SCS-Net: Stratified Compressive Sensing Network for Large-Scale Crowd Flow Prediction
Abstract
1. Introduction
- We developed a spatially stratified module to model spatial heterogeneity. This module enables posterior adaptive extraction of the spatially stratified structure from geographical environments, improving prediction accuracy.
- We developed several compressive sensing modules to enhance efficiency. By compressing redundant information among spatial units of the same type, this module facilitates the learning of shared crowd flow patterns, thereby significantly improving computational efficiency. Meanwhile, by leveraging the information lost after reconstruction, this module captures residual fluctuation patterns, further enhancing the model’s predictive capabilities.
- We evaluated our proposed model for large-scale crowd flow prediction in Fuzhou, China. Experimental results demonstrated its significant advantages over baseline models in both accuracy and efficiency. Based on the interpretability analysis of the spatially stratified structure, we found that spatial heterogeneity in crowd flow patterns is closely related to the urban functional layouts in Fuzhou.
2. Related Works
3. Preliminaries
4. Methodology
4.1. Spatially Stratified Module
4.2. Compressive Sensing Module
4.3. Optimization
5. Experiments
5.1. Dataset
5.2. Experiment Setting and Evaluation Metric
5.3. Model Accuracy
- HA: Historical Average is a classic non-parametric time series prediction method that uses the average of historical crowd flow as the predictions.
- GRU [46]: Gated Recurrent Unit is a classic deep learning time-series prediction model capable of capturing long-term temporal dependencies.
- DLinear [47]: DLinear is an advanced time series prediction model that decomposes historical data into trend and residual components, efficiently capturing long-term temporal dependencies through simple linear layers. The kernel size of the moving average operation was set to 5.
- ConvGRU [48]: Convolutional Gated Recurrent Unit is a classic CNN-based spatio-temporal prediction model that extends GRU with convolutional structures to capture spatio-temporal dependencies.
- STResNet [7]: Spatio-Temporal Residual Network is a widely recognized CNN-based crowd flow prediction model that employs residual units to capture spatio-temporal dependencies. The number of ResUnits was set to 3.
- AGCRN [49]: Adaptive Graph Convolutional Recurrent Network is a representative GNN-based spatio-temporal prediction model that extends GRU with adaptive graph convolution to capture spatio-temporal dependencies. The dimension of node embedding was set to 16.
- DeepCrowd [20]: DeepCrowd is the first model applied to large-scale crowd flow prediction. It constructs a pyramidal architecture by stacking ConvLSTM layers to capture large-scale spatial dependencies. The number of pyramidal ConvLSTM layers was set to 3.
- ASTCN [36]: Attentive Spatial–Temporal Convolutional Network is a representative attention-based crowd flow prediction model that introduces causal 3D convolutions and attention mechanisms to capture spatio-temporal dependencies. The number of ST blocks was set to 1.
- TLAE [50]: Temporal Latent Auto-Encoder is a representative prediction model incorporating compressive sensing, which achieves efficient predicting by compressing and reconstructing time series data. However, compared to SCS-Net, TLAE performs less comprehensive time-series modeling and overlooks residual learning. The latent dimension was set to 16.
- STRN [15]: Spatio-Temporal Relation Network is an advanced CNN-based crowd flow prediction model that introduces Mincut loss to extract the spatially stratified structure for modeling spatial heterogeneity. The number of regions was set to 3.
- BigST [51]: BigST is an advanced large-scale spatio-temporal prediction model that uses a pre-training strategy to extract long-term temporal representations and introduces a linearized global spatial convolution network to efficiently capture spatial dependencies. The size of time window in the long sequence feature extractor was set to 24. The dimension of random features was set to 32.
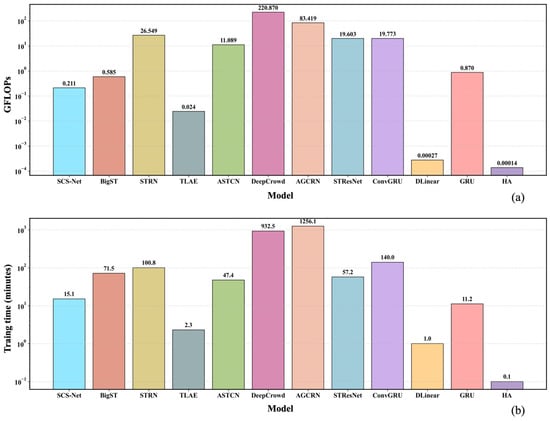
5.4. Model Efficiency
5.5. Ablation Experiment
- SCS-Net-g: Replaces the CS-Modules with a GRU, retaining the model’s predictive function while removing its capacity to perceive shared crowd flow patterns.
- SCS-Net-k: Replaces the SS-Module with K-means clustering based on geographical environments, providing a prior spatially stratified structure.
- SCS-Net-c: Removes the SS-Module entirely, making the model incapable of capturing the spatially stratified structure.
5.6. Analysis of the Spatially Stratified Structure
6. Conclusions
Author Contributions
Funding
Data Availability Statement
Acknowledgments
Conflicts of Interest
References
- Sun, L.; Chen, J.; Li, Q.; Huang, D. Dramatic Uneven Urbanization of Large Cities throughout the World in Recent Decades. Nat. Commun. 2020, 11, 5366. [Google Scholar] [CrossRef]
- Mahtta, R.; Fragkias, M.; Güneralp, B.; Mahendra, A.; Reba, M.; Wentz, E.A.; Seto, K.C. Urban Land Expansion: The Role of Population and Economic Growth for 300+ Cities. npj Urban Sustain. 2022, 2, 5. [Google Scholar] [CrossRef]
- Zheng, Y.; Capra, L.; Wolfson, O.; Yang, H. Urban Computing: Concepts, Methodologies, and Applications. ACM Trans. Intell. Syst. Technol. 2014, 5, 1–55. [Google Scholar] [CrossRef]
- Chen, K.; Chu, G.; Yang, X.; Shi, Y.; Lei, K.; Deng, M. HSETA: A Heterogeneous and Sparse Data Learning Hybrid Framework for Estimating Time of Arrival. IEEE Trans. Intell. Transp. Syst. 2022, 23, 21873–21884. [Google Scholar] [CrossRef]
- Wang, P.; Zhang, Y.; Hu, T.; Zhang, T. Urban Traffic Flow Prediction: A Dynamic Temporal Graph Network Considering Missing Values. Int. J. Geogr. Inf. Sci. 2023, 37, 885–912. [Google Scholar] [CrossRef]
- Hoang, M.X.; Zheng, Y.; Singh, A.K. FCCF: Forecasting Citywide Crowd Flows Based on Big Data. In Proceedings of the 24th ACM SIGSPATIAL International Conference on Advances in Geographic Information Systems, Burlingame, CA, USA, 31 October–3 November 2016; pp. 1–10. [Google Scholar]
- Zhang, J.; Zheng, Y.; Qi, D. Deep Spatio-Temporal Residual Networks for Citywide Crowd Flows Prediction. In Proceedings of the AAAI Conference on Artificial Intelligence, San Francisco, CA, USA, 4–9 February 2017; Volume 31. [Google Scholar] [CrossRef]
- Dai, G.; Huang, H.; Peng, X.; Zhang, B.; Fu, X. ARFGCN: Adaptive Receptive Field Graph Convolutional Network for Urban Crowd Flow Prediction. Mathematics 2024, 12, 1739. [Google Scholar] [CrossRef]
- Zhang, J.; Zheng, Y.; Qi, D.; Li, R.; Yi, X.; Li, T. Predicting Citywide Crowd Flows Using Deep Spatio-Temporal Residual Networks. Artif. Intell. 2018, 259, 147–166. [Google Scholar] [CrossRef]
- Xie, P.; Li, T.; Liu, J.; Du, S.; Yang, X.; Zhang, J. Urban Flow Prediction from Spatiotemporal Data Using Machine Learning: A Survey. Inf. Fusion 2020, 59, 1–12. [Google Scholar] [CrossRef]
- Wang, P.; Zhang, T.; Zhang, H.; Cheng, S.; Wang, W. Adding Attention to the Neural Ordinary Differential Equation for Spatio-Temporal Prediction. Int. J. Geogr. Inf. Sci. 2024, 38, 156–181. [Google Scholar] [CrossRef]
- Chen, K.; Deng, M.; Lei, K.; Liu, Q.; Shi, Y. Adaptive Multi-View Neural Network for Network-Wide and Segment-Wise Traffic Speed Estimation With Heterogeneous Missing Cases. Trans. GIS 2025, 29, e13295. [Google Scholar] [CrossRef]
- Xu, L.; Chen, N.; Chen, Z.; Zhang, C.; Yu, H. Spatiotemporal Forecasting in Earth System Science: Methods, Uncertainties, Predictability and Future Directions. Earth-Sci. Rev. 2021, 222, 103828. [Google Scholar] [CrossRef]
- Luo, P.; Song, Y.; Zhu, D.; Cheng, J.; Meng, L. A Generalized Heterogeneity Model for Spatial Interpolation. Int. J. Geogr. Inf. Sci. 2023, 37, 634–659. [Google Scholar] [CrossRef]
- Liang, Y.; Ouyang, K.; Sun, J.; Wang, Y.; Zhang, J.; Zheng, Y.; Rosenblum, D.; Zimmermann, R. Fine-Grained Urban Flow Prediction. In Proceedings of the Web Conference 2021, Ljubljana, Slovenia, 19–23 April 2021; pp. 1833–1845. [Google Scholar]
- Huang, W.; Li, S.; Liu, X.; Ban, Y. Predicting Human Mobility with Activity Changes. Int. J. Geogr. Inf. Sci. 2015, 29, 1569–1587. [Google Scholar] [CrossRef]
- Zhang, Y.; Wu, S.; Zhao, Z.; Yang, X.; Fang, Z. An Urban Crowd Flow Model Integrating Geographic Characteristics. Sci. Rep. 2023, 13, 1695. [Google Scholar] [CrossRef] [PubMed]
- Lei, K.; Chen, K.; Deng, M.; Tan, X.; Yang, W.; Liu, H.; Huang, C. CSSKL: Collaborative Specific-Shared Knowledge Learning Framework for Cross-City Spatiotemporal Forecasting in Cellular Networks. Int. J. Geogr. Inf. Sci. 2025, 1–38. [Google Scholar] [CrossRef]
- Lin, Y.; Huang, J.; Sun, D. A Novel Recurrent Convolutional Network Based on Grid Correlation Modeling for Crowd Flow Prediction. J. King Saud Univ.-Comput. Inf. Sci. 2023, 35, 101699. [Google Scholar] [CrossRef]
- Jiang, R.; Cai, Z.; Wang, Z.; Yang, C.; Fan, Z.; Chen, Q.; Tsubouchi, K.; Song, X.; Shibasaki, R. DeepCrowd: A Deep Model for Large-Scale Citywide Crowd Density and Flow Prediction. IEEE Trans. Knowl. Data Eng. 2021, 35, 276–290. [Google Scholar] [CrossRef]
- Zhang, X.; Sun, Y.; Guan, F.; Chen, K.; Witlox, F.; Huang, H. Forecasting the Crowd: An Effective and Efficient Neural Network for Citywide Crowd Information Prediction at a Fine Spatio-Temporal Scale. Transp. Res. Part C Emerg. Technol. 2022, 143, 103854. [Google Scholar] [CrossRef]
- Wang, P.; Zhang, H.; Liu, J.; Lu, F.; Zhang, T. Efficient Inference of Large-Scale Air Quality Using a Lightweight Ensemble Predictor. Int. J. Geogr. Inf. Sci. 2025, 39, 900–924. [Google Scholar] [CrossRef]
- Medina-Salgado, B.; Sánchez-DelaCruz, E.; Pozos-Parra, P.; Sierra, J.E. Urban Traffic Flow Prediction Techniques: A Review. Sustain. Comput. Inform. Syst. 2022, 35, 100739. [Google Scholar] [CrossRef]
- Zhang, J.; Zheng, Y.; Qi, D.; Li, R.; Yi, X. DNN-Based Prediction Model for Spatio-Temporal Data. In Proceedings of the 24th ACM SIGSPATIAL International Conference on Advances in Geographic Information Systems, Burlingame, CA, USA, 31 October–3 November 2016; pp. 1–4. [Google Scholar]
- Zheng, C.; Fan, X.; Wen, C.; Chen, L.; Wang, C.; Li, J. DeepSTD: Mining Spatio-Temporal Disturbances of Multiple Context Factors for Citywide Traffic Flow Prediction. IEEE Trans. Intell. Transp. Syst. 2020, 21, 3744–3755. [Google Scholar] [CrossRef]
- Lin, Z.; Feng, J.; Lu, Z.; Li, Y.; Jin, D. DeepSTN+: Context-Aware Spatial-Temporal Neural Network for Crowd Flow Prediction in Metropolis. In Proceedings of the AAAI Conference on Artificial Intelligence, Honolulu, HI, USA, 27 January–1 February 2019; Volume 33, pp. 1020–1027. [Google Scholar] [CrossRef]
- Go, H.; Park, S. A Study on Deep Learning Model Based on Global–Local Structure for Crowd Flow Prediction. Sci. Rep. 2024, 14, 12623. [Google Scholar] [CrossRef]
- Jin, W.; Lin, Y.; Wu, Z.; Wan, H. Spatio-Temporal Recurrent Convolutional Networks for Citywide Short-Term Crowd Flows Prediction. In Proceedings of the 2nd International Conference on Compute and Data Analysis, DeKalb, IL, USA, 23–25 March 2018; pp. 28–35. [Google Scholar]
- Yuan, X.; Han, J.; Wang, X.; He, Y.; Xu, W.; Zhang, K. A Novel Learning Approach for Citywide Crowd Flow Prediction. In Proceedings of the 2019 Computing, Communications and IoT Applications (ComComAp), Shenzhen, China, 26–28 October 2019; pp. 341–346. [Google Scholar]
- Ren, Y.; Chen, H.; Han, Y.; Cheng, T.; Zhang, Y.; Chen, G. A Hybrid Integrated Deep Learning Model for the Prediction of Citywide Spatio-Temporal Flow Volumes. Int. J. Geogr. Inf. Sci. 2020, 34, 802–823. [Google Scholar] [CrossRef]
- Tang, G.; Li, B.; Dai, H.-N.; Zheng, X. SPRNN: A Spatial–Temporal Recurrent Neural Network for Crowd Flow Prediction. Inf. Sci. 2022, 614, 19–34. [Google Scholar] [CrossRef]
- Wang, X.; Zhou, Z.; Zhao, Y.; Zhang, X.; Xing, K.; Xiao, F.; Yang, Z.; Liu, Y. Improving Urban Crowd Flow Prediction on Flexible Region Partition. IEEE Trans. Mob. Comput. 2020, 19, 2804–2817. [Google Scholar] [CrossRef]
- Cardia, M.; Luca, M.; Pappalardo, L. Enhancing Crowd Flow Prediction in Various Spatial and Temporal Granularities. In Proceedings of the Companion Proceedings of the Web Conference 2022, Virtual Event, Lyon, France, 25–29 April 2022; pp. 1251–1259. [Google Scholar]
- Ul Abideen, Z.; Sun, X.; Sun, C. Crowd Flow Prediction: An Integrated Approach Using Dynamic Spatial–Temporal Adaptive Modeling for Pattern Flow Relationships. J. Forecast. 2025, 44, 556–574. [Google Scholar] [CrossRef]
- Li, F.; Feng, J.; Yan, H.; Jin, D.; Li, Y. Crowd Flow Prediction for Irregular Regions with Semantic Graph Attention Network. ACM Trans. Intell. Syst. Technol. 2022, 13, 1–14. [Google Scholar] [CrossRef]
- Guo, H.; Zhang, D.; Jiang, L.; Poon, K.-W.; Lu, K. ASTCN: An Attentive Spatial–Temporal Convolutional Network for Flow Prediction. IEEE Internet Things J. 2022, 9, 3215–3225. [Google Scholar] [CrossRef]
- Ali, A.; Zhu, Y.; Zakarya, M. Exploiting Dynamic Spatio-Temporal Correlations for Citywide Traffic Flow Prediction Using Attention Based Neural Networks. Inf. Sci. 2021, 577, 852–870. [Google Scholar] [CrossRef]
- Xie, Y.; Niu, J.; Zhang, Y.; Ren, F. Multisize Patched Spatial-Temporal Transformer Network for Short- and Long-Term Crowd Flow Prediction. IEEE Trans. Intell. Transp. Syst. 2022, 23, 21548–21568. [Google Scholar] [CrossRef]
- Zheng, Z.; Gu, J.; Zhou, Q.; Lu, X. Prediction in Long-Term Evolution: Exploiting the Interaction between Urban Crowd Flow Variation and POI Transition Patterns. In Proceedings of the 2023 IEEE International Conference on Data Mining (ICDM), Shanghai, China, 1–4 December 2023; pp. 1559–1564. [Google Scholar]
- Jiang, R.; Cai, Z.; Wang, Z.; Yang, C.; Fan, Z.; Chen, Q.; Song, X.; Shibasaki, R. Predicting Citywide Crowd Dynamics at Big Events: A Deep Learning System. ACM Trans. Intell. Syst. Technol. 2022, 13, 1–24. [Google Scholar] [CrossRef]
- Yuan, Y.; Ding, J.; Feng, J.; Jin, D.; Li, Y. UniST: A Prompt-Empowered Universal Model for Urban Spatio-Temporal Prediction. In Proceedings of the Proceedings of the 30th ACM SIGKDD Conference on Knowledge Discovery and Data Mining, Barcelona, Spain, 25–29 August 2024; pp. 4095–4106. [Google Scholar]
- Su, C.; Wu, C.; Lian, D. GridFormer: Spatial-Temporal Transformer Network for Citywide Crowd Flow Prediction. In Frontiers in Artificial Intelligence and Applications; Gal, K., Nowé, A., Nalepa, G.J., Fairstein, R., Rădulescu, R., Eds.; IOS Press: Amsterdam, The Netherlands, 2023; ISBN 978-1-64368-436-9. [Google Scholar]
- Zhu, A.; Lu, G.; Liu, J.; Qin, C.; Zhou, C. Spatial Prediction Based on Third Law of Geography. Ann. GIS 2018, 24, 225–240. [Google Scholar] [CrossRef]
- Deng, M.; Yang, W.; Liu, Q.; Jin, R.; Xu, F.; Zhang, Y. Heterogeneous Space–Time Artificial Neural Networks for Space–Time Series Prediction. Trans. GIS 2018, 22, 183–201. [Google Scholar] [CrossRef]
- Zhang, C.; Zhang, H.; Qiao, J.; Yuan, D.; Zhang, M. Deep Transfer Learning for Intelligent Cellular Traffic Prediction Based on Cross-Domain Big Data. IEEE J. Sel. Areas Commun. 2019, 37, 1389–1401. [Google Scholar] [CrossRef]
- Chung, J.; Gulcehre, C.; Cho, K.; Bengio, Y. Empirical Evaluation of Gated Recurrent Neural Networks on Sequence Modeling. arXiv 2014, arXiv:1412.3555. [Google Scholar]
- Zeng, A.; Chen, M.; Zhang, L.; Xu, Q. Are Transformers Effective for Time Series Forecasting? In Proceedings of the AAAI Conference on Artificial Intelligence, Washington, DC, USA, 7–14 February 2023; Volume 37, pp. 11121–11128. [Google Scholar] [CrossRef]
- Ballas, N.; Yao, L.; Pal, C.; Courville, A. Delving Deeper into Convolutional Networks for Learning Video Representations. arXiv 2015, arXiv:1511.06432. [Google Scholar]
- Bai, L.; Yao, L.; Li, C.; Wang, X.; Wang, C. Adaptive Graph Convolutional Recurrent Network for Traffic Forecasting. Adv. Neural Inf. Process. Syst. 2020, 33, 17804–17815. [Google Scholar]
- Nguyen, N.; Quanz, B. Temporal Latent Auto-Encoder: A Method for Probabilistic Multivariate Time Series Forecasting. In Proceedings of the AAAI Conference on Artificial Intelligence, Virtual Event, 2–9 February 2021; Volume 35, pp. 9117–9125. [Google Scholar] [CrossRef]
- Han, J.; Zhang, W.; Liu, H.; Tao, T.; Tan, N.; Xiong, H. BigST: Linear Complexity Spatio-Temporal Graph Neural Network for Traffic Forecasting on Large-Scale Road Networks. Proc. VLDB Endow. 2024, 17, 1081–1090. [Google Scholar] [CrossRef]









| Model | ||||||||
|---|---|---|---|---|---|---|---|---|
| MAE | RMSE | MAE | RMSE | |||||
| HA | 3.1847 | 120.7% | 20.3833 | 212.0% | 3.9934 | 133.0% | 25.6272 | 219.3% |
| GRU | 2.1654 | 50.1% | 11.412 | 74.7% | 2.9217 | 70.5% | 17.0506 | 112.4% |
| DLinear | 2.1398 | 48.3% | 11.5169 | 76.3% | 3.0281 | 76.7% | 17.5576 | 118.8% |
| ConvGRU | 1.9551 | 35.5% | 10.4633 | 60.2% | 2.9022 | 69.3% | 12.806 | 59.6% |
| STResNet | 3.2986 | 128.6% | 10.922 | 67.2% | 4.0994 | 139.2% | 16.0819 | 100.4% |
| AGCRN | 2.9574 | 105.0% | 10.7298 | 64.2% | 3.9031 | 127.7% | 16.6018 | 106.8% |
| DeepCrowd | 2.1502 | 49.0% | 8.9211 | 36.5% | 3.0979 | 80.8% | 10.7258 | 33.6% |
| ASTCN | 2.8359 | 96.6% | 8.2524 | 26.3% | 3.0012 | 75.1% | 10.7272 | 33.7% |
| TLAE | 2.2912 | 58.8% | 9.9185 | 51.8% | 2.7184 | 58.6% | 13.3906 | 66.8% |
| STRN | 3.1779 | 120.3% | 8.9634 | 37.2% | 4.5195 | 163.7% | 13.9061 | 73.3% |
| BigST | 2.9839 | 106.8% | 10.0191 | 53.4% | 3.4222 | 99.7% | 12.4788 | 55.5% |
| SCS-Net | 1.4427 | - | 6.5334 | - | 1.7139 | - | 8.0263 | - |
| Model | ||||||||
|---|---|---|---|---|---|---|---|---|
| MAE | RMSE | MAE | RMSE | |||||
| SCS-Net-g | 2.3623 | 63.7% | 10.7731 | 64.9% | 2.7451 | 60.2% | 15.2769 | 90.3% |
| SCS-Net-k | 1.6072 | 11.4% | 8.1463 | 24.7% | 1.9194 | 12.0% | 9.8755 | 23.0% |
| SCS-Net-c | 1.5249 | 5.7% | 7.7657 | 18.9% | 2.141 | 24.9% | 9.6372 | 20.1% |
| SCS-Net | 1.4427 | - | 6.5334 | - | 1.7139 | - | 8.0263 | - |
Disclaimer/Publisher’s Note: The statements, opinions and data contained in all publications are solely those of the individual author(s) and contributor(s) and not of MDPI and/or the editor(s). MDPI and/or the editor(s) disclaim responsibility for any injury to people or property resulting from any ideas, methods, instructions or products referred to in the content. |
© 2025 by the authors. Licensee MDPI, Basel, Switzerland. This article is an open access article distributed under the terms and conditions of the Creative Commons Attribution (CC BY) license (https://creativecommons.org/licenses/by/4.0/).
Share and Cite
Tan, X.; Chen, K.; Deng, M.; Liu, B.; Zhao, Z.; Tu, Y.; Wu, S. SCS-Net: Stratified Compressive Sensing Network for Large-Scale Crowd Flow Prediction. Mathematics 2025, 13, 1686. https://doi.org/10.3390/math13101686
Tan X, Chen K, Deng M, Liu B, Zhao Z, Tu Y, Wu S. SCS-Net: Stratified Compressive Sensing Network for Large-Scale Crowd Flow Prediction. Mathematics. 2025; 13(10):1686. https://doi.org/10.3390/math13101686
Chicago/Turabian StyleTan, Xiaoyong, Kaiqi Chen, Min Deng, Baoju Liu, Zhiyuan Zhao, Youjun Tu, and Sheng Wu. 2025. "SCS-Net: Stratified Compressive Sensing Network for Large-Scale Crowd Flow Prediction" Mathematics 13, no. 10: 1686. https://doi.org/10.3390/math13101686
APA StyleTan, X., Chen, K., Deng, M., Liu, B., Zhao, Z., Tu, Y., & Wu, S. (2025). SCS-Net: Stratified Compressive Sensing Network for Large-Scale Crowd Flow Prediction. Mathematics, 13(10), 1686. https://doi.org/10.3390/math13101686

