Abstract
Let a and b be positive integers such that and In this work, we will show that is a numerical semigroup whose Frobenius number belongs to and is a covariety. This fact allows us to present an algorithm which computes all the elements from We will prove that has multiplicity and is a ratio-covariety. As a consequence, we will show an algorithm which calculates all the elements belonging to Based on the above results, we will develop an interesting algorithm that calculates all numerical semigroups with a given multiplicity and complexity.
MSC:
20M14; 11D07; 13H10
1. Introduction
In this paper, will denote the set of integers, and the set of non-negative integers will be denoted by We will say that a subset M of is a submonoid of ; if , and given , then A submonoid S of is a numerical semigroup if it has finite complement in .
Given S is a numerical semigroup, then , and (where denotes the cardinality of a set X) will be called the multiplicity, Frobenius number, and genus of S, respectively.
Let X be a nonempty subset of . Then, the submonoid of generated by X, is the set
It is verified that is a numerical semigroup if and only if (see [1] (Lema 2.1)).
Let M be a submonoid of such that . In this case, the set X is a system of generators of M. In addition, if for all , then X is called a minimal system of generators of M. Every submonoid of has a unique minimal system of generators. In addition, it is finite (see [1] (Corollary 2.8)). We use to denote the minimal system of generators of M. We call the embedding dimension of denoted by the cardinlity of
For numerical semigroups, there exists a problem which consists of looking for formulas to compute the Frobenius number and the genus of a numerical semigroup from its minimal system of generators. This problem is known as the Frobenius problem (see [2]). For numerical semigroups with two embedding dimensions, this problem was solved in [3]. But at this moment, for numerical semigroups of embedding dimension greater than or equal to three, the problem is open, although it has been, and continues to be, extensively researched (see, for instance [4,5,6,7,8,9]).
The relationship between Frobenius number, genus, and embedding dimension has also been a problem widely considered in mathematical research. In fact, H. S. Wilf conjectures in [10] that if S is a numerical semigroup, then Nowadays, this question is still open and has become one of the main problems in the theory of numerical semigroups. This conjecture has been proved for many families of numerical semigroups (see, for instance [11,12,13,14,15,16]).
Readers not familiar with the study of numerical semigroups may find the nomenclature surprising: multiplicity, genus, embedding dimension, etc. …
With respect to this, we will say that, in the literature, there is a long list of publications devoted to the study of analytically irreducible Noetherian local domains via their semigroup of values, with these groups being numerical semigroups (see, e.g., [17,18,19,20,21]). All these invariants have interpretation in this context, and hence their names.
Throughout this work, a and b will denote positive integers such that and
It is denoted that We will begin Section 2 by stating that is a covariety. This fact will allow us to arrange the elements of in the form of a tree. As a consequence, we will obtain an algorithm that allows for the computing of all the elements of In Section 3, we will study the genus of the elements that belong to We will prove that where for , and we will present an algorithm that calculates all the elements of with a fixed genus.
If m is a positive integer, then we denote that
We will start Section 4 by showing that is a ratio-covariety. This fact will allow us to arrange the elements of into a tree. Consequently, we will provide an algorithm that allows us to calculate all the elements of In this section, we will also see the genus that the elements of can have.
Let be a numerical semigroup. An idea of is a nonempty subset I of such that If I is an ideal of then is a numerical semigroup. This fact leads us to give the following definition. An -semigroup is a numerical semigroup S such that is an ideal of We denote that If is a family of numerical semigroups, then we denote by
The complexity of a numerical semigroup S is where
If m and c are positive integers, then we denote by
We will begin Section 5 by showing that
and, consequently, we will transfer to all the results obtained in Section 4.
A set X is a -set if (where the symbol → means that every integer greater than or equal to m belongs to the set) and for some If X is a -set, then we denote by the intersection of all elements of containing If then we say that X is a -system of generators of If and for all then we will say that X is a -minimal system of generators of In Section 5, we prove that every element S of has a unique -minimal system of generators. The cardinality of the -minimal system of generators of S is called the -rank of We finish Section 5 by studying the elements of with -rank 1.
2. The Tree Associated with
A covariety is a nonempty family of numerical semigroups that fulfills the following conditions:
- (1)
- has minimum, with respect to set inclusion.
- (2)
- If , then .
- (3)
- If and , then .
Our first aim in this section will be to show that is a covariety.
The following result is well known and easy to prove.
Lemma 1.
Let S and T be numerical semigroups and Then, the following conditions hold:
- 1.
- is a numerical semigroup and
- 2.
- is a numerical semigroup if and only if
- 3.
If then we denote by It is clear that is a numerical semigroup and
Proposition 1.
is a covariety.
Proof.
We have the following:
- It is clear that is the minimum of
- If then by applying Lemma 1, we deduce that .
- Let such that then, By applying Lemma 1, we have as a numerical semigroup. Moreover, , and so
□
A graph G is a pair , where V is a nonempty set and E is a subset of . The elements of V and E are called vertices and edges of G, respectively.
A path (of length n) connecting the vertices x and y of G is a sequence of different edges of the form such that and .
A graph G is a tree if there exists a vertex r (known as the root of G) such that, for any other vertex x of G, there exists a unique path connecting x and r. If is an edge of the tree G, we say that u is a child of v.
Define the graph in the following way: is its set of vertices and is an edge if and only if
By applying Proposition 1 and [22] (Proposition 2.3), we obtain the following result.
Proposition 2.
is a tree and is its root.
Observe that we can build a tree recursively, starting from the root and joining each vertex, already built, with its children by means of an edge.
We now show what the children of an arbitrary vertex of tree look like. For this, we first need to introduce the following concept.
Let S be a numerical semigroup. We will say that an integer x is a special gap of if and is a numerical semigroup. We denote, by , the set formed by the special gaps of
By applying Proposition 1 and [22] (Proposition 2.4), we obtain the following result.
Proposition 3.
If then the set formed by the children of S in the tree is
Lemma 2.
Let and such that Then, if and only if and
Proof.
(Necessity). If then and so Then, we can assume that Therefore, , and so If and then we deduce that Consequently, and
(Sufficiency). Trivial.
□
By applying Proposition 3 and Lemma 2, we obtain the following result.
Proposition 4.
If then the set formed by the children of S in the tree is as follows:
- 1.
- if
- 2.
- if
Our aim now is to present an algorithm for calculating . For this, we introduce some concepts and results.
If S is a numerical semigroup and then we define the Apéry set (see [23]) of n in S as
From [1] (Lemma 2.4), we can deduce the following.
Lemma 3.
Let S be a numerical semigroup and Then, , where is the element of S that is least congruent with i modulo n for all
Remark 1.
Remarks 1 and 2 from [22] prove that if S is a numerical semigroup and we know for some then
- 1.
- We can easily calculate
- 2.
- We can obtain effortlessly for all
Now we have all the necessary elements to present the algorithm which computes (Algorithm 1).
| Algorithm 1: Computation of |
Input: Positive integers a and b such that Output:
|
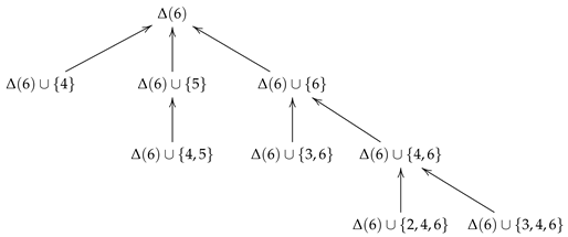
In the following example, we can see how the algorithm works.
Example 1.
We are going to compute by using Algoritm 1
- and
- and
- and
- and
- and
- and
Therefore, Algorithm 1 returns
The tree can be drawn easily by using Example 1.

If F is a positive integer, then we denote that
The following result has an immediate demonstration.
Proposition 5.
The set is a partition of
In [22] (Proposition 2.2), it is proven that is a covariety. Accordingly, Proposition 5 decomposes the covariety into smaller covarieties. Moreover, Algorithm 1 from [22] computes Consequently, we have an alternative algorithm to the Algorithm 1 for calculating This is Algorithm 2.
| Algorithm 2: Computation of |
Input: Positive integers a and b such that Output:
|
In [22], the graph is defined as follows: is its set of vertices and is an edge if and only if Additionally, it is proven that is a tree with root We finish this section by drawing the trees for

3. The Genus of the Elements of
The following result can be deduced from [1] (Lemma 2.14).
Lemma 4.
If S is a numerical semigroup, then
A numerical semigroup is irreducible if it cannot be expressed as the intersection of two numerical semigroups properly containing it. The following result is [1] (Corollary 4.5).
Lemma 5.
A numerical semigroup S is irreducible if and only if
The following result is deduced from [24] (Theorem 1).
Lemma 6.
Let S be a numerical semigroup. Then, S is irreducible if and only if S is maximal in the set of all numerical semigroups with Frobenius number
As the set of all numerical semigroups with Frobenius number F is nonempty. By applying Lemma 6, we obtain the following result.
Lemma 7.
If F is a positive integer, then there exists at least one irreducible numerical semigroup with Frobenius number
Let S be a numerical semigroup. An element will be labelled small if We denote, by , the set of all small elements of The cardinality of is denoted by Note that
Proposition 6.
If F is a positive integer, then
Proof.
By applying Lemmas 5 and 7, we deduce that there exists a numerical semigroup S such that and We recursively define the following sequence of numerical semigroups: and
It is clear that and that As by applying Lemma 4, we can conclude that □
We now aim to generalise Proposition 6 to That is, we want to see that there are positive integers and such that
Proposition 7.
The following are verified:
- 1.
- 2.
- 3.
Proof.
- 1.
- If then , and by using Lemma 4, we have By Lemma 7, we know that there is an irreducible numerical semigroup T such that Then, by Lemma 5, we have Therefore,
- 2.
- By Proposition 1, we know that is the minimum of Then, we can easily deduce
- 3.
- Let T be an element of such that , and let be the unique path in the tree connecting T and Then, it is clear that
□
Our next aim is to present an algorithm that calculates all elements of with a given genus.
Let G be a tree and let v be one of its vertices. The depth of v, denoted by , is the length of the only path connecting v with the root of G. By definition, we will say that the root has zero depth. If denote by The height of G is
The following result has immediate proof.
Proposition 8.
With the previous notation,
- 1.
- 2.
- 3.
The following algorithm (Algorithm 3) computes all the elements of with a fixed genus.
| Algorithm 3: Computation of |
Input: An integer g such that Output: .
|
We will proceed to illustrate how the previous algorithm works with an example.
Example 2.
We are going to compute the set by applying Algorithm 3. Note that
- ,
- ,
- ,
Algorithm 3 returns
We conclude this section by noting that, from the tree pictured after Example 1, we can deduce that
4. The Elements of with Fixed Multiplicity
If m is a positive integer, then we denote by
Note that is the unique numerical semigroup with multiplicity 1. Therefore, henceforth, we shall assume that
For integers p and we say that p divides q if there exists an integer r such that and we denote this by Otherwise, p does not divide q, and we denote this by
Also note that if (, respectively), then (, respectively).
In the rest of this paper, m will denote an integer greater than or equal to 2; a and b will be positive integers such that and
If S is a numerical semigroup such that the ratio of S is Note that
A ratio-covariety is a nonempty family of numerical semigroups fulfilling the following conditions:
- (1)
- There is the minimum of , denoted by
- (2)
- If , then .
- (3)
- If and , then .
Observe that if then Moreover, if then So, in what follows, without loss of generality, it is possible to assume
Proposition 9.
is a ratio-covariety.
Proof.
The following is verified.
- It is clear that is the minimum of
- By applying Lemma 1, it is easy to deduce that if , then
- To conclude the proof, we will show that if and then As then, by applying Lemma 1, we know that is a numerical semigroup. As then and so and Consequently,
□
Define the graph in the following way: is its set of vertices and is an edge if and only if
By applying Proposition 1 and [25] (Propositions 3 and 4), we obtain the following result.
Proposition 10.
is a tree with root Moreover, if then the set formed by the children of S in the tree is
The following result is easily provable.
Lemma 8.
Let and such that Then, if and only if or and
Proposition 10 can be reformulated by applying Lemma 8, as follows.
Proposition 11.
is a tree with root Moreover, if then the set formed by the children of S in the tree is where
If S is a numerical semigroup, then we denote by
where
| Algorithm 4: Computation of |
Input: Positive integers and m such that , , and Output:
|
Now we will illustrate the previous algorithm.
Example 3.
We are going to compute by using Algorithm 4
- and
Therefore, Algorithm 4 returns
Our next goal now will be to see what genus the elements of have. The following result can be deduced from [26] (Proposition 4.2).
Lemma 9.
Let F be a positive integer. If and then there exists at least an irreducible numerical semigroup such that and
Lemma 10.
Let F be an integer such that and . Then
Proof.
Let S be a numerical semigroup such that and We consider the following cases:
- If then and so
- If then Besides, it is clear that is a numerical semigroup with multiplicity Frobenius number F and genus
- If then by Lemmas 5 and 9, we know that there is a numerical semigroup with multiplicity Frobenius number F and genus In addition, by Lemma 4, we know that if S is a numerical semigroup and then
□
Note that if S is a numerical semigroup with multiplicity then We will therefore assume from now on that and
If , we denote by
Lemma 11.
We have
Proof.
This is enough to observe that is the minimum of and □
Proposition 12.
The following are verified:
- 1.
- If then
- 2.
- If then
- 3.
- If then
Proof.
By Lemma 10, we know that
- 1.
- If then
- 2.
- If then
- 3.
- If then
By Lemma 11, we know that
To conclude the proof, it will be enough note that if and is the unique path in the tree that connects T and then □
5. Numerical Semigroups with a Given Multiplicity and Complexity
A numerical semigroup is ordinary if A numerical semigroup S is elemental if The following result is straightforward to obtain.
Proposition 13.
The following holds:
Intuitively, the ordinary numerical semigroups are the easiest to study, and the elementary numerical semigroups are the next easiest.
In [27], it is shown that is the set formed by all the ordinary numerical semigroup, and is the set formed by all elemental numerical semigroups. This fact leads us to give the following definition. The complexity of a numerical semigroup S is The following result is [27] (Corollary 21).
Proposition 14.
If S is a numerical semigroup, then
If m and c are positive integers, then we denote by
It is clear that is the unique numerical semigroup with multiplicity 1 and as then, by applying Proposition 14, we have Note that if S is a numerical semigroup and then and, by Proposition 14, we have We also observe that if then In what follows in this paper, we assume that m and c are integers such that and
Proposition 15.
We have
Proof.
This is enough to note that if and only if and □
As a consequence of Propositions 9 and 15, we have the following result.
Corollary 1.
is a ratio-covariety, and is its minimum.
Define the graph in the following way: is its set of vertices, and is an edge if and only if
If and , we denote, by p q, the remainder of the division of p by q. By applying Propositions 11 and 15, we deduce the following result.
Corollary 2.
is a tree with root Moreover, if then the set formed by the children of S in the tree is , where
The following result is easily provable.
Proposition 16.
With the previous notation, Moreover,
The following result is obtained by applying Propositions 12 and 15.
Proposition 17.
If m and c are integers greater than or equal to 3, then
A set X is a -set if it verifies the following conditions:
- 1.
- 2.
- for some
If X is a -set, then we denote, by the intersection of all elements of containing
As is a finite set, by Corollary 1, we deduce that the intersection of elements from is, again, an element of As a consequence, the following result holds.
Proposition 18.
If X is a -set, then is the smallest element of , with respect to set inclusion order, containing
If X is a -set and then we will say that X is a -system of generators of In addition, if for all then X will be called a -minimal system of generators of
Our next goal will be to demonstrate that every element of has a unique -minimal system of generators.
By applying Corollary 1 and [25] (Lemma 13), the following result is obtained.
Lemma 12.
If then is a -set and
Proposition 19.
If then is the unique -minimal system of generators of
Proof.
In accordance with Lemma 12, to prove the proposition, it will suffice to demonstrate that if Y is an -set and then If then there is By applying Lemma 1, we say that is a numerical semigroup. As we easily deduce that If and then By Proposition 18, we have which is absurd. □
If then we denote, by , the unique -minimal system of generators of The cardinality of is called the -rank of S, and it will denote, by
Example 4.
Let Then, , and by applying Proposition 14, we have Therefore, As then By applying Proposition 19, we have and
By applying Proposition 19 and [25] (Lemmas 14 and 15, along with Proposition 11) we obtain the following result.
Proposition 20.
If then we have the following conditions.
- (1)
- (2)
- if and only if
- (3)
- If then
- (4)
- if and only if
We now aim to describe the elements of with The following result is deduced from [3].
Lemma 13.
If and then
Proposition 21.
It is verified that and if and only if one of the following conditions is true:
- 1.
- for some such that
- 2.
- for some such that and
Proof.
(Necessity). If and , then, by Proposition 20, we know that By applying Proposition 19, we have that We consider two cases:
- 1.
- If then with and Additionally,
- 2.
- If then with and Moreover, By applying Lemma 13, we have Therefore,
(Sufficiency). Two cases are distinguished:
- 1.
- If and then we can easily deduce that is a numerical semigroup with multiplicity m and Frobenius number By applying Proposition 14, we have Moreover, By Proposition 19, we obtain . Hence,
- 2.
- Suppose now that and Let As then, by Lemma 13, we have and so Consequently, Moreover, Finally, by using Proposition 19, we have
□
Example 5.
We are going to calculate the set For this, we apply Proposition 21.
- 1.
- Taking and we obtain and
- 2.
- We will consider two cases:
- Taking and we obtain and
- Taking and we obtain and
Therefore,
Author Contributions
The authors contributed equally to this work. All authors have read and agreed to the published version of the manuscript.
Funding
This work has been partially supported by Junta de Andalucía groups FQM-298, FQM-343, and by ProyExcel_00868.
Data Availability Statement
The original contributions presented in this study are included in the article. Further inquiries can be directed to the corresponding author.
Acknowledgments
The authors would also like to thank the referees for the useful comments and suggestions for improving the paper.
Conflicts of Interest
The authors declare no conflicts of interest.
References
- Rosales, J.C.; García-Sánchez, P.A. Numerical Semigroups; Springer: New York, NY, USA, 2009; Volume 20. [Google Scholar]
- Ramírez Alfonsín, J.L. The Diophantine Frobenius Problem; Oxford University Press: London, UK, 2005. [Google Scholar]
- Sylvester, J.J. Mathematical question with their solutions. Educ. Times 1884, 41, 21. [Google Scholar]
- Brauer, A. On a problem of partitions. Am. J. Math. 1942, 64, 299–312. [Google Scholar] [CrossRef]
- Curtis, F. On formulas for the Frobenius number of a numerical semigroup. Math. Scand. 1990, 67, 190–192. [Google Scholar] [CrossRef]
- Davison, J.L. On the linear Diophantine problem of Frobenius. J. Number Theory 1994, 48, 353–363. [Google Scholar] [CrossRef][Green Version]
- Djawadi, M.; Hofmeister, G. Linear Diophantine problem. Arch. Math. 1996, 66, 19–29. [Google Scholar] [CrossRef]
- Johnson, S.M. A Linear Diophantine problem. Canad. J. Math. 1960, 12, 390–398. [Google Scholar] [CrossRef]
- Selmer, E.S. On the linear diophantine problem of Frobenius. J. Reine Angew. Math. 1977, 293/294, 1–17. [Google Scholar]
- Wilf, H.S. A circle-of-lights algorithm for the “money-changing problem”. Am. Math. Mon. 1978, 85, 562–565. [Google Scholar]
- Delgado, M. Conjeture of Wilf: A survey. Numerical Semigroups. Springer INdAM Ser. 2018, 40, 39–62. [Google Scholar]
- Delgado, M.; Eliahou, S.; Fromentin, J. A verification of Wilf’s conjecture up to genus 100. J. Algebra 2025, 664, 150–163. [Google Scholar] [CrossRef]
- Eliahou, S. Wilf’s conjecture and Macaulay’s theorem. J. Eur. Math. Soc. 2018, 20, 2105–2129. [Google Scholar] [CrossRef]
- Eliahou, S. A graph-theoretic approach to Wilf’s conjecture. Elec. J. Combin. 2020, 27 Pt 2, 15–31. [Google Scholar] [CrossRef]
- Eliahou, S.; Fromentin, J. Near-misses in Wilf’s conjecture. Semigroup Forum 2019, 98, 285–298. [Google Scholar] [CrossRef]
- Eliahou, S.; Fromentin, J. Gapsets and numerical semigroups. J. Combin. Theory Ser. A 2020, 169, 105129. [Google Scholar] [CrossRef]
- Barucci, V.; Dobbs, D.E.; Fontana, M. Maximality Properties in Numerical Semigroups and Applications to One-Dimensional Analitycally Irreducible Local Domains. Mem. Am. Math. Soc. 1997, 598, 149–160. [Google Scholar]
- Bertin, J.; Carbonne, P. Semi-groupes d’entiers et application aux branches. J. Algebra 1977, 49, 81–95. [Google Scholar] [CrossRef]
- Delorme, C. Sous-monoïdes d’intersection complète de N. Ann. Scient. École Norm. Sup. 1976, 9, 145–154. [Google Scholar] [CrossRef]
- Kunz, E. The value-semigroup of a one-dimensional Gorenstein ring. Proc. Am. Math. Soc. 1970, 25, 748–751. [Google Scholar] [CrossRef]
- Watanabe, W. Some examples of one dimensional Gorenstein domains. Nagoya Math. J. 1973, 49, 101–109. [Google Scholar] [CrossRef]
- Moreno-Frías, M.A.; Rosales, J.C. The covariety of numerical semigroups with fixed Frobenius number. J. Algebra. Comb. 2024, 60, 555–568. [Google Scholar] [CrossRef]
- Apéry, R.R. Sur les branches superlinéaires des courbes algébriques. C.R. Acad. Sci. Paris 1946, 222, 1198–2000. [Google Scholar]
- Rosales, J.C.; Branco, M.B. Irreducible numerical semigroups. Pac. J. Math. 2003, 209, 131–143. [Google Scholar] [CrossRef]
- Moreno-Frías, M.A.; Rosales, J.C. Ratio-Covarieties of numerical semigroups. Axioms 2024, 13, 193. [Google Scholar] [CrossRef]
- Branco, M.B.; Ojeda, I.; Rosales, J.C. The set of numerical semigroups of a given multiplicity and Frobenius number. Port. Math. 2011, 78, 147–167. [Google Scholar] [CrossRef] [PubMed]
- García-García, J.I.; Moreno-Frías, M.A.; Rosales, J.C.; Vigneron-Tenorio, A. The complexity of a numerical semigroup. Quaest. Math. 2023, 46, 1847–1861. [Google Scholar] [CrossRef]
Disclaimer/Publisher’s Note: The statements, opinions and data contained in all publications are solely those of the individual author(s) and contributor(s) and not of MDPI and/or the editor(s). MDPI and/or the editor(s) disclaim responsibility for any injury to people or property resulting from any ideas, methods, instructions or products referred to in the content. |
© 2025 by the authors. Licensee MDPI, Basel, Switzerland. This article is an open access article distributed under the terms and conditions of the Creative Commons Attribution (CC BY) license (https://creativecommons.org/licenses/by/4.0/).