Abstract
This study explores the optimization of a Cu–Al2O3/water hybrid nanofluid within an irregular wavy enclosure under inclined periodic MHD effects. Hybrid nanofluids, with different mixture ratios of copper (Cu) and alumina (Al2O3) nanoparticles in water, are used in this study. Numerical simulations using the Galerkin residual-based finite-element method (FEM) are conducted to solve the governing PDEs. At the same time, artificial neural networks (ANNs) and response surface methodology (RSM) are employed to optimize thermal performance by maximizing the average Nusselt number (Nuav), the key indicator of thermal transport efficiency. Thermophysical properties such as viscosity and thermal conductivity are evaluated for validation against experimental data. The results include visual representations of heatlines, streamlines, and isotherms for various physical parameters. Additionally, Nuav, friction factors, and thermal efficiency index are analyzed using different nanoparticle ratios. The findings show that buoyancy and MHD parameters significantly influence heat transfer, friction, and thermal efficiency. The addition of Cu nanoparticles improves heat transport compared to Al2O3 nanofluid, demonstrating the superior thermal conductivity of the Cu–Al2O3/water hybrid nanofluid. The results also indicate that adding Al2O3 nanoparticles to the Cu/water nanofluid diminishes the heat transport rate. The waviness of the geometry shows a significant impact on thermal management as well. Moreover, the statistical RSM analysis indicates a high R2 value of 98.88% for the response function, which suggests that the model is well suited for predicting Nuav. Furthermore, the ANN model demonstrates high accuracy with a mean squared error (MSE) of 0.00018, making it a strong alternative to RSM analysis. Finally, this study focuses on the interaction between the hybrid nanofluid, a wavy geometry, and MHD effects, which can optimize heat transfer and contribute to energy-efficient cooling or heating technologies.
MSC:
49K20; 62J02; 62J10; 62K20; 62P35; 65N30; 68T07; 76-10; 76M10; 76D05
1. Introduction
The advancement in thermal management technologies highlights the critical need for optimizing heat transfer in fluids. Enhancing heat transfer efficiency is essential for refining the functioning and energy efficiency of thermal management. Recent advancements in the development and use of nanofluids—solutions of nanoparticles in a base fluid—have shown that they have better thermal characteristics than conventional fluids, which makes them perfect for a range of engineering uses [1,2,3,4]. Among these, hybrid nanofluids, composed of different types of nanoparticles within a single base fluid, have gained attention due to their ability to further enhance thermal conductivity and overall heat transfer performance [5]. By addressing the limitations of traditional heat transfer liquids, hybrid nanofluids provide a novel solution to the growing demand for efficient thermal management across diverse industrial sectors. The applications of hybrid nanofluids include engine and electronic components cooling [6], automobile cooling, advanced manufacturing processes [7], blood flow monitoring [8], photovoltaic thermal management, solar collectors [9,10], and bioconvective flow [11]. The unique properties of the combined nanoparticles create synergistic effects that significantly enhance thermal conductivity, stability, and total effectiveness of heat transport.
The thermophysical properties of both nanofluids and hybrid nanofluids are crucial in determining their effectiveness in enhancing heat transfer [12,13]. Nanofluids exhibit improved thermal conductivity, heat transfer coefficients, and viscosity compared to conventional fluids due to the high surface area and thermal interactions of nanoparticles [14,15]. Hybrid nanofluids further refine these properties by leveraging the synergistic effects of multiple nanoparticle types, potentially leading to even greater thermal conductivity and heat transfer performance [16]. The interplay between nanoparticle type, size, concentration, and base fluid properties dictates the overall thermal efficiency [17]. Understanding and optimizing these thermophysical properties are essential for advancing their applications, particularly in electronics cooling, solar thermal systems, and advanced manufacturing processes. However, challenges remain, particularly in scaling up production, improving cost-effectiveness, and ensuring long-term stability. Despite these challenges, hybrid nanofluids, due to their advantages over single-component nanofluids, such as broader absorption ranges, higher thermal conductivity, and reduced frictional losses, are expected to be crucial to future energy management and heat exchange technologies. For instance, Barewar et al. [18] reported a 20.53% enhancement in thermal conductivity using Ag/ZnO hybrid nanofluids compared to ZnO nanofluids. Giwa et al. [19] demonstrated that increasing nanoparticle volume concentration improves electrical conductivity and viscosity in hybrid alumina-ferrofluids. Adun et al. [20] developed an ANN model to predict the thermal conductivity of hybrid nanofluids with a high accuracy of using 715 experimental data points. Similarly, Kumar et al. [21] used an ANN model to predict the thermophysical properties of MWCNT–water hybrid nanofluids, showing strong correlations with experimental results .
Across numerous domains, including electronic cooling systems, solar collectors, nuclear reactor management, biomedical devices, industrial thermal exchangers, and energy storage management, the study of hybrid nanofluid flow in wavy domains with magnetic effects is employed to improve heat transport and flow control. The wavy shape enhances efficiency and thermal performance when paired with magnetic fields and hybrid nanofluids, which makes it useful for sophisticated thermal management systems. In systems with irregular geometries and wavy walls, hybrid nanofluids leverage the synergistic effects of different nanoparticles to significantly boost thermal conductivity and convective heat transfer [22]. This is especially important in applications where effective heat dissipation and optimal energy exchange are essential, such as solar thermal collectors and electronics cooling. In particular, the combined qualities of copper (Cu) and aluminum oxide ()—where Cu improves thermal conductivity and aids in stability and dispersion—have made Cu–Al2O3/water hybrid nanofluids a potential option [23]. The potential has also been demonstrated by studies on extra hybrid nanofluids, including MWCNT–/thermal oil [24], Cu–Al2O3/water [25,26], Cu–CuO/water [27], and –/water [28]. Understanding and improving the efficiency of hybrid nanofluids in irregular geometries, particularly concerning intricate interaction effects and flow dynamics, tackles a still significant research gap. Sheikholeslami et al. [29] studied MWCNT–/ hybrid nanofluid in a circular chamber, showing enhanced convective heat transfer. Tlili et al. [30] investigated the free convection of hybrid nanofluids under magnetic influence, showing that the magnetic parameter reduces the Nusselt number Nu. Tayebi et al. [31] explored internal heat generation in Cu–/H2O nanofluids, and Du et al. [32] demonstrated that increasing the nanoparticles volume fraction of Cu–/ hybrid nanofluids boost heat transfer in a cavity. Similarly, Acharya et al. [33] observed that magnetized buoyancy accelerates the flow at higher Rayleigh numbers but slows it down with stronger magnetic fields and higher nanoparticle concentrations, while Hameed et al. [34] investigated convection in an enclosure containing nanofluids under a horizontal magnetic field.
The effectiveness of hybrid nanofluids can be significantly influenced by external factors, including magnetic fields. Applying a periodic magnetic field can enhance or modify the flow and thermal characteristics of nanofluids through mechanisms such as magnetohydrodynamic (MHD) effects and Lorentz forces [32,35]. Existing research primarily focuses on single-particle nanofluids or static magnetic fields, creating a gap in understanding how periodic magnetic fields interact with hybrid nanoparticles and affect heat transfer efficiency. Additionally, the performance of hybrid nanofluid in complex domains and the optimization of factors such as nanoparticle concentration and MHD require further investigation. The complex interactions of the fluid under periodic magnetic fields offer the potential for enhanced thermal management [36,37,38]. For instance, Hussain et al. [39] studied bio-magneto-convection in hybrid nanofluids with inclined magnetization, finding increased velocity profiles at a 60-degree inclination angle and Hartmann number between 0 and 100. Parveen et al. [40] investigated heat transfer in Al2O3–Ag/H2O hybrid nanofluids using induced magnetic fields, whereas Al-Khaleel et al. [35] reported notable enhancements in heat transfer attributed to MHD effects. Nevertheless, studies on periodic magnetic fields and undulating enclosures are still scarce. In order to solve this problem, this work uses ANN and RSM to optimize system parameters and enhance performance by numerically analyzing the thermal transport behavior of Cu–/water hybrid nanofluids under periodic magnetic fields.
Analyzing and refining the interplay of factors in hybrid nanofluids can result in significant enhancements in heat transfer efficiency and performance [41]. Response surface methodology (RSM) in conjunction with artificial neural networks (ANNs) provides a thorough method for optimizing hybrid nanofluids in order to attain peak performance [42]. A machine learning method called ANN, which is based on biological neural networks (NNs), is excellent at predicting intricate, nonlinear correlations and precisely predicting the thermal behavior of nanofluids [43,44,45]. By developing empirical models that link input parameters to output responses, RSM offers a statistical structure for process parameter optimization, facilitating methodical analysis and advancement [46]. Combining these approaches provides practical insights for creating more effective thermal systems in addition to expanding our knowledge of hybrid nanofluid behavior under challenging circumstances [47]. It is anticipated that this study will enhance nanofluid technology and its uses in cooling systems, energy systems, and other industrial operations. For instance, Alklaibi et al. [48] experimentally investigated the heat transfer, friction factor, and thermal performance of a heat exchanger using /water hybrid nanofluids. They noted a 21.3% rise in heat transport coefficient, a 25.85% growth in the Nusselt number, and a 37.59% improvement in friction factor for 1% nanoparticles volume concentration, leading to an 18.1% boost in thermal performance. In another study, Prince et al. [49] explored magnetic field inclination effects on heat and mass transfer in a trapezoidal enclosure, achieving up to 99.17% accuracy in predictions with their ANN model.
Recently, Borode and Olubambi [50] compared ANN, RSM, and linear regression (LR) for predicting the thermal conductivity of GNP–alumina hybrid nanofluids. The ANN model, optimized with seven hidden layer neurons, achieved the highest accuracy with an MSE of and a correlation coefficient of 0.99799, outperforming both RSM and LR. Overall, they showed that ANN produced the most precise estimates, followed by RSM and LR. Reddy et al. [51] employed a feedforward ANN with the Levenberg–Marquardt algorithm to study heat transfer in MHD micropolar dusty hybrid nanofluids. They discovered that these nanofluids improved heat transfer in contrast to regular fluids, with the ANN model accurately predicting velocity, temperature, and heat transfer rates. Sundar et al. [52] evaluated /water hybrid nanofluids in a plate heat exchanger, achieving a 13.23% improvement in effectiveness and a 24.51% increase in transfer units at 1.0% nanoparticles volume and a Reynolds number of 571.89. Their study showed high precision, with of 0.99040 for effectiveness and 0.98771 for transfer units. Tanveer et al. [53] studied the heat optimization of nanofluid, considering MHD and ANN approaches. Kumar et al. [54] optimized entropy in the MHD flow of a Casson hybrid nanofluid, using an ANN model to accurately predict skin friction and , finding that stronger magnetic fields reduced velocity profiles. Esfe et al. [55] performed sensitivity analysis on a hybrid nanofluid, finding a 19% increase at 1% solid volume fraction and 25 °C. The proposed viscosity model demonstrated high accuracy with an of 0.998, highlighting its suitability for industrial cooling applications. Niknejadi et al. [56] studied the convection of a –water nanofluid in a twisted tube and found that the Reynolds number and Nusselt number increase with increasing concentration but drop with increasing twist pitch. At 2% concentration, the best results were obtained.
Recent research has examined how external pressures and material variables affect hybrid nanofluid performance in heat management applications. Zhang et al. [57] studied the effects of soft magnetic particle content in magnetorheological composite gels, revealing multiphysics interactions that could improve hybrid nanofluid flow dynamics under magnetic influences, especially in complex geometries like thermal systems. Li et al. [58] optimized magnetic fluid seals, revealing how magnetic fluids can be used in systems with variable thermal conditions. Understanding magnetically influenced fluids applies to hybrid nanofluids with irregular wavy geometries, where magnetic fields and fluid behavior are critical. Li and Li’s [59] study on electromagnetohydrodynamic (EMHD) flow in microchannels showed how electromagnetic forces change fluid flow patterns, providing a foundation for studying hybrid nanofluids under similar magnetic field settings. These investigations demonstrate the importance of multiphysics interactions, including magnetic effects, in optimizing hybrid nanofluid thermal performance and their prospective use in advanced energy-efficient cooling and heating systems.
This study starts by explaining the fundamental characteristics of heat transport enhancement in hybrid nanofluids, highlighting the importance of selecting the right combinations of nanoparticles and base liquids to achieve optimal thermal properties. It then focuses on optimizing a Cu–/water hybrid nanofluid, known for its excellent heat transfer capabilities, within an irregular wavy enclosure. This study uses the robust numerical CFD technique FEM, along with ANN and RSM, to examine the enhanced thermal functioning of the hybrid nanofluid. It systematically addresses complex interactions and optimizes the hybrid nanofluid’s behavior under an inclined periodic magnetic field, adding complexity and potential for improved thermal management. This study bridges the FEM numerical optimization models with the statistical RSM and the machine learning ANN, providing a comprehensive framework for future research in hybrid nanofluid dynamics and magnetic field interactions. Some key objectives are listed as follows:
- Evaluate the properties of thermal transport for a Cu–/water hybrid nanofluid in a wavy enclosure with an inclined periodic MHD.
- Assess the viscosity and thermal conductivity of the hybrid nanofluid and validate these properties against experimental data.
- Utilize ANN and RSM with FEM to maximize , a crucial measure of heat transport effectiveness in Cu–/water hybrid nanofluids.
- Analyze visual representations of heatlines, streamlines, and isothermal lines in the wavy geometry of the enclosure for various operational parameters.
- Evaluate the thermal functioning of Cu–/water hybrid nanofluids with varying nanoparticle ratios within a wavy enclosure.
- Examine the impacts of various physical parameters on heat transport, friction, and thermal efficiency.
- Assess the performance of the hybrid nanofluid under inclined periodic MHD and determine the optimal configuration for enhanced heat transfer.
Finally, this study addresses a significant gap in the understudied area of hybrid nanofluid flow in wavy enclosures with inclined periodic magnetic effects. It offers new insights into how wavy geometries and magnetic fields influence heat transfer, fluid dynamics, and system efficiency, whereas previous research focused on conventional geometries or steady conditions. The integration of hybrid nanofluids with magnetic fields and wavy enclosures opens opportunities to enhance thermal performance by combining FEM, RSM, and ANN. The findings will benefit researchers in thermal engineering, fluid dynamics, and nanotechnology, and can be applied in energy systems, electronics, and advanced manufacturing for more efficient and sustainable technologies.
The rest of the article is organized as follows. Section 2: formulation of the mathematical model, along with related physical characteristics. Section 3: computational procedure and code validation. Section 4: analysis and discussion with deeper insights into the findings. Section 5: conclusions summarizing the key points and restating the significance of the topic.
2. Mathematical Model Formulation
2.1. Physical Model
The time-dependent, two-dimensional natural convection of a Cu–/water hybrid nanofluid within an irregular chamber featuring left and right vertically undulating walls is studied numerically. The geometrical configuration of this investigation is depicted in Figure 1. As illustrated, the -axis is aligned along the bottom horizontal wall, while the -axis is pointing upwards. The left wall is maintained at a high temperature, whereas the right wall is cooled. Both horizontal walls (bottom and top) are thermally adiabatic. The fluid considered in this model is a Newtonian and incompressible hybrid nanofluid, which is composed of Cu and nanosized particles suspended uniformly in a water-based fluid. It is assumed that the nanoparticles are of identical size and shape. Additionally, it is assumed that the liquid phase and the nanoparticles are in thermal equilibrium, meaning that there is no slip between them. The current research excludes the impacts of heat radiation and viscous dissipation, simplifying the analysis. The gravitational force acts downward along the -axis, inducing buoyancy-driven convection. The density variation of the fluid is considered only through the Boussinesq approximation, where density is treated as constant except in the buoyancy term. The remaining thermophysical characteristics of the base liquid and nanoparticles are supposed to be constant, and the relevant parameters are recorded in Table 1.
Figure 1.
Schematic view of the geometry.
Table 1.
Properties of the base fluid and solid nanoparticles [60].
The shape of the undulating vertical walls (left and right) is mathematically defined by the following expressions:
where L is the domain size (reference length), A0 represents the wave amplitude, and N is the number of undulations along the vertical direction.
2.2. Governing Equations
Under the aforementioned assumptions, the governing equations for the 2D natural convection flow in Cartesian coordinates are as follows:
Continuity equation:
Momentum equation:
Energy equation:
where represents the velocity vector field of the fluid, with and being the velocity components in the - and -directions, respectively; and are the mass density and dynamic viscosity of the hybrid nanofluid, respectively; is the pressure field; is the gravitational acceleration vector, acting in the negative y direction; is the external magnetic force per unit volume; is the thermal conductivity; is the heat capacity; and Q is the heat source/sink, which is considered to be Q = 0 in this study. The other physical parameters are described in the nomenclature.
The periodic magnetic field in rotated - and -coordinates can be expressed as follows:
where is the amplitude of the magnetic field (MF), is the wavelength of the periodic field, and - and - are the spatial coordinates in the directions of alignment and of variation of MF.
To transform this magnetic-field expression from the new - and -coordinates to the original coordinate system (, ), we apply a 2D rotational transformation in the following form:
where is the angle of rotation between the original coordinate system and the newly transformed coordinate system , which allows us to express the magnetic field in the rotated coordinates.
After applying the transformation, the magnetic-field vector in terms of the original coordinates becomes
which indicates that the MF is rotated by the angle , showing the periodicity along the rotated axis with wavelength .
Now, the volumic Lorentz force term for the hybrid nanofluid under the influence of a magnetic field is given by the following double vector product in the rotated system:
where is the electrical conductivity of the hybrid nanofluid, and is the velocity field of the nanofluid in the - and -directions (related to the original by the transformation equivalent of (6)).
The magnetic force density applied to the hybrid nanofluid in the original frame of reference is, thus,
Remembering the definitions for the kinematic viscosity and thermal diffusivity,
respectively, the nonlinear governing Equations (2)–(4) are nondimensionalized by introducing the following dimensionless variables:
The following is the transformation of the nonlinear governing Equations (6)–(8) into the nondimensional form (12)–(15):
where (Rayleigh number), (Hartmann number), and (Prandtl number).
2.3. Initial and Boundary Conditions
The nondimensional initial and boundary conditions are
For :
2.4. Thermal and Physical Properties
The classical models, widely recognized in the literature, are employed to model the effective thermophysical properties of nanofluids and hybrid nanofluids. These models have been validated by experimental studies and are suitable for the specific nanofluids considered in this work. In this study, the hybrid nanofluid (Cu–Al2O3/water) is composed of Cu–water, Al2O3–water, and a mix of the two. The following formulas are used to determine the hybrid nanofluid’s operational features, such as density, heat capacity, and thermal expansion coefficient.
The sum of the volume fractions of the two types of nanoparticles, (for Cu) and (for Al2O3), yields the total nanoparticle volume fraction of the hybrid nanofluid, :
A weighted sum of the densities of the individual nanoparticles and the base fluid is used to calculate the hybrid nanofluid’s effective mass density, :
where is the density of the base fluid (water), and and are the densities of and Al2O3 nanoparticles, respectively.
The contributions from both types of nanoparticles and the base fluid are used to compute the hybrid nanofluid’s heat capacity, :
where the heat capacities of Cu nanoparticles, nanoparticles, and base fluid are denoted by , , and , respectively.
The effective thermal expansion coefficient of the hybrid nanofluid is expressed as
where the thermal expansion coefficients of Cu, Al2O3, and base fluid are denoted by , , and , respectively.
A popular method for predicting the effective electrical conductivity of hybrid nanofluids is Maxwell’s model. This model accounts for the contribution of suspended nanoparticles and their interaction with the base fluid:
where is the electrical conductivity of the base fluid, and is the effective electrical conductivity of the suspended nanoparticles, which is calculated as
where and are the electrical conductivities of Cu and Al2O3 nanoparticles, respectively.
The dynamic viscosity of the hybrid nanofluid is an important factor in determining the flow characteristics. Two widely used models for predicting the viscosity of both nanofluids and hybrid nanofluids are described below.
Brinkman model:
Batchelor model:
where and are empirical constants, as reported by Suresh et al. [61].
The viscosity results from various classical models (Brinkman model and Batchelor model) and the experimental study by Suresh et al. [61] are presented in Figure 2 for different nanoparticle volume concentrations. This picture illustrates a notable difference between the classical models covered in this study and the viscosity of the Cu–Al2O3/water hybrid nanofluid, as seen in Suresh’s experimental work. In their study, Suresh et al. [61] dispersed 17 nm nanoparticles into water and found that the average cluster size in a hybrid nanofluid with a 0.1% concentration was 530.5 nm, suggesting significant nanoparticle aggregation. In order to ascertain the effective viscosity of the Cu–Al2O3/water hybrid nanofluid, the experimental results of Suresh et al. [61] are employed. Table 2 shows the effective viscosity values for a 10:90 Cu–Al2O3 nanoparticle–water mixture, which were determined using a variety of theoretical models and Suresh et al.’s experiments [61].
Figure 2.
A comparison between the experimental results of Suresh et al. [61] and the viscosity of the Cu–Al2O3/water hybrid nanofluid as predicted by the classical models (Brinkman and Batchelor).
Table 2.
The viscosity and thermal conductivity of nanofluid and hybrid nanofluid from [60,61,62,63].
A widely used approach for estimating the effective thermal conductivity of nanofluids and hybrid nanofluids is the classical model developed by Hamilton and Crosser. When determining the increase in thermal conductivity brought on by the dispersion of solid nanoparticles in a base fluid, this model is especially helpful. The model can be expanded to account for the contributions from both types of nanoparticles in hybrid nanofluids, which contain two distinct types of nanoparticles. The hybrid nanofluid’s nondimensionalized effective thermal conductivity is determined as follows [62]:
Figure 3 shows a comparison of the hybrid nanofluid’s thermal conductivity. The experimental findings by Suresh et al. [61] are compared with the Bruggeman model and the traditional Hamilton and Crosser model (assuming spherical nanoparticles, . The comparison reveals that the classical models fail to accurately predict the thermal conductivity, particularly at higher nanoparticle concentrations. As a result, the experimental data from Suresh et al. [61] are utilized in this study to achieve the most accurate numerical outcomes. The thermal conductivity values for both the Al2O3–water nanofluid and the Cu–Al2O3/water hybrid nanofluid are provided in Table 2. This table underscores the importance of using experimental data to refine model predictions, particularly for complex hybrid nanofluids, where agglomeration, particle shape, and interaction between different nanoparticles significantly impact thermal conductivity.
Figure 3.
Comparison of the thermal conductivity of the Cu–Al2O3/water hybrid nanofluid as predicted by classical models (Hamilton–Crosser and Bruggeman) and the experimental data from Suresh et al. [61].
The average Nusselt number, which measures the heat transfer rate in a fluid, can be expressed as follows:
The Fanning friction factor is a dimensionless parameter that represents the flow resistance caused by friction in a channel. It plays an essential role in fluid dynamics, particularly for complex fluids like hybrid nanofluids. For nanofluids, the presence of nanoparticles alters the fluid’s viscosity and flow characteristics, which in turn impacts .
The factor for hybrid nanofluids can be determined using the following formula [64]:
(a mean on the vertical direction is implied, as in (30)). In dimensionless form, this becomes
The rate of heat transmission and the flow resistance (shear stress) that the fluid introduces are both taken into consideration by the thermal efficiency index, which is a composite statistic. It provides a more comprehensive performance metric, particularly for hybrid or nanofluids. The definition of the thermal efficiency index is [64]
This thermal efficiency index takes into account both the resistance to flow and the heat transfer characteristics of a nanofluid or hybrid nanofluid in order to assess its efficacy. When a fluid has a high-efficiency index, it transfers heat effectively and has little flow resistance. The ratio of heat transfer rate to shear stress, which provides an idea of the amount of heat transmitted per unit of flow resistance, can be used to interpret this. When comparing various kinds of nanofluids or when a fluid is being optimized for both flow properties and thermal performance in industrial applications, this metric is especially helpful.
Similar to streamlines in fluid dynamics, which show fluid velocity, heatlines are curves that show the course of thermal energy flow within a fluid. Understanding their trajectories is crucial for maximizing thermal performance and creating effective heat transfer systems. These lines illustrate the movement of thermal energy from one area to another and offer a visual representation of heat transport. The distribution and effectiveness of heat transport in a system, especially in intricate nanofluid-based systems, can be better understood by visualizing heatlines. Heatlines depict the mechanisms of convective and conductive heat transmission. The nondimensionalized conductive heat fluxes are denoted by , and convective heat fluxes are denoted by , where . We can rearrange the steady-state energy equation into the following form:
The heat function h, a vector potential that is comparable to the stream function and describes the fluid’s heatlines, satisfies this equation. The formulae for heatlines are provided as follows:
These relations can be combined to produce the heatline equation’s final form:
By connecting temperature distribution to flow patterns, this heatline formulation combines the visualization of heat transfer with streamlines and isotherms to provide a greater understanding of thermal behavior. It is particularly helpful for examining nanofluids and hybrid nanofluids, where convection significantly influences system performance. In applications such as cooling technologies and heat exchangers, heatline analysis aids in design optimization for increased thermal efficiency, decreased thermal resistance, and enhanced thermal management.
3. Computational Procedure
The Galerkin finite element method (FEM) is employed to address the nonlinear problem. This approach involves partitioning the domain into finite elements using a nonuniform triangular mesh. The FEM framework utilizes six nodes per element, where all nodes are associated with temperature and velocity, but only the corner nodes are linked to pressure. Through the Galerkin-weighted residual method, the governing partial differential equations (PDEs) are converted into a system of integral equations. These equations are subsequently solved using Gauss quadrature. Boundary conditions are incorporated to refine the resulting nonlinear algebraic equations, which are solved iteratively using the Newton–Raphson method. Convergence is achieved when the criterion is met, where Γ denotes the dependent variables (U, V, θ) and q represents the iteration step. All computations are performed on a MacBook Pro equipped with an M2 chip, an 8-core CPU, a 10-core GPU, and 8 GB of unified memory.
In addition to the FEM CFD solver, this study integrates RSM and ANN to optimize thermal transport parameters. RSM offers a fast and efficient way to assess how various factors, such as , and , influence the average Nu. ANN complements RSM by modeling complex nonlinear relationships and refining the optimization process. Together, RSM and ANN provide a time-efficient and comprehensive approach to improving thermal system performance compared to traditional FEM solvers. All necessary computations for the RSM method were performed using the software package Design Expert, version 13.0.5.0, to estimate the responses of the dependent variable. For the ANN, the open-source program Python (https://www.python.org/) runs on the same machine as stated above.
3.1. Grid Sensitivity Test
To reduce computational costs, a grid-independence test was conducted using nonuniform triangular elements to discretize the domain for the parameters: ,, , , and . In CFD software tool COMSOL Multiphysics (https://www.comsol.com/), five different nonuniform grid systems were tested with varying numbers of elements: 14,670 (uniform), 15,820 (fine), 18,174 (finer), 26,040 (extra fine), and 59,470 (extremely fine). The effect on along the heated wall was analyzed, as shown in Figure 4. The results indicate that the average Nusselt number for the grid with 26,040 elements (extra fine) is nearly the same as that for the 59,470-element grid (extremely fine), suggesting that the extra fine grid provides a sufficient level of accuracy while balancing computational efficiency. Consequently, the 26,040-element grid was chosen for subsequent simulations to achieve grid independence while managing computing time effectively.
Figure 4.
Mesh sensitivity analysis using (a) average and (b) friction factor .
3.2. Code Validation
The accuracy of the numerical code in this study is validated by comparing its results with benchmark studies by Geridonmez and Atilgan [65]. The comparisons, shown in Table 3, demonstrate excellent agreement in key parameters such as the and streamfunction values. Additionally, streamlines and isotherms from both studies are compared visually in Figure 5, further confirming the accuracy of the code.
Table 3.
Comparison of the current results with Geridonmez and Atilgan [65] for different and for a Cu–water nanofluid.
Figure 5.
Comparison of the streamlines (top) and isotherms (bottom) for , and Cu–water nanofluid. (a) Results from Geridonmez and Atilgan [65] (left column); (b) results from the current study (right column).
4. Results and Discussion
In this part, the simulated results of convection flow and heat transfer of Cu–/water hybrid nanofluid within the vertical wavy enclosure under the influence of an inclined periodic magnetic field are presented. Firstly, the simulation outcomes, including streamlines, heatlines, and isotherms, are examined for different and using a 2% Cu–/water hybrid nanofluid at the temperature of . The average , friction coefficients, and thermal efficiency are analyzed with respect to varying amounts of nanoparticles and different and . Secondly, the RSM and ANN approaches are further employed for the optimization of convective heat transfer, focusing on Nuav concerning several independent variables, such as N, A, Ra, Ha, , , and . The default values for the various physical parameters are chosen as follows: undulation number , wave amplitude (, Rayleigh number , Hartmann number , nanoparticles volume fraction , magnetic field tilted angle , and wavelength of the periodic MF .
4.1. Effects of Rayleigh and Hartmann Numbers on Streamlines
Figure 6, Figure 7, Figure 8, Figure 9, Figure 10 and Figure 11 illustrate the (a) streamlines, (b) heatlines, and (c) isotherms for different values of in relation to , , and (Figure 6, Figure 7 and Figure 8), and , , and (Figure 9, Figure 10 and Figure 11) for a 2% Cu–/water hybrid nanofluid. The left columns of Figure 6, Figure 7 and Figure 8 depict the streamlines corresponding to variations in the undulation number for , respectively. In Figure 6, Figure 7 and Figure 8 (left column), a large central clockwise circulation cell is observed at lower , which evolves as the increases. The left wall temperature is higher compared to the other walls, and the density of the hybrid nanofluid near this wall is lower. This temperature gradient induces an upward flow due to buoyancy effects, leading to a clockwise vortex formation. The intensity of this vortex rises in tandem with . The increased buoyancy force, which causes a stronger convective flow in the enclosure, is responsible for this behavior.
Figure 6.
Variations of (a) streamlines, (b) heatlines, and (c) isotherms for , and different values of for a 2% Cu–/water hybrid nanofluid at .
Figure 7.
Variations of (a) streamlines, (b) heatlines, and (c) isotherms for , and various values of for 2% Cu–/water hybrid nanofluids at .
Figure 8.
Variations of (a) streamlines, (b) heatlines, and (c) isotherms for , and various values of for a 2% Cu–/water hybrid nanofluid at .
Figure 9.
Variations of (a) streamlines, (b) heatlines, and (c) isotherms for H, and various values of for 2% Cu–/water hybrid nanofluids at R.
Figure 10.
Variations of (a) streamlines, (b) heatlines, and (c) isotherms for , and various values of for a 2% Cu–/water hybrid nanofluid at .
Figure 11.
Variations of (a) streamlines, (b) heatlines, and (c) isotherms for H, and various values of the for 2% Cu–/water nanofluids at R.
As rises, it increases the velocity’s magnitude. The Cu–/water hybrid nanofluid inside the enclosure flows more quickly when Ra is higher because it gives the fluid more thermal energy. Additionally, the streamlines’ core vortex enlarges for any given N as Ra rises, suggesting stronger convective currents. This is because as rises, the fluid flow is accelerated by the growing buoyant force. Convective heat transmission is more efficient than conductive heat transfer, as seen by the increase in flow velocity with increasing .
For values of and , there is little noticeable change in flow behavior. However, at , the fluid penetrates deeper into the wavy cavities along the right and left walls, indicating a significant rise in fluid velocity. This deeper penetration is a clear indication of the growing dominance of convective transport over conductive heat transfer. Additionally, the results show that the maximum velocity magnitude increases with increasing undulation numbers for all , showing that surface waviness promotes stronger convective flows. This is especially evident at higher , where undulations enhance the circulation and penetration of fluid into the wavy cavities, improving heat transfer performance. In addition, the velocity magnitude rises by 13.90% as the undulation number increases from 1 to 4 for , by 18.74% for , and by 21.85% for . This suggests that surface undulations enhance the convective heat transfer by promoting stronger fluid circulation, and, thus, a more effective mixing of the hybrid nanofluid.
Figure 9, Figure 10 and Figure 11 (left column) represent the streamlines for varying undulation numbers against respectively, for a 2% Cu–/water hybrid nanofluid at . A large central circulation is observed at a low , and this circulation changes as the increases. The maximum velocity magnitude increases with increasing undulation number in all cases, regardless of the . However, as the increases, the velocity magnitude decreases overall. The undulating geometry of the boundaries induces secondary flow patterns that promote better fluid mixing and circulation, even in the presence of a magnetic field. As the undulation number increases, these effects become more pronounced, although their influence diminishes as the rise.
The figures clearly show that the undulation number significantly enhances the maximum velocity magnitude, particularly in the absence of a magnetic field. Namely, the velocity magnitude increases by 15.56% without the magnetic field when the undulation number varies from 1 to 4. At a higher Hartmann number , this increase is more modest, at 5.97%. This indicates that the magnetic field can be used to effectively control the flow characteristics of the hybrid nanofluid. The represents the ratio of magnetic to viscous forces, with increasing resulting in the Lorentz force suppressing fluid flow and reducing velocity and circulation. This damping effect becomes more pronounced at higher , stabilizing the flow and limiting chaotic motion.
4.2. Effects of Rayleigh and Hartmann Numbers on Heatlines
The middle columns of Figure 6, Figure 7 and Figure 8 depict the heatlines for different and , respectively, while the middle columns of Figure 9, Figure 10 and Figure 11 show the heatlines for . These figures illustrate the variation in heatlines as the and change, demonstrating how these parameters significantly influence the heat transfer pathways within the enclosure. A heatline represents the net energy flow, offering a clear visual depiction of heat transfer due to both convection and conduction. It is seen that higher undulation numbers intensify the interaction between the fluid flow and heat transfer, leading to more intricate heatline structures. These effects are particularly pronounced at higher , where strong convective forces dominate.
The heatlines generally originate from the left hot wall and terminate at the cold right wall, tracing the route of thermal energy transfer within the enclosure. At lower , where convective currents are weaker, the heatlines primarily follow the path of conduction, emerging from the hot left wall and terminating at the cold right wall. In this case, heat transfer is dominated by conduction, with the formation of a central, clockwise-rotating vortex signifying lower convective contribution. However, as increases, the convective effects or buoyancy-driven convection becomes stronger, causing the heatlines to change their structure and follow the flow, reflecting the stronger influence of buoyancy-driven flow in the enclosure. This transition from conduction-dominated to convection-dominated heat transfer reflects the increasing efficiency of thermal energy transport by fluid motion, with heatlines extending further into the domain and closely aligning with streamlines at high .
As the increases, the heatlines stretch further into the domain, absorbing more thermal energy from the flow field and extending toward the cavity boundaries and mid-plane. With strong convective forces, heatlines become more curved and follow the fluid flow. At higher , the convective effects dominate, causing the heatlines to stretch further across the domain. At large , the heatlines closely resemble the streamlines, indicating a stronger convective heat transfer and more pronounced coupling between the fluid flow and thermal energy distribution, with heat being efficiently transported through the system by the flow. Moreover, increasing the undulation number enhances surface area and leads to more complex heatline pathways, intensifying localized heat transfer and vortex formation. A higher , associated with stronger buoyancy forces, shifts the system from conduction-dominated to convection-dominated heat transfer, causing heatlines to curve and follow fluid motion more intricately.
On the other hand, the middle columns of Figure 9, Figure 10 and Figure 11 show the effects of varying on the heatlines, which introduce a magnetic field that acts to suppress fluid motion through the Lorentz force. As the increases, the magnetic field generates a Lorentz force that suppresses fluid motion, dampening the convective currents. This leads to a noticeable reduction in the curvature and intensity of the heatlines, indicating that heat transfer shifts back toward conduction-dominated processes as the magnetic field strength increases. The reduction in heatline curvature and complexity at higher highlights the stabilizing effect of the magnetic field, which reduces the fluid’s ability to carry heat via convection. At , the heatlines exhibit strong curvature and follow the fluid flow, signifying dominant convective transport. However, as increases to 20 and 50, the heatlines become more linear and aligned with the temperature gradient, reflecting the reduced impact of convection and the increased influence of conduction due to the magnetic field. For higher , the heatlines show a pattern with minimal interaction between the fluid flow and thermal energy transport. This is because the magnetic field stabilizes the fluid, suppressing chaotic flow and diminishing the convective heat transfer.
4.3. Effects of Rayleigh and Hartmann Numbers on Isotherms
The right columns of Figure 6, Figure 7 and Figure 8 depict the isotherms for varying and , while the right columns of Figure 9, Figure 10 and Figure 11 show the isotherms for . The isotherms, which represent contours of constant temperature, provide insight into the temperature distribution within the cavity and are key indicators of the heat transfer mechanism at work, either conduction or convection dominated. At lower , the weak convection within the cavity is evident, with isotherms showing minimal distortion. The thermal energy is predominantly confined near the left hot wavy wall, and the cold region occupies the right part of the enclosure. The isotherms remain relatively parallel to the vertical walls, indicating that conduction is the primary mode of heat transfer. As the increases, convection intensifies due to stronger buoyancy forces, which lead to greater temperature gradients within the cavity. The isotherms become increasingly distorted toward the cold right wall, signifying enhanced convective heat transfer. The buoyant forces become more influential throughout the entire enclosure, pulling the isotherms into curved shapes that follow the convective flow.
Additionally, with increasing , the temperature gradient along the vertical wavy walls becomes more pronounced, especially at higher . This signifies the role of undulations in enhancing convective heat transfer by increasing surface area and promoting localized fluid motion. The natural convection becomes more dominant as the increases from to , with more complex isothermal patterns forming as the increases from to . The increased distortion of isotherms at higher reflects the intensification of heat transfer due to increased surface contact and vortex formation. The increasing distortion of isotherms with higher and signifies more efficient heat transfer through convection.
For the , the right columns of Figure 9, Figure 10 and Figure 11 depict the effect of varying magnetic field strength () on the isotherms. At , where there is no magnetic field, the isotherms show significant distortion due to strong convective currents, closely following the fluid flow. As the increases, the magnetic field exerts a damping effect on fluid motion by generating Lorentz forces, which suppress convection. This suppression is reflected in the isotherms becoming less distorted and more evenly spaced, indicating a shift toward conduction-dominated heat transfer as the magnetic field strengthens.
At higher , the isotherms appear almost parallel to the walls, indicating that the flow is heavily dampened, and heat transfer occurs mainly through conduction rather than convection. The magnetic field essentially stabilizes the fluid and limits the influence of buoyancy-driven convection, reducing chaotic flow and restoring a more uniform temperature distribution within the enclosure. The influence of surface undulations also diminishes as increases, with less pronounced isotherm distortion as the magnetic field overpowers the buoyant forces that drive convection.
4.4. Effects of Average Nusselt Number
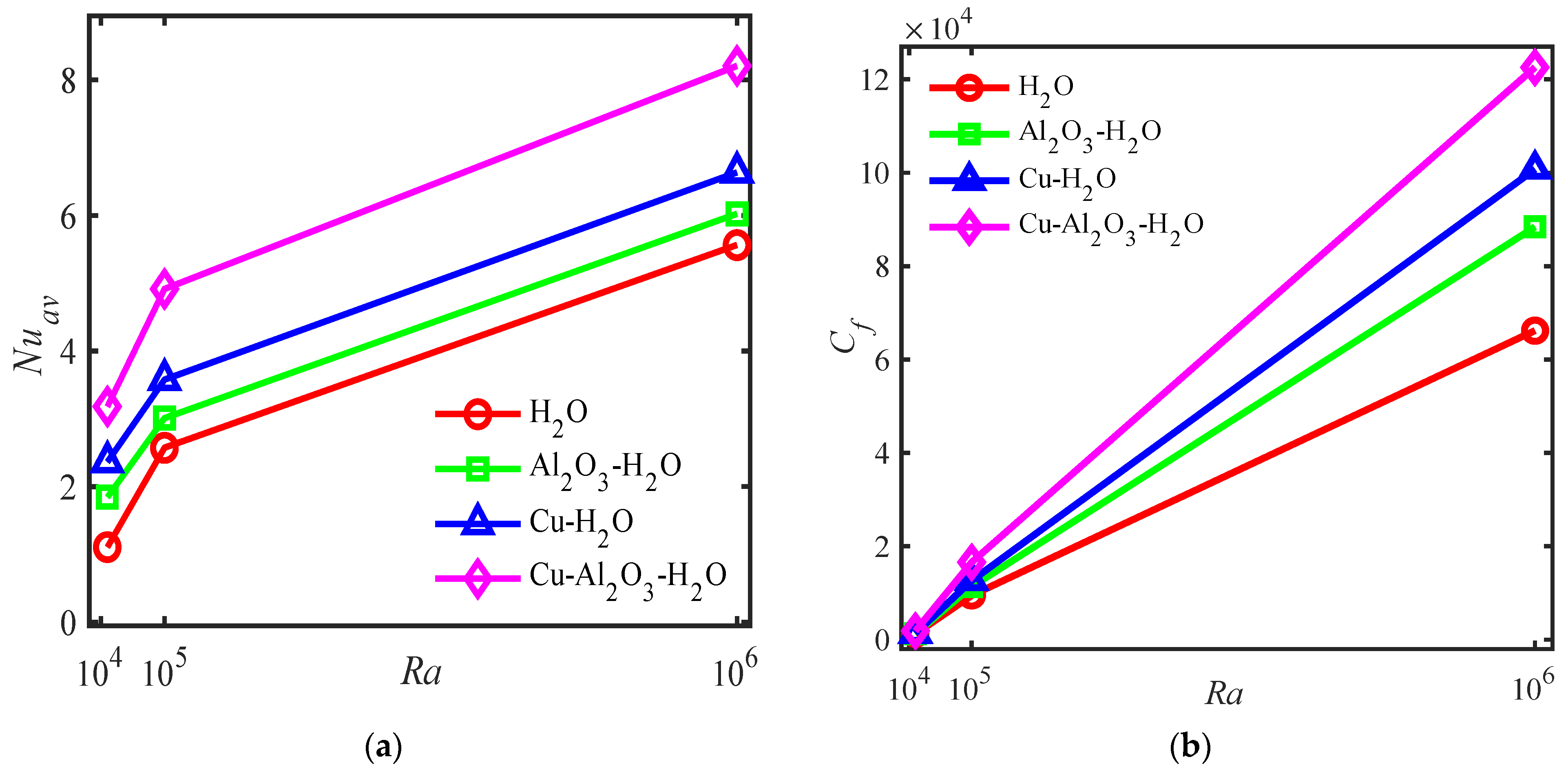
Figure 12a and Figure 13a represent the variation of the average for different and , respectively, for a base fluid (water), a 2% Al2O3–water nanofluid, a 2% Cu–water nanofluid, and a 2% Cu–Al2O3/water hybrid nanofluid at . These figures demonstrate that both the nanofluids and hybrid nanofluids significantly enhance the thermal performance compared to the base fluid. Notably, the hybrid nanofluid shows a superior thermal performance to the individual nanofluids and the base fluid. The enhanced heat transfer is attributed to the higher thermal conductivity of the nanoparticles and the synergistic effects in the hybrid nanofluid.
Figure 12.
Variation of the (a) average Nu and (b) friction factor for different Rayleigh numbers for base fluid, nanofluids, and hybrid nanofluid at .
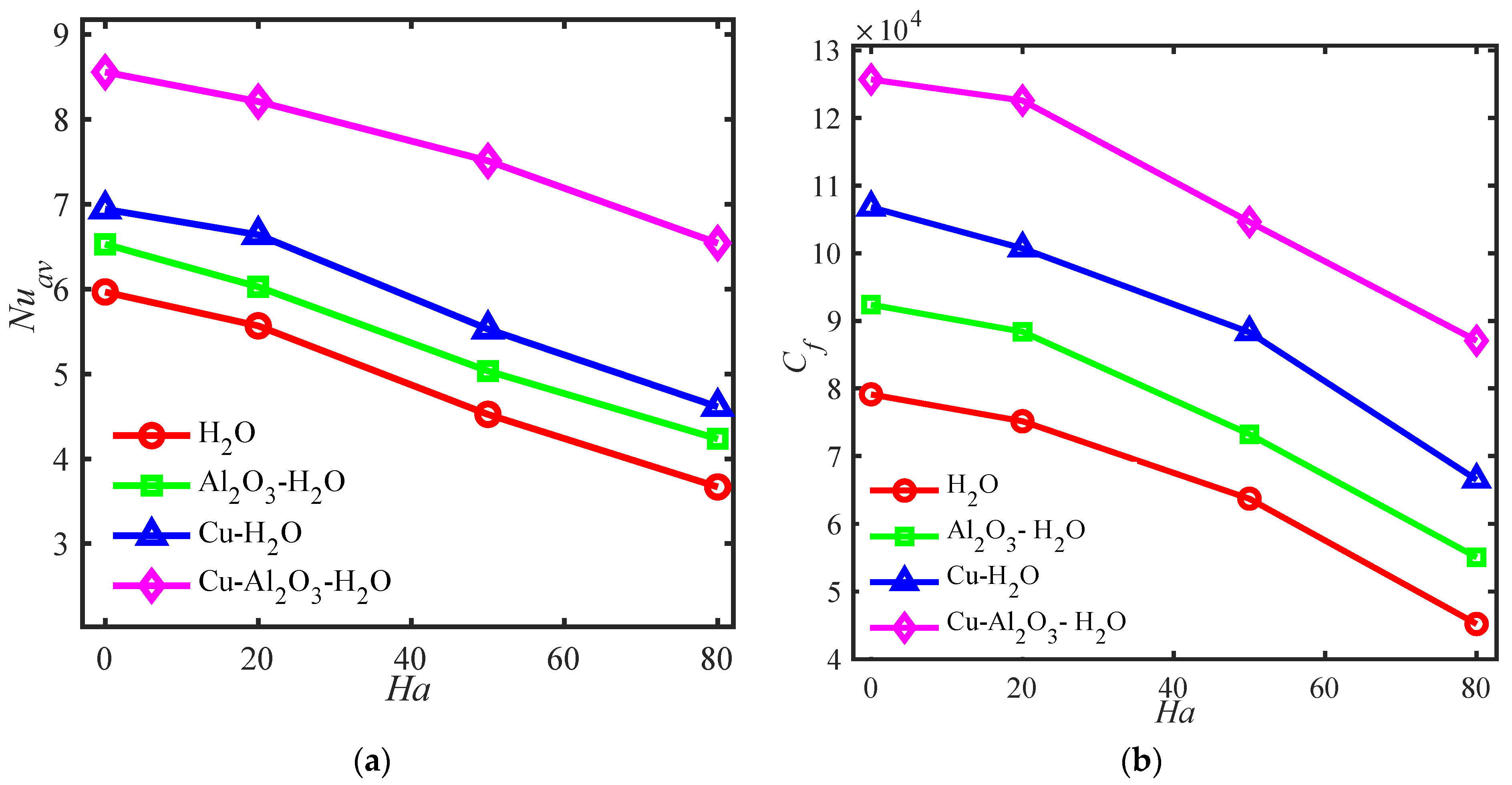
Figure 13.
Variation of the (a) average Nu and (b) friction factor for different Hartmann numbers for base fluid, nanofluids, and hybrid nanofluid at .
At higher , the buoyancy-driven convection becomes stronger, leading to better heat transfer. The rate of heat transfer increases by 8.30% for the 2% Al2O3–water nanofluid, 19.29% for the 2% Cu–water nanofluid, and 47.49% for the 2% Cu–/water hybrid nanofluid compared to the base fluid. This indicates that the hybrid nanofluid exhibits an exceptional capacity to enhance heat transfer under strong buoyancy forces. Furthermore, when the increases from to , the rate of heat transfer increases by 85.45% for the Al2O3–water nanofluid, 100.09% for the Cu–water nanofluid, and 67.0% for the Cu–/water hybrid nanofluid. This demonstrates that, while the hybrid nanofluid shows the highest absolute heat transfer enhancement, the single Cu–water nanofluid shows a larger percentage increase in heat transfer over this specific range of , indicating that both the base fluid composition and the buoyancy forces play critical roles in influencing the thermal performance.
Conversely, the average decreases with increasing for both the nanofluids and the hybrid nanofluids. This is due to the magnetic field’s damping effect on fluid motion, as higher introduces stronger Lorentz forces that suppress natural convection, thus reducing the overall heat transfer. Particularly, the average decreases by 35.12% for the Al2O3–water nanofluid, by 33.54% for the Cu–water nanofluid, and by 23.55% for the Cu–Al2O3/water hybrid nanofluid as the varies from 0 to 80. The reduced sensitivity of the hybrid nanofluid to changes in the suggests that the thermal conductivity enhancements provided by the hybrid composition mitigate the suppressive effects of the magnetic field, enabling better heat transfer retention compared to the individual nanofluids.
The interaction between the fluid’s velocity and the magnetic field is responsible for the decrease as increases. The Lorentz forces produced by the magnetic field always act perpendicular to the fluid’s velocity and the magnetic field’s direction. These forces prevent the convective currents that are in charge of effective heat transmission by introducing a resistive or damping effect on the fluid’s motion. The Lorentz forces are amplified when the increases because the magnetic field becomes more intense. This lowers the fluid’s velocity, which further suppresses natural convection. As fluid layer mixing and recirculation decrease in areas of significant magnetic impact, conduction, rather than convection, increasingly dominates the flow. The heat transport rate is directly impacted by a drop in fluid motion, which lowers the average . Furthermore, the temperature and velocity profiles reveal stratification due to the alignment and strength of Lorentz forces. The development of convective rolls is further impeded by the restriction of fluid movement perpendicular to the magnetic field. This effect is particularly noticeable when nanoparticles are present because the suppression of convective heat transfer under higher conditions cannot be entirely offset by the improved thermal conductivity of the nanofluids or hybrid nanofluids. Finally, as the magnetic field intensity increases, the interaction of electromagnetic and hydrodynamic forces causes the heat transfer mechanism to change from convection-dominant to conduction-dominant, which results in the observed drop in the (average).
In the absence of a magnetic field , the average significantly increases for all fluids, indicating that the natural convection is entirely unimpeded. The average increases by 9.42% for the Al2O3–water nanofluid, by 16.32% for the Cu–water nanofluid, and by a remarkable 43.40% for the Cu–/water hybrid nanofluid. This massive increase in the hybrid nanofluid’s underscores its superior thermal conductivity and the synergistic effects of using both Cu and Al2O3 nanoparticles to enhance heat transfer. The larger increase in the Cu–water nanofluid over the Al2O3–water nanofluid is attributed to the higher thermal conductivity of copper nanoparticles, which facilitate more efficient energy transport through the fluid.
4.5. Effects of Friction Factor
Figure 12b and Figure 13b represent the variation of the friction factor for different values of and , respectively, for the base fluid (water), the 2% –water nanofluid, the 2% Cu–water nanofluid, and the 2% Cu–/water hybrid nanofluid at . It is seen that the friction factor increases in both nanofluids and hybrid nanofluids. The friction factor increased by 33.61% for 2% nanoparticles in the water-based fluid, 52.24% for 2% nanoparticles in the water-based fluid, and 85.25% for 2% Cu– nanoparticles in the water-based fluid, as stated in Figure 12b. The presence of nanoparticles suspended in the base fluid increases the viscosity of both nanofluids and hybrid nanofluids. The higher viscosity leads to greater resistance to fluid flow, directly contributing to an increased friction factor. Figure 13b depicts that decreases by 40.42% for the Al2O3–water nanofluid, by 37.69% for the Cu–water nanofluid, and by 30.72% for Cu–Al2O3/water hybrid nanofluid as the varies from 0 to 80.
In particular, the higher friction factor observed in the –water nanofluid can be attributed to the higher density and thermal conductivity of copper compared to alumina, resulting in greater viscosity and flow resistance. Since nanoparticles typically have higher density and thermal conductivity than nanoparticles, the –water nanofluid experiences a greater increase in viscosity and, consequently, a higher friction factor than the –water nanofluid. The Cu–/water hybrid nanofluid exhibits even higher viscosity and more significant nanoparticle interactions due to the combined effects of both types of nanoparticles. When and particles are added, interparticle interactions are enhanced, which raises viscosity and flow resistance even more.
As the nanoparticle volume fraction increases, the viscosity of the nanofluid also rises, resulting in greater frictional resistance and an elevated friction factor. The physical properties of the nanoparticles, such as size and shape, significantly influence this behavior. Smaller nanoparticles or those with irregular shapes provide a larger surface area for interaction with the base fluid, thereby increasing the effective viscosity and contributing to a higher friction factor. For the Cu–/water hybrid nanofluid, the presence of particles with varying sizes and shapes (Cu and ) leads to complex interactions, which further amplify the friction factor compared to single-component nanofluids. Moreover, hybrid nanofluids exhibit enhanced energy dissipation due to the interactions between different types of nanoparticles. The combination of Brownian motion and particle collisions plays a pivotal role in this improvement. This contributes to more disturbances in the flow, thereby increasing the turbulence and ultimately causing a higher friction factor compared to pure nanofluids. Thus, the increase in the friction factor is primarily due to the combined effects of increased viscosity, enhanced particle interaction, particle shape and size, and energy dissipation within the fluid.
4.6. Effects of Thermal Efficiency Index
The Fanning friction factor is a localized parameter that reflects the ratio between shear stress and the kinetic-energy density of the flow, indicating the resistance the fluid faces as it moves along the cavity walls. The thermal efficiency index is used to evaluate the thermal performance of the cavity by quantifying the amount of heat transferred from the hot wall relative to the friction factor. In practical applications, understanding the friction caused by fluid motion is crucial for assessing system efficiency, as high friction leads to greater energy losses and negatively impacts the overall performance. The thermal efficiency index is an important metric for balancing heat transfer improvements with frictional losses. In practice, increased heat transfer does not always result in optimal system performance if accompanied by excessive frictional resistance. The friction factor, related to shear stress on the cavity walls, directly contributes to energy losses. A higher friction can impede the flow, leading to increased pumping power requirements. Therefore, balancing HT and friction is essential for maximizing thermal efficiency.
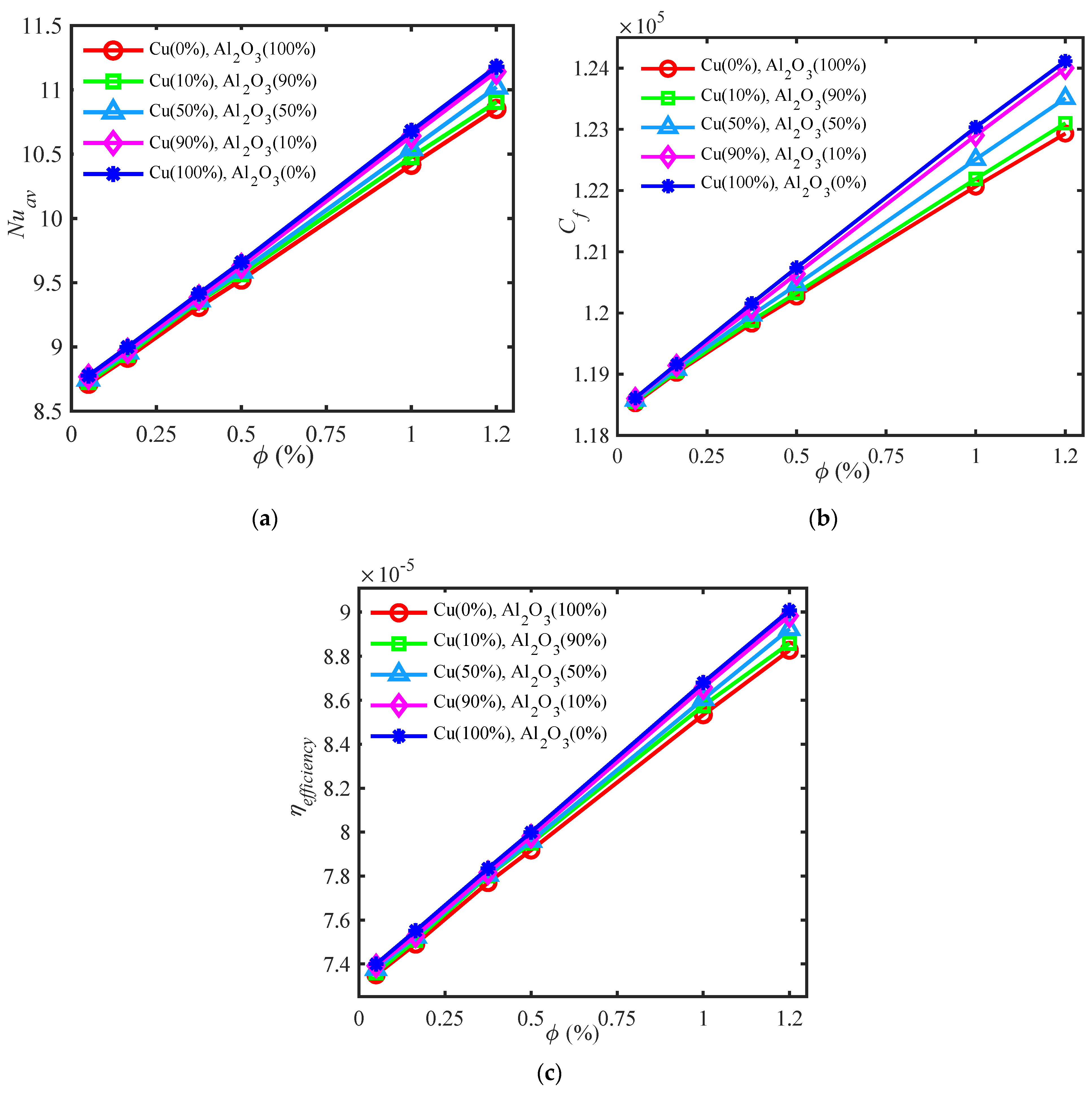
Figure 14 illustrates (a) the average , (b) the skin-friction coefficient, and (c) the thermal efficiency index along the heated left wall of the cavity. These results are used to assess the impact of hybrid nanoparticle loading and mixing ratios at and . The data indicate that the Al2O3 nanoparticles in water, for a fixed mixture ratio, yield the lowest heat transfer rate, while the nanoparticles in water show the highest heat transfer rate for the same quantity of nanoparticles. The superior heat transfer performance of nanoparticles compared to Al2O3 can be attributed to the higher thermal conductivity of copper. The physical meaning behind this behavior is that copper nanoparticles facilitate more efficient energy transport, enhancing the convective heat transfer process. However, despite its potential to enhance thermal performance, Al2O3 has a poorer thermal conductivity than copper, which leads to less effective heat transfer. This demonstrates how crucial nanoparticle selection is for maximizing heat transmission in hybrid nanofluids.
Figure 14.
Variation of the (a) average , (b) friction factor, and (c) thermal efficiency along the heated wall with different mixture ratios of the nanoparticles at .
For any volume fraction , the average Nu drops as the fraction of Al2O3 nanoparticles in the hybrid nanofluid grows, while it rises when the proportion of Cu nanoparticles increases. The two nanoparticles’ dissimilar thermal characteristics are the cause of this behavior. Because of their improved thermal conductivity, the Cu nanoparticles improve heat transfer, which increases the amount of energy transferred from the heated wall to the fluid. Conversely, a higher percentage of Al2O3 nanoparticles restrict the potential for heat transmission since the mixture’s total thermal conductivity is lower than that of a Cu-dominant hybrid nanofluid. The findings imply that the thermal efficiency of the hybrid nanofluid can be regulated according to the particular application requirements by altering the mixing ratios of Cu and Al2O3 nanoparticles. In situations where moderate heat transfer and reduced friction are sought, for example, a higher Al2O3 percentage may be appropriate, whereas a higher Cu content is advantageous when maximum heat transport is required.
4.7. Optimization Using RSM and ANN
4.7.1. Response Surface Methodology (RSM)
RSM is an empirical statistical modeling technique used to solve multivariate equations simultaneously using multiple regression analyses using quantitative data from carefully planned trials. In this study, RSM is used to determine the optimum regarding Nuav against independent parameters. An experimental central composite design (CCD) for three independent variables is used. The independent variables are , , and . Regression analysis is performed on the data obtained from the numerical simulations.
The relationship between the M independent variables and the response was calculated by the second-order polynomial as follows:
where the output function is represented by , the intercept term is denoted by , the regression coefficients for the linear and quadratic terms of the -th factor are and , respectively, and the crossed quadratic terms of the -th and -th factors are represented by .
Rescaling ensures that variables of different magnitudes are brought to the same scale, which is crucial in optimization-based machine learning algorithms. In RSM, rescaling helps to prevent numerical issues, such as overflow and loss of precision, and stabilizes the estimation process. Without rescaling, larger variables like could dominate the model, leading to biased results. By rescaling variables and , the model improves its accuracy, robustness, and numerical stability, ensuring more reliable predictions of the response function Nuav. Additionally, an appropriate rescaling to small-valued variables justifies the use of the truncated Taylor expansion (38). For the statistical RSM analysis, the rescaling
is, thus, used in this study to have all these input variables of the same order, ranging between 0 and 0.5.
In the RSM model, the relationship between the response variable (average ) and input factors can be written as
Table 4 displays the simulated experimental settings for the data of , , , and , while other parameters are fixed . From the dataset of actual (average) presented in Table 4, we calculate a p-value using the Shapiro–Wilk test statistic. For a significance level , since the p-value of 0.1982 is greater than , we accept the null hypothesis (H0), implying that the data are normally distributed. This means that the difference between the data sample and the normal distribution is not large enough to be statistically significant. Therefore, it is plausible that the data (average Nu) presented in Table 4 are consistent with a normal distribution.
Table 4.
Central composite design (CCD) matrix of independent factors and their corresponding actual CFD, RSM fitted, and ANN predicted values of .
To examine the effect of three independent factors on , a CCD is performed, comprising factorial points, 6 center points, and 6 axial (star) points , leading to a total of 20 experiments. The results are analyzed using ANOVA, which is appropriate for the experimental design. The analysis results are shown in Table 5. The adequate precision measures the signal-to-noise ratio, and a ratio greater than 4 is desirable for a good model. In this study, the model F-value of 48.83 indicates that the model is significant, with only a 0.01% chance that such a large F-value could occur due to noise. The p-values less than 0.05 indicate that the corresponding model terms are statistically significant. In this study, the terms , ϕ′, , , and are significant, implying they have a meaningful impact on the response. Conversely, p-values greater than 0.1000 suggest that certain model terms are insignificant.
Table 5.
Analysis of variance (ANOVA) of the CCD (quadratic model) regarding .
A confidence interval (CI) is a statistical concept that provides a range of values within which the true value of a parameter is likely to fall. A narrower CI suggests a more precise estimate, while a wider interval reflects greater uncertainty in the estimate. The CIs are often used to assess the reliability or precision of an estimate. For instance, a 95% confidence interval, as shown in Table 6, indicates that there is a 95% probability that the true value lies within the specified range, and a narrower interval implies a more accurate estimate.
Table 6.
Confidence intervals (CIs) of model factors.
According to the outcomes of the RSM model, the following model is developed to examine the relationship between response variable and input factors with rescaling:
We note that expansion (41) is obtained from (40), where the input factors , , , are omitted, since they are—as previously mentioned—statistically insignificant. From a strictly numerical perspective, one might ask how sensitive is to the exclusion of these factors. This sensitivity can be quantified by the maximum relative error (MRE) between the right-hand side (r.h.s.) of (41) and the r.h.s. of (40) (after inserting the appropriate coefficients from Table 5 in the latter), expressed as
where represents the parameter space considered in this study. In the present case, we have , which corroborates (41).
Therefore, returning to the original variables using (39), the RSM model-based fitting equation becomes
The fit of the model is represented by the coefficient of determination , which in this case is found to be 98.88%. This indicates that 98.88% of the variability in the response variable can be explained by the model, suggesting a highly accurate fit. The predicted of 0.9840 is in reasonable agreement with the adjusted of 0.9669, as the difference is less than 0.2. The optimal for the four components, as determined from the model’s maximum point, corresponds to , , and . By substituting the levels of these factors into the regression equation, the maximum predicted response for the average is calculated and subsequently verified. Experimentally, the maximum observed using the optimized medium is found to be 9.10, which closely aligns with the predicted value of 9.40, as estimated by the RSM.
This strong agreement between the experimental and predicted values further validates the accuracy and reliability of the model. Additionally, the high value reinforces the model’s capacity to explain the majority of the variability, indicating that the chosen factors and their interactions are significant contributors to the response variable. Furthermore, values closer to 1 are generally considered ideal, as they signify a model with minimal unexplained variance. In this case, the value of 98.88% means that only a small fraction of the variability remains unexplained, underscoring the effectiveness of the model for predictive purposes.
Figure 15, Figure 16 and Figure 17 depict the variation of as a response function with respect to , , and . These variations are presented through (a) 2D contour plots, (b) desirability at the optimum point, and (c) 3D surface plots. Specifically, Figure 15 shows the variation of the average as a response to and using the same visualization methods. These figures clearly illustrate that has a relatively minor effect on heat transfer at low , but its impact becomes more significant at higher . This is because at lower values, the flow is dominated by conduction, and the weak buoyancy-driven motion is less sensitive to the suppressing effects of the magnetic field. However, at higher , where buoyancy forces become more dominant, the MF significantly dampens the convective currents, reducing the efficiency of HT.
Figure 15.
Variation of with Hartmann number and Rayleigh number : (a) 2D contour plots, (b) desirability at optimum point, and (c) 3D surface plot.
Figure 16.
Variation of with nanoparticles volume fraction and Hartmann number : (a) 2D contour plots, (b) desirability at optimum point, and (c) 3D surface plot.
Figure 17.
Variation of with nanoparticles volume fraction and Rayleigh number (a) 2D contour plots, (b) desirability at optimum point, and (c) 3D surface plot.
The results demonstrate that increasing leads to a decrease in , while a rising trend is observed with increasing . The reduction in with higher can be explained by the fact that represents the ratio of electromagnetic forces to viscous forces in an MHD flow. A higher signifies a stronger Lorentz force, which suppresses fluid motion and, consequently, weakens the convective heat transfer mechanism. On the other hand, is a buoyancy-driven parameter that indicates the relative strength of thermal convection compared to viscous forces. As increases, the buoyancy-driven convection becomes more dominant, leading to enhanced heat transfer. The physical significance of is that it quantifies the ratio of buoyancy forces (which drive fluid motion) to viscous forces (which resist motion). When increases, the fluid flow becomes more pronounced, enhancing convective heat transfer. The observed increase in with highlights the importance of buoyancy-driven convection in natural heat transfer processes, where the fluid’s ability to efficiently transfer heat plays a crucial role in system performance.
The Hartmann number (), by contrast, reflects the influence of a magnetic field on the flow. In MHD flows, a high means that the magnetic field exerts a significant damping effect on fluid motion, reducing the intensity of convective heat transfer. This explains the inverse relationship between and : as rises, fluid motion is increasingly suppressed, limiting the effectiveness of heat transfer by convection. The desirability function in this study evaluates the system’s overall performance by balancing multiple factors, such as maximizing heat transfer while minimizing losses from magnetic suppression (). It aids in optimizing conflicting parameters. A desirability value of 1.0 for both and indicates near-optimal system performance, reflecting high heat transfer efficiency. This suggests that the specific combination of and is ideal for maximizing heat transfer, particularly in systems involving natural convection and magnetic fields, like MHD cooling or heating systems.
Figure 16 illustrates the variation of as a response function to and . The data are represented through: (a) 2D contour plots, (b) desirability at the optimum point, and (c) 3D surface plots. The graph reveals that increases significantly with rising up to a certain point, after which it begins to decrease. In contrast, consistently decreases as increases. A higher initially leads to a marked and rapid enhancement in the heat transfer rate. This is because the addition of nanoparticles enhances the thermal conductivity of the base fluid, thereby improving the overall heat transfer performance.
The parabolic shape of the contour lines, as increases, reflects this nonlinear behavior. At lower concentrations, the nanoparticles act as highly efficient thermal conductors, promoting heat transfer by improving the conduction and convective characteristics of the fluid. However, as continues to increase beyond an optimal point, the thermal enhancement diminishes due to potential factors such as increased viscosity, which can reduce the fluid’s ability to flow and mix efficiently. This increase in viscosity leads to higher resistance to fluid motion, ultimately hindering convective heat transfer and causing a decline in . The reduction of with increasing is explained by the fact that a higher corresponds to a stronger magnetic field. The magnetic field suppresses fluid motion by introducing electromagnetic damping, reducing the convective currents responsible for transferring heat. This damping effect limits the fluid’s capacity to transport thermal energy, thereby reducing the efficiency of heat transfer.
Figure 17 shows the variation of as a response function against and . The data are presented through (a) 2D contour plots, (b) desirability at the optimum point, and (c) 3D surface plots. The figures illustrate that as increases, the buoyancy forces become more dominant, resulting in stronger convective HT. The higher values indicate that the thermal driving forces (due to temperature differences within the fluid) outweigh the fluid’s resistance to motion, intensifying convective currents. As increases, these convective currents become more vigorous, leading to enhanced mixing in the fluid. This increased fluid motion transports heat away from the heated surface more efficiently, which results in a higher . Essentially, stronger buoyancy forces generate greater fluid movement, thereby promoting more effective HT.
The addition of further amplifies this effect, as the nanoparticles improve the thermal conductivity of the fluid. At lower concentrations of , the nanoparticles enhance the fluid’s ability to conduct heat, complementing the buoyancy-driven convection and further increasing the heat transfer rate. However, as continues to rise, this enhancement reaches a saturation point where the benefits of increased thermal conductivity are offset by the drawbacks of increased fluid viscosity. The higher values can cause the fluid to become more viscous, which in turn impedes the fluid’s natural convective motion. This viscosity increase leads to greater resistance to flow, reducing the effectiveness of the convective heat transfer process despite the high buoyancy forces generated by the increased .
The ANN and RSM models are compared in the context of the design of experiments (DoE), which served as the basis for training both models, as presented in Table 4. Figure 18 presents a comparative parity plot illustrating the predictions of the ANN and RSM models for the DoE. The multilayer perceptron (MLP)-based feedforward ANN model demonstrated excellent accuracy in fitting the actual (average) data. The ANN predictions exhibited high accuracy, while the RSM predictions displayed greater deviations from the actual values compared to the ANN model. This indicates that the ANN model is more reliable for predicting the average in this study.
Figure 18.
The (average) predicted by RSM and ANN model compared to the actual .
4.7.2. Feedforward Artificial Neural Network (ANN)
A feedforward ANN, sometimes referred to as a multilayer perceptron (MLP), is composed of an input layer, one or more hidden layers, and an output layer. This kind of network learns the connections between input features and matching outputs to create prediction models. A feedforward ANN has no backward connections; instead, the data move forward through a series of hidden layers from the input layer to the output layer. Neurons in each layer of the ANN are linked to neurons in the subsequent layer via weights. Applying weights to these inputs allows the network to process the scaled input data that are introduced at the input layer. The final output is calculated by the NN during a forward pass, and the weights in the network are updated during training based on the difference between the predicted and actual output [66].
In the procedure, every neuron in the output and hidden layers carries out the following tasks. The weighted total of the input values from the previous layer, plus a bias term, is calculated by each neuron using the following formula:
where is the -th input to the neuron, is the corresponding weight, is the bias term, and D is the number of inputs to the neuron.
Following that, the weighted sum is run through an activation function, which gives the network nonlinearity and allows it to represent intricate correlations in the data. Often employed as the activation function, the logistic (sigmoid) function Λ is described as
The error (or “loss”) between the predicted output and the actual target values is calculated using an error function. The most commonly used error function in ANN training is the mean squared error (MSE) f, defined as
where is the number of data points; is the actual target value for the -th data point and its corresponding predicted value; W represents the weights, with being the inputs to the network. Training an ANN involves iteratively modifying the network’s weights to minimize the MSE. This is accomplished through the use of optimization techniques like Levenberg–Marquardt (LM) algorithms and gradient descent.
An optimization method called the LM algorithm is used to train feedforward ANN, specifically to minimize the error between expected and actual outputs in supervised learning [54]. By utilizing second-order derivative information, it effectively modifies the network’s weights without explicitly computing the Hessian matrix, combining elements of the Gauss–Newton approach and gradient descent.
The gradient descent algorithm iteratively updates the weights in the direction of the negative gradient of the loss function to minimize the loss. It is defined as follows:
where is the learning rate, is the current value of the weights, and is the gradient of the loss function at .
Newton’s method, on the other hand, uses second-order derivative information (the Hessian matrix H) to update the weights, allowing more precise steps toward the minimum. It is defined as
However, the gradient descent algorithm in Equation (46) struggles with issues like becoming stuck in flat regions of the error function or overshooting when encountering steep regions. While Newton’s method from Equation (47) can take larger, more accurate steps, computing the second-order Hessian matrix (e.g., ) is computationally expensive, especially for large networks.
The LM algorithm combines elements of both gradient descent and Newton’s method to provide a more efficient optimization approach. The weight update rule is modified as follows [54]:
When , the LM algorithm behaves like Newton’s method, allowing larger steps, while for , it behaves more like gradient descent with smaller step sizes. The LM algorithm dynamically adjusts based on the performance at each step. If the error decreases, is increased, giving more weight to Newton’s method. If the error increases, is reduced, shifting the behavior toward gradient descent to avoid overshooting.
The design of data used for training the ANN, along with the corresponding (average), is presented in Table 7. The MLP network consists of seven input variables and a single output (average ), which is the one taking the mixture of 50% Cu and 50% in a hybrid nanofluid solution. Figure 19 illustrates the training process, showing the relationship between the loss function (mean squared error, MSE) and the number of epochs. The model was trained using a batch size of 20, with 64 neurons in each layer, and a total of 5 hidden layers in the network. The training process was completed in 30.75 s, executed on a system equipped with an 8-core CPU and a 10-core GPU, supported by 8 GB of unified memory (MacBook Pro M2 chip). The use of both CPU and GPU resources contributed to the efficient performance of the training task.
Table 7.
The independent factors and their corresponding CFD data and ANN predicted values of .
Figure 19.
The mean squared error (MSE) plot.
The overall MSE for the trained model was calculated to be 0.00018, indicating a very low prediction error. This demonstrates the high accuracy of the ANN in predicting . Table 7 provides the predictions generated by the ANN model, which align closely with the actual values, further confirming the model’s reliability. These findings imply that the ANN is a reliable and efficient tool for simulating and forecasting intricate fluid and thermal dynamics events, which makes it a competitive alternative to conventional numerical techniques. The ANN’s potential for wider applications in engineering and scientific modeling jobs is highlighted by its capacity to generalize from training data and make accurate predictions.
5. Conclusions
This research focused on the unsteady 2D incompressible flow of a hybrid nanofluid within a wavy, irregular domain under the influence of inclined periodic magnetohydrodynamic forces. Various concentration levels and mixing ratios of Cu and Al2O3 nanoparticles were examined in a wavy enclosure, where the left wavy wall was uniformly heated. Note that these kinds of nanoparticles are also affected by the magnetic field, albeit to a lesser extent with respect to iron (Fe) [25,32,67,68].
The governing partial differential equations for flow and heat transfer were numerically solved using the finite-element method (FEM). Additionally, the RSM was applied to statistically analyze the results. To validate the significance of the models, ANOVA was also employed. Furthermore, a feedforward ANN was implemented to compare the performance of RSM and ANN in predicting heat transfer and flow behavior. The numerically obtained results were presented in terms of streamlines, heatlines, and isotherms, with varying thermal Rayleigh numbers (Ra), Hartmann number (Ha), and undulation number (N), providing a comprehensive discussion of their impact. The key findings from this study are summarized below:
- The behavior of streamlines, heatlines, and isotherms is significantly influenced by the Rayleigh number, the Hartmann number, and the undulation of the wavy wall.
- The amplitude and undulation number of the wavy surface strongly impact heat transport.
- The Fanning friction factor and thermal efficiency index are notably affected by the thermal buoyancy parameter and the nanoparticle volume fraction.
- At low Ra, the influence of Ha is less pronounced. However, as Ra increases, the impact of Ha becomes more significant.
- At a specific volume fraction, the heat transfer in the Cu–Al2O3/water hybrid nanofluid increases as the nanoparticle ratio increases. Conversely, increasing the ratio of Al2O3 nanoparticles results in a reduction in heat transfer.
- Higher nanoparticle volume fractions lead to enhanced thermal efficiency, indicating that increasing the concentration of nanoparticles improves heat transfer.
- The hybrid nanofluid exhibits superior heat transfer performance (thermal efficiency index) compared to conventional nanofluids and base fluid.
- A statistical correlation for was developed using RSM, relating the response to independent factors such as Ra, Ha, and .
- In the CCD-based RSM study, the maximum was achieved when 2% of nanoparticles were added, coupled with higher Ra and no magnetic effect (Ha = 0).
- The statistical correlation developed using the RSM procedure demonstrated high accuracy, with an value of 0.988, indicating a successful model.
- The prediction using feedforward ANN, combined with statistical RSM, is a promising alternative, and has demonstrated improved performance in predicting the average Nusselt number.
Finally, this study demonstrated the effectiveness of hybrid nanofluids in enhancing heat transfer performance, particularly under electromagnetic fields. Advanced techniques like RSM, FEM, and ANN were used to analyze the complex interactions between thermal and fluid dynamics, offering valuable insights for improving thermal management. Future work will extend this research to iron (Fe) nanoparticles and 3D flows, considering the effects of heat generation and thermal radiation, investigating entropy generation from various sources, as well as taking into account oxygen consumption in biological particle-laden flows [69].
Author Contributions
T.I.: Conceptualization, methodology, software, validation, formal analysis, investigation, data curation, writing—original draft; S.G.: Resources, supervision, writing—review and editing; M.M.A.: Resources, supervision, writing—review and editing. All authors have read and agreed to the published version of the manuscript.
Funding
T.I. thanks the grant with reference UI/BD/153761/2022 through FCT. T.I., S.G. and M.M.A. were supported by CMUP, a member of LASI, which is financed by national funds through FCT–Fundação para a Ciência e a Tecnologia, I.P., under the project with reference UIDB/00144/2020.
Data Availability Statement
There are no data to share in this study. All the data are available in the manuscript.
Acknowledgments
T.I. wishes to thank the FCT, CMUP, and Department of Mathematics, Bangabandhu Sheikh Mujibur Rahman Science and Technology University, Gopalganj, Bangladesh, for their invaluable support, and and encouragement.
Conflicts of Interest
The authors declare no conflicts of interest.
Nomenclature
| Latin | |
| a0, ai, aij | Regression coefficients and intercept |
| A0 | Wave amplitude for wall (m) |
| A | Adimensional wall undulation amplitude |
| b | Bias vector |
| B0 | Magnitude of magnetic field (kg s−2A−1) |
| B | Magnetic field (kg s−2A−1) |
| Cf | Fanning friction factor |
| cp | Specific heat at constant pressure (m2s−2K−1) |
| D | Number of neuron inputs |
| f | Error/loss function |
| Fm | Electromagnetic force (kg m2s−2) |
| g | Gravitational acceleration (m s−2) |
| h | Heat function |
| H | Hessian operator |
| I | Identity matrix |
| J | Ratio of thermal diffusivities |
| k | Thermal conductivity (kg m s−3K−1) |
| k1, k2 | Empirical constants in Batchelor model |
| K | Set of input functions |
| L | Reference length (m) |
| M | Number of input factors |
| n | Nanoparticles’ shape factor |
| N | Wall undulation number |
| p | Dimensional pressure (kg m−1s−2) |
| P | Dimensionless pressure |
| q | Iterations number |
| Q | Heat source/sink (K s−1) |
| ri | Independent variables |
| S | Number of data points |
| t | Dimensional time (s) |
| T | Fluid temperature (K) |
| u, v | Dimensional velocity components (m s−1) |
| u′, v′ | Rotated velocity components (m s−1) |
| U, V | Dimensionless velocity components |
| w | Weights vector |
| W | Set of weights |
| xi | Neuron inputs |
| x, y | Dimensional coordinates (m) |
| x′, y′ | Rotated coordinates (m) |
| X, Y | Dimensionless coordinates |
| yi, ŷi | Actual and predicted target values |
| z | Response function (output) |
| Greek symbols | |
| α | Thermal diffusivity (m2s−1) |
| β | Thermal expansion coefficient (K−1) |
| γ | Inclination angle of the magnetic field |
| Γ | Subordinate variables |
| ηefficiency | Thermal efficiency index |
| θ | Nondimensional temperature |
| λ0 | Magnetic field wavelength (m) |
| λ | Nondimensional MF spatial period |
| Λ | Logistic sigmoid function |
| μ | Dynamic viscosity (kg m−1s−1) |
| ν | Kinematic viscosity (m2s−1) |
| ρ | Mass density (kg m−3) |
| σ | Electric conductivity (kg−1m−3s3A2) |
| τS | Shear stress 9 kg m−1s−2) |
| τ | Dimensionless time |
| ϕ | Nanoparticles’ volume fraction |
| Learning rate (constant) | |
| Ω | Parameter space |
| Subscripts and superscripts | |
| h | Hot surface |
| c | Cold surface |
| bf\nf\hnf | Base fluid\nanofluid\hybrid nanofluid |
| sp | Solid particle |
| av | Average |
| T | Transposed |
| Nondimensional numbers | |
| Ha | Hartmann |
| Nu | Nusselt |
| Pr | Prandtl |
| Ra | Rayleigh |
References
- Karaaslan, I.; Menlik, T. Numerical study of a photovoltaic thermal (PV/T) system using mono and hybrid nanofluid. Sol. Energy 2021, 224, 1260–1270. [Google Scholar] [CrossRef]
- Eshgarf, H.; Kalbasi, R.; Maleki, A.; Shadloo, M.S.; Karimipour, A. A review on the properties, preparation, models and stability of hybrid nanofluids to optimize energy consumption. J. Therm. Anal. Calorim. 2021, 144, 1959–1983. [Google Scholar] [CrossRef]
- Muneeshwaran, M.; Srinivasan, G.; Muthukumar, P.; Wang, C.C. Role of hybrid-nanofluid in heat transfer enhancement–A review. Int. Commun. Heat Mass Transf. 2021, 125, 105341. [Google Scholar] [CrossRef]
- Modi, K.V.; Patel, P.R.; Patel, S.K. Applicability of mono-nanofluid and hybrid-nanofluid as a technique to improve the performance of solar still: A critical review. J. Clean. Prod. 2023, 387, 135875. [Google Scholar] [CrossRef]
- Margoum, S.; Hajji, B.S.; Aneli, S.; Tina, G.M.; Gagliano, A. Optimizing Nanofluid Hybrid Solar Collectors through Artificial Intelligence Models. Energies 2024, 17, 2307. [Google Scholar] [CrossRef]
- Taherialekouhi, R.; Rasouli, S.; Khosravi, A. An experimental study on stability and thermal conductivity of water-graphene oxide/aluminum oxide nanoparticles as a cooling hybrid nanofluid. Int. J. Heat Mass Transf. 2019, 145, 118751. [Google Scholar] [CrossRef]
- Asadi, A.; Asadi, M.; Rezaniakolaei, A.; Rosendahl, L.A.; Afrand, M.; Wongwises, S. Heat transfer efficiency of Al2O3-MWCNT/thermal oil hybrid nanofluid as a cooling fluid in thermal and energy management applications: An experimental and theoretical investigation. Int. J. Heat Mass Transf. 2018, 117, 474–486. [Google Scholar] [CrossRef]
- Alghamdi, W.; Alsubie, A.; Kumam, P.; Saeed, A.; Gul, T. MHD hybrid nanofluid flow comprising the medication through a blood artery. Sci. Rep. 2021, 11, 11621. [Google Scholar] [CrossRef] [PubMed]
- Ekiciler, R.; Arslan, K.; Turgut, O.; Kurşun, B. Effect of hybrid nanofluid on heat transfer performance of parabolic trough solar collector receiver. J. Therm. Anal. Calorim. 2021, 143, 1637–1654. [Google Scholar] [CrossRef]
- Bhatti, M.M.; Öztop, H.F.; Ellahi, R.; Sarris, I.E.; Doranehgard, M.H. Insight into the investigation of diamond (C) and Silica (SiO2) nanoparticles suspended in water-based hybrid nanofluid with application in solar collector. J. Mol. Liq. 2022, 357, 119134. [Google Scholar] [CrossRef]
- Ahmad, S.; Naveed Khan, M.; Ali, R.; Ahmad Lone, S. Analysis of free bioconvective flow of hybrid nanofluid induced by convectively heated cone with entropy generation. Mod. Phys. Lett. B 2024, 38, 2450015. [Google Scholar] [CrossRef]
- Kishore, P.V.R.N.; Venkatachalapathy, S.; Kalidoss, P.; Chaupal, P. Experimental Investigation with ANN Modeling of Thermal Conductivity and Viscosity of a Ternary Nanofluid at Different Mixing Ratios and Volume Concentrations. J. Mol. Liq. 2023, 383, 122006. [Google Scholar] [CrossRef]
- Kanti, P.K.; Sharma, P.; Maiya, M.P.; Sharma, K.V. The stability and thermophysical properties of Al2O3-graphene oxide hybrid nanofluids for solar energy applications: Application of robust autoregressive modern machine learning technique. Sol. Energy Mater. Sol. Cells 2023, 253, 112207. [Google Scholar] [CrossRef]
- Taşkesen, E.; Dirik, M.; Tekir, M.; Pazarlioğlu, H.K. Predicting heat transfer performance of Fe3O4-Cu/water hybrid nanofluid under constant magnetic field using ANN. J. Therm. Eng. 2023, 9, 811–822. [Google Scholar] [CrossRef]
- Ajuka, L.O.; Odunfa, M.K.; Oyewola, M.O.; Ikumapayi, O.M.; Akinlabi, S.A.; Akinlabi, E.T. Modeling of viscosity of composite of TiO2–Al2O3 and ethylene glycol nanofluid by artificial neural network: Experimental correlation. Int. J. Interact. Des. Manuf. (IJIDeM) 2024, 18, 1969–1978. [Google Scholar] [CrossRef]
- Panda, S.; Baag, A.P.; Pattnaik, P.K.; Baithalu, R.; Mishra, S.R. Artificial neural network approach to simulate the impact of concentration in optimizing heat transfer rate on water-based hybrid nanofluid under slip conditions: A regression analysis. Numer. Heat Transf. Part B Fundam. 2024, 85, 1–23. [Google Scholar] [CrossRef]
- Wang, J.; Zhai, Y.; Yao, P.; Ma, M.; Wang, P. Established prediction models of thermal conductivity of hybrid nanofluids based on artificial neural network (ANN) models in waste heat system. Int. Commun. Heat Mass Transf. 2020, 110, 104444. [Google Scholar] [CrossRef]
- Barewar, S.D.; Tawri, S.; Chougule, S.S. Experimental investigation of thermal conductivity and its ANN modeling for glycol-based Ag/ZnO hybrid nanofluids with low concentration. J. Therm. Anal. Calorim. 2020, 139, 1779–1790. [Google Scholar] [CrossRef]
- Giwa, S.O.; Sharifpur, M.; Goodarzi, M.; Alsulami, H.; Meyer, J.P. Influence of base fluid, temperature, and concentration on the thermophysical properties of hybrid nanofluids of alumina–ferrofluid: Experimental data, modeling through enhanced ANN, ANFIS, and curve fitting. J. Therm. Anal. Calorim. 2021, 143, 4149–4167. [Google Scholar] [CrossRef]
- Adun, H.; Wole-Osho, I.; Okonkwo, E.C.; Bamisile, O.; Dagbasi, M.; Abbasoglu, S. A neural network-based predictive model for the thermal conductivity of hybrid nanofluids. Int. Commun. Heat Mass Transf. 2020, 119, 104930. [Google Scholar] [CrossRef]
- Kumar, V.; Pare, A.; Tiwari, A.K.; Ghosh, S.K. Efficacy evaluation of oxide-MWCNT water hybrid nanofluids: An experimental and artificial neural network approach. Colloids Surf. A Physicochem. Eng. Asp. 2021, 620, 126562. [Google Scholar] [CrossRef]
- Islam, T.; Alam, M.N.; Niazai, S.; Khan, I.; Fayz-Al-Asad, M.; Alqahtani, S. Heat generation/absorption effect on natural convective heat transfer in a wavy triangular cavity filled with nanofluid. Sci. Rep. 2023, 13, 21171. [Google Scholar] [CrossRef] [PubMed]
- Ali, A.; Noreen, A.; Saleem, S.; Aljohani, A.F.; Awais, M. Heat transfer analysis of Cu–Al2O3 hybrid nanofluid with heat flux and viscous dissipation. J. Therm. Anal. Calorim. 2021, 143, 2367–2377. [Google Scholar] [CrossRef]
- Ilyas, S.U.; Pendyala, R.; Narahari, M. Experimental investigation of natural convection heat transfer characteristics in MWCNT-thermal oil nanofluid. J. Therm. Anal. Calorim. 2019, 135, 1197–1209. [Google Scholar] [CrossRef]
- Aladdin, N.A.L.; Bachok, N.; Pop, I. Cu-Al2O3/water hybrid nanofluid flow over a permeable moving surface in presence of hydromagnetic and suction effects. Alex. Eng. J. 2020, 59, 657–666. [Google Scholar] [CrossRef]
- Çolak, A.B.; Yıldız, O.; Bayrak, M.; Tezekici, B.S. Experimental study for predicting the specific heat of water based Cu-Al2O3 hybrid nanofluid using artificial neural network and proposing new correlation. Int. J. Energy Res. 2020, 44, 7198–7215. [Google Scholar] [CrossRef]
- Iqbal, Z.; Akbar, N.S.; Azhar, E.; Maraj, E.N. Performance of hybrid nanofluid (Cu-CuO/water) on MHD rotating transport in oscillating vertical channel inspired by Hall current and thermal radiation. Alex. Eng. J. 2018, 57, 1943–1954. [Google Scholar] [CrossRef]
- Patil, P.M.; Shankar, H.F. Heat transfer attributes of Al2O3-Fe3O4/H2O hybrid nanofluid flow over a yawed cylinder. Propuls. Power Res. 2022, 11, 416–429. [Google Scholar] [CrossRef]
- Sheikholeslami, M.; Mehryan, S.A.M.; Shafee, A.; Sheremet, A. Variable magnetic forces impact on magnetizable hybrid nanofluid heat transfer through a circular cavity. J. Mol. Liq. 2019, 277, 388–396. [Google Scholar] [CrossRef]
- Tlili, I.; Bhatti, M.M.; Hamad, S.M.; Barzinjy, A.A.; Sheikholeslami, M.; Shafee, A. Macroscopic modeling for convection of Hybrid nanofluid with magnetic effects. Phys. A Stat. Mech. Its Appl. 2019, 534, 122136. [Google Scholar] [CrossRef]
- Tayebi, T.; Öztop, H.F.; Chamkha, A.J. Natural convection and entropy production in hybrid nanofluid filled-annular elliptical cavity with internal heat generation or absorption. Therm. Sci. Eng. Prog. 2020, 19, 100605. [Google Scholar] [CrossRef]
- Du, R.; Gokulavani, P.; Muthtamilselvan, M.; Al-Amri, F.; Abdalla, B. Influence of the Lorentz force on the ventilation cavity having a centrally placed heated baffle filled with the Cu−Al2O3−H2O hybrid nanofluid. Int. Commun. Heat Mass Transf. 2020, 116, 104676. [Google Scholar] [CrossRef]
- Acharya, N. Hydrothermal scenario of buoyancy-driven magnetized multi-walled carbon nanotube-Fe3O4-water hybrid nanofluid flow within a discretely heated circular chamber fitted with fins. J. Magn. Magn. Mater. 2024, 589, 171612. [Google Scholar] [CrossRef]
- Hameed, R.H.; Al-Srayyih, B.M.; Al-Amir, Q.R.; Hamzah, H.K.; Ali, F.H.; Alahmer, A. Magnetic field effect on mixed convection flow inside an oval-shaped annulus enclosure filled by a non-Newtonian nanofluid. Int. J. Thermofluids 2024, 21, 100571. [Google Scholar] [CrossRef]
- Al-Khaleel, M.; Abderrahmane, A.; Younis, O.; Jamshed, W.; Guedri, K.; Safdar, R.; Tag, S.M. A Galerkin finite element-based study of MHD mixed convective of Ostwald-de Waele nanofluids in a lid-driven wavy chamber. Results Phys. 2024, 56, 107232. [Google Scholar] [CrossRef]
- Izadi, M.; Sheremet, M.A.; Mehryan, S.A.M. Natural convection of a hybrid nanofluid affected by an inclined periodic magnetic field within a porous medium. Chin. J. Phys. 2020, 65, 447–458. [Google Scholar] [CrossRef]
- Islam, T.; Yavuz, M.; Parveen, N.; Fayz-Al-Asad, M. Impact of Non-Uniform Periodic Magnetic Field on Unsteady Natural Convection Flow of Nanofluids in Square Enclosure. Fractal Fract. 2022, 6, 101. [Google Scholar] [CrossRef]
- Mehryan, S.A.M.; Izadi, M.; Chamkha, A.J.; Sheremet, M.A. Natural convection and entropy generation of a ferrofluid in a square enclosure under the effect of a horizontal periodic magnetic field. J. Mol. Liq. 2018, 263, 510–525. [Google Scholar] [CrossRef]
- Hussain, S.; Geridonmez, B.P. Mixed bioconvection flow of Ag-MgO/water in the presence of oxytactic bacteria and inclined periodic magnetic field. Int. Commun. Heat Mass Transf. 2022, 134, 106015. [Google Scholar] [CrossRef]
- Parveen, N.; Awais, M.; Awan, S.E. Generalized thermal properties of hybrid NANOLIQUID composed of aluminum oxide (Al2O3) and silver (Ag) nanoparticles with water (H2O) as base liquid. ZAMM J. Appl. Math. Mech. Z. Angew. Math. Mech. 2024, 104, e202300194. [Google Scholar] [CrossRef]
- Ferdows, M.; Ahmed, M.; Bhuiyan, M.A.; Bég, O.A.; Çolak, A.B.; Leonard, H.J. Neural network and thermodynamic optimization of magnetized hybrid nanofluid dissipative radiative convective flow with energy activation. Numer. Heat Transf. A Appl. 2024, 85, 1–35. [Google Scholar] [CrossRef]
- Salehin, A.; Lavasani, A.M.; Nimafar, M.; Salehi, G.; Vahabi, M. Optimizing microelectronic module cooling under magnetic fields through hybrid nanofluid: A computational fluid dynamics-artificial neural network approach. J. Therm. Anal. Calorim. 2024, 149, 8321–8344. [Google Scholar] [CrossRef]
- Qu, Y.; Jasim, D.J.; Sajadi, S.M.; Salahshour, S.; Rahmanian, A.; Baghaei, S. Artificial neural network modeling of thermal characteristics of WO3-CuO (50: 50)/water hybrid nanofluid with a back-propagation algorithm. Mater. Today Commun. 2024, 38, 108169. [Google Scholar] [CrossRef]
- Jakeer, S.; Basha, H.T.; Reddy, S.R.R.; Abbas, M.; Alqahtani, M.S.; Loganathan, K.; Anand, A.V. Entropy analysis on EMHD 3D micropolar tri-hybrid nanofluid flow of solar radiative slendering sheet by a machine learning algorithm. Sci. Rep. 2023, 13, 19168. [Google Scholar] [CrossRef] [PubMed]
- Mustafa, J.; Alqaed, S.; Abdullah, M.M.; Husain, S.; Sharifpur, M. A novel hybrid nanofluid including MWCNT and ZrO2 nanoparticles: Implementation of response surface methodology and artificial neural network. J. Therm. Anal. Calorim. 2023, 148, 9619–9632. [Google Scholar] [CrossRef]
- Islam, T. Response surface method and finite element-based investigation of uniform/nonuniform hydromagnetic convection of nanofluids inside a quarter-circular enclosure. Numer. Heat Transf. Part B Fundam. 2024, 85, 1–23. [Google Scholar] [CrossRef]
- Eshgarf, H.; Nadooshan, A.A.; Raisi, A.; Afrand, M. Experimental examination of the properties of Fe3O4/water nanofluid, and an estimation of a correlation using an artificial neural network. J. Mol. Liq. 2023, 374, 121150. [Google Scholar] [CrossRef]
- Alklaibi, A.M.; Mouli, K.V.V.C.; Sundar, L.S. Heat transfer, and friction factor of Fe3O4–SiO2/Water hybrid nanofluids in a plate heat exchanger: Experimental and ANN predictions. Int. J. Therm. Sci. 2024, 195, 108608. [Google Scholar] [CrossRef]
- Prince, H.A.; Ghosh, A.; Siam, M.M.H.; Mamun, M.A.H. AI predicts MHD double-diffusive mixed convection and entropy generation in hybrid-nanofluids for different magnetic field inclination angles by ANN. Int. J. Thermofluids 2023, 19, 100383. [Google Scholar] [CrossRef]
- Borode, A.; Olubambi, P. Modelling the effects of mixing ratio and temperature on the thermal conductivity of GNP-Alumina hybrid nanofluids: A comparison of ANN, RSM, and linear regression methods. Heliyon 2023, 9, e19228. [Google Scholar] [CrossRef] [PubMed]
- Reddy, S.R.R.; Jakeer, S.; Rupa, M.L. ANN model of three-dimensional micropolar dusty hybrid nanofluid flow with coriolis force: Biomedical applications. Indian J. Phys. 2023, 97, 3801–3825. [Google Scholar] [CrossRef]
- Sundar, L.S.; Mouli, K.V.V.C. Effectiveness and number of transfer units of plate heat exchanger with Fe3O4–SiO2/Water hybrid nanofluids: Experimental and artificial neural network predictions. Case Stud. Therm. Eng. 2024, 53, 103949. [Google Scholar] [CrossRef]
- Tanveer, A.; Ul Haq, S.; Ashraf, M.B.; Ashraf, M.U.; Nawaz, R. Optimisation of MHD flow within trapezoidal cavity containing hybrid nanofluid by artificial neural network. Int. J. Numer. Methods Heat Fluid Flow 2024, 34, 2455–2479. [Google Scholar] [CrossRef]
- Kumar, K.A.; Sakkaravarthi, K.; Reddy, P.B.A. Levenberg–Marquardt neural network for entropy optimization on Casson hybrid nanofluid flow with nonlinear thermal radiation: A comparative study. Eur. Phys. J. Plus 2024, 139, 555. [Google Scholar] [CrossRef]
- Esfe, M.H.; Ardeshiri, E.M.; Toghraie, D. Experimental study and sensitivity analysis of a new generation of special ternary hybrid nanofluids (THNFs) and investigation of factors affecting its thermal conductivity. Case Stud. Therm. Eng. 2022, 34, 101940. [Google Scholar] [CrossRef]
- Niknejadi, M.; Afrand, M.; Karimipour, A.; Shahsavar, A.; Isfahani, A.H.M. Experimental investigation of the hydrothermal aspects of water–Fe3O4 nanofluid inside a twisted tube. J. Therm. Anal. Calorim. 2021, 143, 801–810. [Google Scholar] [CrossRef]
- Zhang, G.; Luo, J.; Sun, M.; Yu, Y.; Wang, J.; Chen, B.; Ouyang, Q.; Qiu, Y.; Chen, G.; Shen, T.; et al. Effect of soft magnetic particles content on multi-physics field of magnetorheological composite gel clutch with complex flow channel excited by Halbach array arrangement. Compos. Part A Appl. Sci. Manuf. 2025, 188, 108576. [Google Scholar] [CrossRef]
- Li, Z.; Qing, J.; Shen, C.; Ma, S.; Wu, D.; Zhu, G.; Wang, Y.; Yang, C.; He, X.; Su, J. Study on performance optimization of double screw-magnetic fluid combination seal. Phys. Fluids 2024, 36, 022021. [Google Scholar] [CrossRef]
- Li, D.; Li, H. Electromagnetohydrodynamic (EMHD) flow of Jeffrey fluid through parallel plate microchannels with surface charge-dependent asymmetric slip. Phys. Lett. A 2024, 528, 130026. [Google Scholar] [CrossRef]
- Islam, T.; Parveen, N.; Nasrin, R. Mathematical Modeling of Unsteady Flow with Uniform/Non-Uniform Thermal and Magnetic Fields in a Half-Moon Shaped Domain. Heliyon 2021, 8, e09015. [Google Scholar] [CrossRef] [PubMed]
- Suresh, S.; Venkitaraj, K.P.; Selvakumar, P.; Chandrasekar, M. Synthesis of Al2O3–Cu/water hybrid nanofluids using two step method and its thermo physical properties. Colloids Surf. A Physicochem. Eng. Asp. 2011, 388, 41–48. [Google Scholar] [CrossRef]
- Hamilton, R.L.; Crosser, O.K. Thermal Conductivity of Heterogeneous Two-Component Systems. Ind. Eng. Chem. Fundam. 1062, 1, 187–191. [Google Scholar] [CrossRef]
- Takabi, B.; Salehi, S. Augmentation of the Heat Transfer Performance of a Sinusoidal Corrugated Enclosure by Employing Hybrid Nanofluid. Adv. Mech. Eng. 2014, 6, 147059. [Google Scholar] [CrossRef]
- Rahman, M.M.; Saghir, Z.; Pop, I. Free convective heat transfer efficiency in Al2O3–Cu/water hybrid nanofluid inside a rectotrapezoidal enclosure. Int. J. Numer. Methods Heat Fluid Flow 2022, 32, 196–218. [Google Scholar] [CrossRef]
- Geridonmez, B.P.; Atilgan, M.A. Numerical and machine learning approaches in nanofluid natural convection flow in a wavy cavity. Eng. Anal. Bound. Elem. 2023, 155, 297–306. [Google Scholar] [CrossRef]
- Zhang, X.; Liu, X.; Wang, X.; Band, S.S.; Bagherzadeh, S.A.; Taherifar, S.; Abdollahi, A.; Bahrami, M.; Karimipour, A.; Chau, K.W.; et al. Energetic thermo-physical analysis of MLP-RBF feed-forward neural network compared with RLS Fuzzy to predict CuO/liquid paraffin mixture properties. Eng. Appl. Comput. Fluid Mech. 2022, 16, 764–779. [Google Scholar] [CrossRef]
- Hussain, S.; Ahmed, S.E.; Saleem, F. Impact of periodic magnetic field on entropy generation and mixed convection. J. Thermophys. Heat Transf. 2018, 32, 999–1012. [Google Scholar] [CrossRef]
- Haque, M.M.; Alam, M.S. Natural convective heat transfer of Al2O3-Cu/water hybrid nanofluid in a rectotrapezoidal enclosure under the influence of periodic magnetic field. Int. J. Thermofluids 2024, 22, 100661. [Google Scholar] [CrossRef]
- Linkès, M.; Martins Afonso, M.; Fede, P.; Morchain, J.; Schmitz, P. Numerical study of substrate assimilation by a microorganism exposed to fluctuating concentration. Chem. Eng. Sci. 2012, 81, 8–19. [Google Scholar] [CrossRef]
Disclaimer/Publisher’s Note: The statements, opinions and data contained in all publications are solely those of the individual author(s) and contributor(s) and not of MDPI and/or the editor(s). MDPI and/or the editor(s) disclaim responsibility for any injury to people or property resulting from any ideas, methods, instructions or products referred to in the content. |
© 2024 by the authors. Licensee MDPI, Basel, Switzerland. This article is an open access article distributed under the terms and conditions of the Creative Commons Attribution (CC BY) license (https://creativecommons.org/licenses/by/4.0/).


















