synchronization problem was proved, and a necessary and sufficient condition was proposed. Secondly, an algorithm was derived, through which all solutions of this anti-synchronization problem could be obtained. Moreover, the partial anti-synchronization problem for fractional-order chaotic systems was realized through the dynamic feedback control method. Finally, two illustrative examples with numerical simulations were applied in order to verify the correctness and effectiveness of the proposed method.
Author Contributions
R.P. wrote the original draft preparation, C.J. did the numerical simulations, and R.G. reviewed and edited the whole paper. All authors have read and agreed to the published version of the manuscript.
Funding
This work was supported by the Natural Science Foundation of Shandong Province (Grant No. ZR2018MF016).
Institutional Review Board Statement
This study did not require ethical approval.
Informed Consent Statement
All authors involved in this study gave their informed consent.
Data Availability Statement
No data is used in this paper.
Acknowledgments
The authors would like to express sincere appreciation to the anonymous reviewers for their constructive suggestions and comments for further improving the quality and presentation of this paper.
Conflicts of Interest
The authors declare that they have no conflict of interest.
References
- Lorenz, E.N. Deterministic nonperiodic flow. J. Atmos. Sci. 1963, 20, 130–141. [Google Scholar] [CrossRef]
- Pecora, L.M.; Carroll, T.L. Synchronization in chaotic systems. Phys. Rev. Lett. 1990, 64, 821–824. [Google Scholar] [CrossRef]
- Ren, L.; Guo, R.; Vincent, U.E. Coexistence of syn-chronization and anti-synchronization in chaotic systems. Arch. Control Sci. 2016, 26, 69–79. [Google Scholar] [CrossRef]
- Guo, R. Simultaneous synchronizaiton and anti-synchronization of two identical new 4D chaotic systems. Chaos Solitons Fractals 2011, 28, 040205–040209. [Google Scholar]
- Guo, R. Projective synchronization of a class of chaotic systems by dynamic feedback control method. Nonlinear Dyn. 2017, 90, 53–64. [Google Scholar] [CrossRef]
- Hou, T.; Liu, Y.; Deng, F. Finite horizon H2/H∞ control for SDEs with infinite Markovian jumps. Nonlinear Anal. Hybrid Syst. 2019, 34, 108–120. [Google Scholar] [CrossRef]
- Liu, L.; Guo, R. Control problems of Chen-Lee system by adaptive control method. Nonlinear Dyn. 2017, 87, 503–510. [Google Scholar] [CrossRef]
- Cao, L.Y.; Lai, Y.C. Anti-phase synchronism in chaotic systems. Phys. Rev. E 1998, 58, 382–386. [Google Scholar] [CrossRef]
- Hu, J.; Chen, S.; Chen, L. Adaptive control for anti-synchronization of Chua’s chaotic system. Phys. Lett. A 2005, 339, 455–460. [Google Scholar] [CrossRef]
- Wang, Z. Anti-synchronization in two non-identical hyperchaotic systems with known or unknown parameters. Commun. Nonlinear Sci. Numer. Simul. 2009, 14, 2366–2372. [Google Scholar] [CrossRef]
- Jia, B.; Wu, Y.; He, D.; Guo, B.; Xue, L. Dynamics of transitions from anti-phase to multiple in-phase synchronizations in inhibitory coupled bursting neurons. Nonlinear Dyn. 2018, 93, 1599–1618. [Google Scholar] [CrossRef]
- Ren, L.; Guo, R. A necessary and sufficient condition of anti-synchronization for chaotic systems and its applications. Math. Probl. Eng. 2015, 434651, 7. [Google Scholar]
- Yi, X.; Guo, R.; Qi, Y. Stabilization of chaotic systems with both uncertainty and disturbance by the UDE-Based Control Method. IEEE Access 2020, 8, 62471–62477. [Google Scholar] [CrossRef]
- Li, L.; Li, B.; Guo, R. Consensus control for networked manipulators with switched parameters and topologies. IEEE Access 2021, 9, 9209–9217. [Google Scholar] [CrossRef]
- Peng, R.; Jiang, C.M.; Guo, R.W. Stabilization of a class of fractional order systems with both uncertainty and disturbance. IEEE Access 2021. [Google Scholar] [CrossRef]
- Kilbas, A.; Srivastava, H.; Trujillo, J. Theory and Applications of Fractional Differential Equations; Elsevier: Amsterdam, The Netherlands, 2006. [Google Scholar]
- Reza, F.M.; Hadi, D.; Dumitru, B. A note on stability of sliding mode dynamics in suppression of fractional-order chaotic systems. Comput. Math. Appl. 2013, 66, 832–837. [Google Scholar]
- Duarte, F.; Macado, J. Chaotic phenomena and fractional-order dynamics in the trajectory control of redundant manipulators. Nonlinear Dyn. 2001, 29, 315–342. [Google Scholar] [CrossRef]
- Podlubny, I. Fractional-order systems and PIλDμ-controllers. IEEE Trans. Autom. Control 1999, 44, 208–214. [Google Scholar] [CrossRef]
- Mandelbrot, B.; Ness, J. Fractional. Brownian motions, fractional noises and applications. Siam Rev. 2006, 10, 422–437. [Google Scholar] [CrossRef]
- Dadras, S.; Momeni, H.R. Fractional order dynamic output feedback sliding mode control design for robust stabilization of uncertain fractional-order nonlinear systems. Asian J. Control 2013, 16, 489–497. [Google Scholar] [CrossRef]
- Asheghan, M.M.; Beheshti, M.T.H.; Tavazoei, M.S. Robust synchronization of perturbed Chen’s fractional-order chaotic systems. Commun. Nonlinear Sci. Numer. Simul. 2011, 16, 1044–1051. [Google Scholar] [CrossRef]
- Yang, X.B.; He, Y.G.; Li, C.L. Dynamics feature and synchronization of a robust fractional-order chaotic system. Complexity 2018, 2018, 8797314. [Google Scholar] [CrossRef]
- Matouk, A.E. Chaos, Feedback control and synchronization of a fractional-order modified autonomous Van der Pol-Duffing circuit. Commun. Nonlinear Sci. Numer. Simul. 2011, 16, 975–986. [Google Scholar] [CrossRef]
- Yu, Y.; Li, H.; Wang, S.; Yu, J. Dynamic analysis of a fractional-order Lorenz chaotic system. Chaos Solitons Fractals 2009, 42, 1181–1189. [Google Scholar] [CrossRef]
- Lu, J.G.; Chen, G.R. A note on the fractional-order Chen system. Chaos Solitions Fractals 2006, 27, 685–688. [Google Scholar] [CrossRef]
Publisher’s Note: MDPI stays neutral with regard to jurisdictional claims in published maps and institutional affiliations. |
© 2021 by the authors. Licensee MDPI, Basel, Switzerland. This article is an open access article distributed under the terms and conditions of the Creative Commons Attribution (CC BY) license (http://creativecommons.org/licenses/by/4.0/).




