Finite-Time Passivity Analysis of Neutral-Type Neural Networks with Mixed Time-Varying Delays
Abstract
:1. Introduction
- (i)
- We examine a system with mixed time-varying delays in this study. Furthermore, because time-varying delays are distributed, discrete and neutral, the upper bounds for the delays are known.
- (ii)
- We then used the theorems to derive finite-time boundedness, finite-stability and finite-time passivity requirements.
- (iii)
- By using Peng-integral Park’s inequality, model transformation, zero equation and subsequently Wirtinger-based integral inequality approach, some of the simplest LMI-based criteria have been developed.
- (iv)
- Several cases have been examined to ensure that the primary theorem and its corollaries are accurate.
2. Preliminaries
- (a)
- For any external disturbances , system (1) is finite-time bounded;
- (b)
- For a given positive scalar , the following relationship holds under a zero initial condition.
3. Main Results
3.1. Finite-Time Boundedness Analysis
3.2. Finite-Time Stability Analysis
3.3. Finite-Time Passivity Analysis
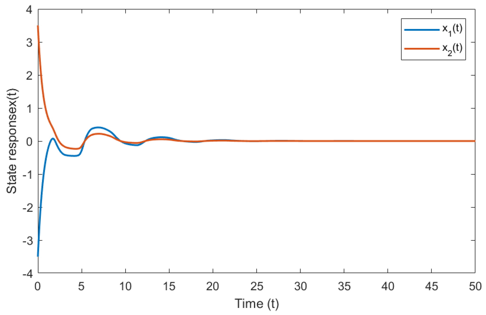
4. Numerical Examples
5. Conclusions
Author Contributions
Funding
Institutional Review Board Statement
Informed Consent Statement
Data Availability Statement
Acknowledgments
Conflicts of Interest
Appendix A
References
- Wu, A.; Zeng, Z. Exponential passivity of memristive neural networks with time delays. Neural Netw. 2014, 49, 11–18. [Google Scholar] [CrossRef]
- Gunasekaran, N.; Zhai, G.; Yu, Q. Sampled-data synchronization of delayed multi-agent networks and its application to coupled circuit. Neurocomputing 2020, 413, 499–511. [Google Scholar] [CrossRef]
- Gunasekaran, N.; Thoiyab, N.M.; Muruganantham, P.; Rajchakit, G.; Unyong, B. Novel results on global robust stability analysis for dynamical delayed neural networks under parameter uncertainties. IEEE Access 2020, 8, 178108–178116. [Google Scholar] [CrossRef]
- Wang, H.T.; Liu, Z.T.; He, Y. Exponential stability criterion of the switched neural networks with time-varying delay. Neurocomputing 2019, 331, 1–9. [Google Scholar] [CrossRef]
- Syed Ali, M.; Saravanan, S. Finite-time stability for memristor base d switched neural networks with time-varying delays via average dwell time approach. Neurocomputing 2018, 275, 1637–1649. [Google Scholar]
- Pratap, A.; Raja, R.; Cao, J.; Alzabut, J.; Huang, C. Finite-time synchronization criterion of graph theory perspective fractional-order coupled discontinuous neural networks. Adv. Differ. Equ. 2020, 2020, 97. [Google Scholar] [CrossRef] [Green Version]
- Pratap, A.; Raja, R.; Alzabut, J.; Dianavinnarasi, J.; Cao, J.; Rajchakit, G. Finite-time Mittag-Leffler stability of fractional-order quaternion-valued memristive neural networks with impulses. Neural Process. Lett. 2020, 51, 1485–1526. [Google Scholar] [CrossRef]
- Li, J.; Jiang, H.; Hu, C.; Yu, J. Analysis and discontinuous control for finite-time synchronization of delayed complex dynamical networks. Chaos Solut. Fractals 2018, 114, 219–305. [Google Scholar] [CrossRef]
- Wang, H.; Liu, P.X.; Bao, J.; Xie, X.J.; Li, S. Adaptive neural output-feedback decentralized control for large-scale nonlinear systems with stochastic disturbances. IEEE Trans. Neural Netw. Learn. Syst. 2020, 31, 972–983. [Google Scholar] [CrossRef]
- Zheng, M.; Li, L.; Peng, H.; Xiao, J.; Yang, Y.; Zhang, Y.; Zhao, H. Finite-time stability and synchronization of memristor-based fractional-order fuzzy cellular neural networks. Commun. Nonlinear Sci. Numer. Simul. 2018, 59, 272–297. [Google Scholar] [CrossRef]
- Wu, A.; Zeng, Z. Lagrange stability of memristive neural networks with discrete and distributed delays. IEEE Trans. Neural Netw. Learn. Syst. 2014, 25, 690–703. [Google Scholar] [CrossRef]
- Bai, C.Z. Global stability of almost periodic solutions of Hopfield neural networks with neutral time-varying delays. Appl. Math. Comput. 2008, 203, 72–79. [Google Scholar] [CrossRef]
- Syed Ali, M.; Zhu, Q.; Pavithra, S.; Gunasekaran, N. A study on <(Q,S,R),γ>-dissipative synchronisation of coupled reaction-diffusion neural networks with time-varying delays. Int. J. Syst. Sci. 2017, 49, 755–765. [Google Scholar]
- Chen, Z.; Ruan, J. Global stability analysis of impulsive Cohen-Grossberg neural networks with delay. Phys. Lett. A 2005, 345, 101–111. [Google Scholar] [CrossRef]
- Li, W.J.; Lee, T. Hopfield neural networks for affine invariant matching. IEEE Trans. Neural Netw. Learn. Syst. 2001, 12, 1400–1410. [Google Scholar]
- Syed Ali, M.; Gunasekaran, N.; Zhu, Q. State estimation of T-S fuzzy delayed neural networks with Markovian jumping parameters using sampled-data control. Fuzzy Sets Syst. 2017, 306, 87–104. [Google Scholar] [CrossRef]
- Syed Ali, M.; Narayanana, G.; Sevgenb, S.; Shekher, V.; Arik, S. Global stability analysis of fractional-order fuzzy BAM neural networks with time delay and impulsive effects. Commun. Nonlinear Sci. Numer. Simul. 2019, 78, 104853. [Google Scholar] [CrossRef]
- Samorn, N.; Yotha, N.; Srisilp, P.; Mukdasai, K. LMI-based results on robust exponential passivity of uncertain neutral-type neural networks with mixed interval time-varying delays via the reciprocally convex combination technique. Computation 2021, 9, 70. [Google Scholar] [CrossRef]
- Meesuptong, B.; Mukdasai, K.; Khonchaiyaphum, I. New exponential stability criterion for neutral system with interval time-varying mixed delays and nonlinear uncertainties. Thai J. Math. 2020, 18, 333–349. [Google Scholar]
- Jian, J.; Wang, J. Stability analysis in lagrange sense for a class of BAM neural networks of neutral type with multiple time-varying delays. Neurocomputing 2015, 149, 930–939. [Google Scholar] [CrossRef]
- Lakshmanan, S.; Park, J.H.; Jung, H.Y.; Kwon, O.M.; Rakkiyappan, R. A delay partitioning approach to delay-dependent stability analysis for neutral type neural networks with discrete and distributed delays. Neurocomputing 2013, 111, 81–89. [Google Scholar] [CrossRef]
- Peng, W.; Wu, Q.; Zhang, Z. LMI-based global exponential stability of equilibrium point for neutral delayed BAM neural networks with delays in leakage terms via new inequality technique. Neurocomputing 2016, 199, 103–113. [Google Scholar] [CrossRef]
- Syed Ali, M.; Saravanakumar, R.; Cao, J. New passivity criteria for memristor-based neutral-type stochastic BAM neural networks with mixed time-varying delays. Neurocomputing 2016, 171, 1533–1547. [Google Scholar] [CrossRef]
- Klamnoi, A.; Yotha, N.; Weera, W.; Botmart, T. Improved results on passivity analysis of neutral-type neural networks with mixed time-varying delays. J. Res. Appl. Mech. Eng. 2018, 6, 71–81. [Google Scholar]
- Ding, D.; Wang, Z.; Dong, H.; Shu, H. Distributed H∞ state estimation with stochastic parameters and nonlinearities through sensor networks: The finite-horizon case. Automatica 2012, 48, 1575–1585. [Google Scholar] [CrossRef]
- Carrasco, J.; Baños, A.; Schaft, A.V. A passivity-based approach to reset control systems stability January. Syst. Control Lett. 2010, 59, 18–24. [Google Scholar] [CrossRef] [Green Version]
- Krasovskii, N.N.; Lidskii, E.A. Analytical design of controllers in systems with random attributes. Autom. Remote Control 1961, 22, 1021–1025. [Google Scholar]
- Debeljković, D.; Stojanović, S.; Jovanović, A. Finite-time stability of continuous time delay systems: Lyapunov-like approach with Jensen’s and Coppel’s inequality. Acta Polytech. Hung. 2013, 10, 135–150. [Google Scholar]
- Wang, L.; Shen, Y.; Ding, Z. Finite time stabilization of delayed neural networks. Neural Netw. 2015, 70, 74–80. [Google Scholar] [CrossRef] [PubMed]
- Rajavela, S.; Samiduraia, R.; Caobc, J.; Alsaedid, A.; Ahmadd, B. Finite-time non-fragile passivity control for neural networks with time-varying delay. Appl. Math. Comput. 2017, 297, 145–158. [Google Scholar] [CrossRef]
- Chen, X.; He, S. Finite-time passive filtering for a class of neutral time-delayed systems. Trans. Inst. Meas. Control 2016, 1139–1145. [Google Scholar] [CrossRef]
- Syed Ali, M.; Saravanan, S.; Zhu, Q. Finite-time stability of neutral-type neural networks with random time-varying delays. Syst. Sci. 2017, 48, 3279–3295. [Google Scholar]
- Saravanan, S.; Syed Ali, M.; Alsaedib, A.; Ahmadb, B. Finite-time passivity for neutral-type neural networks with time-varying delays. Nonlinear Anal. Model. Control 2020, 25, 206–224. [Google Scholar]
- Syed Ali, M.; Meenakshi, K.; Gunasekaran, N. Finite-time H∞ boundedness of discrete-time neural networks normbounded disturbances with time-varying delay. Int. J. Control Autom. Syst. 2017, 15, 2681–2689. [Google Scholar] [CrossRef]
- Phanlert, C.; Botmart, T.; Weera, W.; Junsawang, P. Finite-Time Mixed H∞/passivity for neural networks with mixed interval time-varying delays using the multiple integral Lyapunov-Krasovskii functional. IEEE Access 2021, 9, 89461–89475. [Google Scholar] [CrossRef]
- Amato, F.; Ariola, M.; Dorato, P. Finite-time control of linear systems subject to parametric uncertainties and disturbances. Automatica 2001, 37, 1459–1463. [Google Scholar] [CrossRef]
- Song, J.; He, S. Finite-time robust passive control for a class of uncertain Lipschitz nonlinear systems with time-delays. Neurocomputing 2015, 159, 275–281. [Google Scholar] [CrossRef]
- Kwon, O.M.; Park, M.J.; Park, J.H.; Lee, S.M.; Cha, E.J. New delay-partitioning approaches to stability criteria for uncertain neutral systems with time-varying delays. SciVerse Sci. Direct 2012, 349, 2799–2823. [Google Scholar] [CrossRef]
- Seuret, A.; Gouaisbaut, F. Wirtinger-based integral inequality: Application to time-delay system. Automatica 2013, 49, 2860–2866. [Google Scholar] [CrossRef] [Green Version]
- Peng, C.; Fei, M.R. An improved result on the stability of uncertain T-S fuzzy systems with interval time-varying delay. Fuzzy Sets Syst. 2013, 212, 97–109. [Google Scholar] [CrossRef]
- Park, P.G.; Ko, J.W.; Jeong, C.K. Reciprocally convex approach to stability of systems with time-varying delays. Automatica 2011, 47, 235–238. [Google Scholar] [CrossRef]
- Kwon, O.M.; Park, M.J.; Park, J.H.; Lee, S.M.; Cha, E.J. Analysis on robust H∞ performance and stability for linear systems with interval time-varying state delays via some new augmented Lyapunov Krasovskii functional. Appl. Math. Comput. 2013, 224, 108–122. [Google Scholar]
- Singkibud, P.; Niamsup, P.; Mukdasai, K. Improved results on delay-rage-dependent robust stability criteria of uncertain neutral systems with mixed interval time-varying delays. IAENG Int. J. Appl. Math. 2017, 47, 209–222. [Google Scholar]
- Tian, J.; Ren, Z.; Zhong, S. A new integral inequality and application to stability of time-delay systems. Appl. Math. Lett. 2020, 101, 106058. [Google Scholar] [CrossRef]
- Kwon, O.M.; Park, J.H.; Lee, S.M.; Cha, E.J. New augmented Lyapunov-Krasovskii functional approach to stability analysis of neural networks with time-varying delays. Nonlinear Dyn. 2014, 76, 221–236. [Google Scholar] [CrossRef]
- Zeng, H.B.; He, Y.; Wu, M.; Xiao, S.P. Stability analysis of generalized neural networks with time-varying delays via a new integral inequality. Neurocomputing 2015, 161, 148–154. [Google Scholar] [CrossRef]
- Yang, B.; Wang, J. Stability analysis of delayed neural networks via a new integral inequality. Neural Netw. 2017, 88, 49–57. [Google Scholar] [CrossRef]
- Hua, C.; Wang, Y.; Wu, S. Stability analysis of neural networks with time-varying delay using a new augmented Lyapunov-Krasovskii functional. Neurocomputing 2019, 332, 1–9. [Google Scholar] [CrossRef]
- Zhu, X.L.; Yue, D.; Wang, Y. Delay-dependent stability analysis for neural networks with additive time-varying delay components. IET Control Theory Appl. 2013, 7, 354–362. [Google Scholar] [CrossRef]
- Li, T.; Wang, T.; Song, A.; Fei, S. Combined convex technique on delay-dependent stability for delayed neural networks. IEEE Trans. Neural Netw. Learn. Syst. 2013, 24, 1459–1466. [Google Scholar] [CrossRef]
- Zhang, C.K.; He, Y.; Jiang, L.; Wu, M. Stability analysis for delayed neural networks considering both conservativeness and complexity. IEEE Trans. Neural Netw. Learn. Syst. 2015, 27, 1486–1501. [Google Scholar] [CrossRef] [PubMed] [Green Version]
- Zhang, C.K.; He, Y.; Jiang, L.; Lin, W.J.; Wu, M. Delay-dependent stability analysis of neural networks with time-varying delay: A generalized free-weighting-matrix approach. Appl. Math. Comput. 2017, 294, 102–120. [Google Scholar] [CrossRef]


Publisher’s Note: MDPI stays neutral with regard to jurisdictional claims in published maps and institutional affiliations. |
© 2021 by the authors. Licensee MDPI, Basel, Switzerland. This article is an open access article distributed under the terms and conditions of the Creative Commons Attribution (CC BY) license (https://creativecommons.org/licenses/by/4.0/).
Share and Cite
Khonchaiyaphum, I.; Samorn, N.; Botmart, T.; Mukdasai, K. Finite-Time Passivity Analysis of Neutral-Type Neural Networks with Mixed Time-Varying Delays. Mathematics 2021, 9, 3321. https://doi.org/10.3390/math9243321
Khonchaiyaphum I, Samorn N, Botmart T, Mukdasai K. Finite-Time Passivity Analysis of Neutral-Type Neural Networks with Mixed Time-Varying Delays. Mathematics. 2021; 9(24):3321. https://doi.org/10.3390/math9243321
Chicago/Turabian StyleKhonchaiyaphum, Issaraporn, Nayika Samorn, Thongchai Botmart, and Kanit Mukdasai. 2021. "Finite-Time Passivity Analysis of Neutral-Type Neural Networks with Mixed Time-Varying Delays" Mathematics 9, no. 24: 3321. https://doi.org/10.3390/math9243321
APA StyleKhonchaiyaphum, I., Samorn, N., Botmart, T., & Mukdasai, K. (2021). Finite-Time Passivity Analysis of Neutral-Type Neural Networks with Mixed Time-Varying Delays. Mathematics, 9(24), 3321. https://doi.org/10.3390/math9243321

