Stability Study for an Age-Structured Epidemic Model with Latent Phase, Relapse and Nonlinear Infection Rate
Abstract
1. Introduction
2. Preliminaries
2.1. Assumptions and Notations
- The parameters satisfy: Π, μ, α, , and ;
- The function , the nonnegative cone of the Banach space consisting of essentially bounded functions from into .
- The bilinear incidence , where and denotes the transmission rate (see, e.g., [30]), which is extensively used in modeling the transmission of infectious diseases. However, it does not always accurately conform to the complex epidemiological factors influencing the transmission of a disease.
- Saturated incidence rate given by with , where (see, e.g., [31]), This form approaches a saturation threshold as I becomes large, where represents the infection force, and denotes the inhibition effect from the behavioral change in susceptible individuals when their number increases or from the crowding effect of the infective individuals.
2.2. Volterra Formulation
2.3. Well-Posedness
- (i)
- Σ is positively invariant for , i.e., , for and ;
- (ii)
- is point-dissipative and Σ attract all points in .
- (i)
- Positive invariance of Σ. Let , so . Thus, we can have for all , which implies that for all , proving positive invariance.
- (ii)
- Point-dissipativity and attractivity of Σ. For any , we have satisfiesHence as . Therefore, we can easily deduce that the semiflow is point-dissipative and Σ attracts all points in .
- (i)
- ;
- (ii)
- ;
- (iii)
- .
- (i)
- Let and , it follows for all . Hencewhich proves (i).
- (ii)
- Recall the boundary condition . Using the fact that , we can obtainbecause . This is exactly statement (ii).
- (iii)
- Consider the scalar linear equationIts solution satisfies as , and by the comparison principle, we can conclude that for all . Taking the limit inferior yieldswhich proves (iii).
2.4. Asymptotic Smoothness
- (A1)
- ;
- (A2)
- There exists such that has compact closure for each .
- (B1)
- ;
- (B2)
- ;
- (B3)
- ;
- (B4)
- .
2.5. Basic Reproduction Number and Existence of Steady States
- (i)
- (ii)
- Next, in order to find any positive steady state of system (1)–(3), we assume that (i.e., there is a transmission of disease). Notice that since . Then, it followsfrom and , which arises from Assumption 2. Thus, G is monotonically decreasing on . Moreover, by simple calculation, we obtainFor , by L’Hospital rule, we can obtainNotice that, when , it follows that and thus Equation (17) has no positive real root. However, if , it yields which ensures that (17) has a unique positive real root in ), denoted by . Hence, system (1)–(3) has a unique positive steady state .In summary, the following result has been established:
3. Global Stability
3.1. Local Stability of and
- (i)
- The free steady state is locally asymptotically stable if , whereas it is unstable if ;
- (ii)
- The positive steady state is locally asymptotically stable if .
3.2. Global Stability of
3.3. Uniformly Persistence
3.4. Total Trajectory
3.5. Global Stability of
4. Numerical Simulations
4.1. The Model and Initial Data
4.2. Relationship of and Some Key Parameters
4.3. Evolution of the Solutions of System (52)–(54)
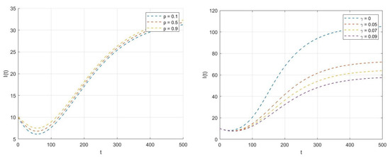
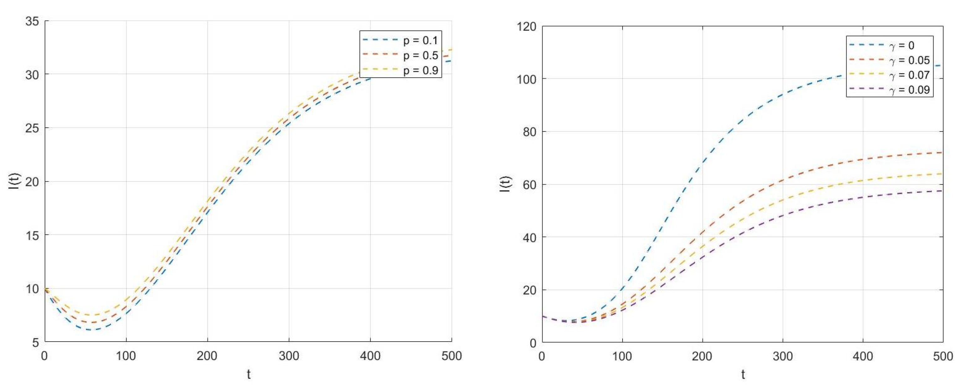
4.4. Dynamical Behavior of Under Variation of p and
5. Conclusions
- : transmission rate per susceptible individual.
- : average duration an individual stays in the infected class.
- : probability that a newly infected individual survives the latency period and becomes infectious.
- : fraction of infected individuals who recover.
- : fraction of recovered individuals who relapse.
- The quantityrepresents the total probability that a recovered individual who experiences relapse will eventually become infectious again. The term p corresponds to the fraction of relapsed individuals who become immediately infectious. The remaining fraction re-enters the latent class, and the factor is the probability that a latent individual survives the latency period and progresses to infectiousness. Therefore,gives the probability that a relapsed individual who returns to latency will eventually reach the infectious class. Summing both contributions gives the overall probability of returning to the infectious class after relapse.
Author Contributions
Funding
Data Availability Statement
Acknowledgments
Conflicts of Interest
References
- Castillo-Chávez, C.; Song, B. Dynamical models of tuberculosis and their applications. Math. Biosci. Eng. 2004, 1, 361–404. [Google Scholar] [CrossRef] [PubMed]
- Diekmann, O.; Heesterbeek, H.; Britton, T. Mathematical Tools for Understanding Infectious Disease Dynamics; Princeton University Press: Princeton, NJ, USA, 2013. [Google Scholar]
- Din, A.; Li, Y. Controlling heroin addiction via age-structured modeling. Adv. Differ. Equ. 2020, 2020, 521. [Google Scholar] [CrossRef]
- Foss, A.M.; Vickerman, P.T.; Chalabi, Z.; Mayaud, P.; Alary, M.; Watts, C.H. Dynamic modelling of herpes simplex virus type-2 (HSV-2) transmission: Issues in structural uncertainty. Bull. Math. Biol. 2009, 71, 720–749. [Google Scholar] [CrossRef]
- Hirsch, W.M.; Hanisch, H.; Gabriel, P. Differential equation models of some parasitic infections: Methods for the study of asymptotic behavior. Commun. Pure Appl. Math. 1985, 38, 733–753. [Google Scholar] [CrossRef]
- Kermack, W.O.; McKendrick, A.G. A contribution to the mathematical theory of epidemics. Proc. R. Soc. Lond. A 1927, 115, 700–721. [Google Scholar]
- Hu, Z.; Teng, Z.; Zhang, L. Stability and bifurcation analysis in a discrete SIR epidemic model. Math. Comput. Simul. 2014, 97, 80–93. [Google Scholar] [CrossRef]
- Tahir, H.; Khan, A.; Din, A.; Khan, A.; Zaman, G. Optimal control strategy for an age-structured SIR endemic model. Discret. Contin. Dyn. Syst. 2021, 14, 2535–2555. [Google Scholar] [CrossRef]
- Xu, R.; Ma, Z. Global stability of an SIR epidemic model with nonlinear incidence rate and time delay. Nonlinear Anal. Real World Appl. 2009, 10, 3175–3189. [Google Scholar] [CrossRef]
- Yuan, X.; Wang, F.; Xue, Y.; Liu, M. Global stability of an SIR model with differential infectivity on complex networks. Phys. A Stat. Mech. Its Appl. 2018, 499, 443–456. [Google Scholar] [CrossRef]
- Zaman, G.; Han, K.Y.; Jung, I.H. Stability analysis and optimal vaccination of an SIR epidemic model. Biosystems 2008, 93, 240–249. [Google Scholar] [CrossRef]
- Brookmeyer, R. Incubation period of infectious diseases. In Wiley StatsRef: Statistics Reference; John Wiley & Sons, Ltd.: Hoboken, NJ, USA, 2015. [Google Scholar]
- McCluskey, C.C. Global stability for an SEIR epidemiological model with varying infectivity and infinite delay. Math. Biosci. Eng. 2009, 6, 603–610. [Google Scholar] [CrossRef]
- Wang, L.; Xu, R. Global stability of an SEIR epidemic model with vaccination. Int. J. Biomath. 2016, 9, 1650082. [Google Scholar] [CrossRef]
- Nabti, A.; Kirane, M. Global dynamics of an age-structured tuberculosis model with a general nonlinear incidence rate. J. Biol. Syst. 2025, 33, 1117–1159. [Google Scholar] [CrossRef]
- Nabti, A. Dynamical analysis of an age-structured SEIR model with relapse. Z. Für Angew. Math. Und Phys. 2024, 75, 32. [Google Scholar] [CrossRef]
- Bernoussi, A. Stability analysis of an SIR epidemic model with homestead-isolation on the susceptible and infectious, immunity, relapse and general incidence rate. Int. J. Biomath. 2023, 16, 2250102. [Google Scholar] [CrossRef]
- Pradeep, B.G.S.A.; Ma, W.; Wang, W. Stability and Hopf bifurcation analysis of an SEIR model with nonlinear incidence rate and relapse. J. Stat. Manag. Syst. 2017, 20, 483–497. [Google Scholar] [CrossRef]
- Tudor, D. A deterministic model for herpes infections in human and animal populations. SIAM Rev. 1990, 32, 136–139. [Google Scholar] [CrossRef]
- Wang, J.; Pang, J.; Liu, X. Modelling diseases with relapse and nonlinear incidence: A multi-group epidemic model. J. Biol. Dyn. 2014, 8, 99–116. [Google Scholar] [CrossRef]
- Wang, J.; Shu, H. Global analysis on a class of multi-group SEIR model with latency and relapse. Math. Biosci. Eng. 2016, 13, 209–225. [Google Scholar] [CrossRef]
- Guo, Z.K.; Xiang, H.; Huo, H.F. Analysis of an age-structured tuberculosis model with treatment and relapse. J. Math. Biol. 2021, 85, 45. [Google Scholar] [CrossRef] [PubMed]
- Liu, L.; Ren, X.; Jin, Z. Threshold dynamical analysis of a class of age-structured tuberculosis model with immigration of population. Adv. Differ. Equ. 2017, 2017, 258. [Google Scholar] [CrossRef][Green Version]
- Henshaw, S.; McCluskey, C.C. Global stability of a vaccination model with immigration. Electron. J. Differ. Equ. 2015, 2015, 1–10. [Google Scholar]
- Liu, W.M.; Levin, S.A.; Iwasa, Y. Influence of nonlinear incidence rates upon the behaviour of SIRS epidemiological models. J. Math. Biol. 1986, 23, 187–204. [Google Scholar] [CrossRef] [PubMed]
- McCluskey, C.C. Global stability for an SEI epidemiological model with continuous age-structure in the exposed and infectious classes. Math. Biosci. Eng. 2012, 9, 819–841. [Google Scholar] [CrossRef] [PubMed]
- Yang, Y.; Li, J.; Zhou, Y. Global stability of two tuberculosis models with treatment and self-cure. Rocky Mt. J. Math. 2012, 42, 1367–1386. [Google Scholar] [CrossRef]
- Barril, C.; Calsina, À; Cuadrado, S.; Ripoll, J. Reproduction number for an age of infection structured model. Math. Model. Nat. Phenom. 2021, 16, 42. [Google Scholar] [CrossRef]
- Calsina, A.; Palmada, J.M.; Ripoll, J. Optimal latent period in a bacteriophage population model structured by infection-age. Math. Model. Methods Appl. Sci. 2011, 21, 693–718. [Google Scholar] [CrossRef]
- Hethcote, H.W. Qualitative analyses of communicable disease models. Math. Biosci. 1976, 28, 335–356. [Google Scholar] [CrossRef]
- Capasso, V.; Serio, A. A generalization of the Kermack-McKendrick deterministic model. Math. Biosci. 1978, 42, 43–61. [Google Scholar] [CrossRef]
- Webb, G.F. Theory of Nonlinear Age-Dependent Population Dynamics; Marcel Dekker: New York, NY, USA, 1985. [Google Scholar]
- Iannelli, M. Mathematical Theory of Age-Structured Population Dynamics; Applied Mathematics Monographs; Comitato Nazionale per le Scienze Matematiche, Consiglio Nazionale delle Ricerche (C.N.R.): Giardini, Italy, 1995; Volume 7. [Google Scholar]
- Magal, P. Compact attractors for time-periodic age-structured population models. Electron. J. Differ. Equ. 2001, 65, 1–35. [Google Scholar]
- Smith, H.L.; Thieme, H.R. Dynamical Systems and Population Persistence. Grad. Stud. Math. 2011, 118, 405. [Google Scholar]
- Diekmann, O.; Heesterbeek, J.A.P.; Metz, J.A.J. On the definition and the computation of the basic reproduction ratio R0 in models for infectious diseases in heterogeneous populations. J. Math. Biol. 1990, 28, 365–382. [Google Scholar] [CrossRef] [PubMed]
- Hale, J.K.; Waltman, P. Persistence in infinite-dimensional systems. SIAM J. Math. Anal. 1989, 20, 388–395. [Google Scholar] [CrossRef]
- Magal, P.; Zhao, X.-Q. Global attractors and steady states for uniformly persistent dynamical systems. SIAM J. Math. Anal. 2005, 37, 251–275. [Google Scholar] [CrossRef]
- Hale, J.K. Dynamical systems and stability. J. Math. Anal. Appl. 1969, 26, 39–59. [Google Scholar] [CrossRef]
- Walker, J.A. Dynamical Systems and Evolution Equations: Theory and Applications; Plenum Press: New York, NY, USA, 1980. [Google Scholar]
- Goh, B.S. Global stability in many species systems. Am. Nat. 1977, 111, 135–142. [Google Scholar] [CrossRef]
- Sigdel, R.P.; McCluskey, C.C. Global stability for an SEI model of infectious disease with immigration. Appl. Math. Comput. 2014, 243, 684–689. [Google Scholar] [CrossRef]
- LaSalle, J.P. The Stability of Dynamical Systems; Regional Conference Series in Applied Mathematics; SIAM: Philadelphia, PA, USA, 1976. [Google Scholar]






Disclaimer/Publisher’s Note: The statements, opinions and data contained in all publications are solely those of the individual author(s) and contributor(s) and not of MDPI and/or the editor(s). MDPI and/or the editor(s) disclaim responsibility for any injury to people or property resulting from any ideas, methods, instructions or products referred to in the content. |
© 2025 by the authors. Licensee MDPI, Basel, Switzerland. This article is an open access article distributed under the terms and conditions of the Creative Commons Attribution (CC BY) license (https://creativecommons.org/licenses/by/4.0/).
Share and Cite
Ghanmi, A.; Nabti, A. Stability Study for an Age-Structured Epidemic Model with Latent Phase, Relapse and Nonlinear Infection Rate. Mathematics 2025, 13, 3994. https://doi.org/10.3390/math13243994
Ghanmi A, Nabti A. Stability Study for an Age-Structured Epidemic Model with Latent Phase, Relapse and Nonlinear Infection Rate. Mathematics. 2025; 13(24):3994. https://doi.org/10.3390/math13243994
Chicago/Turabian StyleGhanmi, Abdeljabbar, and Abderrazak Nabti. 2025. "Stability Study for an Age-Structured Epidemic Model with Latent Phase, Relapse and Nonlinear Infection Rate" Mathematics 13, no. 24: 3994. https://doi.org/10.3390/math13243994
APA StyleGhanmi, A., & Nabti, A. (2025). Stability Study for an Age-Structured Epidemic Model with Latent Phase, Relapse and Nonlinear Infection Rate. Mathematics, 13(24), 3994. https://doi.org/10.3390/math13243994

