Abstract
The instability of the double-diffusive convection of an Oldroyd-B fluid in a vertical Brinkman porous layer caused by temperature and solute concentration differences with the Soret effect is studied. Based on perturbation theory, an Orr–Sommerfeld eigenvalue problem is derived and numerically solved using the Chebyshev collocation method. The effects of dimensionless parameters on the neutral stability curves and the growth rate curves are examined. It is found that Lewis number Le, Darcy–Prandtl number PrD, and normalized porosity η have critical values: When below these thresholds, the parameters promote instability, whereas exceeding them leads to suppression of instability. In addition, for Le < Lec2 (a critical value of Le), Sr strengthens the instability of the flow, while for Le > Lec2, Sr suppresses it. These results highlight the complex coupling of heat and mass transfer in Oldroyd-B fluids within porous media.
Keywords:
Soret effect; Oldroyd-B fluid; Brinkman porous layer; double-diffusive convection; instability MSC:
65N25; 76S05; 76R05; 76A10; 76E06
1. Introduction
Solids with micropores are called porous media, and these micropores are often interconnected and usually filled with fluid. Porous media encompass natural substances, such as biological tissues, wood, zeolites, soils, and rocks. Due to the numerous fundamental and industrial applications, double-diffusive convection (DDC) in porous media is a phenomenon that occurs in a variety of systems and has attracted significant attention in recent decades. These applications include producing high-quality crystals, storing liquid gases, migrating moisture in fiber insulation, transporting contaminants in saturated soils, solidifying molten alloys, and heating lakes and magmas through geothermal processes. Ingham and Pop [1], Nield and Bejan [2], and Vafai [3] have provided comprehensive reviews on this subject.
The stability or instability of fluid flow is a crucial aspect of fluid mechanics in porous media. Research on how buoyancy and shearing forces affect fluid flow stability in a vertical layer of porous media has received significant attention. Gill [4] performed an initial analysis of the stability of natural convection in a vertical porous layer whose boundary is impermeable at different temperatures, using Darcy’s law as a framework. He concluded that the system always maintains linear stability. Subsequently, Rees [5] added a temporal derivative of the velocity to the momentum equation and determined that the flow remains linearly stable, which is the same as Gill’s conclusion. For porous media with high porosity, Lundgren [6] experimentally confirmed that the extension of Darcy’s law by Brinkman is more valid. It is well known that many applications involve high-permeability porous media, where Darcy’s equations do not give satisfactory results. Therefore, the use of non-Darcy models that take into account inertial effects can obtain accurate results for high-permeability porous media, which are of fundamental and practical importance. Shankar et al. [7] investigated the effect of inertial terms on the stability of natural convection in a vertical layer of a porous medium at different temperatures using the Brinkman model. Using the classical linear stability theory, they discovered that instability is caused by the inertia effect.
Viscoelastic fluids naturally exhibit convection when flowing through porous media, which has significant implications for reservoir engineering, bioengineering, and geophysics [2,8,9,10]. Many industrially important fluids, including fossil fuels saturated in subsurface rock formations, exhibit non-Newtonian fluid behavior. Light crude oil is essentially a Newtonian fluid, and heavy crude oil is a non-Newtonian fluid. In addition, some oil sands contain waxy crude oil at the shallow end of the reservoir, which is considered to be a viscoelastic fluid. Gözüm and Arpaci [11] initially investigated the stability of natural convection in a vertical layer at various temperatures for a viscoelastic Maxwell fluid. Takashima [12] investigated the same problem with Oldroyd-B fluid. Khuzhayorov et al. [13] proposed a revised Darcy’s law for analyzing the viscoelastic properties of saturated porous materials. Using the homogenization method, they discovered a general filtration law that describes the flow of a linear viscoelastic fluid in a porous material. Kim et al. [14] used a modified Darcy model to analyze thermal instability in a horizontal porous layer with saturated Oldroyd-B fluid. The conventional linear stability theory provided the critical conditions for the initiation of convective motion. Using a modified Darcy–Brinkman–Oldroyd model, Zhang et al. [15] investigated the convection of saturated Oldroyd-B fluid in a horizontal porous layer heated from below. They calculated the critical number of stationary and oscillating convections. Sun et al. [16] studied the lower horizontal plate heated in a time-periodic pattern. The system changed from a steady convection to a periodic or chaotic state. Barletta and Alves [17] investigated the Gill stability problem for power-law fluids and discovered that Gill’s findings are also applicable to power-law fluids. The Gill problem for Oldroyd-B fluid was addressed by Shankar and Shivakumara [18]. In contrast to the results for Newtonian and power-law fluids, the flow of Oldroyd-B fluid is unstable. Moreover, they [19] also considered the situation of local thermal non-equilibrium (LTNE) and instability. Then, Shanker and Shivakumara [20] considered the case of a porous layer containing an internal heat source. They established that internal heating and relaxation parameters contribute to system instability. Newtonian fluids have a steady flow, while Oldroyd-B fluids exhibit unstable flow. For double-diffusive convection instead of thermal convection, Wang and Tan [21] used a modified Darcy model to study the stability of Maxwell fluids in porous media with two parallel planes. Malashetty and Biradar [22] investigated the cross-diffusion effect on DDC. They conducted linear and weakly nonlinear stability analyses using a modified Darcy model with a time-derivative term as the momentum equation and found the critical Rayleigh number. Zarei et al. [23] introduced a modified relaxation time model by refining the lattice Boltzmann method (LBM), enabling more precise simulation of nanoscale slip and transient flow behavior in porous media. Jia and Jian [24] conducted a systematic analysis of the effects of relaxation time and delay time in Oldroyd-B fluids on thermal convection instability in bidispersed porous media. Their findings revealed that high microporous permeability enhances convective instability, whereas momentum transfer coefficients and delay times between the macro- and microphases effectively suppress instability. Malashetty et al. [25,26] studied the stability of the Oldroyd-B fluid and the formation of DDC saturated isotropic and anisotropic horizontal porous layers, respectively. As a result, the thermal anisotropy parameter has a dual role in the stability of the flow. Kumar and Bhadauria [27] explored the situation of LTNE, adding a time-derivative term to the momentum equation. They discovered that, when the interphase heat transfer coefficient was large or small, the system behaved similarly to the local thermal equilibrium (LTE) model. Subsequently, Malashetty et al. [28] investigated the situation of an anisotropic rotating porous layer with LTE and found that the thermal anisotropy parameter has the opposite effect on the onset of convection compared with the no-rotation condition. The onset of DDC in a horizontal porous layer was recently studied by Swamy et al. [29] based on the Darcy–Brinkman–Oldroyd model.
Due to numerous applications in geothermal systems, energy storage devices, thermal insulation, drying technologies, catalytic reactors, and nuclear waste repositories, theoretical and experimental research has focused on heat and mass transmission in porous systems. Density gradients in fluid-saturated media can cause heat and mass transmission to be coupled because of heat and mass inhomogeneities when examining heat and mass transfer processes in porous media channels. The cross-diffusion effect is simultaneously brought on by mass and heat fluxes. The Soret effect transfers mass via a temperature gradient, while the Dufour effect transfers heat via a concentration gradient. The Dufour coefficient has a negligible energy flux in liquids and is an order of magnitude smaller than the Soret coefficient (see Straughan and Hutter [30]). The Dufour effect contributes far less than heat conduction and the Soret effect to the heat flux, making its impact negligible in liquids. Thus, in the absence of significant external drivers, the Dufour effect on the system is barely significant. Theoretical and experimental studies by Hurle and Jakeman [31] showed that the results of the analysis of the system behavior by neglecting the Dufour effect when the Soret effect is considered are still in good agreement with experimental data. Therefore, while discussing liquid flow, we can ignore the Dufour term. The majority of recent research on DDC in porous layers that takes the Soret effect into account has concentrated on horizontal porous layers. With the Darcy model, Bahloul et al. [32] examined the beginning of natural convection in a horizontal porous layer. They calculated the critical values of finite amplitude, oscillatory, and monotonic convective instability for DDC and Soret convection using linear stability analysis. Subsequently, the case of an anisotropic horizontal porous layer based on the previous paper was studied by Gaikwad et al. [33]. Using linear and nonlinear stability analysis, they analyzed the critical Rayleigh number, wave number, and oscillation frequency of steady and oscillatory modes. Utilizing linear and weakly nonlinear stability studies, Gaikwad and Dhanraj [34] initially used the Darcy–Brinkman model to study the DDC with the Soret effect in a binary viscoelastic fluid-saturated horizontally porous layer. They discovered that, whereas a positive Soret value accelerates the onset of DDC in stationary mode and has the opposite impact in oscillatory and finite amplitude modes, a negative Soret parameter increases the system’s stability. Bettaibi et al. [35] conducted a study on the impacts of the Soret and Dufour effects on double-diffusive mixed convection using a hybrid model that combines the MRT-Lattice Boltzmann method with the finite difference method. Building upon this work, Mhamdi et al. [36] focused on the Soret effect in double-diffusive mixed convection. Their results revealed that an increase in the Soret number slightly enhanced heat transfer while simultaneously increasing the solute boundary layer thickness, thereby reducing the mass transfer rate. Bouachir et al. [37] investigated DDC flow in a vertical porous chamber filled with a binary mixture exhibiting Soret and Dufour effects. The Darcy–Brinkman model and the Oberbeck–Boussinesq approximation were used to study the impact of the Soret and Dufour effects on convective stability. Overall, the thresholds of oscillatory, overstable, and stationary convection were greatly impacted by the Soret and Dufour effects.
In studying the instability of DDC in the Oldroyd-B vertical porous layer, the influence of the Soret effect on the flow instability is considered for the first time. Due to the significant differences in molecular diffusivity, DDC leads to complex flow structures and, consequently, the transport of heat and solute concentrations with different time and length scales. The majority of prior investigations used pure DDC for natural convection in a vertical porous material influenced by horizontal heat and solute concentration differences. Therefore, the Soret effect is introduced in this paper to describe the mass flux induced by the temperature gradient. Until now, there has been no study on the instability of the Soret effect on DDC in a saturated vertical porous layer of Oldroyd-B fluid. Therefore, the present work aims to investigate the linear stability of DDC of Oldroyd-B fluid in a vertical porous layer with the Soret effect. The manuscript is structured as follows. Section 2 presents the mathematical model that outlines the governing equations. The linear stability analysis and numerical procedures are given in Section 3 and Section 4, respectively. In Section 5, we present the results and discussion, while the last section contains the conclusions that we have drawn.
2. Mathematical Model
2.1. Mathematical Description of the Model
Figure 1 depicts an infinitely extended vertical porous layer surrounded by two impermeable plates and saturated with Oldroyd-B fluid in the region −d ≤ x ≤ d, with gravity acting vertically downward on it. The vertical limits of the porous layer are maintained at constant but distinct temperatures T1 and T2 (> T1) and solute concentrations S1 and S2 (>S1). We begin with a Cartesian coordinate frame, in which the z-axis points vertically and the x-axis extends horizontally over the breadth.
Figure 1.
Illustration of the physical issue.
The Oberbeck–Boussinesq approximation [38] is an important assumption used to simplify the effect of density variations on fluid. In all terms of the continuity, momentum, and energy equations, the variation in fluid density ρ* is assumed to be small and treated as constant, thereby simplifying the governing equations of fluid. Only in the buoyancy term is the density assumed to be related to temperature and concentration. Given a temperature T and a solute concentration S, the density ρ* of the mixture fluid is expected to change linearly in the following form:
The volumetric thermal expansion coefficient α and volumetric solutal expansion coefficient β of the fluid are represented by the variables ρ0 at T0 = (T1 + T2)/2 and S0 = (S1 + S2)/2.
It is assumed that the fluid and medium have constant properties and that few chemical reactions occur in the homogeneous, isotropic media. Furthermore, the porous medium exhibits local thermal equilibrium. After adopting the modified Darcy–Brinkman–Oldroyd model [29], which incorporates the Oberbeck–Boussinesq approximation and a time-derivative term, the system-governing equations are as follows:
where t*, p*, and T* stand for time, pressure, and temperature in the porous media, respectively, and u* = (u*, v*, w*) is the velocity vector. The symbols for dynamic viscosity and effective viscosity are μ and μe. The medium’s porosity and permeability are represented by K and ε. The strain retardation time is represented by λ2*, the stress relaxation time by λ1*, and the gravity acceleration vector is given by g = (0, 0, −g). κST is the Soret coefficient expressed as a constant, and κT and κS stand for thermal and solute diffusivity, respectively. The ratio of specific heats is represented by γ = (ρc)m/(ρc)f, where (ρc)f represents the volumetric heat capacity of the fluid and (ρc)m = ε(ρc)f + (1 − ε)(ρc)s represents the saturated medium’s overall volumetric heat capacity. The subscripts f and s stand for the fluid and solid matrix of the porous medium.
The boundaries are impermeable, and the applicable boundary conditions are
Dimensionless quantities are introduced through the scaling
to non-dimensionalize Equations (2)–(7) in the form
where PrD = εγd2v/κTK is the Darcy–Prandtl number, RaT = αg∆TdK/vκT is the Darcy–Rayleigh number, RaS = βg∆SdK/vκT is solute Rayleigh number, Le = κT/κS is the Lewis number, and η = ε/γ is normalized porosity. Da = μeK/μd2 is the modified Darcy number. λ1 = (κT/γd2) is the relaxation parameter and λ2 = (κT/γd2) is the retardation parameter. Sr = κST∆T/κT∆S is the Soret parameter. There are two possible values for the Soret parameter Sr: positive and negative. The solute diffuses toward the cooler plate when the Soret parameter is positive; the opposite is true when the parameter is negative.
The boundary conditions are
2.2. Basic Flow
It is assumed that the base flow is stable, unidirectional, and fully developed. In this condition, the physical variables are provided by:
Applying the preceding assumptions to governing Equations (9)–(14) reduces the system of ordinary differential equations and allows the basic flow equations to be easily obtained:
where D = d/dx and the suffix b serves to denote the basic flow. The associated boundary conditions are:
The solution to the basic flow is found to be:
RaT, RaS, and Da all have an impact on the fundamental velocity profile. When RaS →0, it is possible to quickly verify that the basic solution provided by Equation (21a,b) coincides with that of Shankar et al. [7]. The base flow velocity profiles are shown in Figure 2a–c. Figure 2a shows scaled basic velocity profiles wb(x) for various Da values. The no-slip condition on the wall and the buoyant term’s acceleration of the fluid near the border cause a point of inflection in the velocity profile, as seen in the image. With decreasing Da, it is found that the point of inflection moves closer to the walls. The appearance of an inflection point indicates a potential basis for flow instability. In addition, near the right boundary, where the temperature is higher, the buoyancy-driven flow is typically upward, resulting in wb being positive. Near the left boundary, however, due to boundary effects and the return flow of the fluid convection, the flow direction becomes downward, leading to wb being negative. RaT and RaS have different effects on the base flow, as seen in Figure 2b and c, respectively. As RaT or RaS rises, the velocity value rises as well. The velocity profiles are significantly asymmetric when compared to the vertical line at x = 0. In Figure 2c, where RaT < RaS, near the left boundary, the buoyancy is primarily driven by the concentration gradient because of the weaker temperature gradient. The concentration-induced buoyancy causes the fluid to flow upward, resulting in a positive wb. Near the right boundary, due to the return flow, wb becomes negative.
Figure 2.
Basic velocity profiles for different values: (a) RaT = 100, RaS = 50; (b) Da = 0.1, RaS = 50; (c) Da = 0.1, RaT = 100.
3. Linear Stability Analysis
In order to examine linear stability, we must first develop the perturbation equations for the infinitesimal disturbance. Small-amplitude disturbances of the following form are applied to the basic state:
where the primed amounts denote the perturbations field across the basic state.
The three-dimensional governing linear stability equations are obtained by applying Equation (22) to Equations (9)–(14) and by following the standard process of linear stability theory [39]:
The boundary conditions are:
To construct linear stability for arbitrary infinitesimal disturbances, normal modes are superposed in the following manner:
where a and b represent the wave numbers in the z and y directions, respectively, and c = cr + ici is the complex parameter whose real part expresses the wave speed and whose imaginary part yields the disturbance growth rate. The basic solution threshold for stability and instability is as follows: if ci < 0, the system is stable; if ci > 0, the system is unstable; and if ci = 0, the system is neutrally stable. When we replace Equation (30) with Equations (23)–(29), we obtain
We exclusively examine two-dimensional flows due to the validity of Squire’s theorem [40]. Thus, employing Squire’s transformation in its extended form,
Replacing Equation (38) into Equations (31)–(37) yields:
Equations (39)–(44) are two-dimensional equations with the same mathematical structure as Equations (31)–(37) when v = b = 0 (i.e., two-dimensional equations). When b ≠ 0, and are smaller than RaT and RaS, respectively. Therefore, it is sufficient to consider only the two-dimensional equations, as two-dimensional perturbations are less favorable for stabilizing the base flow than three-dimensional perturbations. Then, the stream function (x, z, t) is introduced such that:
The following outlines how the normal-mode analysis approach is used:
Eliminating the pressure term by cross-differentiation and subtracting the resulting equations, we obtain (on dropping the wave symbols):
The boundary conditions are:
4. Numerical Procedure
In general, stability analysis of eigenvalue problems uses numerical methods. Equations (47)–(50) are solved using the Chebyshev collocation method. The following gives the Chebyshev polynomial of k-th order:
The following gives the Chebyshev collocation points:
where j = 0 and j = N represent the left and right wall limits, respectively, and N can be any positive number. The field variables , , and are approximated using Chebyshev polynomials:
The values of ψj, Tj, and Sj are constants. Discretizing Equations (47)–(50) in terms of Chebyshev polynomials yields:
where
with
A generalized eigenvalue problem can be obtained from the discretization equation:
where A0, A1, and A2 are square matrices and c and X represent the complex eigenvalue and eigenfunction, respectively. The linear stability boundary of the fundamental flow is typically described by the eigenvalue issue. We designate the mode with the biggest imaginary portion c of the eigenvalue as the most growing mode among the eigenvalue and eigenfunction. This mode also happens to be the least decaying. The eigenvalues and eigenfunctions of the generalized eigenvalue problem are found using a QZ method. This algorithm is accessible as a built-in function called polyeig in the MatLab R2017B software package.
5. Results and Discussion
With the use of the Chebyshev collocation method, the linear stability of the Soret impact on DDC in a vertical layer of Darcy–Brinkman porous medium is numerically explored. The Darcy–Rayleigh number RaT, solute Darcy–Rayleigh number RaS, Lewis number Le, relaxation parameter λ1, retardation parameter λ2, Soret parameter Sr, Darcy–Prandtl number PrD, Darcy number Da, and normalized porosity of the porous medium η are some of the significant non-dimensional parameters that control the flow.
Firstly, the parameter ranges are discussed based on the works by Shanker et al. [7] and Swamy et al. [29]. The value of λ1 must be greater than that of λ2 (Bird et al. [41]; Hirata et al. [42]). The range of values for the Soret parameter is −1 < Sr < 1 (Bouachir et al. [37]). In fact, the Darcy–Prandtl number PrD can be expressed by the Prandtl number, Darcy number, porosity, and specific heat ratio, i.e., PrD = γεPr/Da. PrD depends on the properties of the fluid and the porous matrix. For sparse porous media, Da ranges from 0.001 to 1, γ changes from 0 to 1, ε is around 0.5, and the typical Prandtl number for viscoelastic fluids is 10. Therefore, PrD varies from 5 to 5000.
Table 1 provides a convergence analysis for numerical calculations by altering the order of the Chebyshev polynomials. As N increases, the variations in the results gradually diminish. When N = 30 and N = 35, the difference in results is less than 10−4, and for N = 40, the changes become negligible, indicating excellent numerical convergence. Based on the analysis, N = 40 is identified as the optimal configuration, achieving four-digit precision. The choice ensures both the reliability and accuracy of the results while maintaining computational efficiency. Therefore, all numerical results given subsequently have been obtained by taking N = 40 in the Chebyshev expansion.
Table 1.
The Chebyshev collocation method’s convergence process when Da = 0.1, λ1 = 0.4 λ2 = 0.2, Le = 2, PrD = 100, RaT = 1800, RaS = 50, η = 0.5, Sr = 0.5.
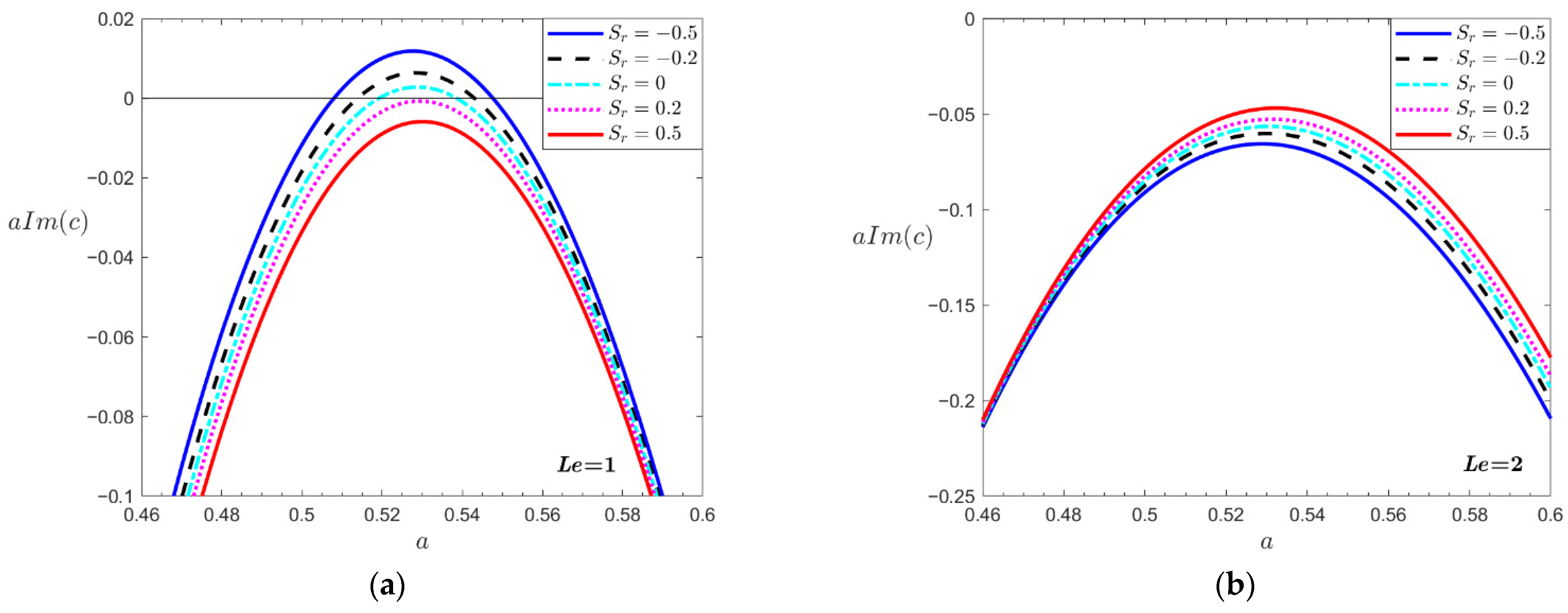
Figure 3 shows the growth rates for different values of Le. In Figure 3a, the larger the positive Sr is, the smaller the growth rate is, indicating that the positive Sr increases the stability of the system; the more significant the negative Sr is, the larger the growth rate is, indicating that the negative Sr weakens the stability of the system. Figure 3b shows the growth rate curve when Le = 2. At this point, aci < 0, indicating that the system is stable. It means that the system gradually becomes stable as Le increases. In addition, the larger the positive Sr is, the bigger the growth rate is; the larger the negative Sr is, the smaller the growth rate is, showing that the negative Sr enhances the stability.
Figure 3.
Plots of the growth rates for various values of Le (a) Le = 1, (b) Le = 2, with Da = 0.1, PrD = 50, λ1 = 0.4, λ2 = 0.2, RaT = 1680, RaS = 50, η = 0.5.
Figure 4 shows the neutral stability curves for the Soret parameter. In the neutral stability plot, it is stable outside of the tongue-shaped region and unstable within it. The minimum value of the neutral stability curve indicates the critical condition for the flow changing from a stable to an unstable state. In this paper, the corner symbol c represents the critical value, and the value of RaTc is the critical value of the flow between stable and unstable, i.e., the lowest point in the neutral stability curve; when RaT > RaTc, it means that the flow is unstable, and when RaT < RaTc, it means that the flow is stable. Figure 4a depicts the effects of different Soret parameters Sr on the neutral stability curve when Le = 1. When Sr increases, RaTc moves towards the large value of wave number a, indicating that Sr reduces the width of the cell. In addition, Sr = 0 denotes the neutral stability curve without the Soret effect. For Sr < 0, we find that RaTc decreases with the increase in the negative Soret parameter, which indicates that it weakens the stability of the system. For Sr > 0, RaTc increases with the increase in the positive Soret parameter, which indicates that it enhances flow instability. It shows that a positive Sr results in a more stable flow, and a negative Sr has the opposite effect. Figure 4b shows the neutral stability curve when Le = 2. We find that, for Sr < 0, the minimum value of RaT increases with the increase in the negative Soret parameter, which indicates that it improves the stability. For Sr > 0, the minimum value of RaTc decreases with the increase in the positive Soret parameter, which suggests that it reduces stability. It shows that the positive Sr parameter has an unstable effect, and the negative Sr parameter has a stabilizing effect. It is opposite to the conclusion for Le = 1. In summary, we find that the positive and negative values of Sr have different effects on the instability, and the size of Le affects the impact of Sr on the instability of the flow.
Figure 4.
Plots of the neutral stability curves for various values Le (a) Le = 1, (b) Le = 2, with Da = 0.1, PrD = 50, λ1 = 0.4, λ2 = 0.2, RaS = 50, η = 0.5.
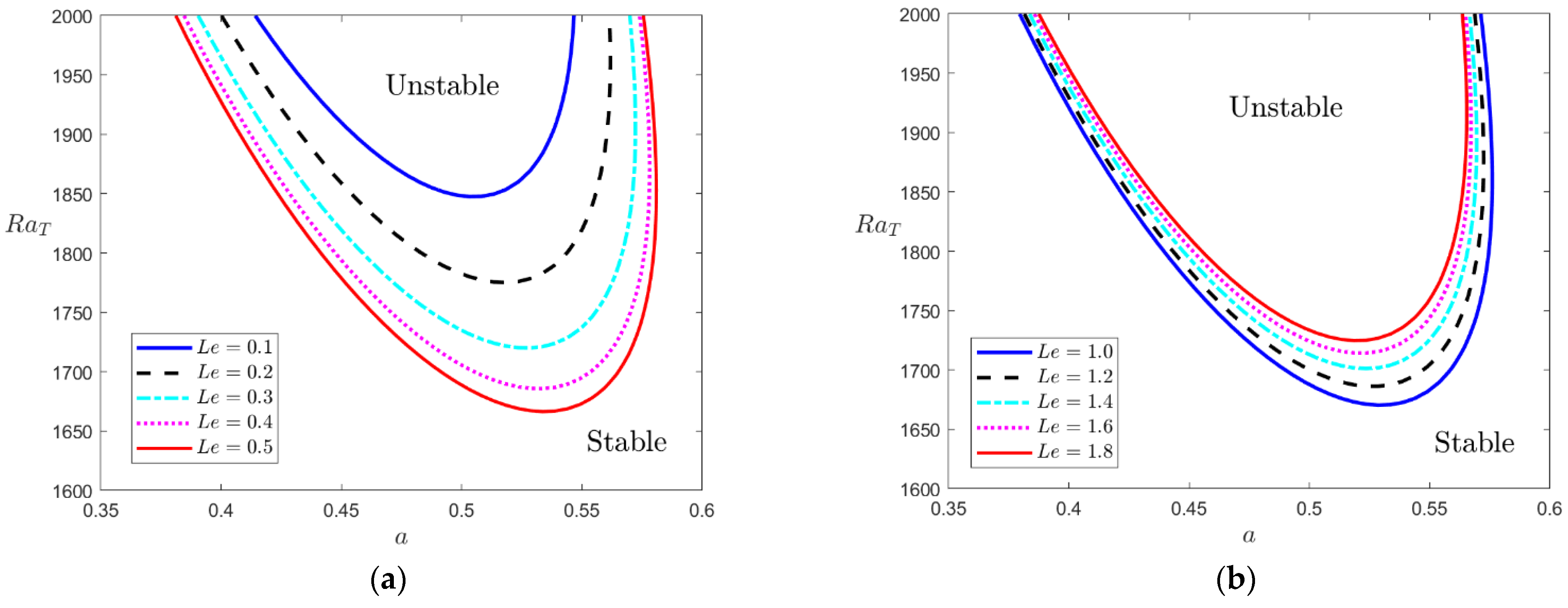
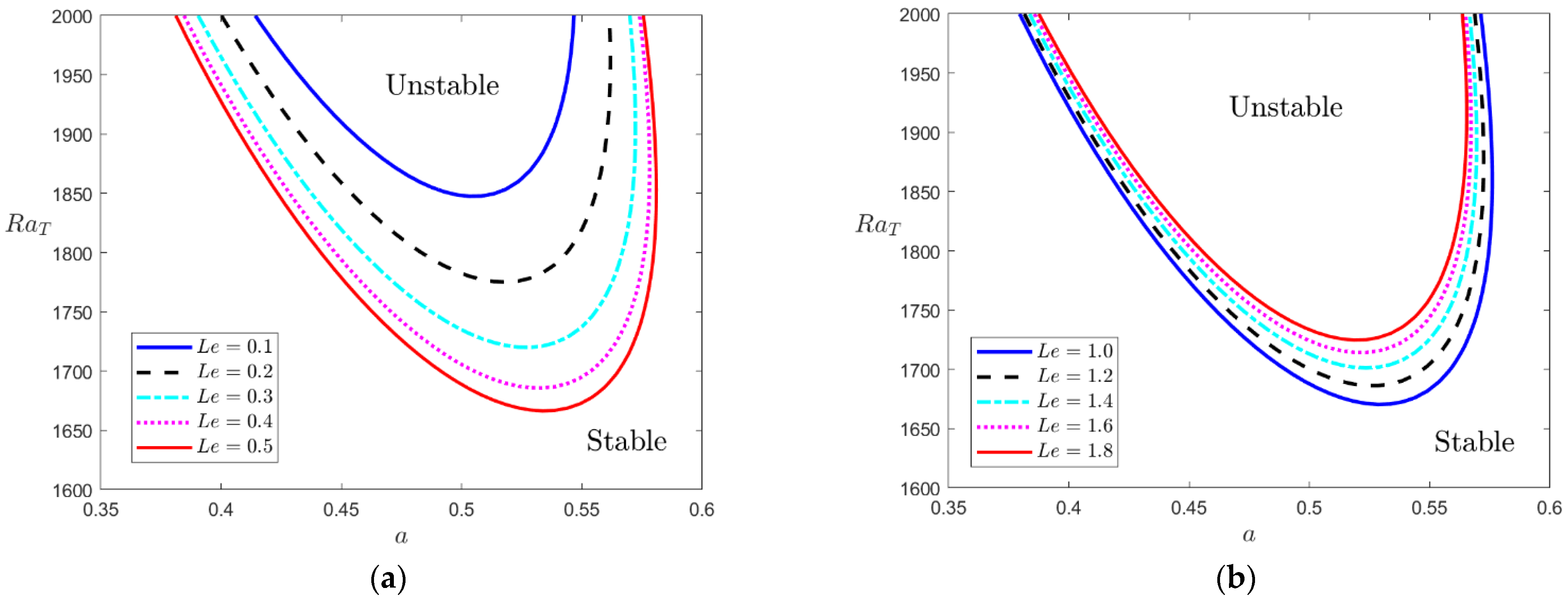
Figure 5 illustrates the growth rate curves for different Lewis numbers Le. In Figure 5a, we find that the larger Le is, the larger the growth rate is and the more unstable the flow is. This indicates that Le has a weakening effect on the stability of the flow when Le < 0.5. On the contrary, the growth rate is found to decrease with increasing Le in Figure 5b. In summary, Le has a dual effect on the instability of the flow.
Figure 5.
Plots of the growth rates for different Lewis numbers Le when Da = 0.1, PrD = 50, λ1 = 0.4, λ2 = 0.2, Sr = −0.5, RaS = 50, RaT = 1700, and η = 0.5.
Figure 6 shows the neutral stability curve to demonstrate the effect of Le on the instability of the flow. Figure 6a depicts that RaTc decreases with increasing Le for Le < 0.5, indicating that Le promotes flow instability at this point. Figure 6b suggests that Le promotes the stability of the flow when Le > 1.
Figure 6.
Plots of the neutral stability curves for different values of the Lewis number Le when Da = 0.1, PrD = 50, λ1 = 0.4, λ2 = 0.2, Sr = −0.5, RaS = 50, and η = 0.5.
Figure 7 illustrates the neutral stability curves of RaTc as Le varies for different Soret parameters Sr. As Le increases from zero, the value of RaTc decreases and then increases. This suggests that there is a critical value Lec1. This indicates that Le has both promoting and inhibiting effects on the instability of the flow. RaTc corresponds to a critical Le value, Lec1, which promotes the instability of the flow when Le < Lec1 and inhibits the instability of the flow when Le > Lec1. According to the graph, it is found that there is also a critical value of Le, Lec2 = 1.5735; when Le < Lec2, Sr contributes to the instability of the flow; and when Le > Lec2, Sr inhibits the instability of the flow. Thus, we find that Le and Sr have a dual role in the stability of the flow and that the magnitude of Le influences the role of Sr.
Figure 7.
Plots of the neutral stability curves when Da = 0.1, PrD = 50, λ1 = 0.4, λ2 = 0.2, RaS = 50, η = 0.5, and a = 0.5.
Table 2 shows the values of Lec1 for different Sr. According to the table, Lec1 decreases with increasing Sr and remains around 0.7. Therefore, Le enhances the flow instability when Le < 0.7 and inhibits the flow instability when Le > 0.7.
Table 2.
Critical values of Lewis number Lec when Da = 0.1, PrD = 50, λ1 = 0.4, λ2 = 0.2, RaS = 50, RaT = 1750, η = 0.5.
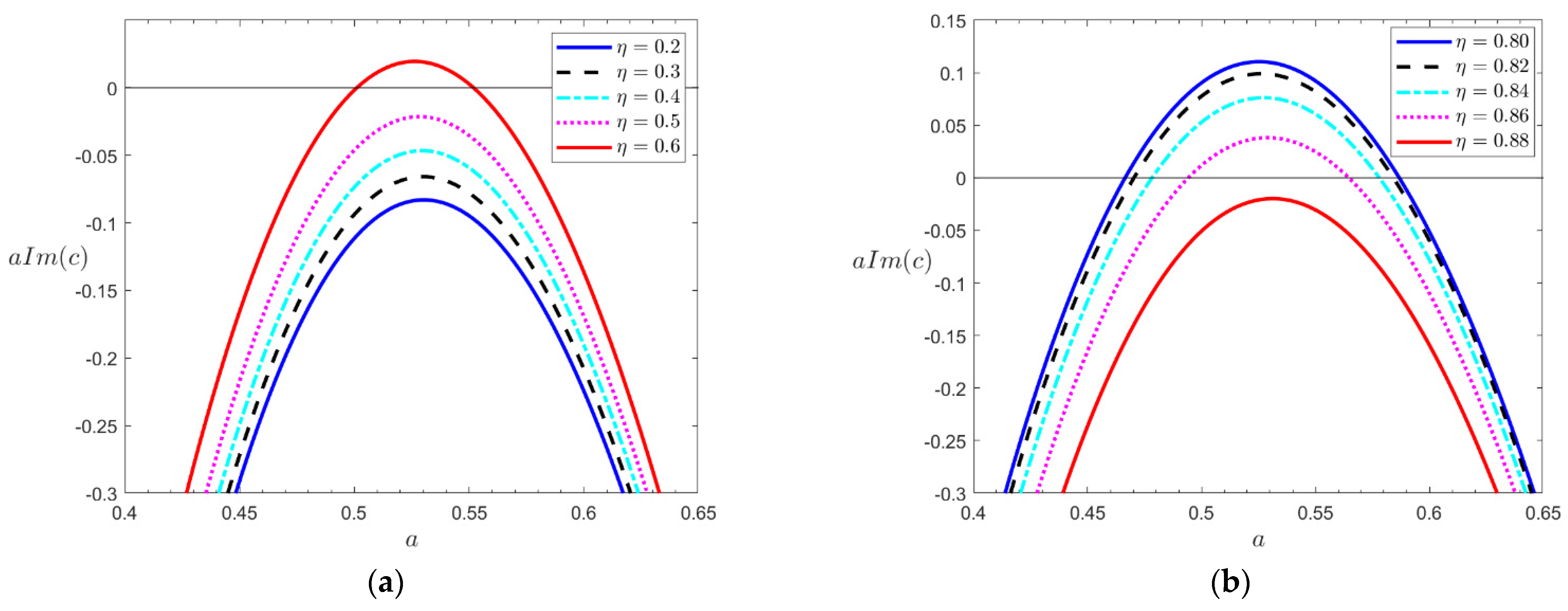
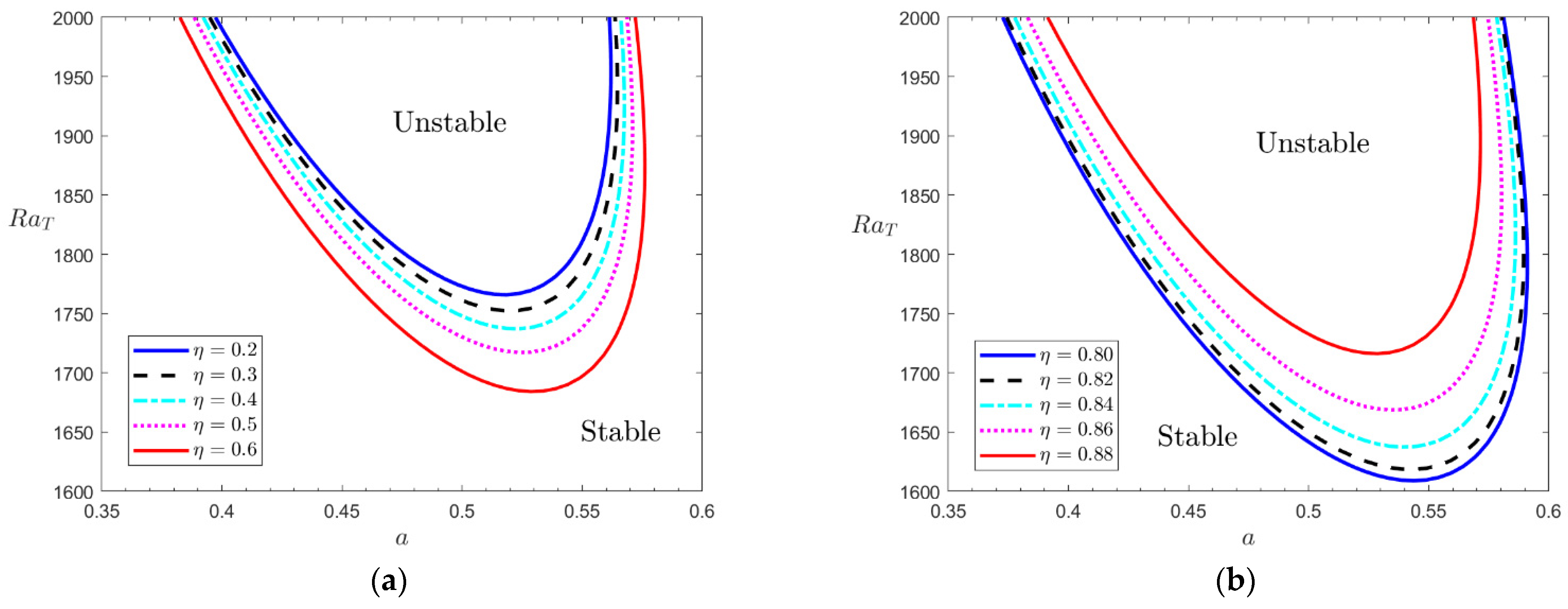
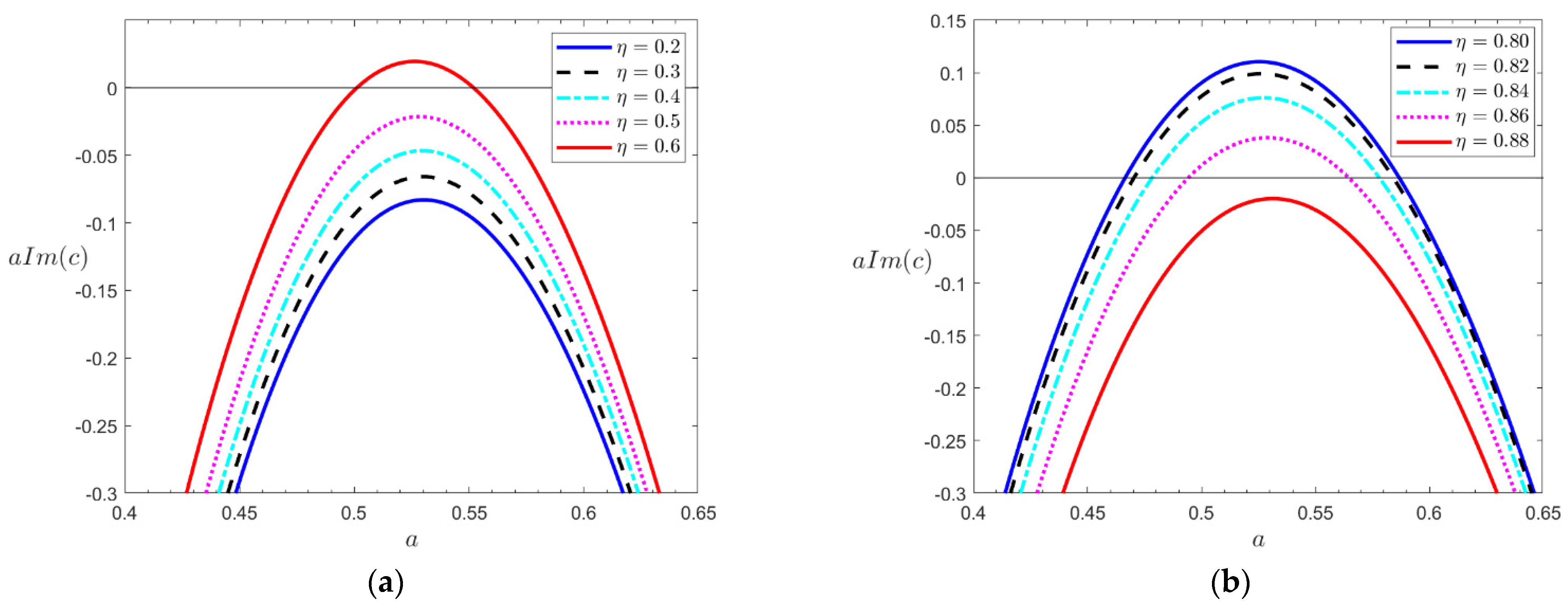
Figure 8 illustrates the neutral stability curves for different normalized porosity η. In Figure 8a, we find that the larger η is, the larger the growth rate is and the more unstable the flow is. This indicates that η plays a weakening effect on the stability of the flow when 0.2 < η < 0.6. In Figure 8b, the growth rate decreases with increasing η when 0.80 < η < 0.88. In a word, η acts differently on the instability of the flow at different values. To further explore the effect of the parameter η on the flow instability, Figure 9 shows the neutral stability curve. Figure 9a shows that η promotes flow instability at this point. Figure 9b depicts that RaTc increases with η when 0.8 < η < 0.88, indicating that η promotes the stability of the flow.
Figure 8.
Plots of the growth rate for different values of normalized porosity η when Da = 0.1, PrD = 50, λ1 = 0.4, λ2 = 0.2, RaS = 50, Sr = 0.5, Le = 2, RaT = 1700.
Figure 9.
Plots of the neutral stability curves for different values of normalized porosity η when Da = 0.1, PrD = 50, λ1 = 0.4, λ2 = 0.2, RaS = 50, Sr = 0.5, Le = 2.
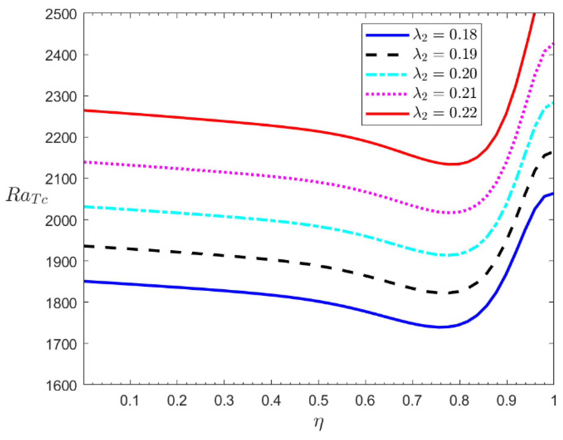
Figure 10 demonstrates the neutral stability curve of RaTc as η varies for different relaxation parameters λ2. As η increases from zero, the value of RaTc decreases and then increases. This suggests that η has a dual effect on the instability. The minimum value of RaT corresponds to a critical value ηc, which enhances the instability when η < ηc and inhibits the instability when η > ηc. In addition, the minimum value of RaT increases with λ2, indicating that λ2 promotes flow stability. According to Table 3, ηc increases with increasing λ2 and remains around 0.8. Thus, we conclude that η enhances the instability of the flow when η < 0.8 and suppresses the instability of the flow when η > 0.8.
Figure 10.
Plots of the neutral stability curves when Da = 0.1, PrD = 50, λ1 = 0.4, λ2 = 0.2, RaS = 50, Le = 2, Sr = 0.5, and a = π/8.
Table 3.
Critical values of normalized porosity ηc when Da = 0.1, PrD = 50, λ1 = 0.4, λ2 = 0.2, RaS = 50, η = 0.5, Le = 2, Sr = 0.5.
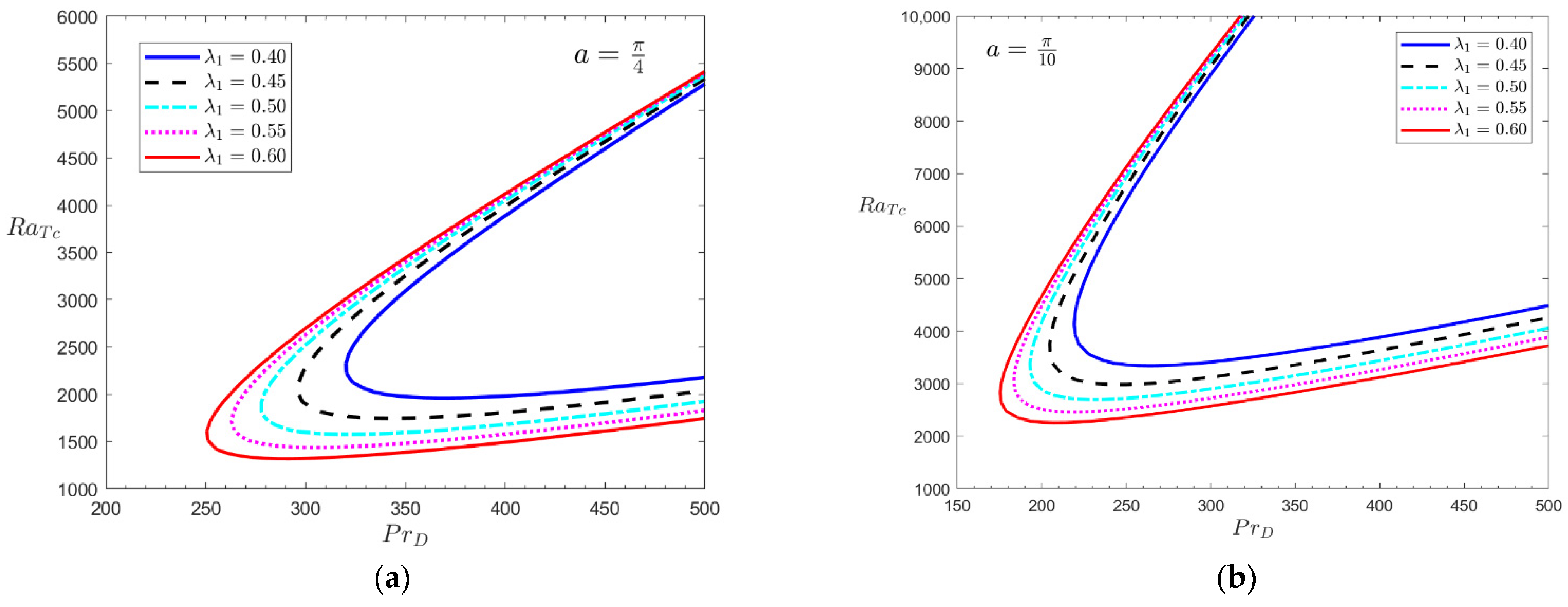
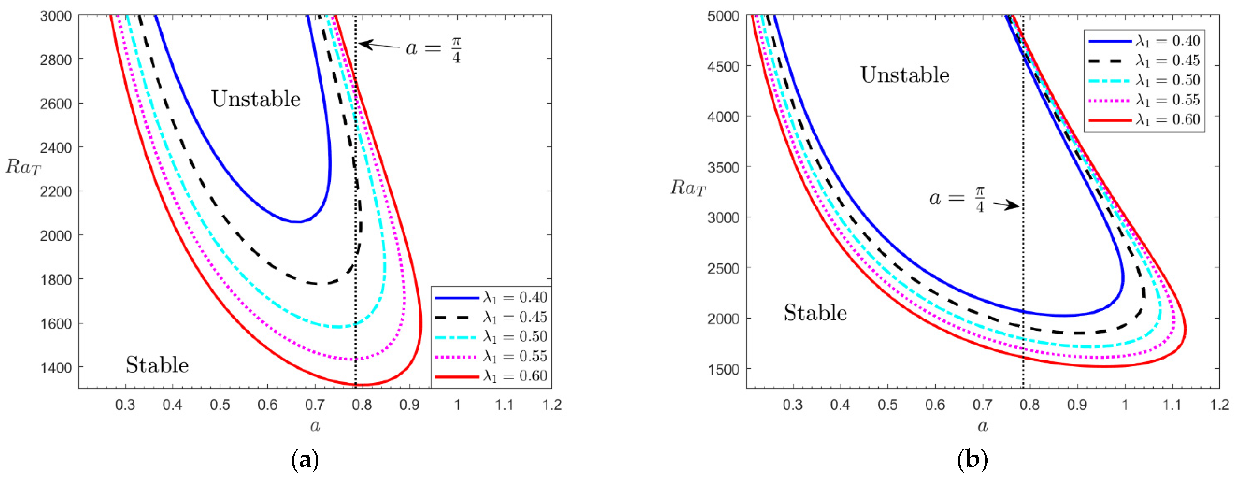
The neutral stability curves for various parameters λ1 when PrD = 300 are shown in Figure 11a. When λ1 is larger, the minimum value of RaT is smaller, showing that the flow is more unstable. Comparing Figure 11a,b, the minimum Darcy–Rayleigh number shifts toward the larger values of the wave number with increasing PrD, indicating that their effect is to decrease the cell width. In Figure 11a,b, the vertical cross section when a = π/4 is added by the dashed line. For each fixed λ1, there are two intersections at the dashed line. The system has two different solutions for the same value of the wave number. It reveals the dominant role of different driving forces (thermal and mass diffusion) in the system under various conditions. The lower intersection point indicates the transition of the flow from a steady state to an unsteady state. The upper intersection point indicates the transition of the flow from an unstable to a stable state. The smaller value is denoted as RaTc1 and the larger value as RaTc2. When RaT < RaTc1, the thermal buoyancy effect is weak and the flow is stable. When RaTc1 < RaT < RaTc2, the temperature gradient is more significant as RaT increases. The thermal buoyancy effect is enhanced and thermal convection begins to dominate, producing an unstable thermal convection. As RaT > RaTc2, RaT increases further. The high wave number perturbations are subject to strong viscous dissipation and diffusion and lose their significant effect on the system. The growth of the fixed wave number perturbation is limited and the whole system re-enters the steady state. It suggests that Oldroyd-B fluids in porous systems exhibit particularly stable behavior due to the complex coupling of heat and mass transfer. Under certain specific parameter ranges, such unstable regions may occur.
Figure 11.
Plots of the neutral stability curves for different values of the Darcy-Prandtl number: (a) PrD = 300, (b) PrD = 450, with Da = 0.01, Le = 2, λ2 = 0.2, RaS = 50, η = 0.5, and Sr = 0.5.
The neutral stability curve of (PrD, RaTc) is plotted for different wave numbers, i.e., Figure 12. As PrD increases, the value of RaTc decreases and subsequently increases continuously in Figure 12a,b. According to the figures, we can find the critical values of PrD, PrDc. When PrD < PrDc, PrD has a facilitating effect on the instability, and when PrD > PrDc, PrD has an inhibiting effect on the instability. This indicates that PrD has a dual effect on the stability of the flow. As a decreases, the critical Rayleigh number increases, indicating that the environment becomes more unstable in Figure 12b. When λ1 = 0.60, the specific critical value of PrDc is 208.367. When the wave number a = π/10, the two critical Darcy–Rayleigh numbers increase, indicating that a larger thermal driving force is required to trigger convection.
Figure 12.
Plots of the critical Darcy–Rayleigh number vs. PrD when Da = 0.01, Le = 2, λ2 = 0.2, RaS = 50, η = 0.5, and Sr = 0.5.
The perturbed streamlines at different PrD values are given in ta 13. They can be calculated from the sinusoidal variation of in Equation (46). Dashed lines are used to show positive values, and solid lines are used to show negative values. Positive values indicate the formation of a counterclockwise vortex, and negative values indicate a clockwise one. In Figure 13a, the disturbance streamlines show a unicellular form. With the increase in PrD, cells change to a multicellular form. At higher temperature boundaries, the streamlines become more densely packed, representing a stronger disturbance. The maximum value of increases gradually, indicating that the system has an instability effect. The perturbed streamlines at different λ1 are given in Figure 14. It shows a square unicellular form. With increasing λ1, single cells become narrower and denser, demonstrating that the system becomes a more unstable environment. Moreover, the maximum value of increases as λ1 increases. It suggests that the flow pattern undergoes a change in both qualitative and quantitative aspects.
Figure 13.
Plots of disturbance streamlines for different values of the Darcy-Prandtl number PrD: (a) PrD = 10, (b) PrD = 25, with Da = 0.01, Le = 2, λ1 = 0.65, λ2 = 0.2, RaS = 50, η = 0.5, a = π/4, RaT = 500, and Sr = 0.5.
Figure 14.
Plots of disturbance streamlines for different values of λ1: (a) λ1 = 0.40, (b) λ1 = 0.65, with Da = 0.01, Le = 2, λ2 = 0.2, RaS = 50, η = 0.5, a = π/4, PrD = 10, RaT = 500, and Sr = 0.5.
6. Conclusions
This study examines the instability of the Soret effect on the DDC of an Oldroyd-B fluid in a vertical porous layer. Based on the Darcy–Brinkman–Oldroyd model, an Orr–Sommerfeld eigenvalue problem is obtained using perturbation theory and Oberbeck–Boussinesq approximation, which is numerically simulated by employing the Chebyshev collocation method. Then, the neutral stability curves, as well as growth rates, are obtained. As a result, PrD has a dual effect on instability, and it has a critical value, PrDc, which depend on the other parameters. When PrD < PrDc, PrD boosts flow instability; when PrD > PrDc, PrD enhances the stability. Under certain specific parameter ranges, the system has two different solutions for the same value of the wave number. It reveals the dominant role of different driving forces (thermal and mass diffusion) in the system under various conditions. Oldroyd-B fluids in porous systems exhibit particularly stable behavior due to the complex coupling of heat and mass transfer. In addition, it is found that Le has a dual effect on stability, and a critical value exists for Le. Le enhances the flow instability when Le < 0.7 and inhibits the flow instability when Le > 0.7. At the same time, Sr has a dual role in the stability of the flow. According to the positive and negative values of Sr, Sr has different effects on the instability of the flow. Positive Sr has stable effects, and negative Sr parameters have unstable effects. The magnitude of Le influences the role of Sr. When Le < Lec2, Sr boosts the instability, and when Le> Lec2, Sr plays an inhibiting role. Furthermore, there is a critical value for η. When η < 0.8, η enhances the instability; when η >0.8, it makes the flow more stable. Finally, the relaxation parameter λ1 promotes flow instability while the relaxation parameter λ2 plays the opposite role. In conclusion, PrD, Le, Sr, and η have a dual impact on the instability.
Author Contributions
Conceptualization, Y.R. and Y.J.; methodology, Y.R. and Y.J.; software, Y.R.; validation, Y.R.; formal analysis, Y.R.; investigation, Y.R.; resources, Y.R.; data curation, Y.R.; writing—original draft preparation, Y.R.; writing—review and editing, Y.R. and Y.J.; visualization, Y.R. and Y.J.; supervision, Y.J.; project administration, Y.J.; funding acquisition, Y.J. All authors have read and agreed to the published version of the manuscript.
Funding
The authors acknowledge financial support provided by the National Natural Science Foundation of China (Grant No. 12262026), the Natural Science Foundation of the Inner Mongolia Autonomous Region of China (Grant No. 2021MS01007), the Program for Innovative Research Team in Universities of Inner Mongolia Autonomous Region (Grant No. NMGIRT2323), and the Fundamental Research Funds for the Central Universities (Grant Nos. 2232022G-13, 2232023G-13, 2232024G-13).
Data Availability Statement
The data used to support the findings of this study are available from the corresponding author upon request.
Conflicts of Interest
The authors declare no conflicts of interest.
References
- Ingham, D.B.; Pop, I. Transport Phenomena in Porous Media; Elsevier: Amsterdam, The Netherlands, 1998. [Google Scholar]
- Nield, D.A.; Bejan, A. Convection in Porous Media; Springer: Berlin/Heidelberg, Germany, 2006; Volume 3. [Google Scholar]
- Vafai, K. Handbook of Porous Media; CRC Press: Boca Raton, FL, USA, 2015. [Google Scholar]
- Gill, A. A proof that convection in a porous vertical slab is stable. J. Fluid Mech. 1969, 35, 545–547. [Google Scholar] [CrossRef]
- Rees, D.A.S. The stability of Prandtl-Darcy convection in a vertical porous layer. Int. J. Heat. Mass. Transf. 1998, 31, 1529–1534. [Google Scholar] [CrossRef]
- Lundgren, T.S. Slow flow through stationary random beds and suspensions of spheres. J. Fluid Mech. 1972, 51, 273–299. [Google Scholar] [CrossRef]
- Shankar, B.; Kumar, J.; Shivakumara, I. Stability of natural convection in a vertical layer of Brinkman porous medium. Acta Mech. 2017, 228, 1–19. [Google Scholar] [CrossRef]
- Younes, A. On modelling the multidimensional coupled fluid flow and heat or mass transport in porous media. Int. J. Heat. Mass. Transf. 2003, 46, 367–379. [Google Scholar] [CrossRef]
- Khaled, A.-R.; Vafai, K. The role of porous media in modeling flow and heat transfer in biological tissues. Int. J. Heat Mass. Transf. 2003, 46, 4989–5003. [Google Scholar] [CrossRef]
- Kuznetsov, A.; Avramenko, A. Stability analysis of bioconvection of gyrotactic motile microorganisms in a fluid saturated porous medium. Transp. Porous Med. 2003, 53, 95–104. [Google Scholar] [CrossRef]
- Gözüm, D.; Arpaci, V. Natural convection of viscoelastic fluids in a vertical slot. J. Fluid Mech. 1974, 64, 439–448. [Google Scholar] [CrossRef]
- Takashima, M. The stability of natural convection in a vertical layer of viscoelastic liquid. Fluid Dyn. Res. 1993, 11, 139. [Google Scholar] [CrossRef]
- Khuzhayorov, B.; Auriault, J.L.; Royer, P. Derivation of macroscopic filtration law for transient linear viscoelastic fluid flow in porous media. Int. J. Eng. Sci. 2000, 38, 487–504. [Google Scholar] [CrossRef]
- Kim, M.C.; Lee, S.B.; Kim, S.; Chung, B.J. Thermal instability of viscoelastic fluids in porous media. Int. J. Heat Mass. Transfer. 2003, 46, 5065–5072. [Google Scholar] [CrossRef]
- Zhang, Z.; Fu, C.; Tan, W. Linear and nonlinear stability analyses of thermal convection for Oldroyd-B fluids in porous media heated from below. Phys. Fluids 2008, 20, 084103. [Google Scholar] [CrossRef]
- Sun, Q.; Wang, S.; Zhao, M.; Yin, C.; Zhang, Q. Weak nonlinear analysis of Darcy-Brinkman convection in Oldroyd-B fluid saturated porous media under temperature modulation. Int. J. Heat Mass. Transfer. 2019, 138, 244–256. [Google Scholar] [CrossRef]
- Barletta, A.; Alves, L.B. On Gill’s stability problem for non-Newtonian Darcy’s flow. Int. J. Heat Mass. Transfer. 2014, 79, 759–768. [Google Scholar] [CrossRef]
- Shankar, B.; Shivakumara, I. On the stability of natural convection in a porous vertical slab saturated with an Oldroyd-B fluid. Theor. Comput. Fluid Dyn. 2017, 31, 221–231. [Google Scholar] [CrossRef]
- Shankar, B.; Shivakumara, I. Effect of local thermal nonequilibrium on the stability of natural convection in an Oldroyd-B fluid saturated vertical porous layer. J. Heat Transfer. 2017, 139, 044503. [Google Scholar] [CrossRef]
- Shankar, B.; Shivakumara, I. Stability of penetrative natural convection in a non-Newtonian fluid-saturated vertical porous layer. Transp. Porous Med. 2018, 124, 395–411. [Google Scholar] [CrossRef]
- Wang, S.; Tan, W. Stability analysis of double-diffusive convection of Maxwell fluid in a porous medium heated from below. Phys. Lett. 2008, 372, 3046–3050. [Google Scholar] [CrossRef]
- Malashetty, M.; Biradar, B.S. The onset of double diffusive convection in a binary Maxwell fluid saturated porous layer with cross-diffusion effects. Phys. Fluids 2011, 23, 064109. [Google Scholar] [CrossRef]
- Zarei, A.; Karimipour, A.; Isfahani, A.H.M.; Tian, Z. Improve the performance of lattice Boltzmann method for a porous nanoscale transient flow by provide a new modified relaxation time equation. Physica A 2019, 535, 122453. [Google Scholar] [CrossRef]
- Jia, B.; Jian, Y. Effect of Oldroyd-B fluid on thermal convection stability in a bidispersive porous media with relatively large macropores. Phys. Fluids 2024, 36, 014105. [Google Scholar] [CrossRef]
- Malashetty, M.; Swamy, M.; Heera, R. The onset of convection in a binary viscoelastic fluid saturated porous layer. Z. Angew. Math. Mech. 2009, 89, 356–369. [Google Scholar] [CrossRef]
- Malashetty, M.; Tan, W.; Swamy, M. The onset of double diffusive convection in a binary viscoelastic fluid saturated anisotropic porous layer. Phys. Fluids 2009, 21, 084101. [Google Scholar] [CrossRef]
- Kumar, A.; Bhadauria, B. Double diffusive convection in a porous layer saturated with viscoelastic fluid using a thermal non-equilibrium model. Phys. Fluids 2011, 23, 054101. [Google Scholar] [CrossRef]
- Malashetty, M.; Swamy, M.; Sidram, W. Double diffusive convection in a rotating anisotropic porous layer saturated with viscoelastic fluid. Int. J. Therm. Sci. 2011, 50, 1757–1769. [Google Scholar] [CrossRef]
- Swamy, M.S.; Naduvinamani, N.; Sidram, W. Onset of Darcy–Brinkman convection in a binary viscoelastic fluid saturated porous layer. Transp. Porous Med. 2012, 94, 339–357. [Google Scholar] [CrossRef]
- Straughan, B.; Hutter, K. A priori bounds and structural stability for double-diffusive convection incorporating the Soret effect. Proc. R. Soc. Lond. Ser. A 1999, 455, 767–777. [Google Scholar] [CrossRef]
- Hurle, D.; Jakeman, E. Soret-driven thermosolutal convection. J. Fluid. Mech. 1971, 47, 667–687. [Google Scholar] [CrossRef]
- Bahloul, A.; Boutana, N.; Vasseur, P. Double-diffusive and Soret-induced convection in a shallow horizontal porous layer. J. Fluid Mech. 2003, 491, 325–352. [Google Scholar] [CrossRef]
- Gaikwad, S.; Malashetty, M.; Prasad, K.R. An analytical study of linear and nonlinear double diffusive convection in a fluid saturated anisotropic porous layer with Soret effect. Appl. Math. Model 2009, 33, 3617–3635. [Google Scholar] [CrossRef]
- Gaikwad, S.; Dhanraj, M. Soret effect on Darcy–Brinkman convection in a binary viscoelastic fluid-saturated porous layer. Heat Transf. Res. 2014, 43, 297–320. [Google Scholar] [CrossRef]
- Bettaibi, S.; Kuznik, F.; Sediki, E.; Succi, S. Numerical study of thermal diffusion and diffusion thermo effects in a differentially heated and salted driven cavity using MRT-lattice Boltzmann finite difference model. Int. J. Appl. Mech. 2021, 13, 2150049. [Google Scholar] [CrossRef]
- Mhamdi, B.; Bettaibi, S.; Jellouli, O.; Chafra, M. MRT-lattice Boltzmann hybrid model for the double diffusive mixed convection with thermodiffusion effect. Nat. Comput. 2022, 21, 393–405. [Google Scholar] [CrossRef]
- Bouachir, A.; Mamou, M.; Rebhi, R.; Benissaad, S. Linear and nonlinear stability analyses of double-diffusive convection in a vertical brinkman porous enclosure under soret and dufour effects. Fluids 2021, 6, 292. [Google Scholar] [CrossRef]
- Rajagopal, K.; Ruzicka, M.; Srinivasa, A. On the Oberbeck-Boussinesq approximation. Math. Models Methods Appl. Sci. 1996, 6, 1157–1167. [Google Scholar] [CrossRef]
- Drazin, P.G.; Reid, W.H. Hydrodynamic Stability; Cambridge University Press: Cambridge, UK, 2004. [Google Scholar]
- Squire, H.B. On the stability for three-dimensional disturbances of viscous fluid flow between parallel walls. Proc. R. Soc. Lond. Ser. A 1933, 142, 621–628. [Google Scholar]
- Bird, R.B. Transport phenomena. Appl. Mech. Rev. 2002, 55, R1–R4. [Google Scholar] [CrossRef]
- Hirata, S.C.; Alves, L.B.; Delenda, N.; Ouarzazi, M. Convective and absolute instabilities in Rayleigh–Bénard–Poiseuille mixed convection for viscoelastic fluids. J. Fluid Mech. 2015, 765, 167–210. [Google Scholar] [CrossRef]
Disclaimer/Publisher’s Note: The statements, opinions and data contained in all publications are solely those of the individual author(s) and contributor(s) and not of MDPI and/or the editor(s). MDPI and/or the editor(s) disclaim responsibility for any injury to people or property resulting from any ideas, methods, instructions or products referred to in the content. |
© 2024 by the authors. Licensee MDPI, Basel, Switzerland. This article is an open access article distributed under the terms and conditions of the Creative Commons Attribution (CC BY) license (https://creativecommons.org/licenses/by/4.0/).













