Next Article in Journal
AI Agent- and QR Codes-Based Connected and Autonomous Vehicles: A New Paradigm for Cooperative, Safe, and Resilient Mobility
Previous Article in Journal
A New Hybrid Stochastic SIS Co-Infection Model with Two Primary Strains Under Markov Regime Switching and Lévy Jumps
 
 
Font Type:
Arial Georgia Verdana
Font Size:
Aa Aa Aa
Line Spacing:
Column Width:
Background:
Article

Frictional Contact of Functionally Graded Piezoelectric Materials with Arbitrarily Varying Properties

1
Department of General Education, Xizang Agricultural and Animal Husbandry University, Linzhi 860000, China
2
College of Engineering, Huazhong Agricultural University, Wuhan 430070, China
*
Author to whom correspondence should be addressed.
Mathematics 2026, 14(3), 450; https://doi.org/10.3390/math14030450
Submission received: 23 December 2025 / Revised: 16 January 2026 / Accepted: 26 January 2026 / Published: 27 January 2026

Abstract

This study investigates the two-dimensional (2D) steady-state frictional contact behavior of functionally graded piezoelectric material (FGPM) coatings under a high-speed rigid cylindrical punch. An electromechanical coupled contact model considering inertial effects is established, while a layered model is employed to simulate arbitrarily varying material parameters. Based on piezoelectric elasticity theory, the steady-state governing equations for the coupled system are derived. By utilizing the transfer matrix method and the Fourier integral transform, the boundary value problem is converted into a system of coupled Cauchy singular integral equations of the first and second kinds in the frequency domain. These equations are solved semi-analytically, using the least squares method combined with an iterative algorithm. Taking a power-law gradient distribution as a case study, the effects of the gradient index, relative sliding speed, and friction coefficient on the contact pressure, in-plane stress, and electric displacement are systematically analyzed. Furthermore, the contact responses of FGPM coatings with power-law, exponential, and sinusoidal gradient profiles are compared. The findings provide a theoretical foundation for the optimal design of FGPM coatings and for enhancing their operational reliability under high-speed service conditions.

1. Introduction

Functionally graded piezoelectric materials (FGPMs) achieve a gradient distribution of key parameters such as piezoelectric coefficients, elastic modulus, and dielectric constants by continuously regulating their compositions, microstructures, or porosities along spatial dimensions [1,2]. This unique gradual variation in properties effectively mitigates the interfacial stress concentration problem in traditional homogeneous piezoelectric materials under complex loading conditions, thereby significantly enhancing the structural integrity and service stability of devices [3,4,5,6]. At present, FGPMs have been widely applied in high-end equipment, such as precision sensors, piezoelectric actuators, and intelligent vibration-damping structures. Such devices often operate under steady-state sliding frictional contact conditions during service—for instance, contact-based signal acquisition in piezoelectric rotary sensors, reciprocating friction-driven motion of precision actuators [7]. The pressure distribution, frictional force transmission, and potential response at the contact interface directly determine the output accuracy and service life of the devices.
In recent years, research on frictional contact in FGPMs has garnered increasing attention. Early foundation work by Ke et al. integrated piezoelectric material properties and functionally graded design into contact mechanics investigations, developing an exponential gradient model to systematically explore the influencing mechanisms of material gradient parameters and punch geometry on the frictionless/frictional contact performance of FGPM coating structures [8,9,10]. Building upon this exponential gradient framework, Su et al. proposed an efficient iterative algorithm to solve the overdetermined equations arising from the theoretical model for sliding frictional contact involving conductive cylindrical punches and conducted in-depth analyses of frictionless/frictional contact problems under the action of conductive cylindrical punches [11,12,13]. Liu et al. examined axisymmetric frictionless contact problems in FGPMs with exponentially varying material parameters under insulating and conductive punches, elucidating that the maximum contact stress under conductive punches is lower than that under insulating punches [14,15]. Furthermore, Liu et al. extended their research on surface slip contact behaviors of exponential FGPMs-substrate structures under insulating spherical punches, delineating the effects of gradient index, friction coefficient, and substrate stiffness on contact mechanical responses [16]. Subsequently, EI-Borgi et al. investigated the receding contact problem in structures consisting of exponential functionally graded piezoelectric coatings and homogeneous piezoelectric substrates, illustrating that non-homogeneity parameters exert a significant influence on contact pressure and charge distribution [17]. Separately, Çömez explored the sliding frictional contact problem in functionally graded piezoelectric coatings under rigid conductive cylindrical punches, revealing that exponential gradient variations in coating materials remarkably affect surface contact stress and electric displacement distributions [18]. Furthermore, Çömez et al. ignored thermal convection effects, adopted exponential functions to characterize continuous variation in graded piezoelectric parameters, and investigated the thermos–electro–elastic frictional contact problem between these graded surfaces and conductive punches. They found that adjusting the gradient index enables the optimization of thermodynamic responses in the contact region, thereby enhancing the material’s resistance to thermal contact damage [19]. Additionally, Han et al. established a contact analysis model for the coupled friction–adhesion contact problem on the surface of exponential functionally graded piezoelectric coatings with insulating punches. Their findings indicated that regulating the gradient index can optimize coating mechanical properties of coating, while the friction coefficient and adhesion parameters significantly affect stress concentration and charge distribution in the contact zone [20].
Nevertheless, current research on the electromechanical contact behaviors of FGPMs has predominantly centered on simplified theoretical models featuring exponential gradient distributions along the thickness direction. In practical engineering applications, however, material parameters of FGPMs (e.g., elastic modulus, piezoelectric constants, and dielectric constants) often exhibit diverse distribution characteristics, which necessitate accommodating gradient variations described by diverse functional forms, such as linear, power-law, and logarithmic functions. Against this backdrop, the existing literature that can accurately characterize gradient distributions of various functional forms is still relatively limited, posing challenges for addressing the analytical requirements of electromechanical coupling behaviors of FGPMs in complex engineering scenarios. Regarding the relevant research progress, Vasiliev et al. derived fundamental solutions for point-load-induced responses when elastic modulus, piezoelectric constants, and dielectric constants of functionally graded piezoelectric coatings vary arbitrarily along the depth direction [21]. Ma et al. investigated the torsional fretting of FGPM coatings by employing a laminated model to simulate the through-thickness property variations, analyzing how gradient indices affect the stick–slip regimes and electromechanical fields [22]. Meanwhile, Chen et al. established an adhesive model for piezoelectric actuators on non-uniform substrates composed of homogeneous half-planes and arbitrarily varying gradient coatings, demonstrating that exponential gradient coatings exhibit more stable performance compared to linear gradient coatings [7]. Zang and Liu approximated the FGPM interfacial layer using a multi-layer model to solve the axisymmetric contact problem in a piezoelectric coating–substrate system under a rigid spherical punch. They utilized the transfer matrix method to discuss how gradient parameters affect the electromechanical response [23]. Liu and Xing investigated the contact behavior of a coating–substrate structure under a rigid spherical punch by modeling the functionally graded interfacial layer with a linear multi-layer model, revealing that the stiffness ratio and gradient index significantly influence the stress distribution [24].
Notably, existing research has not yet addressed in depth the frictional contact behavior of FGPM coatings with material parameters varying arbitrarily along the thickness direction under the high-speed dynamic sliding conditions of the punch. To the best of the authors’ knowledge, no systematic research on this topic has been reported to date. Specifically, constructing a theoretical model for material parameters following arbitrary functional gradient distributions requires overcoming the limitations of traditional exponential or linear gradient assumptions, posing higher requirements for the mathematical rigor and applicability of the model. Innovative theoretical derivations are thus needed to accurately describe the diverse distribution characteristics of material parameters. Furthermore, the introduction of inertial effects during high-speed sliding complicates the dynamic characteristics of the contact system, which necessitates the consideration of coupled multi-physics field responses. This significantly increases the complexity and solution difficulty of the governing equations, further constraining in-depth research in this field.
To address the aforementioned research gaps, this paper focuses on investigating the two-dimensional steady-state frictional contact problem in FGPM coating structures with arbitrarily varying material parameters under the high-speed action of a rigid cylindrical punch. Based on piezoelectric elasticity theory, a laminated plate model is employed to simulate the electro–elastic material parameters of coatings with arbitrary variations. Steady-state governing equations for electro–elastic coupling are established by incorporating inertial terms. By means of Galilean transformation, transfer matrix method, and Fourier integral transform, the problem is converted into a system of coupled Cauchy singular integral equations of the first and second kinds. Numerical solutions are obtained via the least squares method and iterative techniques. Moreover, a detailed discussion is present on the effect of key parameters, including the gradient index, relative sliding velocity, friction coefficient, and coating gradient type of FGPM coatings, on the contact damage to the piezoelectric material’s frictional surface.

2. The Statement and Formulation of the Problem

Consider the sliding frictional contact problem in a functionally graded piezoelectric coating with thickness h under the action of a conductive cylindrical punch (see Figure 1), where the material parameters of the graded coating vary arbitrarily along the thickness direction. The punch slides over the surface of the graded coating at a constant velocity V, subjected to normal and tangential concentrated line loads P and Q, as well as a concentrated line charge Γ. A Cartesian coordinate system (X, Z) is established on the bonding interface between the coating and the homogeneous piezoelectric half-plane. Within the contact region defined by −bx ≤ −a, the normal contact pressure, tangential contact pressure, and surface charge are denoted as p(x), q(x), and g(x), respectively, where the tangential contact pressure satisfies the Coulomb friction criterion.
The elastic constants, piezoelectric constants, dielectric constants, and density of the functionally graded piezoelectric coating vary as arbitrary functions, denoted as cil(z), eil(z), εil(z), and ρ(z), with their respective values at the contact surface being c i l ( h ) = c i l * , e i l ( h ) = e i l * , ε i l ( h ) = ε i l * , and ρ ( h ) = ρ * . To simulate the arbitrary variation in the electro–elastic material parameters of the graded coating, a laminated plate model (see Figure 2) is employed. The coating is uniformly divided along the thickness direction into N sublayers of equal thickness, with the material parameters in each sublayer taken as constants, denoted as cilj, eilj, εilj, and ρj. These parameters of each sublayer correspond to the true values at z = hj, where z = 1 ( j 1 ) / N h ,   ( j = 1 , 2 , , N ) . The material parameters of the homogeneous piezoelectric half-plane are denoted as cil0, eil0, εil0, and ρ0, respectively.
Under the plane strain state, the linear constitutive equations of transversely isotropic piezoelectric materials are given by [8,9,10]:
σ X X X , Z = c 11 u X X + c 13 u Z Z + e 13 φ Z ,
σ Z Z X , Z = c 13 u X X + c 33 u Z Z + e 33 φ Z ,
σ X Z X , Z = c 44 u Z X + u X Z + e 15 φ X ,
D X X , Z = e 15 u Z X + u X Z ε 11 φ X ,
D Z X , Z = e 31 u X X + e 33 u Z Z ε 33 φ Z .
where σXX, σZZ, σXZ, DX, and DZ are the stress components and electric displacement components, respectively, and uX, uZ, and φ are the displacement components and electric potential, respectively. When inertial terms are included, and in the absence of body forces and body charges, the equilibrium equations and Maxwell’s equations for each sublayer of the graded coating and the homogeneous piezoelectric half-plane can be expressed as follows:
σ X X j X + σ X Z j Z = ρ j Z 2 u X j t 2 ,
σ X Z j X + σ Z Z j Z = ρ j Z 2 u Z j t 2 ,
D X j X + D Z j Z = 0 .
where j (j = 1, 2, …, N) represents the j-th layer of the stratified model. It is important to note that for j = N + 1, the aforementioned equations reduce to the equilibrium equations for a piezoelectric half-plane. Subsequently, the Galilean transformation is introduced as follows:
x = X V t , z = Z
where x and z are the moving coordinates attached to the punch. Substituting it into the system of Equations (1)–(5) yields the equation of motion in the moving coordinate system, as follows:
c 44 j 2 u x j z 2 + c 11 j V 2 ρ j 2 u x j x 2 + c 13 j + c 44 j 2 u z j x z + e 31 j + e 15 j 2 φ j x z = 0 ,
c 13 j + c 44 j 2 u x j x z + c 44 j V 2 ρ j u z j x 2 + c 33 j 2 u z j z 2 + e 15 j 2 φ j x 2 + e 33 j 2 φ j z 2 = 0 ,
e 15 j + e 31 j 2 u x j x z + e 15 j 2 u z j x 2 + e 33 j 2 u z j z 2 ε 11 j 2 φ j x 2 ε 33 j 2 φ j z 2 = 0 .
Performing the Fourier integral transform with respect to x on the systems of Equations (10)–(12) yields:
c 44 j d 2 u ˜ x j d z 2 s 2 c 11 j V 2 ρ j u ˜ x j + i s c 13 j + c 44 j d u ˜ z j d z + i s e 31 j + e 15 j d φ ˜ j d z = 0 ,
i s c 13 j + c 44 j d u ˜ x j d z s 2 c 44 j V 2 ρ j u ˜ z j + c 33 j d 2 u ˜ z j d z 2 s 2 e 15 j φ ˜ j + e 33 j d 2 φ ˜ j d z 2 = 0 ,
i s e 15 j + e 31 j d u ˜ x j d z s 2 e 15 j u ˜ z j + e 33 j d 2 u ˜ z j d z 2 + s 2 ε 11 j φ ˜ j ε 33 j d 2 φ ˜ j d z 2 = 0 .
where the tilde “~” denotes the Fourier integral transform, “i” denotes the imaginary unit, and “s” denotes the integral transform parameter.
Given the distinctive characteristic of the homogeneous piezoelectric half-plane extending infinitely along the coordinate directions, the displacement components and electric potential on its surface must vanish, as X and Z tend to infinity, as shown in Figure 2, under the action of the punch. This implies that as x 2 + z 2 , u x N + 1 ,   u z N + 1 ,   φ N + 1 0 , the general solution to the system of Equations (13)–(15) in the transform domain takes the form:
u ˜ x j s , z , u ˜ z j s , z , φ ˜ j s , z T = i = 1 6 1 , a ¯ i j ( s ) , b ¯ i j ( s ) B j i s e n i j ( s ) z , j = 1 , 2 , , N
u ˜ x N + 1 s , z , u ˜ z N + 1 s , z , φ ˜ N + 1 s , z T = k = 1 3 1 , c ¯ k N + 1 ( s ) , d ¯ k N + 1 ( s ) B N + 1 k s e n k N + 1 ( s ) z .
where, the expressions for n i j , a ¯ i j s , b ¯ i j s , n k N + 1 , c ¯ k N + 1 s , and d ¯ k N + 1 s   k = 1 , 2 , 3 ;   i = 1 , , 6 are provided in Appendix A. B j i s and B N + 1 k s are undetermined coefficients. The displacement components and electric potential of the graded coating in the transform domain can be expressed in matrix form as:
u ˜ x j s , z , u ˜ z j s , z , φ ˜ j s , z T = T 1 j s , z B j s , j = 1 , 2 , , N
u ˜ x N + 1 s , z , u ˜ z N + 1 s , z , φ ˜ N + 1 s , z T = T 1 N + 1 s , z B N + 1 s .
Herein, the superscript “T” denotes the transpose of a matrix. Additionally, T 1 j s , z , T 1 N + 1 s , z , B j s , and B N + 1 s are denoted, respectively, as:
T 1 j s , z = T 1 i j a s , z , T 1 i j b s , z , T 1 i j c s , z T i = 1 , , 6 ;   j = 1 , , 6 ,
T 1 N + 1 s , z = T 1 k N + 1 a s , z , T 1 k N + 1 b s , z , T 1 k N + 1 c s , z T ,
B j s = B j 1 s , B j 2 s , B j 3 s , B j 4 s , B j 5 s , B j 6 s T , B N + 1 = B N + 11 , B N + 12 , B N + 13 T .
where
T 1 i j a s , z = e n i j z ,   T 1 i j b s , z = a ¯ i j s e n i j z ,   T 1 i j c s , z = b ¯ i j e n i j z .
T 1 k N + 1 a s , z = e n k N + 1 z ,   T 1 k N + 1 b s , z = c ¯ k N + 1 s e n k N + 1 z ,   T 1 k N + 1 c s , z = d ¯ k N + 1 e n k N + 1 z .
Substituting Equations (18) and (19) into Equations (1)–(5) yields the matrix form of the stress components and electric displacements in the transform domain for each sublayer of the laminated model and the homogeneous piezoelectric half-plane, as follows:
σ ˜ z z j s , z , σ ˜ x z j s , z , D ˜ z j s , z T = T 2 j s , z B j s , j = 1 , 2 , , N
σ ˜ z z N + 1 s , z , σ ˜ x z N + 1 s , z , D ˜ z N + 1 s , z T = T 2 N + 1 s , z B N + 1 s .
where
T 2 j s , z = T 2 i j a s , z , T 2 i j b s , z , T 2 i j c s , z T ,
T 2 i j a s , z = i s c 13 j + n i j c 33 j a ¯ i j s + n i j e 33 j b ¯ i j s e n i j z ,
T 2 i j b s , z = i s c 44 j a ¯ i j s + n i j c 44 j + i s e 15 j b ¯ i j s e n i j z ,
T 2 i j c s , z = i s e 31 j + n i j e 33 j a ¯ i j s n i j ε 33 j b ¯ i j s e n i j z .
T 2 k N + 1 a s , z = i s c 130 + n k N + 1 c 330 c ¯ k N + 1 s + n k N + 1 e 330 d ¯ k N + 1 s e n k N + 1 z ,
T 2 k N + 1 b s , z = n k N + 1 c 440 + i s c 440 c ¯ k N + 1 s + i s e 150 d ¯ k N + 1 s e n k N + 1 z ,
T 2 k N + 1 c s , z = i s e 310 + n k N + 1 e 330 c ¯ k N + 1 s n k N + 1 ε 330 d ¯ k N + 1 s e n k N + 1 z .
k = 1 , 2 , 3 ;   i = 1 , , 6 ;   j = 1 , , 6

3. Solution of Singular Integral Equation

3.1. Electrical and Mechanical Boundary Conditions

Assuming that the rigid circular punch is a perfect electrical conductor, the graded coating satisfies the following boundary conditions at the contact surface z = h:
σ z z x , h = p ( x ) b x a 0 x < b ,   x > a ,
σ x z x , h = q ( x ) b x a 0 x < b ,   x > a ,
  D z x , h = g ( x ) b x a 0 x < b ,   x > a .
At the interface h j = 1 ( j 1 ) / N h j = 1 , 2 , , N of each sublayer, the continuity conditions for stress, displacement, and electric displacement are satisfied as:
u x j ( x , h j ) = u x j + 1 ( x , h j ) ,   u z j ( x , h j ) = u z j + 1 ( x , h j ) ,
σ z z j ( x , h j ) = σ z z j + 1 ( x , h j ) ,   σ z x j ( x , h j ) = σ z x j + 1 ( x , h j ) ,
D z j ( x , h j ) = D z j + 1 ( x , h j ) ,   φ j ( x , h j ) = φ j + 1 ( x , h j ) .
Applying the Fourier transform with respect to x to the above boundary conditions yields their expression in matrix form as:
T 21 s , h B 1 s = L ,
L 1 j s , h j B j s = L 1 j + 1 s , h j B j + 1 s .
By means of matrix transfer, the expression of the matrix can be recursively derived as:
B j s = C ¯ j B N + 1 s ,   B N + 1 s = V 1 L ,   j = 1 , , N
where
C j = L 1 j s , h j 1 L 1 j + 1 s , h j ,   C ¯ j = C 1 C j ,   L = p ˜ ( s ) , q ˜ ( s ) , g ˜ ( s ) T ,
V = T 21 s , h C ¯ N ,   L 1 j s , h j = T 1 j s , h j T 2 j s , h j ,   L 1 N + 1 s , h N = T 1 N + 1 s , h N T 2 N + 1 s , h N ,
C ¯ 0 = C 0 = 1 0 0 0 0 0 0 1 0 0 0 0 0 0 1 0 0 0 0 0 0 1 0 0 0 0 0 0 1 0 0 0 0 0 0 1 .
Let uxh = ux(x,h), uzh = uz(x,h), and φh = φ(x,h). Substituting Equation (30) into Equation (18) and applying the inverse Fourier transform to the resultant equation, we obtain the surface displacement components and electric potential as:
u x h ,   u z h ,   φ h T = 1 2 π + M 1 s , h L e i s x d s .
where
M 1 s , z = T 11 s , h C ¯ N V 1
Performing asymptotic analysis and parity analysis on the matrix M 1 ( s , h ) yields:
lim s + s M 1 s , h = f 11 f 12 f 13 f 21 f 22 f 23 f 31 f 32 f 33 ,
f 11 ( s ) = f 11 ( s ) ,   f 12 ( s ) = f 12 ( s ) ,   f 13 ( s ) = f 13 ( s ) ,
f k 1 ( s ) = f k 1 ( s ) ,   f k 2 ( s ) = f k 2 ( s ) ,   f k 3 ( s ) = f k 3 ( s ) , ( k = 2 , 3 ) .
Then Equation (31) can be further expressed as:
u x h ,   u z h ,   φ h T = 1 2 π + Π 1 L e i s x d s + 1 2 π + M 1 s , h Π 1 L e i s x d s .
where
Π 1 = 1 s f 11 sign ( s ) f 12 f 13 sign ( s ) f 21 f 22 sign ( s ) f 23 sign ( s ) f 31 f 32 sign ( s ) f 33 .
Differentiating Equation (35) with respect to x and considering the following relational expression [25,26]:
0 + sin s x t d s = 1 x t ,   0 + cos s x t d s = π δ x t
0 + cos s x t s d s = In x t ,   0 + sin s x t s d s = π 2 sign x t .
the following expressions for the Cauchy singular integral are thus obtained:
u x h x = i f 11 p x i f 13 g x f 12 π b a q t t x d t 1 π b a p t K 11 x , t + q t K 12 x , t + g t K 13 x , t d t ,
u z h x = i f 22 q x f 21 π b a p t t x d t f 23 π b a g t t x d t 1 π b a p t K 21 x , t + q t K 22 x , t + g t K 23 x , t d t ,
φ h x = i f 32 q x f 31 π b a p t t x d t f 33 π b a g t t x d t 1 π b a p t K 31 x , t + q t K 32 x , t + g t K 33 x , t d t .
where the expression for K i j i = 1 , 2 , 3 ;   j = 1 , 2 , 3 , 4 is provided in Appendix A. Additionally, the normal concentrated line load P and the positive concentrated charge Γ, together with contact pressure p(x) and surface charge g(x), satisfy the following equilibrium conditions:
b a p t d t = P ,
b a g t d t = Γ .

3.2. Method of Solution

The analysis considers a conductive cylindrical punch. Given that the contact width is much smaller than the punch radius, its profile can be approximated as a parabolic shape [27]. Assuming the surface electric potential φh is constant, the partial derivatives of uzh and φzh can be written as:
u z h x = x R ,   φ h x = 0 ,   b x a .
Since the rigid conductive punch slides at a constant velocity over the coating surface, the friction coefficient μ, normal contact pressure p(x), and tangential contact pressure q(x), obey the following relationship within the contact region in accordance with the Coulomb friction criterion:
p x = μ q x
For the conductive cylindrical punch, the normal contact pressure is smooth at the edges of the contact region (x = −b, x = a) [28], and the charge g(x) can be written as:
g x = g 1 x + g 2 x .
The conductive cylindrical punch gives rise to a charge distribution composed of two distinct components. Specifically, the normal load P applied to the surface of the piezoelectric material generates a charge denoted as g1(x); the total electric potential φ induces an additional charge distribution g2(x) during contact. The former, g1(x), is smoothly distributed along the edges of the contact region, whereas the latter, g2(x), exhibits a pronounced singularity within the contact region. Furthermore, the following variable transformations are applied to x and t:
t = a + b 2 η + a b 2 ,   x = a + b 2 ζ + a b 2 ,   b t , x a ,   1 η , ζ 1 .
The system of Equations (38)–(42) can be rearranged into the following form:
i μ f 22 p ζ + f 21 π 1 1 p η η ζ d η + f 23 π 1 1 g 1 η η ζ d η + a + b 2 π 1 1 p η K 21 ζ , η + μ p η K 22 ζ , η + g 1 η K 23 ζ , η d η = a + b ζ + a b 2 R ,
i μ f 32 p ζ + f 31 π 1 1 p η η ζ d η + f 33 π 1 1 g 1 η η ζ d η + a + b 2 π 1 1 p η K 31 ζ , η + μ p η K 32 ζ , η + g 1 η K 33 ζ , η d η = 0 ,
1 1 p η d η = 2 P a + b ,
1 1 g 1 η d η = 2 Γ 1 a + b ,
f 23 π 1 1 g 2 η η ζ d η + a + b 2 π 1 1 K 23 ζ , η g 2 η d η = 0 ,
1 1 g 2 η d η = 2 Γ Γ 1 a + b .
It is evident that Equations (47) and (48) represent a system of coupled Cauchy singular integral equations: the former is of the first-kind with respect to g1(x), while the latter is of the second-kind with respect to p(x). To solve this coupled system, Equation (47) can be written as a second-kind Cauchy singular integral equation in the unknown p(x), and Equation (48) as a first-kind equation in the unknown g1(x):
i μ f 22 p ζ + f 21 π 1 1 p η η ζ d η + a + b 2 π 1 1 p η K 21 ζ , η + μ p η K 22 ζ , η d η = H 1 ζ ,
f 33 π 1 1 g 1 η η ζ d η + a + b 2 π 1 1 g 1 η K 33 ζ , η d η = H 2 ζ .
where
H 1 = a + b ζ + a b 2 R f 23 π 1 1 g 1 η η ζ d η a + b 2 π 1 1 g 1 η K 23 ζ , η d η ,
H 2 = f 31 π 1 1 p η η ζ d η i μ f 32 p ζ a + b 2 π 1 1 p η K 31 ζ , η + μ p η K 32 ζ , η d η .
For solving the second-kind Cauchy singular integral Equation (53), with respect to p(x), the contact pressure can first be reformulated by using Krenk’s numerical method [29]:
p η = w 1 η 1 η δ 1 1 + η δ 2 ,   1 η 1 .
where
δ 1 = 1 π arctan f 21 i μ f 22 + N 0 ,   δ 2 = 1 π arctan f 21 i μ f 22 + M 0 .
N0 and M0 are arbitrary integers and satisfy:
κ = δ 1 + δ 2 = N 0 + M 0 .
Thus, Equations (49) and (53) can be written as:
l = 1 M W l M f 21 η l ζ r + a + b 2 K 21 ζ r , η l + μ K 22 ζ r , η l w 1 η l = H 1 ζ r ,
l = 1 M W l M w 1 η l = 2 P a + b π .
where M is the total number of discrete sampling points of the function w 1 η within the interval (−1, 1), and η l , ζ r , and W l M are, respectively, determined by the following equations:
P M δ 1 , δ 2 η l = 0 ,   l = 1 , 2 , , M ,
P M κ δ 1 , δ 2 ζ r = 0 ,   r = 1 , 2 , , M κ ,
W l M = 2 κ Γ δ 1 Γ 1 δ 1 π P M κ δ 1 , δ 2 η l P M δ 1 , δ 2 η l .
where P M ( δ 1 , δ 2 ) denotes the Jacobi polynomial, and Γ represents the Gamma function. Next, for solving the first-kind Cauchy singular integral Equation (54), with respect to g1(x) [27], based on the above solution process for contact pressure, the first portion of the charge can be first processed. Using Erdogan and Gupta’s numerical method, g 1 ( η ) can be written as g 1 η = λ 1 η 1 η 2 . The discretized Equations (50) and (54) are the following linear system of equations:
l = 1 M 1 η l 2 M + 1 f 33 η l ζ r + a + b 2 K 33 λ 1 η l = H 2 ζ r ,
l = 1 M 1 η l 2 M + 1 λ 1 η l = 2 Γ 1 a + b π .
where η l = cos l π / M + 1 ,   ζ r = cos 2 r 1 π / 2 M + 1 ,   r = 1 , 2 , , M + 1 , and M is the total number of discrete points within the interval (−1,1). It can be observed that there are currently 2M + 4 Equations (57)–(60) and 2M + 3 unknowns: w 1 η 1 w 1 η M , λ 1 η 1 λ 1 η M , a, b, and Γ 1 . This is a typical overdetermined system of equations, which renders exact solutions for the normal contact pressure and charge distribution difficult to obtain. Herein, the iterative method and least squares method reported in the literature are employed for the numerical solution of this coupled system, with the aim of acquiring optimal solutions for the normal contact pressure p(x) and charge distribution g1(x). The detailed solution procedure is as follows [13]:
(1)
First, neglect the frictional effect, i.e., consider the frictionless contact case consistent with the model presented in this chapter. Next, specify the values of P and Γ, and subsequently, directly solving the simplified equation yields the initial values of p 0 η and g 1 0 η .
(2)
The initial value g 1 0 η is substituted into Equation (57). While maintaining a constant value for P, the simultaneous solutions of Equations (57) and (58) yield the approximate normal contact pressure p 1 η and the updated contact region dimensions a and b. Subsequently, the least squares method is applied to Equation (59) using p 1 η , resulting in an approximate value for g 1 η , which is denoted as g 1 1 η .
(3)
Iterate repeatedly over the two steps outlined in Step (2) until the numerical relative error between two consecutive iterations falls within 0.1%—that is, both the relative errors between the approximate values p n η , g 1 n η , and g 1 n 1 η are sufficiently small. Finally, terminate the iteration process and adopt the calculated results p n η , g 1 n η , a, b and Γ 1 as the final values, where the superscript “n” denotes the number of iterations.
After obtaining the normal contact pressure p(x) and charge g1(x), the next step is to solve for the charge-induced quantity g2(x) from the first-kind Cauchy-type singular integral Equation (51). Following the numerical method of Erdogan and Gupta [30], and letting g 2 x = λ 2 η / 1 η 2 , Equations (51) and (52) can be discretized, as follows:
1 M l = 1 M λ 2 η l f 23 η l ζ r + a + b 2 K 23 ζ r , η l = 0
1 M l = 1 M λ 2 η l = 2 Γ Γ 1 a + b π
where η l = cos 2 l 1 π / 2 M ,   ζ r = cos r π / M ,   r = 1 , 2 , , M 1 , and M is the total number of discrete points within the interval (−1,1). Solving the linear system given by Equations (61) and (62) yields the discrete charge distribution values g 2 x 1 g 2 x M , from which the distribution g2(x) over the entire contact region is obtained through interpolation.
After obtaining the surface normal contact pressure σ z z h = σ z z x , h = p x and charge distribution D z h = D z x , h = g x , the in-plane stress σ x x h = σ x x x , h and in-plane electric displacement D x h = D x x , h on the coating contact surface can be expressed as:
σ x x h x = Δ 1 + i f 11 Δ 3 p x Δ 2 + i f 13 Δ 3 g x μ f 12 Δ 3 π b a p t t x d t Δ 3 π b a p t K 11 x , t + μ p t K 12 x , t + g t K 13 x , t d t ,
D x h x = e 150 c 440 i f 32 Δ 4 μ p x + Δ 4 f 31 π b a p t t x d t + Δ 4 f 33 π b a g t t x d t Δ 4 π b a p x K 31 x , t μ p x K 32 x , t + g x K 33 x , t d t .
where
Δ 1 = e 31 * e 33 * + c 13 * ε 33 * ( e 33 * ) 2 + c 33 * ε 33 * ,   Δ 2 = c 13 * e 33 * c 33 * e 31 * ( e 33 * ) 2 + c 33 * ε 33 * ,   Δ 4 = ( e 15 * ) 2 c 44 * + ε 11 * ,
Δ 3 = c 11 * ( e 33 * ) 2 ( c 13 * ) 2 ε 33 * + c 33 * ( e 31 * ) 2 + c 11 * c 33 * ε 33 * 2 c 13 * e 31 * e 33 * ( e 33 * ) 2 + c 33 * ε 33 * .

4. Numerical Results

Based on the above analysis, this section presents an analysis of the frictional sliding contact characteristics of a FGPMs coating structure under a cylindrical punch. Specifically, it provides the numerical results of the stress components and electric displacement on the surface of the FGPM coating and examines the effects of the material gradient variation type of the coating, gradient index β, friction coefficient μ, and relative sliding velocity V* of the punch on the sliding frictional contact behavior of the FGPM coating structure. It is assumed that the gradient piezoelectric coating is composed of cadmium selenide (CdSe), and its electromechanical material parameters are listed in Table 1 [31]. In the following numerical analysis, the following parameters are assumed: normal concentrated load P = 1 × 104 N/m, normal concentrated charge Γ = 1 × 10−7 C/m, cylindrical punch radius R = 0.1 m, coating thickness h = 0.01 m, and relative sliding velocity V* = V2ρ0/c440. To prevent the generation of shock waves and ensure the validity of the steady-state assumption, the ratio of the actual velocity V to the shear wave velocity V s h = c 440 / ρ 0 is set to be less than 1.

4.1. Comparison Studies

To validate the effectiveness of the theoretical model proposed in this paper, a laminated plate model is first employed to simulate the sliding frictional contact behavior of an FGPM coating structure, wherein the coating material parameters vary along the thickness direction, according to the following exponential function:
c i l , j , e i l , j , ε i l , j , ρ j = c i l 0 , e i l 0 , ε i l 0 , ρ 0 e n z , 0 < z h .
where n = In m / h , z = 1 ( j 1 ) / N h ,   ( j = 1 , 2 , , N + 1 ) . Select the ratio of material parameters of the upper and lower surfaces of the coating as c i l * / c i l 0 = e i l * / e i l 0 = ε i l * / ε i l 0 = ρ * / ρ 0 = m = 2 .
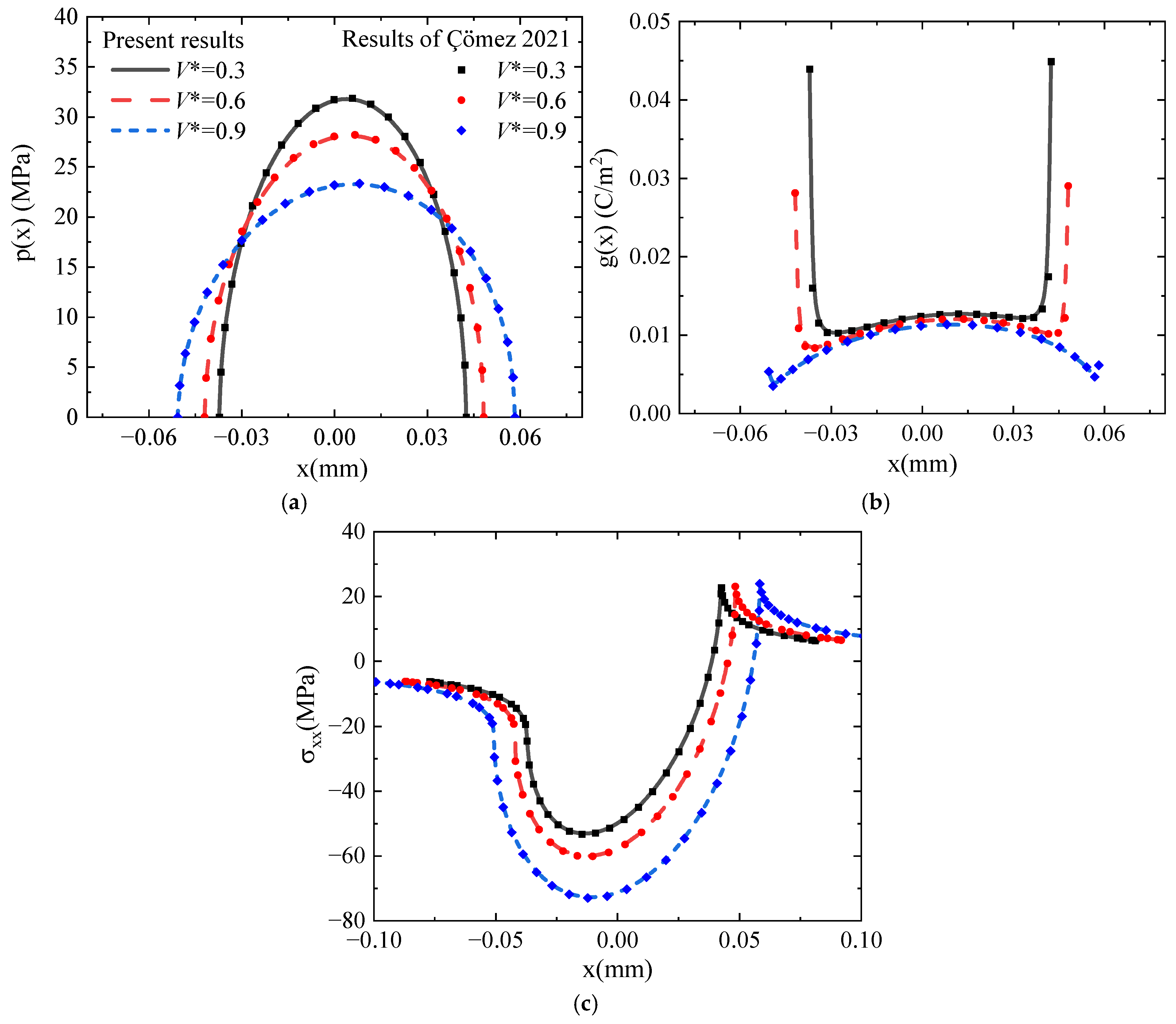
Figure 3 illustrates the effect of the punch’s relative sliding velocity on the sliding frictional contact characteristics of the functionally graded piezoelectric layered coating structure, specifically including the surface contact pressure p(x), surface charge g(x), and in-plane stress σXX(x). The curves in the figure denote the calculation results obtained in this chapter, while the discrete points correspond to the numerical results reported by Çömez [18]. As illustrated in Figure 3, the results of this study are in good agreement with those presented in Çömez’s work.
To more realistically simulate the arbitrary variations in piezoelectric material parameters, it is further assumed that the electro–elastic properties of the piezoelectric coating vary along the thickness direction following the form of the subsequent power function. Correspondingly, the surface electro–elastic contact behaviors of this functional model under various influencing factors are discussed, as follows:
c i l , j = c i l 0 + c i l * c i l 0 z / h β ,   e i l , j = e i l 0 + e i l * e i l 0 z / h β ,
ε l l , j = ε l l 0 + ε l l * ε l l 0 z / h β ,   ρ j = ρ 0 + ρ * ρ 0 z / h β .
To ensure the accuracy of calculation results, it is necessary to verify that variations in the layer number do not affect the surface electro–elastic contact behaviors of the coating. Taking the variation in the form of the previously mentioned power function as an example, Table 2 presents the effect of different layer numbers N on the contact mechanical behavior of the coating surface when μ = 0.3. It can be seen from the table that as N increases, the in-plane tensile stress gradually converges. When N ≥ 6, the results stabilize, and this convergence behavior is consistently observed for other adopted functional variation forms. Therefore, to maintain accuracy while minimizing computational costs, a value of N = 6 is adopted for all numerical calculations in this section.

4.2. The Effects of the Friction Coefficient on the Contact Behaviors

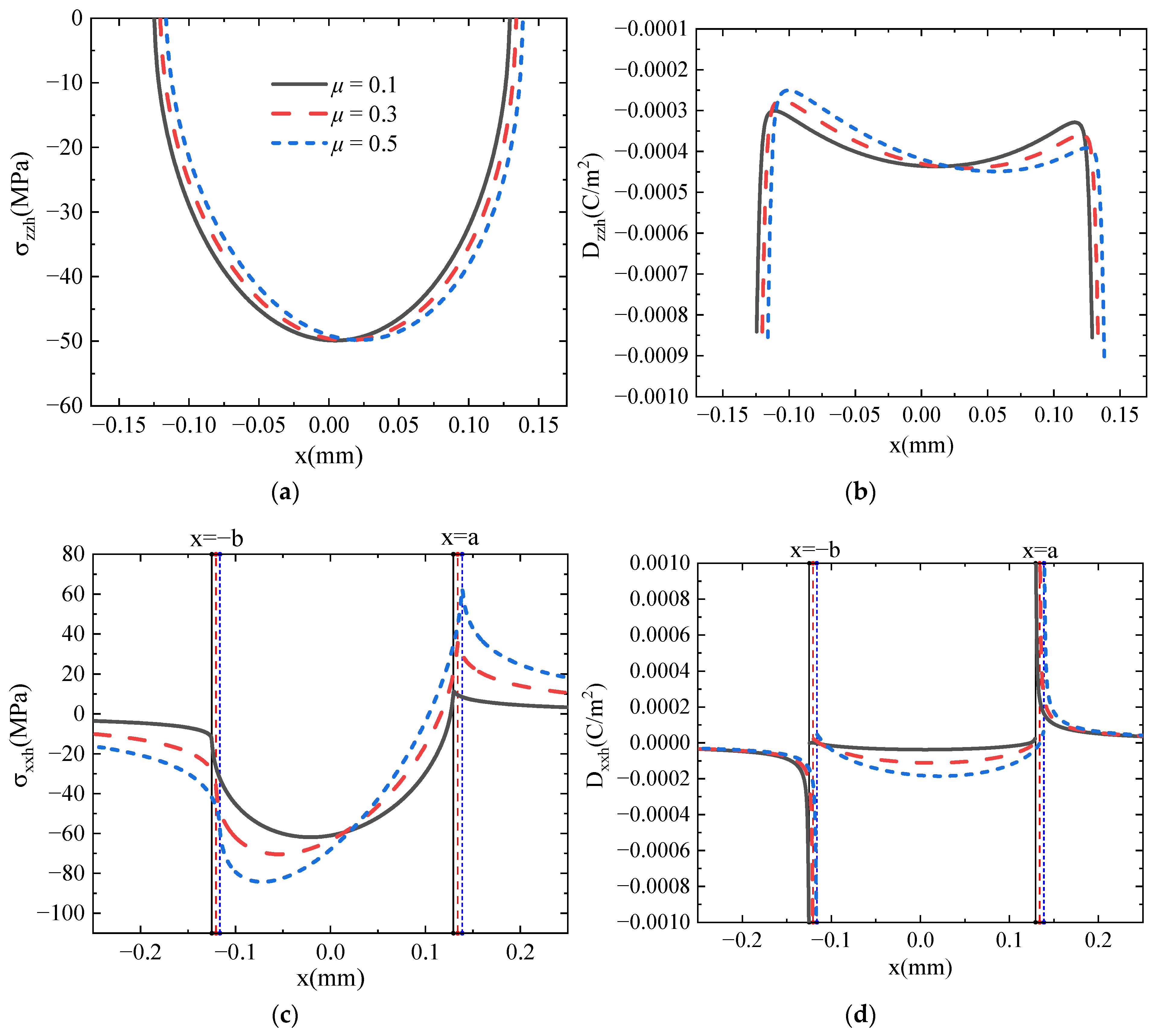
Figure 4 illustrates the influence of the friction coefficient μ on the sliding frictional contact behaviors of the functionally graded piezoelectric coating structure. As observed from the figure, variations in μ exert a slight influence on the distributions of the surface normal contact stress σzzh (Figure 4a) and surface electric displacement Dzh (Figure 4b), with their values shifting slightly rightward within the contact region. This asymmetry may be attributed to the superposition of the tangential traction caused by friction, which tends to distort the stress field relative to the contact center.
With an increase in μ, the maximum tensile value of the in-plane transverse stress σxxh (Figure 4c) at the trailing edge of the contact zone also increases correspondingly. From a physical perspective, this trend is likely associated with the enhanced “dragging” effect of the frictional force, which presumably intensifies the tensile strain accumulation behind the sliding punch. Additionally, it can be seen from the figure that the in-plane electric displacement Dxh (Figure 4d) exhibits singularities at both ends of the contact zone, and its maximum values at the contact zone center and trailing edge increase with the increase in μ.

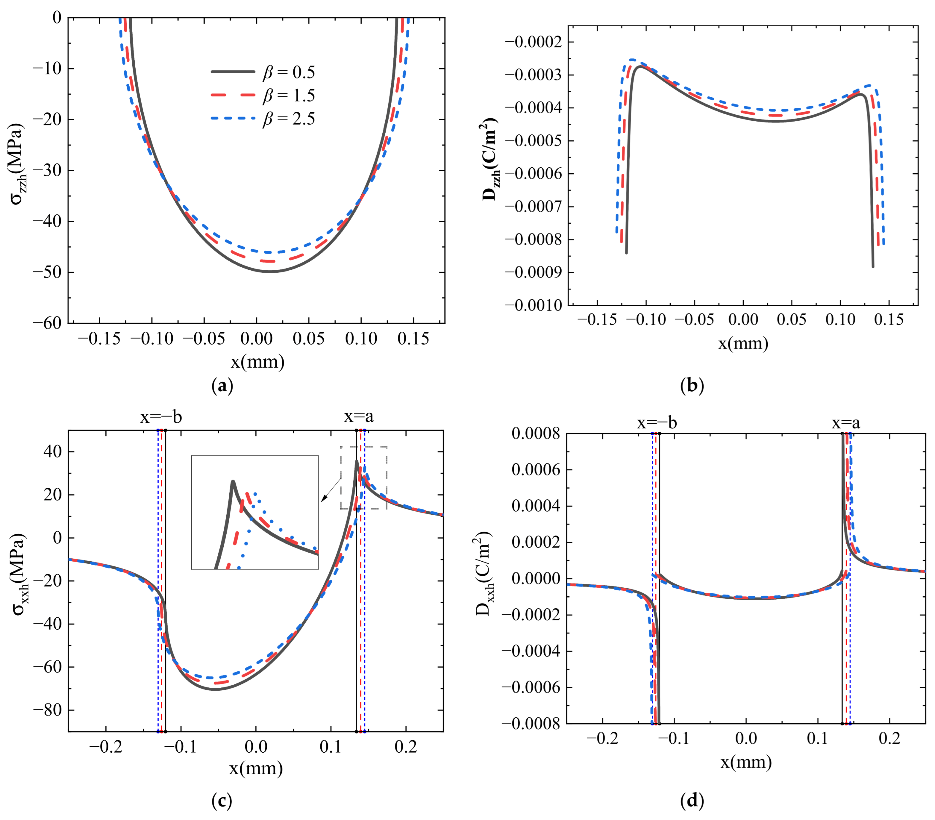
4.3. The Effects of the Gradient Parameter on the Contact Behaviors

Figure 5 shows the effect of the gradient index β (governing the variation in electro–elastic properties) on the sliding frictional contact behaviors of the functionally graded piezoelectric coating structure. As observed from the figure, with an increase in the gradient index β, the maximum values of σzzh (Figure 5a) and Dzh (Figure 5b) exhibit a decreasing trend, while the size of the contact region gradually increases. From the perspective of contact mechanics, this expansion in contact area suggests that the specific gradient profile tends to facilitate a more uniform redistribution of the surface load, thereby reducing the localized peak magnitude of the normal contact stress.
Meanwhile, the maximum tensile values of σxxh (Figure 5c) at the trailing edge of the contact zone, and the maximum values of Dxh (Figure 5d) at two ends of the contact zone, both show a gradual decrease with the increase in β. This indicates that the contact stress, electric displacement, and in-plane stress on the coating surface can be effectively regulated by adjusting the gradient index of the coating.

4.4. The Effects of the Sliding Speed on the Contact Behaviors

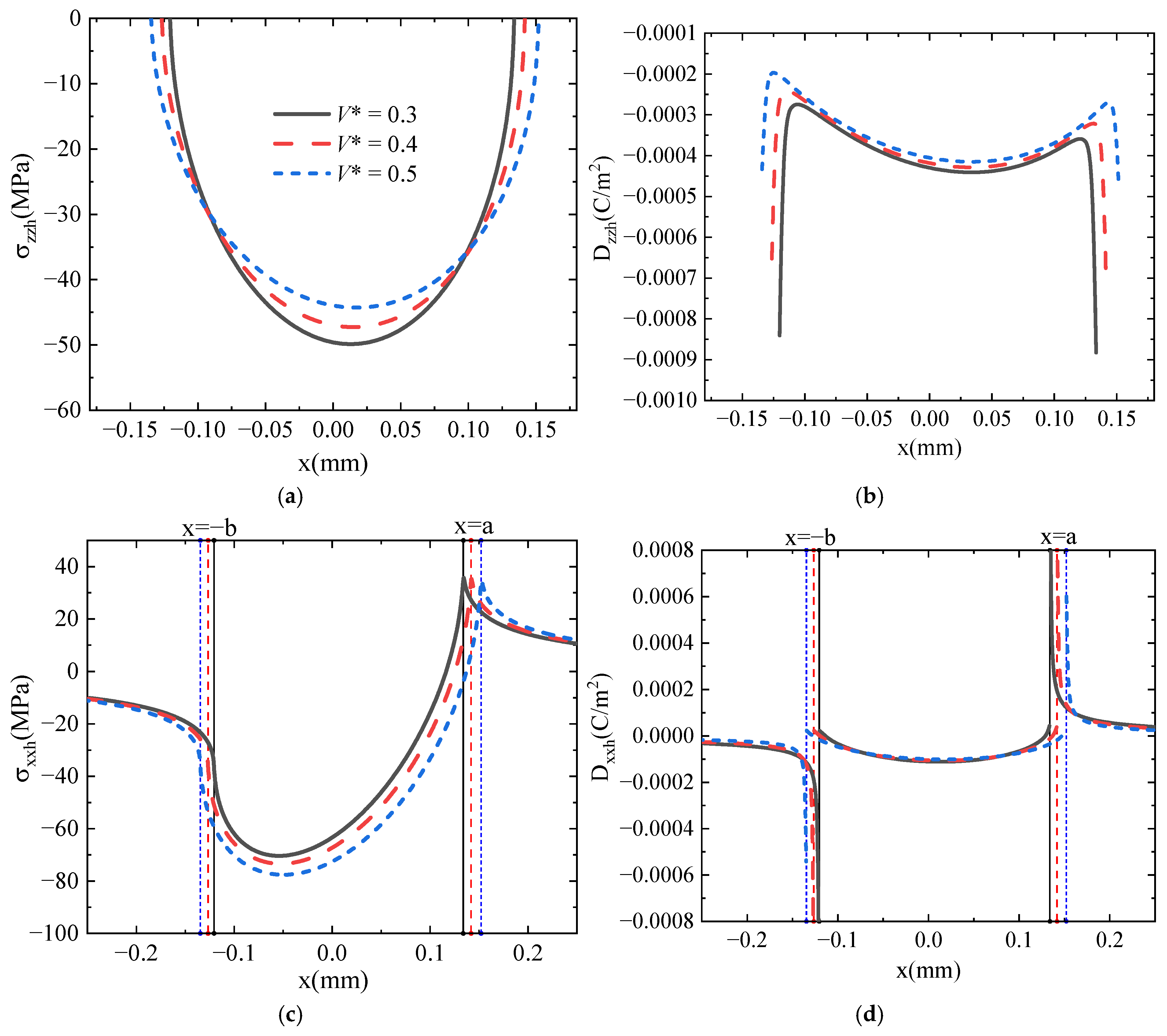
Figure 6 illustrates the influence of the relative sliding velocity V* of the conductive cylindrical punch on the frictional contact behaviors of the functionally graded piezoelectric coating structure. As observed from the figure, the punch’s sliding velocity exerts a notable influence on the surface contact stress (Figure 6a), surface electric displacement (Figure 6b), and in-plane electric displacement (Figure 6d). With an increase in the sliding velocity s, the contact width of σzzh and Dzh increases, while their maximum values both decrease. In contrast, the in-plane tensile stress σxxh within the contact region increases with the increase in sliding velocity V*, whereas the peak tensile stress at the contact zone’s trailing edge shows no substantial variation. Additionally, the in-plane electric displacement Dxh exhibits singularities at both ends of the contact zone, and the maximum values at these two locations decrease as the sliding velocity increases. This indicates that variations in sliding velocity effectively modulate both the mechanical and electrical responses of the functionally graded piezoelectric coating structure.
The variation in the mechano-electrical field may originate from the inertia-induced redistribution of the contact area, as well as the singular behavior of different field components. On the one hand, an increase in sliding velocity expands the contact region, which reduces the maximum of the normal stress and electric displacement under the constraints of total pressure and total charge conservation. On the other hand, the in-plane electric displacement exhibits a stronger singularity at the contact edges than the in-plane stress, and is thus highly sensitive to perturbations at the contact boundary. Consequently, the expansion of the contact region significantly attenuates the amplitude of electric displacement, while exerting a negligible effect on the amplitude of in-plane stress—manifesting only as a shift in the peak position.
It is worth noting that the piezoelectric field distribution remains stable even at high sliding velocities (V > 800 m/s), showing a trend consistent with Çömez [18]. This confirms the validity of the proposed model for high-speed multi-physics contact problems. By introducing inertia terms, the model effectively captures the moving effects associated with high-speed sliding. Equations (10)–(12) reveal the mechanism of these effects analytically, while Figure 6 indicates that their intensity scales significantly with sliding velocity. Conversely, in low-speed regimes, the moving effect is negligible, and the field distribution exhibits a velocity-independent characteristic [11,12].

4.5. The Effects of Gradient Variation Type on the Contact Behaviors

To further investigate the influence of the gradient variation type of the coating materials on the sliding frictional contact behaviors, it is further assumed that the electro–elastic parameters of the coating material vary along the thickness direction, according to the following sine functions:
c i l , j = c i l 0 + c i l 0 sin π z / 2 h ,   e i l , j = e i l 0 + e i l 0 sin π z / 2 h ,
ε l l , j = ε l l 0 + ε l l 0 sin π z / 2 h ,   ρ j = ρ 0 + ρ 0 sin π z / 2 h .
Table 3 and Table 4 present the effects of three coating gradient types—power function (Case 1), exponential function (Case 2), and sine function (Case 3)—on the maximum tensile stress at the surface of the graded layer, under varying friction coefficients and sliding velocities for a cylindrical punch. As shown in the tables, all three parameter variation types exhibit consistent variation trends in surface contact behaviors: an increase in the friction coefficient exacerbates stress concentration in the contact region, while an increase in sliding velocity moderately alleviates contact stress via inertial effects. This indicates that a higher friction coefficient induces a more pronounced mechanical response in the contact region. Meanwhile, among the three different material parameter variation types, the power function (β = 1.5) yields the minimum surface maximum tensile stress, and the peak tensile stress for this type decreases with an increase in β. This suggests that rational regulation of the coating’s gradient type can optimize its mechanical properties.

5. Conclusions

This paper investigates the sliding frictional contact behavior of FGPM coatings with arbitrary material parameter variations under a conductive cylindrical punch. The effects of the friction coefficient, gradient index, and relative sliding velocity on the frictional contact behavior are systematically elucidated. Furthermore, the influence of different gradient profiles on the maximum surface tensile stress of the coating is examined. The main conclusions are drawn as follows:
  • The friction coefficient plays a critical role in determining the contact stress distribution. A lower friction coefficient effectively mitigates the tensile stress at the trailing edge of the contact zone, as well as the electric displacement at the contact boundaries.
  • The distributions of surface contact stress and electric displacement can be modulated by adjusting the gradient index. A higher gradient index in the coating leads to a decrease in both the maximum tensile stress at the trailing edge and the peak electric displacement at the contact edges.
  • While an increase in sliding velocity decreases the peak contact stress and electric displacements (both surface and in-plane), it exerts a negligible influence on the peak in-plane tensile stress.
  • The laminated plate model successfully addresses the sliding frictional contact problem for FGPM coatings with arbitrarily varying material properties. Moreover, the results suggest that optimizing the material gradient profiles is an effective strategy to minimize surface tensile stress.

Author Contributions

Conceptualization, X.L., K.X., C.Z., X.Z. and J.L.; methodology, X.L., K.X. and L.G.; software, X.L. and K.X.; validation, X.L., K.X., X.Z. and J.L.; formal analysis, K.X., C.Z., X.Z. and J.L.; investigation, X.Z.; resources, J.L.; data curation, C.Z., L.G. and J.L.; writing—original draft, X.L., K.X., C.Z., X.Z. and L.G.; writing—review and editing, X.L., K.X., C.Z., X.Z., L.G. and J.L.; visualization, X.L., K.X., C.Z., X.Z. and L.G.; supervision, X.L., C.Z. and J.L.; project administration, X.L. and J.L.; funding acquisition, J.L. All authors have read and agreed to the published version of the manuscript.

Funding

This work is supported by the National Natural Science Foundation of China under Grant no. 12172147.

Data Availability Statement

The original contributions presented in this study are included in the article. Further inquiries can be directed to the corresponding author.

Conflicts of Interest

The authors declare no conflicts of interest.

Appendix A

1. n i j i = 1 , , 6 are six characteristic roots of the following characteristic equation:
det G ¯ j ( s , n ) = 0
G ¯ j = s 2 c 11 j V 2 ρ j + n 2 c 44 j i s n c 13 j + c 44 j i s n e 31 j + e 15 j i s n c 13 j + c 44 j s 2 c 44 j V 2 ρ j + n 2 c 33 j s 2 e 15 j + n 2 e 33 j i s n e 31 j + e 15 j s 2 e 15 j + n 2 e 33 j s 2 ε 11 j n 2 ε 33 j
2. The expressions for a ¯ i j s and b ¯ i j s are respectively:
a ¯ i j s = G ¯ 21 j G ¯ 13 j G ¯ 11 j G ¯ 23 j G ¯ 12 j G ¯ 23 j G ¯ 13 j G ¯ 22 j ,   b ¯ i j s = G ¯ 21 j G ¯ 12 j G ¯ 11 j G ¯ 22 j G ¯ 13 j G ¯ 22 j G ¯ 12 j G ¯ 23 j .
3. In the uniform half-plane, n k N + 1 k = 1 , 2 , 3 are three characteristic roots of the following characteristic equation:
det G ¯ i k ( s , n N + 1 ) = 0 ,   i , k = 1 , 2 , 3 ,
G ¯ i k = s 2 c 110 V 2 ρ 0 + n N + 1 2 c 440 i s n N + 1 c 130 + c 440 i s n N + 1 e 310 + e 150 i s n N + 1 c 130 + c 440 s 2 c 440 V 2 ρ 0 + n N + 1 2 c 330 s 2 e 150 + n N + 1 2 e 330 i s n N + 1 e 310 + e 150 s 2 e 150 + n N + 1 2 e 330 s 2 ε 110 n N + 1 2 ε 330
4. Parameters c ¯ k N + 1 s and d ¯ k N + 1 s in the equation can be expressed as:
c ¯ N + 1 k s = G ¯ 21 G ¯ 13 G ¯ 11 G ¯ 23 G ¯ 12 G ¯ 23 G ¯ 13 G ¯ 22 ,   d ¯ N + 1 k s = G ¯ 21 G ¯ 12 G ¯ 11 G ¯ 22 G ¯ 13 G ¯ 22 G ¯ 12 G ¯ 23
5. In the equation, the expression for K i j i = 1 , 2 , 3 ;   j = 1 , 2 , 3 , 4 are as follows:
K 11 x , t = i 0 + s f 11 f 11 cos s x t d s ,   K 12 x , t = 0 + s f 12 f 12 sin s x t d s
K 13 x , t = i 0 + s f 13 f 13 cos s x t d s ,   K 21 x , t = 0 + s f 21 f 21 sin s x t d s ,
K 22 x , t = i 0 + s f 22 f 22 cos s x t d s ,   K 23 x , t = 0 + s f 23 f 23 sin s x t d s ,
K 31 x , t = 0 + s f 31 f 31 sin s x t d s ,   K 32 x , t = i 0 + s f 32 f 32 cos s x t d s ,
K 33 x , t = 0 + s f 33 f 33 sin s x t d s .

References

  1. Wang, Z.H.; Kong, Y.J.; Sun, F.Y.; Zeng, T.; Wang, X.H.; Xu, G.D. Anti-plane crack problem of a functionally graded piezoelectric materials strip with arbitrarily distributed properties. Acta Mech. 2020, 231, 1029–1043. [Google Scholar] [CrossRef]
  2. Wang, H.; Dui, G.; Li, Y. Revisiting the electroelastic solution for an FGPM thick-walled cylinder subjected to mechanical and electric loadings. Mater. Res. Express 2020, 7, 026303. [Google Scholar] [CrossRef]
  3. Ueda, S. Two coplanar cracks in a functionally graded piezoelectric material strip under mechanical and transient thermal loadings. Sci. China Phys. Mech. Astron. 2012, 55, 2088–2099. [Google Scholar] [CrossRef]
  4. Peng, X.L.; Li, X.F.; Lee, K. Interface crack problem of functionally graded piezoelectric materials: Effects of the position of electromechanical impact and gradient. Acta Mech. 2009, 207, 69–82. [Google Scholar] [CrossRef]
  5. Suresh, S. Graded materials for resistance to contact deformation and damage. Science 2001, 292, 2447–2451. [Google Scholar] [CrossRef]
  6. Kumar, P.; Harsha, S.P. Static and vibration response analysis of sigmoid function-based functionally graded piezoelectric non-uniform porous plate. J. Intell. Mater. Syst. Struct. 2022, 33, 2197–2227. [Google Scholar] [CrossRef]
  7. Chen, P.J.; Peng, J.; Chen, Z.T.; Peng, G.J. On the interfacial behavior of a piezoelectric actuator bonded to a homogeneous half plane with an arbitrarily varying graded coating. Eng. Fract. Mech. 2019, 220, 106645. [Google Scholar] [CrossRef]
  8. Ke, L.L.; Yang, J.; Kitipornchai, S.; Wang, Y.S. Frictionless contact analysis of a functionally graded piezoelectric layered half-plane. Smart Mater. Struct. 2008, 17, 025003. [Google Scholar] [CrossRef]
  9. Ke, L.L.; Yang, J.; Kitipornchai, S.; Wang, Y.S. Electro-mechanical frictionless contact behavior of a functionally graded piezoelectric layered half-plane under a rigid punch. Int. J. Solids Struct. 2008, 45, 3313–3333. [Google Scholar] [CrossRef]
  10. Ke, L.L.; Wang, Y.S.; Yang, J.; Kitipornchai, S. Sliding frictional contact analysis of functionally graded piezoelectric layered half-plane. Acta Mech. 2010, 209, 249–268. [Google Scholar] [CrossRef]
  11. Su, J.; Ke, L.L.; Wang, Y.S. Axisymmetric frictionless contact of a functionally graded piezoelectric layered half-space under a conducting punch. Int. J. Solids Struct. 2016, 90, 45–49. [Google Scholar] [CrossRef]
  12. Su, J.; Ke, L.L.; Wang, Y.S. Fretting contact of a functionally graded piezoelectric layered half-plane under a conducting punch. Smart Mater. Struct. 2016, 25, 025014. [Google Scholar] [CrossRef]
  13. Su, J.; Ke, L.L.; El-Borgi, S.; Xiang, Y.; Wang, Y.S. An effective method for the sliding frictional contact of a conducting cylindrical punch on FGPMs. Int. J. Solids Struct. 2018, 141, 127–136. [Google Scholar] [CrossRef]
  14. Liu, T.J.; Zhang, C.Z. Axisymmetric conducting indenter on a functionally graded piezoelectric coating. Int. J. Mech. Sci. 2016, 115–116, 34–44. [Google Scholar] [CrossRef]
  15. Liu, T.J.; Zhang, C.Z.; Wang, Y.S. Analysis of axisymmetric indentation of functionally graded piezoelectric coating or substrate systems under an insulator indenter. J. Intell. Mater. Syst. Struct. 2017, 28, 23–34. [Google Scholar] [CrossRef]
  16. Liu, T.J.; Li, P.X.; Zhang, C.Z. On contact problem with finite friction for a graded piezoelectric coating under an insulating spherical indenter. Int. J. Eng. Sci. 2017, 121, 1–13. [Google Scholar] [CrossRef]
  17. El-Borgi, S.; Çömez, İ.; Güler, M.A. A receding contact problem between a graded piezoelectric layer and a piezoelectric substrate. Arch. Appl. Mech. 2021, 91, 4835–4854. [Google Scholar] [CrossRef]
  18. Çömez, İ. Frictional moving contact problem between a conducting rigid cylindrical punch and a functionally graded piezoelectric layered half plane. Meccanica 2021, 56, 3039–3058. [Google Scholar] [CrossRef]
  19. Çömez, İ.; Güler, M.A. Thermoelastic contact problem of a rigid punch sliding on a functionally graded piezoelectric layered half plane with heat generation. J. Therm. Stress. 2022, 45, 191–213. [Google Scholar] [CrossRef]
  20. Han, L.F.; Liu, T.J. Sliding frictional and adhesive coupling contact analysis of FGPM layered half-space under an insulating indenter. Int. J. Solids Struct. 2024, 299, 112874. [Google Scholar] [CrossRef]
  21. Vasiliev, A.S.; Volkov, S.S.; Aizikovich, S.M. Normal point force and point electric charge in a piezoelectric transversely isotropic functionally graded half-space. Acta Mech. 2016, 227, 263–273. [Google Scholar] [CrossRef]
  22. Ma, Z.Z.; Liu, T.J. Fretting contact of FGPM coating-substrate system under cyclic torque based on laminated model. J. Intell. Mater. Syst. Struct. 2025, 36, 926–946. [Google Scholar] [CrossRef]
  23. Zang, W.; Liu, T.J. Axisymmetric contact problem of piezoelectric coating–substrate system with functionally graded piezoelectric interfacial layer. Math. Mech. Solids 2023, 28, 2370–2395. [Google Scholar] [CrossRef]
  24. Liu, T.J.; Xing, Y.M. Stress analysis for bonded materials with a graded interfacial layer under a rigid punch. Mech. Adv. Mater. Struct. 2016, 23, 1163–1172. [Google Scholar] [CrossRef]
  25. Gradshteyn, I.S.; Ryzhik, I.M. Table of Integrals, Series, and Products; Elsevier: Amsterdam, The Netherlands, 2007. [Google Scholar]
  26. Choi, H.; Paulino, G.H. Thermoelastic contact mechanics for a flat punch sliding over a graded coating/substrate system with frictional heat generation. J. Mech. Phys. Solids 2008, 56, 1673–1692. [Google Scholar] [CrossRef]
  27. Johnson, K.L. Contact Mechanics; Cambridge University Press: Cambridge, UK, 1985. [Google Scholar]
  28. Giannakopoulos, A.E.; Suresh, S. Theory of indentation of piezoelectric materials. Acta Mater. 1999, 47, 2153–2164. [Google Scholar] [CrossRef]
  29. Krenk, S. On quadrature formulas for singular integral equations of the first and the second kind. Q. Appl. Math. 1975, 33, 225–232. [Google Scholar] [CrossRef]
  30. Erdogan, F.; Gupta, G.D. On the numerical solution of singular integral equations. Q. Appl. Math. 1972, 29, 525–534. [Google Scholar] [CrossRef]
  31. Zhou, Y.T.; Lee, K.Y. Thermo-electro-mechanical contact behavior of a finite piezoelectric layer under a sliding punch with frictional heat generation. J. Mech. Phys. Solids 2011, 59, 1037–1061. [Google Scholar] [CrossRef]
Figure 1. Schematic diagram of the sliding frictional contact of the FGPM-coated half-space under the action of a rigid conducting cylindrical punch.
Figure 1. Schematic diagram of the sliding frictional contact of the FGPM-coated half-space under the action of a rigid conducting cylindrical punch.
Mathematics 14 00450 g001
Figure 2. The stratification model of the electro–elastic parameters of functionally graded piezoelectric coatings.
Figure 2. The stratification model of the electro–elastic parameters of functionally graded piezoelectric coatings.
Mathematics 14 00450 g002
Figure 3. Comparison of the results of the (a) surface contact stress p(x), (b) surface electric displacement g(x), and (c) in-plane surface stress σxx with Çömez [18].
Figure 3. Comparison of the results of the (a) surface contact stress p(x), (b) surface electric displacement g(x), and (c) in-plane surface stress σxx with Çömez [18].
Mathematics 14 00450 g003
Figure 4. Effect of friction coefficient μ on (a) surface contact stress σzzh, (b) surface electric displacement Dzzh, (c) in-plane surface stress σxxh, and (d) in-plane electric displacement Dxh, with β = 0.5, V* = 0.3 (825 m/s).
Figure 4. Effect of friction coefficient μ on (a) surface contact stress σzzh, (b) surface electric displacement Dzzh, (c) in-plane surface stress σxxh, and (d) in-plane electric displacement Dxh, with β = 0.5, V* = 0.3 (825 m/s).
Mathematics 14 00450 g004
Figure 5. Effect of graded index β on (a) surface contact stress σzzh, (b) surface electric displacement Dzzh, (c) in-plane surface stress σxxh, and (d) in-plane electric displacement Dxh, with μ = 0.3, V* = 0.3 (825 m/s).
Figure 5. Effect of graded index β on (a) surface contact stress σzzh, (b) surface electric displacement Dzzh, (c) in-plane surface stress σxxh, and (d) in-plane electric displacement Dxh, with μ = 0.3, V* = 0.3 (825 m/s).
Mathematics 14 00450 g005
Figure 6. Effect of relative sliding velocity V* on (a) surface contact stress σzzh, (b) surface electric displacement Dzzh, (c) in-plane surface stress σxxh, and (d) in-plane electric displacement Dxh, with μ = 0.3, β = 0.5.
Figure 6. Effect of relative sliding velocity V* on (a) surface contact stress σzzh, (b) surface electric displacement Dzzh, (c) in-plane surface stress σxxh, and (d) in-plane electric displacement Dxh, with μ = 0.3, β = 0.5.
Mathematics 14 00450 g006
Table 1. Material properties of cadmium selenide [28].
Table 1. Material properties of cadmium selenide [28].
Material Parameters (Units)ValueMaterial Parameters (Units)Value
c 110 (GPa)74.1 c 440 (GPa)13.2
c 130 (GPa)39.3 e 150 (C/m2)0.138
e 310 (C/m2)−0.16 ε 110 (10−10 C/Vm)0.825
e 330 (C/m2)0.347 ε 330 (10−10 C/Vm)0.902
c 330 (GPa)83.6 ρ 0 (Kg/m3)5816
Table 2. The effect of the number of layers N on maximum tension stress σzzh (MPa), with β = 0.5, V* = 0.3 (825 m/s).
Table 2. The effect of the number of layers N on maximum tension stress σzzh (MPa), with β = 0.5, V* = 0.3 (825 m/s).
Nμ = 0.3μ = 0.5
η = −0.7317η = 0.0767η = −0.73087η = 0.0780
2−30.70467−47.2663−29.7104−47.2319
4−32.1019−49.4172−31.0624−49.3814
6−32.5020−50.0332−31.4497−49.9971
8−32.6933−50.3277−31.6348−50.2913
Table 3. Effect of friction coefficient μ on maximum tension stress σxxh (MPa), with V* = 0.3 (825 m/s).
Table 3. Effect of friction coefficient μ on maximum tension stress σxxh (MPa), with V* = 0.3 (825 m/s).
Case 1 (β = 0.5)Case 1 (β = 1.5)Case 2Case 3
μ = 0.336.9775835.4956742.2011437.48337
μ = 0.450.0377648.025757.1255150.72304
μ = 0.563.4413960.8854272.4428764.31137
Table 4. Effect of sliding velocity V* maximum tension stress σxxh (MPa), with μ = 0.3.
Table 4. Effect of sliding velocity V* maximum tension stress σxxh (MPa), with μ = 0.3.
Case 1 (β = 0.5)Case 1 (β = 1.5)Case 2Case 3
V* = 0.3 (825 m/s)36.9775835.4956742.2011437.48337
V* = 0.4 (953 m/s)36.5858435.1245841.740237.08497
V* = 0.5 (1065 m/s)36.1515634.7160641.2256636.64395
Disclaimer/Publisher’s Note: The statements, opinions and data contained in all publications are solely those of the individual author(s) and contributor(s) and not of MDPI and/or the editor(s). MDPI and/or the editor(s) disclaim responsibility for any injury to people or property resulting from any ideas, methods, instructions or products referred to in the content.

Share and Cite

MDPI and ACS Style

Liu, X.; Xiao, K.; Zhang, C.; Zhou, X.; Gao, L.; Liu, J. Frictional Contact of Functionally Graded Piezoelectric Materials with Arbitrarily Varying Properties. Mathematics 2026, 14, 450. https://doi.org/10.3390/math14030450

AMA Style

Liu X, Xiao K, Zhang C, Zhou X, Gao L, Liu J. Frictional Contact of Functionally Graded Piezoelectric Materials with Arbitrarily Varying Properties. Mathematics. 2026; 14(3):450. https://doi.org/10.3390/math14030450

Chicago/Turabian Style

Liu, Xiuli, Kaiwen Xiao, Changyao Zhang, Xinyu Zhou, Lingfeng Gao, and Jing Liu. 2026. "Frictional Contact of Functionally Graded Piezoelectric Materials with Arbitrarily Varying Properties" Mathematics 14, no. 3: 450. https://doi.org/10.3390/math14030450

APA Style

Liu, X., Xiao, K., Zhang, C., Zhou, X., Gao, L., & Liu, J. (2026). Frictional Contact of Functionally Graded Piezoelectric Materials with Arbitrarily Varying Properties. Mathematics, 14(3), 450. https://doi.org/10.3390/math14030450

Note that from the first issue of 2016, this journal uses article numbers instead of page numbers. See further details here.

Article Metrics

Back to TopTop