Sign in to use this feature.

Years

Between: -

Subjects

remove_circle_outline
remove_circle_outline
remove_circle_outline
remove_circle_outline
remove_circle_outline
remove_circle_outline
remove_circle_outline
remove_circle_outline
remove_circle_outline

Journals

remove_circle_outline
remove_circle_outline
remove_circle_outline
remove_circle_outline
remove_circle_outline
remove_circle_outline
remove_circle_outline

Article Types

Countries / Regions

remove_circle_outline
remove_circle_outline
remove_circle_outline
remove_circle_outline
remove_circle_outline
remove_circle_outline

Search Results (1,225)

Search Parameters:
Keywords = fuzzy ranking

Order results
Result details
Results per page
Select all
Export citation of selected articles as:
32 pages, 4173 KB  
Article
Divergence-Oriented Distance Measures for Complex Picture Fuzzy Information with Applications in Renewable Energy Source Selection and Decision Analysis
by Ziyad A. Alhussain and Rashid Jan
Axioms 2026, 15(5), 317; https://doi.org/10.3390/axioms15050317 - 28 Apr 2026
Abstract
Distance measures play a crucial role in fuzzy decision-making, pattern recognition, and uncertainty modeling. However, some existing distance measures for Complex Picture Fuzzy Sets (CPiFSs) have shown limitations and may produce counterintuitive results in certain cases. Moreover, only a few studies have explored [...] Read more.
Distance measures play a crucial role in fuzzy decision-making, pattern recognition, and uncertainty modeling. However, some existing distance measures for Complex Picture Fuzzy Sets (CPiFSs) have shown limitations and may produce counterintuitive results in certain cases. Moreover, only a few studies have explored such measures. To overcome these issues, in this study, some novel measures of distance for CPiFSs are proposed to effectively handle two-dimensional uncertainty characterized by amplitude and phase components. The proposed measures are developed by integrating both magnitude and phase information in a unified mathematical framework, ensuring improved discrimination capability and structural consistency. We rigorously prove that the suggested measures fulfill the essential properties of a distance function. Additionally, the normalization characteristics and stability behavior are analytically examined to ensure robustness in practical implementations. The proposed measure of distance is then applied to a multi-criteria decision-making (MCDM) case study, where alternatives are evaluated under Complex Picture Fuzzy information to demonstrate its practical effectiveness and ranking consistency. Using a CPiFS-based TOPSIS framework, distances from the positive and negative ideal solutions are computed via the developed metric, and the relative closeness coefficient is employed to obtain a stable and discriminative ranking of alternatives. Furthermore, comparative analysis with several existing distance measures demonstrates the stability and superiority of the proposed method in distinguishing complex fuzzy information. Full article
(This article belongs to the Special Issue Recent Advances in Fuzzy Theory Applications)
34 pages, 4734 KB  
Article
Tail-Preserving Shape Partitioning via Multi-Orientation Centroid-Line Extraction and Fuzzy Influence-Zone Assignment
by Halit Nazli, Osman Yildirim and Yasser Guediri
Symmetry 2026, 18(5), 752; https://doi.org/10.3390/sym18050752 (registering DOI) - 27 Apr 2026
Abstract
Meaningful partitioning of 2D binary shapes remains a challenging problem in shape analysis because many existing methods rely mainly on local geometric rules or skeleton simplification, which often struggle to separate the main body of a shape from its protruding parts in a [...] Read more.
Meaningful partitioning of 2D binary shapes remains a challenging problem in shape analysis because many existing methods rely mainly on local geometric rules or skeleton simplification, which often struggle to separate the main body of a shape from its protruding parts in a perceptually meaningful way. This limitation becomes more evident in shapes with thin limbs, branching structures, or irregular extensions, where preserving topology while achieving human-consistent decomposition is difficult. We present a fully automatic framework for the hierarchical partitioning of 2D binary shapes into semantically meaningful core bodies and protruding limbs (tails). The pipeline begins by generating candidate structural lines through multi-directional centroid tracking along horizontal, vertical, and diagonal (±45°) bands. Three direction-specific Sugeno fuzzy controllers first evaluate these lines based on normalized length, angular alignment, and minimum distance to the boundary. A second pair of fuzzy systems then classifies segments as either tails or core parts using thickness statistics derived from the distance transform. For ambiguous merged tail groups, iterative midpoint splitting is applied until stable labeling is achieved. High-curvature boundary corners are then detected via signed turning-angle analysis, and candidate cutting rays are assessed through exact region splitting, tail area measurement, and label purity analysis. An adaptive third-stage fuzzy controller ranks these candidates according to cut length, purity, and area. The highest-scoring non-overlapping cuts are executed iteratively, progressively peeling peripheral parts while preserving the overall topology and symmetry of the shape. The proposed framework is evaluated on a targeted subset of 32 categories from the 2D Shape Structure Dataset Results on this evaluated subset indicate that the method produces coherent and topologically consistent partitions, with competitive agreement with the available human-annotated references. This training-free framework provides an interpretable tool for 2D shape analysis, with potential applications in object recognition, computer animation, and symmetry studies. Full article
(This article belongs to the Section Computer)
27 pages, 2137 KB  
Article
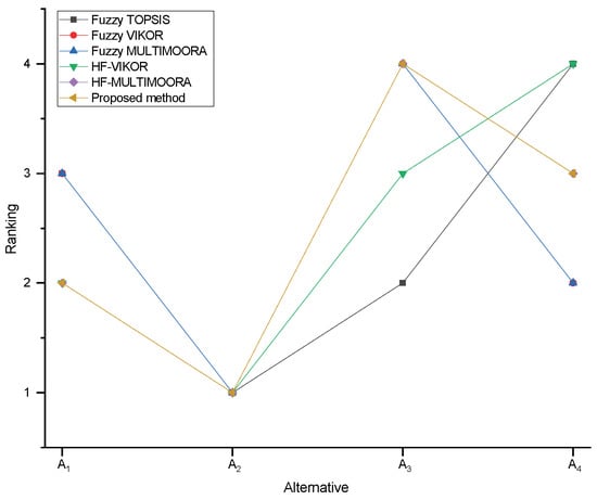
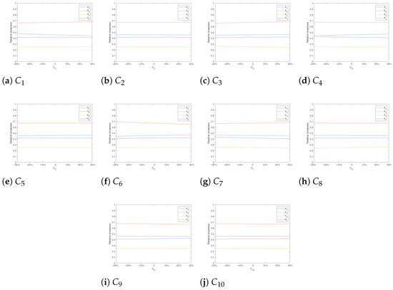
An Integrated Hesitant Fuzzy Decision-Making Framework with a Novel Distance Measure for Used Aircraft Selection
by Qingguo Shi and Fei Gao
Systems 2026, 14(5), 470; https://doi.org/10.3390/systems14050470 - 27 Apr 2026
Abstract
The rapid expansion of air cargo transportation has necessitated fleet expansion to meet growing demand. Due to the high capital costs associated with new aircraft acquisitions, attention has increasingly shifted toward used aircraft as a cost-effective alternative. However, selecting an appropriate used aircraft [...] Read more.
The rapid expansion of air cargo transportation has necessitated fleet expansion to meet growing demand. Due to the high capital costs associated with new aircraft acquisitions, attention has increasingly shifted toward used aircraft as a cost-effective alternative. However, selecting an appropriate used aircraft from a range of heterogeneous options is a critical multi-criteria decision-making challenge. To address this issue, this study introduces an integrated decision-making framework for used aircraft selection by combining the technique for order preference by similarity to ideal solution (TOPSIS) and the best–worst method (BWM) in a hesitant fuzzy environment. First, in response to the limitations of existing distance measures, a novel distance measure for hesitant fuzzy sets (HFSs) is proposed that explicitly incorporates the hesitation degree to better capture uncertainty. Subsequently, this measure is incorporated into a modified hesitant fuzzy TOPSIS (M-HFTOPSIS) to enable a more precise evaluation of alternatives. The hesitant fuzzy BWM (HFBWM) is employed to calculate criteria weights, and the proposed M-HFTOPSIS is used to rank the alternatives. A case study involving ten criteria from technical, economic, and environmental perspectives is conducted to validate the effectiveness of the proposed method. Comparative results demonstrate that the proposed approach provides reasonable and reliable outcomes and that the enhanced HFS distance measure effectively models the differences between hesitant fuzzy sets. Full article
Show Figures

Figure 1

46 pages, 1895 KB  
Article
Aero-Engine Quality Assessment Under the RAMS Framework: Coupling Interval Type-2 Fuzzy Group Decision-Making with PLS-SEM for Dimensional Correlation Modelling
by Yuhui Wang, Sining Xu, Xiangjun Cheng and Borui Xie
Systems 2026, 14(5), 464; https://doi.org/10.3390/systems14050464 (registering DOI) - 24 Apr 2026
Viewed by 110
Abstract
Aero-engine quality assessment under the RAMS framework faces two persistent challenges: the inherent epistemic and linguistic uncertainty in expert evaluation, and the systematic neglect of inter-dimensional coupling. This paper proposes an integrated assessment method that combines Interval Type-2 Fuzzy Sets (IT2FS)-based group decision-making [...] Read more.
Aero-engine quality assessment under the RAMS framework faces two persistent challenges: the inherent epistemic and linguistic uncertainty in expert evaluation, and the systematic neglect of inter-dimensional coupling. This paper proposes an integrated assessment method that combines Interval Type-2 Fuzzy Sets (IT2FS)-based group decision-making with Partial Least Squares Structural Equation Modeling (PLS-SEM). At the measurement level, IT2FS encodes dual-layered uncertainty through the Footprint of Uncertainty (FOU); multi-expert judgments are aggregated via the fuzzy weighted geometric average operator and defuzzified using the Karnik–Mendel algorithm. At the structural level, a reflective second-order PLS-SEM model built on the RAMS framework enables parametric estimation and significance testing of inter-dimensional coupling. Validation on a 63-engine turbofan dataset confirms that all measurement model criteria are satisfied, the second-order model explains 82.4% of the variance in overall quality (R2 = 0.824), and predictive relevance is strong (Q2 = 0.567). Comparative experiments against three benchmark methods demonstrate consistent advantages in quality grade discrimination, information richness, sensitivity to technical improvements, and ranking robustness. These properties position the framework as a statistically rigorous, model-based complement to existing condition-monitoring and digital health management systems for complex propulsion systems, supporting quantitative decision-making within digital engineering programmes. Full article
33 pages, 892 KB  
Article
A Novel Spherical Distance Measure for SF-TOPSIS: A Generalized MCDM Framework via Application to Municipal Solid Waste Landfill Site Selection
by Ezgi Güler
Mathematics 2026, 14(9), 1416; https://doi.org/10.3390/math14091416 - 23 Apr 2026
Viewed by 85
Abstract
Municipal solid waste (MSW) landfill site selection is a complex multi-criteria decision-making (MCDM) problem involving uncertainty and conflicting criteria. Although spherical fuzzy extensions of the Technique for Order Preference by Similarity to Ideal Solution (SF-TOPSIS) are widely used, existing studies rely on conventional [...] Read more.
Municipal solid waste (MSW) landfill site selection is a complex multi-criteria decision-making (MCDM) problem involving uncertainty and conflicting criteria. Although spherical fuzzy extensions of the Technique for Order Preference by Similarity to Ideal Solution (SF-TOPSIS) are widely used, existing studies rely on conventional distance measures that do not fully capture the geometric structure of spherical fuzzy sets. To address this limitation, this study proposes an enhanced SF-TOPSIS framework incorporating a novel spherical distance measure to improve consistency, discrimination capability, and structural compatibility. The framework integrates Spherical Fuzzy Weighted Arithmetic Mean (SWAM) and Spherical Fuzzy Weighted Geometric Mean (SWGM) operators and evaluates robustness using Spearman rank correlation. Additionally, a coefficient of variation (CV)-based analysis is conducted to examine the dispersion of closeness coefficients. The applicability of the approach is demonstrated through a landfill site selection case; however, the main contribution lies in a generalized distance-based formulation applicable to various MCDM problems. Results show that the proposed distance improves agreement between aggregation operators, increasing correlation values from 0.905 to 0.976, while producing a more stable distribution of closeness coefficients. Overall, the study advances spherical fuzzy MCDM by introducing a geometrically consistent distance formulation. Full article
(This article belongs to the Special Issue Multi-criteria Decision Making and Data Mining, 2nd Edition)
23 pages, 469 KB  
Article
Entropy-Based Fuzzy Data Analytics for Time-Sequential Decision Making: A Case Study in Supply Chain Optimisation
by Bahram Farhadinia, Raza Nowrozy, Atefe Taghavi, Mansoureh Maadi and Savitri Bevinakoppa
Electronics 2026, 15(8), 1760; https://doi.org/10.3390/electronics15081760 - 21 Apr 2026
Viewed by 173
Abstract
Decision-making problems in complex environments are often characterised by uncertainty, vagueness, and dynamically evolving information. In such contexts, decision makers may express hesitant and fluctuating evaluations over time, which cannot be adequately captured by classical hesitant fuzzy frameworks. To address this limitation, time-sequential [...] Read more.
Decision-making problems in complex environments are often characterised by uncertainty, vagueness, and dynamically evolving information. In such contexts, decision makers may express hesitant and fluctuating evaluations over time, which cannot be adequately captured by classical hesitant fuzzy frameworks. To address this limitation, time-sequential hesitant fuzzy sets (TSHFSs) have been introduced as an effective tool for modelling temporal hesitancy. However, the development of information measures for TSHFSs, particularly entropy measures for quantifying uncertainty and deriving criteria weights, remains limited. In this paper, we propose a novel class of entropy measures for TSHFSs by constructing transformation mechanisms based on proximity-driven formulations derived from similarity structures. The proposed measures are developed using arithmetic and algebraic operators to capture the dispersion of information across time sequences, enabling a more refined representation of temporal uncertainty. These entropy measures are further integrated into a multi-criteria decision-making (MCDM) framework, where they are employed to determine criteria weights under incomplete information and combined with the TOPSIS method for ranking alternatives. The effectiveness of the proposed framework is validated through comparative analysis with existing TSHFS entropy measures and sensitivity analysis under varying decision conditions. The results demonstrate that the proposed measures maintain ranking consistency while providing improved discrimination and interpretability of alternatives. In particular, the framework effectively captures fluctuating hesitancy and enhances the robustness of decision outcomes in dynamic environments. The proposed approach contributes to the advancement of TSHFS-based decision analysis by offering a mathematically grounded and practically applicable entropy-driven framework for handling time-dependent uncertainty in complex decision-making problems. Full article
(This article belongs to the Special Issue Fuzzy Data Analytics: Current Trends and Future Perspectives)
Show Figures

Figure 1

35 pages, 4403 KB  
Article
A Reproducible Hybrid Architecture of Fuzzy Logic and XGBoost for Explainable Tabular Classification of Territorial Vulnerability
by Aiman Akynbekova, Ayagoz Mukhanova, Raikhan Muratkhan, Lunara Diyarova, Saya Baigubenova, Gulden Murzabekova, Gulaim Orazymbetova, Aliya Satybaldieva and Zhanat Abdikadyr
Computers 2026, 15(4), 259; https://doi.org/10.3390/computers15040259 - 20 Apr 2026
Viewed by 182
Abstract
This study proposes a reproducible hybrid computational model for the explainable classification of territorial vulnerability using heterogeneous tabular data. The approach integrates fuzzy logic and extreme gradient boosting in a two-stage architecture that balances interpretability and predictive performance. First, a fuzzy transformation is [...] Read more.
This study proposes a reproducible hybrid computational model for the explainable classification of territorial vulnerability using heterogeneous tabular data. The approach integrates fuzzy logic and extreme gradient boosting in a two-stage architecture that balances interpretability and predictive performance. First, a fuzzy transformation is applied to construct interpretable risk and resilience indicators based on multi-source administrative indicators. The analytical dataset was formed by integrating 11 heterogeneous administrative sources into a single matrix of 166 territorial units and 76 features. The model was evaluated on a stratified 75/25 split of the training and test sets using the F1 score, ROC-AUC, precision, recall, and integrated quality criterion. Experimental results show that the proposed Fuzzy-XGBoost framework achieved an F1 score of 0.7333 on the test dataset, an ROC-AUC of 0.8291, and an Integrated Score of 0.768, outperforming the strongest baseline and improving recall in highly vulnerable areas. Furthermore, probabilistic threshold optimization identified an operating point at τ = 0.35, reducing the number of missed high-risk cases while maintaining acceptable specificity. The results demonstrate that fuzzy feature expansion combined with gradient boosting provides an efficient and interpretable solution for tabular risk classification and decision support problems under heterogeneity and uncertainty. Full article
Show Figures

Figure 1

21 pages, 1220 KB  
Article
ML-FSID-FIS: A Multi-Level Feature Selection and Fuzzy Inference System for Intrusion Detection in IoMT
by Ghaida Balhareth, Mohammad Ilyas and Basmh Alkanjr
Sensors 2026, 26(8), 2501; https://doi.org/10.3390/s26082501 - 18 Apr 2026
Viewed by 304
Abstract
The Internet of Medical Things (IoMT) is becoming a vital part of modern healthcare, enabling ongoing patient monitoring and remote diagnosis. However, as more devices connect to the internet, healthcare systems become more vulnerable to serious security issues such as unauthorized access, patient [...] Read more.
The Internet of Medical Things (IoMT) is becoming a vital part of modern healthcare, enabling ongoing patient monitoring and remote diagnosis. However, as more devices connect to the internet, healthcare systems become more vulnerable to serious security issues such as unauthorized access, patient data manipulation, and Man-in-the-Middle attacks. Conventional Intrusion Detection Systems (IDSs) often struggle with the unclear and uncertain characteristics of IoMT traffic, which leads to reduced detection accuracy and increased false alarms. To address these challenges, this paper proposes ML-FSID-FIS, a multi-level feature selection-based Intrusion Detection System that employs a fuzzy inference system (FIS) for classification in IoMT networks. The model combines multiple feature selection techniques into a three-stage multi-level feature selection strategy to improve detection efficiency and strengthen the security of IoMT networks. In the first stage, four feature selection techniques—Random Forest, XGBoost, ReliefF, and Mutual Information—are applied to identify the most relevant features. In the second stage, a frequency-based consensus strategy is utilized to extract consistently selected features from the four top-ranked sets. In the third stage, an ensemble refinement using bagging-based ranking is employed to rank the remaining features, resulting in the selection of the top five features. From these, three candidate 3-feature groups are formed and evaluated, and the best-performing group is selected as the final input set for the fuzzy logic classifier. The FIS produces a continuous risk score that is mapped to a binary decision using a validation-selected threshold. When the proposed method was tested on the WUSTL-EHMS-2020 dataset and compared with other recent work using the same dataset, it showed strong detection performance while maintaining a very low false positive rate of 0.3%. This study is distinguished by its integrated design, which combines a three-stage multi-level feature selection strategy with fuzzy logic-based intrusion classification to improve feature efficiency and support interpretable intrusion detection in IoMT. Full article
(This article belongs to the Special Issue Semantic Communication for the Internet of Things)
Show Figures

Figure 1

22 pages, 944 KB  
Article
Hybrid Application of Multi-Criteria Decision-Making Methods for Municipal Investments: A Case Study Focusing on Equity in Istanbul
by Melike Cari, Betul Kara, Nezir Aydin, Bahar Yalcin Kavus, Tolga Kudret Karaca and Ertugrul Ayyildiz
Mathematics 2026, 14(8), 1356; https://doi.org/10.3390/math14081356 - 18 Apr 2026
Viewed by 259
Abstract
Equitable prioritization of public investments is increasingly critical as municipalities face constrained budgets, heterogeneous neighborhood needs, and demands for transparent decisions. This paper proposes a fairness-aware group multi-criteria decision-making (MCDM) framework for ranking municipal infrastructure investments when budgets are constrained, and neighborhood needs [...] Read more.
Equitable prioritization of public investments is increasingly critical as municipalities face constrained budgets, heterogeneous neighborhood needs, and demands for transparent decisions. This paper proposes a fairness-aware group multi-criteria decision-making (MCDM) framework for ranking municipal infrastructure investments when budgets are constrained, and neighborhood needs differ. Six alternatives are assessed in the Istanbul case study: flood risk mitigation, inclusive public realm and cooling, smart and energy-efficient municipal assets, walking and cycling infrastructure, healthcare access improvements, and seismic retrofitting of public buildings. The criteria system combines efficiency, implementability, socio-environmental performance, and equity-oriented priorities through five main dimensions and 23 sub-criteria. In addition to cost, feasibility, and service effectiveness, the framework incorporates fairness-related criteria such as baseline need and deficit severity, vulnerability-targeting effectiveness, minimum service guarantee for the worst-off, and priority for low-accessibility centers. Public acceptance and environmental performance are also included. Stakeholder panels provide expert judgments using intuitionistic fuzzy sets, capturing membership, non-membership, and hesitation to reflect uncertainty. Criteria weights are derived with Intuitionistic Fuzzy Step-wise Weight Assessment Ratio Analysis (IF-SWARA), enabling importance elicitation and group aggregation without forcing crisp consensus. Alternatives are then ranked using Intuitionistic Fuzzy Combined Compromise Solution (IF-CoCoSo), which blends additive and multiplicative compromise solutions to balance overall performance with equity objectives. Robustness is assessed through sensitivity analysis by varying the γ parameter within the IF-CoCoSo procedure. A municipal case study demonstrates that healthcare access improvements achieve the highest compromise performance, followed by flood risk mitigation and seismic retrofitting of public buildings, while smart and energy-efficient municipal assets rank last. The findings confirm that explicitly embedding fairness criteria can shift municipal priorities toward alternatives that more directly reduce deprivation, risk, and spatial inequality. The main contribution of this study is not merely empirical application, but the development of a fairness-aware group MCDM framework that operationalizes distributive justice in municipal investment prioritization through a structured set of criteria. Full article
(This article belongs to the Special Issue Advances in Multi-Criteria Decision Making Methods with Applications)
Show Figures

Figure 1

33 pages, 910 KB  
Article
(p,q,r)-Fractional Fuzzy Similarity and Dissimilarity Measures with an Inferior Ratio Decision Framework
by Muhammad Jabir Khan, Kanikar Muangchoo, Nasser Aedh Alreshidi and Sakulbuth Ekvittayaniphon
Fractal Fract. 2026, 10(4), 266; https://doi.org/10.3390/fractalfract10040266 - 17 Apr 2026
Viewed by 273
Abstract
This paper develops novel similarity and dissimilarity measures for (p,q,r)-fractional fuzzy sets to enhance information discrimination and decision-making under complex uncertainty. We first introduce axiomatic dissimilarity measures and establish their fundamental mathematical properties, including boundedness, symmetry, [...] Read more.
This paper develops novel similarity and dissimilarity measures for (p,q,r)-fractional fuzzy sets to enhance information discrimination and decision-making under complex uncertainty. We first introduce axiomatic dissimilarity measures and establish their fundamental mathematical properties, including boundedness, symmetry, monotonicity, and identity conditions. Based on these, we derive corresponding similarity measures that improve discrimination capability. We further propose a multi-criteria group decision-making framework to facilitate robust, accurate ranking of alternatives by integrating the developed measures into a (p,q,r)-fractional fuzzy inferior ratio method. The approach evaluates alternatives using relative inferiority relationships and provides stable, reliable rankings in uncertain environments. Illustrative examples demonstrate the proposed method’s effectiveness and applicability, and sensitivity analysis examines decision robustness. Comparative analysis with existing methods confirms the superiority of the proposed framework, showing that it offers stronger discrimination ability and serves as a flexible, reliable tool for complex multi-criteria group decision problems under (p,q,r)-fractional fuzzy environments. Full article
(This article belongs to the Section Optimization, Big Data, and AI/ML)
Show Figures

Figure 1

29 pages, 1755 KB  
Article
Modelling the Structural Drivers of Rework in Construction Projects: An Integrated Structural Equation Modelling Approach
by Murat Gunduz, Khalid K. Naji and Mina S. Daneshvar
Buildings 2026, 16(8), 1590; https://doi.org/10.3390/buildings16081590 - 17 Apr 2026
Viewed by 325
Abstract
Rework continues to be a critical issue in construction projects, contributing to cost escalation, schedule delays, and compromised quality. While earlier studies have identified isolated causes such as design deficiencies, communication failures, and inadequate workmanship, the structural relationships among these factors have not [...] Read more.
Rework continues to be a critical issue in construction projects, contributing to cost escalation, schedule delays, and compromised quality. While earlier studies have identified isolated causes such as design deficiencies, communication failures, and inadequate workmanship, the structural relationships among these factors have not been sufficiently examined. This study investigates the interdependencies among major rework causation domains using Structural Equation Modelling (SEM) based on survey responses from 200 construction professionals. A total of 43 observed variables, identified through an extensive literature review, were grouped into four latent constructs: contractor-related, owner-related, design-related, and resource/workforce-related factors. Confirmatory Factor Analysis (CFA) was conducted to validate the measurement model, followed by structural path analysis to examine causal linkages. The findings reveal that design-related and owner-related factors exert the most significant direct and indirect influence on rework, followed by contractor- and workforce-related factors. The proposed model demonstrates satisfactory goodness-of-fit indices, confirming its reliability and applicability. Compared to conventional ranking and fuzzy-based approaches, SEM provides a more systematic and comprehensive understanding of rework dynamics. The findings provide practical guidance for project managers and decision-makers by identifying the most critical drivers of rework, enabling targeted mitigation strategies and improved resource allocation to enhance overall construction project performance. Full article
(This article belongs to the Section Construction Management, and Computers & Digitization)
Show Figures

Figure 1

23 pages, 1296 KB  
Article
Sustainable Bridge Construction Decisions Using Fuzzy MCDM: A Comprehensive Comparison of AHP–VIKOR, BWM–VIKOR, and TOPSIS
by Alaa ElMarkaby and Ahmed Elyamany
Sustainability 2026, 18(8), 4013; https://doi.org/10.3390/su18084013 - 17 Apr 2026
Viewed by 225
Abstract
The selection of bridge construction systems significantly influences the sustainability of infrastructure projects, encompassing both economic and environmental dimensions. This study presents a comparative assessment of three hybrid fuzzy Multi-Criteria Decision-Making (MCDM) techniques, Fuzzy AHP–VIKOR, Fuzzy TOPSIS, and Fuzzy BWM–VIKOR, for choosing optimum [...] Read more.
The selection of bridge construction systems significantly influences the sustainability of infrastructure projects, encompassing both economic and environmental dimensions. This study presents a comparative assessment of three hybrid fuzzy Multi-Criteria Decision-Making (MCDM) techniques, Fuzzy AHP–VIKOR, Fuzzy TOPSIS, and Fuzzy BWM–VIKOR, for choosing optimum bridge construction system during the preliminary design phases. Each method was applied consistently, integrating project-specific criteria and construction alternatives. The comparison extended beyond the final rankings to assess computational efficiency, sensitivity to input variations, ease of implementation, and stability. Expert opinions were gathered using semi-structured interviews and questionnaires to reflect the practical circumstances of bridge engineering in the field. The results show distinct strengths and trade-offs among the techniques, offering valuable insights for researchers and industry professionals alike. This study contributes to the knowledge base by explaining how different fuzzy MCDM methods are used in real-world bridge construction projects. These outcomes improve the methodological rigor of decision science and support more robust decision-making frameworks in bridge engineering. Full article
Show Figures

Figure 1

29 pages, 2458 KB  
Article
Multi-Criteria Optimization of Production Processes of Mining Companies
by Elena Ovchinnikova, Yuriy Kozhubaev, Elina Sitzhanova, Vyacheslav Potekhin, Irina Kim and Vsevolod Chentsov
Processes 2026, 14(8), 1239; https://doi.org/10.3390/pr14081239 - 13 Apr 2026
Viewed by 441
Abstract
Equipment selection is a critical decision in mining operations, directly influencing production efficiency, maintenance requirements, and operational costs. However, this decision is complicated by significant uncertainty surrounding equipment performance and remaining service life. This paper presents a hybrid decision support framework that integrates [...] Read more.
Equipment selection is a critical decision in mining operations, directly influencing production efficiency, maintenance requirements, and operational costs. However, this decision is complicated by significant uncertainty surrounding equipment performance and remaining service life. This paper presents a hybrid decision support framework that integrates Fuzzy Logic, Pareto Optimality, and a Genetic Algorithm (GA) to address the challenge of roadheader selection under such uncertainty. The proposed Fuzzy–Pareto–GA approach applies fuzzy logic to model the inherent uncertainty in performance data; employs Pareto optimization to identify optimal trade-offs between multiple, often conflicting criteria; and utilizes a genetic algorithm to efficiently navigate the solution space. The framework is validated using real-world data from an operating mining company, considering three key criteria: operating time, remaining service life, and the remaining service life ratio. The results demonstrate that the fuzzy–Pareto approach effectively identifies a set of non-dominated solutions, and the robustness of these rankings is confirmed through a comprehensive sensitivity analysis. The proposed framework offers mining engineers a transparent and uncertainty-aware tool for equipment selection, a decision that serves as a critical foundation for effective production process optimization. Full article
Show Figures

Figure 1

42 pages, 3396 KB  
Article
A Fuzzy Parametric Entropy-Based TOPSIS Method for Soil Stabilization Suitability Ranking
by Gökhan Çuvalcıoğlu, Sinem Yılmaz Tarsuslu and Arif Bal
Appl. Sci. 2026, 16(8), 3781; https://doi.org/10.3390/app16083781 - 13 Apr 2026
Viewed by 169
Abstract
This study investigates the challenging task of predicting the strength of subgrade soils, which serve as the foundation of superstructure systems. Due to the inherent complexity of soil behavior, traditional empirical methods often fall short in providing consistent and reliable estimations. To address [...] Read more.
This study investigates the challenging task of predicting the strength of subgrade soils, which serve as the foundation of superstructure systems. Due to the inherent complexity of soil behavior, traditional empirical methods often fall short in providing consistent and reliable estimations. To address this limitation, a fuzzy entropy-based TOPSIS multi-criteria decision-making (MCDM) approach is proposed. Methodologically, the study introduces a novel fuzzy entropy function that extends existing fuzzy entropy formulations and is compared against conventional fuzzy entropy measures. Using the newly proposed Pm fuzzy entropy (m = 0.5), a soil stabilization quality ranking was obtained and validated against classical fuzzy entropy-based TOPSIS results. It is important to emphasize that the primary objective of the proposed framework is not to provide direct numerical estimates of CBR values, but rather to support the decision-making process by ranking soil options based on multiple criteria under conditions of uncertainty. The robustness of the rankings was further examined using California Bearing Ratio (CBR) data and comprehensive sensitivity analyses to consider uncertainties from expert judgments and laboratory measurements. The proposed approach offers a solution for multi-criteria decision-making processes in uncertain environments, ensuring high rating consistency and adaptability. Full article
Show Figures

Figure 1

28 pages, 3048 KB  
Article
Mathematical Decision Layers for Technical Proposal Generation in Industrial Electrical Houses Using Generative AI
by Juan Pérez, Ignacio González, Nabeel Imam and Juan Carvajal
Mathematics 2026, 14(8), 1263; https://doi.org/10.3390/math14081263 - 10 Apr 2026
Viewed by 422
Abstract
Industrial electrical houses are engineered systems that transform and control electrical power to supply industrial loads. Preparing technical proposals for these rooms requires consistent engineering choices across multiple artifacts while drawing from heterogeneous client documents, historical projects, and supplier catalogs. This paper reports [...] Read more.
Industrial electrical houses are engineered systems that transform and control electrical power to supply industrial loads. Preparing technical proposals for these rooms requires consistent engineering choices across multiple artifacts while drawing from heterogeneous client documents, historical projects, and supplier catalogs. This paper reports an industrial prototype that integrates generative AI, system modeling, and mathematical decision methods to support that workflow. We represent requested outputs as ordered sequences of functions and link those functions to candidate equipment blocks through functional and physical graphs that enable traceable retrieval and reuse. Using this representation, we compute a minimal internal-cost baseline by solving a mixed-integer assignment model with sizing constraints, and we rank technically feasible alternatives using fuzzy DEMATEL to derive criterion weights and TOPSIS to obtain an overall ordering under multiple criteria. The workflow is illustrated with an example and the prototype tool used in a company operating in Chile, Peru, Ecuador, and Bolivia, where document ingestion and equipment-list extraction are integrated with human validation. The results illustrate how structured representations, optimization, and multi-criteria ranking can support auditable configurations for engineering review and commercial selection. Full article
(This article belongs to the Special Issue Applications of Operations Research and Decision Making)
Show Figures

Figure 1

Back to TopTop