Predefined-Time Trajectory Tracking of Mechanical Systems with Full-State Constraints via Adaptive Neural Network Control
Abstract
1. Introduction
- 1.
- An integrated control scheme is developed in this work, which incorporates an adaptive neural network controller. This design unifies the principles of predefined-time stability theory with the framework of nonlinear mapping techniques, thereby ensuring strict adherence to all full-state constraints and achieving convergence within a user-specified time.
- 2.
- Lyapunov stability analysis confirms that both the tracking error and the neural network approximation error are uniformly bounded and converge to a compact set around zero within a predefined time. This predefined time, which serves as an explicitly settable upper bound for the system convergence, is independent of the initial conditions.
- 3.
- The design of a bounded controller by modulating its rate enhances both the stability and rapidity of the system response. This strategy improves dynamic performance and ensures the generation of smooth control signals, thereby reducing mechanical stress on the actuator. Ultimately, it upholds control accuracy and strengthens the overall reliability and robustness of the system.
2. Preliminaries
3. Main Results
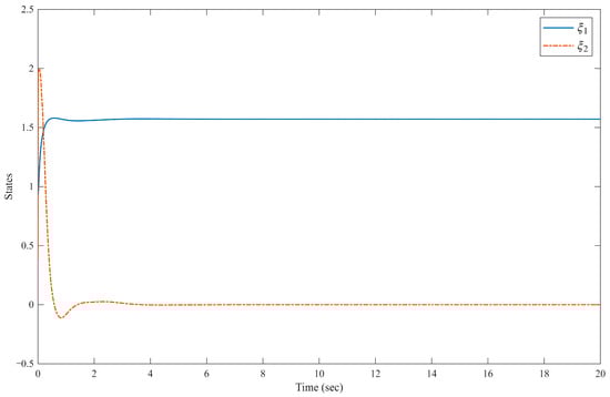
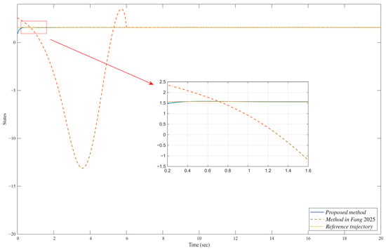
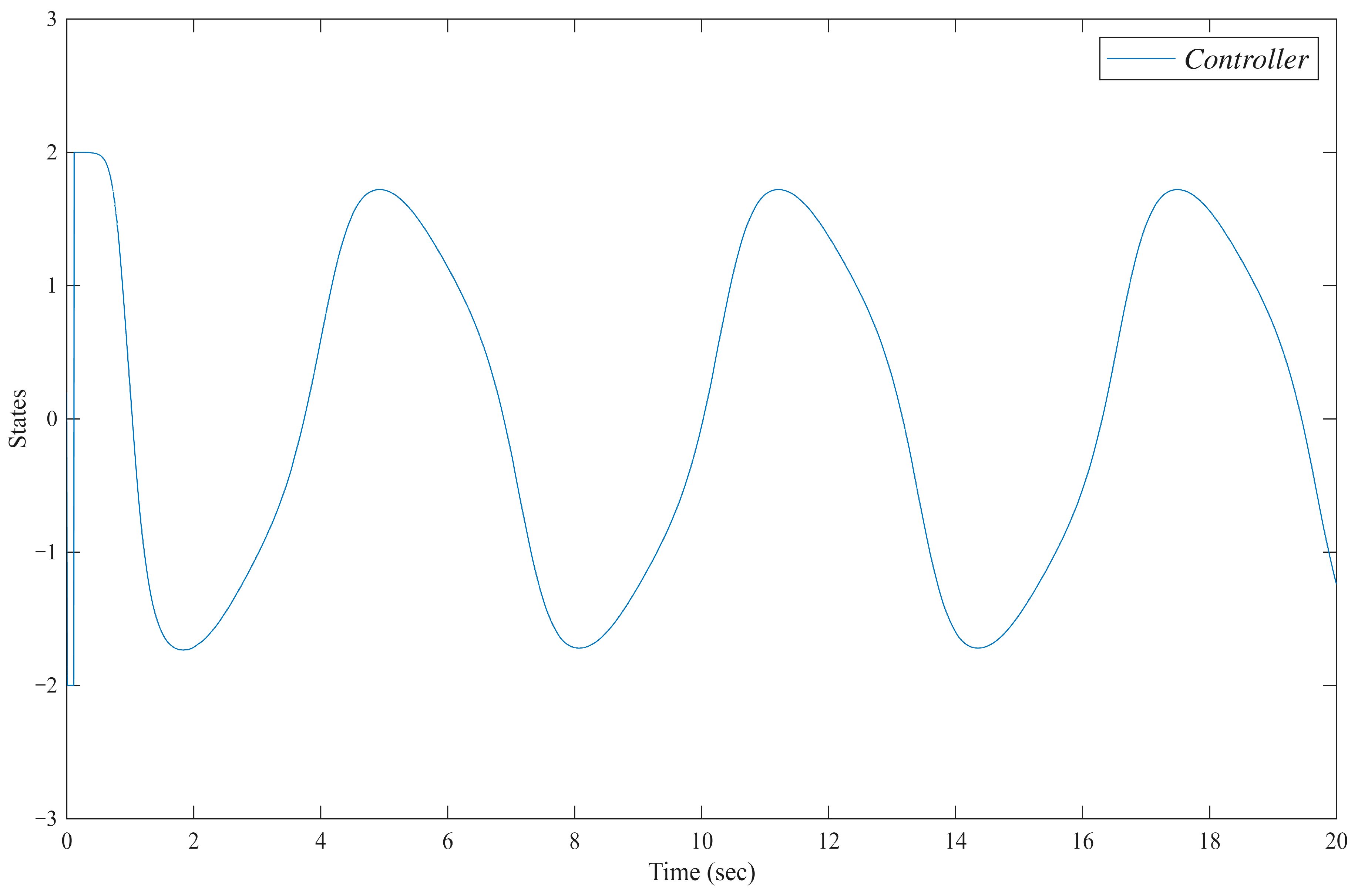
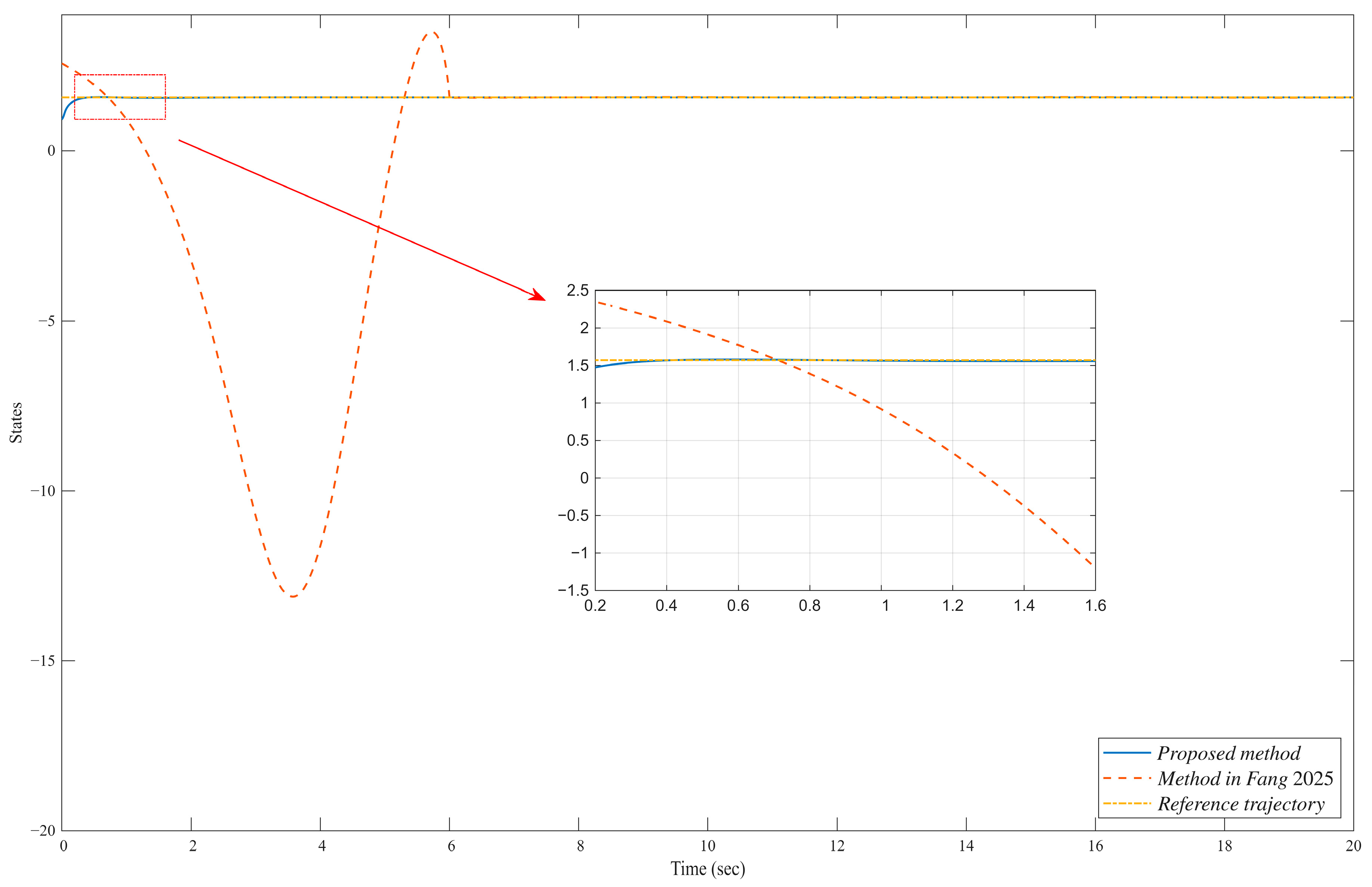
4. Simulation
5. Conclusions
Author Contributions
Funding
Data Availability Statement
Conflicts of Interest
References
- Yang, D.; Liu, W.; Li, Z. Adaptive Neural Control with Guaranteed Performance for Mechanical Systems under Uncertain Initial Conditions: A Time-Varying Neuron Approach. IEEE Trans. Syst. Man Cybern. Syst. 2024, 54, 6194–6204. [Google Scholar] [CrossRef]
- Zuo, Y.; Mei, J.; Zhang, X.; Lee, C.H.T. Simultaneous Identification of Multiple Mechanical Parameters in a Servo Drive System Using Only One Speed. IEEE Trans. Power Electron. 2021, 36, 716–726. [Google Scholar] [CrossRef]
- Baspinar, C. Generalized Swing-Up Control of Underactuated Mechanical Systems. IEEE Control Syst. Lett. 2022, 6, 2144–2149. [Google Scholar] [CrossRef]
- Liu, X.; Wang, Y.; Zhou, Z.; Nam, K.; Wei, C.; Yin, C. Trajectory Prediction of Preceding Target Vehicles Based on Lane Crossing and Final Points Generation Model Considering Driving Styles. IEEE Trans. Veh. Technol. 2021, 70, 8720–8730. [Google Scholar] [CrossRef]
- Cortez, W.S.; Oetomo, D.; Manzie, C.; Choong, P. Control Barrier Functions for Mechanical Systems: Theory and Application to Robotic Grasping. IEEE Trans. Control Syst. Technol. 2021, 29, 530–545. [Google Scholar] [CrossRef]
- Sun, Q.; Yang, G.; Wang, X.; Chen, Y.H. Designing Robust Control for Mechanical Systems: Constraint Following and Multivariable Optimization. IEEE Trans. Ind. Inform. 2020, 16, 5267–5275. [Google Scholar] [CrossRef]
- Yao, D.; Wu, Y.; Ren, H.; Li, H.; Shi, Y. Event-Based Adaptive Sliding-Mode Containment Control for Multiple Networked Mechanical Systems with Parameter Uncertainties. IEEE Trans. Autom. Sci. Eng. 2025, 22, 264–275. [Google Scholar] [CrossRef]
- Shen, Q.; Shi, P.; Lim, C.P. Fuzzy Adaptive Fault-Tolerant Stability Control Against Novel Actuator Faults and Its Application to Mechanical Systems. IEEE Trans. Fuzzy Syst. 2024, 32, 2331–2340. [Google Scholar] [CrossRef]
- Lima, G.d.S.; Bessa, W.M. Sliding Mode Control with Gaussian Process Regression for Underactuated Mechanical Systems. IEEE Lat. Am. Trans. 2022, 20, 963–969. [Google Scholar] [CrossRef]
- Tong, X.; Ding, Q.; Cheng, S.S. Global Coordinated Stabilization of Multiple Simple Mechanical Control Systems on a Class of Lie Groups. IEEE Trans. Autom. Control 2025, 70, 2043–2050. [Google Scholar] [CrossRef]
- Lu, B.; Fang, Y. Online Trajectory Planning Control for a Class of Underactuated Mechanical Systems. IEEE Trans. Autom. Control 2024, 69, 442–448. [Google Scholar] [CrossRef]
- Nowicki, M.; Respondek, W. Mechanical Feedback Linearization of Single-Input Mechanical Control Systems. IEEE Trans. Autom. Control 2023, 68, 7966–7973. [Google Scholar] [CrossRef]
- Sakata, N.; Fujimoto, K.; Maruta, I. Passivity-Based Sliding Mode Control for Mechanical Port-Hamiltonian Systems. IEEE Trans. Autom. Control 2024, 69, 5605–5612. [Google Scholar] [CrossRef]
- Espindola, E.; Tang, Y. Geometric sliding mode control of mechanical systems on Lie groups. Automatica 2025, 177, 112346. [Google Scholar] [CrossRef]
- Xiao, B.; Yin, S.; Gao, H. Reconfigurable Tolerant Control of Uncertain Mechanical Systems with Actuator Faults: A Sliding Mode Observer-Based Approach. IEEE Trans. Control Syst. Technol. 2018, 26, 1249–1258. [Google Scholar] [CrossRef]
- Suttner, R. Extremum-Seeking Control for a Class of Mechanical Systems. IEEE Trans. Autom. Control 2023, 68, 1200–1207. [Google Scholar] [CrossRef]
- Suttner, R.; Krstić, M. Extremum seeking control for fully actuated mechanical systems on Lie groups in the absence of dissipation. Automatica 2023, 152, 110945. [Google Scholar] [CrossRef]
- Sun, L.; Jiang, J. Adaptive State-Feedback Shared Control for Constrained Uncertain Mechanical Systems. IEEE Trans. Autom. Control 2022, 67, 949–956. [Google Scholar] [CrossRef]
- Niu, B.; Zhang, Y.; Zhao, X.; Wang, H.; Sun, W. Adaptive Predefined-Time Bipartite Consensus Tracking Control of Constrained Nonlinear MASs: An Improved Nonlinear Mapping Function Method. IEEE Trans. Cybern. 2023, 53, 6017–6026. [Google Scholar] [CrossRef] [PubMed]
- Zhang, J.; Niu, B.; Wang, D.; Wang, H.; Duan, P.; Zong, G. Adaptive Neural Control of Nonlinear Nonstrict Feedback Systems with Full-State Constraints: A Novel Nonlinear Mapping Method. IEEE Trans. Neural Netw. Learn. Syst. 2023, 34, 999–1007. [Google Scholar] [CrossRef] [PubMed]
- Li, B.; Wen, S.; Yan, Z.; Wen, G.; Huang, T. A Survey on the Control Lyapunov Function and Control Barrier Function for Nonlinear-Affine Control Systems. IEEE/CAA J. Autom. Sin. 2023, 10, 584–602. [Google Scholar] [CrossRef]
- Liu, A.; Li, H. Stabilization of Delayed Boolean Control Networks with State Constraints: A Barrier Lyapunov Function Method. IEEE Trans. Circuits Syst. II Express Briefs 2021, 68, 2553–2557. [Google Scholar] [CrossRef]
- Liu, J. Converse Barrier Functions via Lyapunov Functions. IEEE Trans. Autom. Control 2022, 67, 497–503. [Google Scholar] [CrossRef]
- Sui, S.; Chen, C.L.P.; Tong, S. A Novel Full Errors Fixed-Time Control for Constraint Nonlinear Systems. IEEE Trans. Autom. Control 2023, 68, 2568–2575. [Google Scholar] [CrossRef]
- Zhang, T.; Xia, M.; Yi, Y. Adaptive neural dynamic surface control of strict-feedback nonlinear systems with full state constraints and unmodeled dynamics. Automatica 2017, 81, 232–239. [Google Scholar] [CrossRef]
- Zhang, Y.; Pang, K.; Chen, J.; Li, K.; Hua, C. Adaptive Control for Nonlinear Systems with Both Tracking Error Constraints and Full-State Constraints: A Universal Constraint Approach. IEEE Trans. Autom. Control 2025, 1–8. [Google Scholar] [CrossRef]
- Cheng, W.; Zhang, K.; Jiang, B. Practical Predefined-Time Fault-Tolerant Optimal Control for Heterogeneous Multiagent Systems Under Directed Graph. IEEE Trans. Cybern. 2025, 1–13. [Google Scholar] [CrossRef]
- Yue, X.; Zhang, H.; Ma, J. Predefined-Time Safe Cooperative Control for Multiagent Systems with Privacy Preservation and Unknown Disturbances. IEEE Trans. Cybern. 2026, 56, 404–413. [Google Scholar] [CrossRef]
- Han, H.; Ji, W.; Liu, Z.; Sun, H.; Qiao, J. Predefined-Time Adaptive Neural Control for Nonlinear Systems with Unknown Interconnections. IEEE Trans. Cybern. 2025, 55, 2608–2620. [Google Scholar] [CrossRef]
- Xie, X.; Liu, Y.; Li, Q. Neural network-based adaptive event-triggered control for cyber–physical systems under resource constraints and hybrid cyberattacks. Automatica 2023, 152, 110977. [Google Scholar] [CrossRef]
- Jiang, B.; Shen, Q.; Shi, P. Neural-networked adaptive tracking control for switched nonlinear pure-feedback systems under arbitrary switching. Automatica 2015, 61, 119–125. [Google Scholar] [CrossRef]
- Liu, X.; Zhao, L.; Jin, J. A noise-tolerant fuzzy-type zeroing neural network for robust synchronization of chaotic systems. Concurr. Comput. Pract. Exp. 2024, 36, e8218. [Google Scholar]
- Zamora-Gómez, G.I.; Zavala-Río, A.; López-Araujo, D.J.; Cruz-Zavala, E.; Nuño, E. Continuous Control for Fully Damped Mechanical Systems with Input Constraints: Finite-Time and Exponential Tracking. IEEE Trans. Autom. Control 2020, 65, 882–889. [Google Scholar] [CrossRef]
- Liu, Y.; Sun, R.; Lu, Y.; Chen, W. Nonsingular pliable prescribed performance tracking control for hypersonic flight vehicles in the presence of uncertainties and input saturation. Control Eng. Pract. 2025, 165, 106591. [Google Scholar] [CrossRef]
- Lu, Y.; Liu, W.; Ma, B. Finite-Time Command Filtered Tracking Control for Time-Varying Full State-Constrained Nonlinear Systems with Unknown Input Delay. IEEE Trans. Circuits Syst. II Express Briefs 2022, 69, 4954–4958. [Google Scholar] [CrossRef]
- Wang, F.; He, S.; Zhou, C.; Gao, Y.; Zong, Q. Distributed Practical Finite-Time Formation Control of Quadrotor UAVs Based on Finite-Time Event-Triggered Disturbance Observer. IEEE Syst. J. 2024, 18, 355–366. [Google Scholar] [CrossRef]
- Li, D.; Tong, S.; Yang, H.; Hu, Q. Time-Synchronized Control for Spacecraft Reorientation with Time-Varying Constraints. IEEE/ASME Trans. Mechatron. 2025, 30, 2073–2083. [Google Scholar] [CrossRef]
- Cai, Z.; Huang, L.; Wang, Z. Fixed-Time Control and Estimation of Discontinuous Fuzzy Neural Networks: Novel Lyapunov Method of Fixed-Time Stability. IEEE Trans. Neural Netw. Learn. Syst. 2024, 35, 16616–16629. [Google Scholar] [CrossRef] [PubMed]
- Polyakov, A. Nonlinear Feedback Design for Fixed-Time Stabilization of Linear Control Systems. IEEE Trans. Autom. Control 2012, 57, 2106–2110. [Google Scholar] [CrossRef]
- Ju, X.; Jiang, Y.; Jing, L.; Liu, P. Quantized predefined-time control for heavy-lift launch vehicles under actuator faults and rate gyro malfunctions. ISA Trans. 2023, 138, 133–150. [Google Scholar] [CrossRef] [PubMed]
- Guo, W.; Shi, L.; Sun, W.; Jahanshahi, H. Predefined-Time Average Consensus Control for Heterogeneous Nonlinear Multi-Agent Systems. IEEE Trans. Circuits Syst. II Express Briefs 2023, 70, 2989–2993. [Google Scholar] [CrossRef]
- Tao, M.; Liu, X.; Shao, S.; Cao, J. Predefined-Time Bipartite Consensus of Networked Euler-Lagrange Systems via Sliding-Mode Control. IEEE Trans. Circuits Syst. II Express Briefs 2022, 69, 4989–4993. [Google Scholar] [CrossRef]
- Sui, S.; Chen, C.L.P.; Tong, S. Command Filter-Based Predefined Time Adaptive Control for Nonlinear Systems. IEEE Trans. Autom. Control 2024, 69, 7863–7870. [Google Scholar] [CrossRef]
- Zhang, Y.; Niu, B.; Zhao, X.; Duan, P.; Wang, H.; Gao, B. Global Predefined-Time Adaptive Neural Network Control for Disturbed Pure-Feedback Nonlinear Systems with Zero Tracking Error. IEEE Trans. Neural Netw. Learn. Syst. 2023, 34, 6328–6338. [Google Scholar] [CrossRef] [PubMed]
- Yuan, X.; Chen, B.; Lin, C. Neural Adaptive Fixed-Time Control for Nonlinear Systems with Full-State Constraints. IEEE Trans. Cybern. 2023, 53, 3048–3059. [Google Scholar] [CrossRef] [PubMed]
- Zhen, S.-C.; Zhao, H.; Chen, Y.-H.; Huang, K. A New Lyapunov Based Robust Control for Uncertain Mechanical Systems. Acta Autom. Sin. 2014, 40, 875–882. [Google Scholar] [CrossRef]
- Fang, Y.; Zhang, J.; Li, Y. Neural networks adaptive predefined-time control for pure-feedback nonlinear systems: A case study on robotic exoskeleton systems. Sci. Rep. 2025, 15, 6041. [Google Scholar] [CrossRef]
- Luo, X.; Ge, S.; Wang, J.; Guan, X. Time Delay Estimation-based Adaptive Sliding-Mode Control for Nonholonomic Mobile Robots. Int. J. Appl. Math. Control Eng. 2018, 1, 1–8. [Google Scholar]










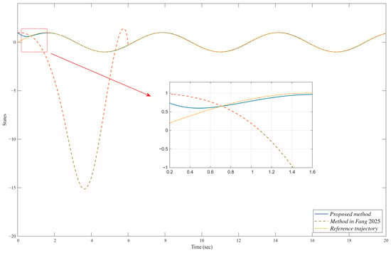
| Metric | Convergence Time | RMS | Maximum | Steady-State Error | Control Effort |
|---|---|---|---|---|---|
| Proposed method | 0.5245 | 0.0873 | 0.8542 | 0.0088 | 1.2831 × 106 |
| Method in [47] | 6.2645 | 4.2432 | 215.5800 | 0.0062 | 2.3881 × 104 |
Disclaimer/Publisher’s Note: The statements, opinions and data contained in all publications are solely those of the individual author(s) and contributor(s) and not of MDPI and/or the editor(s). MDPI and/or the editor(s) disclaim responsibility for any injury to people or property resulting from any ideas, methods, instructions or products referred to in the content. |
© 2026 by the authors. Licensee MDPI, Basel, Switzerland. This article is an open access article distributed under the terms and conditions of the Creative Commons Attribution (CC BY) license.
Share and Cite
Liu, N.; Yu, X.; Zhang, J.; Jiang, Y.; Chin, C.S. Predefined-Time Trajectory Tracking of Mechanical Systems with Full-State Constraints via Adaptive Neural Network Control. Mathematics 2026, 14, 396. https://doi.org/10.3390/math14030396
Liu N, Yu X, Zhang J, Jiang Y, Chin CS. Predefined-Time Trajectory Tracking of Mechanical Systems with Full-State Constraints via Adaptive Neural Network Control. Mathematics. 2026; 14(3):396. https://doi.org/10.3390/math14030396
Chicago/Turabian StyleLiu, Na, Xuan Yu, Jianhua Zhang, Yichen Jiang, and Cheng Siong Chin. 2026. "Predefined-Time Trajectory Tracking of Mechanical Systems with Full-State Constraints via Adaptive Neural Network Control" Mathematics 14, no. 3: 396. https://doi.org/10.3390/math14030396
APA StyleLiu, N., Yu, X., Zhang, J., Jiang, Y., & Chin, C. S. (2026). Predefined-Time Trajectory Tracking of Mechanical Systems with Full-State Constraints via Adaptive Neural Network Control. Mathematics, 14(3), 396. https://doi.org/10.3390/math14030396

