Modelling the Transition from Shear-Driven Turbulence to Convective Turbulence in a Vertical Heated Pipe
Abstract
1. Introduction
2. Model for Heated Pipe Flow
2.1. Fixed Temperature Difference Between Bulk and Boundary
2.2. Fixed Heat Flux at the Boundary
2.3. Time-Integration Code
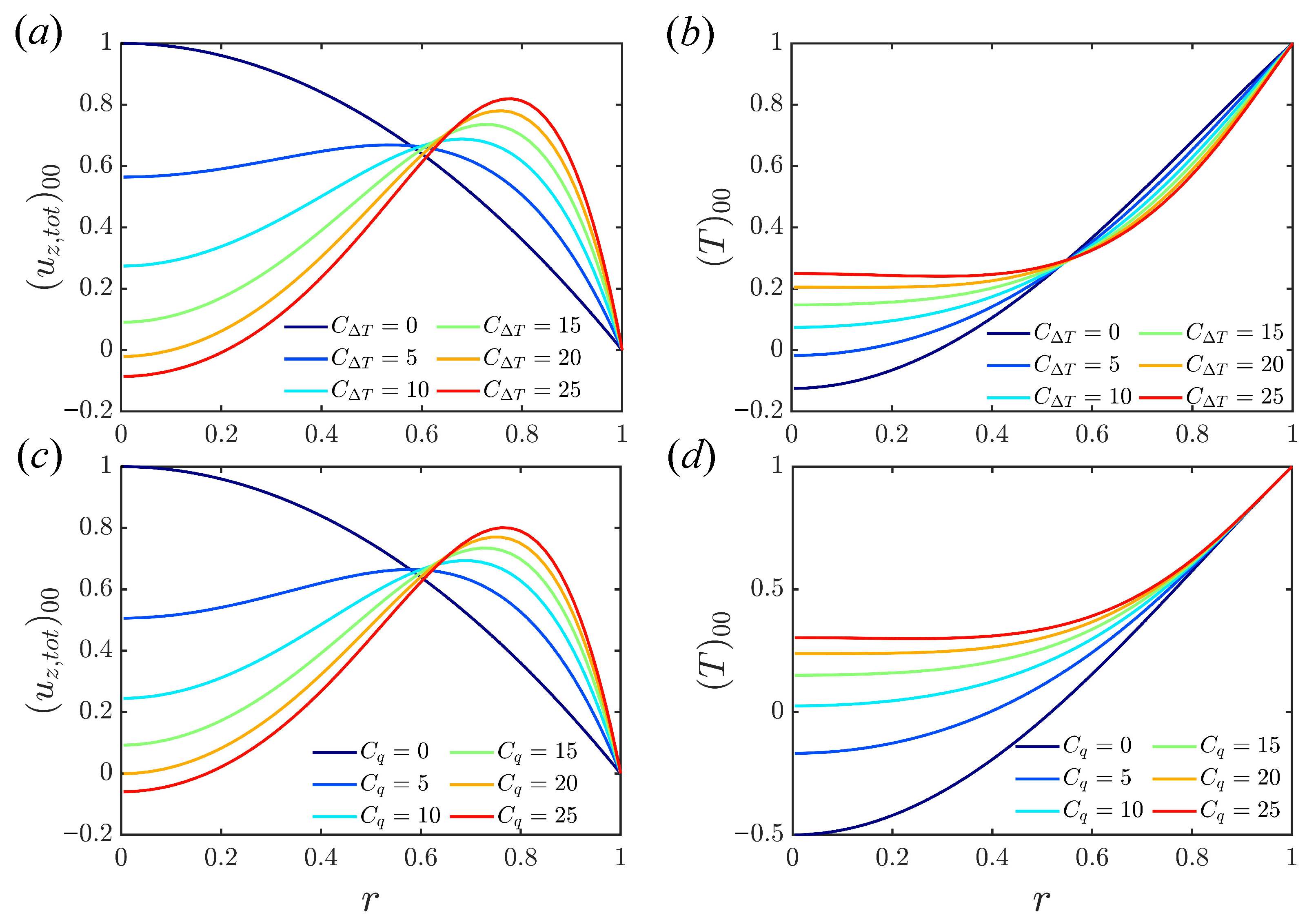
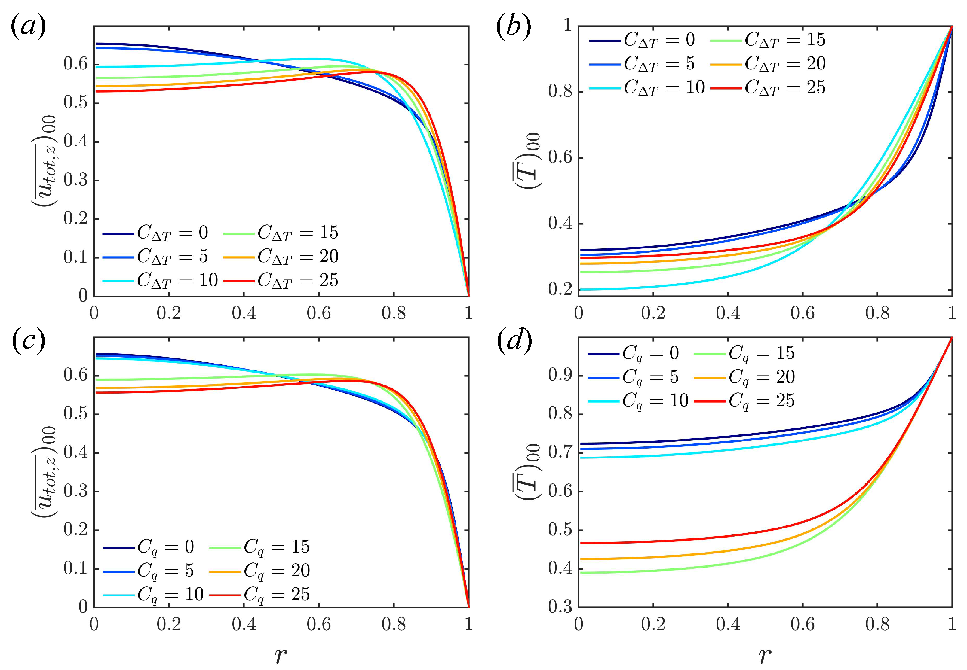
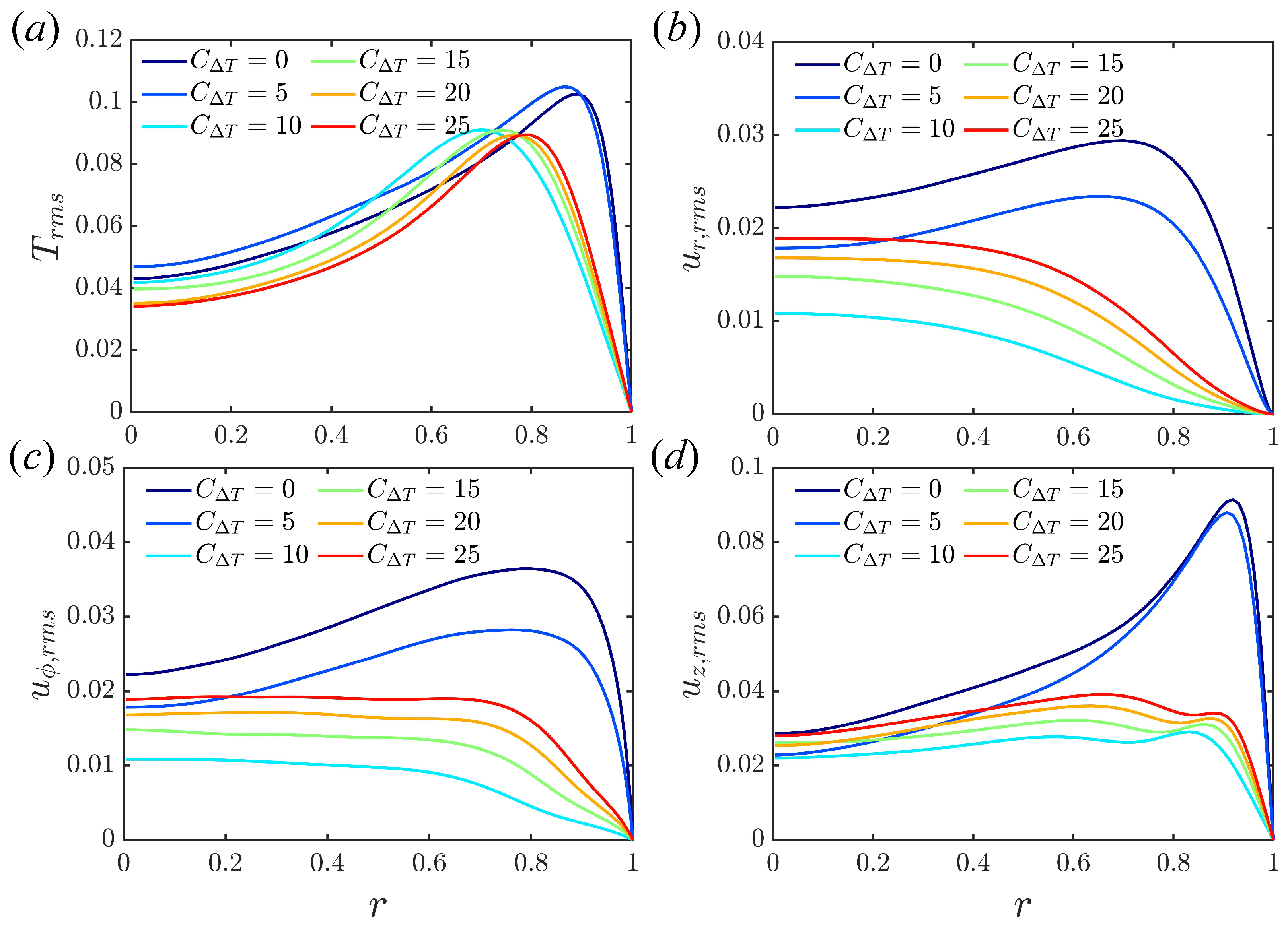
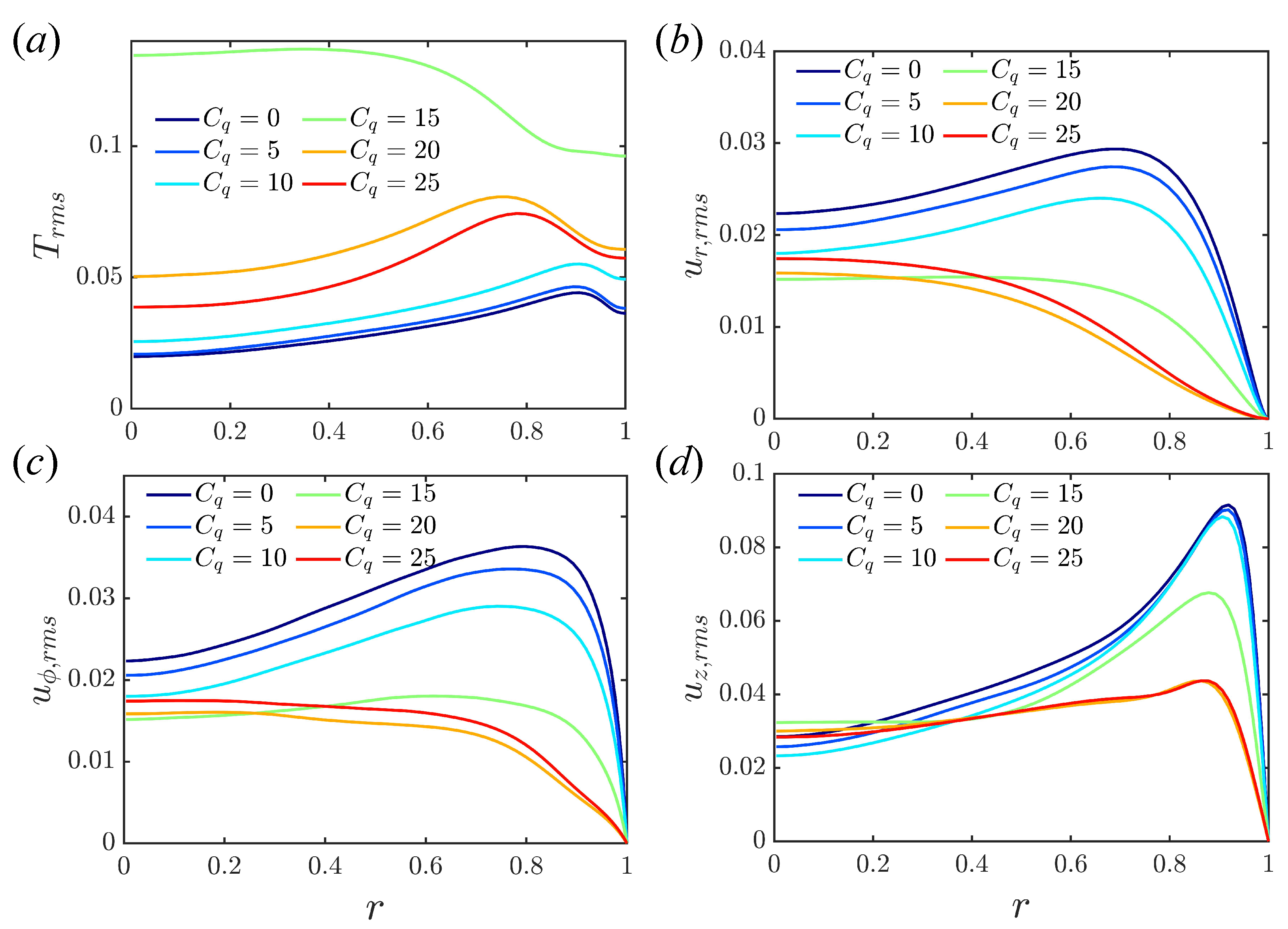
3. Results
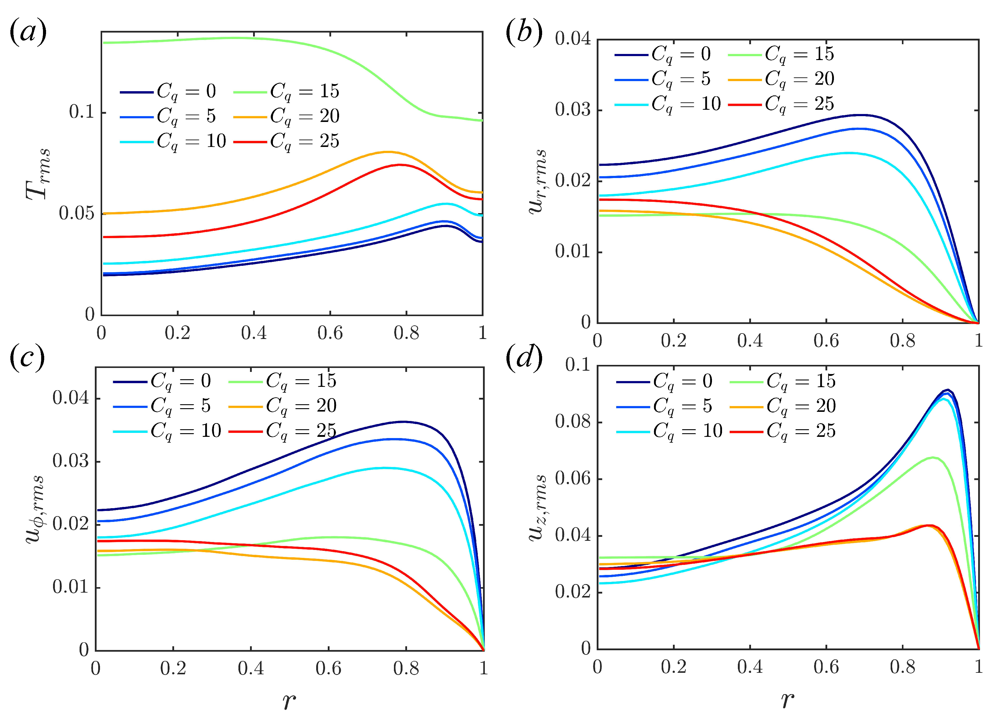
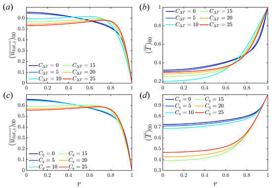
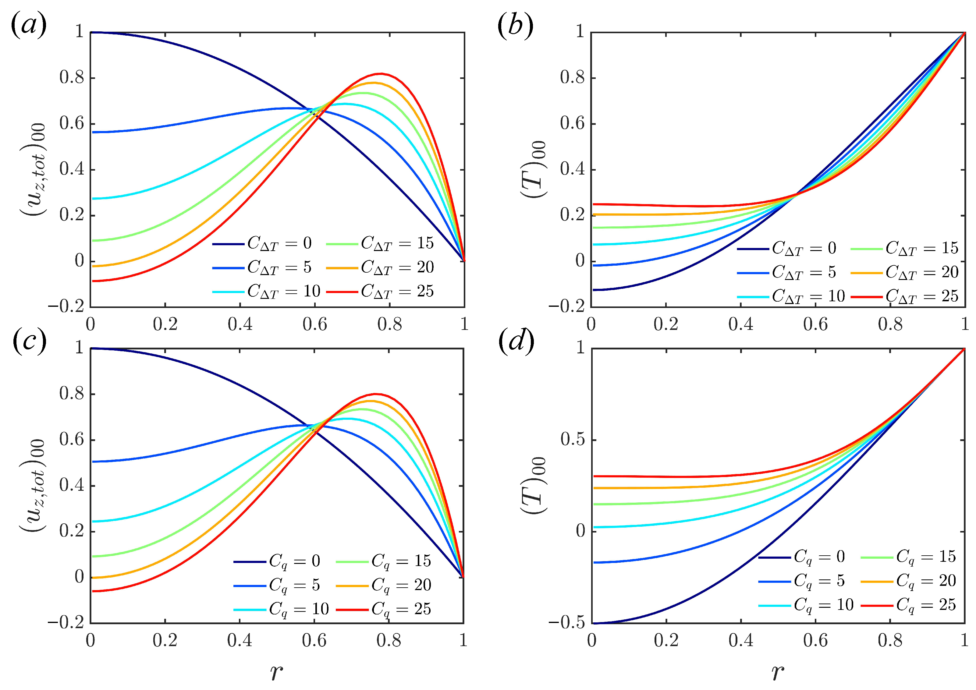
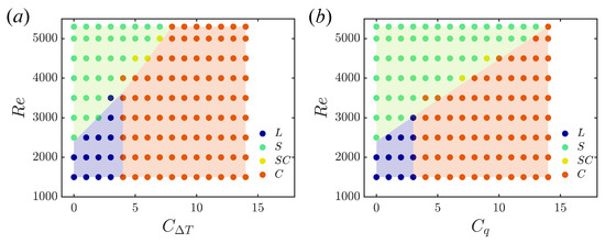
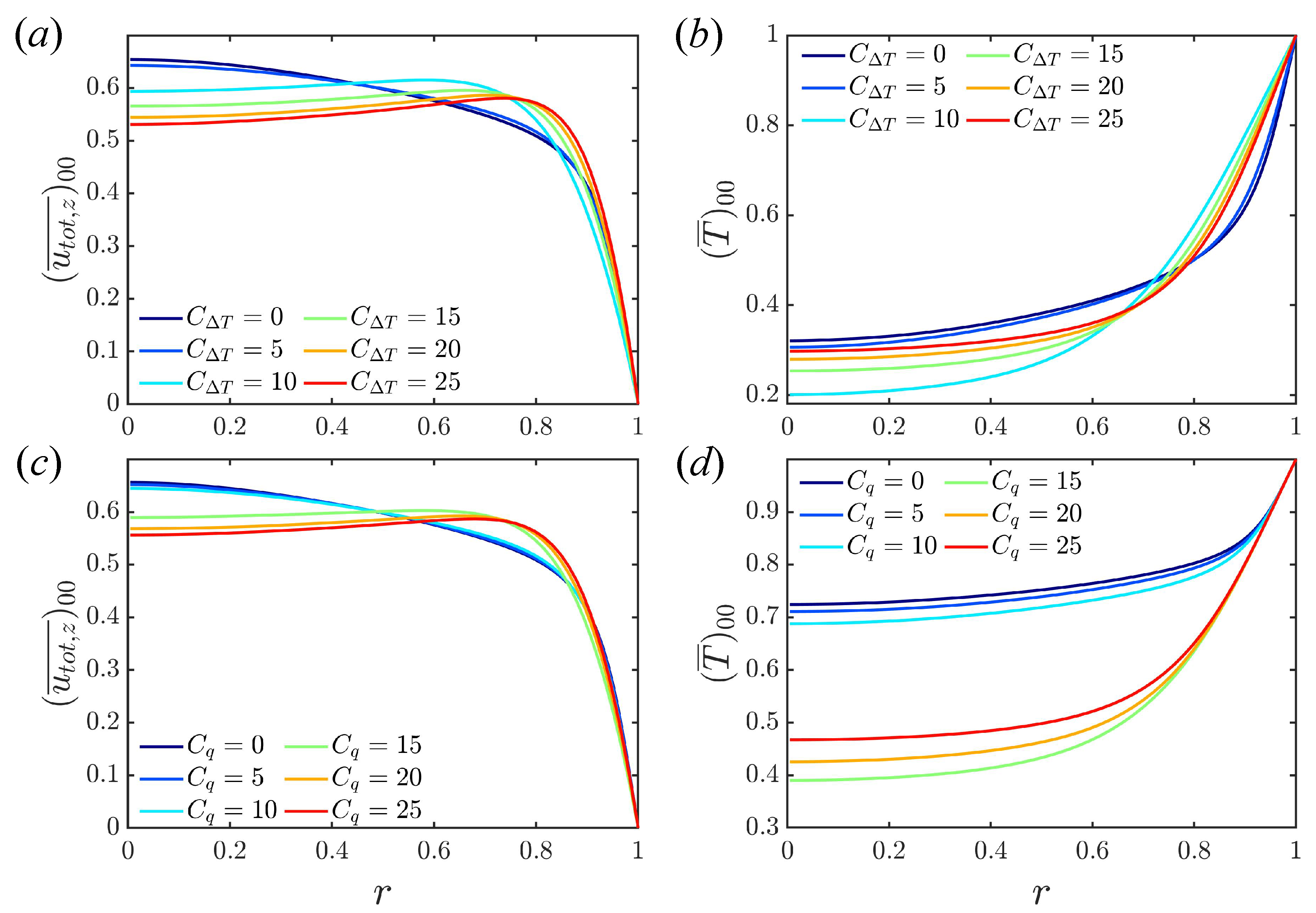
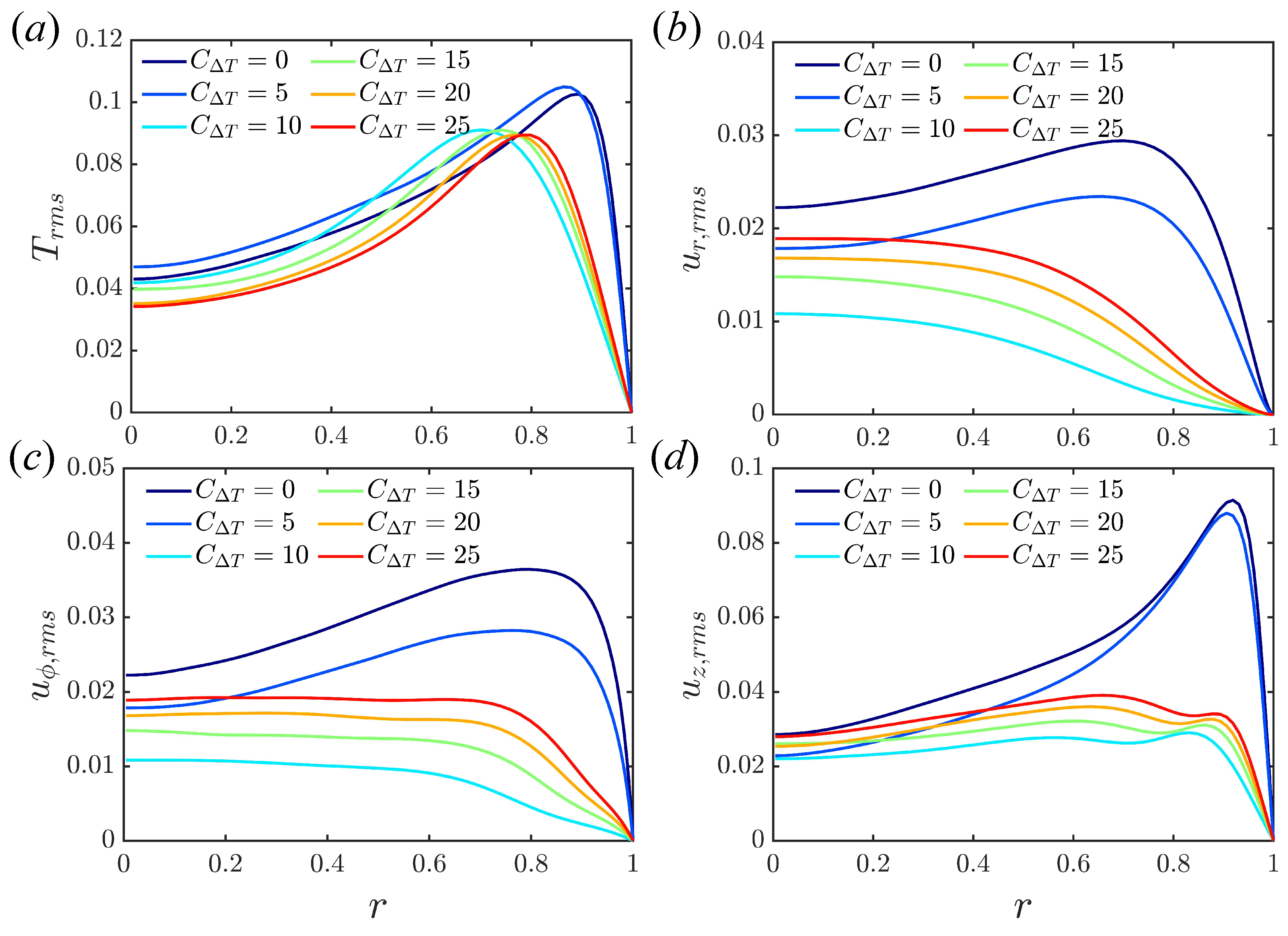
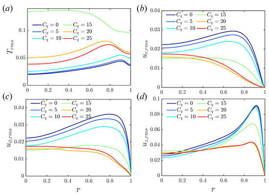
3.1. Laminar Flow, Shear Turbulence and Convective Turbulence
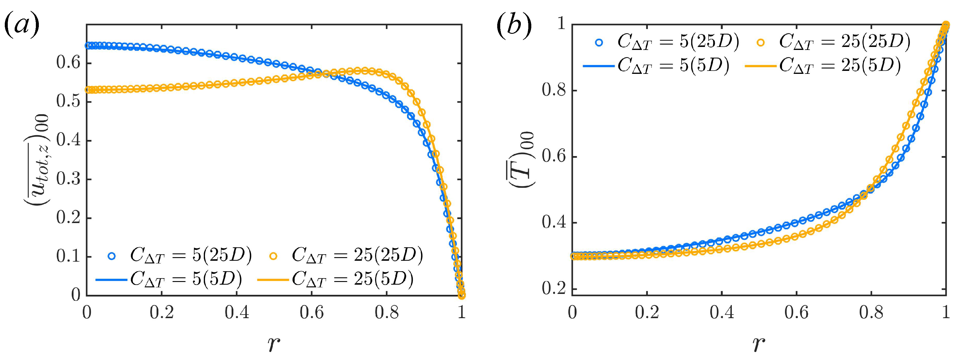
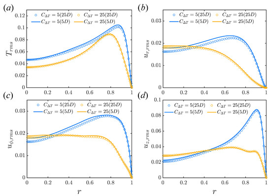
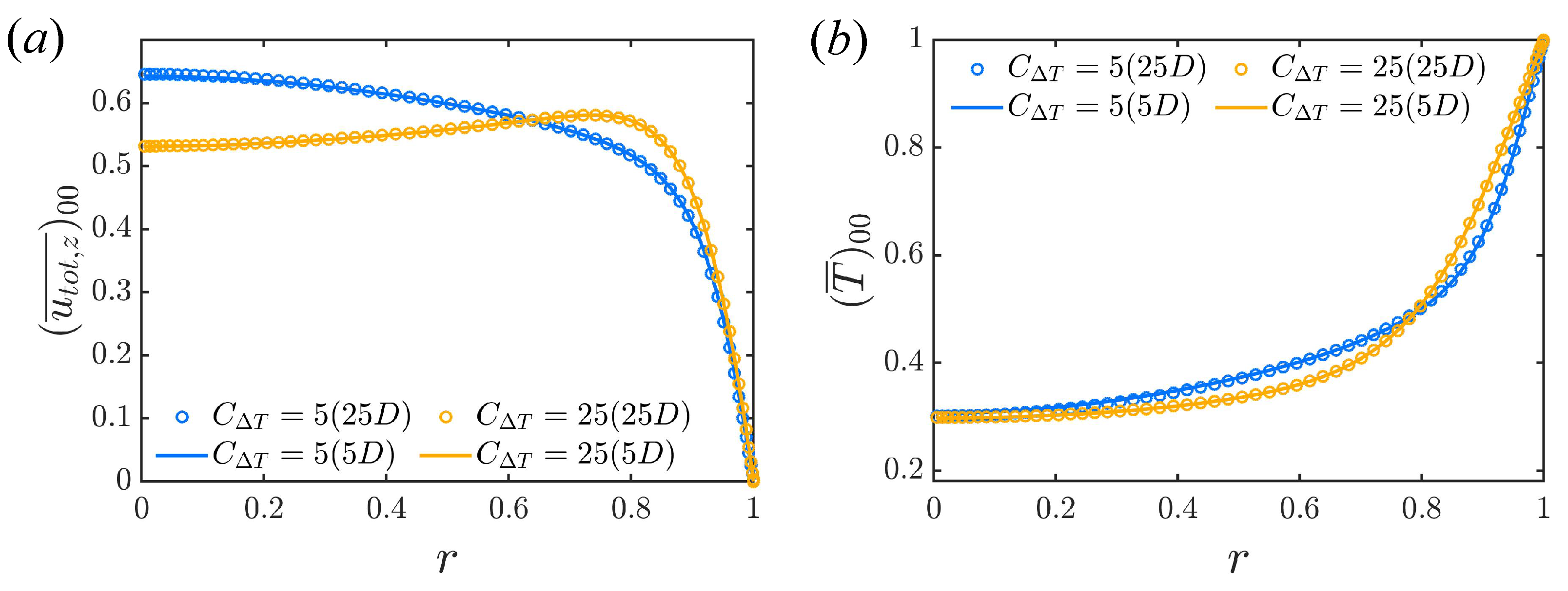
3.2. Short vs. Long Periodic Pipes
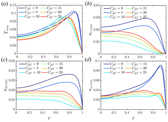
3.3. The Lifetime of Localised Shear Turbulence
4. Conclusions
Author Contributions
Funding
Informed Consent Statement
Data Availability Statement
Conflicts of Interest
Abbreviations
| RMS | Root Mean Square |
| DNS | Direct Numerical Simulation |
References
- Zhang, S.; Xu, X.; Liu, C.; Dang, C. A review on application and heat transfer enhancement of supercritical CO2 in low-grade heat conversion. Appl. Energy 2020, 269, 114962. [Google Scholar] [CrossRef]
- McEligot, D.; Coon, C.; Perkins, H. Relaminarization in tubes. Int. J. Heat Mass Transf. 1970, 13, 431–433. [Google Scholar] [CrossRef]
- Ackerman, J. Pseudoboiling heat transfer to supercritical pressure water in smooth and ribbed tubes. J. Heat Transf. Trans. ASME 1970, 92, 490–498. [Google Scholar] [CrossRef]
- Bae, J.H.; Yoo, J.Y.; Choi, H. Direct numerical simulation of turbulent supercritical flows with heat transfer. Phys. Fluids 2005, 17, 105104. [Google Scholar] [CrossRef]
- Wibisono, A.F.; Addad, Y.; Lee, J.I. Numerical investigation on water deteriorated turbulent heat transfer regime in vertical upward heated flow in circular tube. Int. J. Heat Mass Transf. 2015, 83, 173–186. [Google Scholar] [CrossRef]
- Marensi, E.; He, S.; Willis, A.P. Suppression of turbulence and travelling waves in a vertical heated pipe. J. Fluid Mech. 2021, 919, A17. [Google Scholar] [CrossRef]
- Chu, S.; Willis, A.P.; Marensi, E. The minimal seed for transition to convective turbulence in heated pipe flow. J. Fluid Mech. 2024, 997, A46. [Google Scholar] [CrossRef]
- Hall, W.B.; Jackson, J. Laminarization of a turbulent pipe flow by buoyancy forces. In Proceedings of the Mechanical Engineering; ASME—American Society of Mechanical Engineers: New York, NY, USA, 1969; Volume 91, p. 66. [Google Scholar]
- He, S.; He, K.; Seddighi, M. Laminarisation of flow at low Reynolds number due to streamwise body force. J. Fluid Mech. 2016, 809, 31–71. [Google Scholar] [CrossRef]
- Hof, B.; De Lozar, A.; Avila, M.; Tu, X.; Schneider, T.M. Eliminating turbulence in spatially intermittent flows. Science 2010, 327, 1491–1494. [Google Scholar] [CrossRef] [PubMed]
- Kühnen, J.; Song, B.; Scarselli, D.; Budanur, N.B.; Riedl, M.; Willis, A.P.; Avila, M.; Hof, B. Destabilizing turbulence in pipe flow. Nat. Phys. 2018, 14, 386–390. [Google Scholar] [CrossRef]
- Scheele, G.F.; Hanratty, T.J. Effect of natural convection on stability of flow in a vertical pipe. J. Fluid Mech. 1962, 14, 244–256. [Google Scholar] [CrossRef]
- Chu, S.; Willis, A.P.; Marensi, E. Laminarising turbulent pipe flow by linear and nonlinear optimisation. arXiv 2024, arXiv:2410.19699. [Google Scholar]
- Hamilton, J.M.; Kim, J.; Waleffe, F. Regeneration mechanisms of near-wall turbulence structures. J. Fluid Mech. 1995, 287, 317–348. [Google Scholar] [CrossRef]
- Hiroaki, T.; Ayao, T.; Masaru, H.; Nuchi, N. Effects of buoyancy and of acceleration owing to thermal expansion on forced turbulent convection in vertical circular tubes—criteria of the effects, velocity and temperature profiles, and reverse transition from turbulent to laminar flow. Int. J. Heat Mass Transf. 1973, 16, 1267–1288. [Google Scholar] [CrossRef]
- Cotton, M.A. Theoretical Studies of Mixed Convection in Vertical Tubes. Ph.D. Thesis, University of Manchester, Manchester, UK, 1986. [Google Scholar]
- Launder, B.E.; Sharma, B.I. Application of the energy-dissipation model of turbulence to the calculation of flow near a spinning disc. Lett. Heat Mass Transf. 1974, 1, 131–137. [Google Scholar] [CrossRef]
- Behzadmehr, A.; Galanis, N.; Laneville, A. Low Reynolds number mixed convection in vertical tubes with uniform wall heat flux. Int. J. Heat Mass Transf. 2003, 46, 4823–4833. [Google Scholar] [CrossRef]
- Kasagi, N.; Nishimura, M. Direct numerical simulation of combined forced and natural turbulent convection in a vertical plane channel. Int. J. Heat Fluid Flow 1997, 18, 88–99. [Google Scholar] [CrossRef]
- You, J.; Yoo, J.Y.; Choi, H. Direct numerical simulation of heated vertical air flows in fully developed turbulent mixed convection. Int. J. Heat Mass Transf. 2003, 46, 1613–1627. [Google Scholar] [CrossRef]
- Kim, W.; He, S.; Jackson, J. Assessment by comparison with DNS data of turbulence models used in simulations of mixed convection. Int. J. Heat Mass Transf. 2008, 51, 1293–1312. [Google Scholar] [CrossRef]
- Chu, X.; Laurien, E.; McEligot, D.M. Direct numerical simulation of strongly heated air flow in a vertical pipe. Int. J. Heat Mass Transf. 2016, 101, 1163–1176. [Google Scholar] [CrossRef]
- Antoranz, A.; Gonzalo, A.; Flores, O.; Garcia-Villalba, M. Numerical simulation of heat transfer in a pipe with non-homogeneous thermal boundary conditions. Int. J. Heat Fluid Flow 2015, 55, 45–51. [Google Scholar] [CrossRef]
- Straub, S.; Forooghi, P.; Marocco, L.; Wetzel, T.; Vinuesa, R.; Schlatter, P.; Frohnapfel, B. The influence of thermal boundary conditions on turbulent forced convection pipe flow at two Prandtl numbers. Int. J. Heat Mass Transf. 2019, 144, 118601. [Google Scholar] [CrossRef]
- Cruz, R.V.; Flageul, C.; Lamballais, E.; Duffal, V.; Le Coupanec, E.; Benhamadouche, S. High-fidelity simulation of turbulent mixed convection in pipe flow. Int. J. Heat Fluid Flow 2024, 110, 109640. [Google Scholar] [CrossRef]
- Willis, A.P. The Openpipeflow Navier–Stokes solver. SoftwareX 2017, 6, 124–127. [Google Scholar] [CrossRef]
- Eggels, J.G.; Unger, F.; Weiss, M.; Westerweel, J.; Adrian, R.J.; Friedrich, R.; Nieuwstadt, F.T. Fully developed turbulent pipe flow: A comparison between direct numerical simulation and experiment. J. Fluid Mech. 1994, 268, 175–210. [Google Scholar] [CrossRef]
- Avila, M.; Willis, A.P.; Hof, B. On the transient nature of localized pipe flow turbulence. J. Fluid Mech. 2010, 646, 127–136. [Google Scholar] [CrossRef]
- Gray, D.D.; Giorgini, A. The validity of the Boussinesq approximation for liquids and gases. Int. J. Heat Mass Transf. 1976, 19, 545–551. [Google Scholar] [CrossRef]
- Turner, J.S.; Turner, J.S. Buoyancy Effects in Fluids; Cambridge University Press: Cambridge, UK, 1979. [Google Scholar]
- Su, Y.C.; Chung, J.N. Linear stability analysis of mixed-convection flow in a vertical pipe. J. Fluid Mech. 2000, 422, 141–166. [Google Scholar] [CrossRef]
- Piller, M. Direct numerical simulation of turbulent forced convection in a pipe. Int. J. Numer. Methods Fluids 2005, 49, 583–602. [Google Scholar] [CrossRef]
- Baranovskii, E.S.; Domnich, A.A.; Artemov, M.A. Mathematical Analysis of the Poiseuille Flow of a Fluid with Temperature-Dependent Properties. Mathematics 2024, 12, 3337. [Google Scholar] [CrossRef]
- Yoo, J.Y. The turbulent flows of supercritical fluids with heat transfer. Annu. Rev. Fluid Mech. 2013, 45, 495–525. [Google Scholar] [CrossRef]
- Steiner, A. On the reverse transition of a turbulent flow under the action of buoyancy forces. J. Fluid Mech. 1971, 47, 503–512. [Google Scholar] [CrossRef]
- Carr, A.; Connor, M.; Buhr, H. Velocity, Temperature, and Turbulence Measurements in Air for Pipe Flow with Combined Free and Forced Convection. J. Heat Transf. 1973, 95, 445–452. [Google Scholar] [CrossRef]
- Parlatan, Y.; Todreas, N.; Driscoll, M. Buoyancy and property variation effects in turbulent mixed convection of water in vertical tubes. J. Heat Transf. 1996, 118, 381–387. [Google Scholar] [CrossRef]
- Zhao, P.; Zhu, J.; Ge, Z.; Liu, J.; Li, Y. Direct numerical simulation of turbulent mixed convection of LBE in heated upward pipe flows. Int. J. Heat Mass Transf. 2018, 126, 1275–1288. [Google Scholar] [CrossRef]
- Avila, M.; Barkley, D.; Hof, B. Transition to turbulence in pipe flow. Annu. Rev. Fluid Mech. 2023, 55, 575–602. [Google Scholar] [CrossRef]
- Marensi, E.; Hof, B. The onset of fully turbulent pipe flow. In Proceedings of the APS Division of Fluid Dynamics Meeting Abstracts, Phoenix, AZ, USA, 21–23 November 2021; p. P31012M. [Google Scholar]
- Moody, L.F. Friction Factors for Pipe Flow. J. Fluids Eng. 1944, 66, 671–678. [Google Scholar] [CrossRef]
- Willis, A.; Kerswell, R. Critical behavior in the relaminarization of localized turbulence in pipe flow. Phys. Rev. Lett. 2007, 98, 014501. [Google Scholar] [CrossRef] [PubMed]
- Willis, A.P.; Kerswell, R.R. Turbulent dynamics of pipe flow captured in a reduced model: Puff relaminarization and localized ‘edge’states. J. Fluid Mech. 2009, 619, 213–233. [Google Scholar] [CrossRef]
- Hof, B.; de Lozar, A.; Kuik, D.; Westerweel, J. Repeller or attractor? Selecting the dynamical model for the onset of turbulence in pipe flow. Phys. Rev. Lett. 2008, 101, 214501. [Google Scholar] [CrossRef] [PubMed]
- Zhuang, Y.; Yang, B.; Mukund, V.; Marensi, E.; Hof, B. Discontinuous transition to shear flow turbulence. arXiv 2023, arXiv:2311.11474. [Google Scholar]
















Disclaimer/Publisher’s Note: The statements, opinions and data contained in all publications are solely those of the individual author(s) and contributor(s) and not of MDPI and/or the editor(s). MDPI and/or the editor(s) disclaim responsibility for any injury to people or property resulting from any ideas, methods, instructions or products referred to in the content. |
© 2025 by the authors. Licensee MDPI, Basel, Switzerland. This article is an open access article distributed under the terms and conditions of the Creative Commons Attribution (CC BY) license (https://creativecommons.org/licenses/by/4.0/).
Share and Cite
Chu, S.; Marensi, E.; Willis, A.P. Modelling the Transition from Shear-Driven Turbulence to Convective Turbulence in a Vertical Heated Pipe. Mathematics 2025, 13, 293. https://doi.org/10.3390/math13020293
Chu S, Marensi E, Willis AP. Modelling the Transition from Shear-Driven Turbulence to Convective Turbulence in a Vertical Heated Pipe. Mathematics. 2025; 13(2):293. https://doi.org/10.3390/math13020293
Chicago/Turabian StyleChu, Shijun, Elena Marensi, and Ashley P. Willis. 2025. "Modelling the Transition from Shear-Driven Turbulence to Convective Turbulence in a Vertical Heated Pipe" Mathematics 13, no. 2: 293. https://doi.org/10.3390/math13020293
APA StyleChu, S., Marensi, E., & Willis, A. P. (2025). Modelling the Transition from Shear-Driven Turbulence to Convective Turbulence in a Vertical Heated Pipe. Mathematics, 13(2), 293. https://doi.org/10.3390/math13020293

