Combined Effects of Sequential Velocity and Variable Magnetic Field on the Phase Change Process in a 3D Cylinder Having a Conic-Shaped PCM-Packed Bed System
Abstract
:1. Introduction
2. Mathematical Formulation
3. Results and Discussion
4. Conclusions
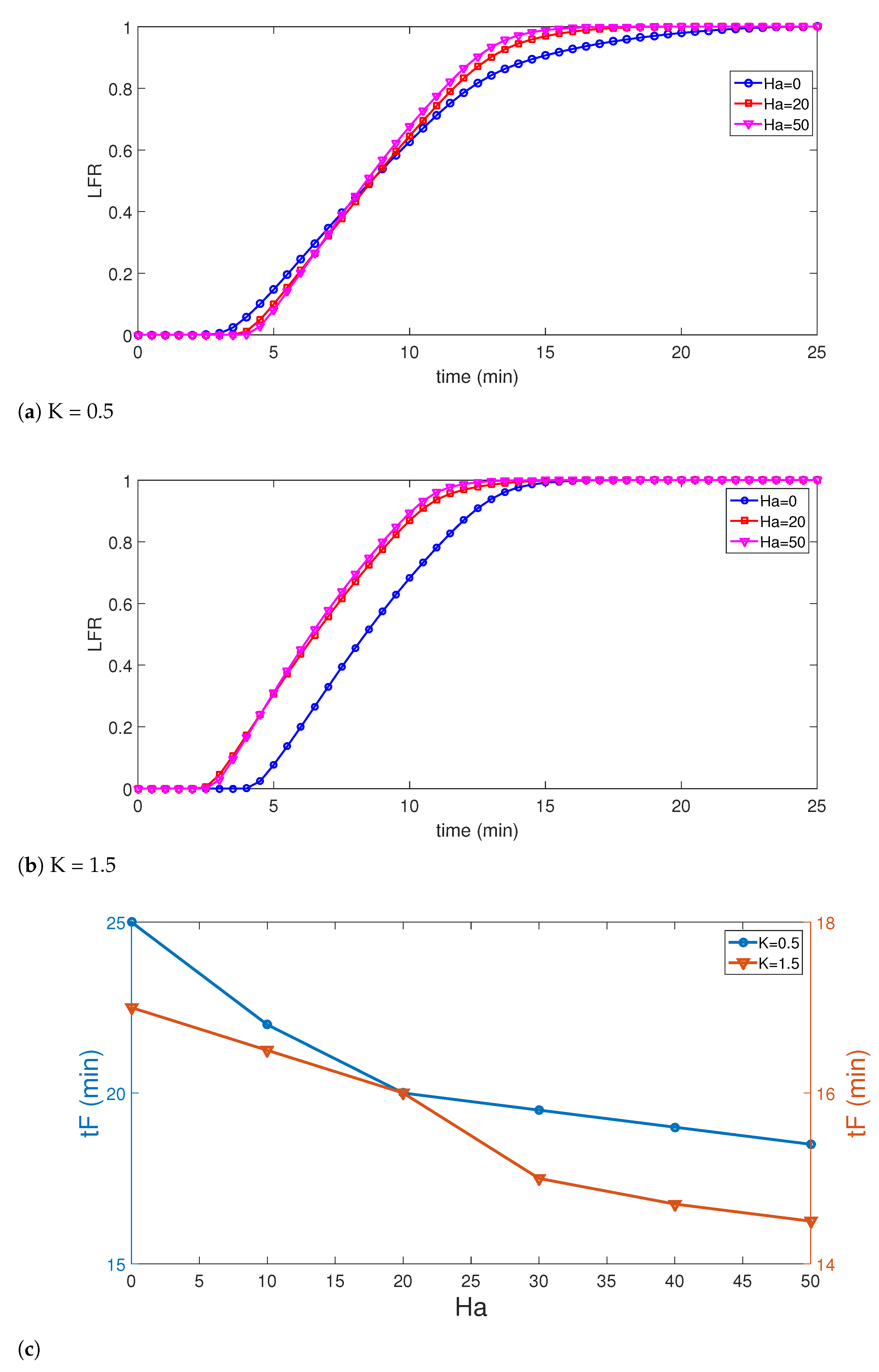
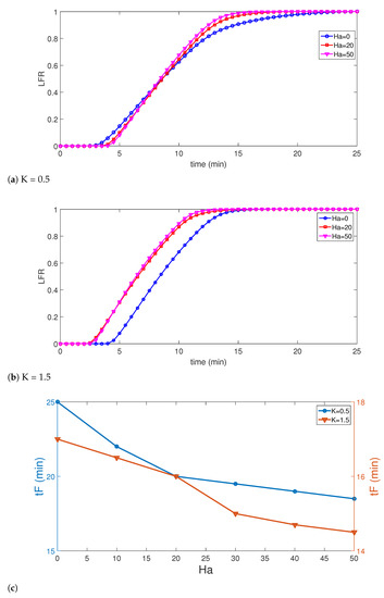
- As the sequential velocity parameter (K) becomes higher, a fast phase transition occurs due to the enhanced wall region velocity. When cases with the lowest and highest K are compared, there is 21.6% reduction in the complete phase transition time (tF).
- Higher MF strength resulted in fast PC. The impact of MF on the PC process is significant with lower values of K while at K = 0.5, tF is reduced by about at the highest MF strength.
- Nanoparticle utilization in the base fluid further improves the performance. This is more effective in the presence of MF effects at the highest strength while reduction in the tF is obtained at the highest nanoparticle concentration.
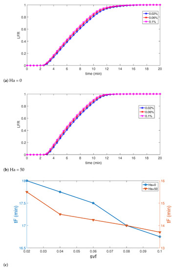
- When spatially varying MF effects are considered, a variation in the phase completion time is observed when the cases with the largest and smallest wave amplitudes are compared.
- When the wave number of the spatially varying MF effects are considered, variation in the tF is seen for the cases with the largest and smallest wave numbers.
- Sequential velocity and MF combination provides a novel way of controlling the PC process with with the 3D cylindrical reactor with an installed PCM-PB system.
Author Contributions
Funding
Institutional Review Board Statement
Informed Consent Statement
Conflicts of Interest
Abbreviations
| A | wave amplitude |
| h | heat transfer coefficient, (W/mK) |
| H | reactor height, (m) |
| Ha | Hartmann number |
| k | thermal conductivity, (W/mK) |
| K | sequential velocity parameter |
| M | geometric factor |
| N | wave number |
| Nu | Nusselt number |
| p | pressure, (Pa) |
| Pr | Prandtl number |
| Re | Reynolds number |
| T | temperature, (K) |
| u, v | x-y velocity components, (m/s) |
| x, y | Cartesian coordinates, (m) |
| Greek Characters | |
| thermal diffusivity, (m/s) | |
| solid volume fraction | |
| kinematic viscosity, (m/s) | |
| density of the fluid, (kg/m) | |
| Subscripts | |
| c | cold |
| h | hot |
| m | average |
| nf | nanofluid |
| p | solid particle |
References
- Kasaeian, A.; Bahrami, L.; Pourfayaz, F.; Khodabandeh, E.; Yan, W.M. Experimental studies on the applications of PCMs and nano-PCMs in buildings: A critical review. Energy Build. 2017, 154, 96–112. [Google Scholar] [CrossRef]
- Sheikholeslami, M.; Mahian, O. Enhancement of PCM solidification using inorganic nanoparticles and an external magnetic field with application in energy storage systems. J. Clean. Prod. 2019, 215, 963–977. [Google Scholar] [CrossRef]
- Shalaby, S.; Bek, M.; El-Sebaii, A. Solar dryers with PCM as energy storage medium: A review. Renew. Sustain. Energy Rev. 2014, 33, 110–116. [Google Scholar] [CrossRef]
- Hosseinizadeh, S.; Tan, F.; Moosania, S. Experimental and numerical studies on performance of PCM-based heat sink with different configurations of internal fins. Appl. Therm. Eng. 2011, 31, 3827–3838. [Google Scholar] [CrossRef]
- Khanna, S.; Reddy, K.; Mallick, T.K. Optimization of finned solar photovoltaic phase change material (finned pv pcm) system. Int. J. Therm. Sci. 2018, 130, 313–322. [Google Scholar] [CrossRef]
- Mat, S.; Al-Abidi, A.A.; Sopian, K.; Sulaiman, M.Y.; Mohammad, A.T. Enhance heat transfer for PCM melting in triplex tube with internal–external fins. Energy Convers. Manag. 2013, 74, 223–236. [Google Scholar] [CrossRef]
- Heyhat, M.M.; Mousavi, S.; Siavashi, M. Battery thermal management with thermal energy storage composites of PCM, metal foam, fin and nanoparticle. J. Energy Storage 2020, 28, 101235. [Google Scholar] [CrossRef]
- Deng, Z.; Liu, X.; Zhang, C.; Huang, Y.; Chen, Y. Melting behaviors of PCM in porous metal foam characterized by fractal geometry. Int. J. Heat Mass Transf. 2017, 113, 1031–1042. [Google Scholar] [CrossRef]
- Tariq, S.L.; Ali, H.M.; Akram, M.A.; Janjua, M.M.; Ahmadlouydarab, M. Nanoparticles enhanced Phase Change Materials (NePCMs)-A Recent Review. Appl. Therm. Eng. 2020, 115305. [Google Scholar] [CrossRef]
- Singh, H.; Saini, R.; Saini, J. A review on packed bed solar energy storage systems. Renew. Sustain. Energy Rev. 2010, 14, 1059–1069. [Google Scholar] [CrossRef]
- de Gracia, A.; Cabeza, L.F. Numerical simulation of a PCM packed bed system: A review. Renew. Sustain. Energy Rev. 2017, 69, 1055–1063. [Google Scholar] [CrossRef] [Green Version]
- Hemida, H.; Sabry, M.N.; Abdel-Rahim, A.; Mansour, H. Theoretical analysis of heat transfer in laminar pulsating flow. Int. J. Heat Mass Transf. 2002, 45, 1767–1780. [Google Scholar] [CrossRef]
- Khosravi-Bizhaem, H.; Abbassi, A.; Ravan, A.Z. Heat transfer enhancement and pressure drop by pulsating flow through helically coiled tube: An experimental study. Appl. Therm. Eng. 2019, 160, 114012. [Google Scholar] [CrossRef]
- Naphon, P.; Wiriyasart, S. Experimental study on laminar pulsating flow and heat transfer of nanofluids in micro-fins tube with magnetic fields. Int. J. Heat Mass Transf. 2018, 118, 297–303. [Google Scholar] [CrossRef]
- Cho, H.; Hyun, J.M. Numerical solutions of pulsating flow and heat transfer characteristics in a pipe. Int. J. Heat Fluid Flow 1990, 11, 321–330. [Google Scholar] [CrossRef]
- Wang, Y.; He, Y.L.; Yang, W.W.; Cheng, Z.D. Numerical analysis of flow resistance and heat transfer in a channel with delta winglets under laminar pulsating flow. Int. J. Heat Mass Transf. 2015, 82, 51–65. [Google Scholar] [CrossRef]
- Selimefendigil, F.; Oztop, H.F. Control of laminar pulsating flow and heat transfer in backward-facing step by using a square obstacle. J. Heat Transf. 2014, 136, 081701. [Google Scholar] [CrossRef]
- Al-Habahbeh, O.; Al-Saqqa, M.; Safi, M.; Khater, T.A. Review of magnetohydrodynamic pump applications. Alex. Eng. J. 2016, 55, 1347–1358. [Google Scholar] [CrossRef] [Green Version]
- Kabeel, A.; El-Said, E.M.; Dafea, S. A review of magnetic field effects on flow and heat transfer in liquids: Present status and future potential for studies and applications. Renew. Sustain. Energy Rev. 2015, 45, 830–837. [Google Scholar] [CrossRef]
- M’hamed, B.; Sidik, N.A.C.; Yazid, M.N.A.W.M.; Mamat, R.; Najafi, G.; Kefayati, G. A review on why researchers apply external magnetic field on nanofluids. Int. Commun. Heat Mass Transf. 2016, 78, 60–67. [Google Scholar] [CrossRef] [Green Version]
- Rudraiah, N.; Barron, R.; Venkatachalappa, M.; Subbaraya, C. Effect of a magnetic field on free convection in a rectangular enclosure. Int. J. Eng. Sci. 1995, 33, 1075–1084. [Google Scholar] [CrossRef]
- Grosan, T.; Revnic, C.; Pop, I.; Ingham, D. Magnetic field and internal heat generation effects on the free convection in a rectangular cavity filled with a porous medium. Int. J. Heat Mass Transf. 2009, 52, 1525–1533. [Google Scholar] [CrossRef]
- Gibanov, N.S.; Sheremet, M.A.; Oztop, H.F.; Abu-Hamdeh, N. Effect of uniform inclined magnetic field on mixed convection in a lid-driven cavity having a horizontal porous layer saturated with a ferrofluid. Int. J. Heat Mass Transf. 2017, 114, 1086–1097. [Google Scholar] [CrossRef]
- Selimefendigil, F.; Öztop, H.F. Effects of local curvature and magnetic field on forced convection in a layered partly porous channel with area expansion. Int. J. Mech. Sci. 2020, 179, 105696. [Google Scholar] [CrossRef]
- Chamkha, A.J.; Jena, S.K.; Mahapatra, S.K. MHD convection of nanofluids: A review. J. Nanofluids 2015, 4, 271–292. [Google Scholar] [CrossRef]
- Sheikholeslami, M.; Rokni, H.B. Simulation of nanofluid heat transfer in presence of magnetic field: A review. Int. J. Heat Mass Transf. 2017, 115, 1203–1233. [Google Scholar] [CrossRef]
- Wang, G.; Zhang, Z.; Wang, R.; Zhu, Z. A review on heat transfer of nanofluids by applied electric field or magnetic field. Nanomaterials 2020, 10, 2386. [Google Scholar] [CrossRef] [PubMed]
- Hayat, T.; Sajjad, R.; Muhammad, T.; Alsaedi, A.; Ellahi, R. On MHD nonlinear stretching flow of Powell–Eyring nanomaterial. Results Phys. 2017, 7, 535–543. [Google Scholar] [CrossRef]
- Tian, X.Y.; Li, B.W.; Hu, Z.M. Convective stagnation point flow of a MHD non-Newtonian nanofluid towards a stretching plate. Int. J. Heat Mass Transf. 2018, 127, 768–780. [Google Scholar] [CrossRef]
- Hsiao, K.L. Combined electrical MHD heat transfer thermal extrusion system using Maxwell fluid with radiative and viscous dissipation effects. Appl. Therm. Eng. 2017, 112, 1281–1288. [Google Scholar] [CrossRef]
- Hsiao, K.L. Micropolar nanofluid flow with MHD and viscous dissipation effects towards a stretching sheet with multimedia feature. Int. J. Heat Mass Transf. 2017, 112, 983–990. [Google Scholar] [CrossRef]
- Selimefendigil, F.; Öztop, H.F. MHD mixed convection and entropy generation of power law fluids in a cavity with a partial heater under the effect of a rotating cylinder. Int. J. Heat Mass Transf. 2016, 98, 40–51. [Google Scholar] [CrossRef]
- Kefayati, G.R. Simulation of heat transfer and entropy generation of MHD natural convection of non-Newtonian nanofluid in an enclosure. Int. J. Heat Mass Transf. 2016, 92, 1066–1089. [Google Scholar] [CrossRef]
- Shah, T.R.; Ali, H.M. Applications of hybrid nanofluids in solar energy, practical limitations and challenges: A critical review. Sol. Energy 2019, 183, 173–203. [Google Scholar] [CrossRef]
- Borode, A.; Ahmed, N.; Olubambi, P. A review of solar collectors using carbon-based nanofluids. J. Clean. Prod. 2019, 241, 118311. [Google Scholar] [CrossRef]
- Kakaç, S.; Pramuanjaroenkij, A. Review of convective heat transfer enhancement with nanofluids. Int. J. Heat Mass Transf. 2009, 52, 3187–3196. [Google Scholar] [CrossRef]
- Sajid, M.U.; Ali, H.M. Recent advances in application of nanofluids in heat transfer devices: A critical review. Renew. Sustain. Energy Rev. 2019, 103, 556–592. [Google Scholar] [CrossRef]
- Yadav, C.; Sahoo, R.R. Effect of nano-enhanced PCM on the thermal performance of a designed cylindrical thermal energy storage system. Exp. Heat Transf. 2021, 34, 356–375. [Google Scholar] [CrossRef]
- Mousavi, S.; Siavashi, M.; Heyhat, M.M. Numerical melting performance analysis of a cylindrical thermal energy storage unit using nano-enhanced PCM and multiple horizontal fins. Numer. Heat Transf. Part A Appl. 2019, 75, 560–577. [Google Scholar] [CrossRef]
- Khan, M.M.A.; Ibrahim, N.I.; Mahbubul, I.; Ali, H.M.; Saidur, R.; Al-Sulaiman, F.A. Evaluation of solar collector designs with integrated latent heat thermal energy storage: A review. Sol. Energy 2018, 166, 334–350. [Google Scholar] [CrossRef]
- Jamil, F.; Ali, H.M.; Nasir, M.A.; Karahan, M.; Janjua, M.; Naseer, A.; Ejaz, A.; Pasha, R.A. Evaluation of photovoltaic panels using different nano phase change material and a concise comparison: An experimental study. Renew. Energy 2021, 169, 1265–1279. [Google Scholar] [CrossRef]
- Dinh, M.T.; Tlili, I.; Dara, R.N.; Shafee, A.; Al-Jahmany, Y.Y.Y.; Nguyen-Thoi, T. Nanomaterial treatment due to imposing MHD flow considering melting surface heat transfer. Phys. A Stat. Mech. Appl. 2020, 541, 123036. [Google Scholar] [CrossRef]
- Kohyani, M.T.; Ghasemi, B.; Raisi, A.; Aminossadati, S. Melting of cyclohexane–Cu nano-phase change material (nano-PCM) in porous medium under magnetic field. J. Taiwan Inst. Chem. Eng. 2017, 77, 142–151. [Google Scholar] [CrossRef]
- Selimefendigil, F.; Öztop, H.F. Impacts of rotating surface and oriented magnetic field on mixed convection and melting behavior of CNT-water nanouid in a horizontal annulus. Int. Commun. Heat Mass Transf. 2021, 120, 104935. [Google Scholar] [CrossRef]
- Sheikholeslami, M. Solidification of NEPCM under the effect of magnetic field in a porous thermal energy storage enclosure using CuO nanoparticles. J. Mol. Liq. 2018, 263, 303–315. [Google Scholar] [CrossRef]
- Hashemi-Tilehnoee, M.; Dogonchi, A.; Seyyedi, S.M.; Sharifpur, M. Magneto-fluid dynamic and second law analysis in a hot porous cavity filled by nanofluid and nano-encapsulated phase change material suspension with different layout of cooling channels. J. Energy Storage 2020, 31, 101720. [Google Scholar] [CrossRef]
- Selimefendigil, F.; Öztop, H.F. Impacts of magnetic field and hybrid nanoparticles in the heat transfer fluid on the thermal performance of phase change material installed energy storage system and predictive modeling with artificial neural networks. J. Energy Storage 2020, 32, 101793. [Google Scholar] [CrossRef]
- Sheikholeslami, M.; Rashidi, M.; Ganji, D. Effect of non-uniform magnetic field on forced convection heat transfer of Fe3O4–water nanofluid. Comput. Methods Appl. Mech. Eng. 2015, 294, 299–312. [Google Scholar] [CrossRef]
- Mehryan, S.; Izadi, M.; Chamkha, A.J.; Sheremet, M.A. Natural convection and entropy generation of a ferrofluid in a square enclosure under the effect of a horizontal periodic magnetic field. J. Mol. Liq. 2018, 263, 510–525. [Google Scholar] [CrossRef]
- Selimefendigil, F.; Öztop, H.F. MHD Pulsating forced convection of nanofluid over parallel plates with blocks in a channel. Int. J. Mech. Sci. 2019, 157, 726–740. [Google Scholar] [CrossRef]
- Urmi, W.; Rahman, M.; Hamzah, W. An experimental investigation on the thermophysical properties of 40% ethylene glycol based TiO2-Al2O3 hybrid nanofluids. Int. Commun. Heat Mass Transf. 2020, 116, 104663. [Google Scholar] [CrossRef]
- Nield, D.; Bejan, A. Convection in Porous Media, in Convection Heat Transfer; John Wiley & Sons, Inc.: Hoboken, NJ, USA, 2013. [Google Scholar]
- COMSOL. Comsol User’s Guide; COMSOL: Stockholm, Sweden, 2018. [Google Scholar]
- Wakao, N.; Kaguei, S.; Funazkri, T. Effect of fluid dispersion coefficients on particle-to-fluid heat transfer coefficients in packed beds: Correlation of Nusselt numbers. Chem. Eng. Sci. 1979, 34, 325–336. [Google Scholar] [CrossRef]
- Ghasemi, B.; Aminossadati, S.; Raisi, A. Magnetic field effect on natural convection in a nanofluid-filled square enclosure. Int. J. Therm. Sci. 2011, 50, 1748–1756. [Google Scholar] [CrossRef]
- Wolff, F.; Viskanta, R. Solidification of a pure metal at a vertical wall in the presence of liquid superheat. Int. J. Heat Mass Transf. 1988, 31, 1735–1744. [Google Scholar] [CrossRef]












Publisher’s Note: MDPI stays neutral with regard to jurisdictional claims in published maps and institutional affiliations. |
© 2021 by the authors. Licensee MDPI, Basel, Switzerland. This article is an open access article distributed under the terms and conditions of the Creative Commons Attribution (CC BY) license (https://creativecommons.org/licenses/by/4.0/).
Share and Cite
Kolsi, L.; Selimefendigil, F.; Omri, M.; Ladhar, L. Combined Effects of Sequential Velocity and Variable Magnetic Field on the Phase Change Process in a 3D Cylinder Having a Conic-Shaped PCM-Packed Bed System. Mathematics 2021, 9, 3019. https://doi.org/10.3390/math9233019
Kolsi L, Selimefendigil F, Omri M, Ladhar L. Combined Effects of Sequential Velocity and Variable Magnetic Field on the Phase Change Process in a 3D Cylinder Having a Conic-Shaped PCM-Packed Bed System. Mathematics. 2021; 9(23):3019. https://doi.org/10.3390/math9233019
Chicago/Turabian StyleKolsi, Lioua, Fatih Selimefendigil, Mohamed Omri, and Lotfi Ladhar. 2021. "Combined Effects of Sequential Velocity and Variable Magnetic Field on the Phase Change Process in a 3D Cylinder Having a Conic-Shaped PCM-Packed Bed System" Mathematics 9, no. 23: 3019. https://doi.org/10.3390/math9233019
APA StyleKolsi, L., Selimefendigil, F., Omri, M., & Ladhar, L. (2021). Combined Effects of Sequential Velocity and Variable Magnetic Field on the Phase Change Process in a 3D Cylinder Having a Conic-Shaped PCM-Packed Bed System. Mathematics, 9(23), 3019. https://doi.org/10.3390/math9233019

