Next Article in Journal
A PDE Model of Glioblastoma Progression: The Role of Cell Crowding and Resource Competition in Proliferation and Diffusion
Previous Article in Journal
Modeling the Evolution of AI Identity Using Structural Features and Temporal Role Dynamics in Complex Networks
 
 
Font Type:
Arial Georgia Verdana
Font Size:
Aa Aa Aa
Line Spacing:
Column Width:
Background:
Article

The Critical Role of Small-Scale Dissipation in Deriving Subgrid Forcing Within an Ocean Quasi-Geostrophic Model

1
State Key Laboratory of Marine Environmental Science, College of Ocean and Earth Sciences, Xiamen University, Xiamen 361102, China
2
Key Laboratory of Underwater Acoustic Communication and Marine Information Technology (Xiamen University), Ministry of Education, Xiamen 361005, China
*
Author to whom correspondence should be addressed.
Mathematics 2025, 13(20), 3317; https://doi.org/10.3390/math13203317
Submission received: 9 September 2025 / Revised: 12 October 2025 / Accepted: 15 October 2025 / Published: 17 October 2025

Abstract

Due to computational constraints, ocean numerical models are often executed on low-resolution (LR) grids. To maintain consistency between LR simulations and coarsened high-resolution (HR) solutions, a subgrid forcing term is commonly integrated into the LR model as a parameterization scheme. Although numerous data-driven parameterizations have been developed to establish the relationship between resolved LR variables and corresponding subgrid forcing, the accurate extraction of target subgrid forcing remains an open challenge that significantly impacts the performance of such parameterizations. Small-scale dissipation (ssd) operators are widely used to enhance numerical stability while introducing minimal energy dissipation; however, this study demonstrates that these operators critically influence the accurate representation of subgrid forcing: an aspect that has not been adequately addressed. Within a quasi-geostrophic ocean modeling framework, new formulations have been rigorously derived for subgrid forcing that explicitly accounts for ssd effects. Numerical experiments confirm that the proposed forcing enables LR simulations to reproduce coarsened HR results with high fidelity. This work demonstrates that greater attention to the specific numerical discretization scheme is required for the accurate extraction of subgrid forcing from HR simulations. Although these newly developed extraction algorithms are diagnostic in nature, they could provide accurate target data that facilitate the subsequent development of data-driven parameterization schemes.

1. Introduction

The ocean, covering more than 70% of the Earth’s surface, plays a fundamental role in the global storage and transport of heat, carbon dioxide, and nutrients. This continuous exchange is critical in regulating weather patterns, climate systems, and ecological stability. As a highly complex and dynamic system, the ocean is characterized by strongly nonlinear interactions across a broad spectrum of spatial and temporal scales. Understanding these dynamics is essential for accurately interpreting current climatic conditions and predicting future states and intrinsic variability [1]. The governing equations for oceanic motions are fundamentally based on the Navier–Stokes equations, which are derived from Newton’s second law and express the conservation of momentum. These equations are further extended to incorporate the Earth’s rotation and the effects of density stratification in seawater, thereby forming a complete dynamical system [2]. This system encompasses small-scale turbulence at the finest spatial and temporal scales, internal gravity waves spanning a broad range of spatial scales, and geostrophically quasi-balanced motions prevailing over larger scales. In particular, the quasi-balanced component includes coherent jets (such as the Gulf Stream and Kuroshio), gyres, and basin-scale meridional overturning circulations spanning thousands of kilometers, down to mesoscale eddies on the order of 𝒪(100) km, and further down to submesoscale processes of 𝒪(1) km [3]. The interaction among these dynamical regimes, combined with external forcing, drives the ocean’s energy cycle [4]. Mesoscale eddies, which pervade the global ocean, contain the majority of its kinetic energy [5], while submesoscale processes play a key role in regulating vertical fluxes of mass, buoyancy, and tracers in the upper ocean [6,7]. In parallel, the dynamic exchanges between internal waves and balanced flows have also been extensively studied [8].
Due to the inherent nonlinearity and theoretical complexity of ocean circulation models, numerical simulation has become an indispensable tool for elucidating the fundamental dynamics of oceanic processes [9]. Driven by advances in both the theory of ocean fluid dynamics and numerical computation techniques, researchers have continually refined numerical ocean models across multiple dimensions. With modern supercomputers, scientists are now able to run ocean models using very high-resolution (HR) grids for global or regional simulations over limited time periods. However, such simulations remain prohibitively expensive in terms of both computational time and cost [10]. In many research areas, such as climate and weather forecasting, simulations often need to be executed repeatedly or under tight time constraints. As a result, they are frequently conducted on low-resolution (LR) grids. To ensure that the LR solution remains consistent with a spatially coarsened version of the HR solution, a common approach in ocean modeling is to incorporate subgrid parameterization schemes into the LR numerical models. These parameterizations are designed to represent physical processes occurring at subgrid scales and help correct systematic biases [11].
Ocean models describe fluid motion as continuous processes, while numerical simulations are implemented on discrete grids. This discretization leads to the omission of certain physical processes that occur at scales finer than the grid resolution, known as subgrid-scale (SGS) processes. These unresolved phenomena often exert a substantial influence on simulation accuracy and must be represented through appropriate model adjustments. Parameterization schemes address this need by introducing a forcing term, referred to as subgrid forcing, into the governing equations to account for the aggregate effects of SGS processes. Rather than explicitly resolving the evolution of these small-scale features, such schemes employ simplified functions that depend exclusively on the resolved model variables [11]. Nevertheless, contemporary simulations continue to exhibit significant model biases, a considerable fraction of which can be traced back to inaccuracies in these parametrization schemes [12].
Traditional parameterization schemes rely on established physical knowledge to construct empirical formulas for subgrid forcing, approximating the effects of unresolved processes. These schemes are often designed with specific objectives in mind, such as enhancing small-scale enstrophy dissipation [13], representing density mixing in the ocean interior [14], or capturing the inverse energy cascade (backscatter) at larger scales [15]. However, such SGS models frequently depend on empirical parameters that must be tuned for different simulation settings. This tuning process can lead to a weak correlation between predicted subgrid forcing and the true values obtained from high-resolution reference simulations [16]. Recently, there has been a rapidly growing body of work on data-driven SGS parameterizations based on machine learning methods. These approaches operate under the assumption that HR numerical simulations resolve ocean processes that are sufficiently treated as ground truths and aim to automatically extract relevant parameterization rules from HR data [17,18,19]. Nevertheless, the performance of such data-driven models is highly sensitive to the computation of the subgrid forcing dataset used during training [20]. How to accurately extract the true subgrid forcing from HR simulations remains an open and challenging research question.
In the conventional subgrid forcing extraction process, filtering and coarse-graining operators are applied to the HR solution to approximate the resolvable component on the LR grid. These operators are subsequently applied to the full governing equations to derive the dynamical equations for the resolved variables. The subgrid forcing term is then defined as the difference between this coarsened tendency and the tendency of the coarsened flow field. Some widely used definitions of subgrid forcing consider only the unresolved nonlinear advection terms [21,22]. However, recent studies have also highlighted the importance of accounting for numerical dissipation arising from computations of discrete spatial derivatives, leading to the adoption of definitions based on the total tendency difference [23,24,25]. Ross et al. [24] developed a machine learning model that achieves high accuracy in predicting subgrid forcing offline; however, when this model is coupled to the LR model to modify its dynamics, the resulting simulations exhibit significant performance degradation. This discrepancy may arise from some missing terms in the accurate extraction of subgrid forcing, attributable to the small-scale dissipation (ssd, written in lowercase following the convention in prior work) operators, commonly employed to ensure numerical stability. Our analysis shows that the newly refined extraction operators significantly improve the accuracy of the subgrid forcing, which is essential for maintaining consistency between the LR solution and the coarsened HR reference.
This study leverages the Quasi-Geostrophic (QG) framework, which achieves an effective balance between mathematical tractability and the representation of key large-scale, slowly evolving oceanic processes. The QG model assumes that the flow is predominantly in geostrophic balance, where the pressure gradient force is balanced primarily by the Coriolis force due to Earth’s rotation, while also accounting for slight deviations from this balance that drive evolutionary processes. By incorporating these simplifications, the model filters out fast-moving gravity waves but retains the essential physics of mesoscale eddies, Rossby waves, and jet instabilities, at a significantly lower computational cost compared to comprehensive models [2]. Indeed, the choice of a dynamical model often depends on the specific oceanic processes under investigation, where simplified frameworks retaining key mechanistic insights through appropriate approximations are widely adopted. For instance, a stochastic data-driven parameterization is developed to represent mesoscale eddy effects on large-scale circulation within a baroclinic QG model [26]. The surface quasi-geostrophic model, another single-equation framework, could capture submesoscale dynamics related to surface buoyancy conservation [27] and has been used to study mixed-layer instability induced by surface buoyancy anomalies [28]. For submesoscale frontal features, the semi-geostrophic model proves highly effective, as it retains the full ageostrophic velocity in the advection term [29,30]. In the context of more general two-dimensional submesoscale-like flows, other reduced single-equation models can also serve as convenient testbeds for developing and evaluating parameterizations [31]. The subgrid forcing extraction framework developed in this study should first be validated in such reduced models before being extended to more complex operational ocean circulation systems.
The remainder of this paper is structured as follows. Section 2 introduces the dynamical and numerical setup of the quasi-geostrophic (QG) model, including the parameter configurations used in the simulations. Section 3 derives the different formulations of the subgrid forcing accounting for both the presence and absence of the small-scale dissipation (ssd) operator. Section 4 presents numerical results validating the accuracy of the proposed subgrid forcing. Further properties and discussions of the new forcing term are provided in Section 5. Concluding remarks are given in Section 6.

2. QG Models and Numerical Setup

2.1. Two-Layer Quasi-Geostrophic Model

Quasi-geostrophic (QG) systems provide a reasonable approximation to the equations of motion in more realistic ocean models. In this work, we employ a two-layer QG model for both data generation and analysis.
A common approach to representing the ocean’s continuous stratification, driven by variations in temperature and salinity that induce density differences, is the use of a multi-layer framework composed of stacked fluid layers. This method captures essential dynamics of stratified flows while maintaining computational tractability, making it a powerful tool for modeling diverse geophysical phenomena. It also offers the advantage of being physically reproducible in laboratory settings. At each interface between layers, pressure remains continuous, while density changes discontinuously. This discontinuity allows a corresponding jump in horizontal velocity across the layer boundaries [2]. Although two-layer QG models are highly idealized, they are capable of capturing key oceanic dynamical features and have been widely employed in the development and testing of parameterization schemes across numerous studies [15,32,33]. In this work, the following form is used:
t q 1 + u 1 · q 1 + β 1 x ψ 1 + U 1 x q 1 = 0 , t q 2 + u 2 · q 2 + β 2 x ψ 2 + U 2 x q 2 = r e k 2 ψ 2 .  
The prognostic variables are the potential vorticity (PV):
q 1 = 2 ψ 1 + 1 L d 2 · H 2 H 1 + H 2 ψ 2 ψ 1 ,     q 2 = 2 ψ 2 + 1 L d 2 · H 1 H 1 + H 2 ψ 1 ψ 2
Here, subscripts 1 and 2 denote the upper and lower layers, respectively. L d = g f 0 2 · H 1 H 2 H 1 + H 2 is the deformation radius which is the characteristic scale for baroclinic instability and mesoscale turbulence, where g is the reduced gravity and f 0 is the reference Coriolis parameter. Denoting m as the layer index, ψ m represents the streamfunction, and H m is the layer thickness. It should be noted that, given H 1 and H 2 , instead of specifying g and f 0 individually, we can also just prescribe the deformation radius L d . The model employs the beta-plane approximation, in which the Coriolis parameter is represented as a linear function of latitude y with slope β , such that f = f 0 + β y . The planetary vorticity gradient is modified by the background flow such that β 1 = β + ( 1 / L d 2 ) · H 2 / ( H 1 + H 2 ) · ( U 1 U 2 ) and β 2 = β + ( 1 / L d 2 ) · H 1 / ( H 1 + H 2 ) · ( U 2 U 1 ) . Here, = ( x , y ) is the horizontal gradient operator, and the geostrophic velocity in each layer is given by u m = u m , v m = y ψ m , x ψ m . The mean zonal velocities U m are prescribed as constant, and large-scale energy dissipation is introduced via a bottom Ekman friction coefficient r e k , which acts only on the lower layer. Note that the streamfunction could be uniquely determined by the potential vorticity through Equation (2), implying that either PV q = ( q 1 ,   q 2 ) or streamfunction ψ = ( ψ 1 ,   ψ 2 ) can independently define the system state.

2.2. Numerical Model

Numerical simulations in this study are conducted using a two-layer configuration of the open-source Python QG solver, pyqg (V0.7.2) [34]. The model employs a pseudo-spectral discretization in space and is integrated in time using the Adams–Bashforth 3rd-order (AB3) scheme. Spatial derivatives are computed in Fourier spectral space, while nonlinear advection terms are evaluated by transforming the velocity and potential vorticity fields into physical space, performing multiplication operations, and then transforming back to spectral space, with a 2/3 de-aliasing procedure [35,36].
To maintain numerical stability, a small-scale dissipation (ssd) operator is applied at each time step. After updating the prognostic variables, specifically the potential vorticity q m in Fourier space, using the computed tendency terms, the fields are multiplied by a low-pass exponential filter that attenuates the highest 1/3 of the spatial frequencies. The filter takes the form:
F c κ * = 1 ,   κ * < κ c e 23.6 ( κ * κ c ) 4 , κ * κ c
where κ * is non-dimensional wavenumber and κ c = 2 3 π is the cutoff threshold. Similarly to the 2/3 de-aliasing rule, this filtering approach represents a standard practice within the pseudo-spectral framework. It introduces sufficient numerical dissipation to ensure stable integration while maintaining the energetic consistency of quasi-2D turbulence [37].
In real fluids, dissipation refers to the process by which kinetic energy is converted into thermal energy through the action of physical viscosity. In numerical simulations, artificial viscosity is often introduced as a means to incorporate controlled dissipation, which helps smooth discontinuities such as shocks and dissipate energy at unresolved scales, ensuring both numerical stability and simulation accuracy. Crucially, its stabilizing effect is grounded in physical principles, reflecting the energy dissipation inherent in real fluid behavior, rather than being merely a numerical artifact [38]. The ssd operator implemented in pyqg represents one form of artificial viscosity, and its contribution to the energy budget remains relatively minor, as demonstrated in [24] and the following Section 4.1.

2.3. Numerical Simulation Configurations

Following the configuration established in [24], the computational domain is defined as a doubly periodic square with side length L = 10 6   m and flat topography. Using the distinct parameter sets provided in Table 1, two typical flow regimes are examined: an Eddy-dominated regime and a Jet-dominated regime. The former is characterized by an isotropic distribution of vortices, whereas the latter exhibits anisotropic, stable, long-lived jets with more coherent latitudinal structure. These two regimes represent typical oceanic scenarios associated with meridional heat transport, as discussed in [39].
In this work, we investigate two types of grids: the high-resolution (HR) grid with a size of 256 × 256 (corresponding to x = 3.9 km ) and the low-resolution (LR) grid with a size of 64 × 64 (corresponding to x = 15.6 km ). The numerical time step is held constant at t = 1 hr throughout all simulations.
Initially, simulations with the HR grids are conducted from a random initial condition under both the Eddy and Jet configurations, each run for a duration of 10 years. The systems reach statistical equilibrium after approximately 50,000 h, as shown by the time series plots of kinetic energy (KE) in Figure 1a,b. With L d set to 15 km in both the Eddy and Jet simulations, the HR configuration is expected to adequately resolve mesoscale turbulence. In contrast, simulations using the same configurations but performed on LR grids (also run for 10 years) fail to capture these eddies and yield unrealistic results. The KE power spectrum plots (Figure 1c,d) reveal significantly lower energy at large scales in the LR simulations, which stems from the inadequate resolution of turbulent structures.
For the HR simulation, snapshots of the upper- and lower-layer potential vorticity (PV) and the corresponding kinetic energy (KE) at the 60,000th h are presented in Figure 2. The bottom layer has a much greater thickness than the upper layer and is subject to bottom drag. Consequently, the flow strength in this layer is substantially weaker, by approximately an order of magnitude, compared to the upper layer, consistent with the results in [24,25]. The HR grid adequately resolves turbulent structures, and the coarsened value of these simulation results is therefore regarded as the reference truth. In subsequent analyses, HR solutions are employed to extract the subgrid forcing. The state variables at the 60,000th h serve as the restart initial conditions for all LR simulations.

3. Derivation of Subgrid Forcing

To reduce computational cost, numerical simulations are often performed on the low-resolution (LR) grid. To ensure consistency between the LR solution and the coarsened high-resolution (HR) solution, the subgrid forcing must be derived and incorporated into the LR numerical model. In this section, we present the different formulations of the subgrid forcing, corresponding to cases with and without the ssd effect. For notational convenience, we adhere to the physical-space representation for all derivations, even though their computations are performed in Fourier space.
To quantify the subgrid forcing, the coarsened representation of the HR solution on the LR grid must first be determined. This is achieved through a combination of filtering and coarse-graining, denoted symbolically as ( · ) ¯ in the subsequent analysis. Various choices exist for the filter and coarse-graining operators, and Ross et al. [24] have developed an open-source framework to systematically evaluate the impact of these operators on the extraction of subgrid forcing. Filtering can be implemented using various convolutional kernels, such as top-hat or Gaussian filters, applied in either physical or spectral space [24,40,41]. Coarse-graining methods, on the other hand, include subsampling, box averaging, or spectral truncation [37,40,42]. In general, these operators should align with the numerical discretization scheme of the model to achieve optimal performance [24]. In this work, following the recommendation of [24], filtering is performed using the same quadruple-exponential filter employed for small-scale dissipation in Equation (3), while coarse-graining is carried out via spectral truncation of the spatial modes of the variables. For the downscaling from a resolution of 256 × 256 to 64 × 64, this process begins with a variable represented in Fourier space with 128 modes, of which only the first 32 are retained.
Corresponding to the QG model (Equation (1)), the tendency terms are defined as follows:
t { q } = t q 1 u 1 · q 1 + β 1 x ψ 1 + U 1 x q 1 t q 2 u 2 · q 2 + β 2 x ψ 2 + U 2 x q 2 r e k 2 ψ 2 .
In the following, t H { q } and t L { q } denote the tendency terms computed using the same formulation as in Equation (4), but numerically evaluated on the HR and LR grids, respectively, with different wavenumber cutoffs in de-aliasing and ssd filters.
In order to simplify the derivation of subgrid forcing, we use the first-order Euler forward scheme for the demonstration first, then expand to the AB3 scheme used in pyqg model, by replacing the tendency term at time step n with the linear combination of the tendency terms at time steps n ,   n 1 ,   n 2 .

3.1. Numerical Scheme Without ssd

For the numerical scheme without ssd operator, on the HR grid, at time step n , the variable q H n + 1 is updated using the tendency t H { q H n } :
q H n + 1 = q H n + t H { q H n } · t .
Meanwhile, simulations performed on the LR grid using the same numerical scheme update the variable q L via the tendency term t L { q L n } at each time step n :
q L n + 1 = q L n + t L { q L n } · t .
In this way, q L typically diverges rapidly from q H . To maintain consistency between the LR solution q L and the coarsened HR solution q H ¯ throughout the simulation, a subgrid forcing term S q 1 is introduced into the numerical scheme on the LR grid (Equation (6)):
q L n + 1 = q L n + ( t L { q L n } + S q 1 ( n ) ) · t .
Here, S q 1 ( n ) denotes the value of S q 1 at the n -th time step. For notational convenience, the time step index ( n ) will be suppressed in the following derivation. It should be noted that, following the traditional formulation, the subgrid forcing acts on the tendency term, and this modification precedes the multiplication with the time step t .
Applying the spatial filtering and coarse-graining operator ( · ) ¯ to all the terms in Equation (5) yields the exact evolution equation for the coarsened variable q H ¯ :
q H n + 1 ¯ = q H n ¯ + t H { q H n } ¯ · t .
Assume that at time step n , the LR solution equals the coarsened HR solution, i.e., q L n = q H n ¯ . To ensure that this correspondence holds at the next time step, such that q L n + 1 = q H n + 1 ¯ , we compare Equations (7) and (8), yielding the expression for the subgrid forcing term S q 1 :
S q ( 1 ) = t H { q H n } ¯ t L { q H n ¯ } .
This tendency-based form of the subgrid forcing is precisely the one adopted in references [18,23,24]. To compute this term, initialize the high- and low-resolution models with q H n and q H n ¯ , respectively. Then, using the tendency expression given in Equation (5), subtract the tendency of the LR model t L { q H n ¯ } from the coarsened tendency of the HR model t H { q H n } ¯ .
It should be noted that, if the difference in numerical derivative accuracy between the HR and LR models is negligible, the linear terms in t H { q H n } ¯ are identical to those in t L { q H n ¯ } . For example,
β 1 x ψ 1 ¯ = β 1 x ψ 1 ¯ .
Here, the derivative in x ψ 1 ¯ is computed on the HR grid, whereas in x ψ 1 ¯ it is computed on the LR grid. Under this condition, only the nonlinear terms contribute to the subgrid forcing, leading to the approximation:
S q ( 1 )   u · q ¯ u ¯ · ¯   q ¯ .
Although this nonlinear advection formulation has also been widely used in previous studies [21,22,40,43], it is generally less accurate than the exact expression given in Equation (9) and is therefore not employed in this work.

3.2. Numerical Scheme with ssd

In the numerical scheme employed by pyqg, the ssd operator is applied at each time step to the prognostic variable after it has been updated by the tendency term in Fourier space. For the HR model, the evolution equation can be expressed as follows:
q H n + 1 = s s d H { q H n + t H { q H n } · t } ,
while for the original LR model,
q L n + 1 = s s d L { q L n + t L { q L n } · t } .
Note that s s d H { · } and s s d L · denote the ssd operators applied on the high- and low-resolution grids, respectively. As a result, the wavenumber cutoff thresholds differ between the two operators.
It is important to note that, at each time step of the LR model, the operator s s d L · is applied to the updated prognostic variable. The objective is thus to ensure that the variable computed by the LR model at each time step remains consistent with the corresponding coarsened HR field after the application of s s d L · . In other words, q L n should approximate s s d L { q H n ¯ } , rather than q H n ¯ itself.
Applying the spatial filtering and coarse-graining operator ( · ) ¯ to Equation (12) yields:
q H n + 1 ¯ = s s d H { q H n + t H { q H n } · t } ¯ = s s d H q H n ¯ + s s d H t H { q H n } ¯ · t .
Subsequently, applying s s d L · to the entire Equation (14) gives:
s s d L q H n + 1 ¯ = s s d L s s d H q H n ¯ + s s d H t H { q H n } ¯ · t .
As discussed in Section 3.1, to align the LR solution with the coarsened reference HR solution, it is necessary to introduce a new subgrid forcing term S q 2 into the original LR model (Equation (13)):
q L n + 1 = s s d L { q L n + ( t L { q L n } + S q 2 ( n ) ) · t } .
(In the following, the time step index ( n ) of S q 2 will also be suppressed for notational convenience.) For each time step n , under the condition that q L n = s s d L { q H n ¯ } , the forcing term S q 2 should ensure that q L n + 1 = s s d L { q H n + 1 ¯ } via Equation (16). Thus, the expression for S q 2 could be derived by enforcing consistency conditions at both time levels n and n + 1 .
Substituting q L n = ssd L { q H n ¯ } and q L n + 1 = ssd L { q H n + 1 ¯ } into Equation (16) gives
s s d L q H n + 1 ¯ = s s d L s s d L { q H n ¯ } + t L { s s d L { q H n ¯ } } + S q 2 · t .
Since the left-hand sides of Equations (15) and (17) are identical, their right-hand sides should also be equal:
s s d L s s d H q H n ¯ + s s d H t H { q H n } ¯ · t = s s d L s s d L { q H n ¯ } + t L { s s d L { q H n ¯ } } + S q 2 · t .
By considering the arguments of the outmost s s d L · operator on both sides, we obtain:
s s d H q H n ¯ + s s d H t H { q H n } ¯ · t = s s d L { q H n ¯ } + t L { s s d L { q H n ¯ } } + S q 2 · t .
Therefore, the new subgrid forcing term S q 2 can be derived as follows:
S q 2 = s s d H q H n ¯ s s d L { q H n ¯ } t + s s d H t H { q H n } ¯ t L { s s d L { q H n ¯ } } S q 2 a + S q 2 b .
Here, S q 2 a = s s d H q H n ¯ s s d L { q H n ¯ } / t and S q 2 b = s s d H t H { q H n } ¯ t L { ssd L { q H n ¯ } } denote the two components of S q ( 2 ) , where S q 2 a depends on the value of the prognostic variable itself ( q ) and S q 2 b is associated with the tendency part ( t { q } ). The t term in S q 2 a ensures its dimensional unit consistency with S q 2 b . Typically, at each step of the evolution scheme, the tendency term is significantly smaller than the prognostic variable itself. As a result, even after the modulation of t , S q 2 a may still be substantially larger than S q 2 b . The relative contributions and physical explanations of these two components will be analyzed in detail in a later section.

3.3. Derivation with Adams–Bashforth Scheme

In pyqg, the time integration is performed using the AB3 scheme. The first- and second-order versions of this scheme are employed for the first and second time steps, respectively, to initialize the computation:
q 1 = q 0 + t q 0 · t q 2 = q 1 + 3 2 t q 1 1 2 t q 0 · t q n + 1 = q n + 23 12 t q n 16 12 t q n 1 + 5 12 t q n 2 · t
A new subgrid forcing term S q 3 will be derived to modify the tendency in the LR model. In the following formulation, S q 3 ( n ) denotes its value at time step n , which is incorporated into the corresponding tendency term t L { q L n } . After including the ssd operator, by repeating the filtering and coarsening operations described in Section 3.2, the following relationships, analogous to Equation (19), can be directly obtained.
For the first time step, corresponding to the Adams–Bashforth 1st-order scheme:
s s d H q H 0 ¯ + s s d H t H { q H 0 } ¯ · t = s s d L { q H 0 ¯ } + t L { s s d L { q H 0 ¯ } } + S q 3 ( 0 ) · t .
So,
S q 3 ( 0 ) = s s d H q H 0 ¯ s s d L { q H 0 ¯ } t + s s d H t H { q H 0 } ¯ t L { s s d L { q H 0 ¯ } } = S q 2 a ( 0 ) + S q 2 b ( 0 ) .
The Adams–Bashforth 2nd-order scheme is applied at the second time step:
s s d H q H 1 ¯ + 3 2 s s d H t H q H 1 ¯ 1 2 s s d H t H q H 0 ¯ · t = s s d L { q H 1 ¯ }   + 3 2 t L { s s d L { q H 1 ¯ } } + S q 3 1 1 2 t L { s s d L { q H 0 ¯ } } + S q 3 0 · t .
Then,
S q 3 ( 1 ) = 2 3 s s d H q H 1 ¯ s s d L { q H 1 ¯ } t + 3 2 s s d H t H { q H 1 } ¯ t L { s s d L { q H 1 ¯ } } 1 2 s s d H t H { q H 0 } ¯ t L { s s d L { q H 0 ¯ } } S q 3 0 = 2 3 S q 2 a ( 1 ) + 3 2 S q 2 b ( 1 ) 1 2 S q 2 b ( 0 ) S q 3 0 = 2 3 S q 2 a ( 1 ) + 1 2 S q 2 a ( 0 ) + S q 2 b ( 1 ) .
The Adams–Bashforth 3rd-order scheme is used for the following time steps:
s s d H q H n ¯ + 23 12 s s d H t H q H n ¯ 16 12 s s d H t H q H n 1 ¯ + 5 12 s s d H t H q H n 2 ¯ · t = s s d L q H n ¯ + 23 12 t L { s s d L { q H n ¯ } } + S q 3 n 16 12 t L { s s d L { q H n 1 ¯ } } + S q 3 n 1 + 5 12 t L { s s d L { q H n 2 ¯ } } + S q 3 n 2 · t .
The iterative formula for S q 3 ( n ) can be derived (for n 2 ) as follows:
S q 3 ( n ) = 12 23 s s d H q H n ¯ s s d L { q H n ¯ } t + 23 12 s s d H t H { q H n } ¯ t L s s d L q H n ¯ 16 12 s s d H t H { q H n 1 } ¯ t L { s s d L { q H n 1 ¯ } } S q 3 n 1 + 5 12 s s d H t H { q H n 2 } ¯ t L { s s d L { q H n 2 ¯ } } S q 3 n 2 = 12 23 S q 2 a n + 23 12 S q 2 b n 16 12 S q 2 b n 1 S q 3 n 1 + 5 12 S q 2 b ( n 2 ) S q 3 n 2 .
Compared to S q 2 in Equation (20), the value of S q 3 ( n ) is a function of both S q 3 ( n 1 ) and S q 3 ( n 2 ) , which requires an iterative solution procedure. Theoretically, when iterating from the initial time step, S q 3 ( n ) in Equation (27) can be expressed as a summation of a linear combination of S q 2 a i for i = 0 , ,   n and S q 2 b n , as shown in Equation (25). For example, for n = 2 ,
S q 3 ( 2 ) = 12 23 S q 2 a ( 2 ) + 32 36 S q 2 a ( 1 ) S q 2 a ( 1 ) + 1 36 S q 2 a ( 0 ) + S q 2 b ( 2 ) .
The calculation of S q 3 ( n ) still requires all previous values of S q 2 a , and the coefficients in the linear combination become prohibitively complex as n increases. Moreover, since HR solutions are typically not stored at every time step in practical applications, this iterative procedure poses a significant limitation.

4. Results

Although the subgrid forcing S q 3 (Equations (23), (25) and (27)), derived from the Adams–Bashforth scheme, is theoretically more accurate, its computation requires an iterative procedure. As noted, S q 3 can also be decomposed into two parts: one related to the tendency, which is identical to S q 2 b , and another related to the prognostic variable, which is a weighted summation of previous S q 2 a values. This structural similarity suggests that the more operable and easily diagnosable S q 2 serves as a highly effective approximation for S q 3 . This is confirmed by our simulations, which show that the LR model coupled with S q 2 reproduces the HR results with good accuracy (as shown below).
In this section, to highlight the contribution of the newly introduced subgrid forcing component associated with the ssd operator, we use S q 2 as the new formulation for comparison with the old formulation S q 1 adopted in references [22,23]. Simulation results involving S q 3 will be presented in the discussion section.

4.1. Comparison of Subgrid Forcing

Based on the HR solution, the subgrid forcing on the LR grid can be calculated using the different formulations derived in Section 3. The results for both the Eddy and Jet configurations at the 60,000th h of the 10-year simulations are presented in Figure 3.
In both flow regimes, the magnitude of the traditional forcing term S q ( 1 ) (Figure 3a,e) is nearly an order of magnitude smaller than that of the new term S q ( 2 ) (Figure 3b,f). Within S q ( 2 ) , the component S q ( 2 a ) (Figure 3c,g) is dominant, exceeding the second term S q ( 2 b ) (Figure 3d,h) by almost an order of magnitude. Notably, although the formulation of S q ( 2 b ) differs from S q ( 1 ) by applying the ssd operators to both components of S q ( 1 ) , their results are nearly identical (Figure 3a vs. Figure 3d,e vs. Figure 3h). This indicates that the extra effect of the ssd operator on the tendency part of the subgrid forcing is relatively small. In contrast, the considerably larger values of S q ( 2 a ) reveal that the ssd operators’ effect on the prognostic variable itself is pronounced and must be taken into account in the subgrid forcing calculation. Although no explicit ssd operator appears in the formulation of S q ( 1 ) , the scheme has implicitly incorporated part of the ssd effects, because all prognostic variables in S q ( 1 ) have been adjusted by the ssd operator at every time step.
In order to verify whether the effect from introduction of the ssd operator remains sufficiently small to preserve the energetic consistency of the turbulent flow, we compare the coarsened HR solution q H ¯ before and after applying the operator s s d L · in Figure 4. For both the Eddy and Jet regimes, the two variables exhibit nearly identical spatial structures (Figure 4a vs. b and d vs. e). In the kinetic energy power spectra (Figure 4c,f), comparison of the red line (coarsened field) with the blue line (HR reference) shows that the filtering and coarse-graining operator ( · ) ¯ produces a clear cutoff of energy at small scales (high wavenumbers). In contrast, the operator s s d L · introduces only minor additional dissipation, as indicated by the black dashed line.

4.2. Simulations with Different Subgrid Forcing

In this subsection, we compare simulation results obtained using different subgrid forcing terms in the LR models. The coarsened HR solution at the 60,000th h serves as the initial condition for all LR simulations. For both the Eddy and Jet configurations, the HR solutions are used to compute the subgrid forcing terms ( S q ( 1 ) and S q ( 2 ) ) at each time step in advance. These are stored in the predefined matrices. During the LR simulations, the saved forcing values are applied to modify the evolution scheme at every time step. In practice, this is implemented in pyqg by replacing the standard parameterization scheme with the precomputed subgrid forcing matrix. The flowchart of these simulations is shown in Figure 5.
The simulations are conducted on LR grids for an additional 4000 h under three distinct configurations: (1) pure LR model without any subgrid forcing, (2) with the conventional subgrid forcing S q ( 1 ) , and (3) with the new subgrid forcing S q ( 2 ) . The coarsened HR solutions are treated as the reference truth for comparison.
Snapshots of the results after 4000 h for the Eddy case are shown in Figure 6. Figure 6a,e display the coarsened PV and KE fields, specifically, s s d L { ( · ) ¯ } of the HR solution, which serve as the reference truth. Both the simulation using the pure LR model (Figure 6b,f) and the one with the conventional subgrid forcing S q ( 1 ) (Figure 6c,g) deviate significantly from the truth. In contrast, the simulation incorporating the new subgrid forcing S q ( 2 ) (Figure 6d,h) remains very close to the reference.
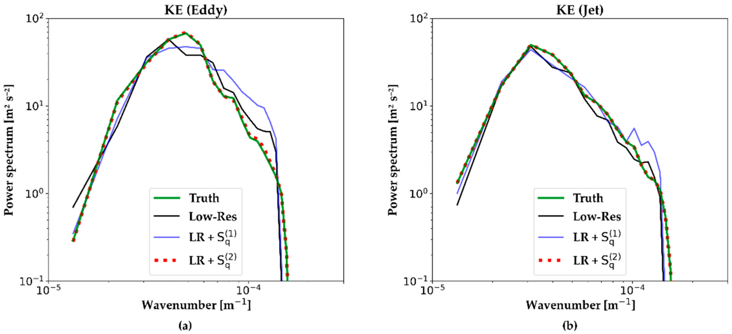
The kinetic energy (KE) power spectra in Figure 7a further corroborate these findings: simulations without subgrid forcing (black solid line) and with S q ( 1 ) (blue solid line) show substantial deviations from the truth (green solid line), particularly due to unresolved turbulent processes that affect all scales. Meanwhile, the spectrum of the simulation using S q ( 2 ) (red dashed line) aligns almost perfectly with the reference.
Similar results for the Jet configuration are presented in Figure 7b and Figure 8. Both the spatial snapshots and the kinetic energy power spectra confirm that the LR model incorporating the S q ( 2 ) subgrid forcing accurately reproduces the coarsened HR solution, whereas the other two configurations fail to do so.
These simulation results confirm that, within the framework of the two-layer QG model implemented in pyqg, the newly proposed subgrid forcing term S q ( 2 ) is sufficiently accurate to ensure that low-resolution (LR) simulations remain consistent with the coarsened high-resolution (HR) solution.

5. Discussion

As shown in Equation (20), the new subgrid forcing S q ( 2 ) consists of two components: S q ( 2 a ) and S q ( 2 b ) . The term S q ( 2 a ) , which is primarily associated with the prognostic variable, is nearly an order of magnitude larger (as shown in Figure 3) than the S q ( 2 b ) , which is more closely related to the tendency term. Following the methodology outlined in Section 4.2, simulations are conducted using each component individually as the subgrid forcing. The kinetic energy snapshots at the 4000th h (Figure 9) reveal that simulations employing only S q ( 2 a ) or S q ( 2 b ) deviate significantly from the reference truth. These results confirm that both components are essential for accurately representing the subgrid forcing, despite the dominant contribution of S q ( 2 a ) .
As configured in this study, the HR and LR models can be regarded as eddy-resolving and eddy-permitting, respectively. In the absence of appropriate subgrid forcing, the LR model fails to accurately represent essential energy pathways, such as the conversion of available potential energy into subgrid kinetic energy and the backscatter of kinetic energy to the large-scale flow. Consequently, a number of parameterization schemes have been proposed to energize eddies and supplement the resolved kinetic energy flux [15,44,45]. By leveraging subgrid forcing derived from the nonlinear advection form, the developed data-driven parameterization schemes enhance KE at larger spatial scales, suggesting more efficient backscatter, while yielding insufficient KE at smaller scales, thus highlighting the likely role of viscous effects [43]. As indicated in Equation (11), S q ( 1 ) can be reduced to the nonlinear advection form, and S q ( 2 b ) is nearly identical to S q ( 1 ) . We therefore infer that S q ( 2 b ) is capable of capturing most physical subgrid-scale processes, including energy backscatter, while the role of S q ( 2 a ) in representing another component of numerical diffusion requires more attention.
Furthermore, only the simulation results in the upper layer are shown in the previous section, while the LR model with S q ( 2 ) also accurately reproduces the reference coarsened HR simulations in the lower layer, as demonstrated in Figure 10.
The KE power spectra in Figure 7 indicate that in the Jet simulations, both the pure LR model and the model using S q ( 1 ) appear closer to the reference truth than in the Eddy case. This may be attributed to the strong background coherent jet flow, which helps maintain the inertia of large-scale motions over a longer duration. Indeed, the Jet simulation incorporating S q ( 2 ) remains closely aligned with the reference solution even after one year (Figure 11), although a noticeable deviation emerges in the top-right region. In contrast, the Eddy simulation begins to deviate significantly after approximately 5000 h, likely due to the accumulation of numerical errors over time.
As noted previously, the subgrid forcing S q ( 3 ) is strictly derived from the Adams–Bashforth time-stepping scheme employed in pyqg, which grants it a theoretical advantage in accuracy over S q ( 2 ) . Indeed, LR simulations utilizing S q ( 3 ) maintain consistency with the reference truth over significantly longer durations. This extended fidelity is evidenced in Figure 12, which displays snapshots at the 6000th h for the Eddy regime and the 12,000th h for the Jet regime.
It should be emphasized that this study focuses on developing a more accurate diagnostic method to extract subgrid forcing from HR simulation results, which will subsequently facilitate the development of data-driven parameterization schemes. In operational LR forecasting simulations, the assumption of perfect alignment between LR and coarsened HR fields does not generally hold, and HR data are not available a priori. Therefore, a critical next step is to develop new parameterization schemes capable of estimating the subgrid forcing solely from the resolved LR flow fields. Such schemes should ensure that the evolving LR solutions remain as close as possible, or at least statistically consistent, with the target coarsened HR solutions.
Notice that in our LR simulations incorporating different subgrid forcing terms, the HR simulations are first saved and used to precompute the subgrid forcing. The derivation of subgrid forcing at each time step relies on the assumption of perfect alignment between the LR and coarsened HR fields at the previous time step. However, during the LR simulations, the numerical calculations will introduce unavoidable alignment errors, even if very small, which will accumulate over successive time steps. As a result, the LR solution gradually diverges from the corresponding HR solution, and the precomputed subgrid forcing becomes increasingly inaccurate. This inaccuracy, in turn, causes the LR solution at the next step to deviate further from the reference HR solution. Therefore, even though S q ( 3 ) is accurately derived using the Adams–Bashforth scheme implemented in pyqg, the LR simulation incorporating S q ( 3 ) will still eventually diverge from the reference coarsened HR simulation after a number of time steps.
Since the focus of this study is on the method for extracting subgrid forcing, rather than the future development of parametrization schemes, the long-term consistency (over thousands of hours) between the LR simulations using S q ( 2 ) or S q ( 3 ) and the coarsened HR simulations already validates their accuracy, particularly when compared to the previously used S q ( 1 ) . Notably, although S q ( 3 ) is more accurate, it requires an iterative calculation process, whereas S q ( 2 ) can be derived directly from a single snapshot of the HR solutions. This makes S q ( 2 ) computationally more efficient without losing too much accuracy, rendering it a practical alternative to S q ( 3 ) . For other widely used temporal integration schemes in ocean forecasting models, such as Runge–Kutta schemes, the derivation of an accurate subgrid forcing would, in principle, resemble the procedures for S q ( 3 ) described in Section 3.3. However, it is expected to be considerably more complex, as it must account for tendency terms at fractional time steps. Based on the present results, we conjecture that S q ( 2 ) should also provide sufficiently accurate subgrid forcing in such numerical frameworks.
Moreover, in many practical applications, the time steps used in LR and HR models often differ, necessitating corresponding adaptations in the formulation of subgrid forcing. Typically, the LR model employs a larger time step, which requires the subgrid forcing to be integrated over all HR solutions within that coarse time interval. The problem becomes more complex when adaptive time stepping, based on the CFL condition, is introduced. The derivation process in such cases would similarly require iterative computation, akin to that of S q ( 3 ) . Therefore, S q ( 2 ) may still be considered a viable and more efficient alternative.
It should also be noted that this study is confined to idealized configurations featuring periodic boundaries and a flat bottom. In realistic ocean basins, complex boundaries and bathymetric features generate intricate boundary layer flow structures. Their accurate representation in numerical schemes requires special care, which in turn necessitates a more rigorous investigation into subgrid forcing extraction. Although this study focuses on the ssd operator within a pseudo-spectral framework, analogous artificial viscosity operators are widely adopted across various oceanic numerical models. Therefore, the methodology for subgrid forcing extraction proposed here should also be applicable in those contexts. Before extending this approach to more complex operational ocean circulation systems, it should first be validated in other reduced models, such as those referenced in the introduction [26,27,28,29,30,31], that incorporate physical processes beyond the mesoscale eddies and jets considered here, including submesoscale dynamics and wave–eddy interactions. Primitive equation models would be required to investigate the effects of important dynamical factors not considered in this study, including more complex vertical stratification, non-hydrostatic processes, and boundary layer dynamics. Although the derivation of the subgrid forcing may be similar, the relative importance of numerical dissipation compared to the physical effects of unresolved processes requires careful investigation in these specific contexts, since these processes have smaller spatial scales and evolve much faster than mesoscale eddies and jets. All these important directions will be systematically pursued in future studies. Ultimately, this work demonstrates that accurately extracting subgrid forcing from high-resolution simulations requires explicit consideration of the specific numerical discretization scheme employed.

6. Conclusions

The accuracy of subgrid-scale (SGS) process parameterization is critical for realistic ocean circulation modeling. In recent years, data-driven SGS parameterizations derived from high-resolution simulations have gained significant attention; however, the performance of such methods is highly sensitive to the formulation used to extract the subgrid forcing. Within the framework of a quasi-geostrophic ocean model, we rigorously derive more accurate formulations for subgrid forcing, emphasizing the essential role of small-scale dissipation, which is an aspect not fully considered in previous studies. Numerical experiments demonstrate that the proposed subgrid forcing terms enable low-resolution simulations to closely reproduce coarsened high-resolution results. Although the extraction algorithms developed in this study are diagnostic in nature, they could provide more accurate target data that facilitate the subsequent development of data-driven parameterization schemes.

Author Contributions

Conceptualization, Q.D.; methodology, Q.D.; software, H.S.; validation, Q.D. and H.S.; formal analysis, Q.D.; investigation, Q.D.; writing—original draft preparation, Q.D.; writing—review and editing, Q.D. and H.S.; visualization, H.S.; supervision, Q.D.; project administration, Q.D.; funding acquisition, Q.D. All authors have read and agreed to the published version of the manuscript.

Funding

This research was supported by the National Key Research and Development Program under Grant 2023YFC3107802, the Fujian Provincial Natural Science Foundation of China under Grant 2021J01024, and the Major Science and Technology Project of Fujian Province under Grant 2024YZ040025.

Data Availability Statement

The codes used for the simulations in this study are available at Zenodo via https://doi.org/10.5281/zenodo.17272195 (accessed on 5 October 2025) under a Creative Commons Attribution 4.0 International license. Further inquiries can be directed to the corresponding author.

Conflicts of Interest

The authors declare no conflicts of interest.

Abbreviations

The following abbreviations are used in this manuscript:
LRLow Resolution
HRHigh Resolution
ssdSmall-Scale dissipation
QGQuasi-Geostrophic
SGSSubgrid Scale
PVPotential Vorticity
KEKinetic Energy
AB3Adams–Bashforth 3rd-Order

References

  1. Vallis, G.K. Climate and the Oceans; Princeton University Press: Princeton, NJ, USA, 2011. [Google Scholar]
  2. Vallis, G.K. Atmospheric and Oceanic Fluid Dynamics; Cambridge University Press: Cambridge, UK, 2017. [Google Scholar]
  3. Eden, C.; Czeschel, L.; Olbers, D. Toward Energetically Consistent Ocean Models. J. Phys. Oceanogr 2014, 44, 3160–3184. [Google Scholar] [CrossRef]
  4. Ferrari, R.; Wunsch, C. Ocean circulation kinetic energy: Reservoirs, sources, and sinks. Annu. Rev. Fluid Mech. 2009, 41, 253–282. [Google Scholar] [CrossRef]
  5. Storer, B.A.; Buzzicotti, M.; Khatri, H.; Griffies, S.M.; Aluie, H. Global energy spectrum of the general oceanic circulation. Nat. Commun. 2022, 13, 5314. [Google Scholar] [CrossRef]
  6. Thomas, L.N.; Tandon, A.; Mahadevan, A. Submesoscale processes and dynamics. In Ocean Modeling in an Eddying Regime, Geophys. Monograph Series; Wiley Online Library: Hoboken, NJ, USA, 2008; Volume 177, pp. 17–38. [Google Scholar]
  7. McWilliams, J.C. Submesoscale currents in the ocean. Proc. R. Soc. A 2016, 472, 20160177. [Google Scholar] [CrossRef]
  8. Thomas, J. Turbulent wave-balance exchanges in the ocean. Proc. R. Soc. A 2023, 479, 20220565. [Google Scholar] [CrossRef]
  9. Miller, R.N. Numerical Modeling of Ocean Circulation; Cambridge University Press: Cambridge, UK, 2007; p. 242. [Google Scholar]
  10. Xie, J.; Yu, J.; Zhou, Y.; Liu, H.; Wei, J.; Han, X.; Xu, K.; Yu, M.; Yu, Z.; Lin, P.; et al. A 1-km resolution global ocean simulation promises to unveil oceanic multi-scale dynamics and climate impacts. Innovation 2025, 6, 100843. [Google Scholar] [CrossRef]
  11. Chassignet, E.P.; Verron, J. Ocean Modeling and Parameterization; Springer: Dordrecht, The Netherlands, 1998; p. 451. [Google Scholar]
  12. Fox-Kemper, B.; Adcroft, A.; Böning, C.W.; Chassignet, E.P.; Curchitser, E.; Danabasoglu, G.; Eden, C.; England, M.H.; Gerdes, R.; Greatbatch, R.J.; et al. Challenges and prospects in ocean circulation models. Front. Mar. Sci. 2019, 6, 65. [Google Scholar] [CrossRef]
  13. Smagorinsky, J. General circulation experiments with the primitive equations: I. The basic experiment. Mon. Weather Rev. 1963, 91, 99–164. [Google Scholar] [CrossRef]
  14. Gent, P.R.; Mcwilliams, J.C. Isopycnal mixing in ocean circulation models. J. Phys. Oceanogr. 1990, 20, 150–155. [Google Scholar] [CrossRef]
  15. Jansen, M.F.; Held, I.M. Parameterizing subgrid-scale eddy effects using energetically consistent backscatter. Ocean. Model. 2014, 80, 36–48. [Google Scholar] [CrossRef]
  16. Khani, S.; Porté-Agel, F. Evaluation of non-eddy viscosity subgrid-scale models in stratified turbulence using direct numerical simulations. Eur. J. Mech. B Fluids 2017, 65, 168–178. [Google Scholar] [CrossRef]
  17. Bolton, T.; Zanna, L. Applications of deep learning to ocean data inference and subgrid parameterization. J. Adv. Model. Earth Syst. 2019, 11, 376–399. [Google Scholar] [CrossRef]
  18. Guan, Y.; Chattopadhyay, A.; Subel, A.; Hassanzadeh, P. Stable a posteriori LES of 2D turbulence using convolutional neural networks: Backscattering analysis and generalization to higher Re via transfer learning. J. Comput. Phys. 2022, 458, 111090. [Google Scholar] [CrossRef]
  19. Guillaumin, A.P.; Zanna, L. Stochastic-deep learning parameterization of ocean momentum forcing. J. Adv. Model. Earth Syst. 2021, 13, e2021MS002534. [Google Scholar] [CrossRef]
  20. Yuval, J.; O’Gorman, P.A.; Hill, C.N. Use of neural networks for stable, accurate and physically consistent parameterization of subgrid atmospheric processes with good performance at reduced precision. Geophys. Res. Lett. 2021, 48, e2020GL091363. [Google Scholar] [CrossRef]
  21. Beck, A.; Flad, D.; Munz, C.D. Deep neural networks for data-driven LES closure models. J. Comput. Phys. 2019, 398, 108910. [Google Scholar] [CrossRef]
  22. Maulik, R.; San, O.; Rasheed, A.; Vedula, P. Subgrid modelling for two-dimensional turbulence using neural networks. J. Fluid Mech. 2019, 858, 122–144. [Google Scholar] [CrossRef]
  23. Berloff, P.; Ryzhov, E.; Shevchenko, I. On dynamically unresolved oceanic mesoscale motions. J. Fluid Mech. 2021, 920, A41. [Google Scholar] [CrossRef]
  24. Ross, A.; Li, Z.; Perezhogin, P.; Fernandez-Granda, C.; Zanna, L. Benchmarking of machine learning ocean subgrid parameterizations in an idealized model. J. Adv. Model. Earth Syst. 2023, 15, e2022MS003258. [Google Scholar] [CrossRef]
  25. Yan, F.E.; Frezat, H.; Le Sommer, J.; Mak, J.; Otness, K. Adjoint-based online learning of two-layer quasi-geostrophic baroclinic turbulence. J. Adv. Model. Earth Syst. 2025, 17, e2024MS004857. [Google Scholar] [CrossRef]
  26. Li, L.; Deremble, B.; Lahaye, N.; Mémin, E. Stochastic data-driven parameterization of unresolved eddy effects in a baroclinic quasi-geostrophic model. J. Adv. Model. Earth Syst. 2023, 15, e2022MS003297. [Google Scholar] [CrossRef]
  27. Lapeyre, G. Surface quasi-geostrophy. Fluids 2017, 2, 7. [Google Scholar] [CrossRef]
  28. Yassin, H.; Griffies, S.M. Surface quasigeostrophic turbulence in variable stratification. J. Phys. Oceanogr. 2022, 52, 2995–3013. [Google Scholar] [CrossRef]
  29. Hoskins, B.J.; Bretherton, F. Atmospheric frontogenesis models: Mathematical formulation and solutions. J. Atmos. Sci. 1972, 29, 11–37. [Google Scholar] [CrossRef]
  30. Ragone, F.; Badin, G. A study of surface semi-geostrophic turbulence: Freely decaying dynamics. J. Fluid Mech. 2016, 792, 740–774. [Google Scholar] [CrossRef]
  31. Gowthaman, K.; Thomas, J. S-2DV: A new reduced model generating submesoscale-like flows. J. Adv. Model. Earth Syst. 2024, 16, 2024MS004438. [Google Scholar] [CrossRef]
  32. Berloff, P.S. Random-forcing model of the mesoscale oceanic eddies. J. Fluid Mech. 2005, 529, 71–95. [Google Scholar] [CrossRef]
  33. Porta Mana, P.; Zanna, L. Toward a stochastic parameterization of ocean mesoscale eddies. Ocean. Model. 2014, 79, 1–20. [Google Scholar] [CrossRef]
  34. Abernathey, R.; Rocha, C.B.; Ross, A.; Jansen, M.; Li, Z.; Poulin, F.J.; Constantinou, N.C.; Sinha, A.; Balwada, D.; Jones, S.; et al. pyqg/pyqg: V0.7.2. 2022. Available online: https://zenodo.org/records/6563667 (accessed on 1 January 2024).
  35. Fox, D.G.; Orszag, S.A. Pseudospectral approximation to two-dimensional turbulence. J. Comput. Phys. 1973, 11, 612–619. [Google Scholar] [CrossRef]
  36. Orszag, S.A. On the elimination of aliasing in finite-difference schemes by filtering high-wavenumber components. J. Atmos. Sci. 1971, 28, 1074. [Google Scholar] [CrossRef]
  37. Thuburn, J.; Kent, J.; Wood, N. Cascades, backscatter and conservation in numerical models of two-dimensional turbulence. Q. J. R. Meteorol. Soc. 2014, 140, 626–638. [Google Scholar] [CrossRef]
  38. Margolin, L.G. The reality of artificial viscosity. Shock. Waves 2019, 29, 27–35. [Google Scholar] [CrossRef]
  39. Gallet, B.; Ferrari, R. A quantitative scaling theory for meridional heat transport in planetary atmospheres and oceans. AGU Adv. 2021, 2, e2020AV000362. [Google Scholar] [CrossRef]
  40. Xie, C.; Wang, J.; E, W. Modeling subgrid-scale forces by spatial artificial neural networks in large eddy simulation of turbulence. Phys. Rev. Fluids 2020, 5, 054606. [Google Scholar] [CrossRef]
  41. Grooms, I.; Loose, N.; Abernathey, R.; Steinberg, J.; Bachman, S.D.; Marques, G.; Guillaumin, A.P.; Yankovsky, E. Diffusion-based smoothers for spatial filtering of gridded geophysical data. J. Adv. Model. Earth Syst. 2021, 13, e2021MS002552. [Google Scholar] [CrossRef]
  42. Beck, A.; Kurz, M. A perspective on machine learning methods in turbulence modeling. GAMM-Mitteilungen 2021, 44, e202100002. [Google Scholar] [CrossRef]
  43. Zanna, L.; Bolton, T. Data-driven equation discovery of ocean mesoscale closures. Geophys. Res. Lett. 2020, 47, e2020GL088376. [Google Scholar] [CrossRef]
  44. Bachman, S.D. The GM+ E closure: A framework for coupling backscatter with the Gent and McWilliams parameterization. Ocean. Model. 2019, 136, 85–106. [Google Scholar] [CrossRef]
  45. Jansen, M.F.; Held, I.M.; Adcroft, A.; Hallberg, R. Energy budget-based backscatter in an eddy permitting primitive equation model. Ocean. Model. 2015, 94, 15–26. [Google Scholar] [CrossRef]
Figure 1. Time series of the kinetic energy (KE) density in the upper (solid black line) and lower (dashed red line) layers for the Eddy (a) and Jet (b) configurations with HR models; and the time-mean (averaged from 65,000 to 85,000 h) upper-layer KE spectra for HR (green line) and LR (red line) simulations in the Eddy (c) and Jet (d) configurations.
Figure 1. Time series of the kinetic energy (KE) density in the upper (solid black line) and lower (dashed red line) layers for the Eddy (a) and Jet (b) configurations with HR models; and the time-mean (averaged from 65,000 to 85,000 h) upper-layer KE spectra for HR (green line) and LR (red line) simulations in the Eddy (c) and Jet (d) configurations.
Mathematics 13 03317 g001
Figure 2. Snapshots of the potential vorticity (PV) and kinetic energy (KE) at the 60,000th h of the 10-year HR simulations in Eddy (top row) and Jet (bottom row) configurations. (a,b,e,f) Upper layer; (c,d,g,h) Lower layer.
Figure 2. Snapshots of the potential vorticity (PV) and kinetic energy (KE) at the 60,000th h of the 10-year HR simulations in Eddy (top row) and Jet (bottom row) configurations. (a,b,e,f) Upper layer; (c,d,g,h) Lower layer.
Mathematics 13 03317 g002
Figure 3. Spatial structure comparison of the different subgrid forcing in the upper layer, extracted from the HR solutions with the Eddy (top row) and Jet (bottom row) configurations, at the 60,000th h of the 10-year simulations. (a,e) S q ( 1 ) , the original tendency formulation without specific consideration of the ssd operator; (b,f) S q ( 2 ) , the newly derived formulation modified by the ssd operator; (c,g) S q ( 2 a ) , the component in S q ( 2 ) related to the prognostic variable itself; (d,h) S q ( 2 b ) , the component in S q ( 2 ) related to the tendency part.
Figure 3. Spatial structure comparison of the different subgrid forcing in the upper layer, extracted from the HR solutions with the Eddy (top row) and Jet (bottom row) configurations, at the 60,000th h of the 10-year simulations. (a,e) S q ( 1 ) , the original tendency formulation without specific consideration of the ssd operator; (b,f) S q ( 2 ) , the newly derived formulation modified by the ssd operator; (c,g) S q ( 2 a ) , the component in S q ( 2 ) related to the prognostic variable itself; (d,h) S q ( 2 b ) , the component in S q ( 2 ) related to the tendency part.
Mathematics 13 03317 g003
Figure 4. A comparison of the spatial structure and kinetic energy spectra for coarsened HR solutions in the upper layer, with and without the ssd operation, at 60,000th h for the Eddy (top row) and Jet (bottom row) regimes. (a,d) Coarsened HR solution, q H ¯ ; (b,e) coarsened HR solution after applying the operator s s d L · ; (c,f) kinetic energy power spectra of the reference HR solution (blue solid line), the coarsened HR solution before (red solid line) and after (black dashed line) applying the s s d L · operator.
Figure 4. A comparison of the spatial structure and kinetic energy spectra for coarsened HR solutions in the upper layer, with and without the ssd operation, at 60,000th h for the Eddy (top row) and Jet (bottom row) regimes. (a,d) Coarsened HR solution, q H ¯ ; (b,e) coarsened HR solution after applying the operator s s d L · ; (c,f) kinetic energy power spectra of the reference HR solution (blue solid line), the coarsened HR solution before (red solid line) and after (black dashed line) applying the s s d L · operator.
Mathematics 13 03317 g004
Figure 5. The flowchart of the simulations with different subgrid forcing.
Figure 5. The flowchart of the simulations with different subgrid forcing.
Mathematics 13 03317 g005
Figure 6. Comparison of the upper layer PV (top row) and KE (bottom row) for the simulations with different subgrid forcing adjustment, at the following 4000th h in the Eddy regime. (a,e) The coarsened ( ssd L { · ¯ } ) HR solution, denoted as the truth; (b,f) pure LR model without subgrid forcing; (c,g) LR model with subgrid forcing S q ( 1 ) ; (d,h) LR model with subgrid forcing S q ( 2 ) .
Figure 6. Comparison of the upper layer PV (top row) and KE (bottom row) for the simulations with different subgrid forcing adjustment, at the following 4000th h in the Eddy regime. (a,e) The coarsened ( ssd L { · ¯ } ) HR solution, denoted as the truth; (b,f) pure LR model without subgrid forcing; (c,g) LR model with subgrid forcing S q ( 1 ) ; (d,h) LR model with subgrid forcing S q ( 2 ) .
Mathematics 13 03317 g006
Figure 7. Comparison of the KE power spectra from different simulations at the following 4000th h in the Eddy (a) and Jet (b) regimes. (Green solid line) The coarsened ( ssd L { · ¯ } ) HR solution, denoted as Truth; (black solid line) Pure LR model without subgrid forcing; (blue solid line) LR model with subgrid forcing S q ( 1 ) ; (red dashed line) LR model with subgrid forcing S q ( 2 ) .
Figure 7. Comparison of the KE power spectra from different simulations at the following 4000th h in the Eddy (a) and Jet (b) regimes. (Green solid line) The coarsened ( ssd L { · ¯ } ) HR solution, denoted as Truth; (black solid line) Pure LR model without subgrid forcing; (blue solid line) LR model with subgrid forcing S q ( 1 ) ; (red dashed line) LR model with subgrid forcing S q ( 2 ) .
Mathematics 13 03317 g007
Figure 8. Comparison of the upper layer PV (top row) and KE (bottom row) for the simulations with different subgrid forcing adjustment, at the following 4000th h in the Jet regime. (a,e) The coarsened ( ssd L { · ¯ } ) HR solution, denoted as the truth; (b,f) pure LR model without subgrid forcing; (c,g) LR model with subgrid forcing S q ( 1 ) ; (d,h) LR model with subgrid forcing S q ( 2 ) .
Figure 8. Comparison of the upper layer PV (top row) and KE (bottom row) for the simulations with different subgrid forcing adjustment, at the following 4000th h in the Jet regime. (a,e) The coarsened ( ssd L { · ¯ } ) HR solution, denoted as the truth; (b,f) pure LR model without subgrid forcing; (c,g) LR model with subgrid forcing S q ( 1 ) ; (d,h) LR model with subgrid forcing S q ( 2 ) .
Mathematics 13 03317 g008
Figure 9. Comparison of KE from different simulations at the following 4000th h in the Eddy (Top) and Jet (Bottom) regimes. (a,d) The coarsened ( ssd L { · ¯ } ) HR solution; (b,e) LR model with subgrid forcing S q ( 2 a ) ; (c,f) LR model with subgrid forcing S q ( 2 b ) .
Figure 9. Comparison of KE from different simulations at the following 4000th h in the Eddy (Top) and Jet (Bottom) regimes. (a,d) The coarsened ( ssd L { · ¯ } ) HR solution; (b,e) LR model with subgrid forcing S q ( 2 a ) ; (c,f) LR model with subgrid forcing S q ( 2 b ) .
Mathematics 13 03317 g009
Figure 10. Comparison of the lower layer PV and KE for the truth and the LR simulations with subgrid forcing S q ( 2 ) , at the following 4000th h in the Eddy regime (top row) and Jet regime (bottom row). (a,c,e,g) The coarsened ( ssd L { · ¯ } ) HR solutions, denoted as the truth; (b,d,f,h) the corresponding results from LR simulations with S q ( 2 ) .
Figure 10. Comparison of the lower layer PV and KE for the truth and the LR simulations with subgrid forcing S q ( 2 ) , at the following 4000th h in the Eddy regime (top row) and Jet regime (bottom row). (a,c,e,g) The coarsened ( ssd L { · ¯ } ) HR solutions, denoted as the truth; (b,d,f,h) the corresponding results from LR simulations with S q ( 2 ) .
Mathematics 13 03317 g010
Figure 11. Same as Figure 8, comparison of the upper layer PV (top row) and KE (bottom row) for the simulations with different subgrid forcing adjustments, but for the snapshots after 1-year simulations in the Jet regime. (a,e) The coarsened ( ssd L { · ¯ } ) HR solution, denoted as the truth; (b,f) pure LR model without subgrid forcing; (c,g) LR model with subgrid forcing S q ( 1 ) ; (d,h) LR model with subgrid forcing S q ( 2 ) .
Figure 11. Same as Figure 8, comparison of the upper layer PV (top row) and KE (bottom row) for the simulations with different subgrid forcing adjustments, but for the snapshots after 1-year simulations in the Jet regime. (a,e) The coarsened ( ssd L { · ¯ } ) HR solution, denoted as the truth; (b,f) pure LR model without subgrid forcing; (c,g) LR model with subgrid forcing S q ( 1 ) ; (d,h) LR model with subgrid forcing S q ( 2 ) .
Mathematics 13 03317 g011
Figure 12. Comparison of the upper layer PV and KE for the truth and the LR simulations with subgrid forcing S q ( 3 ) , at the following 6000th h for the Eddy regime (top row) and 12,000th h for the Jet regime (bottom row). (a,c,e,g) The coarsened ( ssd L { · ¯ } ) HR solutions, denoted as the truth; (b,d,f,h) the corresponding results from LR simulations with S q ( 3 ) .
Figure 12. Comparison of the upper layer PV and KE for the truth and the LR simulations with subgrid forcing S q ( 3 ) , at the following 6000th h for the Eddy regime (top row) and 12,000th h for the Jet regime (bottom row). (a,c,e,g) The coarsened ( ssd L { · ¯ } ) HR solutions, denoted as the truth; (b,d,f,h) the corresponding results from LR simulations with S q ( 3 ) .
Mathematics 13 03317 g012
Table 1. Summary of Parameters Used for the Simulations of Eddy and Jet Configuration.
Table 1. Summary of Parameters Used for the Simulations of Eddy and Jet Configuration.
ParameterSymbolEddyJet
Meridional planetary vorticity gradient β 1.5 × 10−11 m−1 s−11.0 × 10−11 m−1 s−1
Bottom friction coefficient r e k 5.787 × 10−7 s−17.0 × 10−8 s−1
Layer thickness( H 1 , H 2 )(500, 2000) m(500, 5000) m
Prescribed mean zonal flows( U 1 , U 2 )(0.025, 0) m/s(0.025, 0) m/s
Deformation radius L d 15,000 m15,000 m
Disclaimer/Publisher’s Note: The statements, opinions and data contained in all publications are solely those of the individual author(s) and contributor(s) and not of MDPI and/or the editor(s). MDPI and/or the editor(s) disclaim responsibility for any injury to people or property resulting from any ideas, methods, instructions or products referred to in the content.

Share and Cite

MDPI and ACS Style

Sun, H.; Deng, Q. The Critical Role of Small-Scale Dissipation in Deriving Subgrid Forcing Within an Ocean Quasi-Geostrophic Model. Mathematics 2025, 13, 3317. https://doi.org/10.3390/math13203317

AMA Style

Sun H, Deng Q. The Critical Role of Small-Scale Dissipation in Deriving Subgrid Forcing Within an Ocean Quasi-Geostrophic Model. Mathematics. 2025; 13(20):3317. https://doi.org/10.3390/math13203317

Chicago/Turabian Style

Sun, Honggen, and Qiang Deng. 2025. "The Critical Role of Small-Scale Dissipation in Deriving Subgrid Forcing Within an Ocean Quasi-Geostrophic Model" Mathematics 13, no. 20: 3317. https://doi.org/10.3390/math13203317

APA Style

Sun, H., & Deng, Q. (2025). The Critical Role of Small-Scale Dissipation in Deriving Subgrid Forcing Within an Ocean Quasi-Geostrophic Model. Mathematics, 13(20), 3317. https://doi.org/10.3390/math13203317

Note that from the first issue of 2016, this journal uses article numbers instead of page numbers. See further details here.

Article Metrics

Back to TopTop