Next Article in Journal
Structured Element Extraction from Official Documents Based on BERT-CRF and Knowledge Graph-Enhanced Retrieval
Next Article in Special Issue
Fuzzy TOPSIS Reinvented: Retaining Linguistic Information Through Interval-Valued Analysis
Previous Article in Journal
Refraction Laws in Temporal Media
 
 
Font Type:
Arial Georgia Verdana
Font Size:
Aa Aa Aa
Line Spacing:
Column Width:
Background:
Article

Classifying Decision Strategies in Multi-Attribute Decision-Making: A Multi-Dimensional Scaling and Hierarchical Cluster Analysis of Simulation Data

1
Center for Decision Research, Waseda University, Tokyo 162-8644, Japan
2
Department of Psychology, Waseda University, Tokyo 162-8644, Japan
3
School of Management and Informatics, University of Shizuoka, Shizuoka 422-8526, Japan
4
School of Management, Tokyo University of Science, Tokyo 102-0071, Japan
*
Author to whom correspondence should be addressed.
Mathematics 2025, 13(17), 2778; https://doi.org/10.3390/math13172778
Submission received: 5 August 2025 / Revised: 21 August 2025 / Accepted: 26 August 2025 / Published: 29 August 2025
(This article belongs to the Special Issue Application of Multiple Criteria Decision Analysis)

Abstract

Previous studies on decision strategies in multi-attribute decision-making (MADM) have primarily relied on computational simulations to assess strategy performance under varying conditions, with particular emphasis on comparisons to the weighted additive rule (WAD) and on evaluations of the cognitive effort required. In contrast, considerably less attention has been devoted to examining the consistency of decision outcomes across different strategies or to developing a systematic classification of strategies based on outcome similarity. To address this gap, the present study investigates the characteristics of decision strategies by analyzing the concordance rates of choices made under identical conditions, along with measures of decision accuracy and information-processing effort. We conducted a hierarchical cluster analysis and applied multi-dimensional scaling (MDS) to a choice concordance matrix derived from simulations using the Mersenne Twister method. In addition, linear multiple regression analyses were performed using the MDS coordinates as predictors of both decision accuracy and cognitive effort. The cluster analysis revealed a primary bifurcation between two major groups: one centered around the Disjunctive (DIS) rule, and another encompassing compensatory strategies such as WAD. Notably, although the Lexicographic (LEX) rule is traditionally considered non-compensatory, it exhibited high similarity in choice patterns to compensatory strategies when assessed via concordance rates. In contrast, DIS-based strategies produced markedly distinct choice patterns.

1. Introduction

Human decision-making often involves trade-offs among multiple attributes or values. Value pluralism is an ideological stance asserting the existence of multiple, equally fundamental, and potentially conflicting values that may not be directly comparable. Isaiah Berlin, a prominent advocate of this perspective, argued that such values lack a common evaluative metric, rendering decision-making within pluralistic systems inherently complex.
Human decision-making has long been a central topic in psychology, cognitive science, and neuroscience, and recent years have seen a renewed interest in this area from computational and ecological rationality perspectives. Contemporary research on decision-making has advanced along multiple theoretical directions, including resource-rational behavior under cognitive constraints [1], decision-making theory under uncertainty [2], boosting approach for making decisions [3], iterative first-order methods to the problem of computing equilibrium of large-scale extensive-form games [4], robust optimization with decision-dependent information discovery frameworks [5], and machine learning approaches to decision-making [6]. However, these studies generally address decision-making from a theoretical perspective and provide limited insight into the qualitative processes underlying everyday multi-attribute decision-making.
While individuals frequently strive to make optimal decisions [7,8,9,10], decision-making under value pluralism—referred to in decision theory as multi-attribute decision-making (MADM)—poses significant challenges. Empirical evidence indicates that suboptimal decisions are often made in such contexts [11,12,13,14].
Recent advancements in behavioral economics and decision theory have increasingly focused on improving decision quality [9,15,16,17,18] and understanding deviations from normative models such as expected utility theory and its variants [9,10,19,20], which assume perfect rationality.
In contrast, actual human decisions frequently deviate from these rational models. In complex environments characterized by conflicting objectives and dynamically changing constraints, optimization techniques that support adaptive and rapid decision-making have become essential. Mathematically, optimization involves minimizing or maximizing an objective function under constraints. Multi-objective optimization problems (MOOPs) appear across diverse domains, including engineering, economics, management, and the social sciences.
A central solution concept in MOOPs is the Pareto optimal set, typically comprising numerous non-dominated solutions [21]. Various computational approaches have been developed to approximate this set [22,23,24]. A classical method is scalarization, which converts multiple objectives into a single scalar function. For instance, the weighted sum method constructs a composite objective by assigning weights to each criterion, making it a widely used technique for deriving Pareto-optimal solutions [16,18]. In the context of MADM, scalarized functions correspond to additive utility functions, which align with additive conjunctive systems in axiomatic measurement theory. These functions formally represent additive heuristics, a class of simplified decision procedures.
The concept of decision heuristics, introduced by Herbert Simon, contrasts these with algorithms that guarantee optimality. Heuristics are typically characterized as “fast and frugal” rules of thumb that enable effective decisions under bounded rationality. Alongside additive heuristics, numerous other strategies have been identified in MADM research [21].
It has been demonstrated that decision outcomes are influenced not only by the number of attributes and alternatives but also by the order and method of information acquisition. Using process-tracing techniques, researchers have identified various heuristic strategies, including CON (conjunctive), DIS (disjunctive), EBA (elimination by aspects), LEX (lexicographic), LEX-S (lexicographic semi-order), MCD (majority of confirming dimensions), ADF (additive difference), and EQW/WAD (equal weighting/weighted additive) [21]. Previous studies have applied computer simulations to evaluate these strategies in terms of selection accuracy and cognitive effort [21,25,26]. While qualitative classifications [27] and simulation-based evaluations [21,25,26,28] exist, they have largely relied on linear models rooted in expected utility theory. To date, however, no study has systematically analyzed or classified decision strategies based on the consistency of their outcomes.
This study aims to reveal structural insights into decision strategies by examining the relationships among choice consistency, selection accuracy, and information processing volume under controlled decision-making environments. Specifically, we apply multi-dimensional scaling (MDS) to the consistency rates among decision strategies, followed by multiple linear regression using MDS coordinates to predict accuracy and cognitive effort. Finally, we conduct hierarchical cluster analysis based on consistency rates to classify decision strategies into meaningful groups.
The present study examines the decision strategies outlined above. Decision strategies specify the procedural steps of decision-making; apart from dictionary-based, additive, or additive-difference strategies, they are often not amenable to precise mathematical formalization. Two-stage strategies, particularly those incorporating non-compensatory rules, are also difficult to describe mathematically. Consequently, this study adopts a computational simulation approach rather than formal mathematical analysis. Specifically, the simulations are conducted under constrained assumptions: decision-makers are assumed to have precise knowledge of the relative importance of attributes and to fully understand the decision task, and the decision environment is represented only in terms of objectively defined parameters such as the number of attributes and alternatives. The simulation results are then analyzed using multi-dimensional scaling (MDS) and hierarchical cluster analysis to elucidate patterns in decision strategies.

2. Method

In this study, we employed the framework proposed by Takemura et al. [21] and conducted computational simulations using the Mersenne Twister method, assuming a two-stage decision-making process in which the decision strategy may shift midway. The analysis focused on identifying which types of two-stage decision strategies yield accurate decisions with minimal cognitive effort in realistic settings. Specifically, we examined the consistency of choices across these strategies based on the simulation results.
To formulate the multi-attribute decision-making tasks, the initial number of alternatives at the start of decision-making was set at three levels (5, 8, and 10) to account for the increase in alternatives from the first to the second stage. Similarly, the number of attributes per decision task was set at three levels (3, 5, and 8) while considering the presence or absence of dominant alternatives. Attribute weights were generated randomly under two variance conditions: high variance and low variance.
In total, 10,000 multi-attribute decision problems were created under each of 36 conditions defined by the factorial combination of alternatives number (3 levels: 5, 8, 10), attribute number (3 levels: 3, 5, 8), variance of attribute importance (2 levels: high, low), and presence/absence of dominant alternatives (2 levels).
The sets of alternatives composed of multiple attributes were generated. The attribute values were integers ranging from 0 to 1000, generated using a uniform random number generator. The importance weights for each attribute were real numbers between 0 and 1, also generated uniformly at random.
In the first stage, five decision strategies were applied: conjunctive strategy (CON), disjunctive strategy (DIS), elimination-by-aspects (EBA), lexicographic rule (LEX), and lexicographic semi-order rule (LEX-S). Single-strategy decisions were conducted by applying a single strategy without narrowing down alternatives. In the second stage, all nine strategies were employed: CON, DIS, EBA, LEX, LEX-S, weighted additive (WAD), equal weighting additive (EQW), additive difference (ADF), and maximizing choice dominance (MCD). Consequently, simulations were performed for 45 combinations of strategies.
From these simulations, average values for Elementary Information Processes (EIPs), relative accuracy (RA), and the best and worst choice rates based on expected value metrics were computed for each strategy. To characterize differences among strategies, several indices were constructed comparing a reference decision strategy and a target decision strategy. These indices included the ratio of relative accuracy (RA), the ratio of EIP, the choice concordance rate, and the trade-off rate. The weighted additive strategy (WAD) was set as the reference in all comparisons.
For EIP, normalization was conducted by dividing by the maximum EIP value within each simulation condition (defined by the number of alternatives, number of attributes, presence of dominance, and attribute importance variance). In addition, normalized versions of the relative accuracy ratio, choice concordance rate, and trade-off rate divided by the target strategy’s normalized EIP were created.
Definitions of these indices are described below. For two-stage decision strategies, the number of alternatives retained after the first stage was set at two levels: 2 and 3. For threshold-based strategies (CON, DIS, EBA), three threshold levels (300, 500, 700) were established.
For each simulation condition, the relative accuracy (RA) for each decision strategy was computed using the following formula (Equation (1)):
R A = E V heuristic   rule   choice     E V andom   rule   choice E V expected   value   choice     E V random   rule   choice
where EV denotes expected value.
The average elementary information processes (EIPs) were also calculated. EIP consists of seven elementary operations: Read, Compare, Eliminate, Product, Add, Difference, and Choose. The number of executions for each operation was tallied during simulations. For EIP variables, a natural logarithm transformation was applied after adding 1, and Gaussian noise (µ = 0, σ = 0.1) was added.
Next, the disagreement rate in choices between decision strategies under identical simulation conditions was calculated. This disagreement rate was averaged across all conditions, including the presence of dominant alternatives, variance of attribute importance, number of alternatives, number of attributes, number of alternatives retained after the first stage, and threshold values.
The dataset was constructed by combining five decision strategies in the first stage with nine decision strategies in the second stage, resulting in forty-five possible two-stage strategies. When the strategies in the first and second stages were identical, they were treated as a continuation of the same strategy. For each strategy, simulations were conducted under all 36 experimental conditions, defined by the combination of the number of alternatives (three levels), the number of attributes (three levels), the variance of importance weights (two levels), and the presence or absence of a dominant alternative (two levels). Each condition was simulated 10,000 times. For the dataset, these 36 conditions were aggregated, and analyses were performed based on the consistency rates of choices across the 45 strategies.

3. Analysis, Results, and Discussion

3.1. Hierarchical Cluster Analysis

To explore the relationships among decision strategies, hierarchical cluster analysis was conducted. As a dissimilarity measure, a disagreement rate matrix was computed by subtracting the maximum choice agreement rate from the observed choice agreement rates. Using this disagreement matrix, hierarchical clustering was performed with Ward’s method.
The initial result showed four clusters at a distance threshold of 0.7. However, considering the hierarchical structure, two clusters centered around the DIS strategy were combined into one, resulting in three final clusters (see Figure 1).
This analysis revealed a major division between strategies centered on DIS and those centered on WAD and similar strategies. DIS represents a non-compensatory strategy that does not allow trade-offs between attributes, whereas WAD is a compensatory strategy that permits such trade-offs. Thus, typical compensatory and non-compensatory strategies were clearly separated.
Interestingly, strategies such as LEX and those combined with WAD, which are not necessarily compensatory, exhibited high similarity in choice agreement rates. Conversely, the DIS group was distinctly different from these.
Within the first cluster, two subgroups emerged: one comprising strategies combined with WAD and LEX, and another including combinations with CON.
Overall, these findings suggest that decision strategies can be broadly categorized into three patterns:
  • Strategies producing results similar to compensatory strategies, such as WAD and LEX.
  • Strategies combined with CON.
  • Strategies centered around DIS.

3.2. Multi-dimensional Scaling (MDS) Analysis

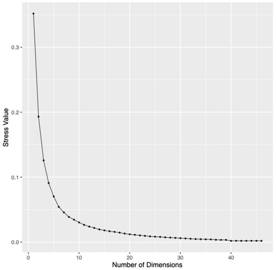
To explore underlying dimensions beyond the clusters, MDS was applied assuming ratio scale properties to the square disagreement rate matrix. The dimensionality was determined by calculating stress values up to the maximum possible dimension (see Figure 2) and selecting the number of dimensions where the second-order difference in normalized stress values fell below one. This procedure yielded a six-dimensional solution.
Figure 3 illustrates the configuration of the clusters, which were roughly divided into three groups, on dimensions 1 (D1) and 2 (D2). The first dimension distinguished strategies close to the weighted additive model, corresponding to the first cluster, from strategies in the other clusters, particularly separating the first cluster from the third cluster, which is close to DIS. The second dimension differentiated the first cluster from the second cluster, but did not distinguish the third cluster. Although attempts were made to interpret higher-dimensional MDS plots, the straightforward interpretation of clusters using conventional frameworks proved difficult. To facilitate the interpretation of both the clusters and the MDS dimensions, linear multiple regression analyses were conducted as described below.

3.3. Linear Multiple Regression Analysis

Coordinates obtained from MDS were used as independent variables to predict relative accuracy (RA) and elementary information process (EIP) measures in linear regression models. Table 1 summarizes standardized regression coefficients and determination coefficients.
The MDS coordinates explained 98% of the variance in RA and between 48% and 83% of the variance in EIP. Except for the EIP measure related to “Difference” operations, either D1 or D2 significantly contributed to explaining variance in dependent variables. Although the contributions of dimensions D3 through D6 are relatively modest, each dimension contributes in a distinct manner, as pointed out below.
These results support the following interpretations:
  • The first dimension (D1) separates strategies yielding relatively high relative accuracy, similar to weighted additive strategies (positive side), from others (negative side).
  • The second dimension (D2) distinguishes strategies with high cognitive load (positive side) from those with lower load, with little relation to relative accuracy.
  • The third dimension (D3) is mostly unrelated to relative accuracy but negatively associated with compare and elimination operations, and positively associated with product and difference operations.
  • The fourth dimension (D4) shows a negative relation with compare operations and a positive relation with product operations, without association to relative accuracy.
  • The fifth and sixth dimensions showed little relationship with either relative accuracy or cognitive effort.

3.4. Principal Component Analysis and Regression on EIP Measures

Given the varying weights of EIP indicators across dimensions, principal component analysis (PCA) was performed to summarize the underlying factors of EIP. Six EIP variables —Compare, Eliminate, Read, Product, Add, and Difference—were included. Based on eigenvalues, a two-component solution was selected. Promax rotation (oblique) was applied to the loading matrix.
Table 2 presents the rotated component matrix. The first principal component (PC1) was labeled “Selection” and the second (PC2) “Computation.” The correlation between the two components was negligible (r = 0.03), indicating near orthogonality.
These results suggest that the variation in EIP measures can be largely explained by these two factors. From the perspective of decision strategy theory, the first component can be interpreted as an index of cognitive effort that is engaged across both non-compensatory and compensatory strategies, such as comparison, elimination, and information search for reading. In contrast, the second component exhibits high loadings on additive and additive-difference strategies, all of which are characteristic of linear compensatory approaches. Accordingly, the first component may be understood as reflecting the fundamental cognitive operations underlying decision strategies, whereas the second component represents the cognitive operations specific to linear compensatory strategies.
Finally, a multiple regression analysis was conducted to examine the relationship between these factors and the MDS dimensions, with results shown in Table 3. The findings were consistent with those reported in Table 2. Interestingly, the first dimension of the MDS showed a moderate positive relationship with both the first and second components of cognitive effort. The second MDS dimension exhibited a strong positive relationship only with the first component, with little association with the second component. The third MDS dimension was strongly positively related to the second component of cognitive effort and moderately negatively related to the first component. Similarly, the fourth MDS dimension showed a moderate positive relationship with the second component and a moderate negative relationship with the first component, displaying a pattern similar to that of the third dimension. The fifth and sixth MDS dimensions did not exhibit any substantial associations with either component of cognitive effort.

4. Discussion

In the present study, following the procedure of Takemura et al. [21], simulations using the Mersenne Twister method were conducted for all possible combinations of diverse decision strategies. Based on the resulting choice agreement rates, multi-dimensional scaling (MDS) and hierarchical cluster analyses were performed to attempt a multi-dimensional classification of decision strategies. Although previous research has identified numerous decision strategies, no studies have examined their multi-dimensional classification based on the similarity of actual decision outcomes. Prior studies on decision strategies have extensively employed computational simulations to analyze how each strategy differs from the weighted additive strategy (WAD) under various conditions and the cognitive effort required for decision-making [21,25,26]. However, these studies have largely overlooked the relationships among different strategies themselves, leaving the fundamental classification of decision strategies insufficiently explored. To address this gap and provide novel insights, the present study examined the nature of decision strategies by analyzing the relationships among choice agreement rates between strategies under identical conditions, their relative accuracy (RA), and the amount of information processing involved. Specifically, MDS was applied to the choice agreement rates across strategies under the same conditions. Furthermore, linear multiple regression analyses were conducted using the MDS coordinates as independent variables to predict relative accuracy and information processing measures as dependent variables. Additionally, hierarchical cluster analysis based on choice agreement rates was performed to classify decision strategies.
The cluster analysis revealed a major division between strategies centered around DIS and those centered around WAD and similar strategies. Notably, although LEX and strategies combining LEX with WAD are not strictly compensatory, their high similarity in choice agreement rates suggests that even relatively simple strategies like LEX can produce decisions comparable to WAD across various situations. Conversely, the DIS cluster was found to represent a distinct type of decision-making, fundamentally different from the others. Strategies such as CON, which branched off from the first cluster, likely occupy an intermediate position between these two major groups.
Results from MDS and linear regression analyses indicated that employing strategies from the LEX or WAD groups leads to the highest relative decision accuracy, whereas strategies like DIS are associated with poorer accuracy. Furthermore, CON-centered strategies exhibited moderate accuracy but required somewhat greater cognitive effort.
Both the cluster and multivariate analyses suggest that two-stage decision strategies combining LEX and WAD achieve a favorable balance of low cognitive effort and high relative accuracy. However, it is important to emphasize that these conclusions hold primarily when decision-makers possess accurate knowledge of attribute importance and correctly evaluate these weights. Conversely, if decision-makers lack this knowledge or misjudge the importance or ranking of attributes, outcomes may be suboptimal.
Future research should therefore extend these analyses to decision-making under conditions of uncertainty or ignorance regarding attribute importance, to better understand strategy performance in more realistic, less certain environments.

5. Limitations and Future Directions

This study has several methodological limitations and constraints on the generalizability of its findings. First, the research relied on computer simulations conducted under controlled conditions. As such, it does not sufficiently capture the dynamic and uncertain factors inherent in real-world decision-making environments, which limits the extent to which the findings can be generalized. Moreover, the study assumed that decision-makers possess accurate knowledge of attribute importance. In reality, uncertainty or ignorance regarding attribute weights is common, and under such conditions, the evaluation of strategy performance may differ.
Second, there are limitations in the simulation design. The attribute values and importance weights were generated using a uniform random number generator, which may not adequately reflect real-world data distributions or correlations among attributes. Furthermore, the study examined only nine decision-making strategies, excluding other potentially relevant or more realistic strategies.
The analytical methods employed also entail limitations. The clusters identified through hierarchical cluster analysis were based on choice consistency; while statistically derived, their interpretation remains context-dependent and subjective. In addition, multi-dimensional scaling (MDS) produced a six-dimensional solution, yet higher-dimensional structures are difficult to interpret intuitively and may fail to fully capture the complexity of decision-making strategies. Similarly, the linear regression model explained much of the variance in relative accuracy, but its explanatory power was low for certain indices, suggesting that unconsidered factors may influence decision-making.
The evaluation criteria used in this study also impose restrictions. Performance was primarily assessed through choice consistency and expected value indices, but other important dimensions of decision quality—such as emotional or contextual influences, robustness, and adaptability—were not sufficiently addressed.
Finally, the interpretation of the results is subject to specific assumptions. The finding that a combined LEX–WAD strategy achieves a balance between low cognitive effort and high accuracy is contingent upon the assumption that attribute importance is known with precision. Moreover, the simulations did not account for individual differences or variation in decision-making styles, further limiting the applicability of the findings to real-world contexts.
Despite these limitations, the present study provides useful insights into how decision strategies can be classified and which clusters of strategies may be efficient, particularly when decision-makers are aware of their own attribute priorities and possess some knowledge of the decision environment. Future research should build on these classifications and findings by conducting psychological experiments and field studies to examine decision-making processes in more naturalistic settings.

Author Contributions

Conceptualization, K.T.; methodology, K.T., Y.T. and T.I.; Computer Simulation, Y.T. and K.T.; Visualization, Y.T., T.I. and K.T.; Funding acquisition, K.T. and Y.T.; Project administration, K.T.; Supervision, K.T.; Writing—original draft, K.T.; Writing—review and editing, Y.T. and T.I. All authors have read and agreed to the published version of the manuscript.

Funding

This research was funded by the Japan Society for the Promotion of Science [KAKENHI 23K22164], the Shinohara Foundation, and a Waseda University grant.

Institutional Review Board Statement

The protocol and experiment in this study were reviewed and approved by the Waseda University Ethics Committee (no. 2021-074).

Data Availability Statement

The raw data supporting the conclusions of this article will be made available by the authors on request.

Acknowledgments

We thank Mayuko Nakamaru of the Institute of Science Tokyo, Baruch Fischhoff of Carnegie Mellon University, and David Leiser of Ben Gurion University of the Negev for their valuable advice on this research. We also thank the anonymous reviewers of this journal for their valuable comments.

Conflicts of Interest

The authors declare that they have no known competing financial interests or personal relationships that could have appeared to influence the work reported in this study. The funders had no role in the design of the study; in the collection, analyses, or interpretation of data; in the writing of the manuscript, or in the decision to publish the results.

Abbreviations

The following abbreviations are used in this manuscript:
MADMmulti-attribute decision-making
MOOPMulti-objective optimization problem
CONconjunctive
DISdisjunctive
EBAelimination by aspects
LEXlexicographic
LEX-Slexicographic semi-order
ADFadditive difference
MCDmajority of confirming dimensions
WADweighted additive
EQW equal-weighted additive
RArelative accuracy
EIPelementary information process
MDSmulti-dimensional scaling

References

  1. Bhui, R.; Lai, L.; Gershman, S.J. Resource-rational decision making. Curr. Opin. Behav. Sci. 2021, 41, 15–21. [Google Scholar] [CrossRef]
  2. Gilboa, I. Decision under uncertainty: State of the science. Annu. Rev. Econ. 2025, 17, 1–30. [Google Scholar] [CrossRef]
  3. Herzog, S.M.; Hertwig, R. Boosting: Empowering citizens with behavioral science. Annu. Rev. Psychol. 2025, 76, 851–881. [Google Scholar] [CrossRef] [PubMed]
  4. Farina, G.; Kroer, C.; Sandholm, T. Better Regularization for Sequential Decision Spaces: Fast Convergence Rates for Nash, Correlated, and Team Equilibria. Oper. Res. 2025. ahead of print. [Google Scholar] [CrossRef]
  5. Vayanos, P.; Georghiou, A.; Yu, H. Robust optimization with decision-dependent information discovery. Manag. Sci. 2025. [Google Scholar] [CrossRef]
  6. Zhu, J.Q.; Peterson, J.C.; Enke, B.; Griffiths, T.L. Capturing the complexity of human strategic decision-making with machine learning. Nat. Hum. Behav. 2025, 1–7. [Google Scholar] [CrossRef] [PubMed]
  7. Hertwig, R.; Grüne-Yanoff, T. Nudging and boosting: Steering or empowering good decisions. Perspect. Psychol. Sci. 2017, 12, 973–986. [Google Scholar] [CrossRef] [PubMed]
  8. Summerfield, C.; Tsetsos, K. Do humans make good decisions? Trends Cogn. Sci. 2015, 19, 27–34. [Google Scholar] [CrossRef] [PubMed]
  9. Summerfield, C.; Tsetsos, K. Rationality and Efficiency in Human Decision-Making; The Cognitive Neurosciences VII; Gazzaniga, M., Ed.; MIT Press: Cambridge, MA, USA, 2020; pp. 427–438. [Google Scholar]
  10. Takemura, K. Behavioral Decision Theory: Psychological and Mathematical Descriptions of Human Choice Behavior, 2nd ed.; Springer: Tokyo, Japan, 2021. [Google Scholar]
  11. Takemura, K. Escaping from Bad Decisions: A Behavioral Decision-Theoretic Perspective; Academic Press: Cambridge, MA, USA, 2021. [Google Scholar]
  12. Gigerenzer, G.; Todd, P.M.; ABC Research Group. Simple Heuristics that Make Us Smart; Oxford University Press: New York, NY, USA, 1999. [Google Scholar]
  13. Janis, I.L. Victims of Groupthink; Houghton Mifflin: Boston, MA, USA, 1972. [Google Scholar]
  14. Janis, I.L. Groupthink: Psychological Studies of Policy Decisions and Fiascoes, 2nd ed.; Houghton Mifflins: Boston, MA, USA, 1982. [Google Scholar]
  15. Bault, N.; Rusconi, E. The art of influencing consumer choices: A reflection on recent advances in decision neuroscience. Front. Psychol. 2020, 10, 3009. [Google Scholar] [CrossRef] [PubMed]
  16. Trueblood, J.S.; Brown, S.D.; Heathcote, A. The multiattribute linear ballistic accumulator model of context effects in multialternative choice. Psychol. Rev. 2014, 121, 179. [Google Scholar] [CrossRef] [PubMed]
  17. Tsetsos, K.; Chater, N.; Usher, M. Salience driven value integration explains decision biases and preference reversal. Proc. Natl. Acad. Sci. 2012, 109, 9659–9664. [Google Scholar] [CrossRef] [PubMed]
  18. Tsetsos, K.; Moran, R.; Moreland, J.; Chater, N.; Usher, M.; Summerfield, C. Economic irrationality is optimal during noisy decision making. Proc. Natl. Acad. Sci. USA 2016, 113, 3102–3107. [Google Scholar] [CrossRef] [PubMed]
  19. Brandstätter, E.; Gigerenzer, G.; Hertwig, R. The priority heuristic: Making choices without trade-offs. Psychol. Rev. 2006, 113, 409. [Google Scholar] [CrossRef] [PubMed]
  20. Gigerenzer, G.; Reb, J.; Luan, S. Smart heuristics for individuals, teams, and organizations. Annu. Rev. Organ. Psychol. Organ. Behav. 2022, 9, 171–198. [Google Scholar] [CrossRef]
  21. Takemura, K.; Tamari, Y.; Ideno, T. Avoiding the worst decisions: A simulation and experiment. Mathematics 2023, 11, 1165. [Google Scholar] [CrossRef]
  22. Ehrgott, M. Multicriteria Optimization, 2nd ed.; Springer: Berlin/Heidelberg, Germany, 2005. [Google Scholar]
  23. Martignon, L.; Hoffrage, U. Fast, frugal, and fit: Simple heuristics for paired comparison. Theory Decis. 2002, 52, 29–71. [Google Scholar] [CrossRef]
  24. Miettinen, K. Nonlinear Multiobjective Optimization; Kluwer Academic Publishers: Dordrecht, The Netherlands, 1999. [Google Scholar]
  25. Payne, J.W.; Bettman, J.R.; Johnson, E.J. The Adaptive Decision Maker; Cambridge University Press: Cambridge, UK, 1993. [Google Scholar]
  26. Takemura, K.; Haraguchi, R.; Tamari, Y. Cognitive effort accuracy of decision strategies in multi-attribute decision-making process: A behavioral decision theoretic approach using computer simulation technique. Cogn. Stud. 2015, 22, 368–387. [Google Scholar]
  27. Bettman, J.R. Information Processing Theory of Consumer Choice; Addison-Wesley Pub. Co.: Reading, MA, USA, 1979. [Google Scholar]
  28. Payne, J.W.; Bettman, J.R.; Johnson, E.J. Adaptive strategy selection in decision making. J. Exp. Psychol. Learn. Mem. Cogn. 1988, 14, 534. [Google Scholar] [CrossRef]
Figure 1. Results of hierarchical cluster analysis of decision strategies. Note. ADF: additive difference; CON: conjunctive; DIS: disjunctive; EBA: elimination by aspects; EQW: equal-weighted additive; LEX: lexicographic; LEX-S: lexicographic semi-order; MCD: majority of confirming dimensions; WAD: weighted additive.
Figure 1. Results of hierarchical cluster analysis of decision strategies. Note. ADF: additive difference; CON: conjunctive; DIS: disjunctive; EBA: elimination by aspects; EQW: equal-weighted additive; LEX: lexicographic; LEX-S: lexicographic semi-order; MCD: majority of confirming dimensions; WAD: weighted additive.
Mathematics 13 02778 g001
Figure 2. Stress plot.
Figure 2. Stress plot.
Mathematics 13 02778 g002
Figure 3. MDS arrangement (dimension 1 and dimension 2) Note. ADF: additive difference; CON: conjunctive; DIS: disjunctive; EBA: elimination by aspects; EQW: equal-weighted additive; LEX: lexicographic; LEX-S: lexicographic semi-order; MCD: majority of confirming dimensions; WAD: weighted additive.
Figure 3. MDS arrangement (dimension 1 and dimension 2) Note. ADF: additive difference; CON: conjunctive; DIS: disjunctive; EBA: elimination by aspects; EQW: equal-weighted additive; LEX: lexicographic; LEX-S: lexicographic semi-order; MCD: majority of confirming dimensions; WAD: weighted additive.
Mathematics 13 02778 g003
Table 1. Standardized regression coefficients and determination coefficients for each EIP indicator.
Table 1. Standardized regression coefficients and determination coefficients for each EIP indicator.
RA EIP
ReadCompareEliminateAddDifferenceProductTotal
D10.96 ***0.40 ***0.28 **0.35 **0.350.210.280.45 **
D2−0.170.61 ***0.43 ***0.30 **0.300.190.070.57 ***
D30.04−0.07−0.45 ***−0.44−0.44 ***0.44 ***0.58 ***−0.04
D4−0.13 ***−0.30 **−0.42 ***−0.30 **−0.30 **0.430.22−0.28 **
D50.11 ***−0.03−0.05−0.11−0.110.02−0.02−0.01
D60.08 ***−0.11−0.20 *−0.28 **−0.28 **−0.020.15−0.13
R20.980.640.670.580.580.460.480.63
Adj. R20.980.590.620.520.520.380.400.60
*** p < 0.001; ** p < 0.01; * p < 0.05.
Table 2. Principal component analysis of EIP indicators.
Table 2. Principal component analysis of EIP indicators.
PC1PC2
Compare0.99−0.10
Eliminate0.96−0.11
Read0.940.22
Product−0.010.95
Add−0.040.87
Difference0.030.86
SS loadings2.772.47
Cumulative contribution ratio0.470.87
Component correlation PC20.03
Note. The rotation method was Promax.
Table 3. Standardized regression coefficients and determination coefficients for EIP principal components.
Table 3. Standardized regression coefficients and determination coefficients for EIP principal components.
EIP
PC1PC2
D10.36 ***0.31 **
D20.47 ***0.17
D3−0.35 ***0.66 ***
D4−0.36 ***0.32 **
D50.070.08
D6−0.21 *0.12
R20.650.67
Adj. R20.600.62
*** p < 0.001; ** p < 0.01; * p < 0.05
Disclaimer/Publisher’s Note: The statements, opinions and data contained in all publications are solely those of the individual author(s) and contributor(s) and not of MDPI and/or the editor(s). MDPI and/or the editor(s) disclaim responsibility for any injury to people or property resulting from any ideas, methods, instructions or products referred to in the content.

Share and Cite

MDPI and ACS Style

Takemura, K.; Tamari, Y.; Ideno, T. Classifying Decision Strategies in Multi-Attribute Decision-Making: A Multi-Dimensional Scaling and Hierarchical Cluster Analysis of Simulation Data. Mathematics 2025, 13, 2778. https://doi.org/10.3390/math13172778

AMA Style

Takemura K, Tamari Y, Ideno T. Classifying Decision Strategies in Multi-Attribute Decision-Making: A Multi-Dimensional Scaling and Hierarchical Cluster Analysis of Simulation Data. Mathematics. 2025; 13(17):2778. https://doi.org/10.3390/math13172778

Chicago/Turabian Style

Takemura, Kazuhisa, Yuki Tamari, and Takashi Ideno. 2025. "Classifying Decision Strategies in Multi-Attribute Decision-Making: A Multi-Dimensional Scaling and Hierarchical Cluster Analysis of Simulation Data" Mathematics 13, no. 17: 2778. https://doi.org/10.3390/math13172778

APA Style

Takemura, K., Tamari, Y., & Ideno, T. (2025). Classifying Decision Strategies in Multi-Attribute Decision-Making: A Multi-Dimensional Scaling and Hierarchical Cluster Analysis of Simulation Data. Mathematics, 13(17), 2778. https://doi.org/10.3390/math13172778

Note that from the first issue of 2016, this journal uses article numbers instead of page numbers. See further details here.

Article Metrics

Back to TopTop