Featured Application
This article mainly utilizes the advantages and characteristics of evolutionary game theory and based on the ideas and methods of evolutionary game theory, investigates the spontaneous formation of the relationships among the local governments, power grid enterprises, and market regulators based on low-carbon trading mechanisms during long-term carbon emission reduction. This tripartite evolution game is described as a learning progressive evolution system, focusing on the evolution process of the relationship between various stakeholders and the influencing factors of evolutionary stability in the electricity market and carbon emission market. It provides a reasonable explanation for the spontaneous formation of interest equilibrium states within the local government, power grid enterprises, and market regulators, and also provides theoretical reference and policy suggestions for government regulation to the electricity market and carbon emission market.
Abstract
In the context of increasing global efforts to mitigate climate change, effective carbon emission reduction is a pressing issue. Governments and power companies are key stakeholders in implementing low-carbon strategies, but their interactions require careful management to ensure optimal outcomes for both economic development and environmental protection. This paper addresses this real-world challenge by utilizing evolutionary game theory (EGT) to model the strategic interactions between these stakeholders under a low-carbon trading mechanism. Unlike classical game theory, which assumes complete rationality and perfect information, EGT allows for bounded rationality and learning over time, making it particularly suitable for modeling long-term interactions in complex systems like carbon markets. This study builds an evolutionary game model between the government and power companies to explore how different strategies in carbon emission reduction evolve over time. Using payoff matrices and replicator dynamics equations, we determine the evolutionarily stable equilibrium (ESE) points and analyze their stability through dynamic simulations. The findings show that in the absence of a third-party regulator, neither party achieves an ideal ESE. To address this, a third-party regulatory body is introduced into the model, leading to the formulation of a tripartite evolutionary game. The results highlight the importance of regulatory oversight in achieving stable and optimal low-carbon strategies. This paper offers practical policy recommendations based on the simulation outcomes, providing a robust theoretical framework for government intervention in carbon markets and guiding enterprises towards sustainable practices.
Keywords:
long-term evolutionary game; carbon emission reduction; tripartite evolution game; low-carbon trading; evolutionary stable equilibrium; replicator dynamics equations MSC:
65M12
1. Introduction
In the context of ongoing industrialization and energy-intensive economic development, the widespread use of fossil fuels continues to exacerbate global environmental challenges, particularly climate change. As one of the world’s largest energy consumers and producers, China faces immense pressure to reduce carbon emissions and address its growing environmental crises. The rising urgency to implement effective carbon reduction policies highlights the complex interplay between economic development, governmental regulation, and corporate behavior, particularly in high-emission sectors like power generation.
Power companies, as major contributors to national carbon emissions, must adopt more sustainable practices to meet China’s carbon reduction targets. However, the transition to low-carbon development requires more than unilateral government mandates or corporate goodwill; it necessitates a dynamic system where government policies, market mechanisms, and corporate strategies are continuously aligned and adapted. In this context, understanding the strategic behavior of various stakeholders becomes crucial for achieving long-term stable reductions in carbon emissions.
This paper utilizes evolutionary game theory (EGT) as a critical tool to model and analyze the interactions between governments, power companies, and third-party regulators under a carbon trading mechanism. Unlike classical game theory, which assumes perfect rationality, EGT accounts for bounded rationality and the adaptive learning process of stakeholders over time. This feature is essential for real-world applications where decision-makers adjust their strategies based on feedback, changing regulations, and evolving market conditions.
China has implemented two major carbon reduction policies, the carbon tax and the carbon emissions trading system (ETS). Among these, the ETS is particularly relevant for industries like power generation, which require market-based incentives to reduce emissions without compromising economic viability. This paper builds upon the ETS framework to examine the strategic interactions of the government and power companies, exploring how these entities can evolve towards an evolutionarily stable equilibrium (ESE). Furthermore, recognizing the limitations of bilateral interactions, the study introduces a third-party regulator into the evolutionary game, which enhances oversight and ensures that carbon reduction targets are met consistently and efficiently.
By utilizing evolutionary game theory, this research not only provides insights into the strategic behavior of key players in China’s carbon market but also offers practical policy recommendations that can drive the country closer to its long-term goals of carbon neutrality by 2060. The paper demonstrates how market mechanisms, coupled with adaptive regulatory frameworks, can create an environment where sustainable development and economic growth coexist.
According to the data survey in 2014, most cities in China still have problems of excessive carbon emissions and serious environmental pollution, and basically no city in China can meet the air quality indicators stipulated by the World Health Organization. In response to this, China has introduced relevant carbon emission reduction policies, made corresponding decisions to address the high carbon emissions, and reduced the emissions of greenhouse gasses such as carbon dioxide. In 2020, China has also clearly proposed the targets of “carbon peak” by 2030 and “carbon neutrality” by 2060 [1].
Currently, in China, electricity generation is primarily based on thermal power, relying on fossil fuels such as coal [2]. This results in relatively high carbon emissions from power companies, which consistently rank first in carbon emissions among all industries. Therefore, to achieve low-carbon development and sustainable development concepts, we need to continuously improve energy efficiency and consciously strengthen environmental protection. Additionally, the government should enhance efforts in new energy, especially renewable energy, to address issues such as the energy crisis faced in China. However, for companies that primarily rely on coal-fired power plants, the pressure from the trend in low-carbon development is significant. Power companies mainly use coal-fired power generation, which undoubtedly leads to a high demand for fossil fuels and high carbon emissions, causing severe damage to the ecological environment, contradicting the low-carbon and sustainable development principles advocated by China. Therefore, power companies urgently need to make technological improvements, and the development and research of low-carbon technologies are also pressing. The low-carbon emissions of power companies need to leverage market mechanisms to improve energy efficiency, change the coal-based power generation methods, and actively adopt new energy and other renewable energy sources for electricity production, promoting the development of low-carbon power generation methods. Thus, there is an urgent need to seek a strategy that can reduce carbon emissions during the electricity generation process, achieve low-carbon development for power companies, establish a good ecological environment, and prevent excessive carbon emissions from continuing to harm the environment.
To this end, based on the carbon trading mechanism as the theoretical foundation, this paper constructs a long-term interactive evolutionary game model between the government and electric power enterprises. Then, the two-party game between local governments and power enterprises and the three-party game after joining with third-party regulation under the background of carbon trading are investigated so as to derive the evolutionary stabilization strategy of the game system, which provides a certain reference value for the research of the carbon emission reduction game model. Finally, this paper carries out a dynamic simulation to verify the validity and reasonableness of the theoretical analysis results. As such, the government can provide some policy recommendations and electric power enterprises that emit high carbon emissions can utilize the corresponding solution policies. Overall, this paper analyzes the evolutionary conditions required for the government, electric power enterprises, and third-party regulators to reach an ideal state, and gives the corresponding policy recommendations in order to provide the theoretical basis and model for the analysis of the behavioral strategies of the local government and third-party regulators under the carbon trading mechanism, as well as to provide some references for the electric power enterprises that want to develop low-carbon technologies.
The necessity of addressing carbon emission reduction at scale cannot be overstated, given the global and national implications of climate change and environmental degradation. In China, where electricity production heavily relies on coal and other fossil fuels, power companies contribute significantly to the country’s overall carbon emissions. This makes the strategic management of these companies’ behaviors a central component of achieving long-term carbon neutrality goals.
In this context, the interplay between regulatory policies, corporate behavior, and market dynamics requires sophisticated analysis. Traditional command-and-control regulatory mechanisms are often rigid and insufficiently adaptable to the complexities of real-world markets. Moreover, power companies operate under conditions of bounded rationality, where their strategic decisions evolve over time based on policy changes, market signals, and technological advancements. These realities call for a more dynamic modeling framework that reflects the iterative nature of decision-making in carbon reduction strategies.
Evolutionary game theory (EGT) is particularly well-suited for this purpose. Unlike classical game theory, which assumes static and fully rational actors, EGT models the adaptive learning and strategy adjustment of stakeholders over time. This is especially relevant for the carbon market, where both governments and power companies engage in a continuous process of the evaluation and re-optimization of their strategies in response to external pressures such as carbon trading mechanisms and environmental regulations. The iterative nature of these interactions is captured effectively by EGT’s replicator dynamics equations, which model the changing proportions of strategy adoption within each stakeholder group.
This study’s contribution is twofold. First, it models the strategic interactions between the government and power companies under a carbon trading mechanism, analyzing how each party’s behavior evolves towards an evolutionarily stable equilibrium (ESE). Second, recognizing that regulatory oversight is crucial for maintaining equilibrium in carbon reduction efforts, this study introduces a third-party regulatory body into the game, forming a tripartite evolutionary game model. This extended model simulates the interactions between power companies, local governments, and regulators, offering deeper insights into how each stakeholder’s strategies evolve and how stable low-carbon outcomes can be achieved.
Ultimately, this research provides valuable policy recommendations for government agencies and enterprises, supporting the design of adaptive regulatory frameworks that balance environmental goals with economic growth. By applying evolutionary game theory, the paper offers a robust theoretical framework that can inform both policy-making and corporate strategy development in China’s ongoing effort to transition to a low-carbon economy.
The remaining part of this paper is organized as follows: Section 2 introduces the application background of game theoretical methods and game mechanisms in carbon trading. Based on this, Section 3 introduces the carbon emission reduction policy and classical and evolutionary game theoretical methods. Based on evolutionary game theory, a two-group asymmetric evolution game model for a general case is thoroughly investigated in Section 3. In Section 4, an evolution game between the government and electric power enterprises under carbon trading mechanisms is proposed and analyzed, especially its stability analysis and dynamic simulation analysis. Based on this, the third-party regulators are introduced in Section 5, in which a three-group evolution game among the government, power enterprises, and third-party regulators is established and analyzed, including a theoretical analysis and numerical simulation. Finally, Section 6 is a summary of the research content of this paper.
2. Literature Review
2.1. Application of Game Theoretical Methods
Game theoretical methods have been gradually used in the engineering fields. However, the classical game theory and its Nash equilibrium solution has certain defects, which is carried out under the assumption of absolute rationality, while the evolutionary game theory (EGT) is established based on bounded rationality and limited information access [3]. By discussing the cooperation mechanism of the evolutionary game framework, it summarizes the development trend in evolutionary game theory and the direction of research [4]. In the field of engineering, Lu Qiang et al. [5] proposed some typical applications of game theory in the power market in terms of scheduling, control, etc., while Gao and Sheng [6] also elaborated that game theory, especially the evolutionary game theory, has a positive role in promoting the development of power markets. Liu et al. [7] also mentions that game theory also involves game behavior in the demand side of electricity. As the problem of global warming is receiving more and more attention from scholars, new low-carbon technologies and the efficient use of energy are also key research areas. As carbon peaking and carbon neutrality have become a global consensus, Zhang et al. [8] also propose carbon trading as an important financial measure to cope with the climate crisis and uses game theory to analyze the impact of different factors on the carbon trading game system. Liang [9] used the evolutionary game to construct a tripartite evolutionary game model of the central, local, and enterprise, analyzed the dynamic evolution process of the whole life cycle of the carbon market, as well as the impacts of the relevant parameter changes on the strategic choices of the participating entities, and concluded that the government needs to strengthen the supervision of enterprises. Zhang et al. [10] used heterogeneous emission reduction policies to construct an evolutionary game model of local governments, emission control enterprises, and financial institutions, and concluded that under a single carbon trading policy, carbon emission reduction policies contribute to the good cooperation between governments and enterprises. Fang et al. [11] and Zhang et al. [12], respectively, constructed a game model of the government and enterprises under the background of carbon trading, and analyzed that in the process of carbon trading, the emission reduction strategy of enterprises and the regulatory strategy implemented by the government yield certain insights. Yan [13] also mentioned the construction industry in China’s national economy as an important pillar industry; its traditional mode also has the characteristics of high emissions, high energy consumption, and high carbon emissions, having a serious impact on the ecological environment, contrary to the concept of sustainable development. To address this problem put forward, the construction industry stakeholders in the context of the carbon tax policy and low-carbon behavioral choices were included in the construction of the two multi-party evolutionary game model. Finally, we reach the suggestion that we have to work together to promote the low-carbon development mode of the construction industry. It also has a certain reference value for low-carbon development, energy saving, and emission reductions.
Currently, game theory is being widely applied by many scholars in multi-party game decision-making, such as the study of the interaction mechanisms between governments and enterprises. For example, Wan and Lu [14] analyzed the behavioral decision-making patterns of government and enterprise participation in low-carbon development using a two-stage game model. Similarly, Cao et al. [15] constructed a three-stage game model to investigate the impact of government incentive measures on the carbon reduction efforts of enterprises. In addition, the Stackelberg game model has also been used by relevant scholars for analyzing the optimal strategies of governments and enterprises in supply chains [16]. However, the aforementioned studies mainly employed classical game models, such as non-cooperative games and leader–follower games, which assume that both parties possess complete rationality and complete information during the construction process. This assumption does not align with reality, where factors such as information costs, cognitive costs, emotions, and experiences often lead to both governments and enterprises not being completely rational [17]. Therefore, an emerging branch of game theory, namely evolutionary game theory (EGT), which is based on the assumptions of bounded rationality and limited information, has emerged [18,19,20]. In EGT, game individuals often possess the ability to continuously learn and adjust during long-term evolutionary processes, which is clearly more meaningful for practical applications. In EGT research, two key development directions are used to describe and analyze the evolutionarily stable strategies (ESSs) of populations and simulate tests to study their long-term evolutionary stable equilibrium (ESE) characteristics. The reasonable selection of fitness functions and the correct establishment of selection and mutation mechanisms will jointly drive the evolution of population games and determine the ESS that the population ultimately obtains, namely the ESE state. Based on this, relevant scholars have begun to use evolutionary game theory for games between governments and enterprises, and the related results have been quite fruitful. For example, some scholars have applied evolutionary game models in areas such as low-carbon supply chain management [21], watershed ecological protection [22], and emission reduction rewards and punishment policies [23].
As EGT develops rapidly, the main application scenarios of EGT in the field of energy and power systems include the dynamic interaction of supply and demand between user grid-added power supply entities [24], wind farm control [25], microgrid control and scheduling [26], electric vehicle load management [27,28], demand-side response [29,30], the participation of power generation entities in market-based bidding and trading [31], photovoltaic power plant cluster storage lease allocation [32], the group bidding equilibrium of generation-side firms [33], energy supply chain studies [34], the optimal scheduling of electric vehicle charging and discharging [35], the analysis of thermal power peaking behaviors [36], two-way vehicle–network interactions [37], the analysis of market policies for green power certificates [38], power generation firms competing for feed-in tariffs under renewable energy quota systems [39], the dynamic evolution of the diffusion of renewable energy technologies [40], technology diffusion dynamic evolution analysis [41], etc.
2.2. Addressing the Gaps in Carbon Trading Models: Insights from Established Markets and Evolutionary Game Theory
In response to growing global concerns about climate change, carbon trading markets have been developed as essential mechanisms for reducing greenhouse gas emissions. Over the last two decades, the global urgency to address climate change has spurred the development of carbon trading markets as a pivotal mechanism to reduce greenhouse gas emissions. Among the most prominent examples are the European Union Emissions Trading System (EU ETS), established in 2005, and California’s cap-and-trade program, initiated in 2013. The EU ETS, as the largest and most mature carbon trading market, has become a key reference point for evaluating the effectiveness of carbon pricing in reducing industrial emissions while promoting sustainable economic growth. The EU ETS and California’s cap-and-trade program are two of the most well-established markets, providing valuable insights into how carbon pricing can influence industrial behavior and governmental policy. Numerous studies, including those by Ellerman et al. (2010) [42] and Koch et al. (2016) [43], have analyzed the EU ETS, focusing on the price dynamics, market efficiency, and impact on emission reductions. Similarly, California’s cap-and-trade program has provided empirical insights into how carbon markets can function within a federal system, with scholars such as Bushnell et al. (2014) [44] examining the regional effects and regulatory implications of this market.
Despite these advancements, many studies rely on classical game theory to model strategic interactions in carbon trading systems. Classical game theory, exemplified by the Nash equilibrium, assumes fully rational agents with complete information, which limits its applicability in complex, real-world carbon markets. Alberola et al. (2008) [45] conducted an early analysis of price drivers in the EU carbon market using Nash equilibrium models, demonstrating how firms optimize emission strategies based on fixed assumptions. However, this approach fails to capture the dynamic nature of decision-making under uncertainty, where firms and governments adjust their strategies iteratively in response to policy shifts, market fluctuations, and technological changes. The static nature of these models restricts their ability to analyze long-term evolution and adaptation within carbon markets.
Recent studies have sought to address these limitations by incorporating bounded rationality and the adaptive behavior of stakeholders. Zuo et al. (2019) [46], for example, applied evolutionary game theory (EGT) to analyze how firms adjust their strategies under renewable portfolio standards. EGT is a more flexible approach that allows for continuous adaptation over time, making it well-suited for modeling the dynamic interactions in carbon markets, where stakeholders learn and evolve their strategies based on observed outcomes and changing external conditions. Unlike classical game models that assume static strategies, EGT introduces the concept of replicator dynamics, which reflects how strategies that perform well (i.e., those that maximize payoffs) become more prevalent over time. This feature makes EGT particularly appropriate for carbon markets, where firms must balance short-term compliance costs with long-term technological investments in low-carbon production.
In this context, our study builds on the advantages of EGT by specifically modeling the strategic interactions between power companies, governments, and third-party regulators within a carbon trading system. The core limitation of previous classical models—namely, the assumption of homogeneous agents—oversimplifies the diversity of strategies that firms may employ in response to carbon trading policies. By introducing heterogeneous agents into the model, we capture a broader spectrum of behaviors, including early adopters of green technologies, firms hesitant to transition due to high upfront costs, and those reliant on carbon credits to offset emissions. This heterogeneity is essential for understanding how different types of firms will navigate the carbon trading landscape, particularly in regions like China, where the market is still developing and firms vary significantly in their capacity to adopt low-carbon technologies.
Moreover, our model addresses the shortcomings of static equilibrium by incorporating dynamic feedback loops, where firms and governments continuously adjust their strategies in response to the evolving market and regulatory environment. This dynamic interaction is critical in understanding how carbon pricing influences long-term corporate investments in sustainability. For example, in scenarios where carbon prices rise due to regulatory tightening, firms are more likely to invest in low-carbon technologies to avoid the escalating costs of purchasing carbon credits. Similarly, governments must adapt their policies based on the overall effectiveness of carbon trading in reducing emissions, ensuring that the system remains balanced between economic growth and environmental objectives.
Another notable limitation of prior models is their lack of attention to third-party regulations. Studies focused primarily on the bilateral relationship between firms and governments have overlooked the crucial role of independent regulatory bodies in ensuring market integrity and compliance. In our model, the introduction of a third-party regulator enhances the robustness of the simulation, allowing for more realistic outcomes by accounting for monitoring and enforcement mechanisms that are integral to successful carbon markets, such as those seen in California’s program.
In summary, while classical game theory has provided valuable initial insights into the strategic interactions within carbon trading systems, our research contributes a more advanced and realistic framework by leveraging the adaptive capacity of EGT. This approach not only reflects the complexities of real-world decision-making in carbon markets but also offers more practical insights into how firms and governments can collaborate to achieve long-term sustainability goals. Through the inclusion of heterogeneous agents, dynamic strategy evolution, and third-party regulation, our model presents a comprehensive tool for policymakers seeking to optimize carbon trading systems and promote a low-carbon economy.
2.3. Game Mechanisms in Carbon Trading
According to the literature [47], the study of game theory began in 1944 with “Game Theory and Economic Behavior” by John von Neumann and Oscar Morgenstern. John Nash then laid the foundation for the theory of non-cooperative games by proposing the Nash equilibrium in 1950, where he precisely defined the concept of Nash equilibrium with rigorous mathematical logic and language, proving that Nash equilibrium prevails among n finite game strategies. Evolutionary game theory is an important branch of game theory, aiming to study how individuals adapt to the environment by choosing strategies in the process of evolution so as to realize the choice of optimal strategies. In recent years, foreign scholars have made many breakthroughs in the study of game theory, and evolutionary game theory has been widely used in the fields of economy, biology, and management, and also has a preliminary development in the field of engineering and technology. In conclusion, evolutionary game theory is an important research field with a wide range of applications involving many different disciplines and fields. In the future, with the deepening and development of research, evolutionary game theory will be applied in more fields and bring more insights and help to people.
The carbon trading market was first formed in the European Union after 2005, when the world’s carbon trading market expanded at an alarming rate; the carbon trading volume in 2007 was 2.7 billion tons compared with the carbon trading volume in 2006, indicating a rise of 68.7%. The carbon trading market is gradually moving towards maturity [45]. The carbon trading market in some developed European countries was formed earlier and the degree of perfection of the carbon trading mechanism is also higher than the domestic market; in 2022, its carbon trading volume was up to 751.459 billion euros, accounting for about 87% of the total global carbon trading volume. The international carbon market is spawned by the Kyoto Protocol, and the European Union carbon emissions trading system is currently the world’s largest market in terms of size and trading volume. Its carbon emissions trading mechanism plays a certain role in promoting the development of China’s carbon market [48,49,50,51]. With this background, most of the existing studies on the game mechanism in carbon trading are based on classical game models. Lu et al. [52] and Xie et al. [53] studied the formation mechanism of carbon quota allocation and carbon price by adopting a dynamic game and cooperative game, respectively, while Hong et al. [54] analyzed the decision-making problem of carbon trading systems by making full use of the Stackelberg model. Pan et al. [55] utilized a sequential game to clarify the subtle connection between historical carbon emission intensity and carbon verification. The current status in some developed countries shows that carbon trading has a wide range of application prospects and economic benefits. In the future, with the continuous improvement and development of the carbon trading mechanism, its application and promotion worldwide will be further accelerated.
Overall, based on the existing research, it can be found that few scholars have introduced the evolutionary game theory into carbon trading and more importantly, there is a lack of research on the role of the mechanism between the government and enterprises in carbon trading. In fact, clarifying the game relationship between the government and power grid enterprises in carbon trading not only helps to explore the optimal path of carbon emission reductions, but also provides ideas for the development and construction of the carbon market.
3. Theoretical Basis and a General Two-Group Asymmetric Evolution Game Model
3.1. Carbon Emission Reduction Policy
Taking China as an example, the government currently employs two main methods in implementing low-carbon emission reduction policies; one is the carbon tax and the other is carbon emission trading. These two methods are the most common, and both policies influence the economy of enterprises through market control, thereby regulating the production behavior of enterprises.
3.1.1. The Mechanism of Carbon Tax
A carbon tax is a fee imposed by the government on businesses and individuals for carbon emissions, aimed at encouraging them to reduce carbon emissions through economic means, thereby mitigating climate change. Specifically, a carbon tax is levied on the production and consumption of energy and energy-intensive products, with the tax rate typically determined by the amount of carbon emissions. The core idea of the carbon tax is to incentivize businesses and individuals to reduce carbon emissions through economic mechanisms. Imposing a carbon tax can make carbon emissions an economic cost, stimulating businesses and individuals to adopt more environmentally friendly production and consumption methods, thus reducing carbon emissions. The collection of the carbon tax can also provide the government with a certain amount of fiscal revenue for investment and expenditure in environmental protection and climate change areas. Generally, businesses that want to thrive need to use a large amount of fossil fuels and other resources; with the carbon tax policy in place, businesses must pay attention to maximizing their interests when using fossil fuels rather than blindly using them, which contributes to the construction of an ecological civilization. However, the carbon tax may also have negative effects on the national economy, making the issue of the carbon tax a controversial topic.
3.1.2. Carbon Emission Trading Mechanism
Carbon emissions trading is a market-based mechanism designed to reduce carbon emissions by establishing a cap on emissions and allowing the trading of carbon emission rights. This system has been implemented in various regions, including the European Union and California, where it has demonstrated flexibility and efficiency in reducing emissions while minimizing economic disruption [42,43]. Compared with the carbon tax, which imposes a fixed cost on emissions regardless of a firm’s ability to reduce emissions, carbon trading incentivizes firms to adopt more efficient technologies to reduce costs associated with purchasing carbon credits. Studies show that carbon trading can lead to more cost-effective emission reductions by allowing firms that can reduce emissions at a lower cost to sell excess credits to those for whom reduction is more expensive [45,46]. Therefore, carbon emissions trading provides a more flexible and efficient approach to achieving long-term environmental goals and fostering low-carbon development.
In contrast, carbon taxes are considered less dynamic because they do not adjust to market conditions and innovation rates in the same way that trading systems do. While both carbon taxes and carbon trading systems can generate substantial revenue for governments, which can be reinvested into green technologies, the market-based approach of carbon trading has shown greater promise in incentivizing technological advancements and fostering wider market participation. Studies have highlighted that carbon taxes provide a predictable price on carbon, which is effective for long-term planning but lacks the flexibility required to accommodate fluctuations in market conditions and technological progress [56]. In particular, carbon taxes tend to impose a uniform cost on all emitters, irrespective of their potential to innovate or reduce emissions efficiently, whereas carbon trading systems allow firms with lower abatement costs to sell excess credits, promoting a more efficient allocation of resources [57].
Moreover, carbon trading systems, particularly cap-and-trade mechanisms, have proven effective in spurring innovation in low-carbon technologies. For example, studies on the European Union Emissions Trading Scheme (EU ETS) have shown that it has driven significant investments in renewable energy and energy efficiency technologies by creating a financial incentive for firms to reduce emissions below their allowance [42,43]. In addition, carbon trading systems allow for dynamic adjustments based on market conditions. The prices of emissions permit fluctuations in response to supply and demand, which can reflect real-time changes in economic activity, policy shifts, and technological advancements [58,59]. This responsiveness is a critical advantage over carbon taxes, which are typically fixed and may become less effective as technology evolves and the marginal cost of emission reductions changes [60].
Several recent studies have underscored the flexibility of carbon trading systems compared to carbon taxes in driving innovation and adapting to changing market conditions [61,62]. For instance, cap-and-trade programs allow for the banking and borrowing of allowances, giving firms greater flexibility in managing their emissions over time [63]. Furthermore, trading systems often include mechanisms such as price floors and ceilings, which help stabilize the market and provide more predictable economic signals for firms to invest in low-carbon technologies [64]. These design features contribute to the system’s resilience and capacity to drive both short-term compliance and long-term innovation [65].
In conclusion, while carbon taxes provide simplicity and predictability, they lack the dynamic adaptability of carbon trading systems, which are more suited to fostering innovation and responding to evolving market conditions. The flexibility of carbon trading mechanisms, especially in established markets like the EU ETS and California’s cap-and-trade program, has made them a more effective tool for achieving carbon reduction targets while promoting technological advancements [66].
Actually, the carbon emissions trading mechanism is more flexible and efficient, and can better adapt to market changes and enterprise needs while also providing the government with a certain amount of fiscal revenue. The implementation of carbon emissions trading requires the government to formulate corresponding regulations and management measures, which enable enterprises to have certain restrictions on carbon dioxide emissions, meaning the emission of greenhouse gasses will be relatively reduced, which plays a certain role in promoting carbon emission reductions. In the beginning, there are three main ways to allocate carbon emission credits. One is to sell them at a certain price, the second is to auction the remaining carbon emission credits, and the third is to allocate carbon emission credits free of charge by the government. The carbon trading market can economically and efficiently allocate carbon emission credits, making the utilization of resources more effective and rational. After the allocation of carbon emission credits by the government is completed, enterprises have to use the carbon emission credits allocated by the government in a planned manner and determine how to carry out carbon emission reduction for their own interests. These are the factors that enterprises need to consider, and some enterprises can purchase carbon emission credits in the market if they have exceeded the upper limit of carbon emissions stipulated by the government; others can simply achieve the carbon emission level required by the government. Carbon emissions trading is not only conducive to the use of environmental resources, but also minimizes the total amount of carbon dioxide emissions in society, contributing to the minimization of carbon emission costs and ultimately achieving the government’s carbon emission reduction policy. It also plays a role in promoting China’s transition to low carbon [67]. The carbon emissions trading mechanism developed by the government by combining with market mechanisms is conducive to the implementation of carbon emission reduction policies; compared with the carbon tax, carbon emissions trading is more able to promote carbon emission reduction by enterprises, which is more effective for low-carbon development.
3.2. Classical Game Theory
Game theory [67,68,69] is a kind of decision-making on the future behavioral choices of multiple groups; this theory is different from the general decision-making theory, as game theory is the study of how to choose a better strategy of a theory for the subjects in the game to achieve their own interest maximization. In the game pattern, at least three basic elements need to be included, the payoff function, the set of strategies, and the participants. Game theory has a wide range of applications in politics, economics, sociology, and other fields. For example, in economics, game theory can be used to study the competition strategy between enterprises and the bidding strategy in the auction market; in political science, game theory can be used to study international relations and war decision-making; in sociology, game theory can be used to study the cooperation and trust between individuals.
Classical game theory mainly includes three basic elements [68,69], the participating subject, a payment function, and a strategy combination. The participating subject is mainly the decision-maker in the n-player game pattern, which is represented by N = {1,2,…,n}, and the classical game theory emphasizes that there exists a strategy combination S = {S1,S2,…,Sn}; the final decision-maker obtains the utility function or benefit function after making the decision, which is also called the payment function, and the final decision-maker obtains a utility function or benefit function, also known as a payoff function, after making a decision. The final obtained benefit vector can be represented by U = {u1, u2,…,un}. When participating in the game, the game subject will choose the strategy combination with the largest payoff as much as possible, and for a classical game process, it can be denoted by G = {N, S1, S2,…, Sn; u1, u2,…,un}.
However, the classical game theoretical model requires at least two populations to play a two-sided game, and the benefits obtained by both sides need to be divided by the number. Classical game theory can be divided into the following assumptions: the first is between the subjects of the game, where the subject of the game is required to have complete rationality; the second is that the subjects need to have a consensus between the same conditions of the background; and the third is in the game, namely the need to participate in the main body to participate in the game before it can grasp the information of the game in the game framework. While the classical game theory is difficult to be applied in practice, the requirement that the subject of the game has complete rationality when participating in the game is basically unattainable in reality, not to mention that the choice of each game strategy stage must also be completely rational. Therefore, in the study of practical problems, we often choose the evolutionary game theory with limited rationality and limited information.
3.3. Evolutionary Game Theory
3.3.1. Basic Idea of Evolutionary Game Theory
Evolutionary game theory is generally believed to have been founded by Maynard Smith in 1973 [70]. Evolutionary game theory has its origins in evolution in biology, and in the early days, it was mainly used to reveal the competitive phenomena in the evolutionary process of organisms. The classical game theory requires that the decision-maker must be 100% rational, and the decision-maker needs to have all the information before participating in the game, which is not possible, as participants are unlikely to be completely rational in real life. The biggest difference between evolutionary game theory and classical game theory is that the most important concepts in an evolutionary game are the dynamic model and dynamic equilibrium. The equilibrium of an evolutionary game system is a function of the equilibrium process. Therefore, in this paper, the use of evolutionary game theory to study the dynamic adjustment process of the system is of great significance in accurately describing the group of game participants.
The core idea of evolutionary game theory is that biological evolution can be regarded as a game, and the performance and evolution of various biological behaviors can be regarded as the result of a strategic choice. When decision-makers are making decisions, due to factors such as the environment and an incomplete understanding of the game information, decision-makers may not be completely rational and make decisions with a certain degree of personal emotion. Compared with classical game theory, evolutionary game theory can better solve more economic and management decision-making problems. Evolutionary game theory has a wide range of applications in biology, ecology, behavior, and other fields. For example, in biology, evolutionary game theory can be used to study the competition and cooperation between animals, the evolution and spread of genes, etc.; in ecology, evolutionary game theory can be used to study the stability of biological populations, species diversity, and ecological balance, etc.; in behavioral science, evolutionary game theory can be used to study the evolution and development of human behavior.
For this reason, today’s economists use evolutionary game theory to analyze certain norms and institutions in society and have achieved significant results in this regard. Evolutionary game theory mainly includes the following: firstly, the need to choose the appropriate fitness function and secondly, there is a reasonable choice and mutation mechanism. Among them, the fitness function determines whether there is a stable strategy in the process of evolution, while the selection and mutation play a role in promoting evolution in the process of evolution. The selection mechanism allows the player to maintain the favorable strategy of the last round of evolution, and mutation can have more selectivity in making decisions.
In the evolutionary game model, there is no definite opponent for any participant group to play with, because any participant group is randomly selected from the total group and the game is played again and again. Based on this, evolutionary game theory is mainly used to solve the following two important problems: the first is to establish a dynamic learning model to reflect different learning requirements through evolutionary game theory. The second is to analyze the stability of the equilibrium in the process of imitation learning and adaptation of the participant group through the stability theory of evolutionary game theory as a basis and at the same time, analyze the long-term evolution of the evolutionary game system converging to the equilibrium state. The equilibrium concepts involved in this analysis process include Nash equilibrium (which is essentially a strictly refined Nash equilibrium), equilibrium stable equilibrium, evolutionary stable strategy, etc.
3.3.2. Replicator Dynamics Equation
Replicator dynamics (RD) refers to a set of mathematical equations that describe how the proportions of individuals adopting specific strategies evolve over time, based on the success (or payoff) of those strategies. These equations capture the idea that strategies with higher payoffs will become more common in the population, as individuals tend to imitate or adopt strategies that perform better. This process is dynamic, reflecting how strategies are selected and adjusted over time as new information or outcomes are observed. In evolutionary game theory, replicator dynamics models the adaptive behavior of individuals in response to the payoffs they receive, making it especially useful for understanding long-term strategic interactions in complex systems like economics, biology, and social behavior. For example, in our study, we use replicator dynamics to analyze how power companies and government regulators adjust their strategies over time based on the outcomes of low-carbon policies and market-driven mechanisms. Mathematically, the replicator dynamics equations for our model describe the rate of change in the proportion of individuals adopting a specific strategy in Group A and Group B. These rates of change are driven by the relative payoffs received from the interactions between these two groups.
For the RD equation shown in (1), the variable xi denotes the proportion of the individuals choosing the strategy in the i-th group, u(xi, x) denotes the corresponding expected payoff, and u(x, x) denotes the group mean return. From the above equation, the value of the RD equation is proportional to xi and proportional to the difference between u(xi, x) and u(x, x). By solving the RD equations, its equilibrium points can be calculated [71]. The obtained equilibrium point represents a certain stable strategy achieved over a long period of behavioral gaming. Finally, the stability analysis of the equilibrium point can be used to judge the final evolutionary stable equilibrium state of the system [71,72,73].
3.3.3. Evolutionarily Stable Strategy (ESS)
An evolutionarily stable strategy (ESS) is a concept from evolutionary game theory that describes a strategy which, once adopted by most individuals in a population, cannot easily be displaced by any alternative strategy. This means that if all individuals in a population follow an ESS, no other strategy would provide a higher payoff or be more advantageous for individuals to switch to. The concept of the ESS helps us understand which strategies are likely to persist over time in competitive environments. For example, in the context of this study, an ESS represents a stable outcome where both the government and power companies have no incentive to deviate from their chosen carbon reduction strategies under a low-carbon trading mechanism. By analyzing the stability of these strategies, we can predict which behaviors are likely to dominate in the long term. Mathematically, an ESS can be identified using stability analysis, often through tools such as the Lyapunov stability theory or by examining the Jacobian matrix around equilibrium points in the replicator dynamics equations.
Based on this, the ESS is a strictly refined Nash equilibrium that is asymptotically stable in a population, i.e., if all individuals adopt the strategy, then the strategy will not be replaced by any other strategy. In this case, the behaviors and strategies among different individuals in the group will remain stable. For example, in a given population of organisms, a particular behavioral strategy may become an ESS if it enables that individual to obtain more resources and reproduction chances in the competition, and if other individuals adopt a different strategy, then their reproduction and survival chances will decline; thus, the strategy will be stably spread and maintained in the population. Assume that the pure strategies are . For any , there always exists a such that the survival strategy s is an ESS. Such an ESS is defined as follows:
where f is the fitness function and represents the population that chooses the evolutionary stable strategy and the population that selects the mutant strategy. Since , it can be obtained that will not be equal to either or . When almost all individuals in the population choose the strategy s, then is close to 1. Therefore, when the strategy s is an ESS, there is a high probability that the individuals who choose a mutation strategy will not be able to invade a population that has reached evolutionary stability.
3.3.4. Evolutionary Stability Criterion
In the context of evolutionary game theory, the stability of equilibrium points is critical to understanding the long-term behavior of the system. To assess this stability, the Lyapunov stability theory is employed. This theory provides a mathematical framework to evaluate whether small perturbations or deviations from an equilibrium state will cause the system to remain near the equilibrium or diverge away from it. Lyapunov stability refers to the property of a system where, if subjected to a small disturbance, the system will not deviate significantly from its equilibrium point [47,72,73,74]. Specifically, an equilibrium point is said to be Lyapunov stable if, after a small perturbation, the system trajectories remain close to the equilibrium. In other words, the system will not move away from this point, although it may not return to it. To this end, in the analysis of evolutionary stability, the Lyapunov stability theory is generally used to judge whether the internal equilibrium points of the RD equations are evolutionarily stable in a long-term period. The RD equation can be calculated to obtain its Jacobian matrix J and its set of equilibrium points, and its judgment method is shown in Table 1, where x* and y* are horizontal and vertical coordinates of the system’s non-pure strategy internal equilibrium points, respectively.
Table 1.
Method for determining evolutionary stability.
As summarized in Table 1, the Lyapunov stability theory is frequently used as a tool to assess the local stability of internal equilibrium points within replicator dynamic (RD) equations. However, it is important to recognize that Lyapunov’s stability theorems only provide sufficient conditions for stability and do not necessarily offer the complete picture, as they do not guarantee that these conditions are necessary for all potential stable points. This limitation implies that while the system may be stable under the conditions provided by Lyapunov, there could be other stable equilibria or instabilities that are not detected by this method alone. To address these concerns, we employ a more comprehensive approach by incorporating Jacobian matrix analysis and dynamic simulation techniques alongside Lyapunov’s method. Jacobian matrix analysis allows us to evaluate the local linear stability of equilibrium points by examining the eigenvalues of the system’s linearized dynamics around these points. The stability conditions—namely, a positive determinant (Det(J) > 0) and a negative trace (Tr(J) < 0)—serve as necessary and sufficient conditions for asymptotic stability. This analysis complements Lyapunov’s approach by identifying regions where Lyapunov’s conditions may be met but where local instability could still exist. Dynamic simulations further enhance our analysis by offering a global perspective on system behavior. These simulations allow us to visualize the phase trajectories of the replicator dynamics over time and observe how perturbations evolve in different regions of the system. This method not only verifies the local stability conditions identified through Lyapunov and Jacobian analyses but also reveals potential long-term evolutionary patterns or unexpected behaviors that may not be apparent through analytical methods alone. By combining these methods—Lyapunov stability, Jacobian matrix analysis, and a dynamic simulation—we provide a more holistic evaluation of the internal equilibrium points in our evolutionary game model. This multi-layered approach ensures that the stability we observe is both locally and globally robust, confirming that the identified equilibrium points represent evolutionarily stable strategies (ESSs) under a broad set of conditions.
A stronger condition is asymptotic stability, which implies that not only will the system remain near the equilibrium after a disturbance, but it will also return to the equilibrium point over time. An equilibrium point is asymptotically stable if any small perturbation results in system trajectories that eventually converge back to the equilibrium point.
In the analysis of evolutionary game models, the Lyapunov method is applied by calculating the Jacobian matrix at the equilibrium points of the replicator dynamics equations. The stability is determined by examining the determinant and trace of the Jacobian matrix [47]. For an equilibrium point to be asymptotically stable, the determinant of the Jacobian matrix must be positive and the trace must be negative. If these conditions are satisfied, the equilibrium point is not only stable but will also attract nearby trajectories, ensuring that the system returns to this point in the long run.
Thus, using the Lyapunov stability theory in our evolutionary game analysis allows us to evaluate whether the internal equilibrium points are evolutionarily stable strategies (ESSs). This concept is critical for determining whether certain strategies will dominate and persist within a population over time.
Concretely, as shown in Table 1, the replicator dynamic (RD) equations are analyzed using the Lyapunov stability theory, which is crucial for determining the local stability of internal equilibrium points. This method involves calculating the Jacobian matrix (J) at each equilibrium point and evaluating its determinant (Det(J)) and trace (Tr(J)). According to the Lyapunov stability theory, an equilibrium point is evolutionarily stable if the determinant of the Jacobian matrix is positive and the trace is negative (Det(J) > 0, Tr(J) < 0). These conditions ensure that the system is both stable and attractive, meaning that the system will return to equilibrium after small perturbations.
Table 1 summarizes these conditions for each of the internal equilibrium points. Specifically, an explanation of the logic using the Lyapunov stability theory is provided for Table 1 as follows:
- Point A: exhibits evolutionary stability as both the determinant is positive and the trace is negative (Det(J) > 0, Tr(J) < 0), confirming that the point is an evolutionarily stable strategy (ESS).
- Point B: although the determinant is positive or zero, the trace is positive (Det(J) > 0 or Det(J) = 0, Tr(J) > 0), indicating that this point is evolutionarily unstable.
- Point C: displays an uncertain or zero trace and a negative determinant (Tr(J) = 0 or uncertain, Det(J) < 0), classifying it as a saddle point, which is also evolutionarily unstable.
This integration of the Lyapunov stability theory provides the theoretical foundation for the classification of equilibrium points in Table 1, linking the mathematical criteria of stability to the strategic outcomes of the evolutionary game model.
3.4. A Two-Group Asymmetric Evolution Game Model for a General Case
3.4.1. Assumptions and Payoff Parameters
In this section, two groups of stakeholders, Group A (e.g., electricity providers) and Group B (e.g., government regulators), are modeled under the assumption of bounded rationality and limited information access. This assumption is grounded in the real-world complexities of the carbon trading market, where perfect information and complete rationality are rarely achievable.
Electricity providers face significant uncertainties in terms of future market conditions, fluctuating carbon prices, and evolving technologies. These companies must make strategic decisions, such as adopting low-carbon technologies, while navigating these unknowns. Bounded rationality reflects their gradual learning process and the iterative adjustment of strategies as they gain more information about the economic benefits of low-carbon production, carbon pricing, and regulatory pressures.
For governments, the bounded rationality assumption recognizes that policy-making in carbon trading markets is influenced by multiple and often conflicting objectives, such as economic growth, environmental protection, and political considerations. Governments often lack precise information about how industries will react to new regulations or market mechanisms. As a result, policy strategies evolve based on feedback and observed market outcomes. The assumption of bounded rationality enables the model to capture this dynamic and adaptive decision-making process.
Third-party regulators, responsible for ensuring compliance and enforcing market integrity, also face challenges of imperfect information. They may not have complete visibility in the operational decisions of power companies or the effectiveness of government policies. As such, their supervision strategies are likely to evolve based on market conditions, regulatory outcomes, and the actions of other stakeholders. Constrained rationality in this context captures the iterative nature of supervision and regulatory adjustments over time.
The use of bounded rationality in this model aligns with the realities of the carbon trading system, where strategic decisions are influenced by incomplete information, adaptive learning, and evolving market structures. By assuming bounded rationality, this model realistically represents how stakeholders make decisions over time, adjusting to feedback from the carbon market and changing regulations.
The payoff distribution matrix is constructed to reflect these dynamics, and the replicator dynamics equations describe how the proportions of individuals adopting specific strategies evolve in response to their payoffs. These equations model the gradual adaptation of strategies over time, leading to evolutionary stable strategies (ESSs), which represent stable long-term outcomes where no stakeholder has an incentive to deviate from their current strategy. Based on this, the corresponding payoff distribution matrix is shown as
In this model, x represents the proportion of individuals in Group A adopting the pure strategy SA1, while (1 − x) denotes those adopting SA2. Similarly, y and (1 − y) represent the proportions of individuals in Group B choosing strategies SB1 and SB2, respectively. The payoffs associated with these strategic interactions are defined as follows: (a, b) represent the payoffs to an individual when SA1 in Group A and SB1 in Group B are both chosen; (c, d) are the payoffs for SA1 in Group A and SB2 in Group B; (e, f) represent payoffs when SA2 in Group A and SB1 in Group B are chosen; and finally, (g, h) are the payoffs for the combination of SA2 in Group A and SB2 in Group B. These strategic interactions lead to the formulation of the replicator dynamics equations, expressed as dx/dt = 0 and dy/dt = 0, which are outlined below. The replicator dynamics equations, derived from the strategic interactions of individuals in Groups A and B, describe the rate of change in the proportion of individuals adopting certain strategies over time. The replicator dynamics equations describe how the proportion of individuals adopting certain strategies evolves over time in response to the payoffs from those strategies. In this case, the system’s dynamics are captured by two equations, one for each group as follows:
Here, and represent the differences in payoffs. These equations model the continuous adjustment of strategy proportions as individuals receive feedback from the payoffs. The system reaches equilibrium when the proportion of each strategy remains constant, i.e., dx/dt = 0 and dy/dt = 0. From this, we identify three potential internal equilibrium points for both x and y by solving the system. The equilibrium points represent stable strategy combinations where neither group has an incentive to deviate from its current strategy.
In Equation (4), as explained previously, x represents the proportion of individuals in Group A adopting strategy SA1, while y represents the proportion of individuals in Group B adopting strategy SB1. The terms γ2, γ7, γ8, and γ9 are constants that represent the differences in payoffs between competing strategies within each group, specifically as follows:
- γ2 = c − g accounts for the difference in payoffs when individuals in Group B select strategy SB2.
- γ7 = a − c − e + g captures the combined effects of Group A’s strategic choices and their influence on Group B’s payoffs.
- γ8 = b − f − d + h also captures the combined effects of Group A’s strategic choices and their influence on Group B’s payoffs.
- γ9 = f − h measures the difference in payoffs within Group B when individuals in Group A choose strategy SA2.
These replicator dynamics equations are derived from the concept that individuals in each group adjust their strategies over time based on the payoffs they receive. The expressions x(1 − x) and y(1 − y) represent the proportion of individuals switching from one strategy to another, driven by the payoff differentials γ.
The system reaches equilibrium when the rate of change in both x and y is zero, i.e., dx/dt = 0 and dy/dt = 0. This condition defines the internal equilibrium points of the system, which are found by solving the equations and . To obtain the equilibrium points, we consider the solutions for x and y when the terms inside the parentheses are zero, which leads to the identification of specific strategy combinations that form stable or unstable equilibria depending on the sign and magnitude of γ2, γ7, γ8, and γ9. These equilibrium points represent critical thresholds where the population’s strategic behavior no longer changes.
Additionally, it is important to note that not all equilibrium points are evolutionarily stable. The stability of these points is determined through further analysis, typically using the Lyapunov stability theory or Jacobian matrix analysis, to assess whether small perturbations around the equilibrium points lead the system back to equilibrium or cause divergence.
Based on the elaboration above, to derive the internal equilibrium points of the system, we begin by setting the replicator dynamics equations dx/dt = 0 and dy/dt = 0, which correspond to the condition that the proportions of individuals adopting each strategy are no longer changing. This is the point at which the system reaches equilibrium. The replicator dynamics equation for Group A (e.g., electricity providers) can be expressed as dx/dt = x(1− x) (payoff difference), where x is the proportion of individuals in Group A adopting strategy SA1 and the payoff difference represents the net benefit of adopting strategy SA1 over the alternative SA2. Similarly, for Group B (e.g., the government), the corresponding replicator dynamics equation is dy/dt = y(1 − y) (payoff difference), where y is the proportion of individuals in Group B adopting strategy SB1 and the term inside the parentheses captures the differential payoffs for different strategic choices in Group B.
To find the internal equilibrium points, we solve these equations by setting dx/dt = 0 and dy/dt = 0. This yields three potential equilibrium points for each group as follows: , , , , , and , where γ2, γ7, γ8, and γ9 are constants representing payoff differentials. These points correspond to situations where one strategy dominates or there is a mixed strategy equilibrium.
Stability analysis is required to determine whether these equilibrium points are evolutionarily stable, meaning that the system returns to equilibrium after small perturbations. Two complementary methods are used to assess stability, the Lyapunov stability theory and Jacobian matrix analysis.
- (1)
- Lyapunov stability theory: This method evaluates whether small perturbations near an equilibrium point cause the system to remain close to that point. An equilibrium point is Lyapunov stable if the trajectories of the system stay close to the point after a small disturbance.
- (2)
- Jacobian matrix analysis: To analyze the local stability of an equilibrium point, we linearize the system by calculating the Jacobian matrix J, which represents the local dynamics around the equilibrium point. The Jacobian matrix for the system is given by where f1(x, y) and f2(x, y) are the replicator dynamics equations for Groups A and B, respectively. The stability of an equilibrium point is determined by analyzing the eigenvalues of the Jacobian matrix. If the determinant Det(J) > 0 and the trace Tr(J) < 0, the equilibrium point is asymptotically stable, meaning the system returns to this point after perturbations. To this end, the stability results for each equilibrium point are summarized in Table 1.
Based on Table 1, we take and can obtain three possible internal equilibrium points for x as . Similarly, we take and can obtain three possible internal equilibrium points for y as , where and . On this basis, we simultaneously make , from which we can obtain four pure-strategy internal equilibrium points as denoted by , , , , and , where and . Here, is also referred to as a central point, which is a mixed-strategy equilibrium point and cannot be an evolutionarily stable strategy.
3.4.2. Evolutionary Stability Analysis for Group A
Based on Section 3.4.1, we make and obtain . Based on this, four cases are discussed as follows:
- (i)
- When , we can always obtain no matter what the value of x is within the interval [0, 1]. At this time, all x values are in a state of equilibrium. In this case, when the proportion of the individuals choosing the pure strategy SB1 in Group B equals , regardless of whether individuals in group A choose the pure strategy SA1 or SA2, the payoffs they obtain are equal to the average payoff of the entire Group A, meaning that the probabilities of choosing strategy SA1 (i.e., x) and strategy SA2 (i.e., 1 − x) both tend towards a stable constant value.
- (ii)
- When , there are two stable equilibrium points, and the proportion of individuals in Group A choosing SA1 is calculated as and , respectively.
- (iii)
- When , we can obtain and . Under these conditions, we can determine that is an evolutionarily stable strategy for the individuals in Group A. At this point, when the probability of individuals in Group B choosing the pure strategy SB1 decreases to a certain extent, the individuals in Group A will gradually tend to choose the pure strategy SA2 as the final evolutionarily stable strategy.
- (iv)
- When , we can obtain and . Under these conditions, we can determine that will be an evolutionarily stable strategy for the individuals in Group A. At this point, when the probability of individuals in Group B choosing the pure strategy SB1 is raised to a certain level, the individuals in Group A will gradually tend to choose the pure strategy SA1 as the final evolutionarily stable strategy.
3.4.3. Evolutionary Stability Analysis for Group B
We make to obtain . Based on this, four cases are discussed as follows:
- (i)
- When , we can always obtain no matter what the value of y is within the interval [0, 1]. At this time, all y values are in a state of equilibrium. In this case, when the proportion of the individuals choosing the pure strategy SB1 in Group B equals , regardless of whether individuals in group B choose the pure strategy SB1 or SB2, the payoffs they obtain are equal to the average payoff of the entire Group B, meaning that the probabilities of choosing strategy SB1 (i.e., y) and strategy SB2 (i.e., 1 − y) both tend towards a stable constant value.
- (ii)
- When , there are two stable equilibrium points, and the proportion of individuals choosing SB1 in Group B is calculated as and , respectively.
- (iii)
- When , we can obtain and . Under these conditions, we can determine that is an evolutionarily stable strategy for the individuals in Group B. At this point, the individuals in Group B will gradually tend to choose the pure strategy SB2 as the final evolutionarily stable strategy.
- (iv)
- When , we can obtain and . Under these conditions, we can determine that will be an evolutionarily stable strategy for the individuals in Group B. At this point, the individuals in Group B will gradually tend to choose the pure strategy SB1 as the final evolutionarily stable strategy.
3.4.4. Numerical Analysis and Simulation Verification
To determine whether a strategy is evolutionarily stable, we can use the positive and negative values of the determinant and trace of the Jacobi matrix obtained from the replicator dynamics equations. The determinant and trace, denoted by Det(J) and Tr(J), respectively, of the Jacobi matrix J for this two-group asymmetric evolution game model can be derived from the replicator dynamics equations shown in (4), so the Jacobi matrix for this evolution game system and its determinant and trace value are shown as
Based on (5), we can further calculate Det(J) and Tr(J) as
where and .
According to the Jacobi matrix local analysis method, the stability of the five equilibrium points , , , , and can be analyzed, and its criterion is to judge whether Det(J) > 0 and Tr(J) < 0 are satisfied simultaneously. If a certain equilibrium point conforms to this criterion, it means that this point is the system’s evolutionary stable equilibrium point and at this point, the system’s evolutionary stable strategy can be obtained. Based on references [33,47,71] and inspired by refs. [73,74], a complete flowchart for analyzing the multi-group asymmetric evolutionary game issue can be proposed, which can also be seen in [73], as demonstrated in Figure 1.
Figure 1.
A complete flowchart for analyzing the multi-group asymmetric evolutionary game.
Based on Figure 1, we suppose that the payoff parameters of this game model in (3) are set as (a, b, c, d, e, f, g, h) = (7, 1, 5, 6, 8, 4, 2, 3). Furthermore, we take initial values of x and y from 0 to 1 at intervals of 1/10, 1/20, 1/30, 1/40, 1/50, and 1/60 within the game system’s decision space [0, 1] × [0, 1], meaning (x, y) will range from (0, 0) to (1, 1) based on these intervals. Therefore, we conduct dynamic numerical simulations of up to 121, 441, 961, 1681, 2601, and 3721 game situations with different initial values of (x, y) to observe and analyze the phase trajectory of x, y, and (x, y) over the time interval , specifically their long-term evolutionary stability and dynamic characteristics within their respective convergence domains.
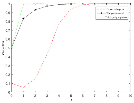
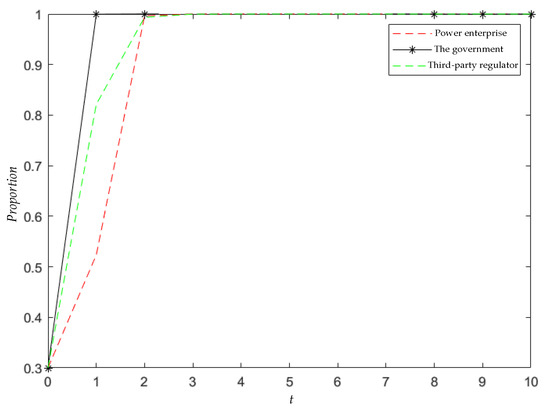
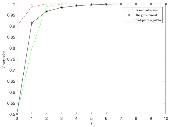
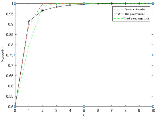
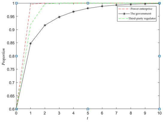
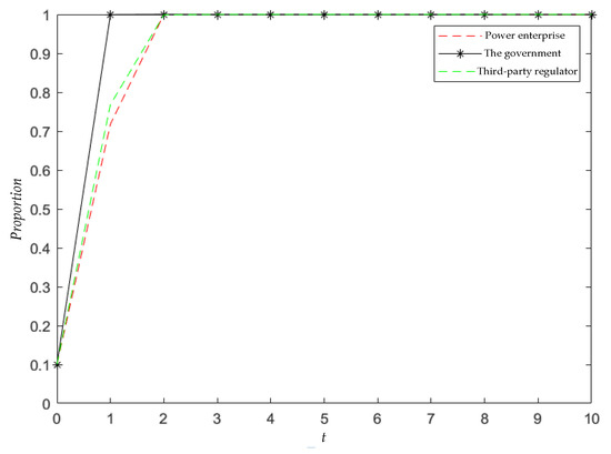
Figure 2, Figure 3 and Figure 4 demonstrate the phase trajectory of (x, y), x, and y within the time range of under different rounds of evolutionary games. These numerical simulation figures reveal that the general two-group asymmetric evolutionary game system converges to internal equilibrium points of (0, 1) and (1, 0), which indicates that the two equilibrium points are the long-term evolutionary stable equilibrium points of the system, i.e., the system will obtain an evolutionary stable strategy and reach a long-term evolutionary stable equilibrium state at the two equilibrium points. Meanwhile, at the two equilibrium points of (0, 0) and (1, 1), the system cannot reach an evolutionary stable equilibrium in the long-term evolution process.

Figure 2.
Numerical simulation results of the long-term evolutionary game phase trajectory of (x, y) over the time range of t ∈ [0, 10] under different numbers of evolutionary game iterations. Here, (a–f) illustrate the numerical simulation results of 121, 441, 961, 1681, 2601, and 3721 different initial game situations, respectively.

Figure 3.
Numerical simulation results of the long-term evolutionary game phase trajectory of x over the time range of t ∈ [0, 10] under different numbers of evolutionary game iterations. Here, (a–f) illustrate the numerical simulation results of 121, 441, 961, 1681, 2601, and 3721 different initial game situations, respectively.
Figure 4.
Numerical simulation results of the long-term evolutionary game phase trajectory of y over the time range of t ∈ [0, 10] under different numbers of evolutionary game iterations. Here, (a–f) illustrate the numerical simulation results of 121, 441, 961, 1681, 2601, and 3721 different initial game situations, respectively.
Based on Figure 2, Figure 3 and Figure 4, the statistical results of the internal equilibrium points calculation for the two-group two-strategy asymmetric evolutionary game under general conditions are shown in Table 2.
Table 2.
Statistical results of the internal equilibrium points calculation for the two-group two-strategy asymmetric evolutionary game under general conditions.
4. Analysis of the Evolutionary Game between the Government and Electric Power Enterprises under Carbon Trading
Power enterprises pursuing high profits can lead to excessive carbon dioxide emissions, so the government needs to regulate these excess emissions. The excessive emissions from power companies may have negative impacts on the environment and public health; thus, the government needs to take a series of measures to regulate and control the emissions behavior of these companies. Under normal circumstances, there is an incomplete information game between power companies and the government, where both parties are unclear about each other’s profit functions and can only conduct long-term dynamic analysis through their game behaviors, attempting to find stable behavioral strategies for both power companies and the government.
4.1. Evolutionary Game Modeling for the Government and Electric Power Enterprises
4.1.1. Assumptions of the Model
First, the game participants are the electric power enterprises (denoted by Group A) and local governments (denoted by Group B). The game strategies chosen by the local governments are regulation and non-regulation, while the strategies chosen by the power enterprises are a low-carbon production strategy and a traditional production strategy. The probability of power enterprises choosing a low-carbon production strategy is x, and the probability of choosing a traditional production method is 1 − x, where . The probability of the government choosing a regulation strategy is y, and the probability of choosing a non-regulation strategy is 1 − y, where . This results in four possible strategy combinations as follows: (x, y) represents the proportion of individuals choosing the low-carbon production strategy in Group A and regulation strategy in Group B, respectively; (x, 1 − y) represents the proportion of individuals choosing the low-carbon production strategy in Group A and non-regulation strategy in Group B, respectively; (1 − x, y) represents the proportion of individuals choosing the traditional production strategy in Group A and regulation strategy in Group B, respectively; and (1 − x, 1 − y) represents the proportion of individuals choosing the traditional production strategy in Group A and non-regulation strategy in Group B, respectively. Based on this, Table 3 shows the main parameter settings (unit: CNY ten thousand, the monetary unit of China).
Table 3.
Definition of revenue parameters of the game between the government and electric power enterprises.
Concretely, Table 3 outlines the key parameters used in the game model, each representing a specific economic or regulatory factor relevant to the interaction between electric utilities, the government, and third-party regulators in the carbon trading market. These parameters are derived based on real-world data and reflect typical costs and benefits observed in low-carbon transition scenarios.
For example, M1, the benefits gained by electric utilities from adopting low-carbon production strategies, represents not only the direct revenue from cleaner energy production but also includes potential economic advantages such as reduced operational costs over time due to energy efficiency improvements and government subsidies for green technologies. These benefits are critical for incentivizing the adoption of low-carbon technologies.
On the other hand, M2 represents the immediate, short-term benefits gained by electric utilities from continuing with traditional carbon-intensive production methods. Although traditional methods may yield higher short-term profits due to lower upfront costs, they expose companies to higher regulatory risks and carbon credit expenses.
C1 captures the operational costs associated with transitioning to low-carbon technologies. These include the investment in new equipment, training personnel, and maintaining the technology, which can be substantial upfront but are mitigated over time by energy savings and government incentives. In contrast, C2 represents the costs incurred by purchasing carbon credits under a carbon trading mechanism, which becomes a recurring expense for companies that do not transition to cleaner technologies.
For the government, M3 reflects the long-term benefits of encouraging low-carbon production, such as improved environmental outcomes, reduced healthcare costs from pollution-related illnesses, and enhanced international competitiveness in sustainable industries. Conversely, C3 and C4 represent the direct costs to the government for enforcing environmental regulations and managing pollution from traditional production methods, respectively. These parameters are informed by empirical studies on the economic impact of pollution control policies.
S1 is the subsidy provided by the government to incentivize companies to adopt low-carbon production strategies. These subsidies, often part of national or local policies aimed at promoting green technologies, reduce the financial burden on companies transitioning to sustainable production methods. Finally, G1 is the penalty imposed on companies that fail to comply with environmental regulations, providing a financial disincentive for continuing with traditional production. The value of G1 is set to reflect both the direct environmental damage caused by carbon emissions and the social costs associated with pollution.
The values for these parameters in the simulation are informed by real-world data from existing carbon markets and regulatory frameworks, ensuring that the model reflects plausible economic conditions. For instance, in China’s carbon trading scheme, the cost of carbon credits (C2) fluctuates based on market supply and demand, while subsidies (S1) are adjusted annually according to national policies aimed at reducing emissions. By incorporating these realistic dynamics into the game model, we ensure that the simulation captures both the immediate and long-term strategic behaviors of the involved stakeholders.
4.1.2. Construction of Mathematical Model
The mathematical model is established for the evolutionary game between the government and power enterprises, as shown in Equation (7) as follows:
From Table 3 and the payoff distribution matrix in (7), the gain parameters are set as a = M1 − C1 + S1, b = M3 − C3 − S1, c = M1 − C1, d = M3, e = M2 − C2 − G1, f = G1 − C3 − C4, g = M2 − C2, and h = −C4. Based on this, the evolutionary game stability is analyzed.
4.2. Analysis of the Evolutionary Game between Power Enterprises and the Government
4.2.1. Replicator Dynamics Model
From Table 3, the expected payoffs for the power companies adopting the low-carbon production strategy and traditional strategy are denoted by and , respectively, together with an average expected payoff of the entire group, denoted by as follows:
Based on (8), we can obtain the replicator dynamics equation (RDE) for the electric power enterprises when participating in this evolution game as
Similarly, from Table 3, the expected returns for the government when selecting the regulation and non-regulation strategy are denoted by and , respectively, together with an average expected payoff of the entire group, denoted by as follows:
Based on (10), we can also obtain the replicator dynamics equation (RDE) for the government when participating in this evolution game as
Finally, we can obtain the complete RDEs for the evolutionary game between power enterprises and the government, which are described as
4.2.2. Stability Analysis
We set the replicator dynamics equations shown in (12) to be zero, i.e., , from which we can obtain five internal equilibrium points, as denoted by E1(0, 0), E2(0, 1), E3(1, 0), E4(1, 1), and E5(x*, y*), where and .
According to the replicator dynamics equations shown in (12), the standard Jacobian matrix can be obtained as follows:
Aiming at (13), we set , , and , and then we can simplify this Jacobian matrix to the following form:
Based on (14), we can obtain the expressions for the determinant and trace of the matrix, denoted as and , respectively, as follows:
From (15) and (16) and according to Lyapunov’s stability criterion, it can be concluded that when the following two conditions are satisfied at the same time, and , then the corresponding replicator dynamics equation’s equilibrium point is asymptotically stable, i.e., an evolutionarily stable strategy (ESS). The determinant and trace of the Jacobian matrix at each internal equilibrium point are summarized in Table 4.
Table 4.
Summarization of the determinant and trace of the Jacobian matrix at each internal equilibrium point.
From Table 4, the evolutionarily stable pure strategy points of the system are analyzed as follows:
- When meeting and , the point E1(0, 0) becomes an evolutionary game equilibrium point in the long-term evolution process.
- When meeting and , the point E1(0, 1) becomes an evolutionary game equilibrium point in the long-term evolution process.
- When meeting , the point E1(1, 0) becomes an evolutionary game equilibrium point in the long-term evolution process.
4.2.3. Dynamic Simulation Analysis
The payoff parameters (a, b, c, d, e, f, g, h) are set in the established evolutionary game model for power enterprises and the government and the values of x and y are initialized in the system’s decision space [0, 1] × [0, 1] at intervals of 1/10, 1/20, 1/30, 1/40, and 1/60, allowing them to take random values from 0 to 1. This means that simulations are conducted with 122, 441, 961, 1681, 2601, and 3721 iterations under different initial game situations. To this end, we analyze the phase trajectory of (x, y) over time t ∈ [0, 10]. Note that in the phase trajectory figures, the green points represent the long-term evolutionarily stable points, while the blue points represent the evolutionarily unstable points (here, the saddle point is also evolutionarily stable). The simulation results for the three scenarios are shown in Table 5.
Table 5.
Parameter settings for the numerical simulation.
Scenario I: When meeting and , the electric power enterprises (Group A) tend to adopt the traditional production strategy (a pure strategy) and the government implements a non-regulatory strategy at the same time. During the long-term evolution game process, the system’s strategy will evolve towards E1(0, 0). This means , i.e., the power enterprises will choose the traditional production method; meanwhile, the governments tend to select a non-regulation strategy. To this end, the simulation results to verify this conclusion are demonstrated in Figure 5. The results of the simulation in Figure 5 reveal that the internal equilibrium of this two-group asymmetric evolution game system only reaches a long-term evolutionary stable state at E1(0, 0), while all other equilibrium points are evolutionarily unstable. At this time, the system’s evolutionary stability condition needs to be met as and . In the long-term evolution game process, the electric power companies initially preferred to choose low-carbon production strategies, but when the cost of purchasing carbon trading rights is lower than the cost of adopting low-carbon technologies, all power companies will evolve towards traditional production strategies and reach an evolutionarily stable state. At this time, the stable strategy of the system is E1(0, 0), meaning that the power company chooses the traditional production method while the government chooses not to regulate. During this evolution game, the government’s regulatory measures have a significant impact on the power company’s choice of low-carbon production strategies. When the government adopts stricter regulatory measures, the power company is more likely to choose low-carbon production methods to avoid excessive emissions and the penalties that come with them. However, if the government adopts a strategy of non-regulation, then power companies will be more inclined to adopt traditional production methods in pursuit of higher economic efficiency. Therefore, there is a need to establish a relationship of cooperation and mutual trust between the government and the power companies in order to promote a win–win situation for both environmental protection and economic development. The government can provide technical support and economic incentives to power companies to encourage them to adopt more environmentally friendly and sustainable production methods. At the same time, governments also need to strengthen regulation and enforcement to ensure that enterprises comply with environmental regulations and standards to protect the environment and public health.
Figure 5.
Numerical simulation results to validate the conclusions drawn in Scenario I. E1(0, 0) is a unique long-term ESS, where the long-term evolutionary game phase trajectory curves of (x, y) over the time range of t ∈ [0, 10] are demonstrated in Cases 1 to 6. Here, Cases 1 to 6 represent the numerical simulation results under 121, 441, 961, 1681, 2601, and 3721 different initial game situations, respectively.
Scenario II: When meeting and , the electric power enterprises (Group A) tend to adopt the traditional production strategy (a pure strategy); meanwhile, the government implements a regulatory strategy. During the long-term evolution game process, the system’s strategy will evolve towards E2(0, 1). This means , i.e., the power enterprises will choose the traditional production method, while the governments tend to select a regulation strategy. To this end, the simulation results to verify this conclusion are demonstrated in Figure 6.

Figure 6.
Numerical simulation results to validate the conclusions drawn in Scenario II. E2(0, 1) is a unique long-term ESS, where the long-term evolutionary game phase trajectory curves of (x, y) over the time range of t ∈ [0, 10] are demonstrated in Cases 1 to 6. Here, Cases 1 to 6 represent the numerical simulation results under 121, 441, 961, 1681, 2601, and 3721 different initial game situations, respectively.
The simulation results shown in Figure 6 indicate that the internal equilibrium point of the system only achieves an evolutionary stable equilibrium state at E2(0, 1), while other equilibrium points are asymptotically unstable. At this time, the evolutionary stability condition is described as and . In the long-term evolution game process, the government initially tends to choose a non-regulatory strategy. However, as the number of games increases, the government finds that the cost of regulation is less than the fines obtained from companies choosing traditional production strategies. In this case, the government will fully evolve towards a regulatory strategy and reach a stable state, where the system’s evolutionary stable equilibrium strategy is (0, 1), meaning that electric power companies choose traditional production while the government chooses regulation. During the game, the government should consider the balance between costs and benefits when regulating while also strengthening regulatory measures to promote compliance with environmental regulations and protect the public interest. Electric power companies should adopt clean energy technologies, reduce pollutant emissions, enhance market competitiveness, and gradually achieve sustainable development.
Scenario III: When meeting , the electric power enterprises (Group A) tend to adopt the low-carbon production strategy (a pure strategy); meanwhile, the government implements a non-regulation strategy. During the long-term evolution game process, the system’s strategy will evolve towards E3(1, 0). This means , i.e., the power enterprises will choose the low-carbon production method, while the governments tend to select a non-regulation strategy. To this end, the simulation results to verify this conclusion are demonstrated in Figure 7.

Figure 7.
Numerical simulation results to validate the conclusions drawn in Scenario III. E3(1, 0) is a unique long-term ESS, where the long-term evolutionary game phase trajectory curves of (x, y) over the time range of t ∈ [0, 10] are demonstrated in Cases 1 to 6. Here, Cases 1 to 6 represent the numerical simulation results under 121, 441, 961, 1681, 2601, and 3721 different initial game situations, respectively.
The simulation results demonstrated in Figure 7 reveal that the system’s internal equilibrium point is only asymptotically stable at E3(1, 0), while other equilibrium points are evolutionarily unstable. At this point, the evolutionary stability condition is described as , under which the electric power companies tend to choose traditional production methods. However, as the number of evolution games increases, when the power enterprises find that the cost of purchasing carbon trading rights exceeds the cost of adopting low-carbon technologies, all power companies evolve towards adopting low-carbon production strategies and reach a long-term evolutionary stable equilibrium state. At this time, the system’s unique evolutionary stable strategy is E3(1, 0), meaning the power companies choose low-carbon production while the government opts not to regulate during the evolution game process. This stable strategy implies that power companies have recognized the advantages of low-carbon production and have chosen a more environmentally friendly production method. The government’s choice not to regulate also reflects its trust in the autonomous decision-making of enterprises and the self-regulating ability of the market. For power companies, it is essential to continuously engage in technological innovation and research and development to find more environmentally friendly and low-carbon production methods. They also need to pay attention to market changes and government policy adjustments to timely adjust their production strategies and maintain market competitiveness. For the government, it is necessary to continue addressing carbon emission issues and formulate corresponding policies and regulatory measures to encourage enterprises to adopt low-carbon production methods and promote the development of the environmental protection industry. Additionally, the government should continue to support technological innovation and research and development to advance and apply environmental protection technologies.
Overall, the dynamic simulation results depicted in Figure 5, Figure 6 and Figure 7 illustrate the evolution of strategic behavior between power companies and the government under different initial conditions and game iterations. In particular, the phase trajectories demonstrate how power companies and the government adjust their strategies over time in response to changing costs, regulatory environments, and carbon trading mechanisms. These results have significant implications for real-world carbon trading policies and corporate decision-making.
- (1)
- Implications for governmental policy: The simulations reveal that the government’s regulatory approach significantly influences the strategic behavior of power companies. For instance, when the government adopts a non-regulatory stance (as shown in Figure 5), power companies tend to revert to traditional, high-carbon production methods. However, when the government implements stricter regulatory policies (Figure 6), power companies are more likely to adopt low-carbon production strategies. This suggests that the government plays a critical role in steering companies towards sustainable practices by maintaining consistent and stringent regulations. Moreover, the results indicate that intermittent or weak regulatory efforts may lead to unstable equilibria, where companies oscillate between traditional and low-carbon strategies without fully committing to long-term sustainable solutions. As a policy implication, governments should not only enforce regulations but also provide ongoing incentives to maintain stability in the carbon market.
- (2)
- Corporate strategy and decision-making: For power companies, the simulation results highlight the importance of long-term investment in low-carbon technologies. In scenarios where the cost of adopting low-carbon technologies is lower than the cost of purchasing carbon credits (as in Scenario III), companies are more likely to evolve towards a stable low-carbon strategy. This suggests that companies should prioritize the development of low-carbon technologies to avoid the financial penalties associated with traditional production methods in the long run. Furthermore, the simulations underscore the importance of aligning corporate strategies with governmental policies to achieve both economic efficiency and regulatory compliance.
- (3)
- Coordinated efforts between the government and corporations: The simulations also demonstrate that cooperation between the government and power companies is essential for achieving an evolutionarily stable strategy (ESS) that benefits both parties. For example, the results indicate that when both the government and companies are committed to positive strategies (e.g., regulation and low-carbon production), the system reaches a stable state where environmental protection and economic development are aligned. On the other hand, if either party deviates from this cooperation, the system may experience instability or suboptimal outcomes. Therefore, fostering a cooperative relationship between the government and companies, potentially through shared incentives and technical support, is crucial for ensuring long-term success in reducing carbon emissions.
- (4)
- Role of carbon trading mechanisms: The dynamic simulations highlight the role of carbon trading mechanisms in influencing the strategic behaviors of power companies. When carbon prices are high, companies are incentivized to adopt low-carbon strategies to avoid the costs associated with purchasing carbon credits. Conversely, when carbon prices are low or volatile, companies may revert to traditional production methods. This underscores the importance of a well-regulated carbon market, where consistent pricing and government oversight ensure that carbon trading effectively encourages sustainable production practices.
5. Evolutionary Game Analysis of Electric Power Enterprises, Governments, and Third-Party Regulators under Carbon Trading Policies
The game between the government and power companies derived from the aforementioned analysis does not reach an ideal stable state. Therefore, this chapter decides to introduce a third-party regulator, constructing a three-party game involving the government, power companies, and the third-party regulator. It analyzes the evolutionary stable state of the three parties to provide policy recommendations for the government and references for companies on low-carbon emission reductions.
5.1. Three-Party Evolutionary Game Modeling
5.1.1. Model Assumptions
In this game, the participants include the government, power companies, and third-party regulatory agencies. The government’s strategy is to regulate or not regulate, the power companies’ strategy is to adopt low-carbon production or traditional production, and the third-party regulatory agencies’ strategy is to supervise or not supervise. The probability of power companies adopting low-carbon production strategy SA1 is x, i.e., the proportion of individuals in this group who choose the low-carbon production method; the probability of adopting traditional production strategy SA2 is 1 − x; the probability of the government regulating is y, i.e., the proportion of individuals in this group who select the regulation strategy SB1; the probability of not regulating (i.e., non-regulation strategy SB2) is 1 − y; the probability of third-party regulation supervision is z, i.e., the proportion of individuals in this group who choose the supervision strategy SC1; and the probability of not supervising (i.e., non-supervision strategy SC2) is 1 − z. Therefore, a total of eight different strategy combinations are generated in this three-party evolutionary game system. Based on this, Table 6 demonstrates the main parameter settings (unit: CNY ten thousand).
Table 6.
Main parameter settings in the three-party evolutionary game model.
5.1.2. Payoff Distribution Matrix
When the electric power companies, the government, and third-party regulators choose different strategies, they will obtain different benefit parameters. Table 7 shows the game payoff matrix for the three parties, namely power companies, the government, and third-party regulators.
Table 7.
The game payoff matrix for the three parties, namely power companies, the government, and third-party regulators.
5.1.3. Three-Party Replicator Dynamics Model
From Table 7, the expected returns for electric power enterprises adopting the low-carbon production strategy and traditional production strategy are and , respectively, with an average expected return of the entire group denoted by .
where the parameters in (17) are denoted as , , , , and .
Based on (17), we can obtain the replicator dynamics equation for the power enterprises as
Similarly, we can also define the expected returns for the government adopting the regulation strategy and non-regulation strategy as and , respectively, with an average expected return of the entire group denoted by .
where , , , , , and .
Based on (19), we can obtain the replicator dynamics equation for the government, expressed as follows:
where , , and .
Furthermore, we can define the expected returns for the third-party regulators adopting the supervision strategy and non-supervision strategy as and , respectively, with an average expected return of the entire group denoted by .
Based on (21), we can obtain the replicator dynamics equation for the third-party regulators, expressed as follows:
5.2. Theoretical Analysis and Numerical Simulation
5.2.1. Evolutionary Stability Analysis
Based on (18), (20), and (22), the complete replicator dynamics equations for this three-party asymmetric evolution game involving the government, electric power enterprises, and third-party regulators can be obtained as
Based on (23), we take , i.e., these three replicator dynamics equations’ values are set to zero, from which we can obtain a total of 10 internal equilibrium points, denoted by , , , , , , , , , and , where , and are described as
Here, the ninth and tenth equilibria are non-asymptotic steady states, so the first eight stable equilibria are discussed below.
From the above analysis, the replicator dynamics equations for the government, electric power enterprises, and third-party regulators can be analyzed, as shown in (23). Since Equation (22) contains only two variables, y and z, it can be concluded that the strategy choice of the third-party regulatory agency is only related to the proportion of individuals choosing a certain pure strategy in the government group, i.e., the ratio of a certain pure strategy selected in each round of the evolution game. Therefore, this paper will first analyze the evolutionary game between electric power enterprises and local governments, where we treat z as a constant, and then we can further analyze the evolutionary game between the local government and third-party regulators.
To this end, firstly, we analyze the equilibrium point of the evolutionary game between the government and electric power enterprises. From the above, this model holds true if and only if 0 ≤ x* ≤ 1 and 0 ≤ y* ≤ 1. At this point, the replicator dynamics equations for the government and power enterprises are shown in (25), and the corresponding Jacobian matrix, denoted by , can be obtained based on (25) as follows:
where the four elements in (26) are shown as
Furthermore, the values of the determinant and the trace of this Jacobian matrix , which are denoted by Det() and Tr(), respectively, are calculated as follows:
According to the Lyapunov stability criterion, the determinant and trace of the Jacobian matrix at each equilibrium point can be calculated, as summarized in Table 8. In this table, represents a saddle point, which is also an evolutionarily unstable equilibrium point. Moreover, is a saddle point of the system under any conditions.
Table 8.
The determinant and trace of the Jacobian matrix of the government–power enterprise evolution game at each point.
From Table 8, we can draw three conclusions as follows:
- (1)
- When and are satisfied, the increase in benefits obtained by power enterprises from choosing the low-carbon production strategies is less than the costs required for adopting low-carbon production technologies; meanwhile, when the fines imposed by the government and the costs incurred by power enterprises for choosing low-carbon production exceed the increase in benefits from low-carbon production, power companies will tend to adopt traditional production strategies to gain more profits. At this point, the evolutionary stable strategy adopted when both parties reach a long-term evolutionary stable equilibrium is (0, 1), meaning that power companies choose traditional production methods while the government chooses regulatory strategies.
- (2)
- When and , the additional benefits gained by power companies from choosing a low-carbon production strategy are less than the costs incurred when adopting such a strategy. When the revenue from government fines is less than the costs of regulation, power companies will actively adopt low-carbon production strategies to gain more benefits. The evolutionarily stable strategy that both parties adopt when they reach a long-term evolutionary stable equilibrium is (1, 0), meaning that power companies choose to produce using low-carbon methods while the government tends to opt for a non-regulatory strategy.
- (3)
- When and , when the benefits gained by power companies from choosing low-carbon production strategies exceed the costs required for adopting low-carbon technologies and the fines imposed by the government, and when the revenue from government fines exceeds the costs required for government regulation, the evolutionarily stable strategy at this time for the two parties is (1, 1), meaning that power companies choose low-carbon production strategies while the government chooses regulatory strategies.
We conduct an analysis of the equilibrium point within the evolutionary game framework involving the government and third-party regulatory agencies. As previously established, the validity of this model is contingent upon the conditions 0 ≤ y* ≤ 1 and 0 ≤ z* ≤ 1. At this juncture, the replicator dynamics equations governing the behavior of the government and third-party regulators are provided in Equation (29). Furthermore, the corresponding Jacobian matrix, denoted as , can be derived from Equation (29) as follows:
where the four elements in Equation (30) are shown as
Furthermore, the values of the determinant and the trace of this Jacobian matrix , which are denoted by Det() and Tr(), respectively, are calculated as follows:
According to the Lyapunov stability criterion, the determinant and trace of the Jacobian matrix at each equilibrium point can be calculated, as summarized in Table 9. In this table, represents a saddle point, which is also an evolutionarily unstable equilibrium point. Moreover, is a saddle point in the two-group evolution game system under any condition.
Table 9.
The determinant and trace of the Jacobian matrix of the government–regulator evolution game at each equilibrium point.
From Table 9, three cases are discussed as follows:
- (1)
- When , this two-party evolution game will achieve a long-term evolutionary stable state at (0, 0), which means that the government adopts the non-regulation strategy and meanwhile, the third-party regulators will tend to choose the non-supervision strategy.
- (2)
- When and , the evolutionary stable strategy will be formed at point (1, 0) in this two-group evolution game system, which indicates that the government will adopt the regulation strategy and meanwhile, the third-party regulators will tend to choose the non-supervision strategy.
- (3)
- When and , it can be inferred that the evolutionary stable strategy is (1, 1)(1,1), meaning that the government adopts a supervisory strategy while the third-party regulator also adopts a supervisory strategy.
The primary aim of this section is to identify the evolutionary conditions that guide the entire game system towards the development of positive strategies. Specifically, this involves the adoption of low-carbon production strategies by power companies, regulatory strategies by the government, and supervisory strategies by third-party regulatory agencies, thereby achieving an ideal long-term evolutionary stable equilibrium state. From the analysis above, it can be concluded that when the two conditions, and , are met, the dynamic system of the tripartite game will evolve towards an ESS at x = 1, y = 1, and z = 1.
5.2.2. Numerical Simulation Verification
Based on the aforementioned stability analysis, the conditions for the optimal state evolution in three distinct directions can be determined. To validate the accuracy of the theoretical framework, numerical simulations are conducted. The parameters for these simulations are chosen to ensure compliance with the specified conditions.
- (1)
- When and are satisfied, the values of these payoff parameters are set as follows: , , , , , , , , , , and . The simulation results are demonstrated in Figure 8.
Figure 8. Numerical simulation of the game situation under and .
Next, when and are met at the same time, the impact of the simultaneous changes in the willingness of electric power enterprises, the government, and third-party regulatory agencies to adopt positive strategies is illustrated. The simulation results are shown in Figure 9, Figure 10, Figure 11, Figure 12, Figure 13 and Figure 14.
Figure 9.
Numerical simulation of the phase trajectory for the established three-party long-term evolutionary game, starting with initial values of (0.1, 0.1, 0.1).
Figure 10.
Numerical simulation of the phase trajectory for the established three-party long-term evolutionary game, starting with initial values of (0.3, 0.3, 0.3).
Figure 11.
Numerical simulation of the phase trajectory for the established three-party long-term evolutionary game, starting with initial values of (0.5, 0.5, 0.5).
Figure 12.
Numerical simulation of the phase trajectory for the established three-party long-term evolutionary game, starting with initial values of (0.6, 0.6, 0.6).
Figure 13.
Numerical simulation of the phase trajectory for the established three-party long-term evolutionary game, starting with initial values of (0.8, 0.8, 0.8).
Figure 14.
Numerical simulation of the phase trajectory for the established three-party long-term evolutionary game, starting with initial values of (0.9, 0.9, 0.9).
From Figure 9, Figure 10 and Figure 11, it can be observed that when the willingness of power companies, the government, and third-party regulatory agencies to adopt positive strategies is below 0.5, the government consistently shows a stronger willingness to adopt positive strategies than power companies and third-party regulatory agencies. When all three participants show weak willingness to adopt positive strategies, the government will take the initiative to implement supervision strategies, encouraging power companies and third-party regulatory agencies to adopt positive strategies through policies. From Figure 12, Figure 13 and Figure 14, it can be observed that when the willingness of power companies, the government, and third-party regulatory agencies to adopt positive strategies is above 0.5, the willingness of power companies to adopt positive strategies, such as low-carbon production technologies, increases rapidly towards 1. Meanwhile, the speed at which the government’s willingness to supervise approaches 1 begins to lag behind that of power companies and third-party regulatory agencies. This indicates that as long as the government incurs minimal supervision and incentive costs, it can prompt power companies and third-party regulatory agencies to adopt positive strategies. The simulation results show that when the willingness of power companies and third-party regulatory agencies to adopt positive strategies is weak, the government should take the initiative to adopt supervisory strategies. Appropriate reward and punishment mechanisms can encourage power companies and third-party regulatory agencies to adopt positive strategies. When the willingness of power companies and third-party regulatory agencies to adopt positive strategies strengthens, the costs that the government needs to incur will relatively decrease.
Next, an analysis is conducted on how the willingness of power companies to adopt positive strategies changes when the willingness of the government and third-party regulatory agencies to adopt positive strategies remains unchanged. The evolutionary phase diagrams of the three parties are drawn to analyze how these diagrams will change. The simulation results are shown in Figure 15, Figure 16 and Figure 17.
Figure 15.
Numerical simulation of the phase trajectory for the established three-party long-term evolutionary game, starting with initial values of (0.1, 0.5, 0.5).
Figure 16.
Numerical simulation of the phase trajectory for the established three-party long-term evolutionary game, starting with initial values of (0.8, 0.5, 0.5).
Figure 17.
Numerical simulation of the phase trajectory for the established three-party long-term evolutionary game, starting with initial values of (0.9, 0.5, 0.5).
From Figure 15, Figure 16 and Figure 17, it can be seen that the willingness of power companies to adopt positive strategies changes while the willingness of the government and third-party regulatory agencies remains unchanged. Figure 15 shows that when the willingness of power companies to adopt positive strategies is weak, the speed at which the government’s willingness (y) to adopt positive strategies approaches 1 is faster than x. As x increases, the speed at which y approaches 1 gradually slows down. From Figure 16 and Figure 17, it can be observed that as x gradually increases, the speed at which y approaches 1 will gradually slow down relative to x. At the same time, the willingness of third-party regulatory agencies (z) to adopt positive strategies will also gradually decrease as x increases. The simulation results show that as the willingness of power companies to adopt positive strategies increases, the speed at which the willingness of the government and third-party regulatory agencies to adopt positive strategies approaches 1 will slow down. The willingness of power companies to adopt positive strategies will increase with the growth of the willingness of the government and third-party regulatory agencies to adopt positive strategies, and the growth rate of this willingness is faster than that of the third-party regulatory agencies. Compared to third-party regulatory agencies, power companies are more focused on maximizing profits, and the willingness of the government to adopt positive strategies will decrease as the willingness of third-party regulatory agencies and power companies to adopt positive strategies grows.
Overall, this section mainly analyzes the evolutionary game of the government, power companies, and third-party regulatory agencies, constructs a game model of the three parties, and derives the evolutionary stable equilibrium point of the three parties, analyzing its stability. After the stability analysis, a dynamic simulation analysis of the three parties was conducted, leading to the following conclusions: when the profits obtained by power companies from low-carbon production exceed the costs of research and the development of low-carbon technologies, excluding the costs of purchasing carbon trading, when the fines collected by the government through supervision exceed the costs incurred during supervision, and when the fines and subsidies received by third-party regulatory agencies exceed the costs of supervision, power companies will actively choose low-carbon production strategies, the government will actively choose supervision strategies, and third-party regulatory agencies will actively choose supervision, thereby achieving the ideal state described in this paper. When the willingness of all three parties to adopt positive strategies changes simultaneously and the willingness of power companies and third-party regulatory agencies to adopt positive strategies is weak, the government should take the initiative to adopt supervisory strategies. Appropriate reward and punishment mechanisms can encourage power companies and third-party regulatory agencies to adopt positive strategies. When the willingness of power companies and third-party regulatory agencies to adopt positive strategies strengthens, the costs the government needs to incur in supervision and incentives will relatively decrease.
5.3. In-Depth Interpretation of Long-Term Evolutionary Stable Points and Practical Implications
The dynamic simulation results reveal that the system’s strategy evolution converges towards specific long-term evolutionary stable points depending on the initial conditions and regulatory measures in place. These stable points represent key equilibrium states where the strategic behavior of both power companies and the government remains constant over time. The stability of these equilibrium points holds significant implications for both corporate decision-making and governmental policy.
5.3.1. Practical Implications for Firms
The identification of stable equilibrium points such as E1(0, 0) or E3(1, 0) offers critical insights into corporate strategy. When the system converges towards E1(0, 0), this indicates that firms favor traditional high-carbon-production methods while the government opts for a non-regulatory stance. In such cases, firms may prioritize short-term profits, but this exposes them to future risks if stricter regulations are eventually imposed. On the other hand, the stability of E3(1, 0) suggests that firms adopting low-carbon strategies can thrive even without government intervention, provided they take advantage of emerging market opportunities such as carbon credits and consumer demand for sustainable practices. Thus, firms should be strategic about transitioning to low-carbon technologies to mitigate long-term regulatory and market risks.
5.3.2. Implications for Government Policy
For governments, the convergence of the system towards equilibrium points like E2(0, 1) or E4(1, 1) highlights the importance of consistent regulatory enforcement. When E2(0, 1) is reached, firms maintain traditional production while the government implements strict regulation, leading to a stable but potentially suboptimal outcome where firms face significant costs due to penalties or carbon credit purchases. This suggests that regulatory policies should not only focus on penalizing high carbon production but also incentivize low-carbon adoption through subsidies or tax breaks. In contrast, the stability of E4(1, 1), where both the government regulates and firms adopt low-carbon strategies, represents an ideal scenario in which environmental goals are met, and firms remain competitive in a sustainable economy. Therefore, policy recommendations should encourage this cooperative equilibrium through financial support, research, and development initiatives for green technologies.
5.3.3. Synergy between Firms and Government
The simulations also highlight the need for coordination between government policies and corporate strategies to reach a mutually beneficial equilibrium. For example, when both parties move towards E4(1, 1), the government’s consistent regulation and the firm’s low-carbon strategy create a stable and sustainable outcome. However, if either party deviates from this path (e.g., if the government weakens its regulatory stance), the system may shift towards less favorable equilibria, such as E1(0, 0), leading to suboptimal outcomes for both the economy and the environment. Consequently, governments should not only enforce regulations but also foster a collaborative environment with firms through public–private partnerships, co-investment in green technologies, and transparent long-term policy frameworks that provide certainty for corporate planning.
6. Conclusions and Policy Implications
6.1. Main Conclusions
This paper mainly focuses on the analysis of the behavioral strategies of the government, power companies, and third-party regulatory agencies in the context of the increasingly severe energy crisis and environmental pollution. It establishes an evolutionary game model between the government and power companies, deriving the payoff matrix and replicator dynamics equations for both parties, analyzing the internal equilibrium point and the conditions for reaching stability, and finally deriving the stable strategy combinations for both parties. However, the results show that the game between the two parties does not reach the ideal stable state. Therefore, a third-party regulatory agency is added on this basis, and the evolutionary game model of the three parties is analyzed. Finally, the evolutionary stable conditions of the three parties are derived, reaching the ideal stable state. The simulation analysis verified the correctness of the results. The main conclusions obtained are as follows:
- (1)
- In the game between the government and power companies, it is observed that when power companies choose a low-carbon production method, the greater the benefits they receive and the more likely they are to choose low-carbon production methods. When the cost of carbon emission quotas increases, power companies are more inclined to choose low-carbon production, reducing carbon emissions and contributing to environmental protection. When the costs incurred by the government in supervision are too high, the government will choose not to supervise for the sake of efficiency.
- (2)
- When a third-party regulatory agency is added to the three-party evolutionary game analysis, if the benefits obtained by power companies from low-carbon production exceed the costs required for low-carbon technology development minus the cost of purchasing carbon emission quotas, if the costs incurred by the government in supervision are less than the benefits obtained from fines and other subsidies, and if the benefits obtained by third-party regulatory agencies from supervision exceed the costs incurred during supervision, power companies will choose low-carbon production methods, the government will choose supervision strategies, and third-party regulatory agencies will choose supervision strategies, ultimately achieving the ideal state described in this paper.
- (3)
- After adding a third-party regulatory agency, it can be observed that when the fine ratios for government supervision and third-party supervision increase accordingly, both parties in the game are more inclined to adopt positive evolutionary stable strategies.
- (4)
- When the willingness of power companies, the government, and third-party regulatory agencies changes simultaneously and the willingness of power companies and third-party regulatory agencies to adopt positive strategies is weak, the government should take the initiative to adopt supervisory strategies. Appropriate reward and punishment mechanisms can encourage power companies and third-party regulatory agencies to adopt positive strategies. When the willingness of power companies and third-party regulatory agencies to adopt positive strategies strengthens, the costs the government needs to incur in supervision and incentives will relatively decrease.
- (5)
- When the willingness of power companies to adopt positive strategies changes while the willingness of the government and third-party regulatory agencies to adopt positive strategies remains unchanged, as well as the willingness of power companies to adopt positive strategies increases, the speed at which the willingness of the government and third-party regulatory agencies to adopt positive strategies will slow down. Additionally, the willingness of power companies to adopt positive strategies will increase with the growth of the willingness of the government and third-party regulatory agencies to adopt positive strategies, and the growth rate of this willingness is faster than that of third-party regulatory agencies. Moreover, the willingness of the government to adopt positive strategies will decrease as the willingness of power companies and third-party regulatory agencies to participate grows.
6.2. Policy Implications
- (1)
- The government can reduce the proportion of carbon emission quotas or increase the price of carbon trading, prompting power companies to consider their own interests and actively adopt low-carbon production methods during production.
- (2)
- The government should consider more third-party regulatory supervision, delegate part of the supervision to third-party regulatory agencies, allow third-party regulatory agencies to replace the government in supervising low-carbon emission reductions, and adjust the intensity of third-party supervision as appropriate. Through reward and punishment mechanisms, third-party regulatory agencies can be more inclined towards active supervision, ensuring that companies comply with low-carbon emission reduction policies and forming a healthy three-party game.
- (3)
- Power companies should consciously participate in low-carbon emission reductions. In terms of low-carbon technology innovation, the government should provide more support and subsidies.
- (4)
- When the willingness of power companies and third-party regulatory agencies to adopt positive strategies is weak, the government should take the initiative to adopt supervisory strategies, playing a supervisory role. Appropriate subsidies and fines can encourage power companies and third-party regulatory agencies to adopt positive strategies.
- (5)
- A cooperative and trustworthy relationship between the government and power companies needs to be established to promote a win–win situation for environmental protection and economic development. The government can provide technical support and economic incentives to power companies, encouraging them to adopt more environmentally friendly and sustainable production methods. At the same time, the government also needs to strengthen supervision and law enforcement to ensure that companies comply with environmental regulations and standards, protecting the environment and public health.
Author Contributions
Conceptualization, Z.Z., L.C. and T.S.; methodology, Z.Z., L.C. and T.S.; formal analysis, Z.Z., L.C. and T.S.; investigation, Z.Z. and L.C.; writing—original draft preparation, Z.Z., L.C. and T.S.; writing—review and editing, Z.Z., L.C. and T.S.; funding acquisition, L.C. and T.S. All authors have read and agreed to the published version of the manuscript.
Funding
This research was funded by the Guangdong Basic and Applied Basic Research Foundation (no. 2022A1515010699, and no. 2023A151501131) and in part by the Guangzhou Education Bureau University Research Project—Graduate Research Project (no. 2024312278).
Institutional Review Board Statement
Not applicable.
Informed Consent Statement
Not applicable.
Data Availability Statement
Data are contained within the article.
Acknowledgments
We sincerely thank the associate editor and invited anonymous reviewers for their kind and helpful comments on our paper. Moreover, we sincerely thank Linxi Li, whose outstanding contributions were invaluable to the research presented in this paper. Linxi Li, as an undergraduate student under the supervision of the second author of this paper, played a crucial role in the development and analysis of the game theory strategies for carbon emission reductions among governments, power enterprises, and regulatory agencies within the context of carbon trading. His dedication and insights greatly enhanced the quality and depth of this study. We are deeply grateful for his efforts and wish him continued success in his future endeavors.
Conflicts of Interest
The authors declare no conflicts of interest.
Nomenclature
| Symbol/Abbreviation | Definition | |
| ESS | Evolutionarily stable strategy | |
| EU ETS | European Union Emissions Trading System | |
| RDE | Replicator dynamics equation | |
| SA1 | Strategy SA1 (low-carbon production strategy) | |
| SA2 | Strategy SA2 (traditional production strategy) | |
| SB1 | Strategy SB1 (regulation strategy) | |
| SB2 | Strategy SB2 (non-regulation strategy) | |
| SC1 | Strategy C1 (supervision) | |
| SC2 | Strategy C2 (non-supervision) | |
| M1 | Benefits gained by choosing SA1 | |
| M2 | Benefits gained by choosing SA2 | |
| M3 | Benefits to the government from SA1 | |
| C1 | Costs of implementing SA1 | |
| C2 | Costs of purchasing carbon credits (SA2) | |
| C3 | Government costs for regulation | |
| C4 | Government costs for pollution management | |
| S1 | Government subsidies for choosing SA1 | |
| G1 | Fines for choosing SA2 during regulation | |
| Benefits of low-carbon production for power companies | ||
| Benefits obtained from adopting traditional production strategies by electric power companies | ||
| Potential benefits the government gains from the low-carbon production strategies of electric power companies | ||
| Costs of equipment, personnel, maintenance, and other factors required for power companies when choosing low-carbon technologies for production | ||
| Cost of purchasing carbon emission rights in the carbon trading market for power companies when choosing traditional production | ||
| Costs required for the government to regulate electric power companies | ||
| Cost required for the government to manage the environmental pollution caused by power companies choosing traditional production | ||
| Benefits of low-carbon production for power companies | ||
| Cost of manpower and resources required when a third-party regulator chooses to supervise | ||
| Government-provided reward subsidies to companies that choose low-carbon production strategies during regulation | ||
| Subsidies provided for the actions of third-party regulators in fulfilling their responsibilities during government oversight | ||
| Fines for companies that choose traditional production strategies during government regulation | ||
| Losses incurred by companies that choose traditional production strategies when third-party regulators fulfill their supervisory responsibilities | ||
| Fines for the lack of supervision by third-party regulatory agencies during government oversight | ||
References
- Nie, Y. Research on Co-Evolution Mechanism and Path in China’s Power System under the Background of Transition. Ph.D. Thesis, China University of Mining and Technology, Xuzhou, China, 2017. [Google Scholar]
- Zhao, E.; Wang, H.; Lin, H. Research on ladder bidding strategy of thermal power enterprises according to evolutionary game in spot market. Electr. Power Constr. 2020, 41, 68–77. [Google Scholar]
- Wang, X.; Quan, J.; Liu, W. Study on evolutionary games and cooperation mechanism within the framework of bounded rationality. Syst. Eng. Theory Pract. 2011, 31, 82–93. [Google Scholar]
- Da, Q.; Zhang, J. Stability of evolutionary game equilibrium under bounded rationality. Syst. Eng. Theory Methodol. Appl. 2006, 15, 279–284. [Google Scholar]
- Lu, Q.; Chen, L.; Mei, S. Typical applications and prospects of game theory in power system. Proc. CSEE 2014, 34, 5009–5017. [Google Scholar] [CrossRef]
- Gao, J.; Sheng, Z. Elementary groping for evolutionary game theory and its application in electricity market. Autom. Electr. Power Syst. 2003, 27, 18–21. [Google Scholar]
- Liu, X.; Gao, B.; Li, Y. Review on application of game theory in power demand side. Power Syst. Technol. 2018, 42, 2704–2711. [Google Scholar]
- Zhang, Z.; Ling, J.; Feng, B. Research on equilibrium optimization of carbon trading market: Based on evolutionary game perspective. J. Cent. South Univ. For. Technol. (Soc. Sci.) 2022, 16, 50–58. [Google Scholar]
- Liang, X. Research on the Evolutionary Game of Enterprise Emission Reduction under Carbon Trading Mechanism. Master’s Thesis, North China University of Technology, Beijing, China, 2022. [Google Scholar]
- Zhang, J.; Zhang, H.; Liu, Y. Evolutionary game analysis of carbon asset pledge financing under heterogeneous emission reduction policies. China Environ. Manag. 2021, 13, 70–80. [Google Scholar] [CrossRef]
- Fang, G.; He, Y.; Tian, L. Evolutionary game analysis of government and enterprises carbon-reduction under the driven of carbon trading. China J. Manag. Sci. 2024, 32, 196–206. [Google Scholar]
- Zhang, T.; Liang, X.; Jiang, G. Evolutionary game study on enterprise emission reduction behavior in carbon trading. J. North China Univ. Technol. 2021, 33, 75–82. [Google Scholar]
- Yan, Y. A Study on Evolutionary Games of Low-Carbon Behaviors of Construction Stakeholders under Carbon Tax. Master’s Thesis, Chang’an University, Xi’an, China, 2021. [Google Scholar]
- Liu, H.; Zhang, Z.; Chen, Z.; Zhang, B.; Zhang, H. The impact of China’s electricity price deregulation on coal and power industries: Two-stage game modeling. Energy Policy 2019, 134, 110957. [Google Scholar] [CrossRef]
- Cao, A.; Han, B.; Qi, A. The dynamic analysis between government and enterprise in low-carbon economy. Low-Carbon Econ. 2011, 236, 74–78. [Google Scholar]
- Zu, Y.; Chen, L.; Fan, Y.; Li, C. Research on low carbon strategies in supply chain with environmental regulations based on differential game. J. Clean. Prod. 2018, 177, 527–546. [Google Scholar] [CrossRef]
- Simon, H. Invariants of human behavior. Annu. Rev. Psychol. 1990, 41, 1–20. [Google Scholar] [CrossRef] [PubMed]
- Kahneman, D. A perspective on judgment and choice: Mapping bounded rationality. Am. Psychol. 2003, 58, 697–720. [Google Scholar] [CrossRef]
- Cheng, L.; Liu, G.; Huang, H.; Wang, X.; Chen, Y.; Zhang, J.; Meng, A.; Yang, R.; Yu, T. Equilibrium analysis of general N-population multi-strategy games for generation-side long-term bidding: An evolutionary game perspective. J. Clean. Prod. 2020, 276, 124123. [Google Scholar] [CrossRef]
- Cheng, L.; Yin, L.; Wang, J.; Shen, T.; Chen, Y.; Liu, G.; Yu, T. Behavioral decision-making in power demand-side response management: A multi-population evolutionary game dynamics perspective. Int. J. Electr. Power Energy Syst. 2021, 129, 106743. [Google Scholar] [CrossRef]
- Kang, K.; Zhao, Y.; Zhang, J.; Liu, X.; Xu, Q.; Li, X. Evolutionary game theoretic analysis on low-carbon strategy for supply chain enterprises. J. Clean. Prod. 2019, 230, 981–994. [Google Scholar] [CrossRef]
- Liu, K.; Yang, D.; Wang, G.; Zhang, X.; He, S.; Sun, Y. Policy modeling and simulation on ecological civilization construction in China based on system dynamics. China J. Manag. Sci. 2020, 28, 209–220. [Google Scholar]
- Jiao, J.; Chen, J.; Li, L.; Wang, Y.; Sun, M. A study of local governments’ and enterprises’ actions in the carbon emission on mechanism of subsidy or punishment based on the evolutionary game. China J. Manag. Sci. 2017, 25, 140–150. [Google Scholar]
- Cheng, L.; Yu, T. Typical scenario analysis of equilibrium stability of multi-group asymmetric evolutionary games under the open and ever-growing electricity market. Proc. CSEE 2018, 38, 5687–5703. [Google Scholar]
- Marden, J.; Ruben, S.; Pao, L. A model-free approach to wind farm control using game theoretic methods. IEEE Trans. Control Syst. Technol. 2013, 21, 1207–1214. [Google Scholar] [CrossRef]
- Mojica-Nava, E.; Macana, C.; Quijano, N. Dynamic population games for optimal dispatch on hierarchical microgrid control. IEEE Trans. Syst. Man Cybern. Syst. 2014, 44, 306–317. [Google Scholar] [CrossRef]
- Ovalle, A.; Hably, A.; Bacha, S.; Siguerdidjane, H. Escort evolutionary game dynamics approach for integral load management of electric vehicle fleets. IEEE Trans. Ind. Electron. 2017, 64, 1358–1369. [Google Scholar] [CrossRef]
- Fang, Y.; Wei, W.; Liu, F.; Mei, S. Improving solar power usage with electric vehicles: Analyzing a public-private partnership cooperation scheme based on evolutionary game theory. J. Clean. Prod. 2019, 233, 1284–1297. [Google Scholar] [CrossRef]
- Tan, J.; Wang, L. Enabling reliability-differentiated service in residential distribution networks with PHEVs: A hierarchical game approach. IEEE Trans. Smart Grid 2016, 7, 684–694. [Google Scholar] [CrossRef]
- Chai, B.; Chen, J.; Yang, Z.; Zhang, Y. Demand response management with multiple utility companies: A two-level game approach. IEEE Trans. Smart Grid 2014, 5, 722–731. [Google Scholar] [CrossRef]
- Fang, D.; Zhao, C.; Yu, Q. Government regulation of renewable energy generation and transmission in China’s electricity market. Renew. Sustain. Energy Rev. 2018, 93, 775–793. [Google Scholar] [CrossRef]
- Lu, M.; Li, X.; Li, F.; Tan, W.; Li, H.; Wang, Y. Strategy of energy storage leasing configuration of photovoltaic power station cluster based on bi-level game optimization. Proc. CSEE 2022, 42, 5887–5898+6164. [Google Scholar]
- Cheng, L.; Chen, Y.; Liu, G. 2PnS-EG: A general two-population n-strategy evolutionary game for strategic long-term bidding in a deregulated market under different market clearing mechanisms. Int. J. Electr. Power Energy Syst. 2022, 142, 108182. [Google Scholar] [CrossRef]
- Zhang, H.; Xu, Z.; Zhou, D.; Chen, X.; Zhu, B. Waste cooking oil-to-energy under incomplete information: Identifying policy options through an evolutionary game. Appl. Energy 2017, 185 Pt 1, 547–555. [Google Scholar] [CrossRef]
- Cai, G.; Jiang, Y.; Huang, N.; Li, Y.; Lin, Y.; Chen, Q. Large-Scale electric vehicles charging and discharging optimization scheduling based on multi-agent two-level game under electricity demand response mechanism. Proc. CSEE 2023, 43, 85–99. [Google Scholar]
- Dong, F.; Wu, N.; Miao, J.; Liu, Y.; Huang, D.; Wang, Y. Study on evolutionary game model of thermal power regulation in large-scale wind power grid integration. Electr. Power 2018, 51, 151–157. [Google Scholar]
- Pan, Y.; Wang, M.; Miao, H.; Fan, C.; Zhu, Y. Incentive mechanism of V2G: An evolutionary game approach. J. Shanghai Jiaotong Univ. 2023, 1–20, ahead of print. [Google Scholar] [CrossRef]
- Du, Z.; Xu, E.; Zhang, X.; Li, L.; Tang, Z. Research on evolution and development of power generation scale and cost under tradable green certificates market in China. Electr. Power 2019, 52, 168–176. [Google Scholar]
- Zhao, X.; Ren, L.; Zhang, Y.; Wang, S.; Li, J. Evolutionary game analysis on the behavior strategies of power producers in renewable portfolio standard. Energy 2018, 162, 505–516. [Google Scholar] [CrossRef]
- Zuo, Y.; Zhao, X.; Zhang, Y.; Wang, S.; Li, J. From feed-in tariff to renewable portfolio standards: An evolutionary game theory perspective. J. Clean. Prod. 2019, 213, 1274–1289. [Google Scholar] [CrossRef]
- Zhang, Y.; Wang, X.; Sun, Q.; Wang, L.; Yan, J. Simulation analysis of renewable energy technology diffusion based on complex network evolutionary game. Power Syst. Technol. 2024, 48, 1573–1586. [Google Scholar]
- Ellerman, A.D.; Convery, F.J.; De Perthuis, C. Pricing Carbon: The European Union Emissions Trading Scheme; Cambridge University Press: Navi Mumbai, India, 2010; Available online: https://books.google.com.sg/books?id=pigVprvX56QC&dq=Pricing+Carbon:+The+European+Union+Emissions+Trading+Scheme&lr=&source=gbs_navlinks_s (accessed on 12 September 2024).
- Koch, N.; Grosjean, G.; Fuss, S.; Edenhofer, O. Politics matters: Regulatory events as catalysts for price formation under cap-and-trade. J. Environ. Econ. Manag. 2016, 78, 121–139. [Google Scholar] [CrossRef]
- Bushnell, J.; Peterman, C.; Wolfram, C. Local solutions to global problems: Climate change policies and regulatory jurisdiction. Rev. Environ. Econ. Policy 2008, 2, 175–193. [Google Scholar] [CrossRef]
- Alberola, E.; Chevallier, J.; Chèze, B. Price drivers and structural breaks in european carbon prices 2005–2007. Energy Policy 2008, 36, 787–797. [Google Scholar] [CrossRef]
- Zuo, S.; Zhang, G.; Yang, F.; Yuan, Y. An Evolutionary game approach to modeling firms’ strategic behavior under renewable portfolio standards. J. Clean. Prod. 2019, 224, 299–309. [Google Scholar] [CrossRef]
- Cheng, L. Theoretical Investigation on the Long-Term Evolutionarily Stable Equilibrium of Multi-Population Strategic Games in Electricity Market. Doctoral Dissertation, South China University of Technology, Guangzhou, China, 2019. [Google Scholar]
- Li, W. Reference and enlightenment of EU carbon emission trading system for the development of China’s carbon market. Mon. Hainan Financ. 2023, 413, 44–51. [Google Scholar]
- Ding, H.; Han, Z. Development and enlightenment of the EU carbon emission trading market. New Econ. 2022, 11, 54–60. [Google Scholar]
- Yuan, J. Experience of EU carbon pricing mechanism and its enlightenment to China. Energy China 2022, 44, 10–15. [Google Scholar]
- Wang, L. Current status and development trends of international carbon emission trading systems. Financ. Perspect. J. 2022, 7, 74–79. [Google Scholar]
- Lu, M.; Fang, X. Game analysis on carbon market from allocation of allowance. China J. Manag. Sci. 2015, 23, 807–811. [Google Scholar]
- Xie, J.; Dou, X. Carbon cap-and-trade pricing mechanism based on cooperative game theory. Manag. Rev. 2016, 28, 15–24. [Google Scholar]
- Hong, Z.; Chu, C.; Zhang, L.; Yu, Y. Optimizing an emission trading scheme for local governments: A Stackelberg game model and hybrid algorithm. Int. J. Prod. Econ. 2017, 193, 172–182. [Google Scholar] [CrossRef]
- Pan, Y.; Yang, W.; Ma, N.; Wang, H.; Yang, Y. Game analysis of carbon emission verification: A case study from Shenzhen’s cap-and-trade system in China. Energy Policy 2019, 130, 418–428. [Google Scholar] [CrossRef]
- Cramton, P.; MacKay, D.; Ockenfels, A.; Stoft, S. Global Carbon Pricing: The Path to Climate Cooperation; MIT Press: Cambridge, MA, USA, 2017; Volume 1, pp. 88–104. [Google Scholar] [CrossRef]
- Nordhaus, W.D. Climate change: The ultimate challenge for economics. Am. Econ. Rev. 2020, 109, 1991–2014. [Google Scholar] [CrossRef]
- Grubb, M.; Matthes, F.C.; Neuhoff, K. The economics of the European Union Emissions Trading System (EU ETS) market stability mechanism. Clim. Pol. 2021, 21, 720–739. [Google Scholar]
- Mehling, M.A.; van Asselt, H.; Das, K.; Droege, S. The role of international carbon markets in implementing the Paris agreement. Clim. Pol. 2019, 19, 1216–1229. [Google Scholar]
- Fischer, C.; Newell, R.G. Environmental and technology policy options in the electricity sector: Interactions and outcomes. Resour. Energy Econ. 2020, 42, 123–137. [Google Scholar]
- Hepburn, C.; Stern, N.; Stiglitz, J. Carbon Pricing: A critical perspective for climate policy. Nat. Clim. Chang. 2020, 10, 543–550. [Google Scholar]
- Pahle, M.; Burtraw, D.; Flachsland, C.; Kelsey, N.; Biber, E.; Meckling, J.; Edenhofer, O.; Zysman, J. Sequencing to ratchet up climate policy stringency. Nat. Clim. Chang. 2018, 8, 861–867. [Google Scholar] [CrossRef]
- Burtraw, D.; Palmer, K.; Woerman, M. Securing firm compliance under flexible regulation of greenhouse gas emissions. J. Environ. Econ. Manag. 2020, 100, 102311. [Google Scholar]
- Aldy, J.E.; Stavins, R.N. The promise and problems of pricing carbon: Theory and experience. J. Environ. Dev. 2012, 21, 152–180. [Google Scholar] [CrossRef]
- Kotchen, M.J.; Mansur, E.T. How Stringent Are the US EPA’s Proposed Carbon Pollution Standards for New Power Plants? Rev. Environ. Econ. Policy 2014, 8, 210–229. [Google Scholar] [CrossRef]
- Stavins, R.N. The Future of U.S. carbon-pricing policy. Nat. Clim. Chang. 2021, 11, 287–290. [Google Scholar]
- Wang, P. Impact of carbon trading on technology innovation of energy conservation and emission reduction in new era. Energy Energy Conserv. 2023, 210, 103–105. [Google Scholar]
- Wang, X. Non-cooperative game analysis of wind power integration. J. Henan Inst. Eng. Soc. Sci. Ed. 2015, 30, 5–8. [Google Scholar]
- Ho, E.; Rajagopalan, A.; Skvortsov, A.; Hassan, S.; Nguyen, H. Game theory in defence applications: A review. Sensors 2022, 22, 1032. [Google Scholar] [CrossRef] [PubMed]
- Maynard Smith, J.; Price, G. The logic of animal conflict. Nature 1973, 246, 15–18. [Google Scholar] [CrossRef]
- Cheng, L.; Yu, T. Nash equilibrium-based asymptotic stability analysis of multi-group asymmetric evolutionary games in typical scenario of electricity market. IEEE Access 2018, 6, 32064–32086. [Google Scholar] [CrossRef]
- Wu, K.; Feng, X. Improved replicated dynamic equations and its stability analysis. Pure Appl. Math. 2015, 31, 221–230. [Google Scholar]
- Cheng, L.; Zhang, J.; Yin, L.; Chen, Y.; Wang, J.; Liu, G.; Wang, X.; Zhang, D. General three-population multi-strategy evolutionary games for long-term on-grid bidding of generation-side electricity market. IEEE Access 2021, 9, 5177–5198. [Google Scholar] [CrossRef]
- Cheng, L.; Peng, P.; Lu, W.; Huang, P.; Chen, Y. Study of flexibility transformation in thermal power enterprises under multi-factor drivers: Application of complex-network evolutionary game theory. Mathematics 2024, 12, 2537. [Google Scholar] [CrossRef]
Disclaimer/Publisher’s Note: The statements, opinions and data contained in all publications are solely those of the individual author(s) and contributor(s) and not of MDPI and/or the editor(s). MDPI and/or the editor(s) disclaim responsibility for any injury to people or property resulting from any ideas, methods, instructions or products referred to in the content. |
© 2024 by the authors. Licensee MDPI, Basel, Switzerland. This article is an open access article distributed under the terms and conditions of the Creative Commons Attribution (CC BY) license (https://creativecommons.org/licenses/by/4.0/).