Next Article in Journal
An Algorithm for Counting the Fixed Point Orbits of an AND-OR Dynamical System with Symmetric Positive Dependency Graph
Next Article in Special Issue
The Effect of a Hyperbolic Two-Temperature Model with and without Energy Dissipation in a Semiconductor Material
Previous Article in Journal
An Integrated Measurement of the Efficiency of China’s Industrial Circular Economy and Associated Influencing Factors
Previous Article in Special Issue
MHD Radiative Blood Flow Embracing Gold Particles via a Slippery Sheet through an Erratic Heat Sink/Source
 
 
Font Type:
Arial Georgia Verdana
Font Size:
Aa Aa Aa
Line Spacing:
Column Width:
Background:
Article

Fractional-Order Thermoelastic Wave Assessment in a Two-Dimensional Fiber-Reinforced Anisotropic Material

by
Samah Horrigue
1,* and
Ibrahim A. Abbas
2,3
1
Faculty of Sciences, University of Jeddah, Jeddah 21589, Saudi Arabia
2
Department of Mathematics, Faculty of Science, Sohag University, Sohag 82524, Egypt
3
Nonlinear Analysis and Applied Mathematics Research Group (NAAM), Department of Mathematics, King Abdulaziz University, Jeddah 21589, Saudi Arabia
*
Author to whom correspondence should be addressed.
Mathematics 2020, 8(9), 1609; https://doi.org/10.3390/math8091609
Submission received: 21 August 2020 / Revised: 14 September 2020 / Accepted: 15 September 2020 / Published: 18 September 2020
(This article belongs to the Special Issue Applied Mathematics and Solid Mechanics)

Abstract

The present work is aimed at studying the effect of fractional order and thermal relaxation time on an unbounded fiber-reinforced medium. In the context of generalized thermoelasticity theory, the fractional time derivative and the thermal relaxation times are employed to study the thermophysical quantities. The techniques of Fourier and Laplace transformations are used to present the problem exact solutions in the transformed domain by the eigenvalue approach. The inversions of the Fourier-Laplace transforms hold analytical and numerically. The numerical outcomes for the fiber-reinforced material are presented and graphically depicted. A comparison of the results for different theories under the fractional time derivative is presented. The properties of the fiber-reinforced material with the fractional derivative act to reduce the magnitudes of the variables considered, which can be significant in some practical applications and can be easily considered and accurately evaluated.

1. Introduction

Fiber-reinforced composites are used widely in structural engineering. Continuous models are used to illustrate the mechanical properties of these materials. Fibers are supposed to have inherent material properties, rather than some form of inclusions in the model as in Spencer [1]. A fiber-reinforced thermoelastic material is a composite material that exhibits strongly anisotropic elastic behaviors such that elastic parameters have extensions in the fiber directions that are on the order of 50 or more times greater than their parameter in the transverse directions. This composite material is lightweight and has high strength and rigidity at high temperatures. Due to practical and theoretical importance, several problems with wave and vibration in fiber-reinforced mediums have been studied. The idea of introducing a continuous self-reinforced for every point of an elastic solid was presented by Belfied et al. [2]. The models were then applied to the rotations of a tube by Verma and Rana [3]. Verma [4] also studied the magneto-elastic shear wave in self-reinforcing media. Sengupta and Nath [5] studied the problem of surface waves in fiber-reinforced anisotropic elastic materials. Hashin and Rosen [6] discussed the elastic modulus for fiber-reinforced mediums. Singh and Singh [7] discussed the problem of reflections of a plane wave on the free surfaces of a fiber-reinforced elastic plane. Chattopadhyay and Choudhury [8] investigated the problem of propagations, reflections, and transmissions of magnetoelastic shear waves in self-reinforcing media.
The classical theory of thermoelasticity [9] is based on the Fourier hypothesis of thermal conductivity. In this theory, the temperature distribution is regulated by a partial differential equation of a parabolic type. Conceptually, it predicts that the thermal signal is immediately felt in the body. This reveals an infinite speed of propagation of a thermal signal that is physically impractical, especially for a short time. Therefore, using the Fourier equation can lead to discrepancies in certain conditions, such as heat transfer at low temperature, high-frequency heat transfer, or very high heat flux. Biot [10] attempted the thermodynamic justification for this equation. The phenomenon of infinite speed of heat waves conflicts with physical phenomena. To overcome this defect, generalized thermodynamic theories were introduced. Lord and Shulman [11] introduced a generalized theory of thermoelasticity that provides a relaxation time, and the system that governs the heat equation has thus become a hyperbolic type. In the last few decades, the problems of heating transfers in fiber-reinforced media, especially at small temporal scales and short heating periods, has been discussed by many authors.
Lotfy and Othman [12] investigated the effects of magnetic fields for mode-I cracks on a fiber-reinforcing two-dimensional problem under a generalized thermoelastic model. Lotfy [13] discussed mode-I cracks in a two-dimensional fiber-reinforced medium using the normal mode approaches. Prasad et al. [14] studied the Green and Naghdi type III model in a two-dimensional thermoelastic problem of mode I cracks applying the method of regularizations. In addition, Sherief and El-maghraby [15,16] investigated the mode I crack problem by using the regularization method. Abbas [17] used the eigenvalue approach to study the effect of the fractional time derivative on magneto-thermoelastic materials subjected to moving heat sources. Saeed et al. [18] discussed the Green–Lindsay (GL) model on thermoelastic interactions in a poroelastic material by the finite element scheme. Marin et al. [19] discussed the consideration of the mixed initial and boundary values problem for micropolar porous media. Sadowski et al. [20] discussed the modeling and experimental investigation of parallel crack propagations in orthotropic elastic materials. Abbas et al. [21,22,23] used the finite element method to study several problems of thermoelastic interaction in fiber-reinforced media. In addition, many researchers have discussed many problems in fiber-reinforced media due to thermal/mechanical loadings using different methods as previously published [24,25,26,27,28,29,30]. Marin et al. [31,32] discussed several problems for elastic dipolar bodies. Sadowski et al. [33] investigated crack propagations and interactions in orthotropic elastic materials. Abbas and Marin [34] studied the analytical solutions of thermoelastic interactions in a half-space by pulsed laser heating. Abbas and Kumar [35] applied the finite element approach to investigate the deformations subjected to heat sources in a micropolar generalized thermoelastic plate. Abbas [36] studied the effect of moving thermal sources and the thermal relaxation time on a two-temperature thermoelastic thin slim strip. Mohamed et al. [37] applied the finite element method to study the hydromagnetic flow and heat transfers of a heat-generation fluid in non-Darcian porous mediums. Abbas [38] investigated the nonlinear transient thermal stress analysis of thick-walled Function graded material (FGM) cylinders. Abbas et al. [39] investigated the effect of thermal dispersion on free convection in fluid-saturated porous media. Zenkour and Abbas [40] investigated the generalized thermoelastic problem of an annular cylinder with temperature-dependent density and material properties. Marin [41] used the Lagrange identity method to study the microstretch thermoelastic material. Marin and Nicaise [42] studied the existence and stability results for thermoelastic dipolar bodies with double porosities. In Laplace’s domains, the eigenvalue method presents analytical solutions without any supposed restrictions on the factual considered physical quantities.
The aim of this paper is to study the effect of a fractional order derivative in a two-dimensional fiber-reinforced anisotropic material. By using Fourier-Laplace transforms and the eigenvalues method based on numerical and analytical methods, the governing equations are processed. For the considered physical quantities, numerical outcomes are obtained and presented graphically.

2. Mathematical Model

The basic equations in the context of generalized fractional thermoelastic theory with one relaxation time for an anisotropic fiber-reinforced medium in the absence of a body force and heat source are given by:
σ i j , j = ρ 2 u i t 2 ,
K i j T , j j = ( t + τ o υ Γ ( υ + 1 ) υ + 1 t υ + 1 ) ( ρ c e T + γ i j T o e j j ) ,     0 < υ 1 ,
σ i j = λ e k k δ i j + 2 μ T e i j + α ( a k a m e k m δ i j + a i a j e k k ) + 2 ( μ L μ T ) ( a i a k e k j + a j a k e k i ) + β a k a m e k m a i a j γ i j ( T T o ) δ i j .
By taking into consideration the above definition, it can be expressed by
υ g ( r , t ) t υ = { g ( r , t ) g ( r , 0 ) , υ 0 , I υ 1 g ( r , t ) t , 0 < υ < 1 , g ( r , t ) t , υ = 1 , .
where I υ is the Riemann–Liouville integral fraction introduced as a natural generalization of the well-known integral I υ g ( r , t ) that can be written as a convolution type,
I υ β ( r , t ) = 0 t ( t s ) υ Γ ( υ ) g ( r , s ) d s ,   υ > 0 ,
where g ( r , t ) is Lebesgue’s integral function and Γ ( υ ) is the Gamma function. In the case where g ( r , t ) is definitely continuous, it is possible to write
lim υ 1 υ g ( r , t ) t υ = g ( r , t ) t ,
We consider plane waves in the xy-plane; therefore, in the two-dimensional fiber-reinforced medium, we have written
u = ( u , v , 0 ) ,   u = u ( x , y , t ) ,   v = v ( x , y , t ) , T = T ( x , y , t ) .
The fiber direction is chosen such that a = ( 1 , 0 , 0 ) so that the preferred direction is the x -axis and Equations (1)–(3) can be expressed by
c 11 2 u x 2 + c 12 2 v x y + c 13 2 u y 2 γ 11 T x = ρ 2 u t 2 ,
c 22 2 v y 2 + c 12 2 u x y + c 13 2 v x 2 γ 22 T y = ρ 2 v t 2 ,
K 11 2 T x 2 + K 22 2 T y 2 = ( t + τ o υ Γ ( υ + 1 ) υ + 1 t υ + 1 ) ( ρ c e T + γ 11 T o u x + γ 22 T o v y ) ,
with
σ x x = c 11 u x + ( c 12 c 13 ) v y γ 11 ( T T o ) ,
σ y y = c 22 v y + ( c 12 c 13 ) u x γ 22 ( T T o ) ,
σ x y = c 13 ( v x + u y ) ,
where c 11 = λ + 2 ( α + μ T ) + 4 ( μ L μ T ) + β ,   c 12 = α + λ + μ L , c 22 = λ + 2 μ T , γ 11 = ( 2 λ + 3 α + 2 ( 2 μ L μ T ) + β ) α 11 , γ 22 = ( 2 λ + α ) α 11 + ( λ + 2 μ T ) α 22 , and α 11 ,   α 22 are the linear thermal expansion coefficients.

3. Initial and Boundary Conditions

The initial conditions of the problem are given as
T ( x , y , 0 ) = T ( x , y , 0 ) t = 0 ,   u ( x , y , 0 ) = u ( x , y , 0 ) t = 0 ,   v ( x , y , 0 ) = v ( x , y , 0 ) t = 0 ,
while the problem adequate boundary conditions are expressed as
σ x x = σ x y = 0.0 , K 11 T ( x , y , t ) x = q o t 2 e t t p 16 t p 2 H ( a | y | ) .
For suitability, the nondimensionality of the physical quantities can be taken as
T = T T o T o ,   ( σ x x , σ x y ) = (   σ x x ,   σ x y ) c 11 , ( x , y , u , v ) = η c ( x , y , u , v ) , ( t , τ o ) = η c 2 ( t , τ o ) ,
where η = ρ c e k and c = c 11 ρ . In these nondimensional terms of parameters in Equation (16), the basic Equations (8)–(15) can be written as (after ignoring the superscript ’ for appropriateness)
2 u x 2 + f 1 2 v x y + f 2 2 u y 2 f 3 T x = 2 u t 2 ,
f 4 2 v y 2 + f 1 2 u x y + f 2 2 v x 2 f 5 T y = 2 v t 2 ,
2 T x 2 + f 6 2 T y 2 = ( t + τ o υ Γ ( υ + 1 ) υ + 1 t υ + 1 ) ( T + f 7 u x + f 8 v y ) ,
with
σ x x = u x + ( f 1 f 2 ) v y f 3 T ,
σ y y = f 4 v y + ( f 1 f 2 ) u x f 5 T ,
σ x y = f 2 ( v x + u y ) ,
σ x x = σ x y = 0.0 , T ( x , y , t ) x = q o t 2 e t t p 16 t p 2 H ( a | y | ) ,
where f 1 = c 12 c 11 , f 2 = c 13 c 11 ,   f 3 = γ 11 T o c 11 , f 4 = c 22 c 11 , f 5 = γ 22 T o c 11 , f 6 = K 22 K 11 , f 7 = γ 11 ρ c e , and f 8 = γ 22 ρ c e .

4. Method of Solution

Now, we can apply Laplace transforms, which defined by
h ¯ ( x , y , s ) = L [ h ( x , y , t ) ] = 0 h ( x , y , t ) e s t d t ,   s > 0 ,
where the Laplace transforms parameter is s , whereas the Fourier transforms for any functions h ¯ ( x , y , s ) can be expressed as
h ¯ * ( x , q , s ) = h ¯ ( x , y , s ) e i q y d x .
Thus, the governing equations with the boundary conditions under the initial conditions are presented to obtain the ordinary differential equations as follows:
d 2 u ¯ * d x 2 + f 1 i q d v ¯ * d x q 2 f 2 u ¯ * f 3 d T ¯ * d x = s 2 u ¯ * ,
q 2 f 4 v ¯ * + i q f 1 d u ¯ * d x + f 2 d 2 v ¯ * d x 2 i q f 5 T ¯ * = s 2 v ¯ * ,
d 2 T ¯ * d x 2 f 6 q 2 T ¯ * = ( s + τ o υ s υ + 1 Γ ( υ + 1 ) ) ( T ¯ * + f 7 d u ¯ * d x + i q f 8 v ¯ * ) ,
with
σ ¯ x x * = d u ¯ * d x + ( f 1 f 2 ) i q v ¯ * f 3 T ¯ * ,
σ ¯ y y * = f 4 i q v ¯ * + ( f 1 f 2 ) d u ¯ * d x f 5 T ¯ * ,
σ ¯ x y * = f 2 ( d v ¯ * d x + i q u ¯ * ) ,
σ ¯ x x * = σ ¯ x y * = 0 , d   T ¯ * d x = q o t p 8 ( s t p + 1 ) 3 2 π s i n ( q a ) q
Now, we obtain the general solutions of Equations (26)–(28) by the eigenvalues method proposed [36,43,44,45,46]. From Equations (26)–(28), the vectors matrix can be expressed by
d V d x = A V ,
where [ u ¯ * v ¯ * T ¯ * d u ¯ * d x d v ¯ * d x d T ¯ * d x ] T ,   A = [ 0 0 0 1 0 0 0 0 0 0 1 0 0 0 0 0 0 1 a 41 0 0 0 a 45 a 46 0 a 52 a 53 a 54 0 0 0 a 62 a 63 a 64 0 0 ] .
The characteristic equation of matrix A takes the form
ξ 6 R 3 ξ 4 + R 2 ξ 2 + R 1 = 0 ,
where
R 1 = a 41 a 53 a 62 a 63 a 52 a 41 , R 2 = a 52 a 41 a 62 a 53 a 62 a 54 a 46 + a 63 a 41 + a 63 a 52 + a 63 a 54 a 45 + a 64 a 52 a 46 a 64 a 53 a 45 , R 3 = a 41 + a 63 + a 64 a 46 + a 54 a 45
The roots of the characteristic Equation (34), which are also the eigenvalues of matrix A . In the cases where   ξ 1 ,   ξ 1 ,   ξ 2 ,   ξ 2 , ξ 3 , and ξ 3 are the eigenvalues, the conforming eigenvectors of eigenvalues ξ can be calculated as
X 1 = a 53 a 45 ξ + ξ a 46 ( a 52 ξ 2 ) , X 2 = a 53 ( a 41 ξ 2 ) a 54 a 46 ξ 2 X 3 = ξ 2 a 41 a 52 + a 53 ( a 52 + a 45 a 54 + a 41 ) ξ 2 a 54 a 46 ξ 2 X 4 = ξ X 1 , X 5 = ξ X 2 , X 6 = ξ X 3
The solutions of Equations (33) can be given by
V ( x , q , s ) = i = 1 3 A i X i e   ξ i x ,
where the terms containing exponentials of growing nature in the space variable Z have been discarded due to the regularity condition of the solution at infinity, and A 1 ,   A 2 , and A 3 are constants to be determined from the boundary condition of the problem. Now, for any function h ¯ * ( x ,   q ,   s ) , the transforms of the Fourier inversion are given by
h ¯ ( x , y , s ) = 1 2 π h ¯ * ( x , q , s ) e i q y d q .
Finally, to obtain the general solutions of the variations in temperature, the components of displacement, and the components of stresses with respect to the distances x , y for any time t , the Stehfest [35] numerical inversion method is used. In this method, the inverse of Laplace transforms for h ¯ ( x , y , s ) can be expressed as
h ( x , y , t ) = l n ( 2 ) t n = 1 N V n h ¯ ( x , y , n l n ( 2 ) t ) ,
where
V n = ( 1 ) ( N 2 + 1 ) p = n + 1 2 m i n ( n , N 2 ) ( 2 p ) ! p ( N 2 + 1 ) p ! ( n p ) ! ( N 2 p ) ! ( 2 n 1 ) ! ,
where N is the number of terms.

5. Numerical Result and Discussion

In order to illustrate the theoretical outcomes obtained in the preceding sections, we give some numerical values for the physical parameters [47]:
μ L = 5.66 × 10 10   N   m 3 , μ T = 2.46 × 10 10   N   m 3   ,   λ = 5.65 × 10 10   N   m 3 , ρ = 2660   k g   m 3 , α 22 = 0.015 × 10 4   K 1 ,   c e = 0.787 × 10 3   J   k g 1   K 1 ,   k 11 = 0.0921 × 10 3   J   m 1   s 1   K 1 α = 1.28 × 10 10   N   m 2 , β   = 220.9 × 10 10   N   m 2 ,   α 11 = 0.017 × 10 4   K 1 ,   τ o = 0.05 , k 22 = 0.0963 × 10 3   J   m 1   s 1   K 1 ,   T o = 293   k .
α 22 = 0.015 × 10 4   K 1 ,   c e = 0.787 × 10 3   J   k g 1   K 1 ,   k 11 = 0.0921 × 10 3   J   m 1   s 1   K 1
α = 1.28 × 10 10   N   m 2 , β   = 220.9 × 10 10   N   m 2 ,   α 11 = 0.017 × 10 4   K 1 ,   τ o = 0.05 ,
k 22 = 0.0963 × 10 3   J   m 1   s 1   K 1 ,   T o = 293   k .
The field quantities, the increment in temperature T , the displacement components u ,   v , and the components of stresses σ x x ,   σ x y depend not only on space x ,   y and time t , but also on the fractional order of the time derivative ν . The numerical computations for all the nondimensional field quantities of the plate are demonstrated in Figure 1, Figure 2, Figure 3, Figure 4, Figure 5, Figure 6, Figure 7, Figure 8, Figure 9, Figure 10, Figure 11, Figure 12 and Figure 13.
Figure 1, Figure 2 and Figure 3 show the temperature contours on the plate for different values of the fractional-order parameter ν when t = 0.6 . We can find that the temperature-change zone is restricted in a finite area and the temperature does not change out of this area. The white color in these figures refers to a temperature variation of zero in this region. We can observe that the region with changes in temperature become larger with the generalized thermoelastic theory without fractional time derivative ν = 1 , while out of this region, the temperature maintains the original values.
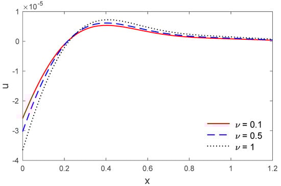
Figure 4 displays the variation in temperature with respect to the distance x , and it indicates that the temperature field has maximum values at the boundary and, after that, decreases to zero. Figure 5 shows the variations in horizontal displacement along the distance x . It is apparent that when the surface of the half-space is taken to be traction-free, and the heat flux is applied on the surface, the displacement for various values of fractional order parameter ν shows a negative value at the boundary of the half space. In addition, it attains stationary maximum values after some distances and then decreases to zero. Figure 6 shows the variations in vertical displacement with respect to x for various values of fractional order parameter ν , where we observed that a significant difference in the value of displacement is noticed for the different values of ν . Figure 7 and Figure 8 display the distributions of stress components σ x x ,     σ x y with respect to the distance x for different values of fractional order parameter ν . It is observed that the components of stress σ x x ,     σ x y always start from the zero value and terminates at the zero value to obey the problem boundary conditions.
Figure 9 shows the temperature variations T along the distance y and indicates that the variations in temperature have maximum values at the length of the heating surface ( | y | 0.5 ) , and start to reduce completely close to the edges ( | y | 0.5 ) where they reduce smoothly and, in the end, reach zero. Figure 10 and Figure 12 display the horizontal displacement variations u and the stress component σ x x with respect to the distance y . They indicate that they have maximum values at the length of the thermal surface ( | y | 0.5 ) , and they begin to decrease completely close to the edges ( y = ±   0.5 ) and, after that, reduce to zero. Figure 11 and Figure 13 display the vertical displacement variations v and the stress component σ x y with respect to the distance y . It is noticed that they begin increase and reach maximum values just near the edges ( y = ±   0.5 ) , and then decreases close to zero after that.
As expected, it can be found that the fractional parameter has great effects on the values of all the physical quantities. According to the numerical results, this new fractional parameter of the generalized thermoelastic model offers finite speed of the thermal wave and mechanical wave propagation.

6. Conclusions

In this article, we have studied the solutions of a two-dimensional problem for an infinite fiber-reinforced thermoelastic material. Based on the eigenvalue scheme, Laplace transforms, and exponential Fourier transforms, the analytical solutions have been obtained. The properties of the fiber-reinforced medium with the fractional derivative act to reduce the magnitudes of the variables considered, which can be significant in some practical applications, and can be easily considered and accurately evaluated.

Author Contributions

The two authors conceived the framework and structured the whole manuscript, checked the results, and completed the revision of the paper. The authors have equally contributed to the elaboration of this manuscript. All authors have read and agreed to the published version of the manuscript.

Funding

This work was funded by the University of Jeddah, Saudi Arabia, under grant No. (UJ-02-089-DR).

Acknowledgments

The authors acknowledge with thanks the University technical and financial support.

Conflicts of Interest

The authors declare no conflict of interest.

Nomenclature

u i are the components of displacement,
T , is the increment in temperature,
  ρ is the medium density,
T o is the reference temperature,
λ , μ T are the elastic constants,
σ i j are the components of stresses,
c e is the specific heat at constant strain,
α , β , ( μ L μ T ) are the reinforced anisotropic elastic parameters,
a i are the components of vector a where a 1 2 + a 2 2 + a 3 2 = 1 ,
K j j is the thermal conductivity,
τ o is the thermal relaxation time,
υ is the fractional parameter, where 0 <   υ   1 cover two types of conductivity,   υ   = 1 for normal conductivity, and 0 <   υ   < 1 for low conductivity
q o is a constant
H is the Heaviside unit function
t p is the pulse heat flux characteristic time
i , j , k = 1 , 2 , 3 ,are the number of components

References

  1. Spencer, A.J.M. Deformations of Fibre-Reinforced Materials; Clarendon Press: Oxford, UK, 1972. [Google Scholar]
  2. Belfield, A.; Rogers, T.; Spencer, A. Stress in elastic plates reinforced by fibres lying in concentric circles. J. Mech. Phys. Solids 1983, 31, 25–54. [Google Scholar] [CrossRef]
  3. Verma, P.; Rana, O. Rotation of a circular cylindrical tube reinforced by fibres lying along helices. Mech. Mater. 1983, 2, 353–359. [Google Scholar] [CrossRef]
  4. Verma, P. Magnetoelastic shear waves in self-reinforced bodies. Int. J. Eng. Sci. 1986, 24, 1067–1073. [Google Scholar] [CrossRef]
  5. Sengupta, P.; Nath, S. Surface waves in fibre-reinforced anisotropic elastic media. Sadhana 2001, 26, 363–370. [Google Scholar] [CrossRef]
  6. Hashin, Z.; Rosen, B.W. The elastic moduli of fiber-reinforced materials. J. Appl. Mech. 1964, 31, 223–232. [Google Scholar] [CrossRef]
  7. Singh, B.; Singh, S.J. Reflection of plane waves at the free surface of a fibre-reinforced elastic half-space. Sadhana 2004, 29, 249–257. [Google Scholar] [CrossRef]
  8. Chattopadhyay, A.; Choudhury, S. Propagation, reflection and transmission of magnetoelastic shear waves in a self-reinforced medium. Int. J. Eng. Sci. 1990, 28, 485–495. [Google Scholar] [CrossRef]
  9. Nowacki, W. Dynamic Problems of Thermoelasticity; Springer Science & Business Media: Berlin/Heidelberg, Germany, 1975. [Google Scholar]
  10. Biot, M.A. Thermoelasticity and irreversible thermodynamics. J. Appl. Phys. 1956, 27, 240–253. [Google Scholar] [CrossRef]
  11. Lord, H.W.; Shulman, Y. A generalized dynamical theory of thermoelasticity. J. Mech. Phys. Solids 1967, 15, 299–309. [Google Scholar] [CrossRef]
  12. Lotfy, K.; Othman, M.I.A. The effect of magnetic field on 2-D problem for a mode-I Crack of a fiber-reinforced in generalized Thermoelasticity. Int. J. Thermophys. 2014, 35, 154–174. [Google Scholar] [CrossRef]
  13. Lotfy, K. Mode-I crack in a two-dimensional fibre-reinforced generalized thermoelastic problem. Chin. Phys. B 2012, 21, 014209. [Google Scholar] [CrossRef]
  14. Prasad, R.; Das, S.; Mukhopadhyay, S. A two-dimensional problem of a mode I crack in a type III thermoelastic medium. Math. Mech. Solids 2013, 18, 506–523. [Google Scholar] [CrossRef]
  15. Sherief, H.H.; El-Maghraby, N.M. A mode-I crack problem for an infinite space in generalized thermoelasticity. J. Therm. Stresses 2005, 28, 465–484. [Google Scholar] [CrossRef]
  16. Sherief, H.H.; El-Maghraby, N.M. An internal penny-shaped crack in an infinite thermoelastic solid. J. Therm. Stresses 2003, 26, 333–352. [Google Scholar] [CrossRef]
  17. Abbas, I.A. Eigenvalue approach to fractional order generalized magneto-thermoelastic medium subjected to moving heat source. J. Magn. Magn. Mater. 2015, 377, 452–459. [Google Scholar] [CrossRef]
  18. Saeed, T.; Abbas, I.; Marin, M. A GL Model on Thermo-Elastic Interaction in a Poroelastic Material Using Finite Element Method. Symmetry 2020, 12, 488. [Google Scholar] [CrossRef]
  19. Marin, M.; Craciun, E.-M.; Pop, N. Considerations on mixed initial-boundary value problems for micropolar porous bodies. Dyn. Syst. Appl. 2016, 25, 175–196. [Google Scholar]
  20. Sadowski, T.; Marsavina, L.; Craciun, E.-M.; Kneć, M. Modelling and experimental study of parallel cracks propagation in an orthotropic elastic material. Comput. Mater. Sci. 2012, 52, 231–235. [Google Scholar] [CrossRef]
  21. Zenkour, A.M.; Abbas, I.A. Thermal shock problem for a fiber-reinforced anisotropic half-space placed in a magnetic field via GN model. Appl. Math. Comput. 2014, 246, 482–490. [Google Scholar]
  22. Abbas, I.A.; Zenkour, A.M. The Effect of Rotation and Initial Stress on Thermal Shock Problem for a Fiber-Reinforced Anisotropic Half-Space Using Green-Naghdi Theory. J. Comput. Theor. Nanosci. 2014, 11, 331–338. [Google Scholar] [CrossRef]
  23. Abbas, I.A. A GN model for thermoelastic interaction in an unbounded fiber-reinforced anisotropic medium with a circular hole. Appl. Math. Lett. 2013, 26, 232–239. [Google Scholar] [CrossRef]
  24. Sarkar, N.; Lahiri, A. The effect of gravity field on the plane waves in a fiber-reinforced two-temperature magneto-thermoelastic medium under lord-shulman theory. J. Therm. Stresses 2013, 36, 895–914. [Google Scholar] [CrossRef]
  25. Othman, M.I.A.; Said, S.M. Plane waves of a fiber-reinforcement magneto-thermoelastic comparison of three different theories. Int. J. Thermophys. 2013, 34, 366–383. [Google Scholar] [CrossRef]
  26. Othman, M.I.A.; Lotfy, K. The effect of magnetic field and rotation of the 2-D problem of a fiber-reinforced thermoelastic under three theories with influence of gravity. Mech. Mater. 2013. [Google Scholar] [CrossRef]
  27. Gupta, R.R.; Gupta, R.R. Analysis of wave motion in an anisotropic initially stressed fiberreinforced thermoelastic medium. Earthq. Struct. 2013, 4, 1–10. [Google Scholar] [CrossRef]
  28. Abouelregal, A.E.; Zenkour, A.M. The effect of fractional thermoelasticity on a two-dimensional problem of a mode I crack in a rotating fiber-reinforced thermoelastic medium. Chin. Phys. B 2013, 22, 108102. [Google Scholar] [CrossRef]
  29. Othman, M.I.A.; Said, S.M. The effect of mechanical force on generalized thermoelasticity in a fiber-reinforcement under three theories. Int. J. Thermophys. 2012, 33, 1082–1099. [Google Scholar] [CrossRef]
  30. Kumar, R.; Gupta, R.R. Study of wave motion in an anisotropic fiber-reinforced thermoelastic solid. J. Solid Mech. 2010, 2, 91–100. [Google Scholar]
  31. Marin, M.; Vlase, S.; Ellahi, R.; Bhatti, M. On the partition of energies for the backward in time problem of thermoelastic materials with a dipolar structure. Symmetry 2019, 11, 863. [Google Scholar] [CrossRef]
  32. Marin, M.; Ellahi, R.; Chirilă, A. On solutions of Saint-Venant’s problem for elastic dipolar bodies with voids. Carpathian J. Math. 2017, 33, 219–232. [Google Scholar]
  33. Sadowski, T.; Marsavina, L.; Peride, N.; Craciun, E.-M. Cracks propagation and interaction in an orthotropic elastic material: Analytical and numerical methods. Comput. Mater. Sci. 2009, 46, 687–693. [Google Scholar] [CrossRef]
  34. Abbas, I.A.; Marin, M. Analytical solution of thermoelastic interaction in a half-space by pulsed laser heating. Phys. E Low-Dimens. Syst. Nanostruct. 2017, 87, 254–260. [Google Scholar] [CrossRef]
  35. Abbas, I.A.; Kumar, R. Deformation due to thermal source in micropolar generalized thermoelastic half-space by finite element method. J. Comput. Theor. Nanosci. 2014, 11, 185–190. [Google Scholar] [CrossRef]
  36. Abbas, I.A. The effects of relaxation times and a moving heat source on a two-temperature generalized thermoelastic thin slim strip. Can. J. Phys. 2015, 93, 585–590. [Google Scholar] [CrossRef]
  37. Mohamed, R.; Abbas, I.A.; Abo-Dahab, S. Finite element analysis of hydromagnetic flow and heat transfer of a heat generation fluid over a surface embedded in a non-Darcian porous medium in the presence of chemical reaction. Commun. Nonlinear Sci. Numer. Simul. 2009, 14, 1385–1395. [Google Scholar] [CrossRef]
  38. Abbas, I.A. Nonlinear transient thermal stress analysis of thick-walled FGM cylinder with temperature-dependent material properties. Meccanica 2014, 49, 1697–1708. [Google Scholar] [CrossRef]
  39. Abbas, I.A.; El-Amin, M.; Salama, A. Effect of thermal dispersion on free convection in a fluid saturated porous medium. Int. J. Heat Fluid Flow 2009, 30, 229–236. [Google Scholar] [CrossRef]
  40. Zenkour, A.M.; Abbas, I.A. A generalized thermoelasticity problem of an annular cylinder with temperature-dependent density and material properties. Int. J. Mech. Sci. 2014, 84, 54–60. [Google Scholar] [CrossRef]
  41. Marin, M. Lagrange identity method for microstretch thermoelastic materials. J. Math. Anal. Appl. 2010, 363, 275–286. [Google Scholar] [CrossRef]
  42. Marin, M.; Nicaise, S. Existence and stability results for thermoelastic dipolar bodies with double porosity. Contin. Mech. Thermodyn. 2016, 28, 1645–1657. [Google Scholar] [CrossRef]
  43. Das, N.C.; Lahiri, A.; Giri, R.R. Eigenvalue approach to generalized thermoelasticity. Indian J. Pure Appl. Math. 1997, 28, 1573–1594. [Google Scholar]
  44. Abbas, I.A. Eigenvalue approach in a three-dimensional generalized thermoelastic interactions with temperature-dependent material properties. Comput. Math. Appl. 2014, 68, 2036–2056. [Google Scholar] [CrossRef]
  45. Abbas, I.A. Eigenvalue approach for an unbounded medium with a spherical cavity based upon two-temperature generalized thermoelastic theory. J. Mech. Sci. Technol. 2014, 28, 4193–4198. [Google Scholar] [CrossRef]
  46. Abbas, I.A. A dual phase lag model on thermoelastic interaction in an infinite fiber-reinforced anisotropic medium with a circular hole. Mech. Based Des. Struct. Mach. 2015, 43, 501–513. [Google Scholar] [CrossRef]
  47. Abbas, I.A. A two-dimensional problem for a fibre-reinforced anisotropic thermoelastic half-space with energy dissipation. Sadhana Acad. Proc. Eng. Sci. 2011, 36, 411–423. [Google Scholar] [CrossRef]
Figure 1. The contour plot of the temperature distributions when the fractional-order parameter ν = 1 .
Figure 1. The contour plot of the temperature distributions when the fractional-order parameter ν = 1 .
Mathematics 08 01609 g001
Figure 2. The contour plot of the temperature distributions when the fractional-order parameter ν = 0.5 .
Figure 2. The contour plot of the temperature distributions when the fractional-order parameter ν = 0.5 .
Mathematics 08 01609 g002
Figure 3. The contour plot of the temperature distributions when the fractional-order parameter ν = 0.1 .
Figure 3. The contour plot of the temperature distributions when the fractional-order parameter ν = 0.1 .
Mathematics 08 01609 g003
Figure 4. The variations in temperature T along x for various values of the fractional-order parameter ν when y = 0.5 .
Figure 4. The variations in temperature T along x for various values of the fractional-order parameter ν when y = 0.5 .
Mathematics 08 01609 g004
Figure 5. The variations in horizontal displacement u along x for various values of the fractional-order parameter ν when y = 0.5 .
Figure 5. The variations in horizontal displacement u along x for various values of the fractional-order parameter ν when y = 0.5 .
Mathematics 08 01609 g005
Figure 6. The variations in vertical displacement v along x for various values of the fractional-order parameter ν when y = 0.5 .
Figure 6. The variations in vertical displacement v along x for various values of the fractional-order parameter ν when y = 0.5 .
Mathematics 08 01609 g006
Figure 7. The variations in stress σ x x along x for various values of the fractional-order parameter ν when y = 0.5 .
Figure 7. The variations in stress σ x x along x for various values of the fractional-order parameter ν when y = 0.5 .
Mathematics 08 01609 g007
Figure 8. The variations in stress σ x y along x for various values of the fractional-order parameter ν when y = 0.5 .
Figure 8. The variations in stress σ x y along x for various values of the fractional-order parameter ν when y = 0.5 .
Mathematics 08 01609 g008
Figure 9. The variations in temperature T along y for various values of the fractional-order parameter ν when x   = 0.5 .
Figure 9. The variations in temperature T along y for various values of the fractional-order parameter ν when x   = 0.5 .
Mathematics 08 01609 g009
Figure 10. The variations in horizontal displacement u along y for various values of the fractional-order parameter ν when x   = 0.5 .
Figure 10. The variations in horizontal displacement u along y for various values of the fractional-order parameter ν when x   = 0.5 .
Mathematics 08 01609 g010
Figure 11. The variations in vertical displacement v along y for various values of the fractional-order parameter ν when x   = 0.5 .
Figure 11. The variations in vertical displacement v along y for various values of the fractional-order parameter ν when x   = 0.5 .
Mathematics 08 01609 g011
Figure 12. The variations in stress σ x x along y for various values of the fractional-order parameter ν when x   = 0.5 .
Figure 12. The variations in stress σ x x along y for various values of the fractional-order parameter ν when x   = 0.5 .
Mathematics 08 01609 g012
Figure 13. The variations in stress σ x y along y for various values of the fractional-order parameter ν when x   = 0.5 .
Figure 13. The variations in stress σ x y along y for various values of the fractional-order parameter ν when x   = 0.5 .
Mathematics 08 01609 g013

Share and Cite

MDPI and ACS Style

Horrigue, S.; Abbas, I.A. Fractional-Order Thermoelastic Wave Assessment in a Two-Dimensional Fiber-Reinforced Anisotropic Material. Mathematics 2020, 8, 1609. https://doi.org/10.3390/math8091609

AMA Style

Horrigue S, Abbas IA. Fractional-Order Thermoelastic Wave Assessment in a Two-Dimensional Fiber-Reinforced Anisotropic Material. Mathematics. 2020; 8(9):1609. https://doi.org/10.3390/math8091609

Chicago/Turabian Style

Horrigue, Samah, and Ibrahim A. Abbas. 2020. "Fractional-Order Thermoelastic Wave Assessment in a Two-Dimensional Fiber-Reinforced Anisotropic Material" Mathematics 8, no. 9: 1609. https://doi.org/10.3390/math8091609

APA Style

Horrigue, S., & Abbas, I. A. (2020). Fractional-Order Thermoelastic Wave Assessment in a Two-Dimensional Fiber-Reinforced Anisotropic Material. Mathematics, 8(9), 1609. https://doi.org/10.3390/math8091609

Note that from the first issue of 2016, this journal uses article numbers instead of page numbers. See further details here.

Article Metrics

Back to TopTop