Optimal Impulsive Control and Stabilization of Dynamic Systems Based on Quasi-Variational Inequalities
Abstract
1. Introduction
2. Problem Statement and Preliminaries
3. Main Results
4. Numerical Examples
4.1. Linear System
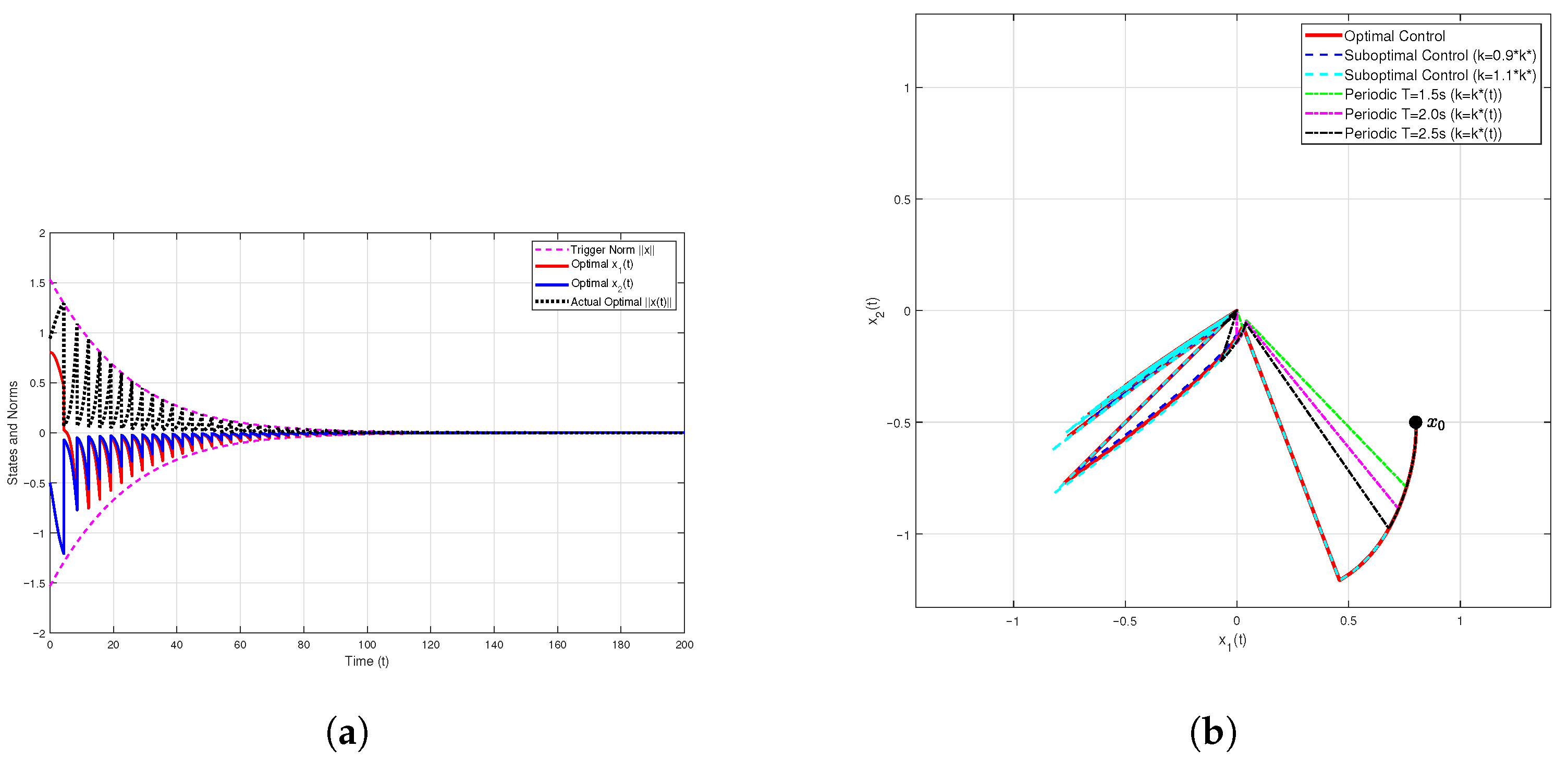
4.2. Two-Dimensional Saddle-Point System
4.3. Nonlinear System
5. Conclusions
Author Contributions
Funding
Data Availability Statement
Conflicts of Interest
References
- Zhang, L.; Lu, J.; Jiang, B.; Huang, C. Distributed synchronization of delayed dynamic networks under asynchronous delay-dependent impulsive control. Chaos Solitons Fractals 2023, 168, 113121. [Google Scholar] [CrossRef]
- Du, S.L.; Qiao, J.; Ho, D.W.; Zhu, L. Fixed-time cooperative relay tracking in multiagent surveillance networks. IEEE Trans. Syst. Man Cybern. Syst. 2018, 51, 487–496. [Google Scholar] [CrossRef]
- He, W.; Qian, F.; Han, Q.; Chen, G. Almost sure stability of nonlinear systems under random and impulsive sequential attacks. IEEE Trans. Autom. Control 2020, 65, 3879–3886. [Google Scholar] [CrossRef]
- Li, H.; Li, C.; Ouyang, D.; Nguang, S.K. Impulsive synchronization of unbounded delayed inertial neural networks with actuator saturation and sampled-data control and its application to image encryption. IEEE Trans. Neural Netw. Learn. Syst. 2020, 32, 1460–1473. [Google Scholar] [CrossRef] [PubMed]
- Chen, Y.; Zhao, Z. Mathematical model for continuous delayed single-species population with impulsive state feedback control. J. Appl. Math. Comput. 2019, 61, 451–460. [Google Scholar] [CrossRef]
- Qiu, R.; Li, R. Finite-time stability of spring-mass system with unilateral impact constraints and frictions. Mod. Phys. Lett. B 2020, 34, 2050341. [Google Scholar] [CrossRef]
- Cui, Q.; Li, L.; Lu, J.; Alofi, A. Finite-time synchronization of complex dynamical networks under delayed impulsive effects. Appl. Math. Comput. 2022, 430, 127290. [Google Scholar] [CrossRef]
- Milman, V.D.; Myshkis, A.D. On the stability of motion in the presence of impulses. Sib. Mat. Zhurnal 1960, 1, 233–237. [Google Scholar]
- Khalil, H.K.; Grizzle, J.W. Nonlinear Systems; Prentice Hall: Upper Saddle River, NJ, USA, 2002; Volume 3. [Google Scholar]
- Lakshmikantham, V.; Bainov, D.D.; Simeonov, P. Theory of Impulsive Differential Equations; World Scientific: London, UK, 1989; Volume 6. [Google Scholar]
- Li, C.; Wu, S.; Feng, G.G.; Liao, X. Stabilizing effects of impulses in discrete-time delayed neural networks. IEEE Trans. Neural Netw. 2011, 22, 323–329. [Google Scholar] [CrossRef]
- Guo, M.; Wang, P. Finite-time stability of non-instantaneous impulsive systems with double state-dependent delays. Appl. Math. Comput. 2024, 477, 128824. [Google Scholar] [CrossRef]
- Yang, X.; Li, C.; Song, Q.; Li, H.; Huang, J. Effects of state-dependent impulses on robust exponential stability of quaternion-valued neural networks under parametric uncertainty. IEEE Trans. Neural Netw. Learn. Syst. 2018, 30, 2197–2211. [Google Scholar] [CrossRef]
- Li, X.; Xing, Y.; Song, S. Nonlinear impulsive control for stability of dynamical systems. Automatica 2025, 178, 112371. [Google Scholar] [CrossRef]
- Liu, X.; Zeng, Y. Analytic and numerical stability of delay differential equations with variable impulses. Appl. Math. Comput. 2019, 358, 293–304. [Google Scholar] [CrossRef]
- Li, C.; Wang, W. Optimal Impulse Control and Impulse Game for Continuous-Time Deterministic Systems: A Review. Artif. Intell. Sci. Eng. 2025, 1, 208–219. [Google Scholar] [CrossRef]
- Zhao, Y.; Li, X.; Cao, J. Global exponential stability for impulsive systems with infinite distributed delay based on flexible impulse frequency. Appl. Math. Comput. 2020, 386, 125467. [Google Scholar] [CrossRef]
- Li, P.; Li, X.; Lu, J. Input-to-state stability of impulsive delay systems with multiple impulses. IEEE Trans. Autom. Control 2020, 66, 362–368. [Google Scholar] [CrossRef]
- Li, X.; Li, P. Stability of time-delay systems with impulsive control involving stabilizing delays. Automatica 2021, 124, 109336. [Google Scholar] [CrossRef]
- Wu, H.; Li, C.; He, Z.; Wang, Y.; He, Y. Lag synchronization of nonlinear dynamical systems via asymmetric saturated impulsive control. Chaos Solitons Fractals 2021, 152, 111290. [Google Scholar] [CrossRef]
- Gao, L.; Wang, D.; Wang, G. Further results on exponential stability for impulsive switched nonlinear time-delay systems with delayed impulse effects. Appl. Math. Comput. 2015, 268, 186–200. [Google Scholar] [CrossRef]
- Liu, S.; Tanwani, A. Impulsive switching signals with functional inequalities: Stability analysis using hybrid systems framework. Automatica 2025, 171, 111928. [Google Scholar] [CrossRef]
- Chen, L.; Cai, C.; Ling, S.; Lun, Y. Stability of delayed systems: Delay-compensatory impulsive control. ISA Trans. 2025, 167, 529–538. [Google Scholar] [CrossRef]
- Miller, B.; Rubinovich, E.J. Optimal impulse control problem with constrained number of impulses. Math. Comput. Simul. 1992, 34, 23–49. [Google Scholar] [CrossRef]
- Ahmed, N. Necessary conditions of optimality for impulsive systems on Banach spaces. Nonlinear Anal. Theory Methods Appl. 2002, 51, 409–424. [Google Scholar] [CrossRef]
- Arutyunov, A.; Jaćimović, V.; Pereira, F. Second order necessary conditions for optimal impulsive control problems. J. Dyn. Control Syst. 2003, 9, 131–153. [Google Scholar] [CrossRef]
- Chahim, M.; Hartl, R.F.; Kort, P.M. A tutorial on the deterministic impulse control maximum principle: Necessary and sufficient optimality conditions. Eur. J. Oper. Res. 2012, 219, 18–26. [Google Scholar] [CrossRef]
- Chahim, M. Impulse Control Maximum Principle: Theory and Applications; CentER, Center for Economic Research: Tilburg, The Netherlands, 2013. [Google Scholar]
- Wu, Z.; Zhang, Y. Maximum principle for conditional mean-field FBSDEs systems with regime-switching involving impulse controls. J. Math. Anal. Appl. 2024, 530, 127720. [Google Scholar] [CrossRef]
- Pakniyat, A.; Caines, P.E. On the hybrid minimum principle: The Hamiltonian and adjoint boundary conditions. IEEE Trans. Autom. Control 2020, 66, 1246–1253. [Google Scholar] [CrossRef]
- Clark, W.; Oprea, M. Symplectic Geometry in Hybrid and Impulsive Optimal Control. arXiv 2025, arXiv:2504.15117. [Google Scholar] [CrossRef]
- Bensoussan, A.; Lions, J.L. Optimal impulse and continuous control: Method of nonlinear quasi-variational inequalities. Tr. Mat. Instituta Im. V.A. Steklova 1975, 134, 5–22. [Google Scholar]
- Haddad, W.M.; L’Afflitto, A. Finite-time stabilization and optimal feedback control. IEEE Trans. Autom. Control 2015, 61, 1069–1074. [Google Scholar] [CrossRef]
- L’Afflitto, A.; Haddad, W.M.; Bakolas, E. Partial-state stabilization and optimal feedback control. Int. J. Robust Nonlinear Control 2016, 26, 1026–1050. [Google Scholar] [CrossRef]
- L’Afflitto, A. Differential games, continuous Lyapunov functions, and stabilisation of non-linear dynamical systems. IET Control Theory Appl. 2017, 11, 2486–2496. [Google Scholar] [CrossRef]
- L’Afflitto, A. Differential games, finite-time partial-state stabilisation of nonlinear dynamical systems, and optimal robust control. Int. J. Control 2017, 90, 1861–1878. [Google Scholar] [CrossRef]
- L’Afflitto, A. Differential games, partial-state stabilization, and model reference adaptive control. J. Frankl. Inst. 2017, 354, 456–478. [Google Scholar] [CrossRef]
- Naim, W. Data Importance in Power System Asset Management. Ph.D. Thesis, KTH Royal Institute of Technology, Stockholm, Sweden, 2024. [Google Scholar]
- Qi, Q.; Qiu, Z.; Ji, Z. Optimal continuous/impulsive LQ control with quadratic constraints. IEEE Access 2019, 7, 52955–52963. [Google Scholar] [CrossRef]
- Claeys, M.; Arzelier, D.; Henrion, D.; Lasserre, J.B. Measures and LMIs for impulsive nonlinear optimal control. IEEE Trans. Autom. Control 2013, 59, 1374–1379. [Google Scholar] [CrossRef]
- Avrachenkov, K.; Habachi, O.; Piunovskiy, A.; Zhang, Y. Infinite horizon optimal impulsive control with applications to Internet congestion control. Int. J. Control 2015, 88, 703–716. [Google Scholar] [CrossRef]
- Liu, X.; Li, S. Optimal control for a class of impulsive switched systems. J. Control Decis. 2023, 10, 529–537. [Google Scholar] [CrossRef]
- Haddad, W.M.; Nersesov, S.G.; Chellaboina, V. Energy-based control for hybrid port-controlled Hamiltonian systems. Automatica 2003, 39, 1425–1435. [Google Scholar] [CrossRef]
- Ramirez, N.F.; Ríos-Rivera, D.; Hernandez-Vargas, E.A.; Alanis, A.Y. Inverse optimal impulsive neural control for complex networks applied to epidemic diseases. Systems 2022, 10, 204. [Google Scholar] [CrossRef]
- Haddad, W.M.; Chellaboina, V.; Kablar, N.A. Non-linear impulsive dynamical systems. Part II: Stability of feedback interconnections and optimality. Int. J. Control 2001, 74, 1659–1677. [Google Scholar] [CrossRef]
- Hernandez-Mejia, G.; Alanis, A.Y.; Hernandez-Gonzalez, M.; Findeisen, R.; Hernandez-Vargas, E.A. Passivity-based inverse optimal impulsive control for influenza treatment in the host. IEEE Trans. Control Syst. Technol. 2019, 28, 94–105. [Google Scholar] [CrossRef]
- Cao, W.; Liu, L.; Ye, Z.; Zhang, D.; Feng, G. Resilient Global Practical Fixed-Time Cooperative Output Regulation of Uncertain Nonlinear Multi-Agent Systems Subject to Denial-of-Service Attacks. IEEE Trans. Autom. Control 2025. [Google Scholar] [CrossRef]
- Zhang, D.; Chen, H.; Lu, Q.; Deng, C.; Feng, G. Finite-time cooperative output regulation of heterogeneous nonlinear multi-agent systems under switching DoS attacks. Automatica 2025, 173, 112062. [Google Scholar] [CrossRef]






Disclaimer/Publisher’s Note: The statements, opinions and data contained in all publications are solely those of the individual author(s) and contributor(s) and not of MDPI and/or the editor(s). MDPI and/or the editor(s) disclaim responsibility for any injury to people or property resulting from any ideas, methods, instructions or products referred to in the content. |
© 2025 by the authors. Licensee MDPI, Basel, Switzerland. This article is an open access article distributed under the terms and conditions of the Creative Commons Attribution (CC BY) license (https://creativecommons.org/licenses/by/4.0/).
Share and Cite
Wang, W.; Li, C.; Huan, M. Optimal Impulsive Control and Stabilization of Dynamic Systems Based on Quasi-Variational Inequalities. Mathematics 2025, 13, 3864. https://doi.org/10.3390/math13233864
Wang W, Li C, Huan M. Optimal Impulsive Control and Stabilization of Dynamic Systems Based on Quasi-Variational Inequalities. Mathematics. 2025; 13(23):3864. https://doi.org/10.3390/math13233864
Chicago/Turabian StyleWang, Wenxuan, Chuandong Li, and Mingchen Huan. 2025. "Optimal Impulsive Control and Stabilization of Dynamic Systems Based on Quasi-Variational Inequalities" Mathematics 13, no. 23: 3864. https://doi.org/10.3390/math13233864
APA StyleWang, W., Li, C., & Huan, M. (2025). Optimal Impulsive Control and Stabilization of Dynamic Systems Based on Quasi-Variational Inequalities. Mathematics, 13(23), 3864. https://doi.org/10.3390/math13233864
