Next Article in Journal
Generalized Structure Preserving Preconditioners for Frame-Based Image Deblurring
Next Article in Special Issue
Properties of Entropy-Based Topological Measures of Fullerenes
Previous Article in Journal
Controlling Waste and Carbon Emission for a Sustainable Closed-Loop Supply Chain Management under a Cap-and-Trade Strategy
Previous Article in Special Issue
Novel Face Index for Benzenoid Hydrocarbons
 
 
Font Type:
Arial Georgia Verdana
Font Size:
Aa Aa Aa
Line Spacing:
Column Width:
Background:
Article

Wiener Index of Edge Thorny Graphs of Catacondensed Benzenoids

by
Andrey A. Dobrynin
1,2,* and
Ali Iranmanesh
3
1
Laboratory of Topology and Dynamics, Novosibirsk State University, Novosibirsk 630090, Russia
2
Sobolev Institute of Mathematics, Siberian Branch of the Russian Academy of Sciences, Novosibirsk 630090, Russia
3
Department of Mathematics, Faculty of Mathematical Sciences, Tarbiat Modares University, P.O. Box 14115-137, Tehran 14115-137, Iran
*
Author to whom correspondence should be addressed.
Mathematics 2020, 8(4), 467; https://doi.org/10.3390/math8040467
Submission received: 21 January 2020 / Revised: 22 March 2020 / Accepted: 24 March 2020 / Published: 27 March 2020
(This article belongs to the Special Issue Graph Theory at Work in Carbon Chemistry)

Abstract

The Wiener index is a topological index of a molecular graph, defined as the sum of distances between all pairs of its vertices. Benzenoid graphs include molecular graphs of polycyclic aromatic hydrocarbons. An edge thorny graph G is constructed from a catacondensed benzenoid graph H by attaching new graphs to edges of a perfect matching of H. A formula for the Wiener index of G is derived. The index of the resulting graph does not contain distance characteristics of elements of H and depends on the Wiener index of H and distance properties of the attached graphs.
MSC:
05C30; 92E10

Graphical Abstract

1. Introduction

In this paper we deal with finite undirected connected graphs G with vertex set V ( G ) . The degree of a vertex v is denoted by deg ( v ) . If u and v are vertices of G, then the distance d ( u , v ) is the number of edges in a shortest path connecting them. For a vertex v V ( G ) , define its distance as d G ( v ) = u V ( G ) d ( u , v ) . The Wiener index is a distance-based topological index of molecular graphs. It is defined as the sum of distances between all unordered pairs of vertices in G:
W ( G ) = u , v V ( G ) d ( u , v ) = 1 2 u V ( G ) d G ( u ) .
It was introduced as a structural descriptor for characterization of acyclic structures [1]. The Wiener index and its numerous modifications are intensively studied in mathematical and theoretical chemistry and have found various applications in the modeling of physico-chemical, biological, and pharmacological properties of organic molecules. Mathematical properties and chemical applications of the Wiener index can be found in numerous books and reviews (see selected books [2,3,4,5,6,7,8] and articles [9,10,11,12,13,14]). One of the directions of studying of the Wiener index is the development of methods for calculating the index for composite graphs (see [13,14,15,16,17,18,19,20,21]). Since chemical reactions lead to transformations of the structure of molecular graphs, these methods are useful for the evaluation the change in the Wiener index during molecular rearrangements of different types. In general case, the Wiener index of a composite graph depends on Wiener indices of the initial graphs and distance properties of the identified elements in these graphs. An interesting kind of composite graphs is so-called thorny graphs. The concept of thorny graphs was introduced by Gutman in [22]. The thorny graph of G is the graph obtained by attaching pendant vertices to all vertices of G. The Wiener index of the thorny graph does not depend on distance properties of vertices of G in some cases. Eventually, this concept found a variety of chemical applications [23,24,25,26,27,28,29,30,31,32,33].
In this paper, we consider the Wiener index of a new kind of thorny-like graphs. An edge thorny graph G of a benzenoid graph H is constructed by attaching new graphs to edges of H. The specific property of thorny graphs is preserved: the index of the resulting graph does not contain distance characteristics of vertices of H and depends on the Wiener index of H and distance properties of the attached graphs.

2. Catacondensed Benzenoids Graphs

Benzenoid graphs are composed of six-membered cycles (hexagonal rings) connected to each other along the edge. We assume that such a graph contains at least two hexagonal rings. Any two rings either have one common edge (and are then said to be adjacent) or have no common vertices, and no three rings share a common vertex. Each hexagonal ring is adjacent to two or three other rings, with the exception of the terminal rings to which a single ring is adjacent. The inner dual graph of a given benzenoid graph consists of vertices corresponding to hexagonal rings of the graph; two vertices are adjacent if and only if the corresponding rings share an edge. A benzenoid graph is called catacondensed if its inner dual graph is a tree. Denote by C h the set of all catacondensed benzenoid graphs with h rings. Set C h include molecular graphs of catacondensed benzenoid hydrocarbons [6]. Benzenoid hydrocarbons are important raw-materials of the chemical industry (used, for example, for production of dyes and plastics), but are also dangerous pollutants. Since this class of chemical compounds is attracting much attention from theoretical chemists, the theory of the Wiener index of the respective molecular graphs has been developed for many years [34,35]. Linear benzenoid graph L h contains h linearly connected rings. Catacondensed benzenoid graphs without subgraph L 3 form subset F h C h . Chains with this property are known under the name fibonacenes [36]. The Wiener index of fibonacenes was studied in [17,37,38,39,40,41]. Examples of Figure 1 are the linear benzenoid graph L 4 , a fibonacene of F 7 and a branched benzenoid graph of C 8 .
A benzenoid graph with h hexagonal rings has n = 4 h + 2 vertices and every vertex has degree 2 or 3. Edges with incident vertices of the same degree will be called 2-edges and 3-edges. Incident vertices of 2,3-edges have degree 2 and 3. The vertex set of a graph H can be split into two disjoint subsets with respect to vertex degrees: V ( H ) = V 2 ( H ) V 3 ( H ) , where vertex subsets V 2 ( H ) = { v V ( H ) | deg ( v ) = 2 } and V 3 ( H ) = { v V ( H ) | deg ( v ) = 3 } have cardinality n 2 = | V 2 ( H ) | = 2 ( h + 2 ) and n 3 = | V 3 ( H ) | = 2 ( h 1 ) [35]. Since a benzenoid graph is bipartite, n = n 2 + n 3 .

3. Structure of Attached Graphs

In this section, we describe a way of attaching of graphs F, E, and T to edges of a benzenoid graph H. An attachment scheme of the graphs is depicted in Figure 2. Edge ( v , u ) of the graphs is identified with 2-edges, 3-edges, and 2,3-edges of H as shown in Figure 2. Vertex v of T should be always identified with a vertex of degree 2 of H.
We will assume that the attached edge ( v , u ) of F, E, and T does not belong to a cycle with an odd number of vertices. Then we can define the subgraphs induced by vertex sets containing vertices v and u. Namely, V ( F v ) = { w V ( F ) | d ( w , v ) < d ( w , u ) } , V ( F u ) = { w V ( F ) | d ( w , u ) < d ( w , v ) } , V ( E v ) = { w V ( E ) | d ( w , v ) < d ( w , u ) } , V ( E u ) = { w V ( E ) | d ( w , u ) < d ( w , v ) } , V ( T v ) = { w V ( T ) | d ( w , v ) < d ( w , u ) } , and V ( T u ) = { w V ( T ) | d ( w , u ) < d ( w , v ) } . The structure of these subgraphs may be different with one exception: | V ( F v ) | = | V ( F u ) | = | V ( T v ) | = f and | V ( E v ) | = | V ( E u ) | = | V ( T u ) | = e . Therefore, | V ( F ) | = 2 f , | V ( E ) | = 2 e , and | V ( T ) | = f + e .
A perfect matching of a graph is a set of mutually nonadjacent edges that spans all vertices of the graph. Perfect matchings play an important role in the studies of benzenoid hydrocarbons [6,42]. A graph G is called the edge thorny graph if it is constructed by joining new graphs to all edges of a perfect matching in a catacondensed benzenoid graph H. Each vertex of H is covered by only one attached graph.
Denote by P n and C n the path and the cycle with n vertices. Equalities f = 1 or e = 1 imply that F P 2 or E P 2 . Attaching such graphs does not change the structure of a benzenoid graph. Equalities f = 1 and e = 1 imply T P 2 . In this case, a benzenoid graph and its edge thorny graph coincide. If edge ( v , u ) is a bridge in F, E, and T, then the edge thorny graph may be regarded as a result of joining subgraphs F v , F u , E v , E u , T v , and T u to single vertices of a benzenoid graph.

4. Main Result

Let M be a perfect matching of catacondensed benzenoid graph H C h and M has a 2-edges, b 3-edges, and c 2,3-edges, i.e., a + b + c = 2 h + 1 . Let graph G be obtained from H by attaching graphs F, E and T to all edges of M as described in the previous section. Then the Wiener index of G does not depend on distance properties of vertices and edges of H.
Theorem 1.
If G is the edge thorny graph of a benzenoid graph H C h , then
W ( G ) = f + e 2 2 W ( H ) + a W ( F ) + b W ( E ) + ( 2 h + 1 a b ) W ( T ) + p 1 [ d F v ( v ) + d F u ( u ) ] + p 2 [ d E v ( v ) + d E u ( u ) ] + p 3 [ d T v ( v ) + d T u ( u ) ] + p 4 ,
where coefficients p 1 , , p 4 are independent of the distances in the graphs: p 1 = a ( p 5 2 f ) , p 2 = b ( p 5 2 e ) , p 3 = ( 2 h a b + 1 ) ( p 5 f e ) , and p 4 = f 2 [ 3 4 ( 4 h + 5 ) ( 2 h + 1 ) a ] e 2 [ 3 4 ( 2 h + 1 ) ( 4 h 1 ) + b ] f e [ 11 2 ( 2 h + 1 ) a b ] , where p 5 = f ( 2 h + a b + 1 ) + e ( 2 h a + b + 1 ) .
As an illustration, consider the calculation of the Wiener index of an edge thorny graph G for benzenoid graph H C 7 shown in Figure 3. Wiener indices of graphs of the figure are W ( H ) = 2199 , W ( F ) = 171 , W ( E ) = 8 , and W ( T ) = 62 . Distances of vertices are d F v ( v ) = 11 , d F u ( u ) = 10 , d E v ( v ) = d E u ( u ) = 1 , d T v ( v ) = 11 , and d T u ( u ) = 1 . Graph F is attached to a = 6 edges and graph E is attached to b = 3 edges. By Theorem 1,
W ( G ) = 16 × 2199 + 6 × 171 + 3 × 8 + 6 × 62 + 6 ( 132 12 ) ( 11 + 10 ) + 3 ( 132 4 ) ( 1 + 1 ) + 6 ( 132 8 ) ( 11 + 1 ) + 36 ( 3 × 33 × 15 / 4 6 ) 4 ( 3 × 15 × 27 / 4 + 3 ) 12 ( 11 × 15 / 2 9 ) = 72462 .
Theorem 1 has been proved by a long combinatorial reasoning in Section 6. Although the obtained formula is quite cumbersome, in some cases it leads to simple expressions for the Wiener index.
If F E T P 2 then the edge thorny graph coincide with the initial benzenoid graph. The next two corollaries immediately follow from Theorem 1. The Wiener index of an edge thorny graph does not change if vertices v and u of graphs F and E are swapped.
Corollary 1.
Let graph G 1 be obtained from an edge thorny graph G 2 by swapping vertices v and u of a copy of graph F or E. Then W ( G 1 ) = W ( G 2 ) .
Two perfect matchings are called equivalent if they contain the same number of 2-edges, 3-edges, and 2,3-edges.
Corollary 2.
Let edge thorny graphs G 1 and G 2 be obtained from a benzenoid graph H by attaching graphs F, E, and T to the edges of equivalent perfect matchings of H. Then W ( G 1 ) = W ( G 2 ) .
If all attached graphs have the same parameters involved in Theorem 1 (say, they are isomorphic), then the formula for the Wiener index has a simple form.
Corollary 3.
Let G be the edge thorny graph of a benzenoid graph H C h . If d F v ( v ) = d F u ( u ) = d E v ( v ) = d E u ( u ) = d T v ( v ) = d T u ( u ) and f = e , then
W ( G ) = f 2 W ( H ) + ( 2 h + 1 ) W ( F ) + 8 f h ( 2 h + 1 ) d F v ( v ) f 2 ( 2 h + 1 ) ,
i.e., the Wiener index of G does not depend on the choice of a perfect matching in H.
For example, if a new hexagonal ring is attached to all edges of an arbitrary perfect matching of H C h , then
W ( G ) = 9 W ( H ) + 18 ( 4 h + 1 ) ( 2 h + 1 ) .
Specifying the structure of graphs F, E, and T, one can construct edge thorny graphs relevant to chemical graphs.

5. Examples of application of Theorem 1

Consider a perfect matching of H without 2,3-edges. Let E P 2 . Since 2-edges should cover all vertices of degree 2, suitable catacondensed benzenoid graphs belong to F h . This implies that a + b = 2 h + 1 and W ( T ) = d T v ( v ) = d T u ( u ) = 0 , W ( E ) = 1 , d E v ( v ) = d E u ( u ) = 0 , and e = 1 . Then the formula of Theorem 1 is reduced to the following expression.
Corollary 4.
If G is the edge thorny graph of a benzenoid graph H F h , a + b = 2 h + 1 and E P 2 , then
W ( G ) = f + 1 2 2 W ( H ) + a W ( F ) + 2 a 2 h + ( a 1 ) ( f 1 ) [ d F v ( v ) + d F u ( u ) ] + 3 4 ( 4 h + 5 ) ( 2 h + 1 ) a f 2 9 2 ( 2 h + 1 ) f 3 4 ( 2 h + 1 ) ( 4 h 1 ) .
An example of the edge thorny graph G of H C 7 is shown in Figure 4. The numbers of 2-edges and 3-edges of the selected perfect matching are a = 9 and b = 6 , respectively. The other parameters of graphs are W ( H ) = 2183 , W ( F ) = 8 , W ( E ) = 1 , d F v ( v ) = d F u ( u ) = 1 , and f = 2 . Then
W ( G ) = 3 2 2 2183 + 9 × 8 + 18 × 22 × 2 + 3 × 15 × 33 4 9 4 9 × 15 3 × 15 × 27 4 = 6786 .
If F C 6 , then the edge thorny graph is also a benzenoid graph. Let H 0 F h and a perfect matching of H 0 contains a 2-edges and b = ( 2 h + 1 ) a 3-edges. Denote by H k the edge thorny graph of benzenoid graph H k 1 , k 1 . It is clear that H k F h for some h . Applying Corollary 4, we get the following recurrent relation
W ( H k + 1 ) = 4 W ( H k ) + 6 a ( 4 a + 4 h 1 ) + 3 ( 8 h + 7 ) ( 2 h + 1 ) .
It is easy to see that h ( H k ) = a ( 2 k 1 ) + h and a ( H k ) = a 2 k , k 0 . Solving relation (1), we obtain
W ( H k ) = W ( H 0 ) + 24 a 2 k + ( 2 h 2 a + 1 ) ( 8 h + 22 a + 7 ) 4 k 30 a ( 2 h 2 a + 1 ) 2 k ( 2 h 2 a + 1 ) ( 8 h 8 a + 7 ) .
Apply this formula for calculation the Wiener index of graphs H k shown in Figure 5.
Inner dual graphs of H k , k 1 , may be regarded as a growing tree-like dendrimer with non-pendant vertices of degree 3. Since W ( H 0 ) = 27 , h ( H 0 ) = 1 and a ( H 0 ) = 3 , we obtain
W ( H k ) = 216 ( k 1 ) 4 k + 270 × 2 k 27 .
The Wiener index of the initial edge thorny graphs are W ( H 1 ) = 513 , W ( H 2 ) = 4509 , and W ( H 3 ) = 29781 .
If edge ( v , u ) of F is a bridge, then the edge thorny graph can be considered as the result of attaching graphs F v and F u to single vertices of a benzenoid graph. Note that if subgraphs F v and F u of an edge are swapped, then the Wiener index will not change (see Corollary 1). For instance, edge thorny graphs G and G of Figure 6 are obtained from benzenoid graph H F 5 . Graphs F v and F u are isomorphic to P 3 , E P 2 , W ( H ) = 883 , W ( F ) = 32 , a = 7 , and b = 4 . By Corollary 4, we have W ( G ) = W ( G ) and
W ( G ) = 4 × 883 + 7 × 32 + 14 × 22 × 5 + 3 × 25 × 11 4 7 9 9 × 11 × 3 2 3 × 11 × 19 4 = 6784 .
Consider the case when graph T is also used for constructing edge thorny graphs.
Corollary 5.
Let G be the edge thorny graph of H C h and E P 2 . Then
W ( G ) = f + 1 2 2 W ( H ) + a W ( F ) + ( 2 h a b + 1 ) W ( T ) + p 1 [ d F v ( v ) + d F u ( u ) ] + p 3 d T v ( v ) + p 4 ,
where p 1 = a ( f ( 2 h + a b 1 ) + 2 h a + b + 1 ) , p 3 = ( 2 h a b + 1 ) ( f ( 2 h + a b ) + 2 h a + b ) , and p 4 = f 2 [ 3 4 ( 4 h + 5 ) ( 2 h + 1 ) a ] f [ 11 2 ( 2 h + 1 ) a b ] 3 4 ( 2 h + 1 ) ( 4 h 1 ) .
Consider an example of the edge thorny graph G of a benzenoid graph H C 4 depicted in Figure 7. A selected perfect matching of H has a = 4 2-edges, b = 1 3-edge, and 4 2,3-edges. Parameters of graphs of Figure 7 are W ( H ) = 553 , W ( F ) = 58 , W ( E ) = 1 , W ( T ) = 18 , d F v ( v ) = d F u ( u ) = 10 , d E v ( v ) = d E u ( u ) = d T u ( u ) = 0 , d T v ( v ) = 5 , f = 4 , and e = 1 . Then
W ( G ) = 5 2 2 553 + 4 × 58 + 4 × 18 + 4 ( 40 + 6 ) ( 6 + 6 ) + 4 ( 44 + 5 ) 5 + 16 3 × 21 × 9 4 4 4 11 × 9 2 5 3 × 9 × 15 4 = 8873 .
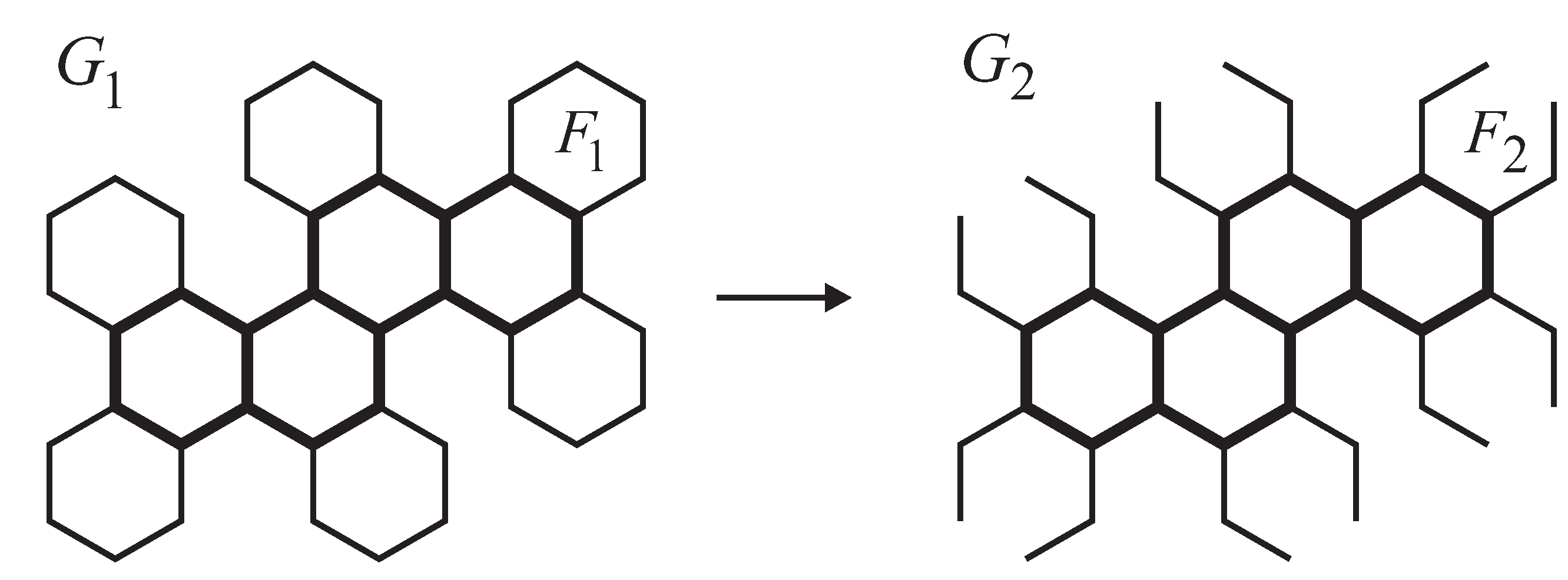
The next example illustrates the estimation of the change in the Wiener index for two structures with the same number of vertices after removing some edges. Let graphs G 1 and G 2 be obtained from the benzenoid graph H with four hexagonal rings by attaching graphs F 1 C 6 and paths F 2 P 6 to a = 6 edges of H as shown in Figure 8 (3-edges of H are covered by graphs P 2 ). By Corollary 4, one can easily calculate that
W ( G 2 ) W ( G 1 ) = a ( W ( F 2 ) W ( F 1 ) ) = 6 ( W ( P 6 ) W ( C 6 ) ) = 6 ( 35 27 ) = 48 .

6. Proof of Theorem 1

Let graph G be obtained from an n-vertex benzenoid graph H C h by identifying edges of a perfect matching of H with edges ( v , u ) of graphs F, E, and T. Denote by F i , E i , and T i copies of graphs F, E, and T attached to a 2-edges, b 3-edges, and c 2,3-edges of the perfect matching, respectively. The distance between two vertex subsets X and Y of a graph is defined as d ( X , Y ) = x X y Y d ( x , y ) .
Consider the sums of vertex distances with respect to vertex degrees. Define the following parts of the Wiener index of H C h : W k ( H ) = u V k ( H ) d H ( u ) and W k m ( H ) = u V k ( H ) v V m ( H ) d ( u , v ) , where k , m { 2 , 3 } . Since each distance is counted twice in W 2 ( H ) , W 3 ( H ) , W 22 ( H ) , and W 33 ( H ) ,
W ( H ) = 1 2 W 2 ( H ) + W 3 ( H ) = 1 2 W 22 ( H ) + 2 W 23 ( H ) + W 33 ( H ) .
The following decomposition lemma of the Wiener index will be used in the proof of Theorem 1.
Lemma 1.
[43] For a catacondensed benzenoid graph H with h rings, W ( H ) = W 2 ( H ) 3 ( 4 h 2 + 4 h + 1 ) , W ( H ) = W 3 ( H ) + 3 ( 4 h 2 + 4 h + 1 ) , W ( H ) = 2 W 22 ( H ) 3 ( 8 h 2 + 14 h + 5 ) , W ( H ) = 2 W 33 ( H ) + 3 ( 8 h 2 + 2 h 1 ) , and W ( H ) = 2 W 23 ( H ) + 9 ( 2 h + 1 ) .
Let r = f 1 and s = e 1 . Then the Wiener index of the edge thorny graph G can be represented as follows.
2 W ( G ) = w V ( H ) d G ( w ) + i = 1 a w V ( F v i ) \ v i d G ( w ) + i = 1 a w V ( F u i ) \ u i d G ( w ) + i = 1 b w V ( E v i ) \ v i d G ( w ) + i = 1 b w V ( E u i ) \ u i d G ( w ) + i = 1 c w V ( T v i ) \ v i d G ( w ) + i = 1 c w V ( T u i ) \ u i d G ( w ) .
Next, we find summands of Equation (2) for graphs H and T. Calculations for graphs F and E are similar.
1. Let w V ( H ) . Then
d G ( w ) = x V ( H ) d G ( w , x ) + i = 1 a x V ( F v i ) \ v i d G ( w , x ) + x V ( F u i ) \ u i d G ( w , x ) + i = 1 b x V ( E v i ) \ v i d G ( w , x ) + x V ( E u i ) \ u i d G ( w , x ) + i = 1 c x V ( T v i ) \ v i d G ( w , x ) + x V ( T u i ) \ u i d G ( w , x ) = d H ( w ) + i = 1 a r d H ( w , v i ) + d F v i ( v i ) + r d H ( w , u i ) + d F u i ( u i ) + i = 1 b s d H ( w , v i ) + d E v i ( v i ) + s d H ( w , u i ) + d E u i ( u i ) + i = 1 c r d H ( w , v i ) + d T v i ( v i ) + s d H ( w , u i ) + d T u i ( u i ) = d H ( w ) + r i = 1 a d H ( w , v i ) + a d F v i ( v i ) + r i = 1 a d H ( w , u i ) + a d F u i ( u i ) + s i = 1 b d H ( w , v i ) + b d E v i ( v i ) + s i = 1 b d H ( w , u i ) + b d E u i ( u i + r i = 1 c d H ( w , v i ) + c d T v i ( v i ) + s i = 1 c d H ( w , u i ) + c d T u i ( u i ) ) = d H ( w ) + r d H ( w , V 2 ) + s d H ( w , V 3 ) + a d F v ( v ) + a d F u ( u ) + b d E v ( v ) + b d E u ( u ) + c d T v ( v ) + c d T u ( u ) .
Summing the last equation for all w V ( H ) , we have
w V ( H ) d G ( w ) = 2 W ( H ) + r W 2 ( H ) + s W 3 ( H ) + n a d F v ( v ) + n a d F u ( u ) + n b d E v ( v ) + n b d E u ( u ) + n c d T v ( v ) + n c d T u ( u ) .
2. Let w V ( T v i ) . Then
d G ( w ) = x V ( T i ) \ { v i , u i } d G ( w , x ) + x V ( H ) d G ( w , x ) + j = 1 j i c x V ( T v j ) d G ( w , x ) + x V ( T u j ) d G ( w , x ) + j = 1 a x V ( F v j ) d G ( w , x ) + x V ( F u j ) d G ( w , x ) + j = 1 b x V ( E v j ) d G ( w , x ) + x V ( E u j ) d G ( w , x ) = d V ( T i ) \ { v i , u i } ( w ) + x V ( H ) d T v i ( w , v i ) + d H ( v i , x ) + j = 1 j i c ( x V ( E v j ) [ d T v i ( w , v i ) + d H ( v i , v j ) + d T v j ( v j , x ) ] + x V ( E u j ) [ d T v i ( w , v i ) + d H ( v i , u j ) + d T u j ( u j , x ) ] ) + j = 1 a ( x V ( F v j ) [ d T v i ( w , v i ) + d H ( v i , v j ) + d F v j ( v j , x ) ] + x V ( F u j ) [ d T v i ( w , v i ) + d H ( v i , u j ) + d F u j ( u j , x ) ] ) + j = 1 b ( x V ( E v j ) [ d T v i ( w , v i ) + d H ( v i , v j ) + d E v j ( v j , x ) ] + x V ( E u j ) [ d T v i ( w , v i ) + d H ( v i , u j ) + d E u j ( u j , x ) ] ) = d V ( T i ) \ { v i , u i } ( w ) + n d T v i ( w , v i ) + d H ( v i ) + ( c 1 ) r d T v i ( w , v i ) + r j = 1 j i c d H ( v i , v j ) + ( c 1 ) d T v j ( v j ) + ( c 1 ) s d T v i ( w , v i ) + s j = 1 j i c d H ( v i , u j ) + ( c 1 ) d T u j ( u j ) + a r d T v i ( w , v i ) + r j = 1 a d H ( v i , v j ) + a d F v j ( v j ) + a r d T v i ( w , v i ) + r j = 1 a d H ( v i , u j ) + a d F u j ( u j )
+ b s d T v i ( w , v i ) + s j = 1 b d H ( v i , v j ) + b d E v j ( v j ) + b s d T v i ( w , v i ) + s j = 1 b d H ( v i , u j ) + b d E u j ( u j )
= d V ( T i ) \ { v i , u i } ( w ) + n d T v i ( w , v i ) + d H ( v i ) + r d H ( v i , V 2 ) + s [ d H ( v i , V 3 ) 1 ] + d T v j ( w , v i ) [ ( c 1 ) r + ( c 1 ) s + 2 a r + 2 b s ] + ( c 1 ) d T v ( v ) + ( c 1 ) d T u ( u ) + a d F v ( v ) + a d F u ( u ) + b d E v ( v ) + b d E u ( u ) .
Summing the last equation for all w V ( T v i ) , we get
w V ( T v i ) d G ( w ) = d T i ( V ( T v i ) , V ( E i ) \ { v i , u i } ) + n d E v ( v ) + r d H ( v i ) + r 2 d H ( v i , V 2 ) + r s d H ( v i , V 3 ) + d T v ( v ) [ n + 2 ( c 1 ) r + ( c 1 ) s + 2 a r + 2 b s ] + ( c 1 ) r d T u ( u ) + a r d F v ( v ) + a r d F u ( u ) + b r d E v ( v ) + b r d E u ( u ) r s .
For all graphs T v i , we obtain
i = 1 c w V ( T v i ) d G ( w ) = c d T i ( V ( T v i ) , V ( T i ) \ { v i , u i } ) + r i = 1 c d H ( v i ) + r 2 i = 1 c d H ( v i , V 2 ) + r s i = 1 c d H ( v i , V 3 ) + d T v ( v ) c [ n + 2 ( c 1 ) r + ( c 1 ) s + 2 a r + 2 b s ] + c ( c 1 ) r d T u ( u ) + c a r d F v ( v ) + c a r d F u ( u ) + c b r d E v ( v ) + c b r d E u ( u ) c r s .
After similar calculations for graphs T u i , we have
i = 1 c w V ( T u i ) d G ( w ) = c d T i ( V ( T u i ) , V ( T i ) \ { v i , u i } ) + s i = 1 c d H ( u i ) + s 2 i = 1 c d H ( u i , V 3 ) + s r i = 1 c d H ( u i , V 2 ) + d T u ( u ) c [ n + ( c 1 ) r + 2 ( c 1 ) s + 2 a r + 2 b s ] + c ( c 1 ) s d T v ( v ) + c a s d F v ( v ) + c a s d F u ( u ) + c b s d E v ( v ) + c b s d E u ( u ) c s r .
Now we are ready to write the final contribution of graphs T i to W ( G ) :
i = 1 c w V ( T v i ) d G ( w ) + i = 1 c w V ( T u i ) d G ( w ) = = d T i ( V ( T v i ) , V ( T i ) \ { v i , u i } ) + d T i ( T u i , V ( T i ) \ { v i , u i } ) + r i = 1 c d H ( v i ) + s i = 1 c d H ( u i ) + r 2 i = 1 c d H ( v i , V 2 ) + s 2 i = 1 c d H ( u i , V 3 ) + r s i = 1 c d H ( v i , V 3 ) + s r i = 1 c d H ( u i , V 2 ) + d T v ( v ) c [ n + 2 ( c 1 ) r + ( c 1 ) s + 2 a r + 2 b s ] + d T u ( u ) c [ n + ( c 1 ) r + 2 ( c 1 ) s + 2 a r + 2 b s ] + c a r d F v ( v ) + c a r d F u ( u ) + c b r d E v ( v ) + c b r d E u ( u ) + c a s d F v ( v ) + c a s d F u ( u ) + c b s d E v ( v ) + c b s d E u ( u ) 2 c s r .
To find contributions of graphs F and E, we have to do the same calculations. Then
i = 1 a w V ( F v i ) d G ( w ) + i = 1 a w V ( F u i ) d G ( w ) = = d F i ( V ( F v i ) , V ( F i ) \ { v i , u i } ) + d F i ( V ( F u i ) , V ( F i ) \ { v i , u i } ) + r i = 1 a [ d H ( v i ) + d H ( u i ) ] + r 2 i = 1 a [ d H ( v i , V 2 ) + d H ( u i , V 2 ) ] + r s i = 1 a [ d H ( v i , V 3 ) + d H ( u i , V 3 ) ] + [ d F v ( v ) + d F u ( u ) ] a [ n + 4 ( a 1 ) r + 2 b s + c r + c s ] + 2 a b r d E v ( v ) + 2 a b r d E u ( u ) + 2 a c r d T v ( v ) + a c r d T u ( u ) 2 a r 2
and
i = 1 b w V ( E v i ) d G ( w ) + i = 1 b w V ( E u i ) d G ( w ) = = d E i ( V ( E v i ) , V ( E i ) \ { v i , u i } ) + d E i ( V ( E u i ) , V ( E i ) \ { v i , u i } ) + s i = 1 b [ d H ( v i ) + d H ( u i ) ] + s 2 i = 1 b [ d H ( v i , V 3 ) + d H ( u i , V 3 ) ] + r s i = 1 b [ d H ( v i , V 2 ) + d H ( u i , V 2 ) ] + [ d E v ( v ) + d E u ( u ) ] b [ n + 2 a r + 4 ( b 1 ) s + c r + c s ] + 2 a b s d F v ( v ) + 2 a b s d F u ( u ) + 2 b c s d T v ( v ) + 2 b c s d T u ( u ) 2 b e 2 .
It is not hard to derive that for graph Y { F , E , T } ,
d Y i ( V ( Y v i ) , V ( Y i ) \ { v i , u i } ) + d Y i ( V ( Y u i ) , V ( Y i ) \ { v i , u i } ) = = 2 W ( Y ) [ 2 d Y ( v ) + 2 d Y ( u ) ] + 2 = 2 W ( Y ) 2 ( 2 d Y v ( v ) + 2 d Y u ( u ) + | V ( Y v ) | + | V ( Y u ) | + 2 ) + 2 .
After substitution expressions (3), (4)–(6), and (7) back into Equation (2), we have
W ( G ) = W ( H ) + a W ( F ) + b W ( E ) + 2 c W ( T ) + r W 2 ( H ) + s W 3 ( H ) + r 2 2 W 22 ( H ) + s 2 2 W 33 ( H ) + r s W 23 ( H ) + [ d F v ( v ) + d F u ( u ) ] a [ n + 2 ( a 1 ) r + 2 b s + c r + c s 2 ] + [ d E v ( v ) + d E u ( u ) ] b [ n + 2 a r + 2 ( b 1 ) s + c r + c s 2 ] + [ d T v ( v ) + d T u ( u ) ] c [ n + ( c 1 ) r + ( c 1 ) s + 2 a r + 2 b s 2 ] ( a r 2 + b s 2 + c r s + 2 a r + 2 b s + c r + c s + a + b + c ) .
In order to complete the proof, we need express quantities W 2 ( H ) , W 3 ( H ) , W 22 ( H ) , W 33 ( H ) , and W 23 ( H ) in terms of W ( H ) (see Lemma 1) and rewrite W ( G ) in terms of e = r + 1 and f = s + 1 .
The proof is complete.

7. Conclusions

The Wiener index of edge thorny graphs of benzenoid graphs is studied. An edge thorny graph is a kind of composite graph. It is obtained by attaching new graphs to the edges of an original benzenoid graph H. These edges cover all the vertices of H and, moreover, form a perfect matching in H. It is shown that the index of the resulting graph does not contain distance characteristics of vertices or edges of H and depends on the Wiener index of H and distance properties of the attached graphs. The obtained formulas may be useful for calculation the Wiener index of some classes of chemical graphs. In particular, by specifying the attached graphs, one can evaluate the change in the Wiener index for molecular graphs under structural rearrangements.

Author Contributions

Methodology, A.I.; Investigation, A.A.D. All authors have read and agreed to the published version of the manuscript.

Funding

This work was supported by the Laboratory of Topology and Dynamics, Novosibirsk State University (contract no. 14.Y26.31.0025 with the Ministry of Education and Science of the Russian Federation) and Iranian National Science Foundation (INSF) under the contract No. 96004167.

Conflicts of Interest

The authors declare no conflict of interest.

References

  1. Wiener, H. Structural determination of paraffin boiling points. J. Am. Chem. Soc. 1947, 69, 17–20. [Google Scholar] [CrossRef] [PubMed]
  2. Dehmer, M.; Emmert-Streib, F. (Eds.) Quantitative Graph Theory: Mathematical Foundations and Applications; Discrete Mathematics and Its Applications; Chapman and Hall/CRC: London, UK, 2014. [Google Scholar]
  3. Diudea, M.V. (Ed.) QSPR/QSAR Studies by Molecular Descriptors; Nova: Huntington, NY, USA, 2001. [Google Scholar]
  4. Gutman, I.; Furtula, B. (Eds.) Distance in Molecular Graphs—Theory; Mathematical chemistry monographs, 12; Univermany of Kragujevac: Kragujevac, Serbia, 2012. [Google Scholar]
  5. Gutman, I.B.; Furtula, B. (Eds.) Distance in Molecular Graphs—Applications; Mathematical chemistry monographs, 13; Univermany of Kragujevac: Kragujevac, Serbia, 2012. [Google Scholar]
  6. Gutman, I.; Polansky, O.E. Mathematical Concepts in Organic Chemistry; Springer: Berlin, Germany, 1986. [Google Scholar]
  7. Todeschini, R.; Consonni, V. Handbook of Molecular Descriptors; Wiley–VCH: Weinheim, Germany, 2000. [Google Scholar]
  8. Trinajstić, N. Chemical Graph Theory; CRC Press: Boca Raton, FL, USA, 1983; 2nd ed. 1992. [Google Scholar]
  9. Dobrynin, A.A.; Entringer, R.; Gutman, I. Wiener index for trees: Theory and applications. Acta Appl. Math. 2001, 66, 211–249. [Google Scholar] [CrossRef]
  10. Dobrynin, A.A.; Gutman, I.; Klavžar, S.; Žigert, P. Wiener index of hexagonal systems. Acta Appl. Math. 2002, 72, 247–294. [Google Scholar] [CrossRef]
  11. Knor, M.; Škrekovski, R.; Tepeh, A. Mathematical aspects of Wiener index. Ars Math. Contemp. 2016, 11, 327–352. [Google Scholar] [CrossRef]
  12. Nikolić, S.; Trinajstić, N.; Mihalić, Z. The Wiener index: Developments and applications. Croat. Chem. Acta 1995, 68, 105–129. [Google Scholar]
  13. Polansky, O.E.; Bonchev, D. The Wiener number of graphs. I. General theory and changes due to some graph operations. MATCH Commun. Math. Comput. Chem. 1986, 21, 133–186. [Google Scholar]
  14. Polansky, O.E.; Bonchev, D. Theory of the Wiener number of graphs. II. Transfer graphs and some of their metric properties. MATCH Commun. Math. Comput. Chem. 1990, 25, 3–39. [Google Scholar]
  15. Bonchev, D.; Mekenyan, O.; Trinajstić, N. Topological characterization of cyclic structures. Int. J. Quantum Chem. 1980, 17, 845–893. [Google Scholar] [CrossRef]
  16. Dobrynin, A.A. Formula for calculating the Wiener index of catacondensed benzenoid graphs. J. Chem. Inf. Comput. Sci. 1998, 38, 811–814. [Google Scholar] [CrossRef]
  17. Dobrynin, A.A.; Estaji, E. Wiener index of hexagonal chains under some transformations. Open J. Discret. Appl. Math. 2020, 3, 28–36. [Google Scholar] [CrossRef]
  18. Eliasi, M.; Taeri, B. Four new sums of graphs and their Wiener indices. Discret. Appl. Math. 2009, 157, 794–803. [Google Scholar] [CrossRef]
  19. Eliasi, M.; Raeisi, G.; Taeri, B. Wiener index of some graph operations. Discret. Appl. Math. 2012, 160, 1333–1344. [Google Scholar] [CrossRef]
  20. Xu, L.; Guo, X. Catacondensed hexagonal systems with large Wiener numbers. MATCH Commun. Math. Comput. Chem. 2006, 55, 137–158. [Google Scholar]
  21. Yeh, Y.N.; Gutman, I. On the sum of all distances in composite graphs. Discret. Math. 1994, 135, 359–365. [Google Scholar] [CrossRef]
  22. Gutman, I. Distance in thorny graph. Publ. Inst. Math (Beograd) 1998, 63, 31–36. [Google Scholar]
  23. Alizadeh, Y.; Iranmanesh, A.; Došlić, T.; Azari, M. The edge Wiener index of suspensions, bottlenecks, and thorny graphs. Glas. Mat. 2014, 49, 1–12. [Google Scholar] [CrossRef]
  24. Bonchev, D.; Klein, D.J. On the Wiener number of thorn trees, stars, rings and rods. Croat. Chem. Acta 2002, 75, 613–620. [Google Scholar]
  25. Bytautas, L.; Bonchev, D.; Klein, D.J. On the generation of mean Wiener numbers of thorny graphs. MATCH Commun. Math. Comput. Chem. 2001, 44, 31–40. [Google Scholar]
  26. Gutman, I.; Vidović, D.; Popović, L.J. Graph representation of organic molecules Cayley’s plerograms vs. his kenograms. J. Chem. Soc. Faraday Trans. 1998, 94, 857–860. [Google Scholar] [CrossRef]
  27. Heydari, A. On the spectra of reduced distance matrix of thorn graphs. Iran. J. Math. Chem. 2011, 2, 81–87. [Google Scholar]
  28. Heydari, A.; Gutman, I. On the terminal Wiener index of thorn graphs. Kragujev. J. Sci. 2010, 32, 57–64. [Google Scholar]
  29. Klein, D.J.; Došlić, T.; Bonchev, D. Vertex weightings for distance moments and thorny graphs. Discret. Appl. Math. 2007, 155, 2294–2302. [Google Scholar] [CrossRef][Green Version]
  30. Vukičević, D.; Graovac, A. On modified Wiener indices of thorn graphs. MATCH Commun. Math. Comput. Chem. 2004, 50, 93–108. [Google Scholar]
  31. Vukičević, D.; Zhou, B.; Trinajstić, N. Altered Wiener indices of thorn trees. Croat. Chem. Acta 2007, 80, 283–285. [Google Scholar]
  32. Zhou, B. On modified Wiener indices of thorn trees. Kragujev. J. Math. 2005, 27, 5–9. [Google Scholar]
  33. Zhou, B.; Graovac, A.; Vukičević, D. Variable Wiener indices of thorn graphs. MATCH Commun. Math. Comput. Chem. 2006, 56, 375–382. [Google Scholar]
  34. Gutman, I. Topological properties of benzenoid systems. Topics Curr. Chem. 1992, 162, 21–28. [Google Scholar]
  35. Gutman, I.; Cyvin, S.J. Introduction to the Theory of Benzenoid Hydrocarbons; Springer: Berlin, Germany, 1989. [Google Scholar]
  36. Gutman, I.; Klavžar, S. Chemical graph theory of fibonacenes. MATCH Commun. Math. Comput. Chem. 2006, 55, 39–54. [Google Scholar] [CrossRef]
  37. Balaban, A.T. Chemical graphs. Part 50. Symmetry and enumeration of fibonacenes (unbranched catacondensed benzenoids isoarithmic with helicenes and zigzag catafusenes). MATCH Commun. Math. Comput. Chem. 1989, 24, 9–38. [Google Scholar]
  38. Dobrynin, A.A. On the Wiener index of fibonacenes. MATCH Commun. Math. Comput. Chem. 2010, 64, 707–726. [Google Scholar]
  39. Dobrynin, A.A. On the Wiener index of certain families of fibonacenes. MATCH Commun. Math. Comput. Chem. 2013, 70, 565–574. [Google Scholar]
  40. Dobrynin, A.A. Wiener index of hexagonal chains with segments of equal length. In Quantitative Graph Theory: Mathematical Foundations and Applications; Dehmer, M., Emmert-Streib, F., Eds.; Chapman and Hall/CRC: London, UK, 2014; pp. 81–109. [Google Scholar]
  41. Dobrynin, A.A. Hexagonal chains with segments of equal lengths having distinct sizes and the same Wiener index. MATCH Commun. Math. Comput. Chem. 2017, 78, 121–132. [Google Scholar]
  42. Cyvin, S.J.; Gutman, I. Kekulé Structures in Benzenoid Hydrocarbons; Lect. Notes Chem. 46; Springer: Berlin, Germany, 1988. [Google Scholar]
  43. Dobrynin, A.A. On the Wiener index decomposition for catacondensed benzenoid graphs. Indian J. Chem. 2003, 42A, 1270–1271. [Google Scholar]
Figure 1. Catacondensed benzenoid graphs.
Figure 1. Catacondensed benzenoid graphs.
Mathematics 08 00467 g001
Figure 2. Attachment of graphs F, E, and T to edges of H.
Figure 2. Attachment of graphs F, E, and T to edges of H.
Mathematics 08 00467 g002
Figure 3. Benzenoid graph H and its edge thorny graph G.
Figure 3. Benzenoid graph H and its edge thorny graph G.
Mathematics 08 00467 g003
Figure 4. Attaching graph F to 2-edges of benzenoid graph H.
Figure 4. Attaching graph F to 2-edges of benzenoid graph H.
Mathematics 08 00467 g004
Figure 5. Benzenoid graphs H k , k 0 .
Figure 5. Benzenoid graphs H k , k 0 .
Mathematics 08 00467 g005
Figure 6. Attaching graphs F and E to benzenoid graph H.
Figure 6. Attaching graphs F and E to benzenoid graph H.
Mathematics 08 00467 g006
Figure 7. Benzenoid graph H and its edge thorny graph G.
Figure 7. Benzenoid graph H and its edge thorny graph G.
Mathematics 08 00467 g007
Figure 8. An example of a transformation of edge thorny graphs.
Figure 8. An example of a transformation of edge thorny graphs.
Mathematics 08 00467 g008

Share and Cite

MDPI and ACS Style

Dobrynin, A.A.; Iranmanesh, A. Wiener Index of Edge Thorny Graphs of Catacondensed Benzenoids. Mathematics 2020, 8, 467. https://doi.org/10.3390/math8040467

AMA Style

Dobrynin AA, Iranmanesh A. Wiener Index of Edge Thorny Graphs of Catacondensed Benzenoids. Mathematics. 2020; 8(4):467. https://doi.org/10.3390/math8040467

Chicago/Turabian Style

Dobrynin, Andrey A., and Ali Iranmanesh. 2020. "Wiener Index of Edge Thorny Graphs of Catacondensed Benzenoids" Mathematics 8, no. 4: 467. https://doi.org/10.3390/math8040467

APA Style

Dobrynin, A. A., & Iranmanesh, A. (2020). Wiener Index of Edge Thorny Graphs of Catacondensed Benzenoids. Mathematics, 8(4), 467. https://doi.org/10.3390/math8040467

Note that from the first issue of 2016, this journal uses article numbers instead of page numbers. See further details here.

Article Metrics

Back to TopTop