Confidence Intervals for Two Proportions—A Generalized Estimation and Information Assessment
Abstract
1. Introduction
1.1. Generalized Estimation and Information Framework
1.2. Existing Confidence Interval Methods
- Rate Difference (RD) For the rate difference, , the MLE is and the
- Log Rate Ratio (RR) For the log rate ratio, , the MLE is
- Log Odds Ratio (OR) For the log odds ratio, , the MLE is
2. Profile Score Confidence Intervals
2.1. Analysis of 2 × 2 Comparative Trials
- Mean Difference For the mean difference, , the standardized score estimator
- Log Mean Ratio For the log mean ratio, , the standardized score estimator
- Natural Parameter Difference For the natural parameter difference, , the
2.2. Analysis of Independence
2.3. Analysis of Randomized Controlled Trials
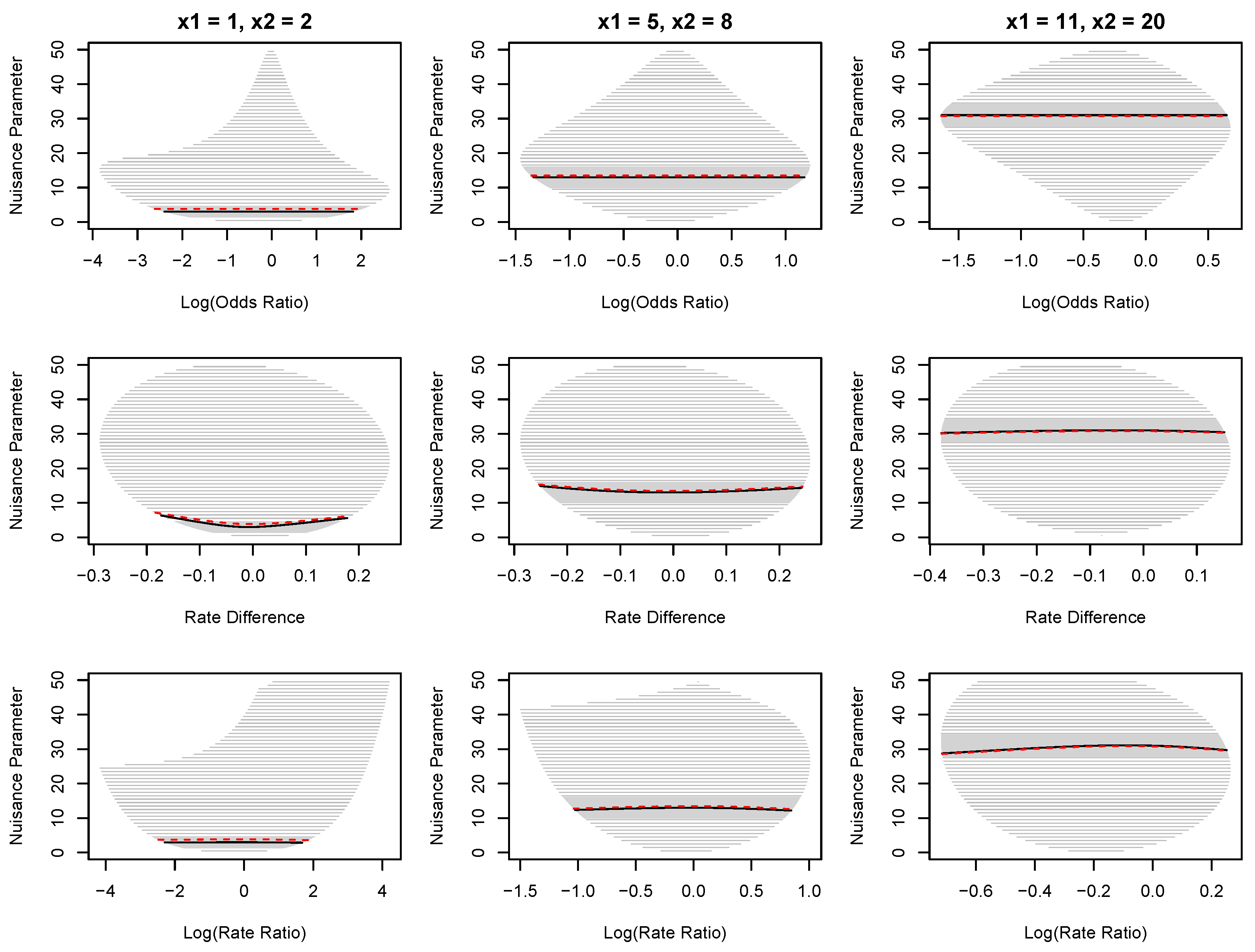
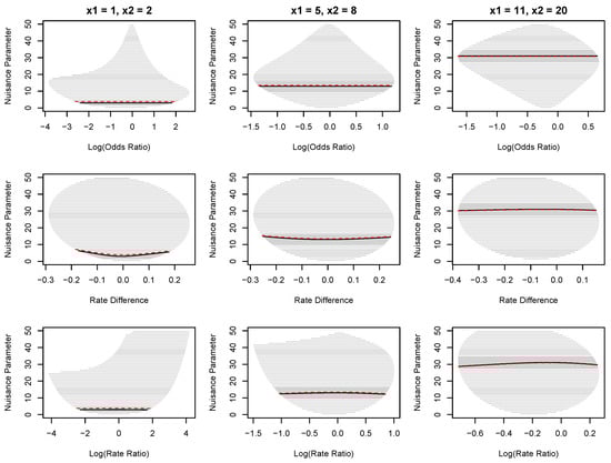
3. Numerical Studies
3.1. Computational Details
3.2. Coverage and Confidence Interval Width
4. Discussion
Author Contributions
Funding
Data Availability Statement
Acknowledgments
Conflicts of Interest
References
- Barnard, G.A. Significance Tests for 2 × 2 Tables. Biometrika 1947, 34, 123–138. [Google Scholar] [CrossRef] [PubMed]
- Agresti, A. Categorical Data Analysis, 2nd ed.; John Wiley & Sons, Inc.: Hokoken, NJ, USA, 2002. [Google Scholar]
- Fleiss, J.L.; Levin, B.; Paik, M.C. Statistical Methods forRates and Proportions, 3rd ed.; John Wiley & Sons, Inc.: Hokoken, NJ, USA, 2003. [Google Scholar]
- Vos, P.W.; Wu, Q. Generalized estimation and information. Inf. Geom. 2025, 8, 99–123. [Google Scholar] [CrossRef]
- Liang, K.Y.; Zeger, S.L. Inference based on estimating functions in the presence of nuisance parameters. Stat. Sci. 1995, 10, 158–173. [Google Scholar] [CrossRef]
- Agresti, A.; Caffo, B. Simple and Effective Confidence Intervals for Proportions and Differences of ProportionsResult from Adding Two Successes and Two Failures. Am. Stat. 2000, 54, 280–288. [Google Scholar] [CrossRef]
- Hauck, W.W.; Anderson, S. A Comparison of Large-Sample Confidence Interval Methods for the Difference of Two Binomial Probabilities. Am. Stat. 1986, 40, 318–322. [Google Scholar] [CrossRef]
- Miettinen, O.; Nurminen, M. Comparative analysis of two rates. Stat. Med. 1985, 4, 213–226. [Google Scholar] [CrossRef] [PubMed]
- Mee, R.W. Confidence bounds for the difference between two probabilities. Biometrics 1984, 40, 1175–1176. [Google Scholar]
- Beal, S.L. Asymptotic Confidence Intervals for the Difference between Two Binomial Parametersfor Use with Small Samples. Biometrics 1987, 43, 941–950. [Google Scholar] [CrossRef] [PubMed]
- Newcombe, R.G. Interval estimation for the difference between independent proportions: Comparison of eleven methods. Stat. Med. 1998, 17, 873–890. [Google Scholar] [CrossRef]
- Barker, L.; Rolka, H.; Rolka, D.; Brown, C. Equivalence Testing for Binomial Random Variables. Am. Stat. 2001, 55, 279–287. [Google Scholar] [CrossRef]
- Santner, T.J.; Snell, M.K. Small-Sample Confidence Intervals for p1–p2 and p1/p2 in 2 × 2 Contingency Tables. J. Am. Stat. Assoc. 1980, 75, 386–394. [Google Scholar]
- Agresti, A. A Survey of Exact Inference for Contingency Tables. Stat. Sci. 1992, 7, 131–153. [Google Scholar] [CrossRef]
- Chan, I.S.; Zhang, Z. Test-based exact confidence intervals for the difference of two binomial proportions. Biometrics 1999, 55, 1202–1209. [Google Scholar] [CrossRef] [PubMed]
- Agresti, A.; Min, Y. On small-sample confidence intervals for parameters in discrete distributions. Biometrics 2001, 57, 963–971. [Google Scholar] [CrossRef] [PubMed]
- Santner, T.J.; Pradhan, V.; Senchaudhuri, P.; Mehta, C.R.; Tamhane, A. Small-sample comparisons of confidence intervals for the difference of two independent binomial proportions. Comput. Stat. Data Anal. 2007, 51, 5791–5799. [Google Scholar] [CrossRef]
- Miettinen, O. Theoretical Epidemiology: Principles of Occurrence in Research Medicine; John Wiley & Sons: Hoboken, NJ, USA, 1985. [Google Scholar]
- Gart, J.J.; Nam, J. Approximate interval estimation of the ratio of binomial parameters: A review and corrections for skewness. Biometrics 1988, 44, 323–338. [Google Scholar] [CrossRef] [PubMed]
- Agresti, A. Categorical Data Analysis, 3rd ed.; John Wiley & Sons: Hoboken, NJ, USA, 2013. [Google Scholar]
- Rothman, K.J.; Greenland, S. Modern Epidemiology, 2nd ed.; Lippincott Williams & Wilkins: Philadelphia, PA, USA, 1998. [Google Scholar]
- Barndorff-Nielsen, O. Information and Exponential Families in Statistical Theory; John Wiley & Sons, Ltd.: New York, NY, USA, 2014. [Google Scholar]
- Cox, D.R.; Reid, N. Parameter Orthogonality and Approximate Conditional Inference. J. R. Stat. Soc. Ser. B Stat. Methodol. 1987, 49, 1–18. [Google Scholar] [CrossRef]





| Sample 1 | Sample 2 | Total | |
|---|---|---|---|
| Success | k | ||
| Failure | |||
| Total | N |
| Confidence Interval Method | Median (Min, Max) | Median (Min, Max) | Median (Min, Max) |
|---|---|---|---|
| Rate difference | |||
| Z-std | 0.950 (0.929, 0.981) | 0.949 (0.929, 0.978) | 0.950 (0.930, 0.981) |
| Z-adj | 0.961 (0.939, 0.992) | 0.955 (0.936, 0.983) | 0.960 (0.943, 0.992) |
| Wald | 0.932 (0.331, 0.955) | 0.939 (0.452, 0.950) | 0.932 (0.453, 0.955) |
| Wald-adj | 0.948 (0.926, 0.999) | 0.948 (0.927, 0.997) | 0.948 (0.927, 0.997) |
| Agresti-Caffo | 0.957 (0.936, 0.992) | 0.954 (0.938, 0.986) | 0.957 (0.937, 0.986) |
| Exact (unconditional) | 0.968 (0.953, 0.992) | 0.984 (0.952, 1.000) | 0.987 (0.952, 1.000) |
| Hauck-Anderson | 0.961 (0.552, 1.000) | 0.960 (0.453, 0.981) | 0.961 (0.453, 0.983) |
| Newcombe (hybrid) | 0.957 (0.881, 0.986) | 0.953 (0.903, 0.982) | 0.961 (0.453, 0.983) |
| Rate ratio | |||
| Z-std | 0.952 (0.905, 0.983) | 0.951 (0.905, 0.976) | 0.952 (0.900, 0.978) |
| Z-adj | 0.960 (0.905, 0.986) | 0.956 (0.905, 0.980) | 0.959 (0.900, 0.986) |
| Wald | 0.958 (0.872, 0.999) | 0.959 (0.919, 0.999) | 0.958 (0.871, 0.999) |
| Wald-adj | 0.948 (0.741, 0.999) | 0.949 (0.740, 0.998) | 0.950 (0.739, 0.999) |
| Exact (unconditional) | 0.977 (0.952, 0.999) | 1.000 (0.963, 1.000) | 1.000 (0.964, 1.000) |
| Likelihood ratio | 0.946 (0.870, 0.994) | 0.948 (0.872, 0.993) | 0.945 (0.863, 0.994) |
| Odds ratio | |||
| Z-std | 0.953 (0.926, 0.972) | 0.952 (0.933, 0.971) | 0.953 (0.926, 0.972) |
| Z-adj | 0.961 (0.939, 0.983) | 0.957 (0.942, 0.983) | 0.961 (0.939, 0.983) |
| Wald | 0.971 (0.947, 0.998) | 0.968 (0.943, 0.997) | 0.971 (0.947, 0.998) |
| Wald-adj | 0.962 (0.875, 0.996) | 0.960 (0.905, 0.996) | 0.962 (0.875, 0.996) |
| Fisher’s exact | 0.980 (0.969, 0.993) | 0.976 (0.967, 0.993) | 0.980 (0.969, 0.993) |
| Likelihood ratio | 0.943 (0.900, 0.984) | 0.943 (0.904, 0.982) | 0.943 (0.900, 0.984) |
| Midp (conditional) | 0.959 (0.942, 0.987) | 0.956 (0.942, 0.986) | 0.959 (0.942, 0.987) |
Disclaimer/Publisher’s Note: The statements, opinions and data contained in all publications are solely those of the individual author(s) and contributor(s) and not of MDPI and/or the editor(s). MDPI and/or the editor(s) disclaim responsibility for any injury to people or property resulting from any ideas, methods, instructions or products referred to in the content. |
© 2025 by the authors. Licensee MDPI, Basel, Switzerland. This article is an open access article distributed under the terms and conditions of the Creative Commons Attribution (CC BY) license.
Share and Cite
Wu, Q.; Vos, P. Confidence Intervals for Two Proportions—A Generalized Estimation and Information Assessment. Mathematics 2026, 14, 45. https://doi.org/10.3390/math14010045
Wu Q, Vos P. Confidence Intervals for Two Proportions—A Generalized Estimation and Information Assessment. Mathematics. 2026; 14(1):45. https://doi.org/10.3390/math14010045
Chicago/Turabian StyleWu, Qiang, and Paul Vos. 2026. "Confidence Intervals for Two Proportions—A Generalized Estimation and Information Assessment" Mathematics 14, no. 1: 45. https://doi.org/10.3390/math14010045
APA StyleWu, Q., & Vos, P. (2026). Confidence Intervals for Two Proportions—A Generalized Estimation and Information Assessment. Mathematics, 14(1), 45. https://doi.org/10.3390/math14010045

