Fuzzy Ranking Network DEA with General Structure
Abstract
1. Introduction
2. Preliminaries
2.1. Crisp Network DEA Model
- Uniform reduction factor of the input consumption of DMU J
- Intensity variable of process p of DMU j
2.2. Fuzzy Numbers
- (i)
- There exists such that ;
- (ii)
- is fuzzy convex. In other words, , for any and ;
- (iii)
- is upper semicontinuous on , which means that is closed for all ;
- (iv)
- The support of is bounded, i.e., the closure of is bounded.
3. Proposed Fuzzy Ranking Network DEA Approaches
3.1. Fuzzy Ranking Method 1 (FRM1)
3.2. Fuzzy Ranking Method 2 (FRM2)
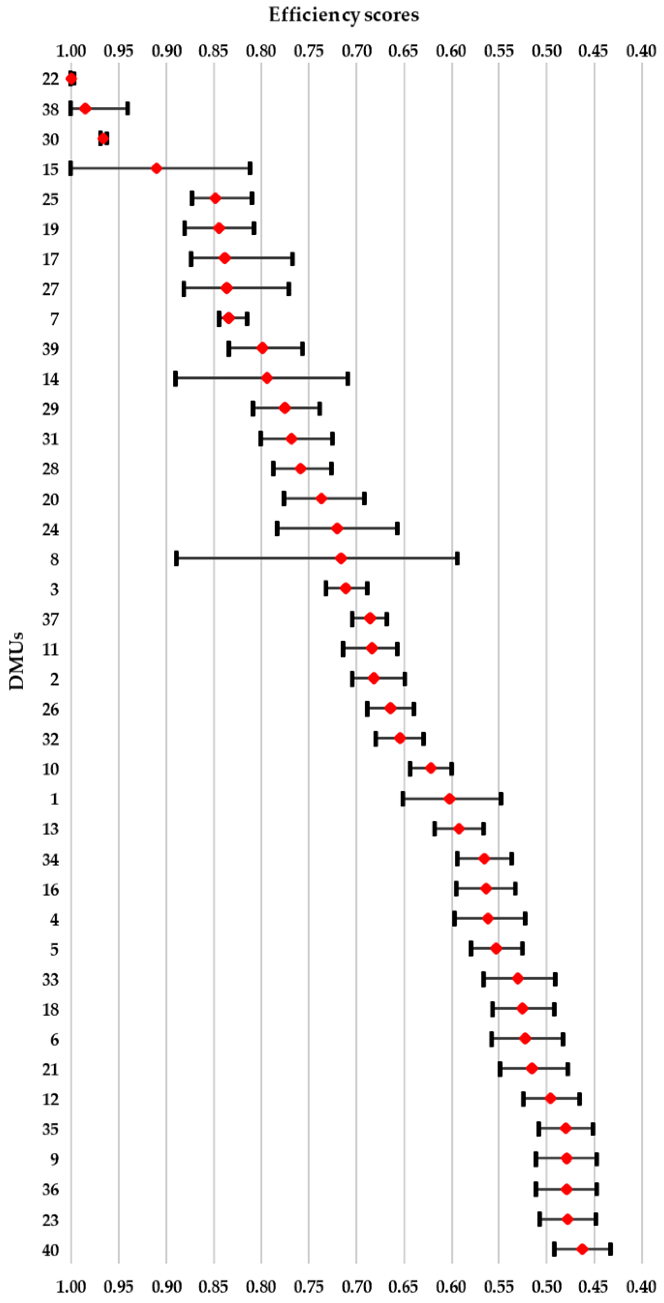
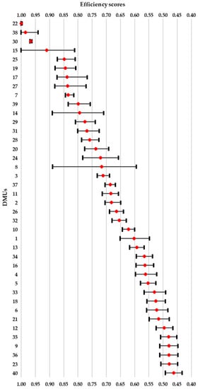
4. Illustration of Proposed Approaches
5. Conclusions
Author Contributions
Funding
Conflicts of Interest
Appendix A
- Crisp network DEA model (output orientation)
- FRM1 (output orientation)
- FRM2 (output orientation)
References
- Kao, C. Efficiency decomposition in network data envelopment analysis: A relational model. Eur. J. Oper. Res. 2009, 192, 949–962. [Google Scholar] [CrossRef]
- Tone, K.; Tsutsui, M. Network DEA: A slacks-based measure approach. Eur. J. Oper. Res. 2009, 197, 243–252. [Google Scholar] [CrossRef]
- Tone, K.; Tsutsui, M. Dynamic DEA with network structure: A slacks-based measure approach. Omega 2014, 42, 124–131. [Google Scholar] [CrossRef]
- Cook, W.D.; Zhu, J.; Bi, G.; Yang, F. Network DEA: Additive efficiency decomposition. Eur. J. Oper. Res. 2010, 207, 1122–1129. [Google Scholar] [CrossRef]
- Lozano, S. Scale and cost efficiency analysis of networks of processes. Expert Syst. Appl. 2011, 38, 6612–6617. [Google Scholar] [CrossRef]
- Lozano, S. Slacks-based inefficiency approach for general networks with bad outputs: An application to the banking sector. Omega 2016, 60, 73–84. [Google Scholar] [CrossRef]
- Lozano, S.; Gutiérrez, E.; Moreno, P. Network DEA approach to airports performance assessment considering undesirable outputs. Appl. Math. Model. 2013, 37, 1665–1676. [Google Scholar] [CrossRef]
- Moreno, P.; Lozano, S. A network DEA assessment of team efficiency in the NBA. Ann. Oper. Res. 2014, 214, 99–124. [Google Scholar] [CrossRef]
- Lozano, S.; Adenso-Díaz, B. Network DEA-based biobjective optimization of product flows in a supply chain. Ann. Oper. Res. 2018, 264, 307–323. [Google Scholar] [CrossRef]
- Kao, C.; Liu, S.T. Fuzzy efficiency measures in data envelopment analysis. Fuzzy Sets Syst. 2000, 113, 427–437. [Google Scholar] [CrossRef]
- Arana-Jiménez, M.; Sánchez-Gil, M.C.; Lozano, S. Efficiency Assessment and Target Setting Using a Fully Fuzzy DEA Approach. Int. J. Fuzzy Syst. 2020, 224, 1056–1072. [Google Scholar] [CrossRef]
- Saati, S.; Memariani, A.; Jahanshahloo, G.R. Efficiency Analysis and Ranking of DMUs with Fuzzy Data. Fuzzy Optim. Decis. Mak. 2002, 1, 255–267. [Google Scholar] [CrossRef]
- León, T.; Liern, V.; Ruiz, J.L.; Sirvent, I. A fuzzy mathematical programming approach to the assessment of efficiency with DEA models. Fuzzy Sets Syst. 2003, 139, 407–419. [Google Scholar] [CrossRef]
- Lertworasirikul, S.; Fang, S.C.; Nuttle, H.L.; Joines, J.A. Fuzzy BCC Model for Data Envelopment Analysis. Fuzzy Optim. Decis. Mak. 2003, 2, 337–358. [Google Scholar] [CrossRef]
- Wang, Y.M.; Greatbanks, R.; Yang, J.B. Interval efficiency assessment using data envelopment analysis. Fuzzy Sets Syst. 2005, 153, 347–370. [Google Scholar] [CrossRef]
- Soleimani-damaneh, M.; Jahanshahloo, G.R.; Abbasbandy, S. Computational and theoretical pitfall in some current performance measurement techniques; and a new approach. Appl. Math. Comput. 2006, 181, 1199–1207. [Google Scholar] [CrossRef]
- Arana-Jiménez, M.; Sánchez-Gil, M.C.; Lozano, S. A fuzzy DEA slacks-based approach. J. Comput. Appl. Math. 2020. [Google Scholar] [CrossRef]
- Hatami-Marbini, A.; Emrouznejad, A.; Tavana, M. A taxonomy and review of the fuzzy data envelopment analysis literature: Two decades in the making. Eur. J. Oper. Res. 2011, 214, 457–472. [Google Scholar] [CrossRef]
- Emrouznejad, A.; Tavana, M.; Hatami-Marbini, A. The state of the art in fuzzy data envelopment analysis. In Performance Measurement with Fuzzy Data Envelopment Analysis. Studies in Fuzziness and Soft Computing; Emrouznejad, A., Tavana, M., Eds.; Springer: Berlin, Germany, 2014; Volume 309, pp. 1–45. [Google Scholar]
- Kao, C.; Liu, S.-T. Efficiencies of two-stage systems with fuzzy data. Fuzzy Sets Syst. 2011, 176, 20–35. [Google Scholar] [CrossRef]
- Liu, S.-T. Fuzzy efficiency ranking in fuzzy two-stage data envelopment analysis. Optim. Lett. 2014, 8, 633–652. [Google Scholar] [CrossRef]
- Liu, S.-T. Restricting weight flexibility in fuzzy two-stage DEA. Comput. Ind. Eng. 2014, 74, 149–160. [Google Scholar] [CrossRef]
- Tavana, M.; Khalili-Damghani, K. A new two-stage Stackelberg fuzzy data envelopment analysis model. Measurement 2014, 53, 109–118. [Google Scholar] [CrossRef]
- Hemmati, M.; Feiz, D.; Jalilvand, M.R.; Kholghi, I. Development of fuzzy two-stage DEA model for competitive advantage based on RBV and strategic agility as a dynamic capability. J. Model. Manag. 2016, 11, 288–308. [Google Scholar] [CrossRef]
- Wang, W.-K.; Lu, W.-M.; Liu, P.-Y. A fuzzy multi-objective two-stage DEA model for evaluating the performance of US bank holding companies. Expert Syst. Appl. 2014, 41, 4290–4297. [Google Scholar] [CrossRef]
- Shermeh, H.E.; Najafi, S.E.; Alavidoost, M.H. A novel fuzzy network SBM model for data envelopment analysis: A case study in Iran regional power companies. Energy 2016, 112, 686–697. [Google Scholar] [CrossRef]
- Olfat, L.; Amiri, M.; Bamdad Soufi, J.; Pishdar, M. A dynamic network efficiency measurement of airports performance considering sustainable development concept: A fuzzy dynamic network-DEA approach. J. Air Transp. Manag. 2016, 57, 272–290. [Google Scholar] [CrossRef]
- Khalili-Damghani, K.; Taghavi-Fard, B. Sensitivity and stability analysis in two-stage DEA models with fuzzy data. Int. J. Oper. Res. 2013, 17, 1–37. [Google Scholar] [CrossRef]
- Kao, C.; Lin, P.H. Efficiency of parallel production systems with fuzzy data. Fuzzy Sets. Syst. 2012, 198, 83–98. [Google Scholar] [CrossRef]
- Lozano, S. Computing fuzzy process efficiency in parallel systems. Fuzzy Optim. Decis. Mak. 2014, 13, 73–89. [Google Scholar] [CrossRef]
- Lozano, S. Process efficiency of two-stage systems with fuzzy data. Fuzzy Sets Syst. 2014, 243, 36–49. [Google Scholar] [CrossRef]
- Kao, C. Network Data Envelopment Analysis with Fuzzy Data. In Performance Measurement with Fuzzy Data Envelopment Analysis. Studies in Fuzziness and Soft Computing; Emrouznejad, A., Tavana, M., Eds.; Springer: Berlin, Germany, 2014; Volume 309, pp. 191–206. [Google Scholar]
- Lozano, S.; Moreno, P. Network Fuzzy Data Envelopment Analysis. In Performance Measurement with Fuzzy Data Envelopment Analysis. Studies in Fuzziness and Soft Computing; Emrouznejad, A., Tavana, M., Eds.; Springer: Berlin, Germany, 2014; Volume 309, pp. 207–230. [Google Scholar]
- Mirhedayatian, S.M.; Azadi, M.; Farzipoor Saen, R. A novel network data envelopment analysis model for evaluating green supply chain management. Int. J. Prod. Econ. 2014, 147, 544–554. [Google Scholar] [CrossRef]
- Dubois, D.; Prade, H. Operations on fuzzy numbers. Int. J. Syst. Sci. 1978, 9, 613–626. [Google Scholar] [CrossRef]
- Tanaka, H.; Ichihasi, H.; Asai, K. A formulation of fuzzy linear programming problem based on comparison of fuzzy numbers. Control Cybern. 1984, 13, 185–194. [Google Scholar]
- Yao, J.-S.; Wu, K. Ranking fuzzy numbers based on decomposition principle and signed distance. Fuzzy Sets Syst. 2000, 116, 275–288. [Google Scholar] [CrossRef]
- Chen, C.B.; Klein, C.M. A simple approach to ranking a group of aggregated fuzzy utilities. IEEE Trans. Syst. Man Cybern. Part B Cybern. 1997, 27, 26–35. [Google Scholar] [CrossRef]
- Cadenas, J.M.; Liern, V.; Sala, R.; Verdegay, J.L. Fuzzy Linear Programming in Practice: An Application to the Spanish Football League. In Fuzzy Optimization. Recent Advances and Applications. Studies in Fuzziness and Soft Computing; Lodwick, W.A., Kacprzyk, J., Eds.; Springer: Berlin, Germany, 2010; Volume 254, pp. 503–528. [Google Scholar]
- Khalili-Damghani, K.; Tavana, M. A new fuzzy network data envelopment analysis model for measuring the performance of agility in supply chains. Int. J. Adv. Manuf. Tech. 2013, 69, 291–318. [Google Scholar] [CrossRef]

| Kao and Liu [20] | FRM1 | FRM2 | ||||||
|---|---|---|---|---|---|---|---|---|
| DMU | EJ(1) | EJ(0) | EJ(0.5) | EJ(1) | ||||
| 1 | 0.493 | 0.906 | 0.699 | 0.709 | 0.706 | 0.700 | 0.705 | 0.701 |
| 2 | 0.439 | 0.798 | 0.625 | 0.631 | 0.629 | 0.626 | 0.629 | 0.627 |
| 3 | 0.487 | 0.762 | 0.690 | 0.699 | 0.696 | 0.690 | 0.696 | 0.691 |
| 4 | 0.213 | 0.426 | 0.304 | 0.307 | 0.306 | 0.304 | 0.306 | 0.305 |
| 5 | 0.562 | 0.957 | 0.792 | 0.807 | 0.801 | 0.792 | 0.801 | 0.794 |
| 6 | 0.279 | 0.514 | 0.390 | 0.399 | 0.394 | 0.389 | 0.394 | 0.390 |
| 7 | 0.202 | 0.377 | 0.277 | 0.280 | 0.279 | 0.277 | 0.279 | 0.278 |
| 8 | 0.202 | 0.374 | 0.275 | 0.279 | 0.277 | 0.275 | 0.277 | 0.276 |
| 9 | 0.162 | 0.296 | 0.223 | 0.225 | 0.225 | 0.224 | 0.225 | 0.224 |
| 10 | 0.335 | 0.638 | 0.466 | 0.472 | 0.470 | 0.468 | 0.470 | 0.468 |
| 11 | 0.122 | 0.221 | 0.164 | 0.162 | 0.161 | 0.159 | 0.161 | 0.160 |
| 12 | 0.553 | 0.945 | 0.760 | 0.772 | 0.766 | 0.760 | 0.766 | 0.760 |
| 13 | 0.153 | 0.280 | 0.208 | 0.211 | 0.209 | 0.207 | 0.209 | 0.208 |
| 14 | 0.211 | 0.394 | 0.289 | 0.292 | 0.291 | 0.289 | 0.291 | 0.290 |
| 15 | 0.449 | 0.797 | 0.614 | 0.617 | 0.615 | 0.612 | 0.615 | 0.613 |
| 16 | 0.233 | 0.436 | 0.320 | 0.321 | 0.320 | 0.319 | 0.320 | 0.319 |
| 17 | 0.263 | 0.488 | 0.360 | 0.366 | 0.363 | 0.361 | 0.363 | 0.362 |
| 18 | 0.189 | 0.352 | 0.259 | 0.261 | 0.260 | 0.259 | 0.260 | 0.259 |
| 19 | 0.300 | 0.513 | 0.411 | 0.416 | 0.415 | 0.413 | 0.415 | 0.414 |
| 20 | 0.405 | 0.735 | 0.547 | 0.551 | 0.545 | 0.539 | 0.545 | 0.540 |
| 21 | 0.148 | 0.273 | 0.201 | 0.198 | 0.194 | 0.191 | 0.194 | 0.191 |
| 22 | 0.438 | 0.651 | 0.590 | 0.643 | 0.624 | 0.606 | 0.624 | 0.614 |
| 23 | 0.302 | 0.578 | 0.420 | 0.414 | 0.409 | 0.404 | 0.409 | 0.406 |
| 24 | 0.097 | 0.183 | 0.135 | 0.133 | 0.132 | 0.131 | 0.132 | 0.131 |
| DMU | Kao and Liu [20] | FRM1/FRM2 | DMU | Kao and Liu [20] | FRM1/FRM2 |
|---|---|---|---|---|---|
| 1 | 4 | 3 | 13 | 21 | 21 |
| 2 | 6 | 5 | 14 | 16 | 16 |
| 3 | 3 | 4 | 15 | 7 | 7 |
| 4 | 15 | 15 | 16 | 14 | 14 |
| 5 | 1 | 1 | 17 | 13 | 13 |
| 6 | 12 | 12 | 18 | 19 | 19 |
| 7 | 17 | 17 | 19 | 11 | 10 |
| 8 | 18 | 18 | 20 | 8 | 8 |
| 9 | 20 | 20 | 21 | 22 | 22 |
| 10 | 9 | 9 | 22 | 5 | 6 |
| 11 | 23 | 23 | 23 | 10 | 11 |
| 12 | 2 | 2 | 24 | 24 | 24 |
| Khalili-Damghani and Tavana [40] | FRM2 | ||||
|---|---|---|---|---|---|
| DMU | Rank | Rank | |||
| 1 | 0.319 | 0.878 | 8 | 0.490 | 29 |
| 2 | 0.220 | 0.671 | 33 | 0.600 | 21 |
| 3 | 0.119 | 0.489 | 40 | 0.646 | 14 |
| 4 | 0.202 | 0.719 | 29 | 0.473 | 30 |
| 5 | 0.397 | 0.711 | 17 | 0.492 | 28 |
| 6 | 0.294 | 0.830 | 14 | 0.438 | 33 |
| 7 | 0.265 | 0.646 | 31 | 0.749 | 5 |
| 8 | 0.427 | 0.528 | 26 | 0.516 | 25 |
| 9 | 0.228 | 0.684 | 30 | 0.412 | 38 |
| 10 | 0.258 | 0.776 | 22 | 0.568 | 23 |
| 11 | 0.208 | 0.590 | 38 | 0.632 | 18 |
| 12 | 0.300 | 0.884 | 9 | 0.423 | 35 |
| 13 | 0.318 | 0.591 | 32 | 0.536 | 24 |
| 14 | 0.323 | 0.854 | 11 | 0.640 | 15 |
| 15 | 0.348 | 0.776 | 16 | 0.721 | 7 |
| 16 | 0.333 | 0.812 | 12 | 0.499 | 26 |
| 17 | 0.240 | 0.635 | 35 | 0.689 | 11 |
| 18 | 0.332 | 0.620 | 27 | 0.452 | 31 |
| 19 | 0.420 | 0.825 | 2 | 0.767 | 4 |
| 20 | 0.216 | 0.615 | 37 | 0.639 | 16 |
| 21 | 0.310 | 0.867 | 10 | 0.430 | 34 |
| 22 | 0.252 | 0.742 | 23 | 0.907 | 1 |
| 23 | 0.264 | 0.797 | 20 | 0.413 | 37 |
| 24 | 0.282 | 0.843 | 13 | 0.595 | 22 |
| 25 | 0.506 | 0.722 | 5 | 0.721 | 6 |
| 26 | 0.282 | 0.796 | 19 | 0.613 | 19 |
| 27 | 0.415 | 0.916 | 1 | 0.704 | 8 |
| 28 | 0.415 | 0.528 | 28 | 0.688 | 12 |
| 29 | 0.417 | 0.814 | 4 | 0.695 | 10 |
| 30 | 0.176 | 0.658 | 36 | 0.899 | 2 |
| 31 | 0.299 | 0.742 | 21 | 0.679 | 13 |
| 32 | 0.318 | 0.888 | 6 | 0.601 | 20 |
| 33 | 0.374 | 0.604 | 24 | 0.445 | 32 |
| 34 | 0.307 | 0.817 | 15 | 0.498 | 27 |
| 35 | 0.448 | 0.793 | 3 | 0.418 | 36 |
| 36 | 0.365 | 0.838 | 7 | 0.412 | 39 |
| 37 | 0.269 | 0.619 | 34 | 0.633 | 17 |
| 38 | 0.195 | 0.563 | 39 | 0.843 | 3 |
| 39 | 0.293 | 0.789 | 18 | 0.704 | 9 |
| 40 | 0.224 | 0.737 | 25 | 0.397 | 40 |
| DMU | α = 0.0 | α = 0.1 | α = 0.2 | α = 0.3 | α = 0.4 | α = 0.5 | α = 0.6 | α = 0.7 | α = 0.8 | α = 0.9 | α = 1.0 | Rank |
|---|---|---|---|---|---|---|---|---|---|---|---|---|
| 1 | 0.030 | 0.042 | 0.052 | 0.065 | 0.078 | 0.093 | 0.111 | 0.134 | 0.155 | 0.186 | 0.212 | 27 |
| 2 | 0.033 | 0.043 | 0.052 | 0.065 | 0.079 | 0.094 | 0.115 | 0.137 | 0.163 | 0.193 | 0.235 | 24 |
| 3 | 0.052 | 0.062 | 0.073 | 0.090 | 0.108 | 0.121 | 0.146 | 0.177 | 0.203 | 0.236 | 0.287 | 7 |
| 4 | 0.035 | 0.047 | 0.053 | 0.071 | 0.087 | 0.106 | 0.115 | 0.154 | 0.158 | 0.191 | 0.229 | 23 |
| 5 | 0.038 | 0.050 | 0.061 | 0.076 | 0.090 | 0.094 | 0.129 | 0.156 | 0.176 | 0.202 | 0.233 | 26 |
| 6 | 0.029 | 0.037 | 0.046 | 0.057 | 0.068 | 0.082 | 0.097 | 0.118 | 0.135 | 0.164 | 0.194 | 35 |
| 7 | 0.040 | 0.053 | 0.066 | 0.082 | 0.101 | 0.121 | 0.149 | 0.180 | 0.208 | 0.251 | 0.309 | 6 |
| 8 | 0.027 | 0.035 | 0.043 | 0.053 | 0.063 | 0.074 | 0.096 | 0.111 | 0.133 | 0.161 | 0.189 | 33 |
| 9 | 0.030 | 0.037 | 0.044 | 0.058 | 0.070 | 0.080 | 0.097 | 0.118 | 0.151 | 0.172 | 0.215 | 38 |
| 10 | 0.042 | 0.053 | 0.063 | 0.077 | 0.091 | 0.105 | 0.126 | 0.150 | 0.173 | 0.205 | 0.242 | 19 |
| 11 | 0.037 | 0.049 | 0.060 | 0.074 | 0.089 | 0.105 | 0.130 | 0.157 | 0.184 | 0.221 | 0.268 | 15 |
| 12 | 0.033 | 0.042 | 0.051 | 0.062 | 0.074 | 0.086 | 0.102 | 0.120 | 0.141 | 0.165 | 0.195 | 34 |
| 13 | 0.025 | 0.035 | 0.044 | 0.055 | 0.065 | 0.080 | 0.099 | 0.118 | 0.139 | 0.169 | 0.207 | 30 |
| 14 | 0.046 | 0.053 | 0.068 | 0.085 | 0.100 | 0.128 | 0.146 | 0.176 | 0.200 | 0.242 | 0.302 | 8 |
| 15 | 0.035 | 0.050 | 0.063 | 0.076 | 0.091 | 0.109 | 0.141 | 0.166 | 0.200 | 0.242 | 0.284 | 11 |
| 16 | 0.034 | 0.043 | 0.053 | 0.065 | 0.078 | 0.092 | 0.112 | 0.133 | 0.152 | 0.183 | 0.222 | 25 |
| 17 | 0.040 | 0.055 | 0.069 | 0.085 | 0.102 | 0.122 | 0.148 | 0.175 | 0.205 | 0.244 | 0.295 | 9 |
| 18 | 0.033 | 0.043 | 0.052 | 0.063 | 0.075 | 0.089 | 0.107 | 0.128 | 0.148 | 0.175 | 0.210 | 31 |
| 19 | 0.041 | 0.056 | 0.068 | 0.087 | 0.101 | 0.116 | 0.143 | 0.172 | 0.201 | 0.242 | 0.293 | 10 |
| 20 | 0.045 | 0.057 | 0.068 | 0.083 | 0.099 | 0.114 | 0.139 | 0.165 | 0.191 | 0.225 | 0.264 | 12 |
| 21 | 0.028 | 0.040 | 0.049 | 0.062 | 0.072 | 0.091 | 0.104 | 0.131 | 0.149 | 0.179 | 0.198 | 32 |
| 22 | 0.044 | 0.060 | 0.076 | 0.095 | 0.118 | 0.137 | 0.175 | 0.212 | 0.246 | 0.298 | 0.361 | 1 |
| 23 | 0.019 | 0.028 | 0.035 | 0.045 | 0.054 | 0.058 | 0.080 | 0.090 | 0.115 | 0.138 | 0.169 | 40 |
| 24 | 0.038 | 0.050 | 0.062 | 0.076 | 0.094 | 0.109 | 0.137 | 0.166 | 0.190 | 0.227 | 0.266 | 14 |
| 25 | 0.030 | 0.039 | 0.050 | 0.063 | 0.076 | 0.095 | 0.119 | 0.144 | 0.176 | 0.216 | 0.249 | 21 |
| 26 | 0.036 | 0.048 | 0.056 | 0.071 | 0.086 | 0.104 | 0.127 | 0.154 | 0.180 | 0.217 | 0.266 | 17 |
| 27 | 0.047 | 0.057 | 0.073 | 0.089 | 0.109 | 0.134 | 0.157 | 0.192 | 0.219 | 0.260 | 0.309 | 3 |
| 28 | 0.037 | 0.047 | 0.059 | 0.075 | 0.087 | 0.101 | 0.124 | 0.149 | 0.175 | 0.211 | 0.256 | 20 |
| 29 | 0.045 | 0.060 | 0.075 | 0.092 | 0.112 | 0.128 | 0.158 | 0.188 | 0.217 | 0.258 | 0.293 | 4 |
| 30 | 0.048 | 0.060 | 0.073 | 0.090 | 0.110 | 0.131 | 0.158 | 0.188 | 0.232 | 0.276 | 0.333 | 2 |
| 31 | 0.036 | 0.046 | 0.057 | 0.071 | 0.087 | 0.104 | 0.128 | 0.155 | 0.188 | 0.227 | 0.267 | 16 |
| 32 | 0.039 | 0.048 | 0.060 | 0.074 | 0.089 | 0.106 | 0.127 | 0.153 | 0.177 | 0.211 | 0.253 | 18 |
| 33 | 0.031 | 0.040 | 0.049 | 0.061 | 0.072 | 0.086 | 0.102 | 0.123 | 0.139 | 0.168 | 0.201 | 29 |
| 34 | 0.032 | 0.041 | 0.050 | 0.062 | 0.074 | 0.087 | 0.106 | 0.127 | 0.150 | 0.180 | 0.216 | 28 |
| 35 | 0.021 | 0.029 | 0.036 | 0.046 | 0.053 | 0.062 | 0.082 | 0.095 | 0.116 | 0.138 | 0.165 | 39 |
| 36 | 0.027 | 0.034 | 0.043 | 0.054 | 0.063 | 0.073 | 0.091 | 0.106 | 0.125 | 0.149 | 0.178 | 36 |
| 37 | 0.037 | 0.048 | 0.058 | 0.075 | 0.083 | 0.095 | 0.116 | 0.139 | 0.165 | 0.197 | 0.237 | 22 |
| 38 | 0.042 | 0.053 | 0.067 | 0.081 | 0.099 | 0.124 | 0.148 | 0.184 | 0.216 | 0.262 | 0.325 | 5 |
| 39 | 0.041 | 0.053 | 0.066 | 0.080 | 0.096 | 0.109 | 0.138 | 0.166 | 0.192 | 0.231 | 0.275 | 13 |
| 40 | 0.023 | 0.032 | 0.039 | 0.049 | 0.056 | 0.066 | 0.084 | 0.099 | 0.113 | 0.137 | 0.169 | 37 |
| DMU | α = 0.8 | α = 0.9 | α = 1.0 |
|---|---|---|---|
| 1 | 1.000 | 1.000 | 0.932 |
| 5 | 1.000 | 0.936 | 0.848 |
| 6 | 1.000 | 1.000 | 0.897 |
| 9 | 0.921 | 0.813 | 0.723 |
| 12 | 1.000 | 0.980 | 0.871 |
| 18 | 1.000 | 1.000 | 0.902 |
| 21 | 1.000 | 1.000 | 0.917 |
| 23 | 0.937 | 0.857 | 0.778 |
| 33 | 1.000 | 1.000 | 0.975 |
| 34 | 1.000 | 0.999 | 0.919 |
| 35 | 0.955 | 0.883 | 0.811 |
| 36 | 1.000 | 1.000 | 0.933 |
| 40 | 1.000 | 0.916 | 0.819 |
Publisher’s Note: MDPI stays neutral with regard to jurisdictional claims in published maps and institutional affiliations. |
© 2020 by the authors. Licensee MDPI, Basel, Switzerland. This article is an open access article distributed under the terms and conditions of the Creative Commons Attribution (CC BY) license (http://creativecommons.org/licenses/by/4.0/).
Share and Cite
Moreno, P.; Lozano, S. Fuzzy Ranking Network DEA with General Structure. Mathematics 2020, 8, 2222. https://doi.org/10.3390/math8122222
Moreno P, Lozano S. Fuzzy Ranking Network DEA with General Structure. Mathematics. 2020; 8(12):2222. https://doi.org/10.3390/math8122222
Chicago/Turabian StyleMoreno, Plácido, and Sebastián Lozano. 2020. "Fuzzy Ranking Network DEA with General Structure" Mathematics 8, no. 12: 2222. https://doi.org/10.3390/math8122222
APA StyleMoreno, P., & Lozano, S. (2020). Fuzzy Ranking Network DEA with General Structure. Mathematics, 8(12), 2222. https://doi.org/10.3390/math8122222

