Some Modified Mann-Type Inertial Forward–Backward Iterative Methods for Monotone Inclusion Problems
Abstract
1. Introduction
2. Preliminaries
- (a)
- .
- (b)
- .
- (a)
- averaged, if , where is a nonexpansive and I is identity mapping;
- (b)
- η-Lipschitzian, if ;
- (c)
- contraction, if ;
- (d)
- nonexpansive, if ;
- (e)
- firmly nonexpansive, if ;
- (f)
- ς-inverse strongly monotone (ς-ism), if so that
- (g)
- monotone, if
- (a)
- monotone, if ;
- (b)
- ;
- (c)
- maximal monotone, if Z is monotone and .
- (a)
- Every ς-ism mapping is monotone and -Lipschitzian.
- (b)
- Every averaged mapping is nonexpansive but the converse need not be true, in general.
- (c)
- S is firmly nonexpansive if is firmly nonexpansive.
- (d)
- If and are averaged then is averaged.
- (a)
- If Z is maximal monotone mapping then is single-valued, nonexpansive, and firmly nonexpansive.
- (b)
- is firmly nonexpansive if and only if
- (c)
- The operator is nonexpansive and so it is demiclosed at zero.
- (d)
- σ solves ⇔ .
- (a)
- ,
- (b)
- the sequence and .
- (a)
- ,
- (b)
- .
- (a)
- exists for every ,
- (b)
- any weak cluster point of falls within .
3. Main Contribution
| Algorithm 1 Modified Mann-type inertial forward-backward iterative method-1 |
Choose and are given. Pick the initial points and . Iterative Step: For and iterates , , select , where
Compute
If then exit, or else, assign and back to the computation. |
| Algorithm 2 Modified Mann-type inertial forward-backward iterative method-2 |
Choose and are given. Pick the initial points and . Iterative Step: For and iterates , , select , where Compute
If then exit, or else, assign and back to the computation. |
| Algorithm 3 Modified Mann-type inertial forward-backward iterative method-3 |
Choose and are given. Pick the initial points and . Iterative Step: For and iterates , , select , where
Compute
If then exit, or else, assign and back to the computation. |
4. Theoretical Applications
4.1. The Variational Inequality Problem
4.2. The Convex Optimisation Problem
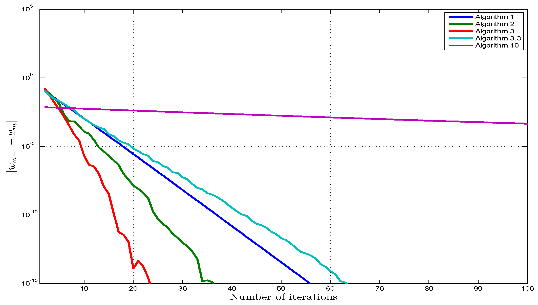
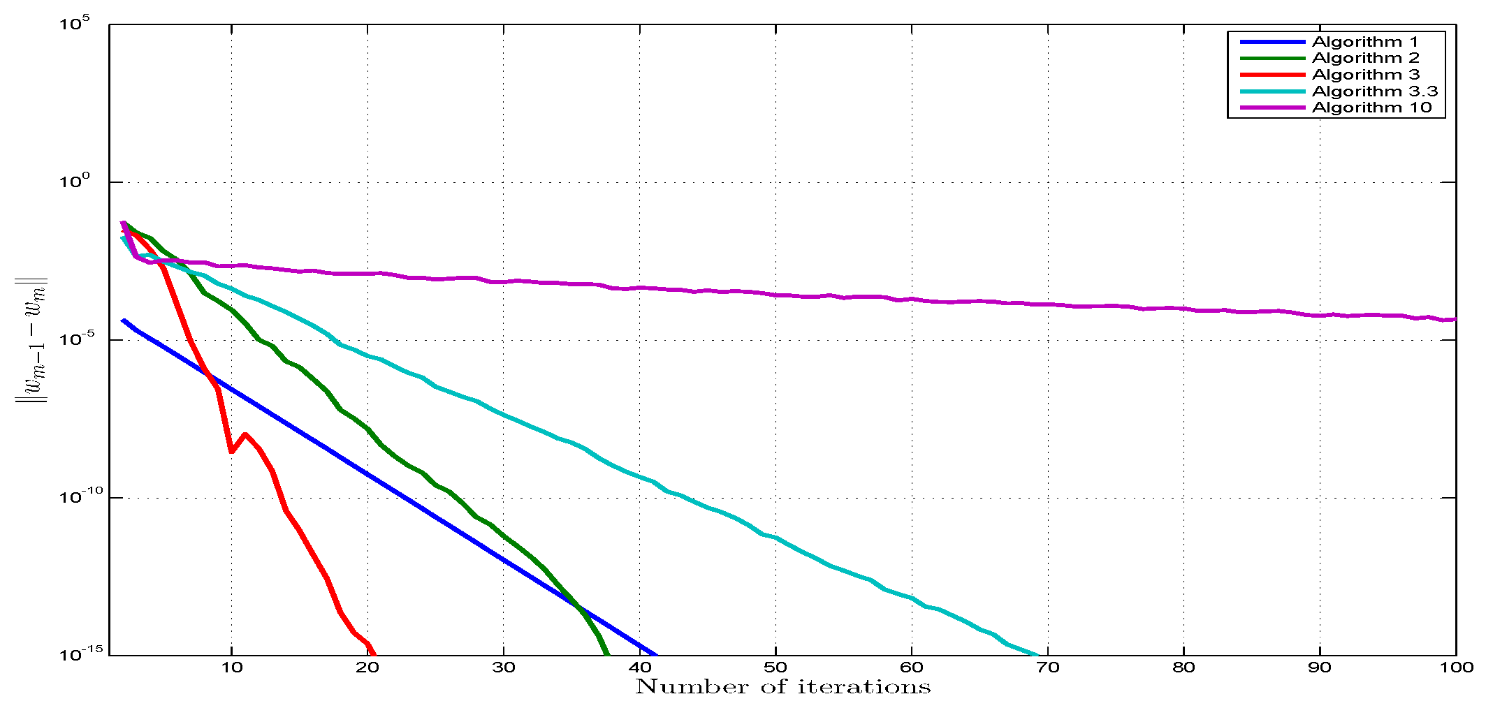
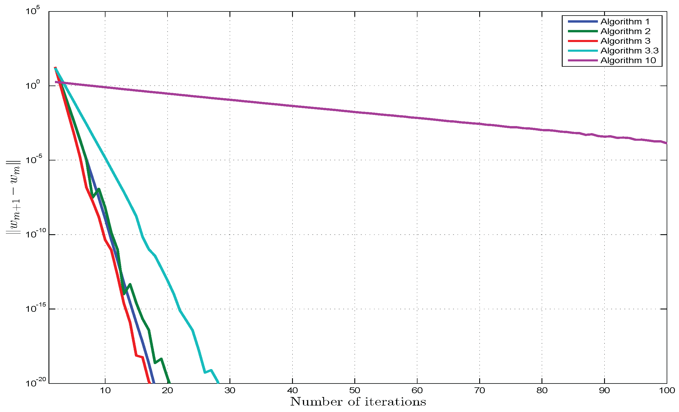
5. Numerical Experiments
6. Conclusions
Author Contributions
Funding
Data Availability Statement
Conflicts of Interest
References
- Baillon, B.; Bruck, R.E.; Reich, S. On the assmptotic behaviour of nonexpansive and semigroups in Banch spaces. Houst. J. Math. 1978, 4, 1–9. [Google Scholar]
- Moudafi, A. Viscosity approximation methods for fixed-points problems. J. Math. Anal. Appl. 2000, 241, 46–55. [Google Scholar] [CrossRef]
- Tan, K.K.; Xu, H.K. Approximating fixed points of nonexpansive mappings by the Ishikawa iteration process. J. Math. Anal. Appl. 1993, 2, 301–308. [Google Scholar] [CrossRef]
- Xu, H.K. Another control condition in an iterative maethod for nonexpansive mappings. Bull. Aust. Math. Soc. 2002, 65, 109–113. [Google Scholar] [CrossRef]
- Mann, W. Mean value methods in iteration. Am. Math. Soc. 1953, 4, 506–510. [Google Scholar] [CrossRef]
- Combettes, P.L.; Wajs, V. Signal recovery by proximal forward–backward splitting. SIAM Multiscale Model. Simul. 2005, 4, 1168–1200. [Google Scholar] [CrossRef]
- Daubechies, I.; Defrise, M.; De Mol, C. An iterative thresholding algorithm for linear inverse problems with a sparsity constraint. Commun. Pure Appl. Math. 2004, 57, 1413–1457. [Google Scholar] [CrossRef]
- Duchi, J.; Singer, Y. Efficient online and batch learning using forward–backward splitting. J. Mach. Learn. Res. 2009, 10, 2899–2934. [Google Scholar]
- Nwawuru, F.O.; Narain, O.K.; Dilshad, M.; Ezeora, J.N. Splitting method involving two-step inertial for solving inclusion and fixed point problems with applications. Fixed Point Theory Algorithms Sci. Eng. 2025, 2025, 8. [Google Scholar] [CrossRef]
- Attouch, H.; Peypouquet, J.; Redont, P. Backward–forward algorithms for structured monotone inclusions in Hilbert spaces. J. Math. Anal. Appl. 2018, 457, 1095–1117. [Google Scholar] [CrossRef]
- Bello Cruz, J.Y.; Millan, R.D. A variant of forward-backward splitting method for the sum of two monotone operators with new search strategy. Optimization 2015, 64, 1471–1486. [Google Scholar] [CrossRef]
- Dang, V.H.; Anh, P.K.; Le, D.M. Modified forward-backward splitting method for variational inclusions. 4OR-Q J. Oper. Res. 2021, 19, 127–151. [Google Scholar]
- Huang, Y.Y.; Dong, Y.D. New properties of forward-backward splitting and a practical proximaldescent algorithm. Appl. Math. Comput. 2014, 237, 60–68. [Google Scholar]
- Lions, P.L.; Mercier, B. Splitting algorithms for the sum of two nonlinear operators. SIAM J. Numer. Anal. 1979, 16, 964–979. [Google Scholar] [CrossRef]
- Moudafi, A.; Oliny, M. Convergence of a splitting inertial proximal method for monotone operators. J. Comput. Appl. Math. 2003, 155, 447–454. [Google Scholar] [CrossRef]
- Passty, G.B. Ergodic convergence to a zero of the sum of monotone operators in Hilbert space. J. Math. Anal. Appl. 1979, 72, 383–390. [Google Scholar] [CrossRef]
- Tseng, P. A modified forward–backward splitting method for maximal monotone mappings. SIAM J. Control Optim. 2000, 38, 431–446. [Google Scholar]
- Alvarez, F.; Attouch, H. An inertial proximal method for maximal monotone operators via discretization of a nonlinear osculattor with damping. Set-Valued Anal. 2001, 9, 3–11. [Google Scholar]
- Cholamjiak, W.; Cholamjiak, P.; Suantai, S. An inertial forward–backward splitting method for solving inclusion problems in Hilbert spaces. J. Fixed Point Theory Appl. 2018, 20, 42. [Google Scholar] [CrossRef]
- Dilshad, M.; Alamrani, F.M.; Alamer, A.; Alshaban, E.; Alshehri, M.G. Viscosity-type inertial iterative methods for variational inclusion and fixed point problems. AIMS Math. 2024, 9, 18553–18573. [Google Scholar] [CrossRef]
- Tang, Y.; Zhang, Y.; Gibali, A. New self-adaptive inertial-like proximal point methods for the split common null point problem. Symmetry 2021, 2021, 2316. [Google Scholar] [CrossRef]
- Qin, X.; Wang, L.; Yao, J.-C. Inertial splitting method for maximal monotone mappings. J. Nonlinear Convex Anal. 2020, 21, 2325–2333. [Google Scholar]
- Tan, B.; Li, S. Strong convergence of inertial Mann algorithms for solving hierarchical fixed point problems. J. Nonlinear Var. Anal. 2020, 4, 337–355. [Google Scholar]
- Lorenz, D.; Pock, T. An inertial forward-backward algorithm for monotone inclusions. J. Math. Imaging Vis. 2015, 51, 311–325. [Google Scholar] [CrossRef]
- Alakoya, T.O.; Ogunsola, O.J.; Mewomo, O.T. An inertial viscosity algorithm for solving monotone variational inclusion and common fixed point problems of strict pseudocontractions. Bol. Soc. Mat. Mex. 2023, 29, 31. [Google Scholar] [CrossRef]
- Malitsky, Y.; Tam, M.K. A forward–backward splitting method formonotone inclusions without cocoercivity. SIAM J Optim. 2020, 30, 1451–1472. [Google Scholar]
- Moudafi, A.; Shehu, Y. Convergence of the forward–backward method for split null-point problems beyond coerciveness. J. Nonlinear Convex Anal. 2019, 20, 1659–1672. [Google Scholar]
- Reich, S.; Taiwo, A. Fast hybrid iterative schemes for solving variational inclusion problems. Math. Methods. Appl. Sci. 2023, 46, 17177–17198. [Google Scholar]
- Shehu, Y.; Yao, J.C. Rate of convergence for inertial iterative method for countable family of certain quasinonexpansive mappings. J. Nonlinear Convex Anal. 2020, 21, 533–541. [Google Scholar]
- Thong, D.; Vinh, N. Inertial methods for fixed point problems and zero point problems of the sum of two monotone mappings. Optimization 2019, 68, 1037–1072. [Google Scholar] [CrossRef]
- Tang, Y.; Lin, H.; Gibali, A.; Cho, Y.J. Convegence analysis and applicatons of the inertial algorithm solving inclusion problems. Appl. Numer. Math. 2022, 175, 1–17. [Google Scholar] [CrossRef]
- Tang, Y.; Gibali, S. Resolvent-free method for solving monotone inclusions. Axioms 2023, 12, 257. [Google Scholar] [CrossRef]
- Bauschke, H.H.; Combettes, P.L. Convex Analysis and Monotone Operator Theory in Hilbert Space; CMS Books in Mathematics; Springer: New York, NY, USA, 2011. [Google Scholar]
- Kreyszig, E. Introductory Functional Analysis with Applications; John Wiley & Sons: New York, NY, USA, 1978. [Google Scholar]
- Censor, Y.; Gibali, A.; Reich, S. Algorithms for the split variational inequality problem. Numer. Algorithms 2012, 59, 301–323. [Google Scholar] [CrossRef]
- Geobel, K.; Kirk, W.A. Topics in Metric Fixed Poit Theory; Cambridge University Press: Cambridge, UK, 1990. [Google Scholar]
- Opial, Z. Weak covergence of the sequence of successive approximations of nonexpansive mappings. Bull. Am. Math. Soc. 1976, 73, 591–597. [Google Scholar] [CrossRef]
- Mainge, P.E. Strong convergence of projected subgradient methods for nonsmooth and nonstrictly convex minimization. Set-Valued Anal. 2008, 16, 899–912. [Google Scholar] [CrossRef]






| Case | Algorithm 1 | Algorithm 2 | Algorithm 3 | Algorithm 3.3 [31] | Algorithm 10 [32] | |||||
|---|---|---|---|---|---|---|---|---|---|---|
| Iter. | CPU (s) | Iter. | CPU (s) | Iter. | CPU (s) | Iter. | CPU (s) | Iter. | CPU (s) | |
| (a) | 19 | 1.18 × 10−5 | 21 | 1.12 × 10−5 | 18 | 1.19 × 10−5 | 29 | 2.1 × 10−5 | >100 | 4.7 × 10−6 |
| (b) | 16 | 1.33 × 10−5 | 22 | 1.34 × 10−5 | 19 | 1.3 × 10−5 | 32 | 2.4 × 10−5 | >100 | 1.95 × 10−5 |
| (c) | 16 | 1.15 × 10−5 | 20 | 1.17 × 10−5 | 21 | 1.34 × 10−5 | 39 | 2.15 × 10−5 | >100 | 5.2 × 10−6 |
| Case | Algorithm 1 | Algorithm 2 | Algorithm 3 | Algorithm 3.3 [31] | Algorithm 10 [32] | |||||
|---|---|---|---|---|---|---|---|---|---|---|
| Iter. | CPU (s) | Iter. | CPU (s) | Iter. | CPU (s) | Iter. | CPU (s) | Iter. | CPU (s) | |
| (a′) | 41 | 1.38 × 10−5 | 39 | 1.31 × 10−5 | 20 | 1.31 × 10−5 | 70 | 2.17 × 10−5 | >100 | 8.6 × 10−6 |
| (b′) | 56 | 1.56 × 10−5 | 37 | 1.37 × 10−5 | 24 | 1.41 × 10−5 | 65 | 2.62 × 10−5 | >100 | 5.7 × 10−6 |
| (c′) | 41 | 1.34 × 10−5 | 40 | 1.33 × 10−5 | 28 | 1.29 × 10−5 | 42 | 2.21 × 10−5 | >100 | 8.3 × 10−6 |
Disclaimer/Publisher’s Note: The statements, opinions and data contained in all publications are solely those of the individual author(s) and contributor(s) and not of MDPI and/or the editor(s). MDPI and/or the editor(s) disclaim responsibility for any injury to people or property resulting from any ideas, methods, instructions or products referred to in the content. |
© 2025 by the authors. Licensee MDPI, Basel, Switzerland. This article is an open access article distributed under the terms and conditions of the Creative Commons Attribution (CC BY) license (https://creativecommons.org/licenses/by/4.0/).
Share and Cite
Dilshad, M.; Al-Dayel, I.; Alshaban, E.; Nasiruzzaman, M. Some Modified Mann-Type Inertial Forward–Backward Iterative Methods for Monotone Inclusion Problems. Mathematics 2025, 13, 4000. https://doi.org/10.3390/math13244000
Dilshad M, Al-Dayel I, Alshaban E, Nasiruzzaman M. Some Modified Mann-Type Inertial Forward–Backward Iterative Methods for Monotone Inclusion Problems. Mathematics. 2025; 13(24):4000. https://doi.org/10.3390/math13244000
Chicago/Turabian StyleDilshad, Mohammad, Ibrahim Al-Dayel, Esmail Alshaban, and Md. Nasiruzzaman. 2025. "Some Modified Mann-Type Inertial Forward–Backward Iterative Methods for Monotone Inclusion Problems" Mathematics 13, no. 24: 4000. https://doi.org/10.3390/math13244000
APA StyleDilshad, M., Al-Dayel, I., Alshaban, E., & Nasiruzzaman, M. (2025). Some Modified Mann-Type Inertial Forward–Backward Iterative Methods for Monotone Inclusion Problems. Mathematics, 13(24), 4000. https://doi.org/10.3390/math13244000

