Abstract
This study is concerned with robust synchronization for master–slave chaotic systems with matched/mismatched disturbances and uncertainty in the control input. A robust sliding mode control (SMC) is presented to achieve chaos synchronization even under the influence of matched/mismatched disturbances and uncertainty of inputs. A proportional-integral (PI) switching surface is introduced to make the controlled error dynamics in the sliding manifold easy to analyze. Furthermore, by using the proposed SMC scheme even subjected to input uncertainty, we can force the trajectories of the error dynamics to enter the sliding manifold and fully synchronize the master–slave systems in spite of matched uncertainties and input nonlinearity. As for the mismatched disturbances, the bounds of synchronization errors can be well estimated by introducing the limit of the Riemann sum, which is not well addressed in previous works. Simulation experiments including matched and mismatched cases are presented to illustrate the robustness and synchronization performance with the proposed SMC synchronization controller.
1. Introduction
Chaotic phenomena exist frequently in many nonlinear engineering systems; the chaos dynamic behavior is unstable but bounded and contains infinite non-periodic trajectories in strange attractors. In particular, its state response is very sensitive to the initial values of states, and this is the well-known butterfly effect. Owing to its distinguished advantages in various research fields, chaos control and synchronization has increasingly received attention [1,2]. Particularly, its application to communication security is one of the most important topics in the research of chaos synchronization. By realizing chaos synchronization, the communication system can simultaneously obtain dynamical and random chaotic numbers at the transmitting and receiving ends, and then it becomes possible to further design the chaotic ciphers [3]. Hence, many different synchronization control approaches have been reported in the literature, such as time-varying delay feedback control [4], sliding mode control [5,6,7], linear state feedback control [8], fuzzy sliding mode control [9,10,11], H-infinity stabilization [12,13] and adaptive control [14,15]. For controlled systems, there always exist unknown external perturbations or uncertainties, including unmodeled system dynamics and control input uncertainty due to the component nonlinearities and external disturbances. These disturbances often cause degradation or even failure of the control performance. Therefore, designing a robust control scheme to asymptotically suppress or eliminate the influence of unknown disturbances is a very important issue when discussing synchronization control for chaotic systems [16], and some research works have been proposed by studying the effects of input uncertainties [17,18,19]. By considering the uncertainties for control inputs, the state synchronization controller for two identical n-dimensional chaotic systems was proposed in [17], and the robust adaptive finite-time controller was reported for synchronization in [18]. For second-order chaotic systems, the synchronization controller was proposed by the adaptive sliding mode control [19]. To design a control system, sliding mode control (SMC) is an outstanding method due to the good transient performance, fast response and the robustness to uncertain system parameters or external disturbances, especially when the matching condition is satisfied [20,21]. By surveying the above-mentioned papers, it was found that the works [2,3,4,6,8,15,20] only considered some special classes of chaotic systems, and the unavoidable uncertainty in control input was not considered. The reports in [5,6,7,11,21] introduced the SMC approach to achieve robust synchronization. However, the perturbations of parameters were often considered only with the matched condition, and their approaches cannot cope with mismatched disturbances. In [12,13], the authors considered the synchronization for systems with mismatched disturbances, and the influence of mismatched disturbances was evaluated in the sense of H-infinity control. However, the uncertainty in the control input is not considered. In [17,18,19], researchers took into account the effects of input uncertainties for synchronization controller design. However, only special types of chaotic systems and matched disturbances were considered. Furthermore, for the case of mismatched disturbances, the individual performances for every error state between master and slave systems could not be estimated in their works.
Based on the aforementioned, we aim to discuss the design of robust SMC controllers for synchronization between master and slave chaotic systems. In comparison with the past studies mentioned above, the advantages of the proposed SMC controller are not only that it achieves synchronization for generalized classes of chaotic systems even with input uncertainty and mismatched disturbances, but also that it gives a clear evaluation of synchronization performance for every error state. Furthermore, a proportional-integral (PI) switching function is introduced to avoid the reduced-order property in the traditional SMC such that it becomes easy to estimate the synchronization performance between master–slave systems in sliding manifold for mismatched disturbances. This proposed SMC can always drive the trajectories of the controlled dynamics to hit and enter the sliding mode and fully synchronize the master–slave systems in spite of matched uncertainties and input nonlinearity. As for the mismatched disturbances, the bounds of synchronization errors can be well estimated by utilizing the limit of the Riemann sum. Two simulation experiments including matched and mismatched cases are given to demonstrate the effectiveness of the proposed SMC design method.
Notations: is the identity matrix of , and represents the transpose for a matrix or vector. denotes the Euclidean norm of the vector . is the eigenvalues of matrix . is the matrix norm of A. and is the sign function of s, if = 1; if ; if .
2. System Definition and Problem Statement
The goal of this study is to design an SMC to solve the robust synchronization problem of master–slave chaotic systems even with mismatched disturbances and uncertainty in the control. We consider a general form in (1), which can describe many chaotic systems, such as four-dimensional generalized Lorenz–Stenflo system, the unified chaotic system, Sprott system, Rossler system, Lorenz system, Duffing oscillator, Chua’s circuit, etc. A general form for master chaotic systems is described by
Master chaotic system:
and the slave chaotic system with undesired input uncertainty and matched/mismatched is described as follows.
Slave chaotic system:
where , are system matrices. The matrix pair is controllable, meaning that the controllability matrix has full row rank (i.e., ). represents the mismatched matrix of systems, , , , , , , and are the state vector of master systems, the state vector of slave systems, the input vector, the unknown but bounded input perturbation, the master system nonlinear vector, the slave system nonlinear vector, the unknown but bounded nonlinear disturbance of the slave system and the mismatched disturbance vector, respectively. Besides the unknown disturbance satisfies and is assumed to be bounded by , . The unknown is also bounded by , and the input uncertainty satisfies and .
Considering (1) and (2), we have the following error state equation.
where .
Here the control goal is to present a design procedure of SMC controller robust to bounded input uncertainty and to solve the chaos synchronization problem. To complete this synchronization controller design, two steps are included. First, it is necessary to choose an appropriate switching surface such that the error dynamics in the sliding manifold can be easily analyzed and the error bounds for matched/mismatched disturbances can be estimated. Second, a robust SMC is necessary to guarantee the hitting condition and keep the system trajectories in the sliding manifold even under the influence of input uncertainty. In the following section, we will discuss the designs of a switching surface and robust SMC controller.
3. Switching Surface Design and Performance Estimation in the Sliding Manifold
To complete the above design steps, we first introduce a PI sliding surface that can avoid the reduce order property in the traditional SMC and make it easy to estimate and analyze the error dynamics when the controlled system is driven to the sliding manifold. We choose the PI switching surface, which is defined as follows
where is the generalized inverse satisfying , is the control gain matrix selected such that the eigenvalues of matrix are different real numbers and satisfy .
Differentiating (4), we obtain
Assume the system is in the sliding manifold for ( is the hitting time), i.e., and , the equivalent control can be obtained from (5) with as
Substituting (6) into (3), we can have the synchronization error dynamics in the sliding manifold as
where .
As is well known, since matrix pair (A, B) is controllable, we can easily obtain a specified matrix K by using the pole assignment approach such that all eigenvalues of satisfy . Solving (7), one has the solution of for ( is the hitting time) as
Next, selecting a matrix to transform the matrix to be diagonal and satisfy , where is the independent eigenvector corresponding to eigenvalue of matrix .
From (8), by introducing the fact of , one has
The solution of every can be individually obtained as
where is -row of .
According to (10), we have
Next, introducing the limit of the Riemann sum [22], the term of in (11) can be described as below
where and Thus, we have
By substituting (13) into (11), the bound of every for can be estimated by
Since is specified, we can estimate the bounds of as
Remark 1.
If the uncertain slave system (2) is only subjected to matched uncertainties (i.e., the matrix can be represented asfor some matrix), then we have. According to (15), one can conclude that when the controlled system is with matched uncertainties and disturbances, the synchronization errors can fully converge to zero, i.e., .
From above discussion, we can estimate the individual bound of synchronization errors in the sliding manifold for matched/mismatched disturbances. However, the bounds are obtained for the systems in the sliding manifold. Therefore, we still need to propose an SMC controller robust to input uncertainty to guarantee the sliding motion of .
4. Robust SMC Controller Design
Before continuing the SMC controller design, the following hitting condition based on the Lyapunov stability theorem is presented to ensure the existence of the sliding manifold.
Lemma 1.
The trajectory of the error dynamics (3) always converges to the sliding surface, if the following hitting condition is satisfied
Proof.
According to Lyapunov stability theory, we select a Lyapunov function for all . Obviously, condition (16) implies that . Therefore, as well as the switching function can converge to zero.
For satisfying the hitting condition (16), the SMC control input subjected to bounded uncertainty is proposed as
where . □
Theorem 1.
Consider the uncertain error dynamics (3) with bounded input uncertainty, the system trajectory controlled by the SMC controller (17) can asymptotically converge to the sliding manifold.
Proof.
By introducing (3) and the SMC controller (17) into , we obtain
Since for the input uncertainty, we have
From (19), we have and
Therefore, we can obtain
By substituting (17) into (21), we have
Multiplying into (22) yields
By using the fact of , we have
From (24), we can conclude
Hence, from (18) and (25), we have
Furthermore, since and are selected, we have
Thus, according to Lemma 1, one can conclude that the system trajectory asymptotically converges to the sliding manifold . □
Remark 2.
From the theoretical point of view, the discontinuous sign function in control input (17) may cause chattering. To reduce the chattering resulted from the discontinuous sign function, we can introduce the continuous saturation function described by
whereis sufficiently small.
Obviously, when is sufficiently small, then can be approximated by and the control input can be modified as the following control law [23].
where .
Obviously, the continuous controller (29) with a sufficiently small value of can approach the discontinuous controller (17) very closely.
Remark 3.
According to the above discussion, we can systematize the design procedure for robust chaos synchronization as follows.
- Step 1:
- Construct the master–slave systems as (1), (2) and check the controllability of matrix pair.
- Step 2:
- With the controllable matrix pair, using any available pole assignment approach to calculate the gain matrixsuch that the eigenvaluesof matrixin (7) are all different and satisfy, to guarantee a stable sliding manifold.
- Step 3:
- construct the PI type-switching functionby (4).
- Step 4:
- Find independent eigenvectors corresponding to eigenvalueof matrixand construct the transform matrix.
- Step 5:
- According to (15), calculate the error bounds.
- Step 6:
- Obtain the SMC synchronization controller from (17) or (29).
5. Numerical Simulation Results
In this section, we give two examples to demonstrate the availability of the proposed robust SMC synchronization controller for the Sprott chaotic circuit [24] and four-dimensional generalized Lorenz–Stenflo systems [25].
Example 1.
In this example, we show that the proposed SMC controller can synchronize chaotic systems only using a single input. We consider the Sportt chaotic system [24] described by
where, are the state variables andare system parameters.
System (30) exhibits chaotic strange attractors, as shown in Figure 1 when , , and . Obviously, we can rewrite (30) in the form of (1).
where , , .
Figure 1.
Strange attractors of the Sportt chaotic system.
According to Remark 3, we construct the master–slave systems as:
Master chaotic system:
Slave chaotic system:
Moreover, the matched and mismatched disturbances and uncertain uncertainty in control input are given as
We can easily check that the pair is controllable.
From (34), we have .
According to Step 2 in Remark 3, we can easily select the gain matrix such that to result in a stable sliding mode. And we can design the switching function with as
And eigenvector matrix corresponding to eigenvalues of matrix is obtained as
In the following, according to the matrix , we split it into mismatched and matched conditions to discuss.
- (i)
- Mismatched condition:
Now we examine the mismatched case by assuming . The proposed SMC is utilized to synchronize the master–slave systems given in (32) and (33). To reduce the chatting phenomenon, we replace the sign function with the saturation function (29). Therefore, the sliding mode control with saturation function is given as
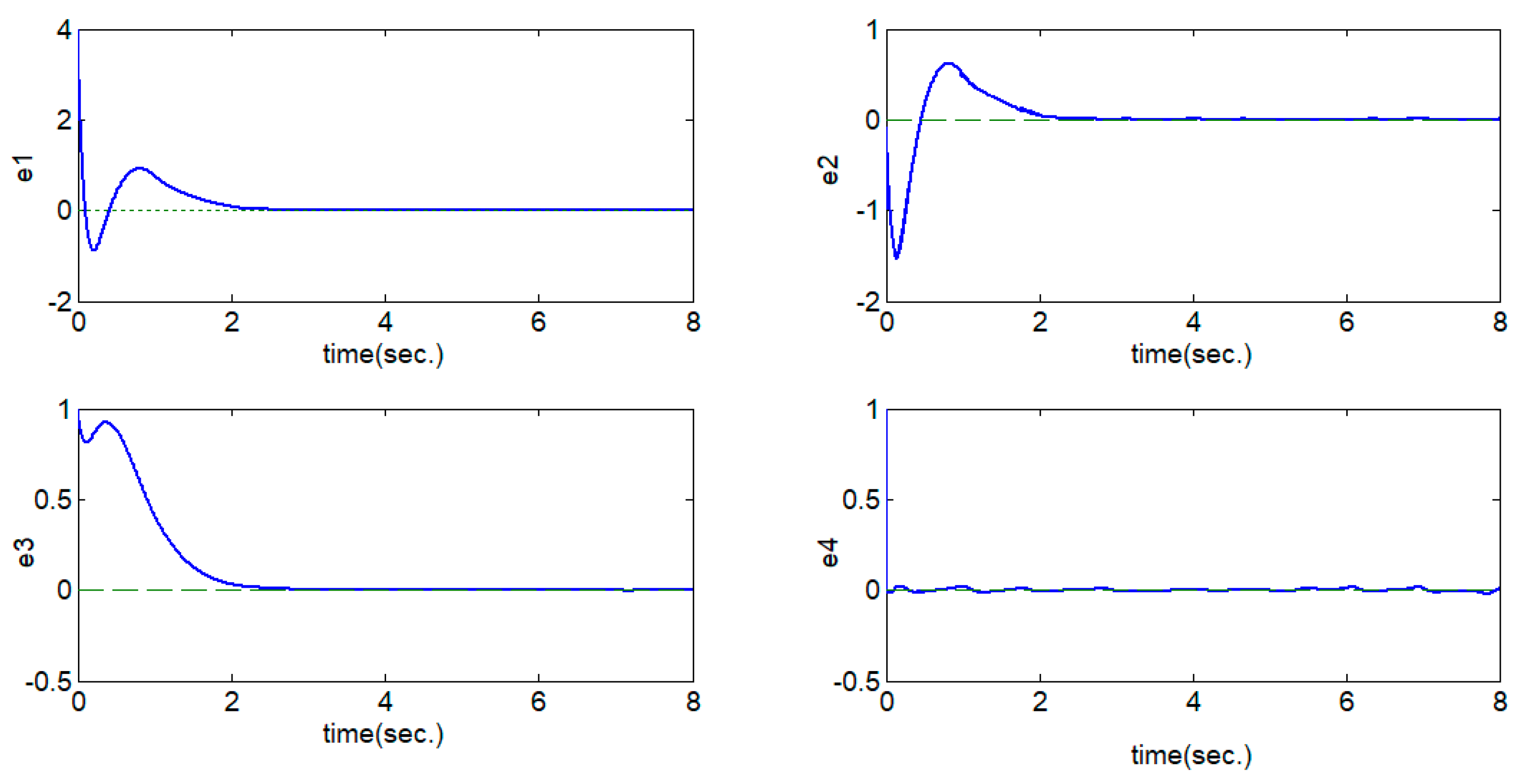
The simulation results with the initial values of and . The upper bound of every synchronization error state can be estimated according to (15) and obtained as , and . Then, the synchronization error responses with estimated bounds, the time response of SMC controller and the sliding surface are presented in Figure 2 and Figure 3, respectively.
Figure 2.
The synchronization error responses with estimated bounds (mismatched condition).
Figure 3.
The time responses of the proposed SMC controller and sliding surface.
- (ii)
- Matched condition:
We continue to simulate the matched case by assuming . In the simulation, we also use the same conditions as those in case (i). The synchronization error trajectories for every are presented in Figure 4. Observing Figure 4, the synchronization errors with matched disturbances exactly converge to zero as concluded in Remark 1.
Figure 4.
The synchronization error responses (matched condition).
Example 2.
A four-dimensional generalized Lorenz–Stenflo system [25] is considered as follows
where, are the state variables andare positive parameters.
System (38) exhibits hyperchaotic strange attractors, as shown in Figure 5 with , .
Figure 5.
Chaotic strange attractor of generalized Lorenz–Stenflo system.
System (38) can be also rewritten by the general form as
where , , .
We can easily check that is controllable with , .
According to Remark 3, we construct the master–slave systems as
Master chaotic system:
Slave chaotic system:
In addition, for simulation, the following terms are given as
From (42), we have .
According to Step 2 in Remark 3, we can obtain the gain matrix such that to result in a stable sliding mode. We can also design the switching function with as
And eigenvector matrix corresponding to eigenvalues of matrix is obtained as
- (i)
- Mismatched condition:
Now we check the mismatched case by assuming
In order to reduce the chattering, we also use the saturation function (29) to replace the discontinuous sign function. Therefore, with continuous saturation function can be obtained as
The simulation results are obtained with the initial values of . As described above, the bounds of every synchronization error state can be predicted as , , and . Then, the synchronization error responses with predicted bounds, the time response of SMC controller and the sliding surface are presented in Figure 6 and Figure 7, respectively.
Figure 6.
The synchronization error responses with estimated bounds (mismatched condition).
Figure 7.
The time responses of the proposed SMC controller and the sliding surface.
- (ii)
- Matched condition:
Now we continue to study the matched case. The matrix is given as
In the simulation, we use the same conditions as those in case (i) except the disturbance matrix . Then, the synchronization error trajectories of every are presented in Figure 8. Observing Figure 8, the synchronization error under matched disturbances can converge to zero as discussed.
Figure 8.
The synchronization error responses (matched condition).
Obviously, according to the simulation results illustrated in Examples 1 and 2, it reveals that the presented robust SMC controller can not only robustly suppress the synchronization errors for matched disturbances, but also predict the synchronization error bounds for mismatched disturbances. The chattering is also reduced by the saturation function. However, a slight influence due to the replacement of the sign function by the saturation function can be observed, but the results are acceptable.
6. Conclusions
A robust chaos synchronization control design for chaotic systems with matched/mismatched disturbances and uncertainty in the input is proposed in this paper. A robust SMC scheme is presented to achieve chaos synchronization even under the influence of matched/mismatched disturbances and nonlinear uncertainty of inputs. The introduced PI type switching surface makes the controlled synchronization error in the sliding manifold easy to analyze. The proposed SMC has great potential in synchronizing uncertain master–slave systems even with mismatched uncertainties as well as input nonlinearity. Moreover, as for the mismatched disturbances, the synchronization errors can also be robustly suppressed to predictable bounds. The design procedure for robust chaos synchronization has been systematized and the numerical simulation results have demonstrated the robustness and validity of the proposed chaos suppression controller.
Author Contributions
All authors contributed to the paper Formal analysis, C.-H.L.; Project administration, J.-J.Y.; Software, C.-H.L.; Writing—original draft, G.-H.H.; Writing—review & editing, J.-J.Y. All authors have read and agreed to the published version of the manuscript.
Funding
This work was financially supported by the Ministry of Science and Technology, Taiwan, under grant MOST-109-2221-E-167-017.
Institutional Review Board Statement
Not applicable.
Informed Consent Statement
Not applicable.
Data Availability Statement
No new data were created or analyzed in this study. Data sharing is not applicable to this article.
Conflicts of Interest
The authors declare no conflict of interest.
References
- Sheikhan, M.; Shahnazi, R.; Garoucy, S. Synchronization of general chaotic systems using neural controllers with application to secure communication. Neural Comput. Appl. 2011, 22, 361–373. [Google Scholar] [CrossRef]
- Hoz, M.Z.D.; Acho, L.; Vidal, Y. A modified Chua chaotic oscillator and its application to secure com-munications. Appl. Math. Comput. 2014, 247, 712–722. [Google Scholar]
- Liao, T.-L.; Wan, P.-Y.; Yan, J. Design of Synchronized Large-Scale Chaos Random Number Generators and Its Application to Secure Communication. Appl. Sci. 2019, 9, 185. [Google Scholar] [CrossRef]
- Han, Q.-L. On Designing Time-Varying Delay Feedback Controllers for Master–Slave Synchronization of Lur’e Systems. IEEE Trans. Circuits Syst. I Regul. Pap. 2007, 54, 1573–1583. [Google Scholar] [CrossRef]
- Dadras, S.; Momeni, H. Adaptive sliding mode control of chaotic dynamical systems with application to synchronization. Math. Comput. Simul. 2010, 80, 2245–2257. [Google Scholar] [CrossRef]
- Liu, H.; Wang, H.; Cao, J.; Alsaedi, A.; Hayat, T. Composite learning adaptive sliding mode control of fractional-order nonlinear systems with actuator faults. J. Frankl. Inst. 2019, 356, 9580–9599. [Google Scholar] [CrossRef]
- Lin, T.-C.; Lee, T.-Y. Chaos Synchronization of Uncertain Fractional-Order Chaotic Systems with Time Delay Based on Adaptive Fuzzy Sliding Mode Control. IEEE Trans. Fuzzy Syst. 2011, 19, 623–635. [Google Scholar] [CrossRef]
- Ding, K.; Han, Q.-L. Master-slave synchronization criteria for chaotic hindmarsh-rose neurons using linear feedback control. Complexity 2016, 21, 319–327. [Google Scholar] [CrossRef]
- Bouzeriba, A.; Boulkroune, A.; Bouden, T. Fuzzy adaptive synchronization of uncertain fractional-order chaotic systems. Int. J. Mach. Learn. Cybern. 2015, 7, 893–908. [Google Scholar] [CrossRef]
- Jeong, S.; Ji, D.; Park, J.H.; Won, S. Adaptive synchronization for uncertain chaotic neural networks with mixed time delays using fuzzy disturbance observer. Appl. Math. Comput. 2013, 219, 5984–5995. [Google Scholar] [CrossRef]
- Kuo, C.-L. Design of a fuzzy sliding-mode synchronization controller for two different chaos systems. Comput. Math. Appl. 2011, 61, 2090–2095. [Google Scholar] [CrossRef]
- Lee, S.M.; Ji, D.H.; Park, J.H.; Won, S.C. H∞ synchronization of chaotic systems via dynamic feedback approach. Phys. Lett. A 2008, 372, 4905–4912. [Google Scholar] [CrossRef]
- Qin, Z.; Wang, J.L.; Huang, Y.L.; Ren, S.Y. Synchronization and H∞ synchronization of multi-weighted complex delayed dynamical networks with fxed and switching topologies. J. Frankl. Inst. 2017, 354, 7119–7138. [Google Scholar] [CrossRef]
- Adloo, H.; Roopaei, M. Review article on adaptive synchronization of chaotic systems with unknown parameters. Nonlinear Dyn. 2010, 65, 141–159. [Google Scholar] [CrossRef]
- Liu, B.; Li, J.-P.; Zheng, W. Synchronization and Adaptive Anti-Synchronization Control for Lorenz Systems under Channel Noise with Applications. Asian J. Control. 2012, 15, 919–929. [Google Scholar] [CrossRef]
- Zhang, H.; Mengb, D.; Wang, J.; Lu, G. Synchronization of uncertain chaotic systems via fuzzy-regulated adaptive optimal control approach. Int. J. Syst. Sci. 2020, 51, 473–487. [Google Scholar] [CrossRef]
- Yang, C.-H.; Wang, K.-C.; Wu, L.; Wen, R. State Synchronization for a Class of n-Dimensional Nonlinear Systems with Sector Input Nonlinearity via Adaptive Two-Stage Sliding Mode Control. Math. Probl. Eng. 2020, 2020, 1–11. [Google Scholar] [CrossRef]
- Aghababa, M.P.; Aghababa, H.P. A general nonlinear adaptive control scheme for finite-time synchro-nization of chaotic systems with uncertain parameters and nonlinear inputs. Nonlinear Dyn. 2012, 69, 1903–1914. [Google Scholar] [CrossRef]
- Yang, C.-C.; Lin, C.-L. Adaptive sliding mode control for chaotic synchronization of oscillator with input nonlinearity. J. Vib. Control. 2013, 21, 601–610. [Google Scholar] [CrossRef]
- Wang, C.-C.; Yau, H.-T. Nonlinear dynamic analysis and sliding mode control for a gyroscope system. Nonlinear Dyn. 2010, 66, 53–65. [Google Scholar] [CrossRef]
- Utkin, V. Variable Structure Systems with Sliding Modes: Survey Paper. IEEE Trans Auto. Control 1977, 22, 212–222. [Google Scholar] [CrossRef]
- Deeborah, H.H.; Andrew, M.G.; William, G.M. Calculus Single and Multivariable 4th Edition with Study Guide; John & Wiley and Sons: Hoboken, NJ, USA, 2005. [Google Scholar]
- Yan, J.J.; Chen, C.Y.; Tsai, J.S.H. Hybrid chaos control of continuous-time unified chaotic systems using discrete rippling sliding mode control. Nonlinear Anal. Hybrid Syst. 2016, 22, 276–283. [Google Scholar] [CrossRef]
- Almeida, D.I.R.; Álvarez, J.; Barajas, J.G.; Barajas-Ramírez, J.G. Robust synchronization of Sprott circuits using sliding mode control. Chaos Solitons Fractals 2006, 30, 11–18. [Google Scholar] [CrossRef]
- Chen, Y.-M.; Liang, H.-H. Zero-zero-Hopf bifurcation and ultimate bound estimation of a generalized Lorenz-Stenflo hyperchaotic system. Math. Methods Appl. Sci. 2017, 40, 3424–3432. [Google Scholar] [CrossRef]
Publisher’s Note: MDPI stays neutral with regard to jurisdictional claims in published maps and institutional affiliations. |
© 2021 by the authors. Licensee MDPI, Basel, Switzerland. This article is an open access article distributed under the terms and conditions of the Creative Commons Attribution (CC BY) license (http://creativecommons.org/licenses/by/4.0/).







