Gaussian Learning-Based Pareto Evolutionary Algorithm for Parallel Machine Planning in Industrial Silicon Production
Abstract
1. Introduction
2. Related Work
2.1. Classical MOEAs
2.2. Surrogate-Assisted MOEAs
2.3. Estimation of Distribution Algorithms (EDAs)
2.4. Analysis and Proposed Approach
3. Mathematical Model of HPMPP
3.1. Assumptions
3.2. Parameters
3.3. Decision Variables
| Production volume of month on machine ; | |
| Cumulative amount of unfulfilled demand in month i; | |
| Unfulfilled demand in month i; | |
| Load of machine j. |
3.4. Objective Functions
3.5. Carbon Emission Factor Prediction
3.5.1. Datasets and Preprocessing
3.5.2. Feature Engineering
3.5.3. Model Structure and Loss Function
3.5.4. Model Parameters
3.5.5. Evaluation and Prediction Results
4. Proposed GLPEA for HPMPP
4.1. Proposed Problem-Specific Repair Operator
| Algorithm 1 Proposed problem-specific repair operator |
|
4.2. Gaussian Mixture Model
4.2.1. Univariate Gaussian Distribution
4.2.2. Multivariate Gaussian Distribution
4.2.3. Adopted Gaussian Mixture Model
4.3. Main Framework of GLPEA
| Algorithm 2 Main framework of GLPEA |
|
4.4. Proposed Gaussian Model Training Strategy Based on Perturbed Solutions
| Algorithm 3 Gaussian model training strategy based on perturbed solutions |
|
4.5. Gaussian Mixture Model Combined Evolutionary Method
4.6. Binary Tournament Parent Selection
| Algorithm 4 Proposed GMM combined evolutionary method |
|
| Algorithm 5 Adopted binary tournament selection operator |
|
5. Experiment Results and Comparisons
5.1. Test Instances and Experimental Design
5.2. Performance Metrics
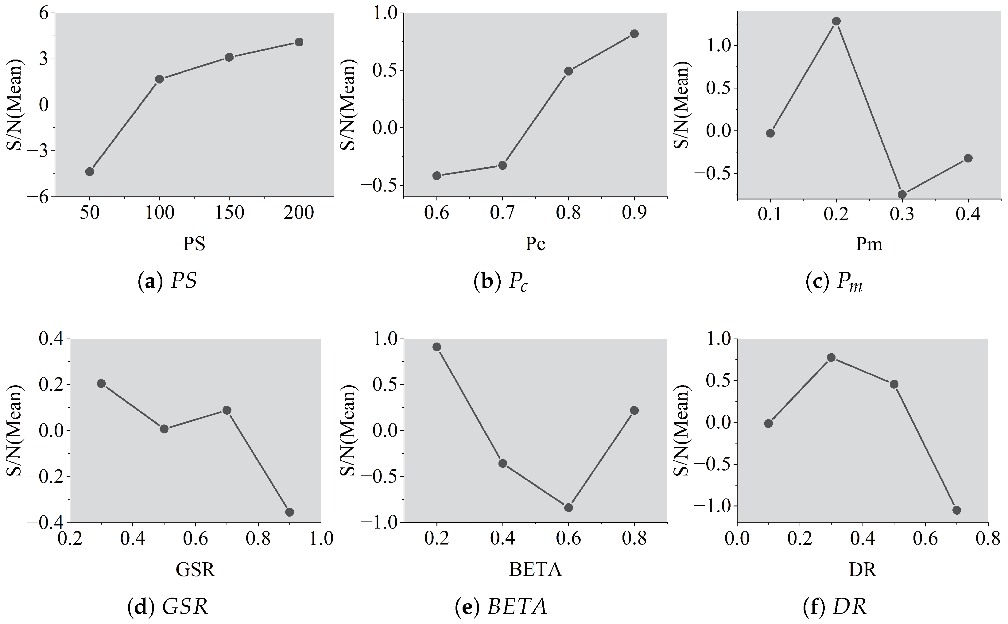
5.3. Parameter Settings
5.4. Effectiveness of GLPEA’s Search Components
5.5. Comparisons with State-of-the-Art MOEAs
5.6. Computational Overhead and Limitations Analysis
5.6.1. Analysis of Computational Time
5.6.2. Analysis of Computational Complexity
5.6.3. Method Limitations and Industrial Applicability
5.7. Discussions
5.7.1. Trends of IGD and HV Achieved by GLPEA, NSGA-II, and MOEA/D
5.7.2. APFs Solved by GLPEA, NSGA-II, and MOEA/D
6. Conclusions
Author Contributions
Funding
Data Availability Statement
Conflicts of Interest
References
- Chen, Z.; Ma, W.; Wu, J.; Wei, K.; Lei, Y.; Lv, G. A study of the performance of submerged arc furnace smelting of industrial silicon. Silicon 2018, 10, 1121–1127. [Google Scholar] [CrossRef]
- Li, Z.C.; Qian, B.; Hu, R.; Chang, L.L.; Yang, J.B. An elitist nondominated sorting hybrid algorithm for multi-objective flexible job-shop scheduling problem with sequence-dependent setups. Knowl.-Based Syst. 2019, 173, 83–112. [Google Scholar] [CrossRef]
- Fallahi, A.; Shahidi-Zadeh, B.; Niaki, S.T.A. Unrelated parallel batch processing machine scheduling for production systems under carbon reduction policies: NSGA-II and MOGWO metaheuristics. Soft Comput. 2023, 27, 17063–17091. [Google Scholar] [CrossRef]
- Seada, H.; Deb, K. Effect of selection operator on NSGA-III in single, multi, and many-objective optimization. In Proceedings of the 2015 IEEE Congress on Evolutionary Computation (CEC), Sendai, Japan, 25–28 May 2015; pp. 2915–2922. [Google Scholar] [CrossRef]
- Tian, Y.; Cheng, R.; Zhang, X.; Su, Y.; Jin, Y. A Strengthened Dominance Relation Considering Convergence and Diversity for Evolutionary Many-Objective Optimization. IEEE Trans. Evol. Comput. 2018, 23, 331–345. [Google Scholar] [CrossRef]
- Li, J.; Nehorai, A. Gaussian mixture learning via adaptive hierarchical clustering. Signal Process. 2018, 150, 116–121. [Google Scholar] [CrossRef]
- Deb, K.; Pratap, A.; Agarwal, S.; Meyarivan, T. A fast and elitist multiobjective genetic algorithm: NSGA-II. IEEE Trans. Evol. Comput. 2002, 6, 182–197. [Google Scholar] [CrossRef]
- Zitzler, E.; Laumanns, M.; Thiele, L. SPEA2: Improving the strength Pareto evolutionary algorithm. TIK Rep. 2001, 103. [Google Scholar] [CrossRef]
- Zhang, Q.; Li, H. MOEA/D: A multiobjective evolutionary algorithm based on decomposition. IEEE Trans. Evol. Comput. 2008, 11, 712–731. [Google Scholar] [CrossRef]
- Jaszkiewicz, A. On the performance of multiple-objective genetic local search on the 0/1 knapsack problem: A comparative experiment. IEEE Trans. Evol. Comput. 2002, 6, 402–412. [Google Scholar] [CrossRef]
- Zitzler, E.; Künzli, S. Indicator-based selection in multi-objective search. In International Conference on Parallel Problem Solving from Nature; Springer: Berlin/Heidelberg, Germany, 2004; pp. 832–842. [Google Scholar]
- Beume, N.; Naujoks, B.; Emmerich, M. SMS-EMOA: Multi-objective selection based on dominated hypervolume. Eur. J. Oper. Res. 2007, 181, 1653–1669. [Google Scholar] [CrossRef]
- Bandyopadhyay, S.; Bhattacharya, R. Solving multi-objective parallel machine scheduling problem by a modified NSGA-II. Appl. Math. Model. 2013, 37, 6718–6729. [Google Scholar] [CrossRef]
- Rego, M.F.; Pinto, J.C.E.; Cota, L.P.; Souza, M.J. A mathematical formulation and an NSGA-II algorithm for minimizing the makespan and energy cost under time-of-use electricity price in an unrelated parallel machine scheduling. PeerJ Comput. Sci. 2022, 8, e844. [Google Scholar] [CrossRef]
- Wang, Z.; Hong, H.; Ye, K.; Zhang, G.E.; Jiang, M.; Tan, K.C. Manifold interpolation for large-scale multiobjective optimization via generative adversarial networks. IEEE Trans. Neural Netw. Learn. Syst. 2021, 34, 4631–4645. [Google Scholar] [CrossRef] [PubMed]
- Zheng, W.; Doerr, B. Runtime analysis for the NSGA-II: Proving, quantifying, and explaining the inefficiency for many objectives. IEEE Trans. Evol. Comput. 2023, 28, 1442–1454. [Google Scholar] [CrossRef]
- Balekelayi, N.; Woldesellasse, H.; Tesfamariam, S. Comparison of the performance of a surrogate based Gaussian process, NSGA2 and PSO multi-objective optimization of the operation and fuzzy structural reliability of water distribution system: Case study for the City of Asmara, Eritrea. Water Res. Manag. 2022, 36, 6169–6185. [Google Scholar] [CrossRef]
- Rossmann, J.; Kamper, M.J.; Hackl, C.M. A Global Multi-Objective Bayesian Optimization Framework for Generic Machine Design Using Gaussian Process Regression. IEEE Trans. Energy Convers. 2025, 40, 2384–2398. [Google Scholar] [CrossRef]
- Hebbal, A.; Balesdent, M.; Brevault, L.; Melab, N.; Talbi, E.G. Deep Gaussian process for multi-objective Bayesian optimization. Optim. Eng. 2023, 24, 1809–1848. [Google Scholar] [CrossRef]
- Wu, H.; Jin, Y.; Gao, K.; Ding, J.; Cheng, R. Surrogate-assisted evolutionary multi-objective optimization of medium-scale problems by random grouping and sparse Gaussian modeling. IEEE Trans. Emerg. Top. Comput. Intell. 2024, 8, 3263–3278. [Google Scholar] [CrossRef]
- Ravi, K.; Fediukov, V.; Dietrich, F.; Neckel, T.; Buse, F.; Bergmann, M.; Bungartz, H.J. Multi-fidelity Gaussian process surrogate modeling for regression problems in physics. Mach. Learn. Sci. Technol. 2024, 5, 045015. [Google Scholar] [CrossRef]
- Chen, N.; Digel, C.; Doppelbauer, M. Uncertainty Quantification-Based Multi-Objective Optimization Design of Electrical Machines Using Probabilistic Metamodels. IEEE Trans. Energy Convers. 2024, 40, 860–872. [Google Scholar] [CrossRef]
- Zhang, H.; Ding, J.; Jiang, M.; Tan, K.C.; Chai, T. Inverse gaussian process modeling for evolutionary dynamic multiobjective optimization. IEEE Trans. Cybern. 2021, 52, 11240–11253. [Google Scholar] [CrossRef]
- Yang, Z.; Qiu, H.; Gao, L.; Chen, L.; Liu, J. Surrogate-assisted MOEA/D for expensive constrained multi-objective optimization. Inf. Sci. 2023, 639, 119016. [Google Scholar] [CrossRef]
- Niu, Y.; Shao, J.; Xiao, J.; Song, W.; Cao, Z. Multi-objective evolutionary algorithm based on RBF network for solving the stochastic vehicle routing problem. Inf. Sci. 2022, 609, 387–410. [Google Scholar] [CrossRef]
- Sonoda, T.; Nakata, M. Multiple classifiers-assisted evolutionary algorithm based on decomposition for high-dimensional multiobjective problems. IEEE Trans. Evol. Comput. 2022, 26, 1581–1595. [Google Scholar] [CrossRef]
- Xu, D.; Jiang, M.; Hu, W.; Li, S.; Pan, R.; Yen, G.G. An online prediction approach based on incremental support vector machine for dynamic multiobjective optimization. IEEE Trans. Evol. Comput. 2021, 26, 690–703. [Google Scholar] [CrossRef]
- Zhu, E.; Chen, Z.; Cui, J.; Zhong, H. MOE/RF: A novel phishing detection model based on revised multiobjective evolution optimization algorithm and random forest. IEEE Trans. Netw. Serv. Manag. 2022, 19, 4461–4478. [Google Scholar] [CrossRef]
- De Moraes, M.B.; Coelho, G.P. Effects of the random forests hyper-parameters in surrogate models for multi-objective combinatorial optimization: A case study using moea/d-rfts. IEEE Lat. Am. Trans. 2023, 21, 621–627. [Google Scholar] [CrossRef]
- Hauschild, M.; Pelikan, M. An introduction and survey of estimation of distribution algorithms. Swarm Evol. Comput. 2011, 1, 111–128. [Google Scholar] [CrossRef]
- Wang, F.; Liao, F.; Li, Y.; Wang, H. A new prediction strategy for dynamic multi-objective optimization using Gaussian Mixture Model. Inf. Sci. 2021, 580, 331–351. [Google Scholar] [CrossRef]
- Li, G.; Wang, Z.; Zhang, Q.; Sun, J. Offline and online objective reduction via Gaussian mixture model clustering. IEEE Trans. Evol. Comput. 2022, 27, 341–354. [Google Scholar] [CrossRef]
- Zou, J.; Hou, Z.; Jiang, S.; Yang, S.; Ruan, G.; Xia, Y.; Liu, Y. Knowledge Transfer With Mixture Model in Dynamic Multi-Objective Optimization. IEEE Trans. Evol. Comput. 2025, 29, 1517–1530. [Google Scholar] [CrossRef]
- Lu, C.; Liu, Y.; Zhang, Q. MOEA/D-CMA Made Better with (l+l)-CMA-ES. In Proceedings of the 2024 IEEE Congress on Evolutionary Computation (CEC), Yokohama, Japan, 30 June–5 July 2024; pp. 1–8. [Google Scholar]
- Aggarwal, S.; Tripathi, S. MODE/CMA-ES: Integrated multi-operator differential evolution technique with CMA-ES. Appl. Soft Comput. 2025, 176, 113177. [Google Scholar] [CrossRef]
- Zhang, W.; Wang, S.; Zhou, A.; Zhang, H. A practical regularity model based evolutionary algorithm for multiobjective optimization. Appl. Soft Comput. 2022, 129, 109614. [Google Scholar] [CrossRef]
- Kalita, K.; Ramesh, J.V.N.; Cepova, L.; Pandya, S.B.; Jangir, P.; Abualigah, L. Multi-objective exponential distribution optimizer (MOEDO): A novel math-inspired multi-objective algorithm for global optimization and real-world engineering design problems. Sci. Rep. 2024, 14, 1816. [Google Scholar] [CrossRef] [PubMed]
- Alghamdi, A.S.; Zohdy, M.A. Boosting cuckoo optimization algorithm via Gaussian mixture model for optimal power flow problem in a hybrid power system with solar and wind renewable energies. Heliyon 2024, 10, e31755. [Google Scholar] [CrossRef] [PubMed]
- Guerrero-Peña, E.; Araújo, A.F.R. A new dynamic multi-objective evolutionary algorithm without change detector. In Proceedings of the 2019 IEEE International Conference on Systems, Man and Cybernetics (SMC), Bari, Italy, 6–9 October 2019; pp. 635–640. [Google Scholar]
- Yazdi, F.; Asadi, S. Enhancing Cardiovascular Disease Diagnosis: The Power of Optimized Ensemble Learning. IEEE Access 2025, 13, 46747–46762. [Google Scholar] [CrossRef]
- Zhang, J.; Shi, X. Many-objective evolutionary optimization algorithm based on the Gaussian mixture models. In Proceedings of the Fifth International Conference on Applied Mathematics, Modelling, and Intelligent Computing (CAMMIC 2025), Shanghai, China, 21–23 March 2025; SPIE: Bellingham, WA, USA, 2025; Volume 13644, pp. 457–462. [Google Scholar]
- Abdulghani, A.M.; Abdullah, A.; Rahiman, A.R.; Abdul Hamid, N.A.W.; Akram, B.O. Network-Aware Gaussian Mixture Models for Multi-Objective SD-WAN Controller Placement. Electronics 2025, 14, 3044. [Google Scholar] [CrossRef]
- Hochreiter, S.; Schmidhuber, J. Long short-term memory. Neural Comput. 1997, 9, 1735–1780. [Google Scholar] [CrossRef]
- Bachechi, C.; Rollo, F.; Po, L. Detection and classification of sensor anomalies for simulating urban traffic scenarios. Clust. Comput. 2022, 25, 2793–2817. [Google Scholar] [CrossRef]
- Bergmeir, C.; Benítez, J.M. On the use of cross-validation for time series predictor evaluation. Inf. Sci. 2012, 191, 192–213. [Google Scholar] [CrossRef]
- Box, G. Box and Jenkins: Time series analysis, forecasting and control. In A Very British Affair: Six Britons and the Development of Time Series Analysis During the 20th Century; Palgrave Macmillan UK: London, UK, 2013; pp. 161–215. [Google Scholar]
- Ma, J.; Ding, Y.; Cheng, J.C.; Jiang, F.; Gan, V.J.; Xu, Z. A Lag-FLSTM deep learning network based on Bayesian Optimization for multi-sequential-variant PM2.5 prediction. Sustain. Cities Soc. 2020, 60, 102237. [Google Scholar] [CrossRef]
- Dong, L.; Fang, D.; Wang, X.; Wei, W.; Damaševičius, R.; Scherer, R.; Woźniak, M. Prediction of streamflow based on dynamic sliding window LSTM. Water 2020, 12, 3032. [Google Scholar] [CrossRef]
- Köksoy, O. Multiresponse robust design: Mean square error (MSE) criterion. Appl. Math. Comput. 2006, 175, 1716–1729. [Google Scholar] [CrossRef]
- Applegate, R.A.; Ballentine, C.; Gross, H.; Sarver, E.J.; Sarver, C.A. Visual acuity as a function of Zernike mode and level of root mean square error. Optom. Vis. Sci. 2003, 80, 97–105. [Google Scholar] [CrossRef] [PubMed]
- Sammut, C.; Webb, G.I. Mean absolute error. Encycl. Mach. Learn. 2010, 652, 14. [Google Scholar]
- Hansen, L.P. Generalized Method of Moments Estimation. In The New Palgrave Dictionary of Economics; Palgrave Macmillan: London, UK, 2018. [Google Scholar] [CrossRef]
- Dempster, A.P.; Laird, N.M.; Rubin, D.B. Maximum likelihood from incomplete data via the EM algorithm. J. R. Stat. Soc. Ser. B (Methodol.) 1977, 39, 1–22. [Google Scholar] [CrossRef]
- Babu, B.V.; Jehan, M.M.L. Differential evolution for multi-objective optimization. In Proceedings of the 2003 Congress on Evolutionary Computation, Canberra, Australia, 8–12 December 2003; IEEE: Piscataway, NJ, USA, 2003; Volume 4, pp. 2696–2703. [Google Scholar]
- Schwarz, G. Estimating the dimension of a model. Ann. Stat. 1978, 6, 461–464. [Google Scholar] [CrossRef]
- Riquelme, N.; Von Lücken, C.; Baran, B. Performance metrics in multi-objective optimization. In Proceedings of the 2015 Latin American Computing Conference (CLEI), Arequipa, Peru, 19–23 October 2015; IEEE: Piscataway, NJ, USA, 2015; pp. 1–11. [Google Scholar]
- Woolson, R.F. Wilcoxon signed-rank test. Wiley Encycl. Clin. Trials 2007, 1–3. [Google Scholar] [CrossRef]










| Symbol | Recommended Range of Values | Description |
|---|---|---|
| M | Set of machines and it also denotes the cardinality of the set. | |
| I | Set of months and it also denotes the cardinality of the set. | |
| Number of days in month . Defines the number of days within the production planning period for each month. | ||
| Production demand for month i. Used to constrain the total production of all machines to be equal to the overall demand. | ||
| Carbon emission factor of machine in month . The result value is obtained through Section 3.5.5. | ||
| Rollover penalty coefficient for month i. Used to calculate the monthly rollover penalty, defined as the unfinished production of each month multiplied by the monthly rollover penalty coefficient. | ||
| Scheduled maintenance days for machine j in month i. Used to calculate the remaining monthly rated capacity of machines after subtracting maintenance days from the number of days in the production planning period of each month. | ||
| Maximum monthly production capacity of machine j. Used to impose machine load constraints. |
| Symbol | Recommended Range of Values | Description |
|---|---|---|
| Population size. Determines the total number of solutions (individuals) maintained by the algorithm in each generation. | ||
| Crossover probability. Controls the probability of generating new offspring through the crossover process in traditional genetic operations. | ||
| Mutation probability. Controls the probability of random mutation occurring in offspring individuals during traditional genetic operations. | ||
| Gaussian sampling rate. Determines the proportion of individuals in the new generation that are generated through GMM sampling rather than traditional genetic operations. | ||
| Disturbance scaling factor. Controls the scaling factor used when generating perturbed solutions. | ||
| Disturbed ratio of the Pareto solutions. Determines the proportion of Pareto solutions used to generate “perturbed solutions” in the perturbed solution set training strategy. |
| lstm_unit | dropout_rate | MSE |
|---|---|---|
| 32 | 0.1 | 0.0087 |
| 32 | 0.3 | 0.0078 |
| 32 | 0.5 | 0.0091 |
| 48 | 0.1 | 0.0074 |
| 48 | 0.3 | 0.0067 |
| 48 | 0.5 | 0.0080 |
| 64 | 0.1 | 0.0088 |
| 64 | 0.3 | 0.0079 |
| 64 | 0.5 | 0.0081 |
| Month | #1 | #2 | #3 | #4 | #5 | #6 | #7 |
|---|---|---|---|---|---|---|---|
| 1 | 13.249 | 12.797 | 12.305 | 12.058 | 11.827 | 13.084 | 13.247 |
| 2 | 11.959 | 11.924 | 12.484 | 11.801 | 11.571 | 12.353 | 12.636 |
| 3 | 11.356 | 11.617 | 12.146 | 11.445 | 11.729 | 11.750 | 11.708 |
| 4 | 12.823 | 12.480 | 12.511 | 12.184 | 12.179 | 12.765 | 12.600 |
| 5 | 12.435 | 12.289 | 12.025 | 11.850 | 12.276 | 12.484 | 12.299 |
| 6 | 13.382 | 12.824 | 12.107 | 12.167 | 12.749 | 13.124 | 12.960 |
| 7 | 11.270 | 11.538 | 11.047 | 11.033 | 12.044 | 11.663 | 11.322 |
| 8 | 11.827 | 11.866 | 11.176 | 11.203 | 12.344 | 12.034 | 11.843 |
| 9 | 12.206 | 12.187 | 11.195 | 11.393 | 13.019 | 12.504 | 11.744 |
| 10 | 10.304 | 10.679 | 10.131 | 11.078 | 11.277 | 10.844 | 10.626 |
| 11 | 10.714 | 11.065 | 11.210 | 10.686 | 11.793 | 11.210 | 11.028 |
| 12 | 12.203 | 12.125 | 11.640 | 11.552 | 13.492 | 12.564 | 12.662 |
| Parameter | Level 1 | Level 2 | Level 3 | Level 4 |
|---|---|---|---|---|
| 50 | 100 | 150 | 200 | |
| 0.6 | 0.7 | 0.8 | 0.9 | |
| 0.1 | 0.2 | 0.3 | 0.4 | |
| 0.3 | 0.5 | 0.7 | 0.9 | |
| 0.2 | 0.4 | 0.6 | 0.8 | |
| 0.1 | 0.3 | 0.5 | 0.7 |
| No. | Combination | ||||||
|---|---|---|---|---|---|---|---|
| 1 | 3 | 3 | 3 | 4 | 1 | 1 | 3.075 |
| 2 | 4 | 2 | 3 | 1 | 4 | 1 | 4.106 |
| 3 | 1 | 1 | 1 | 1 | 1 | 1 | −3.595 |
| 4 | 1 | 1 | 3 | 3 | 3 | 4 | −8.018 |
| 5 | 4 | 4 | 4 | 3 | 2 | 1 | 4.511 |
| 6 | 4 | 1 | 1 | 1 | 1 | 2 | 4.061 |
| 7 | 3 | 4 | 1 | 1 | 4 | 4 | 3.433 |
| 8 | 1 | 1 | 1 | 2 | 4 | 1 | −3.975 |
| 9 | 2 | 2 | 2 | 1 | 3 | 1 | 1.692 |
| 10 | 1 | 2 | 1 | 4 | 2 | 2 | −5.032 |
| 11 | 2 | 1 | 4 | 4 | 4 | 3 | 1.597 |
| 12 | 2 | 1 | 1 | 3 | 1 | 1 | 1.502 |
| 13 | 1 | 4 | 2 | 1 | 1 | 3 | −1.217 |
| 14 | 3 | 1 | 2 | 2 | 2 | 1 | 2.902 |
| 15 | 1 | 1 | 3 | 1 | 2 | 3 | −5.308 |
| 16 | 4 | 1 | 2 | 4 | 1 | 4 | 3.643 |
| 17 | 2 | 4 | 3 | 2 | 1 | 2 | 2.415 |
| 18 | 3 | 2 | 1 | 3 | 1 | 3 | 3.059 |
| 19 | 1 | 3 | 4 | 1 | 1 | 1 | −5.297 |
| 20 | 1 | 4 | 1 | 4 | 3 | 1 | −5.052 |
| 21 | 1 | 2 | 4 | 2 | 1 | 4 | −5.454 |
| 22 | 4 | 3 | 1 | 2 | 3 | 3 | 4.153 |
| 23 | 3 | 1 | 4 | 1 | 3 | 2 | 3.031 |
| 24 | 2 | 3 | 1 | 1 | 2 | 4 | 1.142 |
| 25 | 1 | 3 | 2 | 3 | 4 | 2 | −0.608 |
| Instance | GLPEA | GLPEA_V1 | GLPEA_V2 | |||
|---|---|---|---|---|---|---|
| Best | Mean | Best | Mean | Best | Mean | |
| m3i4 | 0.031 | 0.035 | 0.033 | 0.037 | 0.406 | 0.494 |
| m3i6 | 0.035 | 0.038 | 0.036 | 0.040 | 0.347 | 0.415 |
| m3i8 | 0.046 | 0.049 | 0.045 | 0.050 | 0.352 | 0.387 |
| m3i10 | 0.045 | 0.050 | 0.046 | 0.052 | 0.342 | 0.373 |
| m3i12 | 0.042 | 0.050 | 0.045 | 0.053 | 0.385 | 0.429 |
| m5i4 | 0.032 | 0.036 | 0.036 | 0.042 | 0.482 | 0.589 |
| m5i6 | 0.036 | 0.056 | 0.043 | 0.064 | 0.395 | 0.438 |
| m5i8 | 0.044 | 0.049 | 0.045 | 0.052 | 0.340 | 0.407 |
| m5i10 | 0.044 | 0.049 | 0.040 | 0.052 | 0.351 | 0.386 |
| m5i12 | 0.043 | 0.053 | 0.051 | 0.058 | 0.388 | 0.434 |
| m7i4 | 0.040 | 0.049 | 0.045 | 0.053 | 0.449 | 0.500 |
| m7i6 | 0.036 | 0.045 | 0.048 | 0.054 | 0.440 | 0.526 |
| m7i8 | 0.048 | 0.056 | 0.046 | 0.055 | 0.351 | 0.407 |
| m7i10 | 0.051 | 0.058 | 0.046 | 0.058 | 0.373 | 0.416 |
| m7i12 | 0.049 | 0.061 | 0.053 | 0.064 | 0.458 | 0.505 |
| m9i4 | 0.044 | 0.050 | 0.046 | 0.053 | 0.385 | 0.525 |
| m9i6 | 0.043 | 0.055 | 0.047 | 0.060 | 0.378 | 0.520 |
| m9i8 | 0.046 | 0.055 | 0.048 | 0.057 | 0.421 | 0.467 |
| m9i10 | 0.052 | 0.064 | 0.053 | 0.064 | 0.400 | 0.439 |
| m9i12 | 0.051 | 0.066 | 0.056 | 0.069 | 0.529 | 0.560 |
| m11i4 | 0.043 | 0.056 | 0.051 | 0.072 | 0.591 | 0.660 |
| m11i6 | 0.045 | 0.055 | 0.047 | 0.063 | 0.477 | 0.506 |
| m11i8 | 0.044 | 0.055 | 0.046 | 0.056 | 0.367 | 0.388 |
| m11i10 | 0.055 | 0.063 | 0.060 | 0.069 | 0.373 | 0.404 |
| m11i12 | 0.052 | 0.064 | 0.055 | 0.066 | 0.458 | 0.484 |
| m13i4 | 0.056 | 0.063 | 0.057 | 0.074 | 0.530 | 0.574 |
| m13i6 | 0.039 | 0.055 | 0.045 | 0.060 | 0.473 | 0.509 |
| m13i8 | 0.049 | 0.060 | 0.057 | 0.066 | 0.414 | 0.441 |
| m13i10 | 0.055 | 0.067 | 0.054 | 0.067 | 0.360 | 0.391 |
| m13i12 | 0.050 | 0.070 | 0.060 | 0.076 | 0.483 | 0.509 |
| m15i4 | 0.041 | 0.048 | 0.047 | 0.053 | 0.540 | 0.598 |
| m15i6 | 0.048 | 0.062 | 0.058 | 0.075 | 0.541 | 0.570 |
| m15i8 | 0.052 | 0.059 | 0.054 | 0.065 | 0.399 | 0.426 |
| m15i10 | 0.046 | 0.059 | 0.055 | 0.065 | 0.390 | 0.421 |
| m15i12 | 0.048 | 0.058 | 0.049 | 0.064 | 0.472 | 0.497 |
| m17i4 | 0.047 | 0.058 | 0.047 | 0.064 | 0.583 | 0.621 |
| m17i6 | 0.049 | 0.063 | 0.050 | 0.071 | 0.538 | 0.562 |
| m17i8 | 0.046 | 0.057 | 0.054 | 0.065 | 0.405 | 0.430 |
| m17i10 | 0.053 | 0.063 | 0.054 | 0.067 | 0.371 | 0.400 |
| m17i12 | 0.056 | 0.068 | 0.056 | 0.077 | 0.451 | 0.468 |
| p-value | — | — | 0.000 | 0.032 | 0.000 | 0.000 |
| Instance | GLPEA | GLPEA_V1 | GLPEA_V2 | |||
|---|---|---|---|---|---|---|
| Best | Mean | Best | Mean | Best | Mean | |
| m3i4 | 0.730 | 0.724 | 0.723 | 0.719 | 0.418 | 0.239 |
| m3i6 | 0.822 | 0.815 | 0.814 | 0.810 | 0.393 | 0.329 |
| m3i8 | 0.848 | 0.832 | 0.842 | 0.831 | 0.429 | 0.402 |
| m3i10 | 0.831 | 0.817 | 0.828 | 0.812 | 0.435 | 0.394 |
| m3i12 | 0.864 | 0.838 | 0.845 | 0.831 | 0.398 | 0.358 |
| m5i4 | 0.776 | 0.767 | 0.769 | 0.762 | 0.310 | 0.162 |
| m5i6 | 0.833 | 0.823 | 0.826 | 0.810 | 0.351 | 0.292 |
| m5i8 | 0.838 | 0.816 | 0.832 | 0.811 | 0.381 | 0.314 |
| m5i10 | 0.864 | 0.848 | 0.868 | 0.839 | 0.430 | 0.390 |
| m5i12 | 0.859 | 0.845 | 0.844 | 0.832 | 0.381 | 0.332 |
| m7i4 | 0.800 | 0.791 | 0.789 | 0.779 | 0.325 | 0.242 |
| m7i6 | 0.781 | 0.766 | 0.751 | 0.740 | 0.243 | 0.151 |
| m7i8 | 0.831 | 0.805 | 0.819 | 0.802 | 0.376 | 0.325 |
| m7i10 | 0.830 | 0.816 | 0.832 | 0.815 | 0.399 | 0.362 |
| m7i12 | 0.839 | 0.802 | 0.812 | 0.794 | 0.266 | 0.216 |
| m9i4 | 0.780 | 0.767 | 0.771 | 0.762 | 0.346 | 0.235 |
| m9i6 | 0.747 | 0.723 | 0.729 | 0.714 | 0.353 | 0.236 |
| m9i8 | 0.820 | 0.803 | 0.819 | 0.793 | 0.308 | 0.268 |
| m9i10 | 0.796 | 0.776 | 0.804 | 0.780 | 0.305 | 0.281 |
| m9i12 | 0.834 | 0.804 | 0.827 | 0.802 | 0.222 | 0.194 |
| m11i4 | 0.710 | 0.700 | 0.696 | 0.685 | 0.130 | 0.062 |
| m11i6 | 0.795 | 0.778 | 0.774 | 0.746 | 0.192 | 0.161 |
| m11i8 | 0.815 | 0.797 | 0.814 | 0.788 | 0.347 | 0.322 |
| m11i10 | 0.786 | 0.749 | 0.771 | 0.741 | 0.342 | 0.309 |
| m11i12 | 0.815 | 0.786 | 0.815 | 0.784 | 0.274 | 0.252 |
| m13i4 | 0.747 | 0.735 | 0.736 | 0.725 | 0.219 | 0.160 |
| m13i6 | 0.819 | 0.793 | 0.793 | 0.767 | 0.221 | 0.181 |
| m13i8 | 0.790 | 0.769 | 0.781 | 0.755 | 0.265 | 0.232 |
| m13i10 | 0.811 | 0.774 | 0.796 | 0.771 | 0.343 | 0.313 |
| m13i12 | 0.828 | 0.788 | 0.813 | 0.783 | 0.228 | 0.203 |
| m15i4 | 0.770 | 0.753 | 0.757 | 0.742 | 0.167 | 0.126 |
| m15i6 | 0.790 | 0.761 | 0.750 | 0.731 | 0.133 | 0.102 |
| m15i8 | 0.825 | 0.800 | 0.811 | 0.780 | 0.292 | 0.263 |
| m15i10 | 0.798 | 0.772 | 0.789 | 0.759 | 0.283 | 0.262 |
| m15i12 | 0.837 | 0.814 | 0.841 | 0.800 | 0.256 | 0.233 |
| m17i4 | 0.748 | 0.726 | 0.737 | 0.718 | 0.146 | 0.110 |
| m17i6 | 0.799 | 0.774 | 0.779 | 0.759 | 0.213 | 0.171 |
| m17i8 | 0.788 | 0.757 | 0.756 | 0.735 | 0.259 | 0.237 |
| m17i10 | 0.786 | 0.762 | 0.774 | 0.750 | 0.327 | 0.299 |
| m17i12 | 0.831 | 0.803 | 0.843 | 0.783 | 0.279 | 0.263 |
| p-value | — | — | 0.000 | 0.010 | 0.000 | 0.000 |
| Instance | NSGA-II | MOEA/D | GLPEA | ||||||
|---|---|---|---|---|---|---|---|---|---|
| Worst | Best | Mean | Worst | Best | Mean | Worst | Best | Mean | |
| m3i4 | 0.037 | 0.024 | 0.028 | 0.397 | 0.286 | 0.316 | 0.028 | 0.022 | 0.026 |
| m3i6 | 0.063 | 0.037 | 0.043 | 0.505 | 0.359 | 0.440 | 0.047 | 0.036 | 0.040 |
| m3i8 | 0.053 | 0.041 | 0.046 | 0.420 | 0.331 | 0.388 | 0.051 | 0.041 | 0.045 |
| m3i10 | 0.051 | 0.041 | 0.047 | 0.450 | 0.328 | 0.395 | 0.050 | 0.040 | 0.046 |
| m3i12 | 0.074 | 0.042 | 0.050 | 0.570 | 0.416 | 0.508 | 0.055 | 0.040 | 0.049 |
| m5i4 | 0.049 | 0.033 | 0.040 | 0.678 | 0.472 | 0.600 | 0.044 | 0.032 | 0.036 |
| m5i6 | 0.083 | 0.045 | 0.056 | 0.585 | 0.427 | 0.522 | 0.089 | 0.035 | 0.054 |
| m5i8 | 0.053 | 0.038 | 0.044 | 0.497 | 0.400 | 0.438 | 0.049 | 0.038 | 0.043 |
| m5i10 | 0.055 | 0.039 | 0.045 | 0.496 | 0.377 | 0.430 | 0.051 | 0.037 | 0.043 |
| m5i12 | 0.058 | 0.042 | 0.048 | 0.576 | 0.455 | 0.503 | 0.054 | 0.037 | 0.047 |
| m7i4 | 0.065 | 0.043 | 0.053 | 0.646 | 0.464 | 0.571 | 0.059 | 0.042 | 0.048 |
| m7i6 | 0.055 | 0.035 | 0.043 | 0.633 | 0.496 | 0.553 | 0.050 | 0.034 | 0.040 |
| m7i8 | 0.059 | 0.041 | 0.049 | 0.531 | 0.406 | 0.466 | 0.057 | 0.041 | 0.049 |
| m7i10 | 0.063 | 0.042 | 0.049 | 0.473 | 0.369 | 0.413 | 0.059 | 0.040 | 0.048 |
| m7i12 | 0.074 | 0.046 | 0.057 | 0.616 | 0.470 | 0.552 | 0.069 | 0.043 | 0.055 |
| m9i4 | 0.059 | 0.044 | 0.051 | 0.664 | 0.502 | 0.597 | 0.055 | 0.042 | 0.047 |
| m9i6 | 0.076 | 0.041 | 0.056 | 0.570 | 0.417 | 0.519 | 0.074 | 0.039 | 0.054 |
| m9i8 | 0.062 | 0.045 | 0.051 | 0.627 | 0.501 | 0.545 | 0.057 | 0.043 | 0.050 |
| m9i10 | 0.062 | 0.044 | 0.055 | 0.569 | 0.385 | 0.448 | 0.062 | 0.042 | 0.052 |
| m9i12 | 0.076 | 0.048 | 0.060 | 0.595 | 0.463 | 0.512 | 0.074 | 0.043 | 0.059 |
| m11i4 | 0.106 | 0.052 | 0.074 | 0.678 | 0.523 | 0.605 | 0.088 | 0.042 | 0.055 |
| m11i6 | 0.084 | 0.045 | 0.062 | 0.535 | 0.413 | 0.481 | 0.081 | 0.042 | 0.056 |
| m11i8 | 0.059 | 0.041 | 0.049 | 0.431 | 0.338 | 0.391 | 0.055 | 0.039 | 0.045 |
| m11i10 | 0.069 | 0.048 | 0.055 | 0.474 | 0.360 | 0.412 | 0.066 | 0.045 | 0.054 |
| m11i12 | 0.066 | 0.049 | 0.056 | 0.507 | 0.396 | 0.451 | 0.071 | 0.043 | 0.055 |
| m13i4 | 0.089 | 0.060 | 0.073 | 0.708 | 0.511 | 0.600 | 0.083 | 0.052 | 0.065 |
| m13i6 | 0.098 | 0.039 | 0.058 | 0.464 | 0.385 | 0.433 | 0.065 | 0.037 | 0.054 |
| m13i8 | 0.062 | 0.044 | 0.053 | 0.477 | 0.409 | 0.438 | 0.062 | 0.041 | 0.052 |
| m13i10 | 0.070 | 0.045 | 0.058 | 0.443 | 0.349 | 0.393 | 0.072 | 0.043 | 0.055 |
| m13i12 | 0.088 | 0.045 | 0.061 | 0.516 | 0.396 | 0.430 | 0.086 | 0.047 | 0.059 |
| m15i4 | 0.053 | 0.041 | 0.047 | 0.655 | 0.497 | 0.586 | 0.053 | 0.035 | 0.043 |
| m15i6 | 0.094 | 0.046 | 0.065 | 0.545 | 0.414 | 0.482 | 0.096 | 0.039 | 0.063 |
| m15i8 | 0.062 | 0.044 | 0.052 | 0.490 | 0.406 | 0.447 | 0.059 | 0.044 | 0.050 |
| m15i10 | 0.070 | 0.042 | 0.057 | 0.416 | 0.326 | 0.377 | 0.067 | 0.042 | 0.050 |
| m15i12 | 0.074 | 0.045 | 0.057 | 0.547 | 0.409 | 0.480 | 0.070 | 0.042 | 0.052 |
| m17i4 | 0.087 | 0.045 | 0.059 | 0.710 | 0.539 | 0.641 | 0.083 | 0.045 | 0.058 |
| m17i6 | 0.093 | 0.061 | 0.072 | 0.590 | 0.488 | 0.521 | 0.089 | 0.047 | 0.064 |
| m17i8 | 0.067 | 0.048 | 0.055 | 0.486 | 0.381 | 0.425 | 0.065 | 0.040 | 0.051 |
| m17i10 | 0.077 | 0.051 | 0.062 | 0.456 | 0.369 | 0.413 | 0.079 | 0.047 | 0.057 |
| m17i12 | 0.091 | 0.050 | 0.066 | 0.506 | 0.432 | 0.468 | 0.080 | 0.049 | 0.062 |
| 8 | 7 | 1 | 0 | 0 | 0 | 35 | 39 | 40 | |
| p-value | 0.000 | 0.000 | 0.000 | 0.000 | 0.000 | 0.000 | — | — | — |
| Instance | NSGA-II | MOEA/D | GLPEA | ||||||
|---|---|---|---|---|---|---|---|---|---|
| Worst | Best | Mean | Worst | Best | Mean | Worst | Best | Mean | |
| m3i4 | 0.734 | 0.748 | 0.743 | 0.293 | 0.520 | 0.440 | 0.742 | 0.753 | 0.747 |
| m3i6 | 0.777 | 0.795 | 0.787 | 0.193 | 0.367 | 0.270 | 0.783 | 0.801 | 0.793 |
| m3i8 | 0.820 | 0.845 | 0.831 | 0.307 | 0.412 | 0.354 | 0.824 | 0.848 | 0.832 |
| m3i10 | 0.810 | 0.846 | 0.833 | 0.356 | 0.454 | 0.401 | 0.819 | 0.848 | 0.836 |
| m3i12 | 0.803 | 0.841 | 0.818 | 0.178 | 0.317 | 0.254 | 0.792 | 0.849 | 0.820 |
| m5i4 | 0.779 | 0.792 | 0.787 | 0.164 | 0.401 | 0.255 | 0.782 | 0.798 | 0.789 |
| m5i6 | 0.762 | 0.804 | 0.792 | 0.098 | 0.302 | 0.194 | 0.786 | 0.817 | 0.805 |
| m5i8 | 0.807 | 0.845 | 0.827 | 0.228 | 0.348 | 0.298 | 0.808 | 0.853 | 0.834 |
| m5i10 | 0.818 | 0.855 | 0.838 | 0.227 | 0.338 | 0.281 | 0.811 | 0.860 | 0.844 |
| m5i12 | 0.821 | 0.858 | 0.843 | 0.235 | 0.341 | 0.284 | 0.838 | 0.866 | 0.852 |
| m7i4 | 0.793 | 0.814 | 0.804 | 0.213 | 0.294 | 0.248 | 0.800 | 0.823 | 0.815 |
| m7i6 | 0.768 | 0.798 | 0.782 | 0.135 | 0.224 | 0.179 | 0.779 | 0.809 | 0.796 |
| m7i8 | 0.798 | 0.841 | 0.817 | 0.230 | 0.356 | 0.278 | 0.803 | 0.833 | 0.819 |
| m7i10 | 0.797 | 0.849 | 0.818 | 0.275 | 0.357 | 0.316 | 0.800 | 0.834 | 0.820 |
| m7i12 | 0.795 | 0.840 | 0.820 | 0.186 | 0.280 | 0.242 | 0.795 | 0.857 | 0.825 |
| m9i4 | 0.766 | 0.789 | 0.778 | 0.159 | 0.320 | 0.230 | 0.771 | 0.797 | 0.786 |
| m9i6 | 0.775 | 0.811 | 0.793 | 0.117 | 0.266 | 0.190 | 0.777 | 0.819 | 0.802 |
| m9i8 | 0.773 | 0.812 | 0.793 | 0.144 | 0.228 | 0.183 | 0.773 | 0.818 | 0.800 |
| m9i10 | 0.770 | 0.815 | 0.796 | 0.216 | 0.318 | 0.274 | 0.769 | 0.831 | 0.801 |
| m9i12 | 0.816 | 0.862 | 0.838 | 0.252 | 0.307 | 0.281 | 0.820 | 0.871 | 0.839 |
| m11i4 | 0.750 | 0.769 | 0.761 | 0.111 | 0.263 | 0.182 | 0.760 | 0.779 | 0.772 |
| m11i6 | 0.729 | 0.784 | 0.765 | 0.079 | 0.233 | 0.127 | 0.771 | 0.807 | 0.791 |
| m11i8 | 0.770 | 0.812 | 0.794 | 0.194 | 0.319 | 0.238 | 0.773 | 0.838 | 0.800 |
| m11i10 | 0.732 | 0.766 | 0.752 | 0.206 | 0.281 | 0.247 | 0.713 | 0.790 | 0.754 |
| m11i12 | 0.782 | 0.831 | 0.805 | 0.218 | 0.325 | 0.269 | 0.792 | 0.830 | 0.812 |
| m13i4 | 0.743 | 0.762 | 0.755 | 0.114 | 0.204 | 0.168 | 0.740 | 0.772 | 0.761 |
| m13i6 | 0.775 | 0.812 | 0.798 | 0.168 | 0.244 | 0.207 | 0.796 | 0.839 | 0.815 |
| m13i8 | 0.750 | 0.815 | 0.781 | 0.152 | 0.241 | 0.200 | 0.757 | 0.802 | 0.782 |
| m13i10 | 0.738 | 0.811 | 0.775 | 0.218 | 0.294 | 0.252 | 0.743 | 0.820 | 0.786 |
| m13i12 | 0.767 | 0.849 | 0.814 | 0.210 | 0.268 | 0.244 | 0.799 | 0.842 | 0.822 |
| m15i4 | 0.771 | 0.807 | 0.790 | 0.130 | 0.226 | 0.189 | 0.789 | 0.814 | 0.800 |
| m15i6 | 0.738 | 0.784 | 0.761 | 0.055 | 0.165 | 0.109 | 0.750 | 0.807 | 0.780 |
| m15i8 | 0.775 | 0.820 | 0.797 | 0.164 | 0.232 | 0.197 | 0.790 | 0.837 | 0.811 |
| m15i10 | 0.740 | 0.810 | 0.772 | 0.221 | 0.319 | 0.251 | 0.749 | 0.812 | 0.788 |
| m15i12 | 0.765 | 0.859 | 0.810 | 0.164 | 0.279 | 0.211 | 0.774 | 0.845 | 0.823 |
| m17i4 | 0.725 | 0.760 | 0.738 | 0.067 | 0.228 | 0.116 | 0.735 | 0.767 | 0.747 |
| m17i6 | 0.747 | 0.794 | 0.775 | 0.101 | 0.194 | 0.145 | 0.758 | 0.809 | 0.785 |
| m17i8 | 0.731 | 0.796 | 0.763 | 0.177 | 0.283 | 0.228 | 0.734 | 0.801 | 0.772 |
| m17i10 | 0.730 | 0.779 | 0.756 | 0.226 | 0.305 | 0.267 | 0.743 | 0.784 | 0.760 |
| m17i12 | 0.770 | 0.848 | 0.808 | 0.194 | 0.288 | 0.238 | 0.775 | 0.845 | 0.816 |
| 7 | 7 | 0 | 0 | 0 | 0 | 35 | 33 | 40 | |
| p-value | 0.000 | 0.000 | 0.000 | 0.000 | 0.000 | 0.000 | — | — | — |
| Instance | NSGA-II | MOEA/D | GLPEA |
|---|---|---|---|
| m3i4 | 779.726 | 2000.148 | 1283.671 |
| m3i6 | 794.307 | 4657.909 | 1330.478 |
| m3i8 | 828.950 | 9622.002 | 1377.809 |
| m3i10 | 792.819 | 11,121.178 | 1377.129 |
| m3i12 | 808.040 | 7133.246 | 1679.763 |
| m5i4 | 814.061 | 2907.541 | 1334.321 |
| m5i6 | 799.367 | 2415.997 | 1341.155 |
| m5i8 | 791.859 | 8448.023 | 1749.291 |
| m5i10 | 776.201 | 8627.950 | 1927.886 |
| m5i12 | 795.755 | 6869.132 | 1065.323 |
| m7i4 | 804.528 | 4796.024 | 1030.131 |
| m7i6 | 817.014 | 4019.891 | 1077.614 |
| m7i8 | 812.654 | 6771.598 | 1096.161 |
| m7i10 | 803.460 | 6438.196 | 1585.894 |
| m7i12 | 816.046 | 8097.105 | 2110.503 |
| m9i4 | 801.167 | 5500.998 | 1646.787 |
| m9i6 | 807.605 | 3516.891 | 2005.195 |
| m9i8 | 794.848 | 7504.607 | 2040.184 |
| m9i10 | 827.751 | 9542.724 | 2134.090 |
| m9i12 | 829.950 | 7998.894 | 2240.898 |
| m11i4 | 814.927 | 5035.524 | 2095.210 |
| m11i6 | 790.528 | 3404.547 | 2029.272 |
| m11i8 | 824.761 | 10,279.548 | 2074.627 |
| m11i10 | 820.250 | 8103.275 | 1128.435 |
| m11i12 | 836.556 | 10,684.374 | 2177.091 |
| m13i4 | 792.300 | 4672.910 | 1996.058 |
| m13i6 | 831.316 | 4324.266 | 2287.419 |
| m13i8 | 764.265 | 7660.314 | 2050.911 |
| m13i10 | 875.118 | 11,367.958 | 2316.989 |
| m13i12 | 840.692 | 10,505.099 | 2359.349 |
| m15i4 | 766.218 | 5112.326 | 1992.162 |
| m15i6 | 763.724 | 4651.158 | 2042.017 |
| m15i8 | 784.077 | 7785.538 | 2024.366 |
| m15i10 | 806.579 | 9968.631 | 2206.082 |
| m15i12 | 729.105 | 8401.749 | 2323.825 |
| m17i4 | 831.656 | 2554.879 | 1744.554 |
| m17i6 | 842.603 | 1958.153 | 2911.123 |
| m17i8 | 826.641 | 9448.504 | 2146.167 |
| m17i10 | 832.813 | 10,989.428 | 2377.331 |
| m17i12 | 849.449 | 9877.921 | 2873.884 |
Disclaimer/Publisher’s Note: The statements, opinions and data contained in all publications are solely those of the individual author(s) and contributor(s) and not of MDPI and/or the editor(s). MDPI and/or the editor(s) disclaim responsibility for any injury to people or property resulting from any ideas, methods, instructions or products referred to in the content. |
© 2025 by the authors. Licensee MDPI, Basel, Switzerland. This article is an open access article distributed under the terms and conditions of the Creative Commons Attribution (CC BY) license (https://creativecommons.org/licenses/by/4.0/).
Share and Cite
Zhang, J.; Luo, R.; Li, Z. Gaussian Learning-Based Pareto Evolutionary Algorithm for Parallel Machine Planning in Industrial Silicon Production. Mathematics 2025, 13, 3860. https://doi.org/10.3390/math13233860
Zhang J, Luo R, Li Z. Gaussian Learning-Based Pareto Evolutionary Algorithm for Parallel Machine Planning in Industrial Silicon Production. Mathematics. 2025; 13(23):3860. https://doi.org/10.3390/math13233860
Chicago/Turabian StyleZhang, Jinsi, Rongjuan Luo, and Zuocheng Li. 2025. "Gaussian Learning-Based Pareto Evolutionary Algorithm for Parallel Machine Planning in Industrial Silicon Production" Mathematics 13, no. 23: 3860. https://doi.org/10.3390/math13233860
APA StyleZhang, J., Luo, R., & Li, Z. (2025). Gaussian Learning-Based Pareto Evolutionary Algorithm for Parallel Machine Planning in Industrial Silicon Production. Mathematics, 13(23), 3860. https://doi.org/10.3390/math13233860

