Next Article in Journal
A Hybrid Strategy-Improved SSA-CNN-LSTM Model for Metro Passenger Flow Forecasting
Previous Article in Journal
The Dual Hamilton–Jacobi Equation and the Poincaré Inequality
 
 
Font Type:
Arial Georgia Verdana
Font Size:
Aa Aa Aa
Line Spacing:
Column Width:
Background:
Article

The Orbits of Twisted Crossed Cubes

Department of Information Management, Shih Hsin University, 1 Lane 17 Sec.1, Muzha Rd., Wenshan Dist., Taipei 116, Taiwan
Mathematics 2024, 12(24), 3928; https://doi.org/10.3390/math12243928
Submission received: 3 November 2024 / Revised: 10 December 2024 / Accepted: 11 December 2024 / Published: 13 December 2024
(This article belongs to the Section E: Applied Mathematics)

Abstract

Two vertices u and v in a graph G = ( V , E ) are in the same orbit if there exists an automorphism ϕ of G such that ϕ ( u ) = v . The orbit number of a graph G, denoted by O r b ( G ) , is the number of orbits that partition V ( G ) . All vertex-transitive graphs G satisfy O r b ( G ) = 1 . Since the n-dimensional hypercube, denoted by Q n , is vertex-transitive, it follows that O r b ( Q n ) = 1 for n 1 . The twisted crossed cube, denoted by T C Q n , is a variant of the hypercube. In this paper, we prove that O r b ( T C Q n ) = 1 if n 4 , O r b ( T C Q 5 ) = O r b ( T C Q 6 ) = 2 , and O r b ( T C Q n ) = 2 n 1 2 if n 7 .
MSC:
05C51; 05C60; 68R10

1. Introduction

Interconnection networks are usually modeled as undirected simple graphs G = ( V , E ) , where the vertex set V represents processing elements and the edge set E represents communication channels. The graph parameters of an interconnection network can serve as metrics to evaluate the reliability of a multiprocessor system. A key aspect of interconnection networks is their symmetry, which plays a pivotal role in their design and functionality. An automorphism of a graph G = ( V , E ) is a mapping ϕ : V ( G ) V ( G ) such that there is an edge u v E ( G ) if and only if ϕ ( u ) ϕ ( v ) is also an edge in E ( G ) . A graph is vertex-transitive if, for any two vertices u and v of G, there exists an automorphism ϕ such that ϕ ( u ) = v . Intuitively, a vertex-transitive graph appears identical from the perspective of any vertex. This property is particularly advantageous for designing and simulating algorithms on graphs, as it ensures uniformity and symmetry across all vertices. Clearly, every vertex-transitive graph is regular, for example, hypercubes. However, not all regular graphs are vertex-transitive, such as crossed cubes and locally twisted cubes [1,2,3,4].
Definition 1 
([5]). Two vertices u and v in a graph G = ( V , E ) are in the same orbit if there exists an automorphism ϕ of G such that ϕ ( u ) = v . The orbit number of a graph G, denoted by O r b ( G ) , is the number of orbits, which form a partition of V ( G ) , in G.
The automorphism group of an interconnection network is significant in many aspects. Within the network, every processor in the same orbit is identical in relation to its position, ensuring uniformity. This property facilitates straightforward implementation and simplifies routing using consistent rules, particularly in distributed environments. The Frucht graph, introduced by Robert Frucht in [6], is a cubic graph consisting of 12 vertices and 18 edges. It is a 3-regular graph, but its automorphism group consists of only the trivial automorphism. Liu, Lan, Chou, and Chen [3] discovered that although locally twisted cubes L T Q n are not vertex-transitive for n 4 , these cubes exhibit the property of even–odd vertex-transitivity, meaning that they have exactly two orbits, with each orbit containing all vertices of the same parity. Kulasinghe and Bettayeb [4] proved that the n-dimensional crossed cube, denoted by C Q n (also referred to as the multiply-twisted hypercube in their paper), is not vertex-transitive for n 5 . Shiau, Wang, and Pai [5] further demonstrated that O r b ( C Q n ) = 2 n 2 2 for n 3 . The folded crossed cube, a variation of the crossed cube, was studied by Liu [7], who showed that O r b ( F C Q n ) = 2 n 2 1 when n 3 is odd, and O r b ( F C Q n ) = 2 n 2 2 when n 6 is even.
The twisted crossed cube, a variant of the twisted cube [8,9,10,11,12,13,14,15,16] and the crossed cube, was introduced by Wang, Liang, Qi and Lin in [17]. They investigated its basic network properties in terms of regularity, connectivity, fault tolerance, recursiveness, and so on. In this paper, we prove that O r b ( T C Q n ) = 1 if n 4 , O r b ( T C Q 5 ) = O r b ( T C Q 6 ) = 2 , and O r b ( T C Q n ) = 2 n 1 2 if n 7 . The main results are presented in Section 2. Section 3 contains our concluding remarks.

2. Twisted Crossed Cubes

An n-dimensional twisted crossed cube  T C Q n can be modeled as a graph with a vertex set V ( T C Q n ) and an edge set E ( T C Q n ) such that every node v is distinctly labeled by an n-bit binary string v n 1 v n 2 v 1 v 0 . The negate of v i for 0 i n 1 is denoted by v i ¯ . Define θ i v = v j v j 2 v 2 , where j is the largest even number such that i > j 2 , and ⊕ is the exclusive operation. For simplicity, we also use θ i to represent θ i v when the context is clear.
Two 2-bit binary strings, a = a 1 a 0 and b = b 1 b 0 , are called pair-related, denoted by a b , if and only if ( a , b ) { ( 00 , 00 ) , ( 10 , 10 ) , ( 01 , 11 ) , ( 11 , 01 ) } . For notational convenience, we also represent string b as a ˜ if a b . In addition, we say a and b are crossed pair-related, denoted by a c b , if and only if ( a , b ) { ( 00 , 10 ) , ( 10 , 00 ) , ( 01 , 01 ) , ( 11 , 11 ) } , and represent string b as a ^ if a c b .
Definition 2 
([17]). The n-dimensional T C Q n can be defined recursively as follows: T C Q 1 is K 2 , with the complete graph of two vertices having the labels 0 and 1; for n > 1 , T C Q n consists of two ( n 1 ) -dimensional twisted crossed cubes, T C Q n 1 0 and T C Q n 1 1 , where V ( T C Q n 1 i ) = { v n 1 v n 2 v 0 } , where v n 1 = i and i { 0 , 1 } . The vertex v = 0 v n 2 v 0 in T C Q n 1 0 and the vertex u = 1 u n 2 u 0 in T C Q n 1 1 are adjacent in T C Q n if and only if
1. 
v n 2 = u n 2 if n is even, and
2. 
For 1 i n 2 2 , v 2 i + 1 v 2 i u 2 i + 1 u 2 i , and
3. 
If θ n 1 v = 1 , u 1 u 0 = v 1 v 0 ^ ; otherwise, u 1 u 0 = v 1 v 0 ˜ .
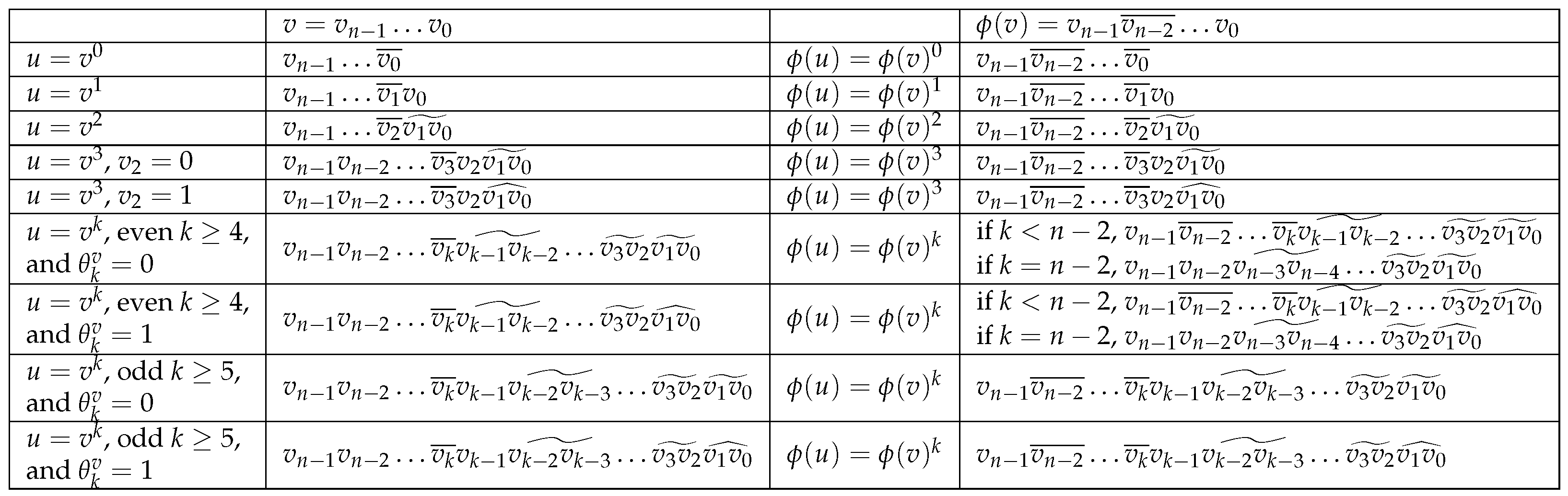
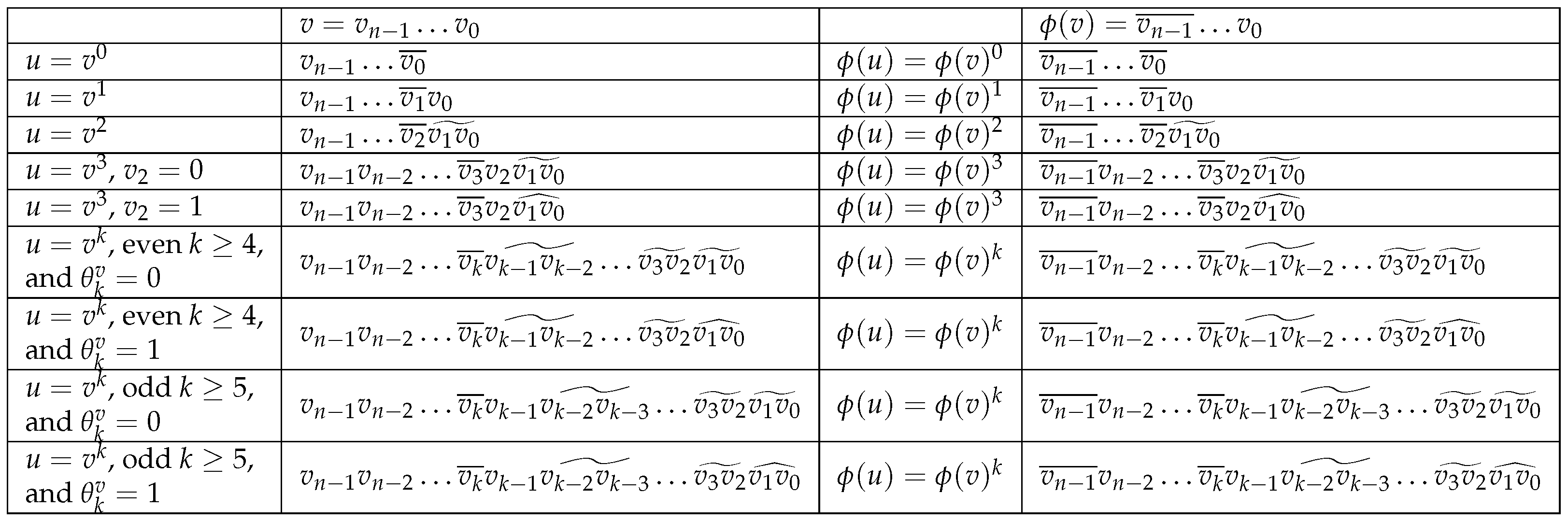
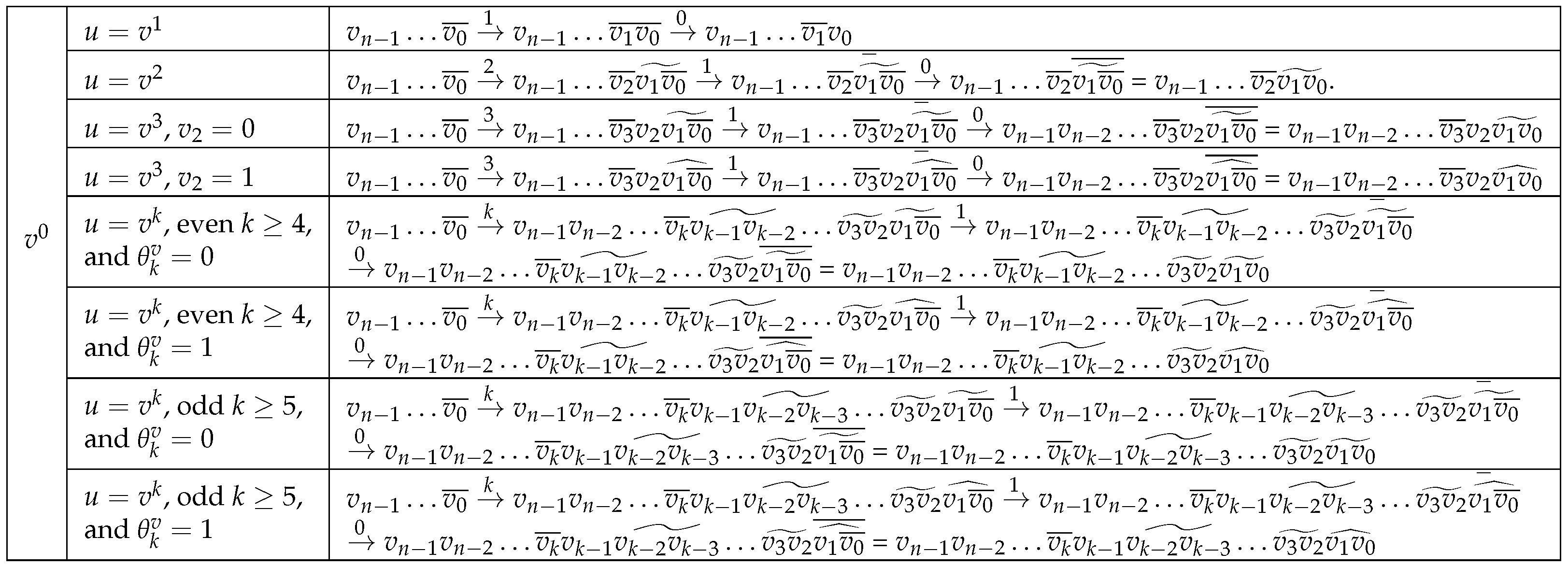
We say that vertex u is the kth-neighbor of vertex v, denoted by v k , if u and v are adjacent along dimension k for i { 0 , 1 , 2 , 3 , , n 1 } . According to Definition 2, vertex u satisfies the following conditions:
  • v 0 = v n 1 v n 2 v 1 v 0 ¯ ;
  • v 1 = v n 1 v n 2 v 1 ¯ v 0 ;
  • v 2 = v n 1 v n 2 v 2 ¯ v 1 v 0 ˜ ;
  • If v 2 = 0 , v 3 = v n 1 v n 2 v 3 ¯ v 2 v 1 v 0 ˜ ;
  • If v 2 = 1 , v 3 = v n 1 v n 2 v 3 ¯ v 2 v 1 v 0 ^ ;
  • If even k 4 and θ k v = 0 , v k = v n 1 v n 2 v k ¯ v k 1 v k 2 ˜ v 3 v 2 ˜ v 1 v 0 ˜ ;
  • If even k 4 and θ k v = 1 , v k = v n 1 v n 2 v k ¯ v k 1 v k 2 ˜ v 3 v 2 ˜ v 1 v 0 ^ ;
  • If odd k 5 and θ k v = 0 , v k = v n 1 v n 2 v k ¯ v k 1 v k 2 v k 3 ˜ v 3 v 2 ˜ v 1 v 0 ˜ ;
  • If odd k 5 and θ k v = 1 , v k = v n 1 v n 2 v k ¯ v k 1 v k 2 v k 3 ˜ v 3 v 2 ˜ v 1 v 0 ^ .
For example, let v = 11011 . Then, v 0 = 11010 , v 1 = 11001 , v 2 = 11101 , v 3 = 10001 , and v 4 = 01001 . Figure 1 and Figure 2 demonstrate the twisted crossed cubes T C Q 1 , T C Q 2 , T C Q 3 , T C Q 4 , and T C Q 5 .
Lemma 1. 
O r b ( T C Q 1 ) = O r b ( T C Q 2 ) .
Proof. 
According to Figure 1, it is easy to see that O r b ( T C Q 1 ) = O r b ( T C Q 2 ) = 1 . □

2.1. The Upper Bound of O r b ( T C Q n )

Let f i ( v ) denote v n 1 v i + 1 v i ¯ v i 1 v 0 for some 0 i n 1 for all v V ( T C Q n ) . We use ★ to represent any possible character, i.e., 0 or 1. A function is bijective if and only if it is invertible; that is, a function f : X Y is bijective if and only if there is a function f 1 : Y X , the inverse of f, such that each of the two ways for composing the two functions produces the identity function f 1 ( f ( x ) ) = x for each x in X and f ( f 1 ( y ) ) = y for each y in Y.
According to the definition of automorphisms, to prove that f i ( v ) for some i, is an automorphism of T C Q n , we need to show that for every edge, u v E ( T C Q n ) if and only if there exists an edge ϕ ( u ) ϕ ( v ) E ( T C Q n ) . Since f i ( v ) (= f i 1 ( v ) ) is bijective, it suffices to focus on one direction of the proof.
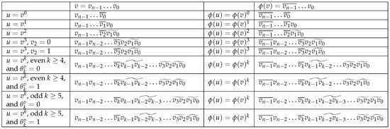
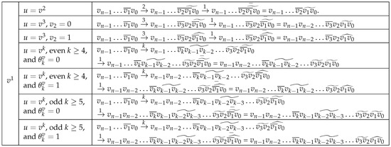
Lemma 2. 
For any n, the function ϕ ( v ) = f n 1 ( v ) for all vertices v V ( T C Q n ) is an automorphism of T C Q n .
Proof. 
Let v = v n 1 v n 2 v 1 v 0 . All possible vertices u and ϕ ( u ) , corresponding to v and ϕ ( v ) , are depicted in Figure 3. It is straightforward to verify that ϕ ( u ) ϕ ( v ) forms an edge in E ( T C Q n ) , thereby confirming the validity of this lemma. □
Proposition 1. 
v 1 v 0 ˜ - = v 1 ¯ v 0 ˜ and v 1 v 0 ^ - = v 1 ¯ v 0 ^ .
Lemma 3. 
The function ϕ ( v ) = f h ( v ) , where h < n 1 is odd, defines an automorphism of T C Q n for all vertices v V ( T C Q n ) .
Proof. 
Let v = v n 1 v n 2 v 1 v 0 . All possible vertices u and ϕ ( u ) , corresponding to v and ϕ ( v ) , are depicted in Figure 4. It is straightforward to verify that ϕ ( u ) ϕ ( v ) forms an edge in E ( T C Q n ) , thereby confirming the validity of this lemma. □
Lemma 4. 
The function ϕ ( v ) = f h ( v ) , where h = n 2 is even, defines an automorphism of T C Q n for all vertices v V ( T C Q n ) .
Proof. 
Let v = v n 1 v n 2 v 1 v 0 . All possible vertices u and ϕ ( u ) , corresponding to v and ϕ ( v ) , are depicted in Figure 5. □
Proposition 2. 
v 1 v 0 ˜ ¯ = v 1 v 0 ¯ ˜ , v 1 v 0 ˜ - = v 1 ¯ v 0 ¯ ˜ , v 1 v 0 ^ ¯ = v 1 v 0 ¯ ^ , and v 1 v 0 ^ - = v 1 ¯ v 0 ¯ ^ .
Proof. 
If v 0 = 0 , then v 1 v 0 ˜ ¯ = v 1 ¯ 1 = v 1 v 0 ¯ ˜ , v 1 v 0 ˜ - = v 1 1 = v 1 ¯ v 0 ¯ ˜ , v 1 v 0 ^ ¯ = v 1 1 = v 1 v 0 ¯ ^ , and v 1 v 0 ^ - = v 1 ¯ 1 = v 1 ¯ v 0 ¯ ^ . If v 0 = 1 , then v 1 v 0 ˜ ¯ = v 1 0 = v 1 v 0 ¯ ˜ , v 1 v 0 ˜ - = v 1 ¯ 0 = v 1 ¯ v 0 ¯ ˜ , v 1 v 0 ^ ¯ = v 1 ¯ 0 = v 1 v 0 ¯ ^ , and v 1 v 0 ^ - = v 1 0 = v 1 ¯ v 0 ¯ ^ . □
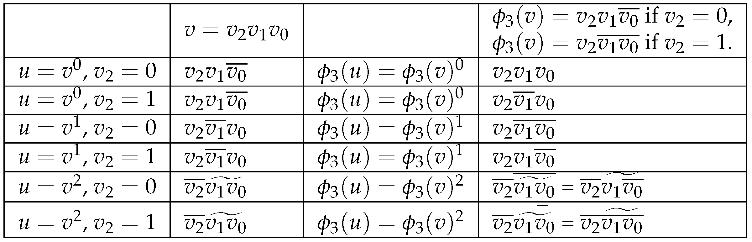
Lemma 5. 
For all vertices v V ( T C Q 3 ) , let
ϕ 3 ( v ) = v 2 v 1 v 0 ¯ i f v 2 = 0 , v 2 v 1 ¯ v 0 ¯ i f v 2 = 1 .
The function ϕ 3 ( v ) defines an automorphism of T C Q 3 .
Proof. 
To prove that ϕ 3 is an automorphism of T C Q 3 , we need to show that for each edge, u v E ( T C Q 3 ) if and only if there exists an edge ϕ 3 ( u ) ϕ 3 ( v ) E ( T C Q 3 ) . Since ϕ 3 ( v ) (= ϕ 3 1 ( v ) ) is bijective, it suffices to focus on one direction of the proof. Let v = v 2 v 1 v 0 . All possible vertices u and ϕ 3 ( u ) , corresponding to v and ϕ 3 ( v ) , are depicted in Figure 6. □
Lemma 6. 
For all vertices v V ( T C Q 4 ) , let
ϕ 4 ( v ) = v 3 v 2 v 1 v 0 ¯ i f v 3 v 2 { 00 , 11 } , v 3 v 2 v 1 ¯ v 0 ¯ i f v 3 v 2 { 01 , 10 } .
The function ϕ 4 ( v ) defines an automorphism of T C Q 4 .
Proof. 
To prove that ϕ 4 is an automorphism of T C Q 4 , we need to show that for each edge, u v E ( T C Q 4 ) if and only if there exists an edge ϕ 4 ( u ) ϕ 4 ( v ) E ( T C Q 4 ) . Since ϕ 4 ( v ) (= ϕ 4 1 ( v ) ) is bijective, it suffices to focus on one direction of the proof. Let v = v 3 v 2 v 1 v 0 . All possible vertices u and ϕ 4 ( u ) , corresponding to v and ϕ 4 ( v ) , are depicted in Figure 7. □
In the following lemmas, we define four automorphism functions of T C Q 5 and T C Q 6 : ϕ 5 a ( v ) , ϕ 5 b ( v ) , ϕ 6 a ( v ) , and ϕ 6 b ( v ) . These functions are used to map a string ending in 000 to a string ending in 101, and a string ending in 001 to a string ending in 100.
Lemma 7. 
For all vertices v V ( T C Q 5 ) , let ϕ 5 a ( v ) = w 4 w 3 w 2 w 1 w 0 , where
w 4 w 3 = v 4 v 3 ¯ i f v 4 = 1 a n d v 2 v 1 v 0 { 000 , 010 , 101 , 111 } , v 4 v 3 o t h e r w i s e , a n d w 2 w 1 w 0 = v 2 v 1 v 0 i f v 2 v 1 v 0 { 100 , 110 } , v 2 v 1 ¯ v 0 i f v 2 v 1 v 0 { 001 , 011 } , v 2 ¯ v 1 v 0 ¯ i f v 2 v 1 v 0 { 000 , 010 , 101 , 111 } .
The function ϕ 5 a ( v ) defines an automorphism of T C Q 5 .
Proof. 
To prove that ϕ 5 a is an automorphism of T C Q 5 , we need to show that for each edge, u v E ( T C Q 5 ) if and only if there exists an edge ϕ 5 a ( u ) ϕ 5 a ( v ) E ( T C Q 5 ) . Since ϕ 5 a ( v ) (= ( ϕ 5 a ) 1 ( v ) ) is bijective, it suffices to focus on one direction of the proof. Let v = v 4 v 3 v 2 v 1 v 0 . All possible vertices u and ϕ 5 a ( u ) , corresponding to v and ϕ 5 a ( v ) , are depicted in Figure 8. □
Lemma 8. 
For all vertices v V ( T C Q 5 ) , let ϕ 5 b ( v ) = w 4 w 3 w 2 w 1 w 0 , where
w 4 w 3 = v 4 v 3 ¯ i f v 4 = 1 a n d v 2 v 1 v 0 { 100 , 110 , 001 , 011 } , v 4 v 3 o t h e r w i s e , a n d w 2 w 1 w 0 = v 2 v 1 v 0 i f v 2 v 1 v 0 { 000 , 010 } , v 2 v 1 ¯ v 0 i f v 2 v 1 v 0 { 101 , 111 } , v 2 ¯ v 1 v 0 ¯ i f v 2 v 1 v 0 { 100 , 110 , 001 , 011 } .
The function ϕ 5 b ( v ) defines an automorphism of T C Q 5 .
Proof. 
To prove that ϕ 5 b is an automorphism of T C Q 5 , we need to show that for each edge, u v E ( T C Q 5 ) if and only if there exists an edge ϕ 5 b ( u ) ϕ 5 b ( v ) E ( T C Q 5 ) . Since ϕ 5 b ( v ) (= ( ϕ 5 b ) 1 ( v ) ) is bijective, it suffices to focus on one direction of the proof. Let v = v 4 v 3 v 2 v 1 v 0 . All possible vertices u and ϕ 5 b ( u ) , corresponding to v and ϕ 5 b ( v ) , are depicted in Figure 9. □
Lemma 9. 
For all vertices v V ( T C Q 6 ) , let ϕ 6 a ( v ) = v 5 w 4 w 3 w 2 w 1 w 0 , where
w 4 w 3 = v 4 v 3 ¯ i f v 5 v 4 a n d v 2 v 1 v 0 { 000 , 010 , 101 , 111 } , v 4 v 3 o t h e r w i s e , a n d w 2 w 1 w 0 = v 2 v 1 v 0 i f v 2 v 1 v 0 { 100 , 110 } , v 2 v 1 ¯ v 0 i f v 2 v 1 v 0 { 001 , 011 } , v 2 ¯ v 1 v 0 ¯ i f v 2 v 1 v 0 { 000 , 010 , 101 , 111 } .
The function ϕ 6 a ( v ) defines an automorphism of T C Q 6 .
Proof. 
To prove that ϕ 6 a is an automorphism of T C Q 6 , we need to show that for each edge, u v E ( T C Q 6 ) if and only if there exists an edge ϕ 6 a ( u ) ϕ 6 a ( v ) E ( T C Q 6 ) . Since ϕ 6 a ( v ) (= ( ϕ 6 a ) 1 ( v ) ) is bijective, it suffices to focus on one direction of the proof. Let v = v 5 v 4 v 3 v 2 v 1 v 0 . All possible vertices u and ϕ 6 a ( u ) , corresponding to v and ϕ 6 a ( v ) , are depicted in Figure 10. Note that we omit the parts of v 0 , v 1 , and v 2 that are analogous to those depicted in Figure 8. □
Lemma 10. 
For all vertices v V ( T C Q 6 ) , let ϕ 6 b ( v ) = v 5 w 4 w 3 w 2 w 1 w 0 , where
w 4 w 3 = v 4 v 3 ¯ i f v 5 v 4 a n d v 2 v 1 v 0 { 100 , 110 , 001 , 011 } , v 4 v 3 o t h e r w i s e , a n d w 2 w 1 w 0 = v 2 v 1 v 0 i f v 2 v 1 v 0 { 000 , 010 } , v 2 v 1 ¯ v 0 i f v 2 v 1 v 0 { 101 , 111 } , v 2 ¯ v 1 v 0 ¯ i f v 2 v 1 v 0 { 100 , 110 , 001 , 011 } .
The function ϕ 6 b ( v ) defines an automorphism of T C Q 6 .
Proof. 
To prove that ϕ 6 b is an automorphism of T C Q 6 , we need to show that for each edge, u v E ( T C Q 6 ) if and only if there exists an edge ϕ 6 b ( u ) ϕ 6 b ( v ) E ( T C Q 6 ) . Since ϕ 6 b ( v ) (= ( ϕ 6 b ) 1 ( v ) ) is bijective, it suffices to focus on one direction of the proof. Let v = v 5 v 4 v 3 v 2 v 1 v 0 . All possible vertices u and ϕ 6 b ( u ) , corresponding to v and ϕ 6 b ( v ) , are depicted in Figure 11. Similarly, we omit the parts of v 0 , v 1 , and v 2 that are analogous to those depicted in Figure 9. □
Lemma 11. 
O r b ( T C Q 3 ) = O r b ( T C Q 4 ) = 1 , O r b ( T C Q 5 ) = O r b ( T C Q 6 ) 2 , and O r b ( T C Q n ) 2 n 1 2 for n 7 .
Proof. 
According to Lemma 3, vertices v n 1 v n 2 v h v 0 and v n 1 v n 2 v h ¯ v 0 belong to the same orbit for odd integers h < n 1 . Applying a single automorphism ϕ halves the number of orbits while doubling the size of each orbit. Lemma 2 implies that vertices v n 1 v n 2 v 0 and v n 1 ¯ v n 2 v 0 are in the same orbit. According to Lemma 4, if n is even, vertices v n 1 v n 2 v 0 and v n 1 v n 2 ¯ v 0 are in the same orbit. Therefore, the total number of orbits in T C Q n is at most 2 n 1 2 .
Now, we can partition the vertex sets of T C Q n as follows: (1) V ( T C Q 3 ) into two groups, 0 and 1 ; (2) V ( T C Q 4 ) into two groups, 0 and 1 ; (3) V ( T C Q 5 ) into four groups, 0 0 , 0 1 , 1 0 , and 1 1 ; and (4) V ( T C Q 6 ) into four groups, 0 0 , 0 1 , 1 0 , and 1 1 . According to Lemmas 5 and 6, vertices 000 and 001, 0000, and 0001 belong to the same orbit. Lemmas 7 and 8 imply that 00000 and 00101, as well as 00001 and 00100, are in the same orbit. Similarly, Lemmas 9 and 10 show that 000000 and 000101, and 000001 and 000100, are in the same orbit. Therefore, O r b ( T C Q 3 ) = O r b ( T C Q 4 ) = 1 and O r b ( T C Q 5 ) = O r b ( T C Q 6 ) 2 . □

2.2. The Lower Bound of O r b ( T C Q n )

For any vertex v V ( T C Q n ) , we discuss the shortest path from v i to v j that does not pass through v, where 0 i < j n 1 . Let d v ( i , j ) denote the shortest distance between v i and v j that does not pass through v.
Proposition 3. 
v 1 v 0 ¯ ˜ ¯ = v 1 v 0 ˜ and v 1 v 0 ¯ ^ ¯ = v 1 v 0 ^ .
Proof. 
If v 0 = 0 , then v 1 v 0 ¯ ˜ ¯ = v 1 ¯ 1 ¯ = v 1 0 , v 1 v 0 ˜ = v 1 0 , v 1 v 0 ¯ ^ ¯ = v 1 1 ¯ = v 1 ¯ 0 , and v 1 v 0 ^ = v 1 ¯ 0 . If v 0 = 1 , then v 1 v 0 ¯ ˜ ¯ = v 1 0 ¯ = v 1 ¯ 1 , v 1 v 0 ˜ = v 1 ¯ 1 , v 1 v 0 ¯ ^ ¯ = v 1 ¯ 0 ¯ = v 1 1 , and v 1 v 0 ^ = v 1 1 . □
Lemma 12. 
For any vertex v = v n 1 v 0 V ( T C Q n ) with n 5 , d v ( 0 , 1 ) = 2 and d v ( 0 , j ) = 3 for 1 < j n 1 .
Proof. 
The shortest paths from v 0 to v j for 0 < j n 1 are shown in Figure 12. □
Proposition 4. 
v 1 ¯ v 0 ˜ - = v 1 v 0 ˜ and v 1 ¯ v 0 ^ - = v 1 v 0 ^ .
Proof. 
If v 0 = 0 , then v 1 ¯ v 0 ˜ - = v 1 0 = v 1 v 0 ˜ and v 1 ¯ v 0 ^ - = v 1 ¯ 0 = v 1 v 0 ^ . If v 0 = 1 , then v 1 ¯ v 0 ˜ - = v 1 ¯ 1 = v 1 v 0 ˜ and v 1 ¯ v 0 ^ - = v 1 1 = v 1 v 0 ^ . □
Lemma 13. 
For any vertex v = v n 1 v 0 V ( T C Q n ) with n 5 , d v ( 1 , j ) = 2 for 1 < j n 1 .
Proof. 
The shortest paths from v 1 to v j for 1 < j n 1 are shown in Figure 13. □
Proposition 5. 
v 1 v 0 ˜ ^ ˜ - = v 1 v 0 ˜ and v 1 v 0 ˜ ˜ ˜ - = v 1 v 0 ^ .
Proof. 
If v 0 = 0 , then v 1 v 0 ˜ ^ ˜ - = v 1 ¯ 0 ˜ - = v 1 0 = v 1 v 0 ˜ and v 1 v 0 ˜ ˜ ˜ - = v 1 ¯ 0 = v 1 v 0 ^ . If v 0 = 1 , then v 1 v 0 ˜ ^ ˜ - = v 1 ¯ 1 ˜ - = v 1 ¯ 1 = v 1 v 0 ˜ and v 1 v 0 ˜ ˜ ˜ - = v 1 1 = v 1 v 0 ^ . □
Proposition 6. 
v 1 0 ˜ ^ ^ ˜ = v 1 0 ˜ ^ ˜ ^ = v 1 0 ˜ , v 1 1 ˜ ^ ˜ ˜ = v 1 1 ˜ , v 1 0 ˜ ˜ ^ ˜ = v 1 0 ˜ ˜ ˜ ^ = v 1 0 ^ , and v 1 1 ˜ ˜ ˜ ˜ = v 1 1 ^ .
Lemma 14. 
For any vertex v = v n 1 v 0 V ( T C Q n ) with n 5 , d v ( 2 , j ) = 3 for 2 < j n 1 .
Proof. 
The shortest paths from v 2 to v j for 2 < j n 1 are shown in Figure 14. □
Proposition 7. 
v 1 v 0 ^ ˜ ^ = v 1 v 0 ˜ , v 1 v 0 ˜ ^ ˜ = v 1 v 0 ^ , and v 1 v 0 ^ ^ ^ = v 1 v 0 ^ .
Proof. 
If v 0 = 0 , then v 1 0 ^ ˜ ^ = v 1 0 = v 1 0 ˜ , v 1 0 ˜ ^ ˜ = v 1 ¯ 0 = v 1 0 ^ , and v 1 0 ^ ^ ^ = v 1 ¯ 0 = v 1 0 ^ . If v 0 = 1 , then v 1 1 ^ ˜ ^ = v 1 ¯ 1 = v 1 1 ˜ , v 1 1 ˜ ^ ˜ = v 1 1 = v 1 1 ^ , and v 1 1 ^ ^ ^ = v 1 1 = v 1 1 ^ . □
Lemma 15. 
For any vertex v = v n 1 v 0 V ( T C Q n ) with n 5 , d v ( 3 , j ) = 2 for 3 < j n 1 .
Proof. 
The shortest paths from v 3 to v j for 3 < j n 1 are shown in Figure 15. □
Lemma 16. 
For any vertex v = v n 1 v 0 V ( T C Q n ) with n 7 , even i 4 , and i + 1 < j n 1 . Let p be the largest position such that p is even, v p = 1 , and 0 < p < i . Then,
I f   θ i = 0 , d v ( i , j ) = 3 i f ( ( v i = 0 , v 0 = 0 ) o r ( v i = 1 , v 0 = 1 ) ) a n d p d o e s n o t e x i s t , 4 i f ( ( v i = 0 , v 0 = 1 ) o r ( v i = 1 , v 0 = 0 ) ) a n d p d o e s n o t e x i s t , 4 i f p e x i s t .
I f   θ i = 1 , d v ( i , j ) = 4 .
Proof. 
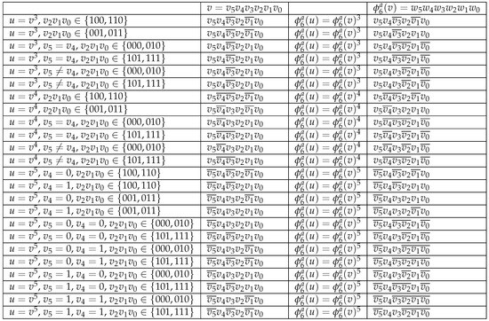
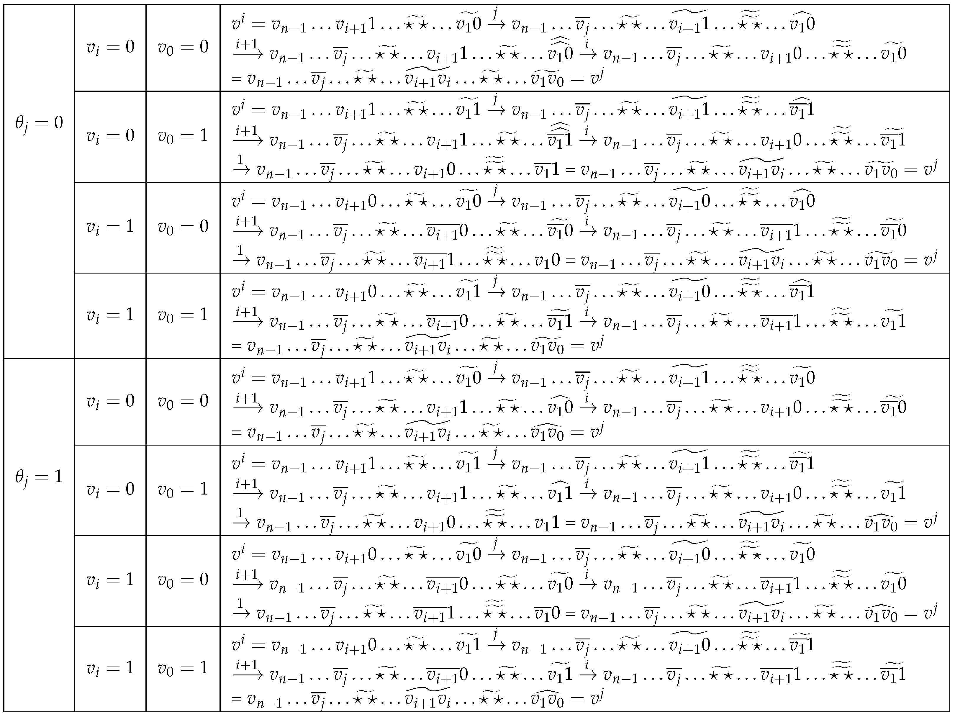
If θ j = 0 , v j = v n 1 v j ¯ v i + 1 v i ˜ v 1 v 0 ˜ ; otherwise, v j = v n 1 v j ¯ v i + 1 v i ˜ v 1 v 0 ^ . Assume that θ i = 0 , v i = v n 1 v i + 1 v i ¯ v 1 v 0 ˜ . If no such p exists, then the shortest paths from v i to v j are shown in Figure 16; otherwise, please see Figure 17. Note that ★ could be an empty character in this lemma.
In the case that θ i = 1 , p must exist and v i = v n 1 v i + 1 v i ¯ v 1 v 0 ^ . The shortest paths from v i to v j are shown in Figure 18. □
Lemma 17. 
For any vertex v = v n 1 v 0 V ( T C Q n ) with n 5 , even i 4 and j = i + 1 , d v ( i , j ) = 3 .
Proof. 
If θ i = 0 and v i = 0 , then v i = v n 1 v j v i ¯ v 1 v 0 ˜ and v j = v n 1 v j ¯ v i v 1 v 0 ˜ . The shortest path from v i to v j is v i = v n 1 v j v i ¯ v 1 v 0 ˜ j v n 1 v j ¯ v i ¯ v 1 v 0 ˜ ^ i v n 1 v j ¯ v i v 1 v 0 ˜ ^ ˜ 1 v n 1 v j ¯ v i v 1 v 0 ˜ ^ ˜ - = v n 1 v j ¯ v i v 1 v 0 ˜ = v i .
If θ i = 0 and v i = 1 , then v i = v n 1 v j v i ¯ v 1 v 0 ˜ and v j = v n 1 v j ¯ v i v 1 v 0 ^ . The shortest path from v i to v j is v i = v n 1 v j v i ¯ v 1 v 0 ˜ j v n 1 v j ¯ v i ¯ v 1 v 0 ˜ ˜ i v n 1 v j ¯ v i v 1 v 0 ˜ ˜ ˜ 1 v n 1 v j ¯ v i v 1 v 0 ˜ - = v n 1 v j ¯ v i v 1 v 0 ^ = v i .
If θ i = 1 and v i = 0 , then v i = v n 1 v j v i ¯ v 1 v 0 ^ and v j = v n 1 v j ¯ v i v 1 v 0 ^ . The shortest path from v i to v j is v i = v n 1 v j v i ¯ v 1 v 0 ^ j v n 1 v j ¯ v i ¯ v 1 v 0 ^ ˜ i v n 1 v j ¯ v i v 1 v 0 ^ ˜ ^ 1 v n 1 v j ¯ v i v 1 v 0 ^ ˜ ^ - = v n 1 v j ¯ v i v 1 v 0 ^ = v i .
If θ i = 1 and v i = 1 , then v i = v n 1 v j v i ¯ v 1 v 0 ^ and v j = v n 1 v j ¯ v i v 1 v 0 ˜ . The shortest path from v i to v j is v i = v n 1 v j v i ¯ v 1 v 0 ^ j v n 1 v j ¯ v i ¯ v 1 v 0 ^ ^ i v n 1 v j ¯ v i v 1 v 0 ^ ^ ^ 1 v n 1 v j ¯ v i v 1 v 0 ^ - = v n 1 v j ¯ v i v 1 v 0 ˜ = v i . □
Lemma 18. 
For any vertex v = v n 1 v 0 V ( T C Q n ) with n 5 , i is odd, and 5 i < j n 1 , d v ( i , j ) = 2 .
Proof. 
Assume that θ i = 0 , v i = v n 1 v i ¯ v i 1 v 1 v 0 ˜ . If θ j = 0 , then v j = v n 1 v j ¯ v i v i 1 ˜ v 1 v 0 ˜ . The shortest path from v i to v j is v i = v n 1 v i ¯ v i 1 v 1 v 0 ˜ j v n 1 v j ¯ v i ¯ v i 1 ˜ v 1 v 0 ˜ ˜ i v n 1 v j ¯ v i ¯ v i 1 ˜ - v 1 v 0 ˜ = v n 1 v j ¯ v i v i 1 ˜ v 1 v 0 ˜ = v j . If θ j = 1 , then v j = v n 1 v j ¯ v i v i 1 ˜ v 1 v 0 ^ . The shortest path from v i to v j is v i = v n 1 v i ¯ v i 1 v 1 v 0 ˜ j v n 1 v j ¯ v i ¯ v i 1 ˜ v 1 v 0 ˜ ^ i v n 1 v j ¯ v i ¯ v i 1 ˜ - v 1 ¯ v 0 ˜ = v n 1 v j ¯ v i + 1 v i ˜ v 1 v 0 ^ = v j .
In the case that θ i = 1 , v i = v n 1 v i ¯ v i 1 v 1 v 0 ^ . If θ j = 0 , then v j = v n 1 v j ¯ v i v i 1 ˜ v 1 v 0 ˜ . The shortest path from v i to v j is v i = v n 1 v i ¯ v i 1 v 1 v 0 ^ j v n 1 v j ¯ v i ¯ v i 1 ˜ v 1 v 0 ^ ˜ i v n 1 v j ¯ v i ¯ v i 1 ˜ - v 1 ¯ v 0 ^ = v n 1 v j ¯ v i v i 1 ˜ v 1 v 0 ˜ = v j . If θ j = 1 , then v j = v n 1 v j ¯ v i v i 1 ˜ v 1 v 0 ^ . The shortest path from v i to v j is v i = v n 1 v i ¯ v i 1 v 1 v 0 ^ j v n 1 v j ¯ v i ¯ v i 1 ˜ v 1 v 0 ^ ^ i v n 1 v j ¯ v i ¯ v i 1 ˜ - v 1 v 0 ^ = v n 1 v j ¯ v i v i 1 ˜ v 1 v 0 ^ = v j . □
For example, for any vertex v V ( T C Q 7 ) , Lemma 12 ensures that d v ( 0 , 1 ) = 2 and d v ( 0 , i ) = 3 for 1 < j n 1 . Lemmas 13–15 imply that d v ( 1 , j ) = 2 for 1 < j n 1 , d v ( 2 , j ) = 3 for 2 < j n 1 , and d v ( 3 , j ) = 2 for 3 < j n 1 . Lemmas 17 and 18 establish that d v ( i , j ) = 3 for even i 4 and j = i + 1 , and d v ( i , j ) = 2 for odd i and 5 i < j n 1 . Finally, Lemma 16 distinguishes the shortest paths for even i 4 and i + 1 < j n 1 . As illustrated in Figure 19, we use solid lines, dashed lines, and thick lines to represent distances of 2, 3, and 4, respectively. Figure 19a,b show the shortest paths between the neighbors of vertices 00000000 and 00000100, excluding the vertices themselves.
Lemma 19. 
Let ϕ be an automorphism of T C Q n for n 5 . If ϕ ( v ) = u for v , u V ( T C Q n ) , then we have either ϕ ( v 0 ) = u 0 and ϕ ( v 2 ) = u 2 or ϕ ( v 0 ) = u 2 and ϕ ( v 2 ) = u 0 .
Proof. 
For any vertex v V ( T C Q n ) , consider the shortest paths between its neighbors. Lemmas 12–18 establish that vertices v 0 and v 2 are the only neighbors of v with a single 2-distance path and ( n 2 ) 3-distance paths to other neighbors. Thus, this lemma holds. □
Lemma 20. 
Let ϕ be an automorphism of T C Q n for odd n 5 . If ϕ ( v ) = u for v , u V ( T C Q n ) , then we have either ϕ ( v n 1 ) = u n 1 and ϕ ( v n 2 ) = u n 2 or ϕ ( v n 1 ) = u n 2 and ϕ ( v n 2 ) = u n 1 .
Proof. 
Since n is odd, Lemmas 13, 15, and 18 imply that there are n 1 2 neighbors of v at a distance of 2 from both v n 1 and v n 2 , and these neighbors are distinct from the others. Therefore, if ϕ ( v ) = u for v , u V ( T C Q n ) , then either ϕ ( v n 1 ) = u n 1 and ϕ ( v n 2 ) = u n 2 , or ϕ ( v n 1 ) = u n 2 and ϕ ( v n 2 ) = u n 1 . □
Lemma 21. 
Let ϕ be an automorphism of T C Q n for n 5 . If ϕ ( v ) = u for v , u V ( T C Q n ) , then
1. 
ϕ ( v i ) = u i for i is odd when n is even;
2. 
ϕ ( v i ) = u i for i > 2 is even when n is even;
3. 
ϕ ( v i ) = u i for i < n 2 is odd when n is odd;
4. 
ϕ ( v i ) = u i for 2 < i < n 2 is even when n is odd.
Proof. 
For any vertex v V ( T C Q n ) , consider the shortest paths between the neighbors of v. Lemmas 12 and 13 imply that n 1 neighbors of v have a distance of 2 from vertex v 1 . Lemmas 13 and 15 show that n 3 neighbors of v have a distance of 2 from vertex v 3 . Lemmas 13, 15, and 18 establish that k 1 2 + ( n 1 k ) neighbors of v have a distance of 2 from vertex v k for odd k > 3 . Since all other distances are at least 3, these odd neighbors are distinct. Therefore, if ϕ ( v ) = u for v , u V ( T C Q n ) , then ϕ ( v i ) = u i for all i is odd. Similarly, the numbers of 2-distance paths from v i , for even i > 2 , to other neighbors are distinct. □
Proposition 8. 
v i + 1 v i ¯ ˜ - = v i + 1 ¯ v i ˜
Proof. 
If v i = 0 , then v i + 1 v i ¯ ˜ - = v i + 1 ¯ 0 = v i + 1 ¯ v i ˜ ; otherwise, v i + 1 v i ¯ ˜ - = v i + 1 1 = v i + 1 ¯ v i ˜ . □
Lemma 22. 
For n 5 , vertices v = v n 1 v 1 0 and u = v n 1 v 1 1 are in different orbits.
Proof. 
Assume there exists an automorphism ϕ such that ϕ ( v ) = u . Lemma 21 implies that ϕ ( ( v n 3 ) n 1 ) = ( u n 3 ) n 1 and ϕ ( ( ( v n 4 ) n 1 ) n 4 ) = ( ( u n 4 ) n 1 ) n 4 for even n, and either ϕ ( ( v n 2 ) n 1 ) = ( u n 2 ) n 1 and ϕ ( ( ( v n 3 ) n 1 ) n 3 ) = ( ( u n 3 ) n 1 ) n 3 or ϕ ( ( v n 2 ) n 1 ) = ( u n 1 ) n 2 and ϕ ( ( ( v n 3 ) n 1 ) n 3 ) = ( ( u n 3 ) n 2 ) n 3 for odd n.
For even n, we have ( v n 3 ) n 1 = v n 1 ¯ v n 2 v n 3 ¯ v n 4 ˜ v 1 0 and ( u n 3 ) n 1 = v n 1 ¯ v n 2 v n 3 ¯ v n 4 ˜ v 1 1 when θ n 1 v = θ n 4 v v n 4 , and ( v n 3 ) n 1 = v n 1 ¯ v n 2 v n 3 ¯ v n 4 ˜ v 1 ¯ 0 and ( u n 3 ) n 1 = v n 1 ¯ v n 2 v n 3 ¯ v n 4 ˜ v 1 ¯ 1 when θ n 1 v θ n 4 v v n 4 . Figure 20 shows that ( ( u n 4 ) n 1 ) n 4 = ( u n 3 ) n 1 = ϕ ( ( v n 3 ) n 1 ) ϕ ( ( ( v n 4 ) n 1 ) n 4 ) when ( θ n 1 v , θ n 4 v , v n 4 ) { 000 , 011 , 100 , 111 } and ϕ ( ( ( v n 4 ) n 1 ) n 4 ) = ϕ ( ( v n 3 ) n 1 ) = ( u n 3 ) n 1 ( ( u n 4 ) n 1 ) n 4 when ( θ n 1 v , θ n 4 v , v n 4 ) { 001 , 010 , 101 , 110 } .
For odd n, since ( u n 1 ) n 2 ( ( u n 3 ) n 2 ) n 3 , we consider the case that ϕ ( ( v n 2 ) n 1 ) = ( u n 2 ) n 1 and ϕ ( ( ( v n 3 ) n 1 ) n 3 ) = ( ( u n 3 ) n 1 ) n 3 . We have ( v n 2 ) n 1 = v n 1 ¯ v n 2 ¯ v n 3 ˜ v 1 0 and ( u n 2 ) n 1 = v n 1 ¯ v n 2 ¯ v n 3 ˜ v 1 1 . Figure 21 represents ϕ ( ( ( v n 3 ) n 1 ) n 3 ) = ϕ ( ( v n 2 ) n 1 ) = ( u n 2 ) n 1 ( ( u n 3 ) n 1 ) n 3 when θ n 3 v v n 3 = 1 and ( ( u n 3 ) n 1 ) n 3 = ( u n 2 ) n 1 = ϕ ( ( v n 2 ) n 1 ) ϕ ( ( ( v n 3 ) n 1 ) n 3 ) when θ n 3 v v n 3 = 0 . These contradictions imply that no automorphism ϕ can map v to u, and therefore, vertices v and u are in different orbits. □
Lemma 23. 
For n 7 , vertices v = v n 1 0 v 3 0 v 1 1 and u = v n 1 0 v 3 1 v 1 1 are in different orbits.
Proof. 
Assume there exists an automorphism ϕ such that ϕ ( v ) = u . Lemma 21 implies that ϕ ( v 3 ) = u 3 and ϕ ( v 5 ) = u 5 . Applying Lemma 19, we determine that ϕ ( ( ( ( v 3 ) 2 ) 5 ) 2 ) is equal to ( ( ( u 3 ) 2 ) 5 ) 2 , ( ( ( u 3 ) 0 ) 5 ) 2 , ( ( ( u 3 ) 2 ) 5 ) 0 , or ( ( ( u 3 ) 0 ) 5 ) 0 . Figure 22 represents ( ( ( v 3 ) 2 ) 5 ) 2 , ( ( ( u 3 ) 2 ) 5 ) 2 , ( ( ( u 3 ) 0 ) 5 ) 2 , ( ( ( u 3 ) 2 ) 5 ) 0 , and ( ( ( u 3 ) 0 ) 5 ) 0 . Thus, ϕ ( ( ( ( v 3 ) 2 ) 5 ) 2 ) = ϕ ( v 5 ) = u 5 { ( ( ( u 3 ) 2 ) 5 ) 2 , ( ( ( u 3 ) 0 ) 5 ) 2 , ( ( ( u 3 ) 2 ) 5 ) 0 , ( ( ( u 3 ) 0 ) 5 ) 0 } . Therefore, vertices v = v n 1 0 v 3 0 v 1 1 and u = v n 1 0 v 3 1 v 1 1 are in different orbits. □
Lemma 24. 
For n 7 , vertices v = v n 1 1 v 3 0 v 1 0 and u = v n 1 1 v 3 1 v 1 0 are in different orbits.
Proof. 
Assume there exists an automorphism ϕ such that ϕ ( v ) = u . Lemma 21 implies that ϕ ( v 6 ) = u 6 and ϕ ( ( ( ( ( v 4 ) 6 ) 5 ) 4 ) 1 ) = ( ( ( ( u 4 ) 6 ) 5 ) 4 ) 1 . Figure 23 represents ( ( ( ( v 4 ) 6 ) 5 ) 4 ) 1 and ( ( ( ( u 4 ) 6 ) 5 ) 4 ) 1 . Thus, ϕ ( ( ( ( ( v 4 ) 6 ) 5 ) 4 ) 1 ) = ϕ ( v 6 ) = u 6 ( ( ( ( u 4 ) 6 ) 5 ) 4 ) 1 . Therefore, vertices v = v n 1 1 v 3 0 v 1 0 and u = v n 1 1 v 3 1 v 1 0 are in different orbits. □
Lemma 25. 
For n 7 , vertices v = v n 1 v 3 0 v 1 v 0 and u = v n 1 v 3 1 v 1 v 0 are in different orbits.
Proof. 
We consider the following four cases: (1) v 4 = 0 and v 0 = 0 , (2) v 4 = 0 and v 0 = 1 , (3) v 4 = 1 and v 0 = 0 , and (4) v 4 = 1 and v 0 = 1 . According to Lemma 16, d v ( 4 , 6 ) = 3 and d u ( 4 , 6 ) = 4 in case 1, d v ( 4 , 6 ) = 4 and d u ( 4 , 6 ) = 4 in case 2, d v ( 4 , 6 ) = 4 and d u ( 4 , 6 ) = 4 in case 3, and d v ( 4 , 6 ) = 3 and d u ( 4 , 6 ) = 4 in case 4. Since d v ( 4 , 6 ) d u ( 4 , 6 ) in cases 1 and 4, vertices v and u are in different orbits. According to Lemmas 23 and 24, vertices v and u are in different orbits in cases 2 and 3, respectively. □
Lemma 26. 
For n 7 , vertices v = v n 1 v j + 1 0 v j 1 v 0 and u = v n 1 v j + 1 1 v j 1 v 0 are in different orbits, where 2 < j < n 2 is even.
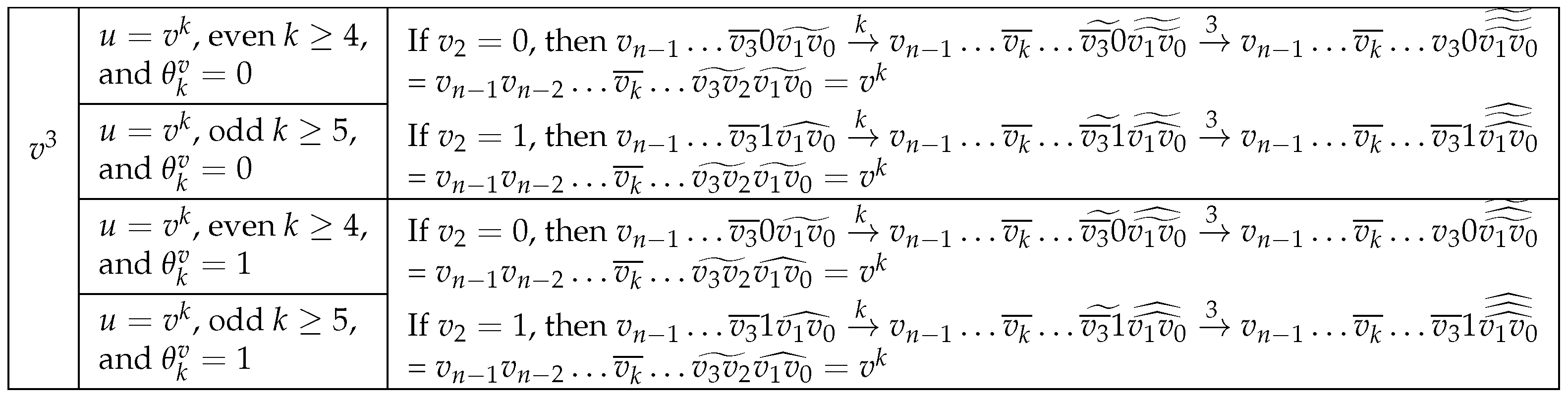
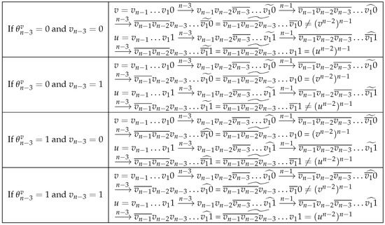
Proof. 
Let p be the largest even position such that 0 < p < i and v p = 1 . If no such p exists, Lemma 16 implies that d v ( i , i + 2 ) d u ( i , i + 2 ) , and therefore, vertices v and u are in different orbits. Conversely, Lemma 21 implies that ϕ ( ( ( ( ( v i ) i + 2 ) i + 1 ) i ) p + 1 ) = ( ( ( ( u i ) i + 2 ) i + 1 ) i ) p + 1 .
Figure 24 for θ i = 0 (or Figure 25 for θ i = 1 ) shows that ( ( ( ( v i ) i + 2 ) i + 1 ) i ) p + 1 for all possible v i and v 0 . Note that when θ i = 0 , ( ( ( v i ) i + 2 ) i + 1 ) i can be found in Figure 16. Consequently, ϕ ( ( ( ( ( v i ) i + 2 ) i + 1 ) i ) p + 1 ) = ϕ ( v i + 2 ) = u i + 2 ( ( ( ( u i ) i + 2 ) i + 1 ) i ) p + 1 . □
Lemma 27. 
O r b ( T C Q 5 ) 2 , O r b ( T C Q 6 ) 2 , and O r b ( T C Q n ) 2 n 1 2 for n 7 .
Proof. 
As shown in Lemma 22, O r b ( T C Q 5 ) 2 , and O r b ( T C Q 6 ) 2 . Lemmas 22, 25, and 26 imply that O r b ( T C Q n ) 2 n 1 2 for n 7 . □
Theorem 1. 
O r b ( F C Q n ) = 1 i f n 4 2 i f n = 5 , 6 2 n 1 2 i f n 7 .
Proof. 
According to Lemmas 1, 11, and 27, this theorem holds. □

3. Conclusions

Liu, Lan, Chou, and Chen [3] demonstrated that O r b ( L T C Q n ) = 2 for n 4 . Shiau, Wang, and Pai [5] proved that O r b ( C Q n ) = 2 n 2 2 for n 3 . Liu [7] established that O r b ( F C Q n ) = 2 n 2 1 for odd n 3 and O r b ( F C Q n ) = 2 n 2 2 for even n 6 . In this paper, we show that O r b ( T C Q n ) = 1 if n 4 , O r b ( T C Q 5 ) = O r b ( T C Q 6 ) = 2 and O r b ( T C Q n ) = 2 n 1 2 if n 7 . Future research could focus on determining the orbit numbers of other hypercube-like interconnection networks, such as extended crossed cubes, extended folded cubes, and m o ¨ bius cubes.

Funding

This research received no external funding.

Data Availability Statement

No data were used for the research described in this article.

Acknowledgments

The author would like to thank the anonymous reviewers and the editor for their careful reviews and constructive suggestions to help us improve the quality of this paper.

Conflicts of Interest

The author declares that they have no conflicts of interest.

References

  1. Efe, K. A variation on the hypercube with lower diameter. IEEE Trans. Comput. 1991, 40, 1312–1316. [Google Scholar] [CrossRef]
  2. Efe, K. The crossed cube architecture for parallel computation. IEEE Trans. Parallel Distrib. Syst. 1992, 3, 513–524. [Google Scholar] [CrossRef]
  3. Liu, Y.-J.; Lan, J.K.; Chou, W.Y.; Chen, C. Constructing independent spanning trees for locally twisted cubes. Theor. Comput. Sci. 2011, 412, 2237–2252. [Google Scholar] [CrossRef]
  4. Kulasinghe, P.; Bettayeb, S. Multiply-twisted hypercube with five or more dimensions is not vertex-transitive. Inf. Process. Lett. 1995, 53, 33–36. [Google Scholar] [CrossRef]
  5. Shiau, T.-H.; Wang, Y.-L.; Pai, K.-J. The orbits of Crossed Cubes. Available online: https://scirate.com/arxiv/1707.06763 (accessed on 24 July 2017).
  6. Frucht, R. Herstellung von Graphen mit vorgegebener abstrakter Gruppe. Compos. Math. 1939, 6, 239–250. [Google Scholar]
  7. Liu, J.J. The Orbits of Folded Crossed Cubes. Comput. J. 2024, 67, 1719–1726. [Google Scholar] [CrossRef]
  8. Wang, D.; Zhao, L. The twisted-cube connected networks. J. Comput. Sci. Technol. 1999, 2, 181–187. [Google Scholar] [CrossRef]
  9. Fan, J.; Lin, X.; Pan, Y.; Jia, X. Optimal fault-tolerent embedding of paths in twisted cubes. J. Parallel Distrib. Comput. 2007, 67, 205–214. [Google Scholar] [CrossRef]
  10. Fan, J.; Jia, X.; Lin, X. Embedding of cycles in twisted cubes with edge-pancyclic. Algorithmica 2008, 51, 264–282. [Google Scholar] [CrossRef]
  11. Lai, C.-J.; Tsai, C.-H. Embedding a family of meshes into twisted cubes. Inf. Process. Lett. 2008, 108, 326–330. [Google Scholar] [CrossRef]
  12. Lin, M.-S.; Chang, M.-S.; Chen, D.-J. Efficient algorithms for reliability analysis of distributed computing systems. Inf. Sci. 1999, 117, 89–106. [Google Scholar] [CrossRef]
  13. Li, X.; Lu, L.; Zhou, S. Conditional diagnosability of twisted cube connected networks, In Proceedings of International Conference on Computer Science and Information Technology. Advances in Intelligent Systems and Computing, Kunming, China, 27–28 December 2014; Springer: New Delhi, India, 2014. [Google Scholar]
  14. Wang, D.; Liu, Y. Almost Pancyclic Property of the Twisted-Cube Connected Network. Chin. J. Northeast. Univ. (Nat. Sci.) 1999, 20, 12–14. [Google Scholar]
  15. Wang, Y.; Zhou, J.F.G.; Jia, X. Independent spanning trees on twisted cubes. J. Parallel Distrib. Comput. 2012, 72, 58–69. [Google Scholar] [CrossRef]
  16. Guo, L. Reliability analysis of twisted cubes. Theor. Comput. Sci. 2018, 707, 96–101. [Google Scholar] [CrossRef]
  17. Wang, X.; Liang, J.; Qi, D.; Lin, W. The twisted crossed cube. Concurr. Comput. Pract. Exp. 2016, 28, 1507–1526. [Google Scholar] [CrossRef]
Figure 1. The twisted crossed cubes T C Q 1 , T C Q 2 , and T C Q 3 .
Figure 1. The twisted crossed cubes T C Q 1 , T C Q 2 , and T C Q 3 .
Mathematics 12 03928 g001
Figure 2. The twisted crossed cubes T C Q 4 and T C Q 5 .
Figure 2. The twisted crossed cubes T C Q 4 and T C Q 5 .
Mathematics 12 03928 g002
Figure 3. All possible vertices u and ϕ ( u ) with respect to v and ϕ ( v ) , where ϕ ( v ) = f n 1 ( v ) .
Figure 3. All possible vertices u and ϕ ( u ) with respect to v and ϕ ( v ) , where ϕ ( v ) = f n 1 ( v ) .
Mathematics 12 03928 g003
Figure 4. All possible vertices u and ϕ ( u ) with respect to v and ϕ ( v ) , where ϕ ( v ) = f h ( v ) for h < n 1 is odd.
Figure 4. All possible vertices u and ϕ ( u ) with respect to v and ϕ ( v ) , where ϕ ( v ) = f h ( v ) for h < n 1 is odd.
Mathematics 12 03928 g004
Figure 5. All possible vertices u and ϕ ( u ) with respect to v and ϕ ( v ) , where ϕ ( v ) = f h ( v ) for h = n 2 is even.
Figure 5. All possible vertices u and ϕ ( u ) with respect to v and ϕ ( v ) , where ϕ ( v ) = f h ( v ) for h = n 2 is even.
Mathematics 12 03928 g005
Figure 6. All possible vertices u and ϕ 3 ( u ) with respect to v and ϕ 3 ( v ) .
Figure 6. All possible vertices u and ϕ 3 ( u ) with respect to v and ϕ 3 ( v ) .
Mathematics 12 03928 g006
Figure 7. All possible vertices u and ϕ 4 ( u ) with respect to v and ϕ 4 ( v ) .
Figure 7. All possible vertices u and ϕ 4 ( u ) with respect to v and ϕ 4 ( v ) .
Mathematics 12 03928 g007
Figure 8. All possible vertices u and ϕ 5 a ( u ) with respect to v and ϕ 5 a ( v ) .
Figure 8. All possible vertices u and ϕ 5 a ( u ) with respect to v and ϕ 5 a ( v ) .
Mathematics 12 03928 g008
Figure 9. All possible vertices u and ϕ 5 b ( u ) with respect to v and ϕ 5 b ( v ) .
Figure 9. All possible vertices u and ϕ 5 b ( u ) with respect to v and ϕ 5 b ( v ) .
Mathematics 12 03928 g009
Figure 10. All possible vertices u and ϕ 6 a ( u ) with respect to v and ϕ 6 a ( v ) .
Figure 10. All possible vertices u and ϕ 6 a ( u ) with respect to v and ϕ 6 a ( v ) .
Mathematics 12 03928 g010
Figure 11. All possible vertices u and ϕ 6 b ( u ) with respect to v and ϕ 6 b ( v ) .
Figure 11. All possible vertices u and ϕ 6 b ( u ) with respect to v and ϕ 6 b ( v ) .
Mathematics 12 03928 g011
Figure 12. The shortest paths from v 0 to v j , where 0 < j n 1 .
Figure 12. The shortest paths from v 0 to v j , where 0 < j n 1 .
Mathematics 12 03928 g012
Figure 13. The shortest paths from v 1 to v j , where 1 < j n 1 .
Figure 13. The shortest paths from v 1 to v j , where 1 < j n 1 .
Mathematics 12 03928 g013
Figure 14. The shortest paths from v 2 to v j , where 2 < j n 1 .
Figure 14. The shortest paths from v 2 to v j , where 2 < j n 1 .
Mathematics 12 03928 g014
Figure 15. The shortest paths from v 3 to v j , where 3 < j n 1 .
Figure 15. The shortest paths from v 3 to v j , where 3 < j n 1 .
Mathematics 12 03928 g015
Figure 16. The shortest paths from v i to v j when θ i = 0 .
Figure 16. The shortest paths from v i to v j when θ i = 0 .
Mathematics 12 03928 g016
Figure 17. The shortest paths from v i to v j when θ i = 0 .
Figure 17. The shortest paths from v i to v j when θ i = 0 .
Mathematics 12 03928 g017
Figure 18. The shortest paths from v i to v j when θ i = 1 .
Figure 18. The shortest paths from v i to v j when θ i = 1 .
Mathematics 12 03928 g018
Figure 19. The shortest paths between the neighbors of vertices 00000000 and 00000100, excluding the vertices themselves. (a) The shortest paths between the neighbors of vertex 00000000. (b) The shortest paths between the neighbors of vertex 00000100.
Figure 19. The shortest paths between the neighbors of vertices 00000000 and 00000100, excluding the vertices themselves. (a) The shortest paths between the neighbors of vertex 00000000. (b) The shortest paths between the neighbors of vertex 00000100.
Mathematics 12 03928 g019
Figure 20. ( ( v n 4 ) n 1 ) n 4 and ( ( u n 4 ) n 1 ) n 4 .
Figure 20. ( ( v n 4 ) n 1 ) n 4 and ( ( u n 4 ) n 1 ) n 4 .
Mathematics 12 03928 g020
Figure 21. ( ( v n 3 ) n 2 ) n 3 and ( ( u n 3 ) n 2 ) n 3 .
Figure 21. ( ( v n 3 ) n 2 ) n 3 and ( ( u n 3 ) n 2 ) n 3 .
Mathematics 12 03928 g021
Figure 22. ( ( ( v 3 ) 2 ) 5 ) 2 , ( ( ( u 3 ) 2 ) 5 ) 2 , ( ( ( u 3 ) 0 ) 5 ) 2 , ( ( ( u 3 ) 2 ) 5 ) 0 , and ( ( ( u 3 ) 0 ) 5 ) 0 .
Figure 22. ( ( ( v 3 ) 2 ) 5 ) 2 , ( ( ( u 3 ) 2 ) 5 ) 2 , ( ( ( u 3 ) 0 ) 5 ) 2 , ( ( ( u 3 ) 2 ) 5 ) 0 , and ( ( ( u 3 ) 0 ) 5 ) 0 .
Mathematics 12 03928 g022
Figure 23. ( ( ( ( v 4 ) 6 ) 5 ) 4 ) 1 and ( ( ( ( u 4 ) 6 ) 5 ) 4 ) 1 .
Figure 23. ( ( ( ( v 4 ) 6 ) 5 ) 4 ) 1 and ( ( ( ( u 4 ) 6 ) 5 ) 4 ) 1 .
Mathematics 12 03928 g023
Figure 24. The shortest paths from v i to v j when θ i = 0 .
Figure 24. The shortest paths from v i to v j when θ i = 0 .
Mathematics 12 03928 g024
Figure 25. The shortest paths from v i to v j when θ i = 1 .
Figure 25. The shortest paths from v i to v j when θ i = 1 .
Mathematics 12 03928 g025
Disclaimer/Publisher’s Note: The statements, opinions and data contained in all publications are solely those of the individual author(s) and contributor(s) and not of MDPI and/or the editor(s). MDPI and/or the editor(s) disclaim responsibility for any injury to people or property resulting from any ideas, methods, instructions or products referred to in the content.

Share and Cite

MDPI and ACS Style

Liu, J.-J. The Orbits of Twisted Crossed Cubes. Mathematics 2024, 12, 3928. https://doi.org/10.3390/math12243928

AMA Style

Liu J-J. The Orbits of Twisted Crossed Cubes. Mathematics. 2024; 12(24):3928. https://doi.org/10.3390/math12243928

Chicago/Turabian Style

Liu, Jia-Jie. 2024. "The Orbits of Twisted Crossed Cubes" Mathematics 12, no. 24: 3928. https://doi.org/10.3390/math12243928

APA Style

Liu, J.-J. (2024). The Orbits of Twisted Crossed Cubes. Mathematics, 12(24), 3928. https://doi.org/10.3390/math12243928

Note that from the first issue of 2016, this journal uses article numbers instead of page numbers. See further details here.

Article Metrics

Back to TopTop