Next Article in Journal
Noncanonical Neutral DDEs of Second-Order: New Sufficient Conditions for Oscillation
Next Article in Special Issue
Weighted Fractional-Order Transform Based on Periodic Matrix
Previous Article in Journal
On a Boundary Value Problem for the Biharmonic Equation with Multiple Involutions
Previous Article in Special Issue
Mathematical Modelling of Turbulent Combustion of Two-Phase Mixtures of Gas and Solid Particles with a Eulerian–Eulerian Approach: The Case of Hydrogen Combustion in the Presence of Graphite Particles
 
 
Font Type:
Arial Georgia Verdana
Font Size:
Aa Aa Aa
Line Spacing:
Column Width:
Background:
Article

A New Extended Model with Bathtub-Shaped Failure Rate: Properties, Inference, Simulation, and Applications

1
Department of Mathematics, Faculty of Science, Taibah University, Medina 42353, Saudi Arabia
2
Department of Mathematics and Statistics, University of Agriculture, Faisalabad, Punjab 38000, Pakistan
3
Department of Administrative Sciences and Humanities, Community College of Buraydah, Qassim University, Buraydah 51452, Saudi Arabia
4
Department of Mathematics, Tafila Technical University, Tafila 66110, Jordan
5
Department of Statistics, Mathematics and Insurance, Benha University, Benha 13511, Egypt
*
Author to whom correspondence should be addressed.
Mathematics 2021, 9(17), 2024; https://doi.org/10.3390/math9172024
Submission received: 16 June 2021 / Revised: 19 August 2021 / Accepted: 19 August 2021 / Published: 24 August 2021
(This article belongs to the Special Issue Numerical Analysis and Scientific Computing)

Abstract

:
Theoretical and applied researchers have been frequently interested in proposing alternative skewed and symmetric lifetime parametric models that provide greater flexibility in modeling real-life data in several applied sciences. To fill this gap, we introduce a three-parameter bounded lifetime model called the exponentiated new power function (E-NPF) distribution. Some of its mathematical and reliability features are discussed. Furthermore, many possible shapes over certain choices of the model parameters are presented to understand the behavior of the density and hazard rate functions. For the estimation of the model parameters, we utilize eight classical approaches of estimation and provide a simulation study to assess and explore the asymptotic behaviors of these estimators. The maximum likelihood approach is used to estimate the E-NPF parameters under the type II censored samples. The efficiency of the E-NPF distribution is evaluated by modeling three lifetime datasets, showing that the E-NPF distribution gives a better fit over its competing models such as the Kumaraswamy-PF, Weibull-PF, generalized-PF, Kumaraswamy, and beta distributions.

1. Introduction

Over the past three decades, the promising attention of researchers towards the development of new generalized models has increased to explore the hidden characters of baseline models. New generalized models open new horizons to address real-world problems and to provide an adequate fit to the complex and asymmetric random phenomena. Hence, various models have been constructed and studied in the literature. One of the simplest and most handy lifetime models induced in the statistical literature is the Lehmann Type I (L-I) and Type II models [1]. In the literature, the L-I model is most often discussed in favor of the power function (PF) distribution. The L-I model is simply the exponentiation of any baseline model, and it can be specified by the following cumulative distribution function (CDF):
F ( x ; α , ξ ) = G α ( x ; ξ ) ,   α > 0 ,   x .
Gupta et al. [2] utilized the L-I approach to define a generalized form of the exponential distribution. On the other hand, Cordeiro et al. [3] proposed a dual transformation to the L-I approach and defined the Lehmann Type II (L-II) G class of distributions, which is specified by the CDF:
F ( x ; α , ξ ) = 1 ( 1 G ( x ; ξ ) ) α ,   α > 0 ,   x ,
where G ( x ; ξ ) is the CDF of the arbitrary baseline model with a parametric vector ξ and shape parameter α > 0 .
The L-I and L-II approaches have been extensively utilized to propose more flexible and modified forms of classical models, due to their simple closed-form CDFs. The PF distribution is a simple form of the L-I distribution. The simplicity and usefulness of the PF distribution have attracted many researchers to study and explore its further extensions and applications in different applied areas. For example, Dallas [4] developed a relationship between the PF and Pareto distributions, Meniconi and Barry [5] adopted the PF distribution to model electronic components data, Chang [6] discussed the independence of record values based on the characterization of the PF distribution, Tavangar [7] characterized the PF distribution by dual generalized order statistics, Ahsanullah et al. [8] adopted the lower record values to characterize the PF distribution, Zaka et al. [9] discussed the estimation of the PF parameters via various estimation methods, and Shahzad et al. [10] discussed the estimation of the PF parameters via the trimmed L moments. Furthermore, some notable extensions of the PF distribution include, for example, the beta-PF [11], Weibull-PF [12,13], transmuted-PF [14], weighted-PF [15], Marshall–Olkin PF [16], transmuted generalized-PF [17], exponentiated transmuted-PF [18], and odd generalized exponential PF [19], and recently, Arshad et al. [20,21] developed a bounded bathtub-shaped failure rate PF model via L-II class, called the exponentiated-PF distribution.
The basic aim to carry out the present study is to develop a flexible bathtub-shaped failure rate model called the exponentiated new power function (E-NPF) distribution, which has some useful properties such as (i) its CDF, probability density function (PDF), and likelihood function are simple and easy to interpret; (ii) from the application perspective, this model is quite uncomplicated; (iii) its density and failure rate shapes follow the skewed and bathtub shapes; and (iv) this model provides a consistently better fit over its competitors.
Moreover, the E-NPF parameters are estimated using several classical methods of estimation. The comparisons and performance of these estimators have been explored via simulation results. Moreover, the maximum likelihood is adopted under type II censored samples to estimate the E-NPF parameters. Several articles have addressed the estimation of the model parameters using different estimators and compared them to determine the best estimation approach. For example, see [22,23,24,25] and the references therein.
This paper is arranged in the following sections. The proposed E-NPF model is developed in Section 2. Comprehensive studies on its mathematical and reliability characteristics are presented in Section 3. Estimations of the E-NPF parameters by eight estimation methods are presented in Section 4. Section 5 illustrates the simulation results by using eight estimation methods. Applications of the E-NPF model to three real datasets are discussed in Section 6 to illustrate its importance and flexibility. Some final conclusions are discussed in Section 7.

2. Materials and Methods

Iqbal et al. [26] studied a two-parameter model called the new power function (NPF) distribution which is specified by the following CDF:
F ( x ; α , β ) = 1 ( 1 x 1 + α x ) β   ,
and its associated PDF reduces to
f ( x ; α , β ) = β ( 1 + α ) ( 1 x ) β 1 ( 1 + α x ) β + 1   ,
where   x ( 0 , 1 ) ,   1 < α < , β > 0 are the scale and shape parameters, respectively.
To this end, we define the E-NPF distribution that can model asymmetric and bathtub-shaped failure rate phenomena. For this, following Gupta et al. [2], we add up a shape parameter to the baseline NPF model. The newly added parameter advances the tail weight of the E-NPF density and starts providing a consistently better fit over its competitors.
A random variable X is said to follow the E-NPF distribution, say X ~ E-NPF( η , ζ , θ ), if its CDF takes the form
F E NPF ( x ; η , ζ , θ ) = ( 1 ( 1 x 1 + η x ) ζ ) θ   ,
and its corresponding PDF reduces to
f E NPF ( x ; η , ζ , θ ) = θ ζ ( 1 + η ) ( 1 + η x ) 2 ( 1 x 1 + η x ) ζ 1 ( 1 ( 1 x 1 + η x ) ζ ) θ 1 ,  
where   x ( 0 , 1 ) ,   1 < η < , is a scale and ζ , θ > 0 are the two shape parameters, respectively. The two special models of the E-NPF distribution are listed in Table 1.

3. Mathematical Properties

3.1. Shape

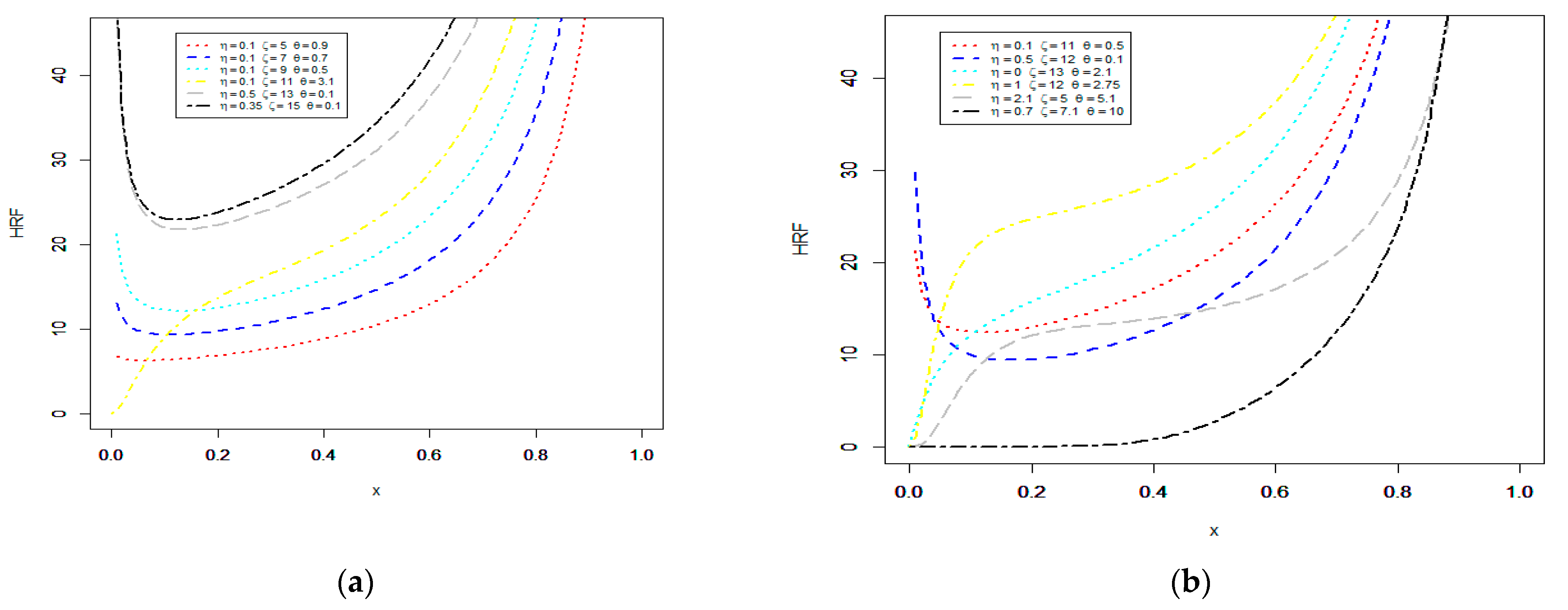
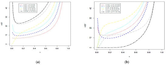
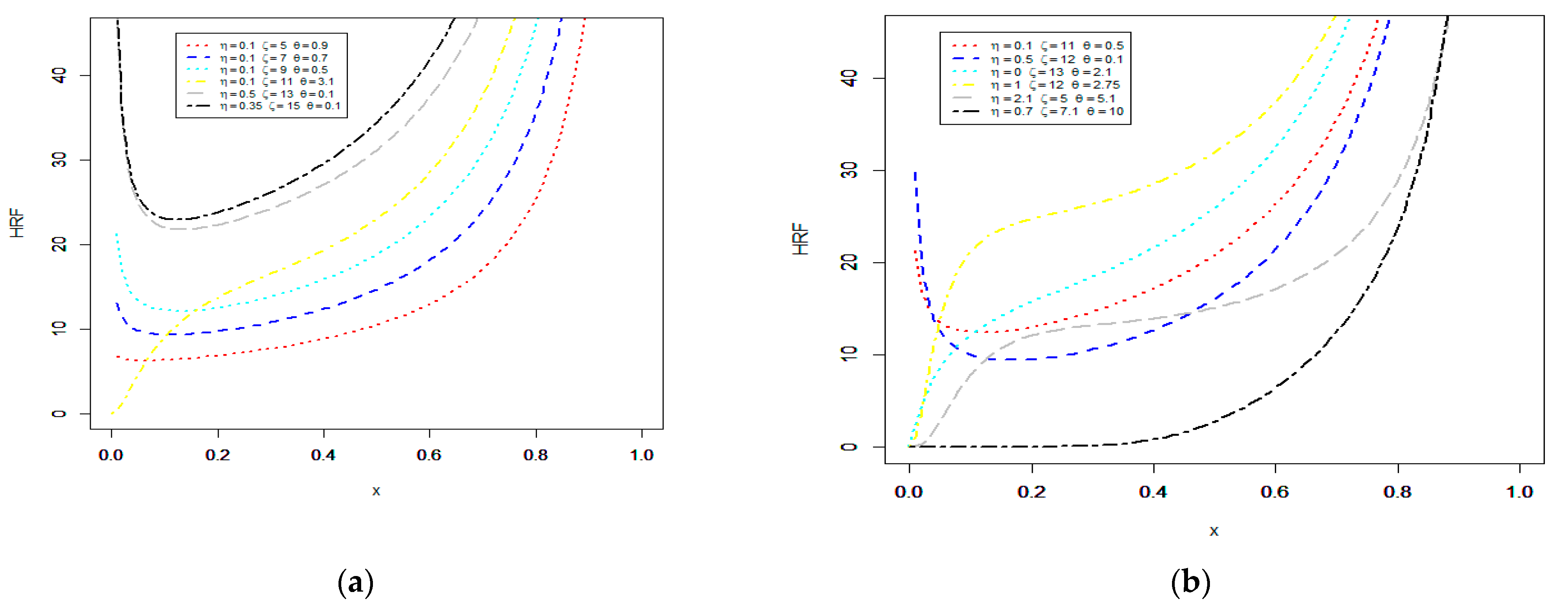
Several shapes for the E-NPF density and failure rate functions are displayed in Figure 1 and Figure 2 for various choices of the parameters. Note that the possible shapes of the PDF corresponding to the parameter η , which controls the scale of the distribution, along with the two shape parameters ζ and θ , which control the shapes of the distribution, including increasing, symmetric, upside-down bathtub, decreasing, and J shapes. These shapes are presented in Figure 1a,b. Furthermore, Figure 2a,b presents the hazard rate function (HRF) shapes, including increasing, U, and bathtub shapes. These flexible HRF shapes are suitable for both the monotonic and non-monotonic hazard rate behaviors, which are most likely to appear in real-time situations (see Pu et al. [27] and Oluyede et al. [28]). Such kinds of shapes are often observed in non-stationary lifetime phenomena.

3.2. Linear Representation

Linear combination provides a simple way to explore the mathematical properties of the model. For this reason, binomial expansion is utilized. It is given as
( 1 z ) ϕ 1 = j = 0 ( 1 ) j ( ϕ 1 j ) z j   , 1 < z < 1 .
Infinite linear combinations of CDF and PDF in Equations (1) and (2) are given, respectively, by
F E NPF ( x ; η , ζ , θ ) = i = 0 j = 0 k = 0 w i j k x j + k
and
f E NPF ( x ; η , ζ , θ ) = ζ θ ( 1 + η ) i = 0 j = 0 ( 1 ) i ( θ 1 i ) ( α j ) ( η x ) j ( 1 x ) ζ ,
f E NPF ( x ; η , ζ , θ ) = ζ θ ( 1 + η ) i = 0 j = 0 k = 0 v i j k   x j + k ,
where
w i j k = ( 1 ) i + k η j ( θ i ) ( ζ i j ) ( ζ i k ) ,   v i j k = ( 1 ) i + k η j ( θ 1 i ) ( α j ) ( β k ) , and   α = ζ ( 1 + i ) 1 ,   β = ζ ( 1 + i ) 1 .
The expression in Equation (4) will be adopted in the forthcoming calculations of several mathematical properties of the E-NPF distribution.

3.3. Reliability Characteristics of the E-NPF Model

Analyzing and predicting the lifetime of a component are important roles in reliability engineering. Hence, some useful and well-established reliability measures are accessible in the literature.
The survival function of X , which represents the probability that a component will survive till time x, takes the form
S E NPF ( x ; η ,   ζ , θ ) = 1 ( 1 ( 1 x 1 + η x ) ζ ) θ .
In reliability theory, the function that measures the failure rate of a component in a particular period t is also referred to as the force of mortality or HRF. The HRF of the E-NPF distribution has the form
h E NPF ( x ; η , ζ , θ ) = θ ζ ( 1 + η ) ( 1 x ) ζ 1 ( 1 ( 1 x 1 + η x ) ζ ) θ 1 ( 1 + η x ) 2 ( 1 + η x ) ζ 1 ( 1 ( 1 ( 1 x 1 + η x ) ζ ) θ )   .
It is well known that most mechanical parts/components of some systems follow a bathtub-shaped hazard rate phenomenon. The cumulative hazard rate (CHR) function is expressed by H ( x ) = log ( S ( x ) ) . The CHR function of X is given by
H E NPF ( x ; η , ζ , θ ) = l o g ( 1 ( 1 ( 1 x 1 + η x ) ζ ) θ ) .
The reverse HRF (RHRF) is expressed by W ( x ) = f ( x ) / F ( x ) . The RHRF of the E-NPF model takes the form
W E NPF ( x ; η , ζ , θ ) = θ ζ ( 1 + η ) ( 1 x ) ζ 1 ( 1 + η x ) 2 ( 1 + η x ) ζ 1 ( 1 ( 1 x 1 + η x ) ζ ) .
The Mills ratio (MR) is expressed by M ( x ) = S ( x ) / f ( x ) . The MR of X reduces to
M E NPF ( x ; η , ζ , θ ) = ( ( 1 + η x ) 1 + ζ   ) ( 1 ( 1 ( 1 x 1 + η x ) ζ ) θ ) θ ζ ( 1 + η ) ( 1 x ) ζ 1 ( 1 ( 1 x 1 + η x ) ζ ) θ 1 .
The odd function is expressed by O ( x ) = F ( x ) / S ( x ) and it is defined, for the E-NPF model, by
O E NPF ( x ; η , ζ , θ ) = ( ( 1 ( 1 x 1 + η x ) ζ ) θ 1 ) 1 .

3.4. Limiting Behavior

The limiting behaviors of cumulative distribution, density, reliability, and hazard rate functions of the E-NPF distribution, which are defined, respectively, in Equations (1), (2), (6), and (7) at x   0 and x   1 , are discussed in Propositions 1 and 2.
Proposition 1.
The limiting behaviors of functions (1), (2), (6), and (7) at x   0 are, respectively, presented by
F_(E-NPF) (x)~0,
f_(E-NPF) (x)~θζ(1+η),
S_(E-NPF) (x)~1,
h_(E-NPF) (x)~0.
Proposition 2.
The limiting behaviors of functions (1), (2), (6), and (7) at x   1 are, respectively, determined by
F_(E-NPF) (x)~1,
f_(E-NPF) (x)~0,
S_(E-NPF) (x)~0,
h_(E-NPF) (x)~Indeterminate.

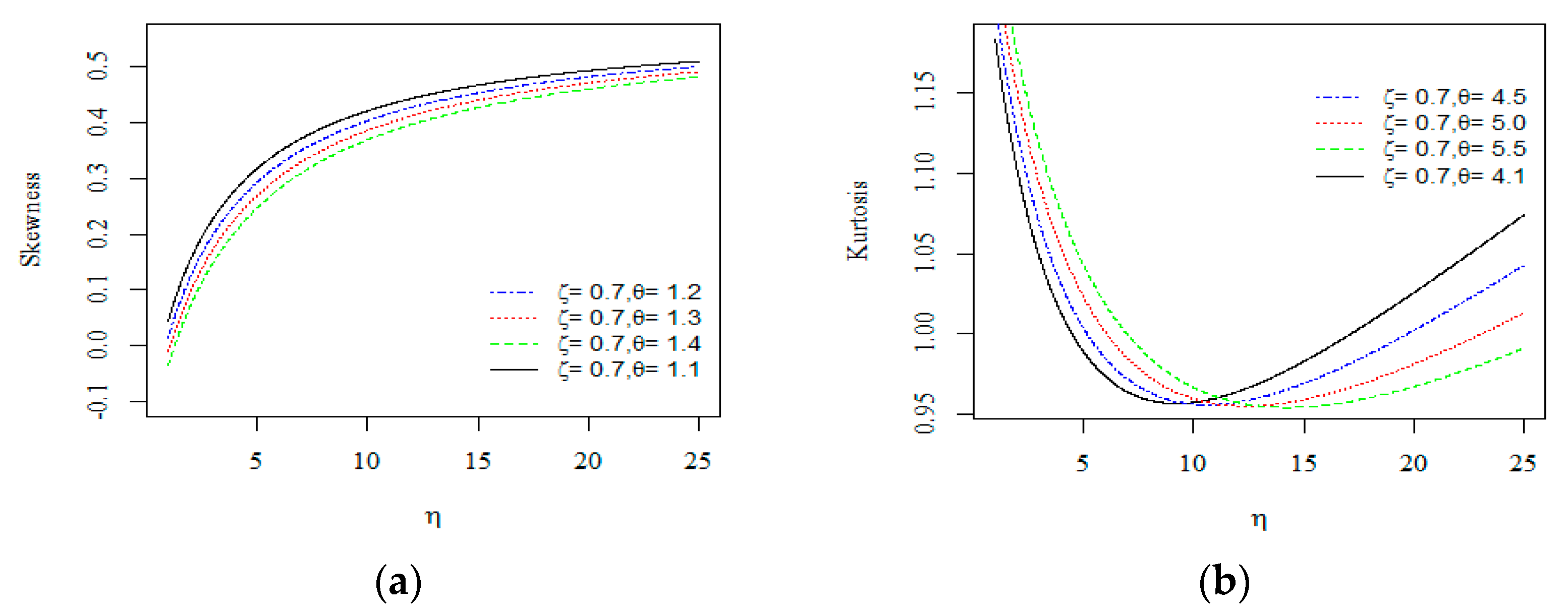
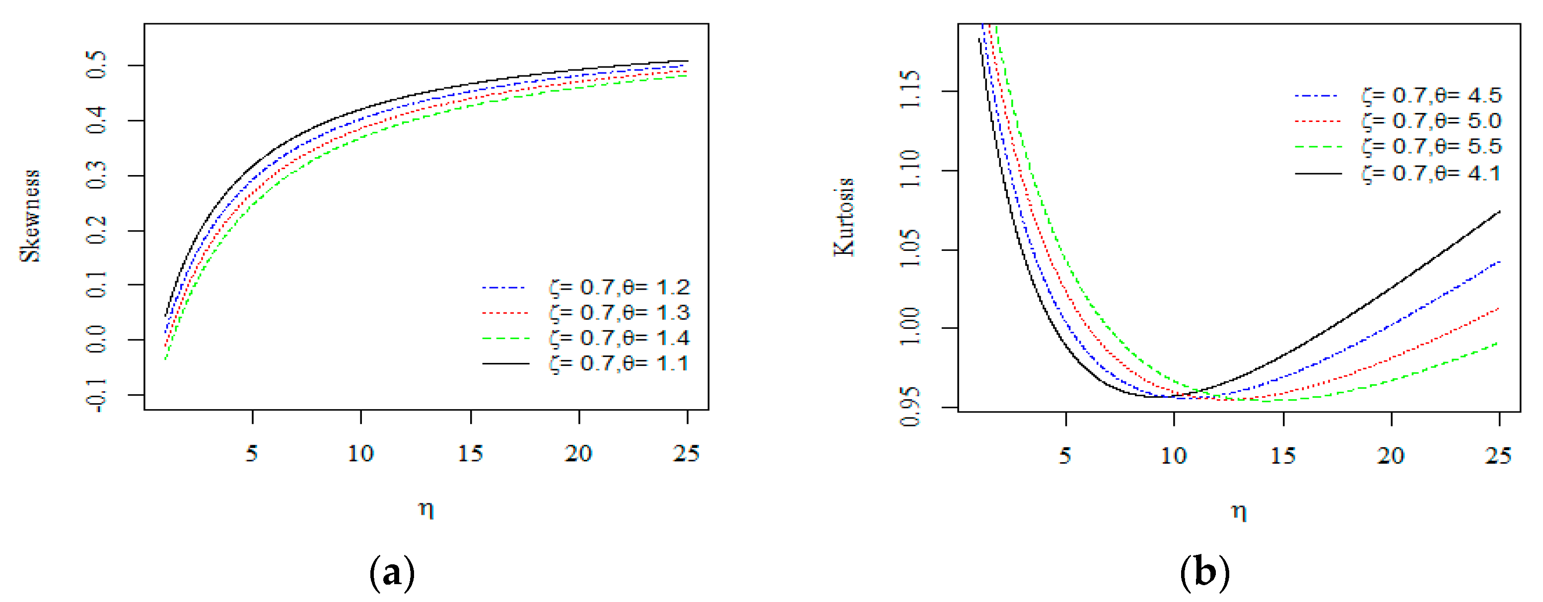
3.5. Quantile Function, Skewness, and Kurtosis

Hyndman and Fan [29] introduced the concept of quantile function (QF). The q-th QF of the E-NPF distribution can be adapted to generate random numbers and is obtained by inverting its CDF (1). The QF is defined by q = F ( x q ) = P ( X x q ) ,   q ( 0 , 1 ) . Then, the QF of X follows as
x q = 1 ( 1 q 1 θ ) 1 ζ 1 + η ( 1 q 1 θ ) 1 ζ   .
To derive the 1st quartile, median, and 3rd quartile of X , one may place q = 0.25, 0.5, and 0.75, respectively, in Equation (14).
The Bowley [30] skewness, say B , and Moors [31] kurtosis, say M , of the E-NPF distribution can be calculated using Equation (14) with the following two formulas:
B = Q 0.75 + Q 0.25 2 Q 0.50 Q 0.75 Q 0.25
and
M = Q 0.375 Q 0.125 Q 0.625 + Q 0.875 Q 0.75 Q 0.25 .
These descriptive measures depend on quartiles and octiles and can provide more robust estimates than the traditional measures of skewness and kurtosis. Additionally, B and M are less sensitive to the outliers and work more effectively for the deficient moment distributions. Some possible shapes of the skewness and kurtosis for various choices of η ,   ζ and θ are presented in Figure 3.

3.6. Moments and Associated Measures

Moments have a useful role in distribution theory, to address the significant characteristics of a probability distribution such as mean, variance, skewness, and kurtosis.
Theorem 1.
If X ~ E-NPF( η , ζ , θ ), with η , ζ , θ > 0 , then the r-th ordinary moment ( μ   r ) of X is given by
μ   r = ζ θ ( 1 + η ) i = 0 j = 0 ( 1 ) i η j ( θ 1 i ) ( α j ) B ( r + j + 1 , ζ ( 1 + i ) ) ,
where B( a , b ) = 0 1 t a ( 1 t ) b 1 d t is the beta function (BF).
Proof. 
Using Equation (2), μ   r can be written as
μ   r = θ ζ ( 1 + η ) 0 1 x r ( 1 + η x ) 2 ( 1 x 1 + η x ) ζ 1 ( 1 ( 1 x 1 + η x ) ζ ) θ 1 d x .
After some algebra, we get
μ   r = ζ θ ( 1 + η ) i = 0 j = 0 ( 1 ) i η j ( θ 1 i ) ( α j ) 0 1 x r + j ( 1 x ) ζ ( 1 + i ) 1 d x .
Simple computations on the last expression lead to the final form of μ   r as follows:
μ   r = ζ θ ( 1 + η ) i = 0 j = 0 ( 1 ) i η j ( θ 1 i ) ( α j ) B ( r + j + 1 , ζ ( 1 + i ) ) ,
where B( x ; a , b ) = 0 x t a 1 ( 1 t ) b 1 d t is the BF and α = ζ ( 1 + i ) 1 .  □
The moment formula (15) is supportive in the development of some useful statistical measures. For instance, the mean of X follows with r = 1 in Equation (15). The 2nd, 3rd, 4th, and higher-order moments of X are formulated by replacing r = 2, 3, and 4 in Equation (15), respectively. Additionally, the Fisher index (F.I. = ( V a r ( X ) / E ( X ) )) plays a significant role in discussing the variability in X . The negative moment of X is simply derived through substituting r by –w in (15). Moreover, one can calculate the skewness ( τ 1 = μ 3 2 / μ 2 3 ) and kurtosis ( τ 2 = μ 4 / μ 2 2 ) of X by integrating Equation (15). Well-established relationships between the central moments ( μ s ) and cumulants ( K s ) of X may easily be defined through μ   r . The moment generating (MG) function of X , M X ( t ) , is defined by
M X ( t ) = r = 0   t r r !   μ r .
The MG function of X follows as
M X ( t ) = 2 β γ ζ θ ( 1 + η ) r = 0 t r r ! i = 0 j = 0 ( 1 ) i η j ( θ 1 i ) ( α j ) B ( r + j + 1 , ζ ( 1 + i ) ) .
Table 2 displays some numerical results of the first four moments μ 1 , μ 2 , μ 3 , μ 4 , variance ε 2 , τ 1 , and τ 2 for some choices of η , ζ and θ . The results are presented for S-I( η = 0.1 ,   ζ = 1.2 , θ = 0.5 ), S-II( η = 1.1 ,   ζ = 1.5 , θ = 1.5 ), S-III( η = 2.1 ,   ζ = 3.5 , θ = 0.5 ), S-IV( η = 1.1 ,   ζ = 1.5 , θ = 2.5 ), and S-V( η = 4.1 ,   ζ = 1.5 , θ = 3.9 ). The results indicate that the moments and variance decrease gradually, though skewness falls between 0 and 1, and kurtosis might be negative as per the different combinations of the parameters.

3.7. Incomplete Moments

Incomplete moments (IM) are categorized into the lower IM (LIM) and the upper IM (UIM).
The r-th LIM is defined as Φ r ( t ) = 0 t x r f ( x ) d x .
The LIM of X has the form
Φ r ( t ) = ζ θ ( 1 + η ) i = 0 j = 0 ( 1 ) i η j ( θ 1 i ) ( α j ) B t ( r + j + 1 , ζ ( 1 + i ) ) ,
where B( x ; a , b ) = 0 x t a 1 ( 1 t ) b 1 d t is the BF and α = ζ ( 1 + i ) 1   .
The conditional survivor/residual life function is the probability that the life of a component, say x, will survive in an additional interval at t.
It is given by
R ( t | x ) = P ( X > x + t | X > t ) = R ( X > x + t ) P ( X > t ) = R ( x + t ) S ( t ) .
The residual life function of X has the form
S R ( t ) ( t | x ) = 1 ( 1 ( 1 ( x + t ) 1 + η ( x + t ) ) ζ ) θ 1 ( 1 ( 1 t 1 + η t ) ζ ) θ .  
Furthermore, the reverse residual life is obtained by S R ¯ ( t ) ( t | x ) = S ( x t ) S ( t ) . It is derived for X by the formula
S R ¯ ( t ) ( t | x ) = 1 ( 1 ( 1 ( x t ) 1 + η ( x t ) ) ζ ) θ 1 ( 1 ( 1 t 1 + η t ) ζ ) θ .

3.8. Entropy

In general, entropy is defined as the system’s disorderedness, uncertainty, or a measure of entanglement.
The Rényi [32] entropy is given as follows:
H ϕ ( X ) = 1 1 ϕ log 0 1 f ϕ ( x ) d x   ,   ϕ > 0   and   ϕ 1 .
First, using Equation (2), we get
f ϕ ( x ; η , ζ , θ ) = ( θ ζ ( 1 + η ) ( 1 + η x ) 2 ) ϕ ( 1 x 1 + η x ) ϕ ( ζ 1 ) ( 1 ( 1 x 1 + η x ) ζ ) ϕ ( θ 1 )   .
By applying the binomial expansion to the last expression, Equation (19) takes the form
H ϕ ( X ) = 1 1 ϕ log ( ( θ ζ ( 1 + η ) ) ϕ i = 0 j = 0 ( 1 ) i η j ( ( θ 1 ) ϕ i ) ( ϕ ( ζ + 1 ) ζ i j ) )   × 0 1 x j ( 1 x ) ϕ ( ζ 1 ) + ζ i d x ,
Hence, the simplified form of H ϕ ( X ) follows as
H ϕ ( X ) = 1 1 ϕ log ( i = 0 j = 0 S i , j ( η , ϕ , ζ , θ ) [ θ ζ ( 1 + η ) ] ϕ B ( j + 1 ,   ϕ ( ζ 1 ) + ζ i + 1 ) ) ,
where S i , j ( η , ϕ , ζ , θ ) = ( 1 ) i η j ( ( θ 1 ) ϕ i ) ( ϕ ( ζ + 1 ) ζ i j ) .

3.9. Stress–Strength Reliability

Let X1 and X2 be defined to discuss the strength and stress of a component, respectively. The reliability, say R, of X is defined (for X 2 < X 1 ) by R = P ( X 2 < X 1 ) .
Theorem 2.
Let X 1 ~ E-NPF( η , ζ , θ 1 ) and X 2 ~ E-NPF( η , ζ , θ 2 ) be independent random variables, then the reliability R reduces to
R = θ 1 θ 1 + θ 2   .
Proof. 
The reliability R is given by
R = P ( X 2 < X 1 ) = f 1 ( x ) F 2 ( x ) d x .
Hence, R reduces to
R =   ( d d x ( 1 ( 1 x 1 + η x ) ζ ) θ 1 ) ( 1 ( 1 x 1 + η x ) ζ ) θ 2 d x .
Let   ( 1 ( 1 x 1 + η x ) ζ ) θ 1 = z   ( 1 ( 1 x 1 + η x ) ζ ) θ 2 = z θ 2 θ 1 .
On simplification, Equation (21) takes the form
R =   z θ 2 θ 1   d z .
After simple computations, R can be expressed in terms of θ 1 and θ 2 as
R = θ 1 θ 1 + θ 2   for   θ 1 , θ 2 > 0 .
The last expression illustrates that the reliability R of the E-NPF distribution is an increasing function of θ 1 and a decreasing function of θ 2 . □

3.10. Stochastic Ordering

Over the past 40 years, the concept of stochastic ordering has engaged scientists and practitioners and is quite useful in economics, reliability theory, queuing theory, insurance, and ecology, among other fields of science.
Let X1 and X2 be the two continuous, nonnegative, and univariate random variables, with Q1(X) and Q2(X) being the CDFs with corresponding PDFs q1(x) and q2(x), respectively. The random variable X1 is smaller than X2 under the following constraints:
(i)
stochastic order (st) (denoted by X1  s t  X2) if Q1(X)  Q2(X)  x;
(ii)
reversed hazard rate (rhr) order (denoted by X1  r h r  X2) if Q1(X)/Q2(X) is decreasing for x 0;
(iii)
likelihood ratio (lkr) order (denoted by X1  l k r  X2) if Q1(x)/Q2(x) is decreasing for x 0;
(iv)
hazard rate (hr) order (denoted by X1  h r  X2) if Q1(X)/Q2(X) is decreasing for x 0.
The four stochastic orders are connected to each other based on the following implications [33].
X 1   r h r   X 2   X 1   l k r   X 2   X 1   h r   X 2   X 1   s t   X 2 .
Theorem 3.
Let X1 ~ E-NPF( η , ζ , θ 1 ) and X2 ~ E-NPF( η , ζ , θ 2 ), if θ 1 <   θ 2 , then X1  l k r   X2 and hence X1  r h r X2  X1  h r X2  and X1  s t X2.
Proof. 
Using Equation (2), we have
f 1 ( x ; η , ζ , θ 1 ) = θ 1 ζ ( 1 + η ) ( 1 + η x ) 2 ( 1 x 1 + η x ) ζ 1 ( 1 ( 1 x 1 + η x ) ζ ) θ 1 1
and
f 2 ( x ; η , ζ , θ 2 ) = θ 2 ζ ( 1 + η ) ( 1 + η x ) 2 ( 1 x 1 + η x ) ζ 1 ( 1 ( 1 x 1 + η x ) ζ ) θ 2 1 .
Hence, we can write
f 1 ( x ; η , ζ , θ 1 ) f 2 ( x ; η , ζ , θ 2 ) = θ 1 θ 2 ( 1 ( 1 x 1 + η x ) ζ ) θ 1 θ 2 .
By taking derivative w.r.t x on both sides, we get
d d x ( f 1 ( x ; η , ζ , θ 1 ) f 2 ( x ; η , ζ , θ 2 ) ) = θ 1 θ 2 ( θ 1 θ 2 ) ( 1 ( 1 x 1 + η x ) ζ ) θ 1 θ 2 1 ( ζ ( 1 + η ) ( 1 x ) ζ 1 ( 1 + η x ) ζ + 1 ) .
Then,
d d x ( f 1 ( x ; η , ζ , θ 1 ) f 2 ( x ; η , ζ , θ 2 ) ) < 0 f 1 ( x ; η , ζ , θ 1 ) f 2 ( x ; η , ζ , θ 2 )
is a decreasing function for all θ 1 <   θ 2 .
Hence, X1  l k r X2 for θ 1 <   θ 2 . □

3.11. Order Statistics

Order statistics (OS) and their moments are considered noteworthy measures in quality control, reliability analysis, and life testing. Let X 1 ,   X 2 ,   , X n be a random sample of size n that follows the E-NPF distribution and X ( 1 : n ) < X ( 2 : n ) < X ( 3 : n ) < < X ( n : n ) be the corresponding OS.
The PDF of X ( i : n ) is
f ( i : n ) ( x ) = 1 B ( i ,   n i + 1 )   ( F ( x ) ) i 1   ( 1 F ( x ) ) n i   f ( x ) ,   i = 1 , 2 , 3 , , n .
By replacing (1) and (2) in the above equation, the PDF of X ( i ) takes the form
f ( i : n ) ( x ) = 1 B ( i ,   n i + 1 ) θ ζ ( 1 + η ) ( 1 + η x ) 2 ( ( 1 ( 1 x 1 + η x ) ζ ) θ ) i 1 ( 1 x 1 + η x ) ζ 1 × ( 1 ( 1 x 1 + η x ) ζ ) θ 1 ( 1 ( 1 ( 1 x 1 + η x ) ζ ) θ ) n i .
The above equation is adopted to compute the w-th moment OS of the E-NPF distribution. Furthermore, the minimum and maximum OS of X follow directly from the above equation with i = 1 , 2 , respectively. The w-th moment OS, E ( X O S w ) , of X follows as
E ( X O S w ) = ζ θ ( 1 + η ) B ( i ,   n i + 1 ) ! j = 0 k = 0 l = 0 ( 1 ) j + k η j ( η i j ) ( θ ( i + j ) 1 k ) × ( ( ζ k + ζ + 1 ) l )   B ( r + l 1 , ζ k + ζ ) .
The CDF of X ( i : n ) is defined (for i = 1 , 2 , 3 , , n ) by
F ( i : n ) ( x ) = r = i n ( n r ) ( F ( x ) ) r   ( 1 F ( x ) ) n r   .
For the E-NPF model, the CDF of X ( i : n ) reduces to
F ( i : n ) ( x ) = r = i n ( n r ) ( ( 1 ( 1 x 1 + η x ) ζ ) θ ) r ( 1 ( 1 ( 1 x 1 + η x ) ζ ) θ ) n r .

4. Estimation of the E-NPF Distribution

4.1. Estimation under Complete Samples

In this section, we estimate the E-NPF parameters η , ζ ,   and θ using eight frequentist approaches under complete samples.

4.1.1. Maximum Likelihood Estimation under Complete Samples

In this section, we estimate the parameters of the E-NPF distribution using the maximum likelihood (ML) method. Let X 1 , X 2 ,   , X n be a random sample of size n from the E-NPF distribution, then the likelihood function of X , L   ( Θ ) , takes the form
L   ( Θ ) = θ n   ζ n   ( 1 + η ) n   i = 1 n   ( 1 x i ) ζ 1 ( 1 + η x i ) ζ + 1   ( 1 ( 1 x i 1 + η x i ) ζ ) θ 1 .  
The log-likelihood function, ( Θ ) = log L ( Θ ) , of X is
( Θ ) = n ( log   θ + log   ζ + log   ( 1 + η ) ) + ( ζ 1 ) i = 1 n log   ( 1 x i ) ( ζ + 1 ) i = 1 n log   ( 1 + η x i ) + ( θ 1 ) i = 1 n log ( 1 ( 1 x i 1 + η x i ) ζ ) .
By taking partial derivatives of Equation (24), we get
( Θ ) η = n 1 + η ( ζ + 1 ) i = 1 n ( x i 1 + η x i   ) + ζ ( θ 1 ) i = 1 n x i ( 1 x i ) ζ ( 1 + η x i ) ζ 1 1 ( 1 x i 1 + η x i ) ζ , ( Θ ) ζ = n ζ + i = 1 n log ( 1 x i 1 + η x i   ) ( θ 1 ) i = 1 n ( 1 x i 1 + η x i ) ζ log ( 1 x i 1 + η x i ) ( 1 ( 1 x i 1 + η x i ) ζ )  
and
( Θ ) θ = n θ + i = 1 n log ( 1 ( 1 x i 1 + η x i   ) ζ ) .
The ML estimators (MLE) η ^ M L E , ζ ^ M L E and θ ^ M L E of the E-NPF distribution can be obtained by maximizing Equation (24) or by solving the above equations simultaneously. These equations cannot provide analytical solutions for the MLEs and the optimum values of η , ζ , and θ . Consequently, the Newton–Raphson-type algorithm is an appropriate way in the support of the MLE. This can be done by using different programs, namely R (optim function), Mathematica, or SAS (PROC NLMIXED), or by solving the nonlinear likelihood equations determined by differentiating ( Θ ) .

4.1.2. Ordinary and Weighted Least-Squares Estimators

Let x ( 1 ) , x ( 2 ) , , x ( n ) be the OS of the random sample of size n from F E NPF ( x ; η , ζ , θ ) in (1). The ordinary least-squares estimators (OLSE), η ^ L S E , ζ ^ L S E and θ ^ L S E , can be obtained by minimizing
V ( η , ζ , θ ) = i = 1 n [ F E NPF ( x ( i ) | η , ζ , θ ) i n + 1 ] 2 ,
with respect to α , μ , and σ . Or equivalently, the OLSE follow by solving the nonlinear equations
i = 1 n [ F E NPF ( x ( i ) | η , ζ , θ ) i n + 1 ] Δ s ( x ( i ) | η , ζ , θ ) = 0 ,   s = 1 , 2 , 3 ,
where
Δ 1 ( x ( i ) | η , ζ , θ ) = η F E NPF ( x ( i ) | η , ζ , θ ) ,   Δ 2 ( x ( i ) | η , ζ , θ ) = ζ F E NPF ( x ( i ) | η , ζ , θ )   and  
Δ 3 ( x ( i ) | η , ζ , θ ) = θ F E NPF ( x ( i ) | η , ζ , θ ) .
Δ 1 ( x ( i ) | η , ζ , θ ) = η F E NPF ( x ( i ) | η , ζ , θ ) ,   Δ 2 ( x ( i ) | η , ζ , θ ) = ζ F E NPF ( x ( i ) | η , ζ , θ ) and Δ 3 ( x ( i ) | η , ζ , θ ) = θ F E NPF ( x ( i ) | η , ζ , θ ) .
Note that the solution of Δ s for s = 1 , 2 , 3 can be obtained numerically.
The weighted least-squares estimators (WLSE), η ^ W L S E , ζ ^ W L S E , and θ ^ W L S E , can be obtained by minimizing the following equation:
W ( η , ζ , θ ) = i = 1 n ( n + 1 ) 2 ( n + 2 ) i ( n i + 1 ) [ F E NPF ( x ( i ) | η , ζ , θ ) i n + 1 ] 2 .
Furthermore, the WLSE can also be derived by solving the nonlinear equations
i = 1 n ( n + 1 ) 2 ( n + 2 ) i ( n i + 1 ) [ F E NPF ( x ( i ) | η , ζ , θ ) i n + 1 ] Δ s ( x ( i ) | η , ζ , θ ) = 0 ,   s = 1 , 2 , 3
where Δ 1 ( | η , ζ , θ ) , Δ 2 ( | η , ζ , θ ) , and Δ 3 ( | η , ζ , θ ) are provided in (25).

4.1.3. Maximum Product of Spacing

The maximum product of spacing (MPS) method, as an approximation to the Kullback–Leibler information measure, is a good alternative to the MLE method.
Let D i ( η , ζ , θ ) = F E NPF ( x ( i ) | η , ζ , θ ) F E NPF ( x ( i 1 ) | η , ζ , θ ) , for i = 1 , 2 , , n + 1 , be the uniform spacing of a random sample from the E-NPF distribution, where F E NPF ( x ( 0 ) | η , ζ , θ ) = 0 , F E NPF ( x ( n + 1 ) | η , ζ , θ ) = 1 , and i = 1 n + 1 D i ( η , ζ , θ ) = 1 . The MPS estimators (MPSE) for η ^ M P S E , ζ ^ M P S E , and θ ^ M P S E can be obtained by maximizing the geometric mean of the spacing
F ( η , ζ , θ ) = [ i = 1 n + 1 D i ( η , ζ , θ ) ] 1 n + 1
with respect to η , ζ , and θ , or, equivalently, by maximizing the logarithm of the geometric mean of sample spacings.
H ( η , ζ , θ ) = 1 n + 1 i = 1 n + 1 log ( D i ( η , ζ , θ ) ) .
The MPSE of the E-NPF parameters can be obtained by solving the nonlinear equations defined by
1 n + 1 i = 1 n + 1 1 D i ( η , ζ , θ ) [ Δ s ( x ( i ) | η , ζ , θ ) Δ s ( x ( i 1 ) | η , ζ , θ ) ] = 0 ,   s = 1 , 2 , 3 ,
where Δ 1 ( | η , ζ , θ ) , Δ 2 ( | η , ζ , θ ) , and Δ 3 ( | η , ζ , θ ) are provided in (25).

4.1.4. The Cramér–von Mises Estimators

The Cramér–von Mises estimators (CVME) as a type of minimum distance (MD) estimator have less bias than the other MD estimators. The CVME are obtained based on the difference between the estimates of the CDF and the empirical distribution function. The CVME of the E-NPF parameters, η ^ C V M E , ζ ^ C V M E , and θ ^ C V M E , can be obtained by minimizing
C ( η , ζ , θ ) = 1 12 n + i = 1 n [ F E NPF ( x ( i ) | η , ζ , θ ) 2 i 1 2 n ] 2 ,
with respect to η ,   ζ , and θ . Furthermore, the CVME follow by solving the nonlinear equations
i = 1 n [ F E NPF ( x ( i ) | η , ζ , θ ) 2 i 1 2 n ] Δ s ( x ( i ) | η , ζ , θ ) = 0 ,   s = 1 , 2 , 3 ,
where Δ 1 ( | η , ζ , θ ) , Δ 2 ( | η , ζ , θ ) , and Δ 3 ( | η , ζ , θ ) are provided in (25).

4.1.5. The Anderson–Darling and Right-Tail Anderson–Darling Estimators

The Anderson–Darling (AD) statistic or AD estimator is another type of minimum distance estimator. The AD estimators (ADE) of the E-NPF parameters, η ^ A D E , ζ ^ A D E , and θ ^ A D E , can be obtained by minimizing
A ( η , ζ , θ ) = n 1 n i = 1 n ( 2 i 1 )   [ log ( F E NPF ( x ( i ) | η , ζ , θ ) ) + log ( S E NPF ( x ( i ) | η , ζ , θ ) ) ] ,
with respect to η , ζ , and θ . These ADE can also be obtained by solving the nonlinear equations
i = 1 n ( 2 i 1 ) [ Δ s ( x ( i ) | η , ζ , θ ) F E NPF ( x ( i ) | η , ζ , θ ) Δ j ( x ( n + 1 i ) | η , ζ , θ ) S E NPF ( x ( n + 1 i ) | η , ζ , θ ) ] = 0 ,   s = 1 , 2 , 3 .
The right-tail AD estimators (RADE) of the E-NPF parameters, η ^ R A D E , ζ ^ R A D E , and θ ^ R A D E , can be obtained by minimizing
R ( η , ζ , θ ) = n 2 2 i = 1 n F E NPF ( x i : n | η , ζ , θ ) 1 n i = 1 n ( 2 i 1 ) log ( S E NPF ( x n + 1 i : n | η , ζ , θ ) ) ,
with respect to η , ζ , and θ . The RADE can also be obtained by solving the nonlinear equations
2 i = 1 n Δ s ( x i : n | η , ζ , θ ) + 1 n i = 1 n ( 2 i 1 ) Δ s ( x ( n + 1 i : m ) | η , ζ , θ ) S E NPF ( x ( n + 1 i : m ) | η , ζ , θ ) = 0 ,   s = 1 , 2 , 3 .
where Δ 1 ( | η , ζ , θ ) , Δ 2 ( | η , ζ , θ ) , and Δ 3 ( | η , ζ , θ ) are provided in (25).

4.1.6. Method of Percentile Estimation

Let q i = i / ( n + 1 ) be an unbiased estimator of F E NPF ( x ( i ) | η , ζ , θ ) . Then, the percentile estimators (PCE) of the parameters of the E-NPF distribution are obtained by minimizing the following function:
P ( η , ζ , θ ) = i = 1 n ( x ( i ) x q i ) 2 ,
with respect to η , ζ , and θ , where x q is the QF of the E-NPF distribution defined in (14).

4.2. Estimation under Type II Censored Samples

In this section, we estimate the E-NPF parameters η , ζ ,   and θ under complete samples using the MLE method.
Let x 1 , x 2 ,   , x n be a random sample of size n from the E-NPF distribution; if in the type II censoring scheme we observe only the first r order statistics, then the likelihood function of X , L * ( Θ ) takes the form
L * ( Θ ) = C   i = 1 r   f ( x i : r : n ) [ 1 F ( x r : r : n ) ] n r ,   x 1 : r : n x 2 : r : n x r : r : n ,
where C is a constant that does not depend on the parameters and x 1 : r : n , x 2 : r : n , , x r : r : n are the censored data. The log-likelihood function without the constant term can be written as follows:
L * ( Θ ) = θ r ζ r ( 1 + η ) r [ 1 ( 1 ( 1 x r 1 + η x r ) ζ ) θ ] n r × i = 1 r   ( 1 x i ) ζ 1 ( 1 + η x i ) ζ + 1 ( 1 ( 1 x i 1 + η x i ) ζ ) θ 1 .  
The log-likelihood function, * ( Θ ) = log L * ( Θ ) , of X is
* ( Θ ) = r   log   θ + r   log   ζ + r   log   ( 1 + η ) + ( ζ 1 ) i = 1 r log   ( 1 x i ) ( ζ + 1 ) i = 1 r log   ( 1 + η x i ) + ( θ 1 ) i = 1 r log [ 1 ( 1 x i 1 + η x i ) ζ ] + ( n r ) log [ 1 ( 1 ( 1 x r 1 + η x r ) ζ ) θ ] .
By taking partial derivatives of Equation (26), we get
* ( Θ ) η = r 1 + η ( ζ + 1 ) i = 1 r x i 1 + η x i   + ζ ( θ 1 ) i = 1 r x i ( 1 x i ) ζ ( 1 + η x i ) ζ 1 1 ( 1 x i 1 + η x i ) ζ θ ζ ( n r ) x r ( 1 x r ) ζ ( 1 + η x r ) ζ 1 ( 1 ( 1 x r 1 + η x r ) ζ ) θ 1 1 ( 1 ( 1 x r 1 + η x r ) ζ ) θ , * ( Θ ) ζ = r ζ + i = 1 r log ( 1 x i 1 + η x i   ) ( θ 1 ) i = 1 r ( 1 x i 1 + η x i ) ζ 1 ( 1 x i 1 + η x i ) ζ log ( 1 x i 1 + η x i ) + θ ( n r ) log ( 1 x r 1 + η x r ) ( 1 x r 1 + η x r ) ζ ( 1 ( 1 x r 1 + η x r ) ζ ) θ 1 1 ( 1 ( 1 x r 1 + η x r ) ζ ) θ and * ( Θ ) θ = r θ + i = 1 r log [ 1 ( 1 x i 1 + η x i   ) ζ ] ( n r ) log [ 1 ( 1 x r 1 + η x r ) ζ ] ( 1 ( 1 x r 1 + η x r ) ζ ) θ 1 ( 1 ( 1 x r 1 + η x r ) ζ ) θ
The type II censored ML estimators (CMLE) η ^ C M L E , , and of the E-NPF distribution can be obtained by maximizing Equation (26) or by solving the above equations simultaneously by any numerical method as in Section 4.1.1.

5. Simulation Study

In this section, we perform the simulation study of the E-NPF distribution for complete samples using eight estimation methods and under the type II censored samples for the MLE method.

5.1. Simulation Results under Complete Samples

In this section, the performance of the estimates is discussed by the following algorithm.
Step 1:
A random sample x 1 ,   x 2 ,   x n of sizes n = 50 ,   80 ,   120 ,   200 , and 300 are generated from the QF in Equation (14).
Step 2:
The required results are obtained based on 36 combinations of the parameters η = { 0.50 ,   0.75 ,   1.50 ,   4.00 } ,   ζ = { 0.50 ,   1.75 ,   3.00 } and θ = { 0.40 ,   1.60 ,   2.75 } .
Step 3:
Each sample is replicated N = 5000 times.
Step 4:
Results of the average of absolute value of biases ( | B i a s ( Θ ^ ) | ), | B i a s ( Θ ^ ) | = 1 N i = 1 N | Θ ^ Θ | , the average of mean square errors (MSE), M S E = 1 N i = 1 N ( Θ ^ Θ ) 2 , and the average of mean relative errors (MRE), M R E = 1 N i = 1 N | Θ ^ Θ | Θ , where Θ = ( η , ζ ,   θ ) T ,   are computed for the 36 combinations; to save more space, we present just the result of 4 combinations in Table 3, Table 4, Table 5 and Table 6.
We used R software (version 4.1.0) [34]. Furthermore, Table 3, Table 4, Table 5 and Table 6 show the rank of each of the estimators among all the estimators in each row, which is the superscript indicators, and the   R a n k s , which is the partial sum of the ranks for each column in a certain sample size. From the results of the 36 combinations, we observe that all the estimation methods show the property of consistency for all parameter combinations, except the Cramér–von Mises method at the combinations: Θ = ( η = 1.5 , ζ = 0.5 , θ = 2.75 ) T and Θ = ( η = 4.00 , ζ = 0.50 , θ = 2.75 ) T for the parameter η .
Table S1 (in Supplementary Materials) shows the partial and overall rank of the estimators. From Table S1, and for the parametric values, we can conclude that the AD method outperforms all the other methods (its overall score of 236). Therefore, we confirm the superiority of ADE for the E-NPF distribution.
For visual illustration, we display the MSE of η , ζ , and θ graphically to show that the MSE decrease with an increase in n as expected. Figure 4 and Figure 5 show the MSE of the three parameters based on the values in Table 5 and Table 6, respectively. The plots illustrate that the MSE of the parameters decrease gradually with the increase in n .

5.2. Simulation Results under Type II Censored Samples

In this section, the performance of the estimates is explored. We consider that the random sample x 1 ,   x 2 ,   x n of sizes n = 20 ,   40 ,   60 ,   80 ,   100 , and 150 were generated from the QF in Equation (14), and the values of r are chosen to be 80 % of n . We choose different values for the parameters η = { 0.50 ,   0.75 ,   4.00 } ,   ζ = { 0.50 ,   3.00 }   and θ = { 0.40 ,   1.60 } and replicate the process N = 5000 times.
In each setting, we obtain the mean of the estimates (ME), M E = 1 N i = 1 N Θ and the corresponding | B i a s ( Θ ^ ) | ,   MSE and MRE. These results are displayed in Table 7.
From Table 7, it is observed that the MSEs decrease as the sample size increases in all the cases under the complete sample, as we discussed in Section 5.1. In the case of type II censored sample, as the number of failures r increases, the MSE decrease in all the cases. Furthermore, the MEs tend to the true parameter values as the sample size increases. Thus, we can say that the MLEs of the parameters η , ζ , and θ under the two schemes are asymptotically unbiased and consistent.

6. Results and Discussion

In this section, we report the application of the E-NPF distribution in applied sciences by analyzing three suitable lifetime datasets. The first dataset relates to oceanography, and it represents the synthetic aperture radar (SAR) image for modeling oil slick visibility in the ocean [35]. The second dataset from the reliability engineering field consists of 20 observations about failure times of mechanical components [36]. The third dataset is discussed by Ahsanullah et al. [8], and it contains measurements on petroleum rock samples. It is worth mentioning that the observations of the three datasets are bounded in the interval (0, 1). The E-NPF distribution is compared with its competing models, which are present in Table 8, based on some criteria such as the Akaike information criterion (AIC), Cramér–von Mises (CM), Anderson–Darling (AD), and Kolmogorov–Smirnov (KS) test with its p-value (KS p-value) statistics. However, using the statistical software R under the package Adequacy Model [37] is considered. In addition, Some choices of descriptive statistics are presented in Table 9.
Table 10, Table 11 and Table 12 illustrate the estimates of the parameters, standard errors (S.E.), and goodness-of-fit statistics. For the three datasets, the E-NPF distribution has the lowest values of AIC, CM, DA, and KS measures and the largest KS p-value among all models studied. That is, the E-NPF distribution provides a superior fit than other models for the three datasets.
Furthermore, the empirically fitted plots of the PDF, CDF, Kaplan–Meier survival, and probability–probability for the three datasets are presented in Figure 6, Figure 7 and Figure 8, respectively. These plots confirm the close fit of the E-NPF distribution to the three datasets. The numerical results in this section are calculated using the statistical software R under the package Adequacy Model [37].

7. Conclusions

In this article, we develop a bounded lifetime model that exhibits a bathtub-shaped failure rate. The proposed distribution is called the exponentiated new power function (E-NPF) distribution. Numerous mathematical and reliability measures are derived in explicit expressions. Some classical methods of estimation are adopted to estimate the E-NPF parameters. Moreover, the maximum likelihood is utilized to estimate the E-NPF parameters under the type II censored samples. Two Monte Carlo simulation studies are carried out to investigate the asymptotic performances of the estimates under complete and type II censored samples. The most efficient and consistent results of the E-NPF distribution are explored by modeling three real-life datasets related to the fields of oceanography, reliability engineering, and petroleum engineering. It is hoped that in the future the E-NPF distribution will be quite helpful for researchers and will be considered a better choice against the baseline model.

Supplementary Materials

The following is available online at https://www.mdpi.com/article/10.3390/math9172024/s1: Table S1: Partial and overall ranks of all estimation methods for various combinations of Θ .

Author Contributions

A.A.M.: data analysis, interpretations, resources, supervision, writing—review and editing; M.Z.I., M.Z.A. and A.Z.A.: conceptualization; M.Z.I., M.Z.A. and H.A.-M.: writing—original draft preparation, supervision; M.Z.I., B.A., H.A.-M. and A.Z.A.: methodology; M.Z.I., B.A., H.A.-M. and A.Z.A.: writing—review and editing. All authors have read and agreed to the published version of the manuscript.

Funding

This research received no external funding.

Acknowledgments

The authors would like to thank the Editorial Board and the referees for their valuable comments and suggestions, which improved the final version of the manuscript.

Conflicts of Interest

There are no conflict of interest for any of the authors.

References

  1. Lehmann, E.L. The power of rank tests. Ann. Math. Stat. 1953, 24, 23–43. [Google Scholar] [CrossRef]
  2. Gupta, R.C.; Gupta, P.; Gupta, R.D. Modeling failure time data by Lehmann alternatives. Commun. Stat.-Theory Methods 1998, 27, 887–904. [Google Scholar] [CrossRef]
  3. Cordeiro, G.M.; De Castro, M. A new family of generalized distributions. J. Stat. Comput. Simul. 2011, 81, 883–893. [Google Scholar] [CrossRef]
  4. Dallas, A.C. Characterization of Pareto and power function distribution. Ann. Math. Stat. 1976, 28, 491–497. [Google Scholar] [CrossRef]
  5. Meniconi, M.; Barry, D. The power function distribution: A useful and simple distribution to assess electrical component reliability. Microelectron Reliab. 1996, 36, 1207–1212. [Google Scholar] [CrossRef]
  6. Chang, S.K. Characterizations of the power function distribution by the independence of record values. J. Chungcheong Math. Soc. 2007, 20, 139–146. [Google Scholar]
  7. Tavangar, M. Power function distribution characterized by dual generalized order statistics. J. Iran. Stat. Soc. 2011, 10, 13–27. [Google Scholar]
  8. Ahsanullah, M.; Shakil, M.; Golam-Kibria, B.M.G. A characterization of the power function distribution based on lower records. ProbStat Forum. 2013, 6, 68–72. [Google Scholar]
  9. Zaka, A.; Akhter, A.S.; Farooqi, N. Methods for estimating the parameters of the power function distribution. J. Stat. 2014, 21, 90–102. [Google Scholar] [CrossRef]
  10. Shahzad, M.N.; Asghar, Z.; Shehzad, F.; Shahzadi, M. Parameter estimation of power function distribution with TL-moments. Rev. Colomb. Estad. 2015, 38, 321–334. [Google Scholar] [CrossRef]
  11. Cordeiro, G.M.; Brito, R.D.S. The beta power distribution. Braz. J. Probab. 2012, 26, 88–112. [Google Scholar]
  12. Tahir, M.H.; Alizadeh, M.; Mansoor, M.; Cordeiro, G.M.; Zubair, M. The Weibull power function distribution with applications. Hacettepe J. Math. Stat. 2014, 45, 245–265. [Google Scholar] [CrossRef]
  13. Tahir, M.H.; Cordeiro, G.M.; Alizadeh, M.; Mansoor, M.; Zubair, M.; Hamedani, G.G. The odd generalized exponential family of distributions with applications. J. Stat. Distrib. Appl. 2015, 2, 1–28. [Google Scholar] [CrossRef] [Green Version]
  14. Ahsan-ul-Haq, M.; Butt, N.S.; Usman, R.M.; Fattah, A.A. Transmuted power function distribution. Gazi Univ. J. Sci. 2016, 29, 177–185. [Google Scholar]
  15. Al-Mutairi, A.O. Transmuted weighted power function distribution. Pak. J. Statist. 2017, 33, 491–498. [Google Scholar]
  16. Okorie, I.E.; Akpanta, A.C.; Ohakwe, J. Marshall-Olkin extended power function distribution. Eur. J. Stat. Probab. 2017, 5, 16–29. [Google Scholar]
  17. Abdul-Moniem, I.B.; Diab, L.S. Generalized transmuted power function distribution. J. Stat. Appl. Probab. 2018, 7, 401–411. [Google Scholar] [CrossRef]
  18. Usman, R.M.; Ahsan-ul-Haq, M.; Bursa, N.; Özel, G. Exponentiated transmuted power function distribution: Theory & applications. Gazi Univ. J. Sci. 2018, 31, 660–675. [Google Scholar]
  19. Hassan, A.; Elshrpieny, E.; Mohamed, R. Odd generalized exponential power function distribution. Gazi Univ. J. Sci. 2019, 32, 351–370. [Google Scholar]
  20. Arshad, M.Z.; Iqbal, M.Z.; Ahmad, M. Exponentiated power function distribution: Properties and applications. JSTA 2020, 19, 297–313. [Google Scholar] [CrossRef]
  21. Arshad, M.Z.; Iqbal, M.Z.; Anees, A.; Ahmad, Z.; Balogun, O.S. A new bathtub shaped failure rate model: Properties, and applications to engineering sector. Pak. J. Statist. 2021, 37, 57–80. [Google Scholar]
  22. Sen, S.; Afify, A.Z.; Al-Mofleh, H.; Ahsanullah, M. The quasi xgamma-geometric distribution with application in medicine. Filomat 2019, 33, 5291–5330. [Google Scholar] [CrossRef] [Green Version]
  23. Ramos, P.L.; Louzada, F.; Ramos, E.; Dey, S. The Fréchet distribution: Estimation and application-An overview. J. Stat. Manag. Syst. 2020, 23, 549–578. [Google Scholar] [CrossRef] [Green Version]
  24. Afify, A.Z.; Mohamed, O.A. A new three-parameter exponential distribution with variable shapes for the hazard rate: Estimation and applications. Mathematics 2020, 8, 135. [Google Scholar] [CrossRef] [Green Version]
  25. Alsubie, A.; Akhter, Z.; Athar, H.; Alam, M.; Ahmad, A.E.B.A.; Cordeiro, G.M.; Afify, A.Z. On the omega distribution: Some properties and estimation. Mathematics 2021, 9, 656. [Google Scholar] [CrossRef]
  26. Iqbal, M.Z.; Arshad, M.Z.; Özel, G.; Balogun, O.S. A better approach to discuss medical science and engineering data with a modified Lehmann Type–II model. F1000Research 2021, 10, 823. [Google Scholar] [CrossRef]
  27. Pu, S.; Oluyede, B.O.; Qiu, Y.; Linder, D. A generalized class of exponentiated modified Weibull distribution with applications. Data Sci. J. 2016, 14, 585–614. [Google Scholar] [CrossRef]
  28. Oluyede, B.O.; Pu, S.; Makubate, B.; Qiu, Y. The gamma-Weibull-G family of distributions with applications. Austrian J. Stat. 2018, 47, 45–76. [Google Scholar] [CrossRef] [Green Version]
  29. Hyndman, R.J.; Fan, Y. Sample quantile in statistical packages. Am. Stat. 1996, 50, 361–365. [Google Scholar]
  30. Bowley, A.L. Elements of Statistics, 4th ed.; Charles Scribner: New York, NY, USA, 1920. [Google Scholar]
  31. Moors, J.J.A. A quantile alternative for kurtosis. J. R. Stat. Soc. Ser. D Stat. 1998, 37, 25–32. [Google Scholar] [CrossRef] [Green Version]
  32. Rényi, A. On measures of entropy and information. In Proceedings of the 4th Fourth Berkeley Symposium on Mathematical Statistics and Probability, Berkeley, CA, USA, 20–30 July 1960; University of California Press: Berkeley, CA, USA, 1961; pp. 547–561. [Google Scholar]
  33. Shaked, M.; Shanthikumar, J.G. Stochastic Orders and Their Applications; Academic Press: New York, NY, USA, 1994. [Google Scholar]
  34. R Core Team. R: A Language and Environment for Statistical Computing; R Foundation for Statistical Computing: Vienna, Austria, 2021; Available online: https://www.R-project.org/ (accessed on 18 May 2021).
  35. Frery, A.C.; Muller, H.J.; Yanasse, C.C.F.; Sant’Anna, S.J.S. A model for extremely heterogeneous clutter. IEEE Trans. Geosci. Remote Sens. 1997, 35, 648–659. [Google Scholar] [CrossRef]
  36. Murthy, D.N.P.; Xie, M.; Jiang, R. Weibull Models; John Wiley & Sons: Hoboken, NJ, USA, 2004. [Google Scholar]
  37. Rafael, P.; Bourguignon, M.; Rafael, C. Adequacy Model: Adequacy of Probabilistic Models and General Purpose Optimization. R Package Version 2.0.0. 2016. Available online: https://CRAN.R-project.org/package=AdequacyModel (accessed on 20 June 2021).
  38. Mood, A.M.; Graybill, F.A.; Boes, D.C. Introduction to the Theory of Statistics; McGraw-Hill: New York, NY, USA, 1974. [Google Scholar]
  39. Topp, C.W.; Leone, F.C. A family of J-shaped frequency functions. J. Am. Stat. 1955, 50, 209–219. [Google Scholar] [CrossRef]
  40. Kumaraswamy, P. Generalized probability density-function for double-bounded random-processes. J. Hydrol. 1980, 46, 79–88. [Google Scholar] [CrossRef]
  41. Saran, J.; Pandey, A. Estimation of parameters of power function distribution and its characterization by the kth record values. Statistica 2004, 14, 523–536. [Google Scholar]
  42. Abdul-Moniem, I.B. The Kumaraswamy power function distribution. J. Stat. Appl. Probab. 2017, 6, 81–90. [Google Scholar] [CrossRef]
  43. Muhammad, M. A new lifetime model with a bounded support. Asian J. Math. 2017, 7, 1–11. [Google Scholar] [CrossRef]
Figure 1. Plots of the probability density function (PDF) of the E-NPF model for different values of its parameters (a,b).
Figure 1. Plots of the probability density function (PDF) of the E-NPF model for different values of its parameters (a,b).
Mathematics 09 02024 g001
Figure 2. Plots of the hazard rate function (HRF) of the E-NPF model for different values of its parameters (a,b).
Figure 2. Plots of the hazard rate function (HRF) of the E-NPF model for different values of its parameters (a,b).
Mathematics 09 02024 g002
Figure 3. Plots of the skewness (a) and kurtosis (b) of the E-NPF distribution.
Figure 3. Plots of the skewness (a) and kurtosis (b) of the E-NPF distribution.
Mathematics 09 02024 g003
Figure 4. Plots of the mean square errors (MSE) of the E-NPF parameters for the eight methods of estimation using the values in Table 5 (ac).
Figure 4. Plots of the mean square errors (MSE) of the E-NPF parameters for the eight methods of estimation using the values in Table 5 (ac).
Mathematics 09 02024 g004
Figure 5. Plots of the mean square errors (MSE) of the E-NPF parameters for the eight methods of estimation using the values in Table 6 (ac).
Figure 5. Plots of the mean square errors (MSE) of the E-NPF parameters for the eight methods of estimation using the values in Table 6 (ac).
Mathematics 09 02024 g005
Figure 6. Curves of the E-NPF distribution for SAR image modeling data.
Figure 6. Curves of the E-NPF distribution for SAR image modeling data.
Mathematics 09 02024 g006
Figure 7. Curves of the E-NPF distribution for mechanical component data.
Figure 7. Curves of the E-NPF distribution for mechanical component data.
Mathematics 09 02024 g007
Figure 8. Curves of the E-NPF distribution for petroleum reservoir data.
Figure 8. Curves of the E-NPF distribution for petroleum reservoir data.
Mathematics 09 02024 g008
Table 1. Sub-models for different parameters.
Table 1. Sub-models for different parameters.
ParameterModelAuthor(s)
θ = 1 NPF distributionIqbal et al. [22]
θ = 1 , and η = 0 L-II distributionLehmann-II [1]
Table 2. Some numerical results of moments, variance ( ε 2 ), skewness ( τ 1 ), and kurtosis ( τ 2 ).
Table 2. Some numerical results of moments, variance ( ε 2 ), skewness ( τ 1 ), and kurtosis ( τ 2 ).
μ s S-IS-IIS-IIIS-IVS-V
μ 1 0.28740.35280.05990.45000.3581
μ 2 0.15820.17940.01070.25430.1714
μ 3 0.10640.11010.00310.16450.0990
μ 4 0.07900.07530.00110.11620.0647
ε 2 0.07010.03420.00130.00100.0094
τ 1 0.02030.06218.30370.06940.3347
τ 2 0.56300.26972.7600−0.1506−0.1713
Table 3. Simulated results of the E-NPF distribution for Θ = ( η = 0.50 , ζ = 0.05 , θ = 0.40 ) T .
Table 3. Simulated results of the E-NPF distribution for Θ = ( η = 0.50 , ζ = 0.05 , θ = 0.40 ) T .
n   E s t .   E s t .   P a r .   W L S E   O L S E   M L E   M P S E   C V M E   A D E   R A D E   P C E  
50 | B I A S |   η ^ 0.22949{2}0.25491{5}0.19893{1}0.25592{6}0.59344{8}0.23115{3}0.24367{4}0.31888{7}
ζ ^   0.04667{3}0.05170{5}0.18196{7}0.06960{6}0.31282{8}0.04117{1}0.04246{2}0.04977{4}
θ ^   0.02636{3}0.02929{4}0.05176{7}0.03909{6}0.10345{8}0.02486{2}0.02304{1}0.03038{5}
M S E   η ^ 0.13184{3}0.16396{6}0.06754{1}0.15261{5}0.91318{8}0.12109{2}0.13419{4}0.35193{7}
ζ ^   0.00677{3}0.00845{4}0.10140{7}0.01070{6}0.42939{8}0.00573{1}0.00587{2}0.00995{5}
θ ^   0.00223{3}0.00275{4}0.00450{7}0.00355{5.5}0.02340{8}0.00208{1}0.00213{2}0.00355{5.5}
M R E   η ^ −0.45897{7}−0.50983{4}−0.39786{8}−0.51184{3}−1.18688{1}−0.46229{6}−0.48734{5}−0.63776{2}
ζ ^   0.09333{3}0.10340{5}0.36391{7}0.13921{6}0.62564{8}0.08234{1}0.08492{2}0.09953{4}
θ ^   0.06590{3}0.07323{4}0.12941{7}0.09772{6}0.25861{8}0.06214{2}0.05759{1}0.07596{5}
  R a n k s   30{3}41{4}52{7}49.5{6}65{8}19{1}23{2}44.5{5}
80 | B I A S |   η ^ 0.17731{3}0.18881{5}0.15427{1}0.19846{6}0.43540{8}0.17521{2}0.18167{4}0.23895{7}
ζ ^   0.03774{3}0.04176{4}0.12121{7}0.05495{6}0.18780{8}0.03414{2}0.03376{1}0.04447{5}
θ ^   0.02112{2}0.02396{4}0.04053{7}0.03054{6}0.07637{8}0.02144{3}0.01970{1}0.02658{5}
M S E   η ^ 0.06778{4}0.07756{5}0.03938{1}0.08202{6}0.51767{8}0.06301{2}0.06548{3}0.15423{7}
ζ ^   0.00463{3}0.00564{4}0.03587{7}0.00699{5}0.12950{8}0.00403{2}0.00375{1}0.00770{6}
θ ^   0.00149{1}0.00185{4}0.00267{7}0.00229{5}0.01157{8}0.00151{2}0.00160{3}0.00260{6}
M R E   η ^ −0.35462{6}−0.37762{4}−0.30854{8}−0.39692{3}−0.8708{1}−0.35042{7}−0.36334{5}−0.4779{2}
ζ ^   0.07548{3}0.08352{4}0.24243{7}0.10990{6}0.37560{8}0.06828{2}0.06752{1}0.08895{5}
θ ^   0.05281{2}0.05990{4}0.10134{7}0.07635{6}0.19092{8}0.05359{3}0.04925{1}0.06644{5}
  R a n k s   27{3}38{4}52{7}49{6}65{8}25{2}20{1}48{5}
120 | B I A S |   η ^ 0.14157{3}0.15071{5}0.12488{1}0.15701{6}0.33864{8}0.13949{2}0.14476{4}0.18448{7}
ζ ^   0.03095{3}0.03374{4}0.09034{7}0.04572{6}0.13792{8}0.02903{2}0.02884{1}0.03617{5}
θ ^   0.01823{3}0.01927{4}0.03334{7}0.02489{6}0.06217{8}0.01704{1}0.01706{2}0.02058{5}
M S E   η ^ 0.03753{3}0.04486{5}0.02492{1}0.04625{6}0.29530{8}0.03533{2}0.03942{4}0.07910{7}
ζ ^   0.00322{3}0.00387{4}0.01580{7}0.00489{5}0.05979{8}0.00296{2}0.00280{1}0.00551{6}
θ ^   0.00109{2}0.00124{4}0.00178{7}0.00158{5}0.00718{8}0.00102{1}0.00117{3}0.00168{6}
M R E   η ^ −0.28313{6}−0.30143{4}−0.24976{8}−0.31402{3}−0.67728{1}−0.27899{7}−0.28951{5}−0.36896{2}
ζ ^   0.06189{3}0.06748{4}0.18069{7}0.09144{6}0.27583{8}0.05807{2}0.05768{1}0.07234{5}
θ ^   0.04558{3}0.04819{4}0.08336{7}0.06223{6}0.15542{8}0.04261{1}0.04266{2}0.05144{5}
  R a n k s   29{3}38{4}52{7}49{6}65{8}20{1}23{2}48{5}
200 | B I A S |   η ^ 0.10664{3}0.11928{5}0.09892{1}0.12024{6}0.23829{8}0.10411{2}0.11143{4}0.13639{7}
ζ ^   0.02358{2}0.02825{4}0.06684{7}0.03499{6}0.09182{8}0.02231{1}0.02393{3}0.03000{5}
θ ^   0.01428{3}0.01553{4}0.02558{7}0.01909{6}0.04646{8}0.01396{2}0.01361{1}0.01745{5}
M S E   η ^ 0.02023{3}0.02580{6}0.01563{1}0.02485{5}0.12311{8}0.01853{2}0.02153{4}0.03900{7}
ζ ^   0.00193{3}0.00270{4}0.00792{7}0.00300{5}0.01711{8}0.00179{1}0.00192{2}0.00374{6}
θ ^   0.00069{2}0.00081{4}0.00104{6}0.00095{5}0.00374{8}0.00067{1}0.00075{3}0.00117{7}
M R E   η ^ −0.21328{6}−0.23857{4}−0.19785{8}−0.24047{3}−0.47659{1}−0.20822{7}−0.22286{5}−0.27279{2}
ζ ^   0.04715{2}0.05650{4}0.13367{7}0.06998{6}0.18363{8}0.04463{1}0.04785{3}0.05999{5}
θ ^   0.03569{3}0.03882{4}0.06396{7}0.04771{6}0.11615{8}0.03490{2}0.03403{1}0.04363{5}
  R a n k s   27{3}39{4}51{7}48{5}65{8}19{1}26{2}49{6}
300 | B I A S |   η ^ 0.08835{3}0.09392{5}0.07939{1}0.09739{6}0.18183{8}0.08621{2}0.09360{4}0.11021{7}
ζ ^   0.01974{2}0.02301{4}0.05371{7}0.02904{6}0.07244{8}0.01876{1}0.01985{3}0.02533{5}
θ ^   0.01189{3}0.01239{4}0.02043{7}0.01573{6}0.03646{8}0.01102{1}0.01173{2}0.01472{5}
M S E   η ^ 0.01318{3}0.01549{5}0.01010{1}0.01596{6}0.06384{8}0.01270{2}0.01515{4}0.02281{7}
ζ ^   0.00138{3}0.00186{4}0.00510{7}0.00213{5}0.00970{8}0.00128{1}0.00135{2}0.00263{6}
θ ^   0.00048{2}0.00054{3}0.00072{6}0.00067{5}0.00221{8}0.00044{1}0.00056{4}0.00084{7}
M R E   η ^ −0.1767{6}−0.18785{4}−0.15877{8}−0.19478{3}−0.36365{1}−0.17241{7}−0.18719{5}−0.22042{2}
ζ ^   0.03948{2}0.04601{4}0.10742{7}0.05807{6}0.14487{8}0.03752{1}0.03971{3}0.05066{5}
θ ^   0.02973{3}0.03096{4}0.05108{7}0.03932{6}0.09115{8}0.02755{1}0.02934{2}0.03680{5}
  R a n k s   27{2}37{4}51{7}49{5.5}65{8}17{1}29{3} 49{5.5}
Table 4. Simulated results of the E-NPF distribution for Θ = ( η = 0.50 , ζ = 3.00 , θ = 2.75 ) T .
Table 4. Simulated results of the E-NPF distribution for Θ = ( η = 0.50 , ζ = 3.00 , θ = 2.75 ) T .
n   E s t .   E s t .   P a r .   W L S E   O L S E   M L E   M P S E   C V M E   A D E   R A D E   P C E  
50 | B I A S |   η ^ 0.12979 { 2 } 0.14559 { 5 } 0.16943 { 7 } 0.16244 { 6 } 0.52954 { 8 } 0.12226 { 1 } 0.13258 { 3 } 0.14036 { 4 }
ζ ^   0.24022 { 3 } 0.25187 { 4 } 1.08184 { 7 } 0.35420 { 6 } 1.53271 { 8 } 0.21467 { 1 } 0.23337 { 2 } 0.25346 { 5 }
θ ^   0.18768 { 3 } 0.21042 { 4 } 0.33180 { 7 } 0.28515 { 6 } 1.31026 { 8 } 0.16952 { 2 } 0.15364 { 1 } 0.23660 { 5 }
M S E   η ^ 0.04480 { 3 } 0.05842 { 6 } 0.04339 { 2 } 0.06358 { 7 } 0.61461 { 8 } 0.04073 { 1 } 0.04623 { 4 } 0.05168 { 5 }
ζ ^   0.21601 { 3 } 0.24565 { 5 } 2.08797 { 7 } 0.33088 { 6 } 3.48991 { 8 } 0.18998 { 1 } 0.20774 { 2 } 0.23431 { 4 }
θ ^   0.13709 { 3 } 0.17231 { 4 } 0.18137 { 6 } 0.22355 { 7 } 2.83494 { 8 } 0.11965 { 1 } 0.12364 { 2 } 0.17976 { 5 }
M R E   η ^ 0.25959 { 7 } 0.29119 { 4 } 0.33886 { 2 } 0.32488 { 3 } 1.05908 { 1 } 0.24453 { 8 } 0.26515 { 6 } 0.28072 { 5 }
ζ ^   0.08007 { 3 } 0.08396 { 4 } 0.36061 { 7 } 0.11807 { 6 } 0.51090 { 8 } 0.07156 { 1 } 0.07779 { 2 } 0.08449 { 5 }
θ ^   0.06825 { 3 } 0.07652 { 4 } 0.12066 { 7 } 0.10369 { 6 } 0.47646 { 8 } 0.06164 { 2 } 0.05587 { 1 } 0.08604 { 5 }
  R a n k s   30 { 3 } 40 { 4 } 52 { 6 } 53 { 7 } 65 { 8 } 18 { 1 } 23 { 2 } 43 { 5 }
80 | B I A S |   η ^ 0.09688 { 2 } 0.11300 { 5 } 0.13982 { 7 } 0.12331 { 6 } 0.46150 { 8 } 0.09236 { 1 } 0.10297 { 3 } 0.10608 { 4 }
ζ ^   0.18949 { 2 } 0.21166 { 5 } 0.85813 { 7 } 0.29268 { 6 } 1.39834 { 8 } 0.17417 { 1 } 0.20374 { 3 } 0.20588 { 4 }
θ ^   0.15388 { 3 } 0.17170 { 4 } 0.26269 { 7 } 0.23382 { 6 } 1.09522 { 8 } 0.14016 { 2 } 0.13275 { 1 } 0.19536 { 5 }
M S E   η ^ 0.02400 { 2 } 0.03399 { 6 } 0.02960 { 5 } 0.03622 { 7 } 0.45408 { 8 } 0.02188 { 1 } 0.02611 { 3 } 0.02915 { 4 }
ζ ^   0.14473 { 2 } 0.17939 { 5 } 1.39876 { 7 } 0.23343 { 6 } 3.04521 { 8 } 0.12981 { 1 } 0.15416 { 3 } 0.16151 { 4 }
θ ^   0.09709 { 3 } 0.11684 { 5 } 0.11149 { 4 } 0.15147 { 7 } 2.16423 { 8 } 0.08582 { 1 } 0.09124 { 2 } 0.12781 { 6 }
M R E   η ^ 0.19375 { 7 } 0.22600 { 4 } 0.27963 { 2 } 0.24661 { 3 } 0.92299 { 1 } 0.18472 { 8 } 0.20594 { 6 } 0.21216 { 5 }
ζ ^   0.06316 { 2 } 0.07055 { 5 } 0.28604 { 7 } 0.09756 { 6 } 0.46611 { 8 } 0.05806 { 1 } 0.06791 { 3 } 0.06863 { 4 }
θ ^   0.05596 { 3 } 0.06244 { 4 } 0.09552 { 7 } 0.08502 { 6 } 0.39826 { 8 } 0.05097 { 2 } 0.04827 { 1 } 0.07104 { 5 }
  R a n k s   26 { 3 } 43 { 5 } 53 { 6.5 } 53 { 6.5 } 65 { 8 } 18 { 1 } 25 { 2 } 41 { 4 }
120 | B I A S |   η ^ 0.07626 { 2 } 0.08634 { 5 } 0.11562 { 7 } 0.09305 { 6 } 0.40541 { 8 } 0.07383 { 1 } 0.08240 { 3 } 0.08336 { 4 }
ζ ^   0.15843 { 2 } 0.17740 { 5 } 0.67780 { 7 } 0.24322 { 6 } 1.24222 { 8 } 0.14885 { 1 } 0.16879 { 3 } 0.17581 { 4 }
θ ^   0.13001 { 3 } 0.14300 { 4 } 0.21290 { 7 } 0.19094 { 6 } 0.96309 { 8 } 0.12004 { 2 } 0.11100 { 1 } 0.15496 { 5 }
M S E   η ^ 0.01414 { 2 } 0.01898 { 5 } 0.02067 { 7 } 0.01912 { 6 } 0.34150 { 8 } 0.01313 { 1 } 0.01627 { 3 } 0.01652 { 4 }
ζ ^   0.10536 { 2 } 0.12796 { 5 } 0.90465 { 7 } 0.16222 { 6 } 2.53541 { 8 } 0.09502 { 1 } 0.11142 { 3 } 0.11779 { 4 }
θ ^   0.06903 { 3 } 0.08560 { 6 } 0.07241 { 4 } 0.10479 { 7 } 1.74908 { 8 } 0.06287 { 1 } 0.06535 { 2 } 0.08549 { 5 }
M R E   η ^ 0.15252 { 7 } 0.17269 { 4 } 0.23123 { 2 } 0.18611 { 3 } 0.81083 { 1 } 0.14766 { 8 } 0.16480 { 6 } 0.16672 { 5 }
ζ ^   0.05281 { 2 } 0.05913 { 5 } 0.22593 { 7 } 0.08107 { 6 } 0.41407 { 8 } 0.04962 { 1 } 0.05626 { 3 } 0.05860 { 4 }
θ ^   0.04728 { 3 } 0.05200 { 4 } 0.07742 { 7 } 0.06943 { 6 } 0.35022 { 8 } 0.04365 { 2 } 0.04037 { 1 } 0.05635 { 5 }
  R a n k s   26 { 3 } 43 { 5 } 55 { 7 } 52 { 6 } 65 { 8 } 18 { 1 } 25 { 2 } 40 { 4 }
200 | B I A S |   η ^ 0.05770 { 1 } 0.06866 { 6 } 0.09188 { 7 } 0.06779 { 5 } 0.31533 { 8 } 0.05846 { 2 } 0.06428 { 4 } 0.06416 { 3 }
ζ ^   0.12451 { 1 } 0.14279 { 5 } 0.50172 { 7 } 0.18437 { 6 } 1.05528 { 8 } 0.12901 { 2 } 0.14109 { 3 } 0.14211 { 4 }
θ ^   0.09473 { 2 } 0.11525 { 4 } 0.16533 { 7 } 0.14666 { 6 } 0.73334 { 8 } 0.09487 { 3 } 0.08544 { 1 } 0.12004 { 5 }
M S E   η ^ 0.00777 { 1 } 0.01188 { 6 } 0.01306 { 7 } 0.01078 { 5 } 0.19926 { 8 } 0.00825 { 2 } 0.01025 { 4 } 0.00933 { 3 }
ζ ^   0.06763 { 1 } 0.08910 { 5 } 0.47292 { 7 } 0.10125 { 6 } 1.94905 { 8 } 0.07006 { 2 } 0.08082 { 4 } 0.07923 { 3 }
θ ^   0.03932 { 1 } 0.05587 { 6 } 0.04399 { 4 } 0.06452 { 7 } 1.06839 { 8 } 0.04104 { 2.5 } 0.04104 { 2.5 } 0.05219 { 5 }
M R E   η ^ 0.11539 { 8 } 0.13733 { 3 } 0.18375 { 2 } 0.13559 { 4 } 0.63066 { 1 } 0.11692 { 7 } 0.12856 { 5 } 0.12832 { 6 }
ζ ^   0.04150 { 1 } 0.04760 { 5 } 0.16724 { 7 } 0.06146 { 6 } 0.35176 { 8 } 0.04300 { 2 } 0.04703 { 3 } 0.04737 { 4 }
θ ^   0.03445 { 2 } 0.04191 { 4 } 0.06012 { 7 } 0.05333 { 6 } 0.26667 { 8 } 0.03450 { 3 } 0.03107 { 1 } 0.04365 { 5 }
  R a n k s   18 { 1 } 44 { 5 } 55 { 7 } 51 { 6 } 65 { 8 } 25.5 { 2 } 27.5 { 3 } 38 { 4 }
300 | B I A S |   η ^ 0.04663 { 1 } 0.05602 { 6 } 0.07341 { 7 } 0.05094 { 4 } 0.25807 { 8 } 0.04725 { 2 } 0.05124 { 5 } 0.04901 { 3 }
ζ ^   0.10493 { 1 } 0.12490 { 5 } 0.38948 { 7 } 0.14556 { 6 } 0.89668 { 8 } 0.10703 { 2 } 0.11386 { 4 } 0.10855 { 3 }
θ ^   0.08280 { 3 } 0.09077 { 4 } 0.13279 { 7 } 0.12087 { 6 } 0.60461 { 8 } 0.07890 { 1 } 0.07931 { 2 } 0.09579 { 5 }
M S E   η ^ 0.00513 { 1 } 0.00758 { 6 } 0.00848 { 7 } 0.00627 { 5 } 0.13045 { 8 } 0.00528 { 2 } 0.00612 { 4 } 0.00542 { 3 }
ζ ^   0.04878 { 1 } 0.06664 { 5 } 0.27778 { 7 } 0.06687 { 6 } 1.50712 { 8 } 0.05059 { 2 } 0.05422 { 4 } 0.05082 { 3 }
θ ^   0.03040 { 3 } 0.03624 { 6 } 0.02792 { 1 } 0.04385 { 7 } 0.72788 { 8 } 0.02803 { 2 } 0.03250 { 4 } 0.03494 { 5 }
M R E   η ^ 0.09326 { 8 } 0.11204 { 3 } 0.14681 { 2 } 0.10187 { 5 } 0.51614 { 1 } 0.09451 { 7 } 0.10247 { 4 } 0.09801 { 6 }
ζ ^   0.03498 { 1 } 0.04163 { 5 } 0.12983 { 7 } 0.04852 { 6 } 0.29889 { 8 } 0.03568 { 2 } 0.03795 { 4 } 0.03618 { 3 }
θ ^   0.03011 { 3 } 0.03301 { 4 } 0.04829 { 7 } 0.04395 { 6 } 0.21986 { 8 } 0.02869 { 1 } 0.02884 { 2 } 0.03483 { 5 }
  R a n k s   22 { 2 } 44 { 5 } 52 { 7 } 51 { 6 } 65 { 8 } 21 { 1 } 33 { 3 } 36 { 4 }
Table 5. Simulated results of the E-NPF distribution for Θ = ( η = 0.75 , ζ = 0.50 , θ = 1.60 ) T .
Table 5. Simulated results of the E-NPF distribution for Θ = ( η = 0.75 , ζ = 0.50 , θ = 1.60 ) T .
n   E s t .   E s t .   P a r .   W L S E   O L S E   M L E   M P S E   C V M E   A D E   R A D E   P C E  
50 | B I A S |   η ^ 0.73346 { 4 } 0.83157 { 6 } 0.47441 { 1 } 0.70996 { 3 } 1.80055 { 8 } 0.68856 { 2 } 0.78778 { 5 } 0.86431 { 7 }
ζ ^   0.03109 { 3 } 0.03401 { 5 } 0.08215 { 7 } 0.04159 { 6 } 0.12918 { 8 } 0.02678 { 1 } 0.02899 { 2 } . 0.03272 { 4 }
θ ^   0.22988 { 4 } 0.24045 { 5 } 0.18999 { 1 } 0.30034 { 7 } 0.80596 { 8 } 0.19660 { 2 } 0.24741 { 6 } 0.21868 { 3 }
M S E   η ^ 0.89062 { 3 } 1.19085 { 6 } 0.36670 { 1 } 0.90625 { 4 } 4.26042 { 8 } 0.80001 { 2 } 1.02558 { 5 } 1.59056 { 7 }
ζ ^   0.00299 { 3 } 0.00349 { 4 } 0.01295 { 7 } 0.00419 { 5 } 0.06588 { 8 } 0.00242 { 1 } 0.00277 { 2 } 0.00423 { 6 }
θ ^   0.14601 { 4 } 0.16823 { 6 } 0.06009 { 1 } 0.18618 { 7 } 1.02682 { 8 } 0.12068 { 2 } 0.16529 { 5 } 0.14112 { 3 }
M R E   η ^ 0.97795 { 4 } 1.10876 { 6 } 0.63255 { 1 } 0.94661 { 3 } 2.40073 { 8 } 0.91809 { 2 } 1.05038 { 5 } 1.15241 { 7 }
ζ ^   0.06218 { 3 } 0.06803 { 5 } 0.16430 { 7 } 0.08317 { 6 } 0.25837 { 8 } 0.05357 { 1 } 0.05798 { 2 } 0.06543 { 4 }
θ ^   0.14367 { 4 } 0.15028 { 5 } 0.11875 { 1 } 0.18771 { 7 } 0.50372 { 8 } 0.12287 { 2 } 0.15463 { 6 } 0.13668 { 3 }
  R a n k s   32 { 3 } 48 { 6.5 } 27 { 2 } 48 { 6.5 } 72 { 8 } 15 { 1 } 38 { 4 } 44 { 5 }
80 | B I A S |   η ^ 0.59720 { 4 } 0.65818 { 5 } 0.37015 { 1 } 0.56237 { 2 } 1.70177 { 8 } 0.57143 { 3 } 0.66921 { 6 } 0.67192 { 7 }
ζ ^   0.02353 { 3 } 0.02630 { 4 } 0.06028 { 7 } 0.03286 { 6 } 0.08466 { 8 } 0.02274 { 1 } 0.02345 { 2 } 0.02720 { 5 }
θ ^   0.18907 { 4 } 0.19995 { 5 } 0.14638 { 1 } 0.25415 { 7 } 0.73966 { 8 } 0.16727 { 2 } 0.22458 { 6 } 0.18151 { 3 }
M S E   η ^ 0.57465 { 4 } 0.72609 { 6 } 0.22300 { 1 } 0.56969 { 3 } 3.97594 { 8 } 0.53525 { 2 } 0.72580 { 5 } 0.84585 { 7 }
ζ ^   0.00179 { 2 } 0.00223 { 4 } 0.00629 { 7 } 0.00266 { 5 } 0.01520 { 8 } 0.00173 { 1 } 0.00185 { 3 } 0.00289 { 6 }
θ ^   0.10454 { 4 } 0.12589 { 5 } 0.03456 { 1 } 0.13795 { 6 } 0.84228 { 8 } 0.09103 { 2 } 0.13885 { 7 } 0.10347 { 3 }
M R E   η ^ 0.79627 { 4 } 0.87757 { 5 } 0.49354 { 1 } 0.74982 { 2 } 2.26903 { 8 } 0.76191 { 3 } 0.89228 { 6 } 0.89590 { 7 } .
ζ ^   0.04706 { 3 } 0.05259 { 4 } 0.12056 { 7 } 0.06572 { 6 } 0.16931 { 8 } 0.04547 { 1 } 0.04690 { 2 } 0.05440 { 5 }
θ ^   0.11817 { 4 } 0.12497 { 5 } 0.09149 { 1 } 0.15884 { 7 } 0.46229 { 8 } 0.10454 { 2 } 0.14036 { 6 } 0.11344 { 3 }
  R a n k s   32 { 3 } 43 { 4 , 5 } 27 { 2 } 44 { 6 } 72 { 8 } 17 { 1 } 43 { 4.5 } 46 { 7 }
120 | B I A S |   η ^ 0.48971 { 4 } 0.57381 { 6 } 0.29910 { 1 } 0.45926 { 2 } 1.58305 { 8 } 0.48392 { 3 } 0.59114 { 7 } 0.52692 { 5 }
ζ ^   0.01845 { 1 } 0.02140 { 4 } 0.04778 { 7 } 0.02608 { 6 } 0.06397 { 8 } 0.01911 { 2 } 0.02028 { 3 } 0.02168 { 5 }
θ ^   0.15889 { 4 } 0.18321 { 5 } 0.12108 { 1 } 0.21969 { 7 } 0.66221 { 8 } 0.14547 { 2 } 0.20838 { 6 } 0.15733 { 3 }
M S E   η ^ 0.39214 { 3 } 0.52681 { 6 } 0.14265 { 1 } 0.39674 { 4 } 3.60239 { 8 } 0.38958 { 2 } 0.55616 { 7 } 0.47419 { 5 }
ζ ^   0.00114 { 1 } 0.00148 { 4 } 0.00380 { 7 } 0.00174 { 5 } 0.00774 { 8 } 0.00120 { 2 } 0.00133 { 3 } 0.00192 { 6 }
θ ^   0.07828 { 4 } 0.10545 { 6 } 0.02344 { 1 } 0.10532 { 5 } 0.65691 { 8 } 0.07052 { 2 } 0.11997 { 7 } 0.07773 { 3 }
M R E   η ^ 0.65294 { 4 } 0.76508 { 6 } 0.39880 { 1 } 0.61235 { 2 } 2.11074 { 8 } 0.64523 { 3 } 0.78818 { 7 } 0.70256 { 5 }
ζ ^   0.03689 { 1 } 0.04279 { 4 } 0.09557 { 7 } 0.05216 { 6 } 0.12794 { 8 } 0.03822 { 2 } 0.04057 { 3 } 0.04337 { 5 }
θ ^   0.09931 { 4 } 0.11451 { 5 } 0.07568 { 1 } 0.13730 { 7 } 0.41388 { 8 } 0.09092 { 2 } 0.13024 { 6 } 0.09833 { 3 }
  R a n k s   26 { 2 } 46 { 6 } 27 { 3 } 44 { 5 } 72 { 8 } 20 { 1 } 49 { 7 } 40 { 4 }
200 | B I A S |   η ^ 0.39655 { 4 } 0.45855 { 6 } 0.23434 { 1 } 0.33935 { 2 } 1.43792 { 8 } 0.39092 { 3 } 0.49249 { 7 } 0.42074 { 5 }
ζ ^   0.01508 { 1 } 0.01695 { 4 } 0.03645 { 7 } 0.02035 { 6 } 0.04569 { 8 } 0.01525 { 2 } 0.01666 { 3 } 0.01884 { 5 }
θ ^   0.13167 { 4 } 0.14834 { 5 } 0.09326 { 1 } 0.17207 { 6 } 0.58384 { 8 } 0.12423 { 3 } 0.18117 { 7 } 0.12400 { 2 }
M S E   η ^ 0.25917 { 4 } 0.34511 { 6 } 0.08781 { 1 } 0.24798 { 2 } 3.19486 { 8 } 0.25598 { 3 } 0.39339 { 7 } 0.30661 { 5 }
ζ ^   0.00077 { 2 } 0.00094 { 4 } 0.00218 { 7 } 0.00111 { 5 } 0.00365 { 8 } 0.00076 { 1 } 0.00088 { 3 } 0.00137 { 6 }
θ ^   0.05458 { 4 } 0.07363 { 6 } 0.01391 { 1 } 0.06751 { 5 } 0.51088 { 8 } 0.05167 { 2 } 0.09287 { 7 } 0.05266 { 3 }
M R E   η ^ 0.52874 { 4 } 0.61140 { 6 } 0.31245 { 1 } 0.45247 { 2 } 1.91723 { 8 } 0.52123 { 3 } 0.65666 { 7 } 0.56099 { 5 }
ζ ^   0.03016 { 1 } 0.03391 { 4 } 0.07291 { 7 } 0.04070 { 6 } 0.09138 { 8 } 0.03050 { 2 } 0.03331 { 3 } 0.03767 { 5 }
θ ^   0.08229 { 4 } 0.09271 { 5 } 0.05829 { 1 } 0.10754 { 6 } 0.36490 { 8 } 0.07765 { 3 } 0.11323 { 7 } 0.07750 { 2 }
  R a n k s   28 { 3 } 46 { 6 } 27 { 2 } 40 { 5 } 72 { 8 } 22 { 1 } 51 { 7 } 38 { 4 }
300   | B I A S |   η ^ 0.33713 { 4 } 0.38490 { 6 } 0.18980 { 1 } 0.26250 { 2 } 1.29463 { 8 } 0.33158 { 3 } 0.44318 { 7 } 0.35767 { 5 }
ζ ^   0.01257 { 1 } 0.01421 { 4 } 0.02951 { 7 } 0.01622 { 6 } 0.03585 { 8 } 0.01301 { 2 } 0.01335 { 3 } 0.01561 { 5 }
θ ^   0.11343 { 4 } 0.13735 { 5 } 0.07585 { 1 } 0.13943 { 6 } 0.53037 { 8 } 0.10955 { 2 } 0.17257 { 7 } 0.11127 { 3 }
M S E   η ^ 0.19355 { 4 } 0.25327 { 6 } 0.05684 { 1 } 0.16910 { 2 } 2.75607 { 8 } 0.18813 { 3 } 0.32049 { 7 } 0.22066 { 5 }
ζ ^   0.00053 { 1 } 0.00066 { 4 } 0.00140 { 7 } 0.00070 { 5 } 0.00217 { 8 } 0.00055 { 2 } 0.00058 { 3 } 0.00093 { 6 }
θ ^   0.04126 { 4 } 0.06060 { 6 } 0.00907 { 1 } 0.04667 { 5 } 0.43602 { 8 } 0.04043 { 2 } 0.08078 { 7 } 0.04111 { 3 }
M R E   ζ ^   0.44950 { 4 } 0.51321 { 6 } 0.25306 { 1 } 0.35000 { 2 } 1.72618 { 8 } 0.44210 { 3 } 0.59090 { 7 } 0.47690 { 5 }
ζ ^   0.02515 { 1 } 0.02842 { 4 } 0.05902 { 7 } 0.03244 { 6 } 0.07171 { 8 } 0.02601 { 2 } 0.02670 { 3 } 0.03122 { 5 }
θ ^   0.07089 { 4 } 0.08584 { 5 } 0.04741 { 1 } 0.08714 { 6 } 0.33148 { 8 } 0.06847 { 2 } 0.10786 { 7 } 0.06954 { 3 }
  R a n k s   27 { 2.5 } 46 { 6 } 27 { 2.5 } 40 { 4.5 } 72 { 8 } 21 { 1 } 51 { 7 } 40 { 4.5 }
Table 6. Simulated results of the E-NPF distribution for Θ = ( η = 0.75 , ζ = 1.75 , θ = 1.60 ) T .
Table 6. Simulated results of the E-NPF distribution for Θ = ( η = 0.75 , ζ = 1.75 , θ = 1.60 ) T .
n   E s t .   E s t .   P a r .   W L S E   O L S E   M L E   M P S E   C V M E   A D E   R A D E   P C E  
50   | B I A S |   η ^ 0.48522 { 2 } 0.56484 { 5 } 0.55889 { 4 } 0.57202 { 6 } 1.44593 { 8 } 0.46386 { 1 } 0.49671 { 3 } 0.62681 { 7 }
ζ ^   0.12962 { 3 } 0.14173 { 4 } 0.60645 { 7 } 0.19474 { 6 } 0.99052 { 8 } 0.11565 { 1 } 0.12746 { 2 } 0.17208 { 5 }
θ ^   0.11122 { 3 } 0.12153 { 5 } 0.19815 { 7 } 0.16535 { 6 } 0.61105 { 8 } 0.10061 { 2 } 0.08912 { 1 } 0.11255 { 4 }
M S E   η ^ 0.54672 { 3 } 0.83091 { 6 } 0.48203 { 1 } 0.72786 { 5 } 3.02857 { 8 } 0.48784 { 2 } 0.57159 { 4 } 0.92134 { 7 }
ζ ^   0.06239 { 3 } 0.07549 { 4 } 0.84558 { 7 } 0.09658 { 6 } 2.07055 { 8 } 0.05309 { 1 } 0.05835 { 2 } 0.08666 { 5 }
θ ^   0.04680 { 3 } 0.05597 { 5 } 0.06354 { 6 } 0.07149 { 7 } 0.72860 { 8 } 0.04024 { 2 } 0.03938 { 1 } 0.05308 { 4 }
M R E   η ^ 0.64696 { 2 } 0.75312 { 5 } 0.74519 { 4 } 0.76270 { 6 } 1.92791 { 8 } 0.61848 { 1 } 0.66228 { 3 } 0.83575 { 7 }
ζ ^   0.07407 { 3 } 0.08099 { 4 } 0.34654 { 7 } 0.11128 { 6 } 0.56601 { 8 } 0.06608 { 1 } 0.07283 { 2 } 0.09833 { 5 }
θ ^   0.06951 { 3 } 0.07596 { 5 } 0.12385 { 7 } 0.10334 { 6 } 0.38191 { 8 } 0.06288 { 2 } 0.05570 { 1 } 0.07034 { 4 }
  R a n k s   25 { 3 } 43 { 4 } 50 { 6 } 54 { 7 } 72 { 8 } 13 { 1 } 19 { 2 } 48 { 5 }
80 | B I A S |   η ^ 0.36625 { 1 } 0.42385 { 4 } 0.44871 { 7 } 0.43445 { 5 } 1.31268 { 8 } 0.36792 { 2 } 0.38488 { 3 } 0.44520 { 6 }
ζ ^   0.10155 { 3 } 0.11446 { 4 } 0.43303 { 7 } 0.15400 { 6 } 0.80783 { 8 } 0.09931 { 1 } 0.10118 { 2 } 0.12843 { 5 }
θ ^   0.08820 { 3 } 0.10062 { 5 } 0.15411 { 7 } 0.13732 { 6 } 0.50177 { 8 } 0.08000 { 2 } 0.07246 { 1 } 0.09479 { 4 }
M S E   η ^ 0.29691 { 1 } 0.40820 { 6 } 0.31415 { 3 } 0.39778 { 5 } 2.66466 { 8 } 0.30202 { 2 } 0.31770 { 4 } 0.43153 { 7 }
ζ ^   0.04078 { 3 } 0.05134 { 4 } 0.42111 { 7 } 0.06326 { 6 } 1.46580 { 8 } 0.03898 { 1 } 0.03963 { 2 } 0.05329 { 5 }
θ ^   0.03013 { 3 } 0.03871 { 6 } 0.03850 { 5 } 0.05026 { 7 } 0.49016 { 8 } 0.02712 { 2 } 0.02705 { 1 } 0.03735 { 4 }
M R E   η ^ 0.48833 { 1 } 0.56513 { 4 } 0.59828 { 7 } 0.57926 { 5 } 1.75024 { 8 } 0.49056 { 2 } 0.51317 { 3 } 0.59360 { 6 }
ζ ^   0.05803 { 3 } 0.06540 { 4 } 0.24745 { 7 } 0.08800 { 6 } 0.46162 { 8 } 0.05675 { 1 } 0.05781 { 2 } 0.07339 { 5 }
θ ^   0.05512 { 3 } 0.06289 { 5 } 0.09632 { 7 } 0.08582 { 6 } 0.31361 { 8 } 0.05000 { 2 } 0.04529 { 1 } 0.05925 { 4 }
  R a n k s   21 { 3 } 42 { 4 } 57 { 7 } 52 { 6 } 72 { 8 } 15 { 1 } 19 { 2 } 46 { 5 }
120 | B I A S |   η ^ 0.30343 { 2 } 0.34530 { 5 } 0.36017 { 7 } 0.33915 { 4 } 1.14671 { 8 } 0.28405 { 1 } 0.31411 { 3 } 0.35876 { 6 }
ζ ^   0.08932 { 3 } 0.10110 { 4 } 0.32288 { 7 } 0.13031 { 6 } 0.67059 { 8 } 0.07666 { 1 } 0.08907 { 2 } 0.11252 { 5 }
θ ^   0.07216 { 4 } 0.08453 { 5 } 0.12548 { 7 } 0.11079 { 6 } 0.43597 { 8 } 0.06941 { 2 } 0.06656 { 1 } 0.07191 { 3 }
M S E   η ^ 0.20005 { 2 } 0.26087 { 6 } 0.20488 { 3 } 0.24621 { 5 } 2.13261 { 8 } 0.17127 { 1 } 0.21201 { 4 } 0.27452 { 7 }
0.03181 { 3 } 0.03910 { 4 } 0.21950 { 7 } 0.04636 { 6 } 1.07702 { 8 } 0.02574 { 1 } 0.03021 { 2 } 0.04026 { 5 }
θ ^   0.02069 { 2 } 0.02803 { 6 } 0.02507 { 5 } 0.03382 { 7 } 0.34971 { 8 } 0.01991 { 1 } 0.02225 { 3 } 0.02336 { 4 }
M R E   η ^ 0.40458 { 2 } 0.46039 { 5 } 0.48022 { 7 } 0.45220 { 4 } 1.52895 { 8 } 0.37873 { 1 } 0.41881 { 3 } 0.47834 { 6 }
ζ ^   0.05104 { 3 } 0.05777 { 4 } 0.18450 { 7 } 0.07446 { 6 } 0.38320 { 8 } 0.04380 { 1 } 0.05090 { 2 } 0.06430 { 5 }
θ ^   0.04510 { 4 } 0.05283 { 5 } 0.07842 { 7 } 0.06924 { 6 } 0.27248 { 8 } 0.04338 { 2 } 0.04160 { 1 } 0.04495 { 3 }
  R a n k s   25 { 3 } 44 { 4.5 } 57 { 7 } 50 { 6 } 72 { 8 } 11 { 1 } 21 { 2 } 44 { 4.5 }
200 | B I A S |   η ^ 0.22549 { 2 } 0.25881 { 5 } 0.28725 { 7 } 0.24534 { 4 } 0.90705 { 8 } 0.21911 { 1 } 0.23930 { 3 } 0.27338 { 6 }
ζ ^   0.06903 { 2 } 0.07681 { 4 } 0.24136 { 7 } 0.09766 { 6 } 0.47288 { 8 } 0.06396 { 1 } 0.07064 { 3 } 0.08932 { 5 }
θ ^   0.05731 { 3 } 0.06709 { 5 } 0.09626 { 7 } 0.08439 { 6 } 0.33924 { 8 } 0.05548 { 2 } 0.05389 { 1 } 0.05951 { 4 }
M S E   η ^ 0.10353 { 2 } 0.14086 { 6 } 0.12995 { 5 } 0.12859 { 4 } 1.43731 { 8 } 0.09807 { 1 } 0.12002 { 3 } 0.15319 { 7 }
ζ ^   0.01939 { 2 } 0.02437 { 4 } 0.10711 { 7 } 0.02735 { 6 } 0.53144 { 8 } 0.01765 { 1 } 0.01994 { 3 } 0.02700 { 5 }
θ ^   0.01349 { 2 } 0.01786 { 6 } 0.01462 { 3.5 } 0.02066 { 7 } 0.20934 { 8 } 0.01327 { 1 } 0.01462 { 3.5 } 0.01606 { 5 }
M R E   η ^ 0.30065 { 2 } 0.34508 { 5 } 0.38301 { 7 } 0.32711 { 4 } 1.20941 { 8 } 0.29215 { 1 } 0.31906 { 3 } 0.36450 { 6 }
ζ ^   0.03945 { 2 } 0.04389 { 4 } 0.13792 { 7 } 0.05581 { 6 } 0.27021 { 8 } 0.03655 { 1 } 0.04037 { 3 } 0.05104 { 5 }
θ ^   0.03582 { 3 } 0.04193 { 5 } 0.06016 { 7 } 0.05274 { 6 } 0.21203 { 8 } 0.03467 { 2 } 0.03368 { 1 } 0.03720 { 4 }
  R a n k s   20 { 2 } 44 { 4 } 57.5 { 7 } 49 { 6 } 72 { 8 } 11 { 1 } 23.5 { 3 } 47 { 5 }
300 | B I A S |   η ^ 0.18163 { 2 } 0.20359 { 5 } 0.22950 { 7 } 0.18344 { 3 } 0.75004 { 8 } 0.18070 { 1 } 0.19151 { 4 } 0.21107 { 6 }
ζ ^   0.05711 { 2 } 0.06178 { 4 } 0.18877 { 7 } 0.07936 { 6 } 0.37635 { 8 } 0.05626 { 1 } 0.05861 { 3 } 0.06887 { 5 }
θ ^   0.04912 { 3 } 0.05342 { 5 } 0.07983 { 7 } 0.06840 { 6 } 0.27269 { 8 } 0.04625 { 2 } 0.04594 { 1 } 0.04921 { 4 }
M S E   η ^ 0.06624 { 2 } 0.08548 { 6 } 0.08300 { 5 } 0.07879 { 4 } 1.00827 { 8 } 0.06495 { 1 } 0.07404 { 3 } 0.08739 { 7 }
ζ ^   0.01365 { 2 } 0.01637 { 4 } 0.06269 { 7 } 0.01834 { 6 } 0.31838 { 8 } 0.01327 { 1 } 0.01380 { 3 } 0.01681 { 5 }
θ ^   0.00997 { 2 } 0.01206 { 6 } 0.01008 { 3 } 0.01350 { 7 } 0.13528 { 8 } 0.00903 { 1 } 0.01061 { 4 } 0.01116 { 5 }
M R E   η ^ 0.24217 { 2 } 0.27145 { 5 } 0.30601 { 7 } 0.24458 { 3 } 1.00006 { 8 } 0.24094 { 1 } 0.25535 { 4 } 0.28143 { 6 }
ζ ^   0.03264 { 2 } 0.03530 { 4 } 0.10787 { 7 } 0.04535 { 6 } 0.21506 { 8 } 0.03215 { 1 } 0.03349 { 3 } 0.03935 { 5 }
θ ^   0.03070 { 3 } 0.03339 { 5 } 0.04990 { 7 } 0.04275 { 6 } 0.17043 { 8 } 0.02891 { 2 } 0.02871 { 1 } 0.03076 { 4 }
  R a n k s   20 { 2 } 44 { 4 } 57 { 7 } 47 { 5.5 } 72 { 8 } 11 { 1 } 26 { 3 } 47 { 5.5 }
Table 7. Simulated results of the E-NPF distribution under complete and type II censored samples for various combinations of Θ.
Table 7. Simulated results of the E-NPF distribution under complete and type II censored samples for various combinations of Θ.
ΘEst.Type II Censored SampleComplete Sample
η ζ θ η ^ ζ ^ θ ^ η ^ ζ ^ θ
n = 20, r = 16
−0.500.500.40Mean of Estimates0.025361.388710.35431−0.46446 0.932920.43112
|BIAS|0.905941.133020.144910.329950.531230.08899
MSE1.838552.699300.040020.209460.995880.01408
MRE−1.81189 2.266040.36228−0.65990 1.062470.22248
1.60Mean of Estimates1.131520.414302.47183−0.49234 0.592211.69942
|BIAS| 1.768370.309841.184110.213070.158880.31490
MSE4.494820.354832.187770.082660.081760.17602
MRE−3.53675 0.619680.74007−0.42614 0.317750.19682
3.000.40Mean of Estimates−0.89077 2.954760.41281−0.43525 4.565130.43834
|BIAS| 0.431240.576690.090440.361582.275230.08909
MSE0.201291.311930.016490.305296.139790.01470
MRE−0.86247 0.192230.22611−0.72316 0.758410.22272
1.60Mean of Estimates0.602462.895922.25226−0.50873 4.114181.73030
|BIAS| 1.362991.997200.942010.256311.751420.33951
MSE3.251054.735451.687610.103084.293530.20842
MRE−2.72598 0.665730.58875−0.51261 0.583810.21220
0.750.500.40Mean of Estimates1.436200.967110.435010.790060.958020.42758
|BIAS| 1.942450.949180.115191.075850.557130.08699
MSE4.745132.080580.027231.742011.080310.01321
MRE2.589941.898350.287971.434471.114260.21746
1.60Mean of Estimates1.962191.077072.265910.762980.584041.69855
|BIAS| 1.915510.656891.064060.727640.149550.30952
MSE4.911141.551561.869720.876500.061530.17425
MRE2.554011.313790.665040.970190.299100.19345
3.000.40Mean of Estimates−0.89087 2.122090.397090.826494.500310.43758
|BIAS| 1.644381.217840.081031.084552.208120.08709
MSE2.736561.890400.011681.876255.886620.01387
MRE2.192510.405950.202581.446070.736040.21772
1.60Mean of Estimates1.270912.078911.538030.742574.036181.73340
|BIAS| 1.34062.077530.508860.884651.701610.33898
MSE2.644214.626940.416241.171734.119370.20624
MRE1.787460.692510.318041.179530.567200.21186
4.000.500.40Mean of Estimates4.743740.071150.426043.923790.636440.43506
|BIAS| 2.223840.433260.093511.846290.219780.08486
MSE5.857600.197030.018294.125080.101160.01312
MRE0.555960.866530.233790.461570.439560.21216
1.60Mean of Estimates4.562422.036981.720263.973520.547801.72696
|BIAS| 0.815671.551820.415451.601680.110340.32785
MSE2.199993.931020.398933.330030.018780.19543
MRE0.203923.103650.259650.400420.220690.20491
3.000.40Mean of Estimates2.001661.000660.820993.639914.096870.43824
|BIAS| 1.998341.999340.420991.904921.624510.08687
MSE3.995243.997880.180974.274133.652300.01375
MRE0.499590.666451.052480.476230.541500.21718
1.60Mean of Estimates2.648711.044071.349413.717243.767501.74039
|BIAS| 1.770451.956640.377531.852131.319790.34592
MSE3.478543.855260.181684.061502.386590.21290
MRE0.442610.652210.235950.463030.439930.21620
Θ Est.Type II Censored SampleComplete Sample
η ζ θ η ^ ζ ^ θ ^ η ^ ζ ^ θ ^
n = 40 ,   r = 32
−0.500.500.40Mean of Estimates−0.03462 0.801940.35457−0.48778 0.664030.41525
|BIAS| 0.735850.620850.116160.229670.246370.05897
MSE1.397001.124540.028630.092420.240340.00577
MRE−1.47170 1.241710.29039−0.45935 0.492730.14743
1.60Mean of Estimates1.094310.249862.15271−0.49145 0.534421.64629
|BIAS| 1.66900.262180.809540.151920.091290.21139
MSE4.145440.085001.037980.038260.016690.07485
MRE−3.33799 0.524360.50596−0.30385 0.182580.13212
3.000.40Mean of Estimates−0.96139 2.871240.37446−0.46550 4.233770.41951
|BIAS| 0.462990.187480.060080.311421.948420.05990
MSE0.217910.288130.005600.186814.974840.00614
MRE−0.92598 0.062490.15021−0.62285 0.649470.14975
1.60Mean of Estimates0.393322.341071.94614−0.50736 3.778701.65730
|BIAS| 1.146351.311390.712880.208991.381500.22197
MSE2.437202.749400.921820.066043.038270.08322
MRE−2.29270 0.437130.44555−0.41799 0.460500.13873
0.750.500.40Mean of Estimates1.842110.343120.414280.773680.663320.41334
|BIAS| 1.839310.542910.074730.768970.243310.05776
MSE4.627720.658560.009940.962860.246660.00563
MRE2.452421.085820.186821.025290.486620.14440
1.60Mean of Estimates0.903520.612881.767500.758990.537701.64111
|BIAS| 0.500550.187530.369870.523820.091990.21079
MSE1.111730.155660.414450.456580.016890.07433
MRE0.667400.375070.231170.698430.183990.13174
3.000.40Mean of Estimates−0.96774 1.952060.370150.832674.189910.41664
|BIAS| 1.717741.109110.056741.024221.922450.05781
MSE2.954041.416820.004711.632734.864740.00558
MRE2.290310.369700.141841.365620.640820.14452
1.60Mean of Estimates0.758101.362591.287240.687003.840431.65042
|BIAS| 0.636561.974560.419030.720261.407260.22249
MSE0.725894.066060.232440.769493.134340.08148
MRE0.848740.658190.261890.960350.469090.13906
4.000.500.40Mean of Estimates5.303310.029560.396984.037360.568950.41627
|BIAS| 2.236750.470440.058651.624970.144090.05713
MSE6.136850.222330.005683.436120.03880.00558
MRE0.559190.940890.146610.406240.288180.14283
1.60Mean of Estimates4.021691.546391.503483.971600.529981.64968
|BIAS| 0.038291.047880.200241.313780.081190.21689
MSE0.018431.558760.068422.426730.010420.07843
MRE0.009572.095770.125150.328440.162390.13556
3.000.40Mean of Estimates210.960893.734883.842230.41781
|BIAS| 220.560891.900411.390780.05820
MSE440.316714.267202.782070.00576
MRE0.50.666671.402220.475100.463590.14551
1.60Mean of Estimates2.059781.001521.362413.834473.532281.66829
|BIAS| 1.953111.998480.247161.650011.065000.22882
MSE3.864203.994590.066053.431371.625220.08826
MRE0.488280.666160.154480.412500.355000.14301
Θ Est.Type II Censored SampleComplete Sample
η ζ θ η ^ ζ ^ θ ^ η ^ ζ ^ θ ^
n = 60 ,   r = 48
−0.500.500.40Mean of Estimates−0.25434 0.509980.36723−0.48972 0.581250.40933
|BIAS| 0.409920.337770.072090.184820.156560.04655
MSE0.720770.408660.014650.056900.073440.00356
MRE−0.81984 0.675540.18022−0.36963 0.313120.11638
1.60Mean of Estimates0.981150.227482.02669−0.49669 0.523121.63179
|BIAS| 1.52350.272780.653650.122290.070960.17481
MSE3.608730.078240.680680.024110.008940.05034
MRE−3.04699 0.545560.40853−0.24458 0.141920.10926
30.4Mean of Estimates−0.96960 2.911080.36606−0.49170 4.098600.41066
|BIAS| 0.469640.123980.051960.268701.767910.04734
MSE0.224950.132860.003930.122484.347940.00372
MRE−0.93928 0.041330.12989−0.53741 0.589300.11834
1.60Mean of Estimates−0.40550 2.886081.51892−0.51462 3.638071.63794
|BIAS| 0.498710.433400.467980.175401.158130.18618
MSE0.791170.635800.436350.046042.328180.05707
MRE−0.99743 0.144470.29249−0.35079 0.386040.11636
0.750.500.40Mean of Estimates2.000170.164240.407590.777800.589150.41013
|BIAS| 1.691570.444900.060040.647280.160300.04704
MSE4.352120.300730.006030.680970.083090.00360
MRE2.255420.889810.150110.863050.320590.11761
1.60Mean of Estimates0.770590.538641.632000.751550.523831.63163
|BIAS| 0.056560.098760.077750.418080.070170.17269
MSE0.071570.029720.035750.284320.008960.04845
MRE0.075410.197520.048590.557440.140350.10793
3.000.40Mean of Estimates−0.95074 1.944190.363490.765034.084390.40995
|BIAS| 1.700741.094920.050900.917621.762930.04726
MSE2.947261.378340.003711.278424.313480.00371
MRE2.267650.364970.127261.223490.587640.11814
1.60Mean of Estimates0.582561.193421.229470.698873.647771.63428
|BIAS| 0.439631.907410.404250.624021.178370.18385
MSE0.332763.836570.207080.576062.380310.05497
MRE0.586170.635800.252660.832020.392790.11490
4.000.500.40Mean of Estimates5.413440.027840.389134.058670.547480.41029
|BIAS| 2.030750.472160.048041.465920.117030.04615
MSE5.658740.227030.003652.925750.023960.00347
MRE0.507690.944320.120100.366480.234060.11537
1.60Mean of Estimates4.022101.399211.469714.003650.520991.63338
|BIAS| 0.022250.899230.131361.150020.067450.17134
MSE0.000801.272510.027811.943270.007290.04804
MRE0.005561.798460.082100.287500.134900.10709
3.000.40Mean of Estimates2.030401.030401.021123.793093.716970.41065
|BIAS| 1.969601.969600.621121.853691.271070.04617
MSE3.939203.939200.393084.094122.349120.00351
MRE0.492400.656531.552790.463420.423690.11542
1.60Mean of Estimates2.044111.039661.431783.861183.442971.64051
|BIAS| 1.955891.960340.168701.506080.932560.18524
MSE3.906153.920580.031112.976891.289460.05644
MRE0.488970.653450.105440.376520.310850.11578
Θ Est.Type II Censored SampleComplete Sample
η ζ θ η ^ ζ ^ θ ^ η ^ ζ ^ θ ^
n = 80, r = 64
−0.500.500.40Mean of Estimates−0.44447 0.442780.38860−0.49365 0.557890.40759
|BIAS| 0.131950.125530.030600.155650.123430.04077
MSE0.185120.088440.004420.040220.038940.00274
MRE−0.26391 0.251060.07650−0.31130 0.246860.10193
1.60Mean of Estimates0.569410.275451.88606−0.49756 0.516551.61984
|BIAS| 1.090740.224570.463460.104160.058990.14572
MSE2.429540.063200.426800.017790.006020.03456
MRE−2.18148 0.449140.28966−0.20832 0.117980.09108
3.000.40Mean of Estimates−0.83580 2.939080.37527−0.49316 3.948240.40958
|BIAS| 0.33580.088540.033700.247511.606990.04060
MSE0.162210.084400.002310.100693.793870.00273
MRE−0.67160 0.029510.08425−0.49502 0.535660.10150
1.60Mean of Estimates−0.59949 3.039161.48909−0.51071 3.517061.62467
|BIAS| 0.176990.148370.180260.158361.024300.15556
MSE0.110990.111140.095850.036801.904660.03925
MRE−0.35399 0.049460.11266−0.31673 0.341430.09722
0.750.500.40Mean of Estimates1.636450.211920.402350.776790.552920.40701
|BIAS| 1.114030.310810.036270.544040.120090.04023
MSE2.899710.152550.002810.483840.034970.00262
MRE1.485370.621620.090680.725390.240170.10057
1.60Mean of Estimates0.752880.532881.600230.777060.514221.62043
|BIAS| 0.007550.050570.014460.376890.060240.14981
MSE0.001990.01530.003150.230750.006280.03596
MRE0.010060.101140.009040.502520.120470.09363
3.000.40Mean of Estimates−0.45435 2.249690.374930.775303.945130.40923
|BIAS| 1.204350.772420.031850.864581.617830.04075
MSE2.093190.958270.002041.132233.826980.00274
MRE1.605800.257470.079631.152780.539280.10187
1.60Mean of Estimates0.605851.796821.352690.700143.537401.62552
|BIAS| 0.239351.221690.255460.550781.022090.15488
MSE0.147172.438750.124530.463351.908010.03946
MRE0.319130.407230.159660.734380.340700.09680
4.000.500.40Mean of Estimates5.068260.156320.391304.047050.538910.40756
|BIAS| 1.36620.343680.030301.378610.105070.04020
MSE3.876840.166780.002002.640850.019220.00260
MRE0.341550.687370.075740.344650.210130.10050
1.60Mean of Estimates4.009960.890351.541374.026600.515131.62403
|BIAS| 0.009960.390350.058631.033340.058560.14807
MSE0.000370.561460.012921.601820.005500.03570
MRE0.002490.780710.036650.258330.117110.09254
3.000.40Mean of Estimates2.593201.593200.866363.767973.692310.40789
|BIAS| 1.406801.406800.466361.805261.223210.03948
MSE2.813602.813600.309723.938732.165360.00253
MRE0.351700.468931.165910.451320.407740.09870
1.60Mean of Estimates2.711071.710801.513253.933423.355251.63242
|BIAS| 1.288931.289200.086761.416640.841340.15582
MSE2.577452.578400.012482.710571.079530.04032
MRE0.322230.429730.054220.354160.280450.09739
Θ Est.Type II Censored SampleComplete Sample
η ζ θ η ^ ζ ^ θ ^ η ^ ζ ^ θ ^
n = 100 ,   r = 80
−0.500.500.40Mean of Estimates−0.49708 0.484060.40029−0.49826 0.544890.40508
|BIAS| 0.019160.023110.007790.136480.103420.03573
MSE0.017270.012000.000930.030200.025060.00204
MRE−0.03833 0.046230.01948−0.27297 0.206850.08933
1.60Mean of Estimates−0.24955 0.432441.67070−0.49755 0.513301.62400
|BIAS| 0.256270.067560.125700.095370.053570.13341
MSE0.538120.017970.130170.014520.004840.02855
MRE−0.51253 0.135130.07856−0.19074 0.107140.08338
3.000.40Mean of Estimates−0.60199 2.987160.39250−0.49661 3.870870.40767
|BIAS| 0.101990.021550.009390.233181.511530.03686
MSE0.049610.016070.000590.085093.474020.00218
MRE−0.20398 0.007180.02347−0.46636 0.503840.09215
1.60Mean of Estimates−0.52137 3.003251.58892−0.51634 3.479781.61988
|BIAS| 0.033050.025030.024140.145630.936730.14105
MSE0.015180.017980.009440.031461.627340.03162
MRE−0.06609 0.008340.01509−0.29127 0.312240.08815
0.750.500.40Mean of Estimates1.004390.40780.399720.771000.539410.40587
|BIAS| 0.316460.095210.009220.473490.100150.03551
MSE0.814990.044420.000620.369320.020510.00205
MRE0.421950.190410.023050.631320.200310.08876
1.60Mean of Estimates0.751350.516551.597310.755810.513761.62092
|BIAS| 0.001470.017770.003050.330220.053260.13322
MSE0.000040.00540.000210.175520.004870.02886
MRE0.001960.035540.001910.44030.106530.08326
3.000.40Mean of Estimates0.428072.797030.394010.796673.789960.40624
|BIAS| 0.321930.205650.007930.812341.468960.03567
MSE0.560250.251050.000481.021043.316720.00208
MRE0.429250.068550.019821.083120.489650.08917
1.60Mean of Estimates0.714422.719821.543490.695643.469891.61355
|BIAS| 0.055280.285070.057940.503270.921820.13587
MSE0.034260.569720.027230.379011.596510.02958
MRE0.073710.095020.036210.671020.307270.08492
4.000.500.40Mean of Estimates4.294230.39420.39674.047260.532230.40624
|BIAS| 0.356350.10580.008461.254440.092370.03544
MSE1.018960.051750.000512.260440.014720.00208
MRE0.089090.211600.021150.313610.184730.08860
1.60Mean of Estimates4.003210.622361.581134.018830.512111.62139
|BIAS| 0.003210.122360.018870.919690.051750.13376
MSE0.000120.179770.004291.306380.004370.02817
MRE0.00080.244730.011790.229920.10350.08360
3.000.40Mean of Estimates3.657602.657600.515633.875033.572810.40620
|BIAS| 0.342400.342400.115631.749191.135750.03612
MSE0.684800.684800.078213.795831.883520.00210
MRE0.085600.114130.289080.437300.378580.09030
1.60Mean of Estimates3.697602.697601.582093.915563.326051.62096
|BIAS| 0.302400.302400.017911.318450.778270.13790
MSE0.604800.604800.002282.405020.949210.03066
MRE0.075600.100800.011200.329610.259420.08619
Θ Est.Type II Censored SampleComplete Sample
η ζ θ η ^ ζ ^ θ ^ η ^ ζ ^ θ ^
n = 150, r = 120
−0.500.500.40Mean of Estimates−0.50012 0.499770.40011−0.49446 0.522790.40404
|BIAS| 0.000120.000230.000160.110240.076640.02925
MSE0.000010.000050.000020.019610.010520.00136
MRE−0.00024 0.000460.00039−0.22047 0.153280.07312
1.60Mean of Estimates−0.49963 0.499771.60009−0.49991 0.509111.61178
|BIAS| 0.000410.000230.000150.077150.042690.10744
MSE0.000280.000060.000070.009390.003010.01863
MRE−0.00082 0.000460.00010−0.15430 0.085370.06715
3.000.40Mean of Estimates−0.50137 2.999840.39989−0.50689 3.722500.40475
|BIAS| 0.001370.000190.000120.197541.289060.02957
MSE0.000670.000020.000010.059752.746500.00141
MRE−0.00274 0.000060.00031−0.39509 0.429690.07392
1.60Mean of Estimates−0.50011 2.999981.60002−0.51088 3.325511.61378
|BIAS| 0.000110.000020.000020.119450.730090.11463
MSE0.00001000.021831.045860.02102
MRE−0.00021 0.000010.00001−0.23890 0.243360.07164
0.750.500.40Mean of Estimates0.753830.498570.400000.771530.525110.40455
|BIAS| 0.003930.001430.000090.398290.080410.02941
MSE0.010810.000640.000000.254910.012150.00136
MRE0.005240.002870.000220.531060.160830.07353
1.60Mean of Estimates0.750.500021.600000.760070.507771.61389
|BIAS| 00.000020.000000.266790.041850.10970
MSE0.000000.000000.000000.114180.002900.01908
MRE0.000000.000030.000000.355730.083710.06856
3.000.40Mean of Estimates0.747912.998700.399970.733533.700190.40502
|BIAS| 0.002090.001300.000040.689211.282290.02945
MSE0.003650.001460.000000.721132.705300.00141
MRE0.002790.000430.000100.918950.427430.07362
1.60Mean of Estimates0.749912.999601.599900.706893.349331.61295
|BIAS| 0.000090.000400.000100.427660.755860.11124
MSE0.000040.000800.000050.278711.112430.02000
MRE0.000110.000130.000060.570210.251950.06952
4.000.500.40Mean of Estimates4.003800.498530.399984.028450.524060.40459
|BIAS| 0.004610.001470.000081.068170.076420.02931
MSE0.013380.000720.000001.731340.009820.00138
MRE0.001150.002940.000190.267040.152840.07328
1.60Mean of Estimates4.000010.500851.599864.007960.508651.61070
|BIAS| 0.000010.000850.000140.776490.042650.10730
MSE0.000000.000900.000020.945150.002980.01835
MRE0.000000.001700.000090.194120.085310.06706
3.000.40Mean of Estimates3.996002.996000.401443.937163.461710.40455
|BIAS| 0.004000.004000.001441.608991.001070.02900
MSE0.008000.008000.001043.346291.510070.00135
MRE0.001000.001330.003610.402250.333690.07251
1.60Mean of Estimates4.000003.000001.600003.869223.292271.61184
|BIAS| 0.000000.000000.000001.145050.674710.11224
MSE0.000000.000000.000001.896650.751270.02024
MRE0.000000.000000.000000.286260.224900.07015
Table 8. List of some competitive models along with their CDFs.
Table 8. List of some competitive models along with their CDFs.
Competitive Models The CDF of Competitive ModelsAuthor(s)
Lehmann Type I (L-I) G ( x ) = x η   , η > 0 , 0 < x < 1Lehmann [1]
Lehmann Type II (L-II) G ( x ) = 1 ( 1 x ) η   ,   η > 0 , 0 < x < 1
Beta G ( x ) = 1 B ( η , ζ ) x η 1   ( 1 x   ) ζ 1 ,   η , ζ > 0 , 0 < x < 1Mood et al. [38]
Topp–Leone (TL) G ( x ) = ( 2 x x 2 ) η ,   η > 0 , 0 < x < 1Topp & Leone [39]
Kumaraswamy (Kum) G ( x ) = 1 ( 1 x η   ) ζ ,   η , ζ > 0 , 0 < x < 1Kumaraswamy [40]
Generalized-PF (GPF) G ( x ) = 1 ( g x ) η ( g m ) η ,   η > 0 ,   m x   g Saran & Pandey [41]
Weibull-PF (WPF) G ( x ) = 1 e x p ( η ( x ζ γ ζ x ζ ) θ ) ,   η , ζ > 0 ,   0 < x   γ Tahir et al. [11]
Kumaraswamy-PF (Kum-PF) G ( x ) = 1 ( 1 ( x g ) η ζ ) θ ,   η , ζ , θ > 0 ,   0 < x g Abdul-Moniem [42]
Mustapha Type II (MT-II) G ( x ) = e x p ( x η log 2 ) 1 ,   η > 0 ,   0 < x < 1   Muhammad [43]
New PF (NPF) G ( x ) = 1 ( 1 x ) ζ ( 1 + η x ) ζ ,   ζ > 0 ,   1 < η < , 0 < x < 1Iqbal et al. [26]
Exponentiated-PF (EPF) G ( x ) = ( 1 ( g x g m ) η ) ζ ,   η , ζ > 0 ,   m x   g Arshad et al. [20]
Table 9. Descriptive statistics of the three datasets.
Table 9. Descriptive statistics of the three datasets.
DatasetMinimum1st QuartileMean3rd Quartile95% CIMaximum
10.01150.02850.04580.0559(0.0418,0.0497)0.1258
20.06700.08480.12150.1220(0.0797,0.1634)0.4850
30.09030.16230.21810.2627(0.1938,0.2423)0.4641
Table 10. Parameter estimates, S.E., and information criterion for SAR image modeling data.
Table 10. Parameter estimates, S.E., and information criterion for SAR image modeling data.
ModelParameters (S.E.)Goodness-of-Fit
η ^ ζ ^ θ ^ AICCMADKSKS p-Value
E-NPF5.3053
(7.9348)
10.3963
(10.0501)
7.8870
(3.1445)
−649.63120.03230.19680.05020.8961
Beta4.2288
(0.5033)
87.9827
(11.0854)
-−647.56000.07260.52880.05770.7757
EPF3.5459
(0.3552)
2.1359
(0.2966)
-−637.51900.19141.31680.07650.4259
Kum2.13
(0.13)
555.64
(214.56)
-−635.62340.19731.37600.07090.5263
WPF60.5265
(48.8081)
0.8117
(0.2644)
2.1967
(0.5041)
−627.81170.25261.73100.08820.2593
KPF1.2907
(39.5678)
1.3841
(42.4311)
4.2046
(0.5992)
−615.41300.40942.67640.10930.0872
GPF2.2542
(0.1969)
--−611.47200.24541.65350.17340.0008
NPF−0.6094
(0.2327)
52.6932
(31.0382)
-−549.04190.07640.55680.28870.0000
L-II21.1874
(1.8511)
--−548.35780.07150.52120.29490.0000
TL0.3953
(0.0345)
--−325.85140.04640.33540.45010.0000
L-I0.3125
(0.0273)
--−269.57530.04170.29900.48410.0000
MT-II0.2364
(0.0273)
--−250.02460.04520.32640.47690.0000
Table 11. Parameter estimates, S.E., and information criterion for failure times of 20 mechanical components data.
Table 11. Parameter estimates, S.E., and information criterion for failure times of 20 mechanical components data.
ModelParameters (S.E.)Goodness-of-Fit
η ^ ζ ^ θ ^ AICCMADKSKS p-Value
E-NPF448.2682
(562.8587)
3.3050
(1.0733)
322803.8
(25116.79)
−69.85650.05990.47130.1232 0.9217
EPF1.7986
(0.6898)
0.5082
(0.1424)
-−54.86620.43012.57190.34380.0177
Beta3.1111
(0.9366)
21.8184
(7.0402)
-−51.76260.37002.31540.25380.1520
WPF25.3217
(10.9815)
8.6983
(30.6164)
0.1887
(0.6641)
−46.84440.39712.45240.26410.1226
GPF3.1354
(0.7011)
--−26.20830.41552.50110.42620.0014
Kum1.5877
(0.2444)
21.8682
(10.2103)
−50.41660.43692.65070.26260.1267
NPF−0.5085
(1.1201)
14.0472
(30.0514)
-−41.35050.40832.50890.38560.0052
L-II7.3407
(1.6414)
--−43.18630.36972.31410.39890.0034
KPF1.0534
(87.4390)
0.9593
(79.6359)
2.2244
(0.6820)
−32.27400.76224.15930.37040.0083
TL0.6248
(1.1397)
--−25.48570.33902.15640.48410.0002
L-I0.4485
(0.1003)
--−15.11630.32112.06260.51040.0001
MT-II0.3403
(0.1003)
--−12.19360.33852.15370.50010.0001
Table 12. Parameter estimates, S.E., and information criterion for rock samples from petroleum reservoir data.
Table 12. Parameter estimates, S.E., and information criterion for rock samples from petroleum reservoir data.
ModelParameters (S.E.)Goodness-of-Fit
η ^ ζ ^ θ ^ AICCMADKSKS p-value
E-NPF6.6638
(10.9778)
3.9381
(2.0050)
46.9570
(76.5344)
−110.80730.02890.18920.08310.8948
GPF1.7877
(0.2580)
--−103.40550.23151.44180.15570.1944
Beta5.9417
(1.1813)
21.2057
(4.3469)
-−107.20040.12800.77820.14280.2820
EPF2.2058
(0.4036)
1.3835
(0.2923)
-−103.68360.21831.36400.15700.1874
WPF42.9950
(15.7909)
8.7742
(28.6244)
0.3131
(1.0209)
−99.48280.20001.22590.14990.2308
Kum2.7187
(0.2936)
44.6671
(17.5871)
-−100.98300.20831.28030.15330.2095
KPF1.4411
(90.5464)
1.4050
(88.2744)
2.6326
(0.5554)
−86.08420.41732.54500.18630.0716
NPF−0.9953
(0.0020)
724.2227
(33.3339)
-−65.29280.17041.04820.33110.0001
L-II3.9644
(0.5722)
--−58.44110.12790.77770.35990.0000
TL0.9894
(0.1428)
--−40.33190.11900.72180.36800.0000
L-I0.6300
(0.0909)
--−10.02370.11390.69040.42950.0000
MT-II0.4786
(0.0909)
--−3.10890.12240.74340.42410.0000
Publisher’s Note: MDPI stays neutral with regard to jurisdictional claims in published maps and institutional affiliations.

Share and Cite

MDPI and ACS Style

Al Mutairi, A.; Iqbal, M.Z.; Arshad, M.Z.; Alnssyan, B.; Al-Mofleh, H.; Afify, A.Z. A New Extended Model with Bathtub-Shaped Failure Rate: Properties, Inference, Simulation, and Applications. Mathematics 2021, 9, 2024. https://doi.org/10.3390/math9172024

AMA Style

Al Mutairi A, Iqbal MZ, Arshad MZ, Alnssyan B, Al-Mofleh H, Afify AZ. A New Extended Model with Bathtub-Shaped Failure Rate: Properties, Inference, Simulation, and Applications. Mathematics. 2021; 9(17):2024. https://doi.org/10.3390/math9172024

Chicago/Turabian Style

Al Mutairi, Alya, Muhammad Z. Iqbal, Muhammad Z. Arshad, Badr Alnssyan, Hazem Al-Mofleh, and Ahmed Z. Afify. 2021. "A New Extended Model with Bathtub-Shaped Failure Rate: Properties, Inference, Simulation, and Applications" Mathematics 9, no. 17: 2024. https://doi.org/10.3390/math9172024

APA Style

Al Mutairi, A., Iqbal, M. Z., Arshad, M. Z., Alnssyan, B., Al-Mofleh, H., & Afify, A. Z. (2021). A New Extended Model with Bathtub-Shaped Failure Rate: Properties, Inference, Simulation, and Applications. Mathematics, 9(17), 2024. https://doi.org/10.3390/math9172024

Note that from the first issue of 2016, this journal uses article numbers instead of page numbers. See further details here.

Article Metrics

Back to TopTop