Next Article in Journal
Conformal Image Viewpoint Invariant
Previous Article in Journal
Process Capability Index for Simple Linear Profile in the Presence of Within- and Between-Profile Autocorrelation
 
 
Font Type:
Arial Georgia Verdana
Font Size:
Aa Aa Aa
Line Spacing:
Column Width:
Background:
Article

Considering Blockchain Technology and Fairness Concerns for Supply Chain Pricing Decisions under Carbon Cap-and-Trade Mechanism

School of Business, Nanjing Audit University, Nanjing 211815, China
*
Author to whom correspondence should be addressed.
Mathematics 2024, 12(16), 2550; https://doi.org/10.3390/math12162550
Submission received: 4 July 2024 / Revised: 12 August 2024 / Accepted: 16 August 2024 / Published: 18 August 2024

Abstract

To address the growing demand for green development, governments worldwide have introduced policies to promote a green economy. Among these policies, the carbon cap-and-trade mechanism is adopted as an effective approach to control carbon emissions. Additionally, blockchain may increase transparency in the industrial process. Despite focusing on improving its own green standards, the supply chain needs to establish stable cooperative relationship. Thus, we focus on a supply chain consisting of a dominant manufacturer and a retailer, where the manufacturer opts for implementing blockchain and the retailer selects their stance on fairness. We construct a Stackelberg game model and use backward induction to obtain the equilibrium solutions. In the supply chain, the highest profits can be achieved when the manufacturer adopts blockchain technology, provided that the cost of application is relatively low. For manufacturer and retailer, when the cost of applying blockchain is relatively low, they can both obtain maximized profits without applying blockchain and the retailer does not have fairness concerns. However, as the cost of inducing blockchain and the product’s reduction in carbon emission increase, the optimal strategies for manufacturer and retailer begin to diverge, which may affect the stability of the supply chain.

1. Introduction

The greenhouse effect and global climate change are now urgent worldwide challenges that require national attention due to the overabundance of carbon dioxide emissions. The environment is greatly impacted by the carbon dioxide produced by human economic activity. China has pledged to reach its “carbon peak” by 2030 (Liu et al., 2023 [1]), with the aim of stabilizing and then reducing its annual carbon dioxide emissions. By 2060, China hopes to be “carbon neutral” (Antimiani et al., 2023 [2]).
Due to the current global climate change, governments of various countries have introduced a series of laws and policies, such as carbon tax, carbon quotas, carbon trading, penalties, subsidies, and hybrid carbon policies, to limit carbon emissions (Alegoz et al., 2021 [3]). The carbon emission cap and trading mechanism, which combines administrative regulation with market adjustment, has been proven an effective way for controlling carbon emissions. The core of the carbon trading mechanism is that governments allocate a certain amount of carbon emission allowance to companies. If enterprises exceed these allowances during production, they must purchase additional carbon emission rights on the market. This mechanism incentivizes companies to improve energy efficiency and adopt cleaner technologies, thereby reducing carbon emissions without adding costs (Xu et al., 2016 [4]). Furthermore, customers are placing higher value on products that are low-carbon and environmentally friendly as a result of their growing knowledge of environmental protection. Concerns about sustainable goods among consumers are driving businesses to take environmental effects into account during the product design and production processes, as seen by the market’s increased demand for low-carbon items.
Facing increasing environmental standards and regulatory requirements globally, manufacturers are under pressure to adopt new technologies or update equipment to effectively control carbon emissions and reduce environmental pollution. For instance, the strict environmental regulations implemented in China in 2016 led to the closure of thousands of small and medium-sized enterprises, highlighting the direct impact of environmental regulations on business operations. Government incentives, such as subsidies to promote the increase in the use of clean energy (CER), not only help to mitigate climate change but also drive the green transformation of the economy (Bi et al., 2017 [5]). In addition to these regulations and incentives, the retailer’s fairness concerns can provide motivation for CER. However, despite these external factors providing momentum for the development of a low-carbon supply chain, manufacturers still face the challenge of information asymmetry (Sarkar et al., 2023 [6]), which may erode the trust necessary for transactions between producers and consumers, making the transaction process more complex and time-consuming, ultimately hindering cooperation and coordination among all participants. It is worth noting that some customers have distrust issues with low-carbon products, and in addition, many consumers hope that these products have traceability.
The application of blockchain in the carbon trading sector provides solutions to these problems, improving visibility and trustworthiness, while also significantly reducing the costs and intricacies associated with carbon trading (Fernando et al., 2021 [7]). With the feature of immutability, it is a distributed innovation in contrast to conventional centralized information sharing systems. These characteristics can provide a more efficient and transparent approach to carbon management. A typical example is the collaboration between IBM and Veridium Labs, which resulted in an innovative blockchain-based carbon credit trading solution (IBM Newsroom, 2018 [8]). This collaboration gave rise to a digital token called “Verde”, which is associated with the use of carbon credits. By utilizing the immutable recording and detailed traceability capabilities of blockchain, the system ensures the authenticity of carbon credit, thereby improving the credibility and efficiency of carbon credit transactions. China launched the world’s largest carbon trading plan in 2017, with the goal of reducing greenhouse gas emissions. To ensure transparency and prevent fraud, it has explored the use of blockchain technology in its emissions trading system. By recording transactions and carbon credits on distributed ledgers, the aim is to improve the integrity and efficiency of trading systems (Weng et al., 2018 [9]).
Blockchain has another application, which helps address the issues of emotional fairness and profit imbalance in the supply chain. For example, Starbucks collaborates with Microsoft to use blockchain technology to show customers and supply chain participants the movement and transformation of their coffee (Sokolowsky 2019 [10]). Amazon has implemented blockchain technology to provide end-to-end traceability for Nescafé coffee beans. This thorough transparency not only helps customers trust that the product is real and of high quality, but it also gives all participants in the supply chain the ability to understand each other’s profit, leading to more equitable outcomes for coffee producers who might otherwise be treated unfairly (Alamsyah et al., 2023 [11]).
In the field of research on supply chain fairness concerns, academia has traditionally focused on recycling and remanufacturing issues within closed-loop supply chains (Sumit et al., 2021 [12]; Li et al., 2021 [13]; Wang et al., 2023 [14]). However, with the increasing severity of global climate change trends, carbon emission policies and the emission reduction measures of manufacturers have become particularly critical, and their importance cannot be overlooked. Moreover, in the actual operation of supply chains, there is often an asymmetry and delay in information between upstream suppliers and downstream retailers, which makes the demand for fair transactions more urgent for downstream retailers (Sarkar et al., 2023 [6]).
Considering these background factors, it becomes clear that every link in the supply chain is essential to the overall sustainability. If a party in the supply chain excessively pursues economic benefits while neglecting the fairness of society and the environment, it can lead to environmental destruction and social instability. The use of blockchain and a focus on fairness can effectively balance the needs of different stakeholders and promote the achievement of sustainable development goals. Within the supply chain, different participants are interdependent, with connections in terms of resources, information, and interests. If any party feels treated unfairly, it can undermine the stability of the supply chain, increase barriers to cooperation, and even lead to the dissolution of cooperative relationships.
Although existing research has explored the impact of blockchain on supply chain emission reduction decisions (Hua et al., 2020 [15]; Yue et al., 2021 [16]), these studies have often neglected the carbon quota trading process and have not fully considered the impact of carbon trading costs on corporate emission reduction decisions and the strategic choice of introducing blockchain technology. To fill this research gap, this paper studies a supply chain model involving manufacturers and retailers under the context of carbon trading, where the manufacturer must decide whether to adopt blockchain technology, and the retailer shows concern for emotional fairness. This study specifically seeks to address the following issues: (1) Do the supply chain members always have the incentive to adopt blockchain technology and exhibit fairness concerns? (2) How does the reduction in the size of the market, the coefficient of cost for reducing carbon emissions, the cost per unit for implementing blockchain technology and a fairness concern coefficient affect the supply chain? (3) What are the optimal strategies for manufacturer and retailer, respectively, during independent decision-making and collective supply chain decision-making?
To respond to the questions raised above, we established a supply chain model that includes a dominant manufacturer and a following retailer. The manufacturer committed to reducing carbon emissions during its production activities. We think that the adoption of blockchain technology may increase cost per unit for implementing blockchain technology for the manufacturer, which may weaken certain factors of potential market size. Sometimes, in order to maintain the long-term stability of the supply chain, members of the supply chain not only focus on their own interests but also pay attention to the fairness of transactions, exhibiting fairness concern.
In situations where information is not fully transparent, both fairness concerns and the adoption of blockchain technology can mitigate uncertainty and build trust. The decision-makers’ perception of fairness can influence their decision-making behaviors, and especially when a party among the supply chain members perceives an unfair profit distribution, it will affect the cooperation between the upstream and downstream of the supply chain (Wu et al., 2014 [17]). As for blockchain, it helps retailers facing lower profit margins in implementing a suite of strategies to address unfair practices. By evaluating factors such as unit product carbon emission reductions, sales quantity, and profit, the members in a supply chain can select the most suitable strategies to optimize their supply chain management, aligning with their unique needs and market conditions.
We found that applying blockchain to the supply chain brings several advantages for both manufacturer and retailer, such as improving the cost per unit for implementing blockchain, increasing order quantity, and increasing profits. However, the increased cost of blockchain applications may reduce these benefits, leading to a decrease in profits. It is crucial for supply chain members to carefully weigh the costs and the benefits when adopting technological innovations to ensure sustainability without compromising competitiveness and profitability. Similar to previous studies (Zhang et al., 2018 [18]; Zhou et al., 2016 [19]), we assume that the retailer has fairness concerns. It may impact production efficiency and make it difficult to balance efficiency with the goal of reducing carbon emissions. If the cost of carbon reduction is relatively high and the cost of carbon trading is also relatively low, the retailer and manufacturer might find that sharing the carbon reduction costs through cooperation is more economical and effective. Under such circumstances, the retailer’s profit may be positively correlated with their level of fairness concerns, as both parties can gain economic incentives from carbon reduction through equitable profit-sharing and collaboration, thereby promoting the entire supply chain to evolve in a more environmentally friendly and sustainable direction.
The rest of this study is organized as follows: Section 2 reviews the relevant literature. We show the model framework and the equilibrium outcomes in Section 3. Section 4 analyzes the model. The models are compared in Section 5 and conduct numerical simulation in Section 6. We conclude the paper and discuss opportunities for future research. Section 7. Details of proofs are provided in Appendix A.

2. Literature Review

2.1. Supply Chain Management under Cap-and-Trade Policies

Supply chain operations under carbon trading mechanisms have been a focal point in numerous studies. Zhang, Nie, and Du (2011) [20] explored the strategic balancing act for manufacturers within cap-and-trade systems. They focused on how these entities must carefully manage the interplay between government-allocated emission quotas, permits acquired through emission trading, and the cost savings from implementing purification measures. The goal is to determine the most efficient production scale and strategy to maximize profits while adhering to environmental regulations. Abdallah et al. (2012) [21] proposed an optimization model specifically tailored for green supply chains. The goal of this model is to minimize carbon emissions by utilizing carbon trading and green procurement strategies. They conducted a lifecycle assessment to compare the environmental impact under various carbon cost scenarios, and adopted a mixed integer programming approach to identify the most cost-effective green procurement strategies in the entire supply chain. Drake et al. (2016) [22] assessed the influence of emissions regulations on firms’ technology adoption and capacity decisions. Their findings highlighted the potential for higher expected profits under conditions of uncertainty in cap-and-trade systems and the varied impact of subsidies on clean technologies adoption and overall emissions reduction. Motlagh et al. (2021) [23] studied the coordination challenges in sustainable supply chains, particularly under conditions of channel competition and different levels of green initiatives. They introduced a compensation-based contract mechanism aimed at coordinating the interests of different parties in the supply chain. They aimed to fairly distribute the surplus profits generated from coordinated green efforts by utilizing a Nash bargaining model. Sun and Yang (2021) [24] conducted a study to explore how competitive manufacturers can make optimal decisions on carbon emission reduction. They considered factors such as consumer environmental awareness and the implications of both carbon tax and cap-and-trade policies. By developing models to calculate company profits and social welfare under four different scenarios, they derived optimal strategies. Their research shows that cap-and-trade policies are more effective than carbon taxes in reducing emissions, enhancing social welfare, and bolstering the competitiveness of manufacturers. Toptal et al. (2014) [25] focused on the joint decision-making process for retailers regarding inventory replenishment and carbon emission reduction investments under carbon tax and cap-and-trade policies. They extended the economic order quantity model to incorporate the feasibility of carbon emission reduction investments and compared the cost low emission outcomes under different carbon policy scenarios. Wang et al. (2016) [26] used game theory models to analyze how manufacturers and retailers can coordinate their efforts to achieve common carbon emission reduction goals in the context of global warming and increasing market attention to low-carbon products. They considered two market structures: one dominated by retailers and the other with a balance of power. The study explored the use of cost-sharing and wholesale price premium contracts to maximize the overall profit of the supply chain while coordinating the interests of all parties involved. Jiang et al. (2019) [27] studies how general contractors and subcontractors in the construction supply chain make decisions on carbon emission reduction and profit distribution considering fairness concerns under the cap-and-trade policy, as well as the impact of fairness concerns on supply chain performance.
As opposed to these, we contribute to the literature by exploring the impact of consumer bounded rationality. The aforementioned studies are based on the assumption of decision-makers’ complete rationality, which means that decision-makers use their own benefit maximization as the criterion for decision-making. However, research in behavioral economics has shown that people have different behavioral concerns in decision-making and these concerns can influence the decision-makers’ actions. In reality, decision-makers often pay great attention to fairness, also known as fairness concerns.

2.2. Fairness Concerns of Supply Chain Members

Peer-induced fairness concern refers to the practice within a supply chain where members at the same level often compare their profits. If a retailer perceives that they are being treated unfairly compared to their peers in the industry, such as receiving higher wholesale prices or lower profits, they may feel a sense of injustice. Li and Jain (2016) [28] analyze the impact of consumers’ concerns about price fairness on the implementation of behavior-based pricing strategies by firms. They find that firms can achieve higher profits through such pricing when these concerns are strong. However, this practice reduces consumer surplus and, conversely, can increase social welfare to a certain extent. Du et al. (2018) [29] investigated retailers’ concerns for horizontal fairness in a supply chain, driven by sympathy or schadenfreude towards peers, and how these behaviors influence their pricing and profit decisions and impact the overall performance and profit distribution of the supply chain. It confirms that horizontal fairness concerns can increase retailers’ profits and improve the distribution channel’s performance. Teck-Hua Ho et al. (2014) [30] investigated the relationship between two forms of fairness and how it affects financial results in a supply chain with one supplier and two retailers. According to the findings, peer-induced fairness may result in higher wholesale pricing, but the second retailer’s earnings may be reduced, and the supplier’s profits may increase as a result. Nie and Du (2017) [31] studied the quantity discount contract problem between suppliers and two retailers in a dual channel supply chain under fairness concerns and proposed a coordination mechanism that combines quantity discount contracts with fixed fees. Wang et al. (2020) [32] studied how decision-making and cooperation in e-commerce supply chains are impacted by manufacturer’s fairness concerns. They developed an e-commerce supply chain model with a single manufacturer and e-commerce platform and proposed a coordination mechanism for decentralized decision-making models in order to maximize the supply chain’s overall performance.
As for vertical fairness concerns, they focus on the equity of profit distribution between different levels of the supply chain. In such case, if the retailer’s profit is significantly lower compared to the supplier, the retailer may feel it is unfair. This feeling may lead retailer to seek more reasonable wholesale prices or strive for a higher share of profits to maintain their perceived fairness. Pan et al. (2020) [33] considered a two-level supply chain model with a dominant retailer and two manufacturers and introduced a fairness concern coefficient to assess the level of equity considerations among participants. Their research delved into how fairness concerns influence profitability, utility, and pricing, revealing that the dominant retailer gains the maximum benefits when manufacturers exhibit fairness concerns. Qin et al. (2016) [34] explored the impact of fairness concerns on supply chain decision-making in the context of production cost information confidentiality, and evaluated how this confidentiality and bounded rationality affect supply chain performance. They found that while bounded rationality slightly decreases overall profits, it did not change the profit distribution between suppliers and retailers. In contrast, fairness concerns have led to an increase in profits in the supply chain and a more equitable distribution of profits. Li et al. (2020) [35] considered the fairness concerns of retailers and studied the impact of green level investment on marginal intensive green products and development intensive green products. Liu et al. (2020) [36] considered the impact of suppliers’ performance levels and fairness concerns on pricing and profits in the supply chain system. The results demonstrate that the designed coordination mechanism may successfully resolve conflicts that arise in the supply chain, stimulate the enthusiasm and initiative of supply chain members without harming their profits, and achieve long-term cooperation between retailers and multiple suppliers. Niederhoff et al. (2016) [37] studied how suppliers’ fairness concerns affect their choice of supply chain coordination contracts and compared the differences between these choices and profit maximization contracts. Liu et al. (2018) [38] studied order allocation in logistics service supply chains, revealing that fairness concerns in allocation and peer-induced concerns notably affect the optimal strategies for integrators and providers. They proposed an incentive contract to enhance allocation and boost integrators’ utility. Sun et al. (2023) [39] considered how manufacturers and retailers can develop optimal carbon emission reduction and green marketing strategies within a two-echelon low-carbon supply chain while considering fairness concerns, and how these decisions affect the utility of the supply chain members. Wang et al. (2023) [14] examined the pricing strategies for remanufactured and new products in e-commerce closed-loop supply chains, the manufacturers’ concerns about fairness, and how to coordinate the supply chain by designing a “dual-revenue and service-cost sharing” contract to improve overall efficiency and profits.
But the current literature has given little consideration to the impact of supply chain members’ fairness concerns on emission reduction and pricing decisions, as well as on the benefits of supply chain members under carbon emission regulation. In reality, companies at various nodes of the supply chain often exhibit fairness concerns during the carbon reduction process, which can influence their supply chain decisions regarding emission reduction and pricing.

2.3. Blockchain in Supply Chain Management

Choi et al. (2019) [40] delved into various operational models driven by consumer utility, emphasizing the significant role of blockchain applications in the luxury industry, particularly for diamond verification and appraisal. They emphasize that shopping convenience is a key factor in determining the optimal model. Lohmer et al. (2020) [41] used agent-based simulation method to analyze the strategies and chain reactions of blockchain technology in enhancing supply chain resilience. Their study focused on the impact of blockchain on supply chain risk management, particularly its influence on supply chain resilience. Giovanni et al. (2020) [42] compared the operation of traditional online platforms with blockchain systems in supply chains. They analyzed the economic benefits and operational advantages of implementing blockchain technology. So, they constructed a supply chain game model involving a supplier and a retailer, examining their strategic choices in the face of transaction costs and business risks, as well as the influence of blockchain technology on supply chain pricing decisions. Bai et al. (2021) [43] addressed the challenges of selecting and evaluating blockchain service providers in supply chain management by introducing a management decision support approach. This method identifies key blockchain service characteristics and provides a valuable tool for aligning blockchain services with organizational needs. Fan et al. (2022) [44] explored the use of blockchain in supply chain management. They proposed a three-stage model involving suppliers, manufacturers, and retailers to determine the optimal conditions for adopting blockchain. They also analyzed the role of revenue-sharing contracts in enhancing supply chain coordination during the adoption of blockchain technology. Zhang et al. (2022) [45] discussed the impact of blockchain technology on retail market price competition and retailer strategies in a competitive environment. It was found that adopting blockchain technology is not always advantageous for competing retailers. Retailers only choose to use this technology when consumer privacy concerns are low and information transparency is high. Niu et al. (2021) [46] studied a cooperative competitive supply chain consisting of a multinational firm located in a high-tax country/region and an electronic retailer sourcing from the multinational firm and reselling the goods. They believed that the implementation of blockchain technology is a double-edged sword. While it can increase wholesale profits, it may also have the potential to reduce retail profits and the benefits of tax planning. Especially when there is a significant tax gap and intense retail competition, multinational firms may not be able to benefit from blockchain technology. Li et al. (2022) [47] studied the impact of manufacturers adopting blockchain technology on green investment in a sustainable supply chain that considers the retailer’s concerns for fairness and environmental taxes. They found that while blockchain can increase consumer sensitivity to green products and improve supply chain performance, it may also reduce the positive effects of fairness, especially when consumer sensitivity to green products significantly increases.
The differences between this study and the relevant research are presented in Table 1.

3. Model Description

In this study, we mainly discuss the decision-making of a two-echelon low-carbon supply chain. The leading manufacturer (she) and the following retailer (he) constitute a Stackelberg game. The manufacturer must manage carbon emissions by implementing the appropriate measures as mandated by carbon quotas and trading mechanisms. She must decide whether to embrace blockchain or not in the interim. Adopting blockchain has the ability to increase market growth and boost consumer trust in low-carbon products when compared to not doing so. The dominant manufacturer may consider the fairness concerns to maintain the long-term stability of the whole supply chain.
In order to maximize her own profit, the manufacturer produces her products with a unit production cost c and then sells them to the retailer with a wholesale price w . Then, as a follower, the downstream retailer sets prices based on factors such as the manufacturer’s wholesale price, reducing carbon emissions and the strategic use of blockchain.
The market demand q is featured by q = α λ p + θ e (Wang et al., 2023 b [48]), where α > 0 is the maximum potential market demand while the market scale is reduced to without blockchain; λ > 0 and θ > 0 denote the reduction in the size of the market and low-carbon concerns of consumer, respectively. Following previous studies on supply chains, we assume that 1 2 k e 2 is the cost of reducing carbon emissions where k represents the coefficient of cost for reducing carbon emissions. The descriptions of the parameters and decision variables used in the text are provided in Table 2.

4. Equilibrium Analyses

In this study, we assume that the market demand without blockchain and with blockchain are q N and q B , respectively. The potential market size is α under case B (with blockchain), while the market scale is reduced to α λ under case N (without blockchain). The price elasticity coefficient is 1 (Ferrer et al., 2006 [49]). The manufacturer’s total cost to realize carbon emission reduction is 1 2 k e 2 , where k is the coefficient of cost for reducing carbon emissions and e is the product’s carbon emission reduction.
q N = α λ p + θ e
q B = α p + θ e

4.1. Without Fairness Concern and Blockchain (Case NN)

When the manufacturer does not consider using blockchain and the retailer does not have fairness concerns. The manufacturer’s and retailer’s profits in case NN are given as follows:
π m N N ( w , e ) = ( w c ) ( α λ p + θ e ) t ( ( s e ) ( α λ p + θ e ) Q ) 1 2 k e 2
π r N N ( p ) = ( p w ) ( α λ p + θ e )
Derived from Equation (3), H π m = 1 1 2 ( t + θ ) 1 2 ( t + θ ) k + t θ ; therefore, when 4 k ( t + θ ) 2 > 0 , the Hessian matrix is negative define, and to ensure the model is meaningful, we assume α c s t λ > 0 , which implies that decision models are solvable and optimal decisions are positive and finite.
As the Stackelberg leader, the manufacturer first announced wholesale price and carbon emission reduction. Second, the retailer determined the retail price based on the leader’s decision. Backward induction was used to solve the optimizations. The optimal solutions can be easily derived and are given in Lemma 1.
Lemma 1. 
Without blockchain and fairness concerns, the optimal solution in Case NN is as follows:
e N N * = ( t + θ ) ( α c s t λ ) 4 k ( t + θ ) 2 ,
w N N * = 2 k ( α + c + s t λ ) ( t + θ ) ( t ( α + s θ λ ) + c θ ) 4 k ( t + θ ) 2 ,
q N N * = k ( α c s t λ ) 4 k ( t + θ ) 2 ,
p N N * = c ( k θ ( t + θ ) ) + k ( 3 α + s t 3 λ ) t ( t + θ ) ( α + s θ λ ) 4 k ( t + θ ) 2 ,
π m N N * = Q t + c 2 k 2 c k ( α s t λ ) + k ( α s t λ ) 2 8 k 2 ( t + θ ) 2 ,
π r N N * = k 2 ( α c s t λ ) 2 ( 4 k ( t + θ ) 2 ) 2 .
By analyzing the optimal solutions of Case NN, the proposition can be derived as follows:
Proposition 1. 
Role of the reduction in the size of the market in Case NN.
(i) The first derivatives of e N N , q N N , π m N N , and π r N N are negatively correlated with λ .
(ii) For the wholesale price: When θ 2 4 < k θ 2 , if 0 < t < 2 k θ , then w N N decrease with λ . When k > θ 2 , if 0 < t < 8 k + θ 2 θ 2 , then w N N decrease with λ ; if 8 k + θ 2 θ 2 < t < 2 k θ , then w N N increase with λ .
(iii) For the retail price: When θ 2 4 < k 4 θ 2 , if 0 < t < 2 k θ , then p N N decrease with λ . When k > 4 θ 2 , if 0 < t < 12 k + θ 2 θ 2 , then p N N decrease with λ ; if 12 k + θ 2 θ 2 < t < 2 k θ , then p N N increase with λ .
Proposition 1 demonstrates that product’s carbon emission reduction, order quantity, the manufacturer’s profit, and the retailer’s profit are all decreasing with λ . The impacts wholesale price and retail price are related to the coefficient of cost for reducing carbon emissions k and carbon trading price t . For example, when cost coefficient of carbon emission reduction and the cost of carbon trading are relatively low, the wholesale price is negatively correlated with λ . When the coefficient of cost for reducing carbon emissions is relatively high ( k > θ 2 ), if the cost of carbon trading is lower than a specific threshold, w N N will decrease with λ . If the cost of carbon trading exceeds a specific threshold, w N N will increase with λ .

4.2. The Manufacturer Adopts Blockchain Technology (Case BN)

Manufacturer adopting blockchain will result in the unit operating costs associated with blockchain. Let b > 0 denote the cost per unit for implementing blockchain technology. To make sure case BN is meaningful, we assume 4 k ( t + θ ) 2 > 0 and α ( b + c + s t ) β > 0 , which implies that decision models are solvable and optimal decisions are positive and finite.
The manufacturer’s profit:
π m B N ( w , e ) = ( w c b ) ( α p + θ e ) t ( ( s e ) ( α p + θ e ) Q ) 1 2 k e 2
The retailer’s profit:
π r B N ( p ) = ( p w ) ( α p + θ e )
By applying backward induction, the optimal solutions in Case BN can be derived in Lemma 2.
Lemma 2. 
The manufacturer adopts blockchain technology; the optimal solution in Case BN is as follows:
e B N * = ( α b c s t ) ( t + θ ) 4 k ( t + θ ) 2 ,
w B N * = 2 k ( a + b + c + s t ) ( ( b + c + s t ) θ + t a ) ( t + θ ) 4 k ( t + θ ) 2 ,
q B N * = k ( α b c s t ) 4 k ( t + θ ) 2 ,
p B N * = b k ( 3 a + b + c + s t ) ( ( b + c + s t ) θ + t a ) ( t + θ ) 4 k ( t + θ ) 2 ,
π m B N * = Q t + k ( α b c s t ) 2 2 ( 4 k ( t + θ ) 2 ) ,
π r B N * = k 2 ( α b c s t ) 2 ( 4 k ( t + θ ) 2 ) 2 .
By analyzing the optimal solutions of Case BN, Proposition 2 can be derived as follows.
Proposition 2. 
Role of the cost per unit for implementing blockchain in Case BN.
(i) The first derivatives of e B N , q B N , π m B N , and π r B N are negatively correlated with b .
(ii) For the wholesale price: When θ 2 4 < k θ 2 2 , if 0 < t < 2 k θ , then w B N decrease with b . When θ 2 2 < k θ 2 , if 0 < t < 2 k θ 2 θ , then w B N increase with b ; if 2 k θ 2 θ < t < 2 k θ , then w B N decrease with b . When k > θ 2 , w B N increase with b .
(iii) For the retail price: When θ 2 4 < k θ 2 , if 0 < t < 2 k θ , then p B N decrease with b . When θ 2 < k 4 θ 2 , if 0 < t < k θ 2 θ , then p B N increase with b ; if k θ 2 θ < t < 2 k θ , then p B N decrease with b . When k > 4 θ 2 , p B N increase with b .
From Proposition 2, we know that under Case BN, the higher the cost per unit for implementing blockchain technology, the lower the product’s carbon emission reduction, order quantity, the manufacturer’s profit, and the retailer’s profit. Moreover, when k is less than a certain threshold ( θ 2 4 < k θ 2 2 ), the wholesale price always decreases as b increases, and when k is more than a certain threshold ( k > θ 2 ), the product wholesale price always increases as b increases. When k is within a specific range ( θ 2 < k 4 θ 2 ), if 0 < t < k θ 2 θ , the wholesale price will increase as b increases. Proposition 2(iii) demonstrates how the impact of b on the wholesale price is equal to that of b on the retail price.

4.3. Decisions with Retailer’s Fairness Concerns (Case NF)

Due to the manufacturer’s dominant position, which has led to a great deal of resentment in the retailer, it benefits the most. At this time, the retailer’s concern for a fair distribution of profits will have a huge impact on the operation of the supply chain. Therefore, the retailer will not take maximizing their profits as the objective function but pay more attention to the profit gap between themselves and the manufacturer. Referring to the handling method of Nie et al. (2017) [31], a simplified fairness utility function is adopted. Thus, the retailer’s utility function under fairness concerns can be represented:
U r = π r γ ( π m π r )
in which γ > 0 represents the retailer’s coefficient of fairness concern; the larger the value of γ , the higher the level of the retailer’s concern for fairness. The utility of the retailer is negatively correlated with the difference in profits between manufacturer and retailer. When manufacturer earns more profits than the retailer, the utility of the retailer decreases.
The profits of the manufacturer and the retailer in case NF are as follows:
π m N F ( w , e ) = ( w c ) ( α λ p + θ e ) t ( ( s e ) ( α λ p + θ e ) Q ) 1 2 k e 2
π r N F = ( p w ) ( α λ p + θ e )
By applying backward induction, the optimal solutions in Case NF can be derived in Lemma 3.
Lemma 3. 
Considering the retailer’s fairness concern, the optimal decisions and profits in Case NF are as follows:
w N F * = 2 k ( c + s t ) ( 1 + 3 γ ) c ( 1 + γ ) θ ( t + θ ) + 2 k ( 1 + γ ) ( α λ ) t ( 1 + γ ) ( t + θ ) ( α + s θ λ ) 4 k ( 1 + 2 γ ) ( 1 + γ ) ( t + θ ) 2 ,
q N F * = k ( 1 + 2 γ ) ( α c s t λ ) 4 k ( 1 + 2 γ ) ( 1 + γ ) ( t + θ ) 2 ,
e N F * = ( 1 + γ ) ( t + θ ) ( α c s t λ ) 4 k ( 1 + 2 γ ) ( 1 + γ ) ( t + θ ) 2 ,
p N F * = c ( k + 2 k γ ( 1 + γ ) θ ( t + θ ) ) + k ( 1 + 2 γ ) ( s t + 3 α 3 λ ) t ( 1 + γ ) ( t + θ ) ( α + s θ λ ) 4 k ( 1 + 2 γ ) ( 1 + γ ) ( t + θ ) 2 ,
π m N F = Q t + c k ( 1 + γ ) ( c + 2 ( s t α + λ ) ) + k ( 1 + γ ) ( α s t λ ) 2 8 k ( 1 + 2 γ ) 2 ( 1 + γ ) ( t + θ ) 2 ,
π r N F = k 2 ( 1 + 2 γ ) ( 1 + 4 γ ) ( α c s t λ ) 2 ( k ( 4 + 8 γ ) ( 1 + γ ) ( t + θ ) 2 ) 2 .
By analyzing the optimal solutions of Case NF, some propositions could be derived as follows:
Proposition 3. 
Role of the reduction in the size of the market in Case NF.
(i) The first derivatives of e N F , q N F , π m N F , and π r N F are negatively correlated with λ .
(ii) For the wholesale price: When ( 1 + γ ) θ 2 4 + 8 γ < k ( 1 + γ ) ( 1 + 2 γ ) θ 2 ( 1 + 3 γ ) 2 , if 0 < t < 2 k ( 1 + 2 γ ) 1 + γ θ , then w N F decrease with λ . When k > ( 1 + γ ) ( 1 + 2 γ ) θ 2 ( 1 + 3 γ ) 2 , if 0 < t < 8 k + θ 2 θ 2 , then w N F decrease with λ ; if 8 k + θ 2 θ 2 < t < 2 k ( 1 + 2 γ ) 1 + γ θ , then w N F increase with λ .
(iii) For the retail price: When ( 1 + γ ) θ 2 4 + 8 γ < k 4 ( 1 + γ ) θ 2 1 + 2 γ , if 0 < t < 2 k ( 1 + 2 γ ) 1 + γ θ , then p N F decrease with λ . When k > 4 ( 1 + γ ) θ 2 1 + 2 γ , if 0 < t < 1 2 ( 12 k ( 1 + 2 γ ) 1 + γ + θ 2 θ ) , then p N F decrease with λ ; if 1 2 ( 12 k ( 1 + 2 γ ) 1 + γ + θ 2 θ ) < t < 2 k ( 1 + 2 γ ) 1 + γ θ , then p N F increase with λ .
Similar to Proposition 2, the reduction in the size of the market also has a negative impact on the lower the product’s carbon emission reduction, order quantity, the manufacturer’s profit, and the retailer’s profit, and the impacts of λ on wholesale price and retail price are also related to t and k .
Proposition 4. 
Role of fairness concerns in Case NF.
(i) The first derivatives of e N F and π m N F are negatively correlated with γ .
(ii) For the order quantity: q N F has a positive correlation with γ .
(iii) For the wholesale price: When ( 1 + γ ) θ 2 4 + 8 γ < k ( 1 + γ ) ( 1 + 2 γ ) θ 2 ( 1 + 3 γ ) 2 , if 0 < t < 2 k ( 1 + 2 γ ) 1 + γ θ , then w N F decrease with γ . When k > ( 1 + γ ) ( 1 + 2 γ ) θ 2 ( 1 + 3 γ ) 2 , if 0 < t < 8 k + θ 2 θ 2 , then w N F decrease with γ ; if 8 k + θ 2 θ 2 < t < 2 k ( 1 + 2 γ ) 1 + γ θ , then w N F increase with γ .
(iv) When 0 < t < 3 θ   p N F decrease with γ and increase otherwise.
(v) For the retailer’s profits: When ( 1 + γ ) θ 2 4 + 8 γ < k ( 2 + 5 γ ) θ 2 4 + 8 γ , if 0 < t < 2 k ( 1 + 2 γ ) 1 + γ θ , then π r N F decrease with γ . When k > ( 2 + 5 γ ) θ 2 4 + 8 γ , if 0 < t < 2 k ( 1 + 2 γ ) 2 + 5 γ θ , then π r N F increase with γ ; if 2 k ( 1 + 2 γ ) 2 + 5 γ θ < t < 2 k ( 1 + 2 γ ) 1 + γ θ , then π r N F decrease with γ .
Proposition 4 (i) and (ii) shows that the product’s carbon emission reduction and the manufacturer’s profit decrease as γ increase, and the relationship between the order and the fairness concerns is opposite of the above. Proposition 4(iii) demonstrates that the effect of fairness concerns on wholesale price is manifold. When k is below a specific threshold, w N F decrease with γ . When t is greater than a certain threshold, if t is also higher than a certain threshold, w N F increase with γ . According to Proposition 4(iv), the retail price will decrease with γ if the cost of carbon trading is sufficiently low. From Proposition 4(v), when the coefficient of cost for reducing carbon emissions is relatively low, it implies that manufacturer can implement carbon reduction measures with little impact on her profits. However, if the retailer has a strong concern for fair profit distribution, he may demand a share of the additional profits resulting from carbon reduction measures. In this case, the manufacturer, leveraging her dominant position, might negotiate to pass on some of the costs to the retailer or exert pressure in profit distribution to maintain her leading position and profit advantage. As a result, the retailer’s profits may decrease due to his pursuit of fairness, leading to a negative correlation between his actual profits and his fairness concern.
Proposition 5. 
Role of coefficient of cost for reducing carbon emissions.
(i) The first derivatives of e N N , e B N , e N F , q N N , q B N , q N F , π m N N , π m B N , π m N F , π r N N , π r B N , and π r N F are negatively correlated with k .
(ii) For the wholesale price: If t > θ , w N N and w B N increase with k and decrease otherwise, t > θ λ 1 2 γ , w N F increase with k and decrease otherwise,
(iii) For the retail price: If t > 3 θ , p N N , p B N , and p N F increase with k and decrease otherwise.
No matter the manufacturer adopts blockchain or the retailer has fairness concerns, the product’s carbon emission reduction, order quantity, the manufacturer’s profit, and the retailer’s profit are all negatively correlated with the coefficient of cost for reducing carbon emissions. For the wholesale price, the level of carbon trading prices plays a decisive role in the relationship between wholesale price and the carbon emission reduction cost coefficient. When the cost of carbon trading exceeds a certain preset threshold, a positive correlation emerges between wholesale prices and the coefficient of cost for reducing carbon emissions. In this scenario, as the cost of carbon reduction increases, manufacturer may raise wholesale prices, partially passing on the increased costs to retailer. This reflects the heightened sensitivity of manufacturer to carbon emission costs at higher carbon trading prices and their strategy of adjusting cost burdens through pricing mechanisms. Conversely, when the cost of carbon trading is below this threshold, the situation is reversed. In terms of retail pricing, if the cost of carbon trading exceeds a certain threshold. There is a positive correlation between the retail price and the coefficient of cost for reducing carbon emissions in three different cases. However, if the cost of carbon trading falls below this threshold, the relationship between the retail price and the coefficient of cost for reducing carbon emissions becomes negative. This relationship may be influenced by a variety of factors. When the cost of carbon trading is high, the retailer may believe that consumers are willing to pay a higher price for products that reduce their carbon footprint, thereby increasing the retail price. Conversely, when the cost of carbon trading is relatively low, the retailer may choose to lower prices to attract consumers and compensate for the potential loss of market share due to increased environmental costs (Proposition 5).

5. Comparison

The equilibrium findings obtained in Section 4 under the three cases are compared in this section. The following propositions illustrate the comparative results on the product’s carbon emission reduction, order quantity, the manufacturer’s profit, and the retailer’s profit.
Proposition 6. 
The comparative results regarding the product’s carbon emission reduction under the three cases are given as follows:
(i) If  0 < b < λ , e B N * > e N N * > e N F * ;
(ii) If  λ < b < 4 k ( λ + ( α c s t + λ ) γ ) ( 1 + γ ) ( t + θ ) 2 λ k ( 4 + 8 γ ) ( 1 + γ ) ( t + θ ) 2 , e N N * > e B N * > e N F * ;
(iii) If  4 k ( λ + ( α c s t + λ ) γ ) ( 1 + γ ) ( t + θ ) 2 λ k ( 4 + 8 γ ) ( 1 + γ ) ( t + θ ) 2 < b < a c s t , e N N * > e N F * > e B N * .
Proposition 6 shows the product’s carbon emission reduction for these three cases. The result reveals that each case has e N N * > e N F * . The intuition behind the observation is as follows: If the retailer is more focused on fair profit distribution, he is likely to devote more energy and resources to negotiations and competition with the manufacturer, rather than to joint efforts in carbon reduction. This could lead to an increase in carbon emissions within the supply chain.
With regard to Case BN and Case NN: Note that if cost per unit for implementing blockchain technology is not sufficiently high ( 0 < b < λ ), then regardless of whether the manufacturer is fair-minded or not, adopting blockchain can improve the product’s carbon emission reduction and order quantity. In addition, if the cost per unit for implementing blockchain remains below a certain threshold, the manufacturer’s profit with blockchain will be higher than without it. However, if the cost per unit for implementing blockchain exceeds this threshold, the manufacturer’s profit margin will decrease. The impact of blockchain implementation costs on profit margins is an important factor to consider for manufacturer. This indicates that cost per unit for implementing blockchain is the primary determinant of whether or not the manufacturer uses blockchain technology.
Proposition 7. 
The comparative results for the order quantity under the three cases satisfy the following relationship:
(i) If  0 < b < λ , q B N * > q N N * > q N F * ;
(ii) If  λ < b < ( α c s t ) γ ( t + θ ) 2 + ( 1 + 2 γ ) ( 4 k ( t + θ ) 2 ) λ k ( 4 + 8 γ ) ( 1 + γ ) ( t + θ ) 2 , q N N * > q B N * > q N F * ;
(iii) If  ( α c s t ) γ ( t + θ ) 2 + ( 1 + 2 γ ) ( 4 k ( t + θ ) 2 ) λ k ( 4 + 8 γ ) ( 1 + γ ) ( t + θ ) 2 < b < α c s t , q N N * > q N F * > q B N * .
Proposition 7 presents the comparative results regarding the order quantity in the three cases. The results shows that the order quantity under NN is always higher than that under NF. If the retailer is not concerned with fairness and increases retail price to pursue higher profits, this will diminish the product’s market competitiveness, resulting in a decrease in order quantity. On the other hand, when the retailer has a fairness concern, he is more likely to maintain reasonable pricing, which not only attracts more customers and boosts sales but also fosters a positive cooperative relationship with the manufacturer. This approach can enhance the efficiency and profitability of the supply chain over time. When the cost per unit for implementing blockchain is relatively low, the manufacturer is willing to adopt this technology. The immutability and transparency of blockchain make transactions more reliable and transparent, enhancing trust among participants and facilitating more transactions and sales volume.
Proposition 8. 
The comparative results for total profit under the three cases satisfy the following relationship:
(i) If  0 < b < λ , π S C B N * > π S C N N * > π S C N F * .
(ii) If  λ < b < α c s t ( 4 k ( t + θ ) 2 ) ( α c s t λ ) 4 k ( 1 + 2 γ ) ( 1 + γ ) ( t + θ ) 2 6 k ( 1 + 2 γ ) 2 ( 1 + γ ) 2 ( t + θ ) 2 6 k ( t + θ ) 2 , π S C N N * > π S C B N * > π S C N F * .
(iii) If  α c s t ( 4 k ( t + θ ) 2 ) ( α c s t λ ) 4 k ( 1 + 2 γ ) ( 1 + γ ) ( t + θ ) 2 6 k ( 1 + 2 γ ) 2 ( 1 + γ ) 2 ( t + θ ) 2 6 k ( t + θ ) 2 < b < α c s t , π S C N N * > π S C N F * > π S C B N * .
Proposition 8 shows the variations in the supply chain’s profit for the three cases. We obtain that the whole supply chain always profits less under Case NF, partly because if the retailer does not care about fairness, they may adopt strategies to increase their profit such as raising product prices to achieve a higher profit margin. This tactic might increase the retailer’s profit in the short term, but over the long term, it could lead to a decrease in market demand, as consumers may become dissatisfied with the higher prices and reduce their purchasing.
In terms of Case BN, we find that when the cost per unit for implementing blockchain technology is relatively low, the profit of the whole supply chain in BN is higher than that of both NN and NF. This is consistent with our intuition that when 0 < b < λ , the manufacturer chooses to adopt blockchain to maximize its benefit.
Proposition 9. 
The comparative results regarding the manufacturer’s profit under the three strategies are given as follows:
(i) If  0 < b < λ , π m B N * > π m N N * > π m N F * ;
(ii) If  λ < b < H , π m N N * > π m B N * > π m N F * ;
(iii) If  H < b < α c s t , π m N N * > π m N F * > π m B N * ;
where  H = α c s t ( 1 + γ ) ( 4 k ( t + θ ) 2 ) ( α c s t λ ) 2 k ( 4 + 8 γ ) ( 1 + γ ) ( t + θ ) 2 .
Proposition 9 compares the manufacturer’s profit in three cases. The results shows that the manufacturer’s profit under NN always higher than NF. This is because if the retailer does not have a fairness concern, he may adopt certain strategies to increase his own profits. However, if retailer has a fairness concern, he is more likely to establish a relationship with the manufacturer that is based on cooperation and trust. This relationship can promote better coordination and communication within the supply chain, thereby improving overall operational efficiency and reducing costs. Therefore, although the manufacturer may share more profits with the retailer in the short term, in the long term, a stable cooperative relationship can lead to more efficient supply chain operations, which may ultimately result in higher profits for the manufacturer than would be the case if the retailer did not care about fair distribution. When the cost per unit for implementing blockchain is relatively high, manufacturer may face challenges. The decentralized characteristic of blockchain requires a significant amount of computing resources to maintain, which leads to a significant increase in applying costs. If manufacturer cannot offset this increased cost by raising product prices or reducing other costs, her profits will be affected. Therefore, when deciding whether to adopt blockchain technology, the manufacturer needs to weigh the advantages of transparency and trust she brings against the operating costs to ensure that the technology investment can bring sustainable economic benefits.
Proposition 10. 
The equilibrium retail price and the retailer’s profit under the three strategies satisfy the following relationship:
(1) 
When  1 4 ( t + θ ) 2 < k < ( t + θ ) 2 8 ( 3 + 1 + 4 γ 1 + 2 γ ) :
(i) 
If  0 < b < λ , π r B N * > π r N N * > π r N F * ;
(ii) 
If  λ < b < K , π r N N * > π r B N * > π r N F * ;
(iii) 
K < b < α c s t , π r N N * > π r N F * > π r B N * .
(2) 
When  k > ( t + θ ) 2 8 ( 3 + 1 + 4 γ 1 + 2 γ ) :
(i) 
If  0 < b < K , π r B N * > π r N F * > π r N N * ;
(ii) 
If  K < b < λ , π r N F * > π r B N * > π r N N * ;
(iii) 
If  λ < b < α c s t , π r N F * > π r N N * > π r B N * ;
where  K = α c s t ( 4 k ( t + θ ) 2 ) ( α c s t λ ) k ( 4 + 8 γ ) ( 1 + γ ) ( t + θ ) 2 ( 1 + 6 γ + 8 γ 2 ) .
As Proposition 10 illustrates, if the coefficient of cost for reducing carbon emissions is low, each condition has π r N N * > π r N F * . This is because as the manufacturer takes on the whole cost of carbon reduction as the dominant company in the supply chain, if the retailer has concerns about fair profit distribution, he may choose not to raise retail prices, thus maintaining a smaller profit gap with the manufacturer. This may limit, his profit growth. Conversely, if the retailer does not have fairness concerns, he may exploit the cost advantage of the manufacturer by increasing retail prices to boost his own profit. In this scenario, we have π r N F * > π r N N * . However, this strategy may potentially undermine the long-term stability and partnership relationships within the supply chain. In the long term, fair profit distribution is more conducive to maintaining positive cooperation and benefits both the manufacturer and retailer overall. In Case BN, when the cost per unit for implementing blockchain is below a certain threshold, adopting blockchain can enable the retailer to maximize their profits. This is because blockchain technology can reduce transaction costs, enhance transparency, and improve efficiency in the supply chain, thereby reducing overall operational costs. Consequently, the retailer can obtain products at lower costs and achieve higher profits.
Proposition 11. 
The comparative results for the manufacturer’s and retailer’s profit under the three cases satisfy these relationships:
(1) 
When  ( t + θ ) 2 4 < k < ( 4 + 7 γ ) ( t + θ ) 2 12 + 24 γ :
(i) 
If  0 < b < λ , π r B N * > π r N N * > π r N F * , π m B N * > π m N N * > π m N F * ;
(ii) 
If  λ < b < H , π r N N * > π r B N * > π r N F * , π m N N * > π m B N * > π m N F * ;
(iii) 
If  H < b < K , π r N N * > π r B N * > π r N F * , π m N N * > π m N F * > π m B N * ;
(iv) 
If  K < b < α c s t , π r N N * > π r B N * > π r N F * , π m N N * > π m N F * > π m B N * .
(2) 
When  ( 4 + 7 γ ) ( t + θ ) 2 12 + 24 γ < k < ( t + θ ) 2 8 ( 3 + 1 + 4 γ 1 + 2 γ ) :
(i) 
If  0 < b < λ , π r B N * > π r N N * > π r N F * , π m B N * > π m N N * > π m N F * ;
(ii) 
If  λ < b < K , π r N N * > π r B N * > π r N F * , π m N N * > π m B N * > π m N F * ;
(iii) 
If  K < b < H , π r N N * > π r N F * > π r B N * , π m N N * > π m B N * > π m N F * ;
(iv) 
If  H < b < α c s t , π r N N * > π r N F * > π r B N * , π m N N * > π m N F * > π m B N * .
(3) 
When  k > ( t + θ ) 2 8 ( 3 + 1 + 4 γ 1 + 2 γ ) :
(i) 
If  0 < b < K , π r B N * > π r N F * > π r N N * , π m B N * > π m N N * > π m N F * ;
(ii) 
If  K < b < λ , π r B N * > π r N F * > π r N N * , π m N N * > π m B N * > π m N F * ;
(iii) 
If  λ < b < H , π r B N * > π r N F * > π r N N * , π m N N * > π m N F * > π m B N * ;
(iv) 
If  H < b < α c s t , π r N F * > π r N N * > π r B N * , π m N N * > π m N F * > π m B N * .
Proposition 11 summarizes the profits of the manufacturer and retailer in three cases. We find that when taking supply chain applications of blockchain technology into consideration, the cost factor is important. Blockchain is favored for its transparency, decentralization, and security, but its operational cost also impacts the decisions of the manufacturer and the retailer. When the cost per unit for implementing blockchain is relatively low, regardless of the carbon reduction cost factor, using blockchain technology is advantageous for the manufacturer and the retailer. This is because blockchain can reduce transaction costs and enhance the efficiency and transparency of the supply chain, thereby generating greater benefits for both parties.
As for the carbon reduction cost factor, if the carbon reduction cost factor is greater than ( t + θ ) 2 8 ( 3 + 1 + 4 γ 1 + 2 γ ) , and the unit operating cost of blockchain is greater than K , then the manufacturer may opt not to adopt blockchain. Then, the manufacturer and the retailer can achieve the maximum profit in Case NN. However, this choice might compromise the stability and long-term sustainability of the supply chain. When the cost per unit for implementing blockchain exceeds a certain threshold, it will directly affect the optimal strategy choices of both the manufacturer and the retailer. The manufacturer and retailer may have different optimal solutions, which could lead to instability within the supply chain system.

6. Numerical Simulation

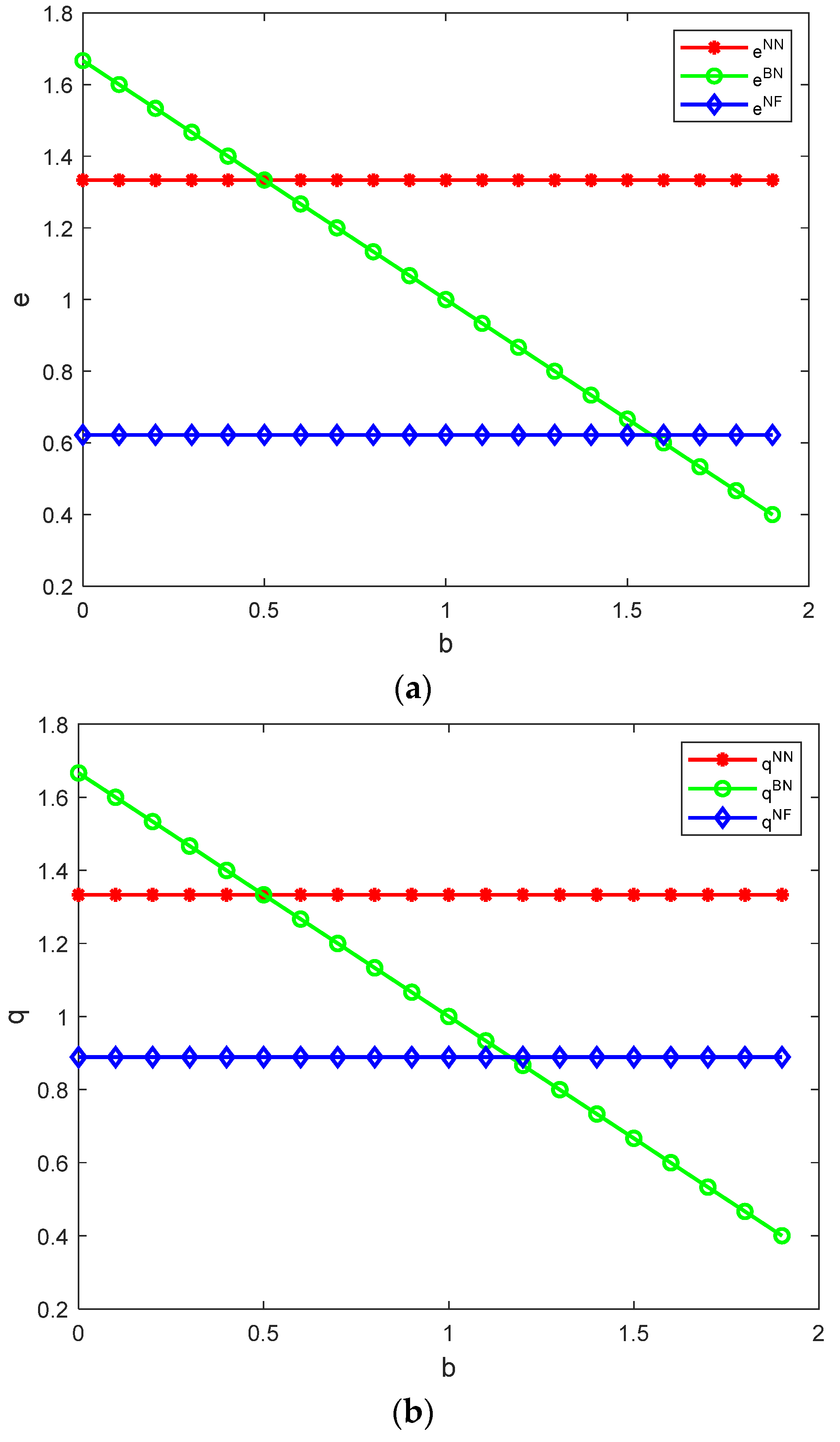
This section uses MATLAB to further present the numerical analysis to verify the correctness of the above conclusions. To ensure the practical significance of the results, we assume that a = 4.5 , c = 1 , s = 0.5 , t = 2 , θ = 0.5 , λ = 0.5 , γ = 0.75 , and Q = 100 .
Figure 1 shows that when the cost of blockchain technology is relatively low, the manufacturer is more likely to adopt this technology, not only because lower costs make the adoption of new technology more economical, but also because blockchain technology can enhance the transparency and efficiency of the supply chain, thereby promoting a reduction in carbon emissions and an increase in sales volume. However, as the cost per unit for implementing blockchain gradually increases, manufacturer may find it increasingly uneconomical to continue using this technology, leading them to reduce their dependence on blockchain, which in turn affects the reduction in carbon emissions and the demand quantity of low-carbon products.
It is worth noting that there is a threshold, and when the cost of blockchain technology exceeds this point, Case NN achieves the maximum profit. This could be because under the pressure of high costs, the manufacturer might turn to more traditional, lower-cost supply chain management methods. Although these methods may not be as technologically advanced, they may be more cost-effective in the short term. However, when blockchain technology is not adopted, even if the retailer does not have fairness concerns, product carbon emission reduction and market demand quantity of low-carbon products remain at a high level. Yet, the manufacturer will consider not only the direct economic costs but also the long-term stability of the supply chain and partnerships, reflecting her commitment to sustainable development and social responsibility.
According to Figure 2, when the cost per unit for implementing blockchain is relatively low, adopting blockchain can maximize profits for the entire supply chain. This is because the transparency and efficiency gains brought by blockchain can significantly increase the value of the supply chain, thereby exceeding its costs. However, as the cost per unit for implementing blockchain increases, even when consumers are more sensitive to the retailer’s low-carbon promotion and blockchain technology, the overall profit of the supply chain adopting blockchain may gradually decrease. This is because the rise in costs may erode the potential benefits brought by blockchain technology.
For the whole supply chain, the retailer’s fairness concerns may reduce overall profits, as this may require suppliers to make some concessions in terms of pricing or contract terms. However, fairness concerns are crucial for maintaining the long-term stability and partnership of the supply chain. Fairness concerns help ensure that all participants in the supply chain receive reasonable returns, thereby motivating them to continue investing and improving, which is necessary to cope with market fluctuations and uncertainties. In the long term, this stability can promote more efficient collaboration, reduce conflicts and transaction costs, and ultimately lead to higher overall supply chain efficiency and stronger competitiveness in the market.
As shown in Figure 3a,b, no matter the size of the carbon reduction coefficient, as long as the cost per unit for implementing blockchain satisfies 0 < b < λ , the optimal strategy for both the manufacturer and the retailer is Case BN. This is because blockchain can significantly reduce transaction costs, enhance data transparency and security, and improve supply chain efficiency. Moreover, since the manufacturer bears all the associated costs, retailers can maintain or increase their profit levels without being affected by cost increases. Therefore, under these circumstances, both the manufacturer and the retailer can benefit from the operational efficiency improvements brought by blockchain technology and jointly achieve maximized profits. As the coefficient of cost for reducing carbon emissions and the cost per unit for implementing blockchain increase, the decisions of both members may diverge, potentially impacting the stability of the supply chain. The rise in costs could lead to changes in profits, which may in turn trigger strategic adjustments and shifts in market behavior. To maintain the stability of the supply chain, it is necessary to strengthen the coordination mechanisms within the supply chain to ensure a balance of interests among all parties. Additionally, the manufacturer and retailer may need to jointly explore innovative solutions to adapt to the challenges posed by increased costs, in order to preserve long-term cooperation and sustainability in the supply chain.

7. Conclusions

7.1. Major Findings

In this study, we explore the retailer’s fairness concerns and the impact of blockchain on supply chains under the background of the carbon cap-and-trade mechanism. The leading manufacturer can decide whether to implement blockchain technology, while the following retailer is either fair–neutral or fair–concerned.
The application of blockchain provides greater transparency and traceability, which is beneficial for consumers to more accurately verify the environmental attributes of products and their production processes during the purchasing process, thereby encouraging more environmentally friendly consumer behavior. In the fairness concern model, this study follows the premise established in prior research on fairness in low-carbon supply chains. It assumes that when the manufacturer acts as the dominant enterprise and the retailer acts as the follower enterprise, the manufacturer leverages its market position to gain a larger share of profits. This may lead to the retailer feeling treated unfairly, thereby generating resentment (Zhou et al., 2016 [19]; Li et al., 2018 [50]). This sentiment can significantly impact the operation of the supply chain because the retailer may shift its focus from pure profit maximization to pursuing a fair distribution of profits. This concern for equity may lead the retailer to adopt different strategies to reduce dependence on the dominant enterprise and strive for more favorable conditions. This may prompt the entire supply chain to reassess and adjust its operational methods to achieve a more balanced profit distribution, thereby promoting long-term cooperation and the overall health of the supply chain.
By comparing these models, we can determine the impact of manufacturer adopting blockchain technology and the effects of supply chains with fairness concerns.
The key findings of this study can be summed up as follows:(1) In Case BN, the introduction of blockchain technology offers potential benefits for both manufacturer and retailer. However, as the application cost of blockchain technology increases, these potential positive impacts may be diminished. High costs could lead to a decrease in carbon emission reduction per unit. This result is in line with Wang et al., (2023 b) [48]. Moreover, it may result in a reduction in orders and a compression of profit margins for both manufacturer and retailer. Therefore, while pursuing technological innovation, supply chain participants must balance costs and benefits to ensure sustainable development while maintaining competitiveness and profitability. (2) In the fairness concern model (Case NF), when the costs of carbon reduction and carbon trading are relatively low, the manufacturer can still maintain relatively high profits even after undertaking these costs. At this time, the retailer’s fairness concerns will drive it to seek a more balanced profit distribution and obtain a larger share of profits from the manufacturer. Regarding the fairness concern coefficient, Li et al. (2018) [50] found that a retailer’s concerns about fairness can reduce both system profits and manufacturer profits. On this basis, this study further explored the impact of the fairness concern coefficient, especially in conjunction with the costs associated with carbon trading, to examine how this coefficient influences decision-making within the supply chain.
It was found that the retailer’s profit is negatively correlated with the coefficient of fairness concern. This correlation arises because the manufacturer’s higher profit margin is perceived as an unfair distribution by the retailer. As a result, the retailer’s motivation to fight for a larger share of profits is increased. The retailer’s drive for a more balanced profit distribution is fueled by this sense of inequity. In the case where the manufacturer may be dissatisfied, this could reduce the actual profits. However, when the cost of carbon trading rises, the manufacturer’s profits are significantly affected. If the retailer has strong fairness concerns, the retailer’s profit may be positively correlated with the coefficient of fairness concern, because the fairness concerns have prompted a more reasonable redistribution of profits, allowing for the retailer to gain a relatively larger share of profits when the manufacturer’s profits decrease. In this situation, the retailer’s fairness concerns may lead them to renegotiate profit distribution with the manufacturer to ensure that both parties receive a fair return. This may result in the manufacturer’s profits being negatively correlated with the retailer’s level of fairness concerns once again, as the retailer may demand a larger share of profits to compensate for their expectations of equitable distribution.

7.2. Managerial Insights

Based on the previous findings, we also derive the following significant management implications:
For manufacturer and retailer: As the carbon emission reduction cost factor and the cost per unit for implementing blockchain fluctuate, the optimal strategies of the manufacturer and the retailer may diverge. This inconsistency in strategy could undermine the competitiveness of the entire supply chain, slow down its responsiveness to market shifts, and consequently affect overall efficiency and profitability. Ensuring the alignment of interests between the manufacturer and the retailer is essential for optimizing the supply chain. As the dominant entity in the supply chain, the manufacturer should encourage the retailer to participate in the application of blockchain technology and equitably consider the retailer’s interests. When operational costs fall below a certain threshold, the adoption of blockchain technology can not only enhance the transparency and efficiency of the supply chain but also bring higher profits to both the manufacturer and the retailer. Moreover, the retailer’s fairness concerns help to strengthen the stability of the supply chain, ensuring its long-term viability and adaptability to market changes. Through this cooperation and coordination, all parties in the supply chain can jointly promote sustainable development and maintain a competitive edge in a fiercely competitive market.
For the supply chain: Supply chain managers should adopt a holistic perspective, valuing the long-term value and potential costs of blockchain technology and the retailer within the entire supply chain. Regarding the blockchain technology utilized by the manufacturer, it is evident that when the cost per unit for implementing blockchain is low, its application is beneficial for increasing supply chain profits. However, if the operating costs are too high, the manufacturer may opt not to use blockchain. Therefore, a joint effort from the manufacturer and retailer is required to reduce operating costs from their respective and mutual perspectives to achieve a win–win situation. Regarding the retailer’s concern for fairness, although it might lead to a reduction in the overall supply chain profits in the short term because it necessitates a more equitable distribution of profits among all supply chain stages, it is crucial for the long-term stability and sustainable development of the supply chain. Ensuring fair returns for all participants fosters trust and cooperation among all supply chain members.

7.3. Limitations and Future Studies

In this study, we focus on a two-echelon supply chain consisting of a manufacturer and a retailer. However, in practical supply chain operations, there may be multiple manufacturer or issues related to multi-channel competition. With the development of green supply chains, governments have introduced a range of preferential policies, such as subsidies for green research and development, to enhance enterprises’ enthusiasm for green R&D. Therefore, it is worthwhile to investigate the impact of government regulations and other factors on pricing decisions within green supply chains. In reality, a downstream retailer may also act as leader, and the influence of different power structures on related decisions is also deserving of research attention.

Author Contributions

Methodology, Y.G.; validation, Z.W.; writing—original draft preparation, X.J.; writing—review and editing, Y.G.; supervision, J.Z. All authors have read and agreed to the published version of the manuscript.

Funding

This research was funded by the National Natural Science Foundation of China (No. 72102112), the Humanities and Social Science Fund of the Ministry of Education (No. 22YJA630022), the Humanities and Social Science Fund of the Ministry of Education (No. 20YJA630086), and the Excellent Teaching Team of “Qing Lan Project” in Jiangsu Universities (Su Teacher Letter [2024] No. 14).

Data Availability Statement

No new data were created or analyzed in this study.

Conflicts of Interest

The authors declare no conflicts of interest.

Appendix A

Proof of Lemma 1. 
We obtain the Hessian matrix of π m N N ( w , e ) as H π m N N = 1 1 2 ( t + θ ) 1 2 ( t + θ ) k + t θ , where D 1 < 0 and D 2 = 4 k ( t + θ ) 2 > 0 . The Hessian matrix H π m is a negative definite matrix, so π m N N is a concave function on w and e . In solving for π m N N w = 0 and π m N N e = 0 jointly, we obtain the retailer’s reaction function for w and e : e N N * = ( t + θ ) ( α c s t λ ) 4 k ( t + θ ) 2 , w N N * = 2 k ( α + c + s t λ ) ( t + θ ) ( t ( α + s θ λ ) + c θ ) 4 k ( t + θ ) 2 .
Submitting these optimal solutions into Equation (4), by solving π r N N p = 0 , we obtain the optimal solution for the unit product’s retail price as p N N * = c ( k θ ( t + θ ) ) + k ( 3 α + s t 3 λ ) t ( t + θ ) ( α + s θ λ ) 4 k ( t + θ ) 2 .
Submitting e N N * , w N N * , and p N N * into Equations (1), (3), and (4), we can derive q N N * , π m N N * , and π r N N * . □
Proof of Proposition 1. 
Take the partial derivative of e N N , w N N , p N N , q N N , π m N N , and π r N N with respect to λ , since 4 k ( t + θ ) 2 > 0 and α c s t λ > 0 ; hence, e N N λ = t + θ 4 k ( t + θ ) 2 < 0 , q N N λ = k 4 k ( t + θ ) 2 < 0 , π m N N λ = k ( α c s t λ ) 4 k ( t + θ ) 2 < 0 , and π r N N λ = 2 k 2 ( α c s t λ ) ( 4 k ( t + θ ) 2 ) 2 < 0 .
w N N λ = 2 k + t ( t + θ ) 4 k ( t + θ ) 2
Given 4 k ( t + θ ) 2 > 0 is known, we only need to discuss the positive or negative relationship of 2 k + t ( t + θ ) . It is easy to deduce that when k , t | k > θ 2 , 8 k + θ 2 θ 2 < t < 2 k θ , w N N λ > 0 . And when k , t | θ 2 4 < k θ 2 , 0 < t < 2 k θ or k , t | k > θ 2 , 0 < t < 8 k + θ 2 θ 2 , w N N λ < 0 .
p N N λ = 3 k + t ( t + θ ) 4 k ( t + θ ) 2
Given that 4 k ( t + θ ) 2 > 0 is known, we only need to discuss the positive or negative relationship of 3 k + t ( t + θ ) . It is easy to deduce that when k , t | k > 4 θ 2 , 12 k + θ 2 θ 2 < t < 2 k θ , p N N λ > 0 . And when k , t | θ 2 4 < k 4 θ 2 , 0 < t < 2 k θ or k , t | k > 4 θ 2 , 0 < t < 12 k + θ 2 θ 2 , p N N λ < 0 . □
Proof of Lemma 2. 
We obtain the Hessian matrix of π m B N ( w , e ) as H π m B N = 1 1 2 ( t + θ ) 1 2 ( t + θ ) k + t θ , where D 1 < 0 and D 2 = 1 4 ( 4 k ( t + θ ) 2 ) > 0 . The Hessian matrix H π m is a negative definite matrix, so π m B N is a concave function on w and e . In solving for π m B N w = 0 and π m B N e = 0 jointly, we obtain the retailer’s reaction function for w and e : e B N * = ( α b c s t ) ( t + θ ) 4 k ( t + θ ) 2 , w B N * = 2 k ( a + b + c + s t ) ( ( b + c + s t ) θ + t a ) ( t + θ ) 4 k ( t + θ ) 2 .
Submitting these optimal solutions into Equation (6), by solving π r B N p = 0 , we obtain the optimal solution for the unit product’s retail price as p B N * = b k ( 3 a + b + c + s t ) ( ( b + c + s t ) θ + t a ) ( t + θ ) 4 k ( t + θ ) 2 .
Submitting e B N * , w B N * , and p B N * into Equations (2), (5), and (6), we can derive q B N * , π m B N * , and π r B N * . □
Proof of Proposition 2. 
Take the partial derivative of e B N , q B N , π m B N , and π r B N with respect to b , since 4 k ( t + θ ) 2 > 0 and α c s t λ > 0 ; hence, e B N b = t + θ 4 k ( t + θ ) 2 < 0 , q B N b = k 4 k ( t + θ ) 2 < 0 , π m B N b = k ( α b c s t ) 4 k ( t + θ ) 2 < 0 , and π r B N b = 2 k 2 ( α b c s t ) 2 ( 4 k ( t + θ ) 2 ) 2 > 0 .
w B N b = 2 k θ ( t + θ ) 4 k ( t + θ ) 2
Given 4 k ( t + θ ) 2 > 0 is known, we only need to discuss the positive or negative relationship of 2 k θ ( t + θ ) . It is easy to deduce that when k , t | θ 2 2 < k θ 2 , 0 < t < 2 k θ 2 θ or k , t | k > θ 2 , 0 < t < 2 k θ , w B N b > 0 . And when k , t | θ 2 4 < k θ 2 2 , 0 < t < 2 k θ or k , t | θ 2 2 < k < θ 2 , 2 k θ 2 θ < t < 2 k θ , w B N b < 0 .
p B N b = k θ ( t + θ ) 4 k ( t + θ ) 2
Given 4 k ( t + θ ) 2 > 0 is known, we only need to discuss the positive or negative relationship of k θ ( t + θ ) . It is easy to deduce that when k , t | θ 2 < k 4 θ 2 , 0 < t < k θ 2 θ or k , t | k > 4 θ 2 , 0 < t < 2 k θ , p B N b > 0 . And when k , t | θ 2 4 < k θ 2 , 0 < t < 2 k θ or k , t | θ 2 < k < 4 θ 2 , k θ 2 θ < t < 2 k θ , p B N b < 0 . □
Proof of Lemma 3. 
We obtain the Hessian matrix of π m N F ( w , e ) as H π m N F = 2 + 1 1 + γ 1 2 ( t ( 3 + 2 1 + γ ) + θ ) 1 2 ( t ( 3 + 2 1 + γ ) + θ ) k + t ( t γ 1 + γ + θ ) , where D 1 < 0 , D 2 = 1 4 ( k ( 4 + 8 γ ) 1 + γ ( t + θ ) 2 ) > 0 . The Hessian matrix H π m N F is a negative definite matrix, so π m N F is a concave function on w and e . Solving for π m N F w = 0 and π m N F e = 0 jointly, we obtain the retailer’s reaction function for w and e : e N F * = ( 1 + γ ) ( t + θ ) ( α c s t λ ) 4 k ( 1 + 2 γ ) ( 1 + γ ) ( t + θ ) 2 ,
w N F * = 2 k ( c + s t ) ( 1 + 3 γ ) c ( 1 + γ ) θ ( t + θ ) + 2 k ( 1 + γ ) ( α λ ) t ( 1 + γ ) ( t + θ ) ( α + s θ λ ) 4 k ( 1 + 2 γ ) ( 1 + γ ) ( t + θ ) 2 .
Submitting these optimal solutions into Equation (7), by solving U r N F p = 0 , we obtain the optimal solution for the unit product’s retail price:
p N F * = c ( k + 2 k γ ( 1 + γ ) θ ( t + θ ) ) + k ( 1 + 2 γ ) ( s t + 3 α 3 λ ) t ( 1 + γ ) ( t + θ ) ( α + s θ λ ) 4 k ( 1 + 2 γ ) ( 1 + γ ) ( t + θ ) 2 .
Submitting e N F * , w N F * , and p N F * into Equations (1), (8), and (9), we can derive q N F * , π m N F * , and π r N F * . □
Proof of Proposition 4. 
Take the partial derivative of e N F , q N F , π m N F , and π r N F with respect to λ , since 4 k ( 1 + 2 γ ) ( 1 + γ ) ( t + θ ) 2 > 0 ; hence, e N F λ = ( 1 + γ ) ( t + θ ) 4 k ( 1 + 2 γ ) ( 1 + γ ) ( t + θ ) 2 < 0 , q N F λ = k ( 1 + 2 γ ) k ( 4 + 8 γ ) ( 1 + γ ) ( t + θ ) 2 < 0 , π m N F λ = k ( 1 + γ ) ( α c s t λ ) k ( 4 + 8 γ ) ( 1 + γ ) ( t + θ ) 2 < 0 , and π r N N λ = 2 k 2 ( 1 + 2 γ ) ( 1 + 4 γ ) ( α c s t λ ) ( k ( 4 + 8 γ ) ( 1 + γ ) ( t + θ ) 2 ) 2 < 0 .
w N F λ = ( 1 + γ ) ( 2 k t ( t + θ ) ) k ( 4 + 8 γ ) ( 1 + γ ) ( t + θ ) 2 . Given k ( 4 + 8 γ ) ( 1 + γ ) ( t + θ ) 2 > 0 is known, we only need to discuss the positive or negative relationship of ( 1 + γ ) ( 2 k t ( t + θ ) ) . It is easy to deduce that when k , t | k > ( 1 + γ ) ( 1 + 2 γ ) θ 2 ( 1 + 3 γ ) 2 , 8 k + θ 2 θ 2 < t < 2 k ( 1 + 2 γ ) 1 + γ θ , w N F λ > 0 . And when k , t | ( 1 + γ ) θ 2 4 + 8 γ < k ( 1 + γ ) ( 1 + 2 γ ) θ 2 ( 1 + 3 γ ) 2 , 0 < t < 2 k ( 1 + 2 γ ) 1 + γ θ or k , t | k > ( 1 + γ ) ( 1 + 2 γ ) θ 2 ( 1 + 3 γ ) 2 , 0 < t < 8 k + θ 2 θ 2 , w N F λ < 0 .
p N F λ = 3 k ( 1 + 2 γ ) + t ( 1 + γ ) ( t + θ ) k ( 4 + 8 γ ) ( 1 + γ ) ( t + θ ) 2
Given 4 k ( 1 + 2 γ ) ( 1 + γ ) ( t + θ ) 2 > 0 is known, we only need to discuss the positive or negative relationship of 3 k ( 1 + 2 γ ) + t ( 1 + γ ) ( t + θ ) . It is easy to deduce that when k , t | k > 4 ( 1 + γ ) θ 2 1 + 2 γ , 1 2 ( 12 k ( 1 + 2 γ ) 1 + γ + θ 2 θ ) < t < 2 k ( 1 + 2 γ ) 1 + γ θ , p N F λ > 0 . And when k , t | ( 1 + γ ) θ 2 4 + 8 γ < k 4 ( 1 + γ ) θ 2 1 + 2 γ , 0 < t < 2 k ( 1 + 2 γ ) 1 + γ θ or k , t | k > 4 ( 1 + γ ) θ 2 1 + 2 γ , 0 < t < 1 2 ( 12 k ( 1 + 2 γ ) 1 + γ + θ 2 θ ) , p N F λ < 0 . □
Proof of Proposition 5. 
We omit the proofs here since they are similar to the proof in Proposition 4. □
Proof of Proposition 6. 
Since e B N * e N N * = ( t + θ ) ( λ b ) 4 k ( t + θ ) 2 , we can obtain that when 0 < b < λ , e B N * > e N N * , and when b > λ , e B N * < e N N * .
e N F * e N N * = 4 k γ ( t + θ ) ( α c s t λ ) ( 4 k ( t + θ ) 2 ) ( 4 k ( 1 + 2 γ ) ( 1 + γ ) ( t + θ ) 2 )
Given 4 k ( t + θ ) 2 > 0 , 4 k ( 1 + 2 γ ) ( 1 + γ ) ( t + θ ) 2 > 0 , and α c s t λ > 0 are known, e N F * e N N * < 0 .
e N F * e B N * = ( 1 + γ ) ( t + θ ) ( α c s t λ ) 4 k ( 1 + 2 γ ) ( 1 + γ ) ( t + θ ) 2 ( α b c s t ) ( t + θ ) 4 k ( t + θ ) 2
we can obtain that when 0 < b < 4 k ( λ + ( α c s t + λ ) γ ) ( 1 + γ ) ( t + θ ) 2 λ k ( 4 + 8 γ ) ( 1 + γ ) ( t + θ ) 2 , e B N * > e N F * and when b > 4 k ( λ + ( α c s t + λ ) γ ) ( 1 + γ ) ( t + θ ) 2 λ k ( 4 + 8 γ ) ( 1 + γ ) ( t + θ ) 2 , e B N * < e N N * .
Thus we have when 0 < b < λ , e B N * > e N N * > e N F * ; when λ < b < 4 k ( λ + ( α c s t + λ ) γ ) ( 1 + γ ) ( t + θ ) 2 λ k ( 4 + 8 γ ) ( 1 + γ ) ( t + θ ) 2 , e N N * > e B N * > e N F * ; when 4 k ( λ + ( α c s t + λ ) γ ) ( 1 + γ ) ( t + θ ) 2 λ k ( 4 + 8 γ ) ( 1 + γ ) ( t + θ ) 2 < b < a c s t , e N N * > e N F * > e B N * . □
Proof of Proposition 7. 
q B N * q N N * = k ( λ b ) 4 k ( t + θ ) 2
We can obtain that when 0 < b < λ , q B N * > q N N * , and when b > λ , q B N * < q N N * .
q N F * q N N * = k γ ( t + θ ) 2 ( α c s t λ ) ( 4 k ( t + θ ) 2 ) ( k ( 4 + 8 γ ) ( 1 + γ ) ( t + θ ) 2 ) < 0
Given 4 k ( t + θ ) 2 > 0 , 4 k ( 1 + 2 γ ) ( 1 + γ ) ( t + θ ) 2 > 0 , and α c s t λ > 0 are known, q N F * < q N N * .
q N F * q B N * = k ( 1 + 2 γ ) ( α c s t λ ) k ( 4 + 8 γ ) ( 1 + γ ) ( t + θ ) 2 k ( α b c s t ) 4 k ( t + θ ) 2
We can obtain that when 0 < b < ( α c s t ) γ ( t + θ ) 2 + ( 1 + 2 γ ) ( 4 k ( t + θ ) 2 ) λ k ( 4 + 8 γ ) ( 1 + γ ) ( t + θ ) 2 , q B N * > q N F * , and when b > ( α c s t ) γ ( t + θ ) 2 + ( 1 + 2 γ ) ( 4 k ( t + θ ) 2 ) λ k ( 4 + 8 γ ) ( 1 + γ ) ( t + θ ) 2 , q B N * < q N N * .
Thus, when 0 < b < λ , we have q B N * > q N N * > q N F * ; when λ < b < ( α c s t ) γ ( t + θ ) 2 + ( 1 + 2 γ ) ( 4 k ( t + θ ) 2 ) λ k ( 4 + 8 γ ) ( 1 + γ ) ( t + θ ) 2 , q N N * > q B N * > q N F * ; when ( α c s t ) γ ( t + θ ) 2 + ( 1 + 2 γ ) ( 4 k ( t + θ ) 2 ) λ k ( 4 + 8 γ ) ( 1 + γ ) ( t + θ ) 2 < b < α c s t , q N N * > q N F * > q B N * . □
Proof of Proposition 8. 
π S C B N * π S C N N * = k ( 6 k ( t + θ ) 2 ) ( λ b ) ( ( a b c s t ) + ( a c s t λ ) ) 2 ( 4 k ( t + θ ) 2 ) 2
Given that the denominator is always greater than 0 and considering a b c s t > 0 , a c s t λ > 0 , and 6 k ( t + θ ) 2 > 0 , the relationship in magnitude between π S C N N * and π S C B N * is only dependent on the relationship between λ and b . When b < λ , π S C B N * > π S C N N * , and when b > λ , π S C B N * < π S C N N * .
π S C N F * π S C N N * = k 2 γ ( t + θ ) 2 ( 8 k ( 1 + 3 γ ) ( 2 + 5 γ ) ( t + θ ) 2 ) ( α c s t λ ) 2 ( 4 k ( t + θ ) 2 ) 2 ( 4 k ( 1 + 2 γ ) ( 1 + γ ) ( t + θ ) 2 ) 2
Given 4 k ( t + θ ) 2 > 0 , 4 k ( 1 + 2 γ ) ( 1 + γ ) ( t + θ ) 2 > 0 , and α c s t λ > 0 are known, the relationship in magnitude between π S C N N * and π S C N F * is needed to discuss the positive or negative relationship of 8 k ( 1 + 3 γ ) ( 2 + 5 γ ) ( t + θ ) 2 . And we can prove that 8 k ( 1 + 3 γ ) ( 2 + 5 γ ) ( t + θ ) 2 > 0 ; hence, π S C N F * < π S C N N * .
π S C N F * π S C B N * = Q t k ( α b c s t ) 2 2 ( 4 k ( t + θ ) 2 ) k 2 ( α b c s t ) 2 ( 4 k ( t + θ ) 2 ) 2 + k 2 ( 1 + 2 γ ) ( 1 + 4 γ ) ( α c s t λ ) 2 ( k ( 4 + 8 γ ) ( 1 + γ ) ( t + θ ) 2 ) 2 + c 2 k ( 1 + γ ) + 8 k Q ( t + 2 t γ ) 2 Q t ( 1 + γ ) ( t + θ ) 2 + 2 c k ( 1 + γ ) ( s t α + λ ) + k ( 1 + γ ) ( s t α + λ ) 2 2 ( 4 k ( 1 + 2 γ ) ( 1 + γ ) ( t + θ ) 2 )
We can obtain that when b < α c s t ( 4 k ( t + θ ) 2 ) ( α c s t λ ) 4 k ( 1 + 2 γ ) ( 1 + γ ) ( t + θ ) 2 6 k ( 1 + 2 γ ) 2 ( 1 + γ ) 2 ( t + θ ) 2 6 k ( t + θ ) 2 , π S C N F * < π S C B N * , and when b > α c s t ( 4 k ( t + θ ) 2 ) ( α c s t λ ) 4 k ( 1 + 2 γ ) ( 1 + γ ) ( t + θ ) 2 6 k ( 1 + 2 γ ) 2 ( 1 + γ ) 2 ( t + θ ) 2 6 k ( t + θ ) 2 , π S C N F * > π S C B N * .
Thus, when 0 < b < λ , we have π S C B N * > π S C N N * > π S C N F * ; when λ < b < α c s t ( 4 k ( t + θ ) 2 ) ( α c s t λ ) 4 k ( 1 + 2 γ ) ( 1 + γ ) ( t + θ ) 2 6 k ( 1 + 2 γ ) 2 ( 1 + γ ) 2 ( t + θ ) 2 6 k ( t + θ ) 2 , π S C N N * > π S C B N * > π S C N F * ; when α c s t ( 4 k ( t + θ ) 2 ) ( α c s t λ ) 4 k ( 1 + 2 γ ) ( 1 + γ ) ( t + θ ) 2 6 k ( 1 + 2 γ ) 2 ( 1 + γ ) 2 ( t + θ ) 2 6 k ( t + θ ) 2 < b < α c s t , π S C N N * > π S C N F * > π S C B N * . □
Proof of Proposition 9. 
π m B N * π m N N * = k ( λ b ) ( ( a b c s t ) + ( a c s t λ ) ) 2 ( 4 k ( t + θ ) 2 )
Given that the denominator is always greater than 0 and considering a b c s t > 0 , a c s t λ > 0 , the relationship in magnitude between π m N N * and π m B N * is only dependent on the relationship between λ and b . When b < λ , π m B N * > π m N N * , and when b > λ , π m B N * < π m N N * .
π m N F * π m N N * = 2 k 2 γ ( α c s t λ ) 2 ( 4 k ( t + θ ) 2 ) ( 4 k ( 1 + 2 γ ) ( 1 + γ ) ( t + θ ) 2 ) .
Given 4 k ( t + θ ) 2 > 0 , 4 k ( 1 + 2 γ ) ( 1 + γ ) ( t + θ ) 2 > 0 , and α c s t λ > 0 are known, π m N F * < π m N N * .
π m N F * π m B N * = c 2 k ( 1 + γ ) + 8 k Q ( t + 2 t γ ) 2 Q t ( 1 + γ ) ( t + θ ) 2 2 c k ( 1 + γ ) ( α s t λ ) + k ( 1 + γ ) ( α s t λ ) 2 8 k ( 1 + 2 γ ) 2 ( 1 + γ ) ( t + θ ) 2 Q t k ( α b c s t ) 2 8 k 2 ( t + θ ) 2
We can obtain that when b < α c s t ( 1 + γ ) ( 4 k ( t + θ ) 2 ) ( α c s t λ ) 2 k ( 4 + 8 γ ) ( 1 + γ ) ( t + θ ) 2 , π m N F * < π m B N * , and when b > α c s t ( 1 + γ ) ( 4 k ( t + θ ) 2 ) ( α c s t λ ) 2 k ( 4 + 8 γ ) ( 1 + γ ) ( t + θ ) 2 , π m N F * > π m B N * .
Thus, when 0 < b < λ , we have π m B N * > π m N N * > π m N F * ; when λ < b < α c s t ( 1 + γ ) ( 4 k ( t + θ ) 2 ) ( α c s t λ ) 2 k ( 4 + 8 γ ) ( 1 + γ ) ( t + θ ) 2 , π m N N * > π m B N * > π m N F * ; when α c s t ( 1 + γ ) ( 4 k ( t + θ ) 2 ) ( α c s t λ ) 2 k ( 4 + 8 γ ) ( 1 + γ ) ( t + θ ) 2 < b < α c s t , π m N N * > π m N F * > π m B N * . □
Proof of Proposition 10. 
π r B N * π r N N * = k ( λ b ) ( ( a b c s t ) + ( a c s t λ ) ) ( 4 k ( t + θ ) 2 ) 2
Given that the denominator is always greater than 0 and considering a b c s t > 0 and a c s t λ > 0 , the relationship in magnitude between π r N N * and π r B N * is only dependent on the relationship between λ and b . When b < λ , π r B N * > π r N N * , and when b > λ , π r N N * > π r B N * .
π r N F * π r N N * = k 2 γ ( 32 k 2 ( 1 + 2 γ ) 24 k ( 1 + 2 γ ) ( t + θ ) 2 + ( 4 + 7 γ ) ( t + θ ) 4 ) ( α c s t λ ) 2 ( 4 k ( t + θ ) 2 ) ( 4 k ( 1 + 2 γ ) ( 1 + γ ) ( t + θ ) 2 )
Given 4 k ( t + θ ) 2 > 0 , 4 k ( 1 + 2 γ ) ( 1 + γ ) ( t + θ ) 2 > 0 and α c s t λ > 0 are known, the relationship in magnitude between π r N N * and π r N F * need to discuss the positive or negative relationship of 32 k 2 ( 1 + 2 γ ) 24 k ( 1 + 2 γ ) ( t + θ ) 2 + ( 4 + 7 γ ) ( t + θ ) 4 . We can prove that when k > 1 8 ( 3 ( t + θ ) 2 + ( 1 + 4 γ ) ( t + θ ) 4 1 + 2 γ ) , then 32 k 2 ( 1 + 2 γ ) 24 k ( 1 + 2 γ ) ( t + θ ) 2 + ( 4 + 7 γ ) ( t + θ ) 4 > 0 ; hence, π r N F * > π r N N * . And when 1 4 ( t + θ ) 2 < k < 1 8 ( 3 ( t + θ ) 2 + ( 1 + 4 γ ) ( t + θ ) 4 1 + 2 γ ) , then 32 k 2 ( 1 + 2 γ ) 24 k ( 1 + 2 γ ) ( t + θ ) 2 + ( 4 + 7 γ ) ( t + θ ) 4 < 0 ; hence, π r N F * < π r N N * .
π r N F * π r B N * = k 2 ( α b c s t ) 2 ( 4 k ( t + θ ) 2 ) 2 + k 2 ( 1 + 2 γ ) ( 1 + 4 γ ) ( α c s t λ ) 2 ( k ( 4 + 8 γ ) ( 1 + γ ) ( t + θ ) 2 ) 2
we can obtain that when b < α c s t ( 4 k ( t + θ ) 2 ) ( α c s t λ ) k ( 4 + 8 γ ) ( 1 + γ ) ( t + θ ) 2 ( 1 + 6 γ + 8 γ 2 ) , π r N F * < π r B N * , and when b > α c s t ( 4 k ( t + θ ) 2 ) ( α c s t λ ) k ( 4 + 8 γ ) ( 1 + γ ) ( t + θ ) 2 ( 1 + 6 γ + 8 γ 2 ) , π r N F * > π r B N * . Similar to Proposition 9, we can derive Proposition 10. □
Proof of Proposition 11. 
We combine Proposition 9 with Proposition 10. We need to compare the sizes of λ , α c s t ( 1 + γ ) ( 4 k ( t + θ ) 2 ) ( α c s t λ ) 2 k ( 4 + 8 γ ) ( 1 + γ ) ( t + θ ) 2 , and α c s t ( 4 k ( t + θ ) 2 ) ( α c s t λ ) k ( 4 + 8 γ ) ( 1 + γ ) ( t + θ ) 2 ( 1 + 6 γ + 8 γ 2 ) . When ( t + θ ) 2 4 < k < ( 4 + 7 γ ) ( t + θ ) 2 12 + 24 γ , then λ < α c s t ( 1 + γ ) ( 4 k ( t + θ ) 2 ) ( α c s t λ ) 2 k ( 4 + 8 γ ) ( 1 + γ ) ( t + θ ) 2 < α c s t ( 4 k ( t + θ ) 2 ) ( α c s t λ ) k ( 4 + 8 γ ) ( 1 + γ ) ( t + θ ) 2 ( 1 + 6 γ + 8 γ 2 ) .
And when ( 4 + 7 γ ) ( t + θ ) 2 12 + 24 γ < k < ( t + θ ) 2 8 ( 3 + 1 + 4 γ 1 + 2 γ ) , then λ < α c s t ( 4 k ( t + θ ) 2 ) ( α c s t λ ) k ( 4 + 8 γ ) ( 1 + γ ) ( t + θ ) 2 ( 1 + 6 γ + 8 γ 2 ) < α c s t ( 1 + γ ) ( 4 k ( t + θ ) 2 ) ( α c s t λ ) 2 k ( 4 + 8 γ ) ( 1 + γ ) ( t + θ ) 2 .
And when k > ( t + θ ) 2 8 ( 3 + 1 + 4 γ 1 + 2 γ ) , then α c s t ( 4 k ( t + θ ) 2 ) ( α c s t λ ) k ( 4 + 8 γ ) ( 1 + γ ) ( t + θ ) 2 ( 1 + 6 γ + 8 γ 2 ) < λ < α c s t ( 1 + γ ) ( 4 k ( t + θ ) 2 ) ( α c s t λ ) 2 k ( 4 + 8 γ ) ( 1 + γ ) ( t + θ ) 2 . Therefore, Proposition 11 holds. □

References

  1. Liu, Y.; Li, X.; Lin, X. Evaluating carbon neutrality potential in China based on sparse principal component analysis. Energy Reports 2023, 9, 163–174. [Google Scholar] [CrossRef]
  2. Antimiani, A.; Costantini, V.; Paglialunga, E. Fossil fuels subsidy removal and the EU carbon neutrality policy. Energy Economics 2023, 119, 106524. [Google Scholar] [CrossRef]
  3. Alegoz, M.; Kaya, O.; Bayindir, Z.P. A comparison of pure manufacturing and hybrid manufacturing–remanufacturing systems under carbon tax policy. Eur. J. Oper. Res. 2021, 294, 161–173. [Google Scholar] [CrossRef]
  4. Xu, J.; Chen, Y.; Bai, Q. A two-echelon sustainable supply chain coordination under cap-and-trade regulation. J. Clean. Prod. 2016, 135, 42–56. [Google Scholar] [CrossRef]
  5. Bi, G.; Jin, M.; Ling, L.; Yang, F. Environmental subsidy and the choice of green technology in the presence of green consumers. Ann. Oper. Res. 2017, 255, 547–568. [Google Scholar] [CrossRef]
  6. Sarkar, B.; Guchhait, R. Ramification of information asymmetry on a green supply chain management with the cap-trade, service, and vendor-managed inventory strategies. Electron. Commer. Res. Appl. 2023, 60, 101274. [Google Scholar] [CrossRef]
  7. Fernando, Y.; Rozuar, N.H.M.; Mergeresa, F. The blockchain-enabled technology and carbon performance: Insights from early adopters. Technol. Soc. 2021, 64, 101507. [Google Scholar] [CrossRef]
  8. IBM Newsroom. Veridium to Use IBM Blockchain Technology to Create Social and Environmental Impact Tokens. 2018. Available online: https://www.prnewswire.com/news-releases/veridium-to-use-ibm-blockchain-technology-to-create-social-and-environmental-impact-tokens-300648379.html (accessed on 17 May 2024).
  9. Weng, Q.; Xu, H. A review of Chinas carbon trading market. Renew. Sustain. Energy Rev. 2018, 91, 613–619. [Google Scholar] [CrossRef]
  10. Sokolowsky, J. Starbucks Turns to Technology to Brew up a More Personal Connection with Its Customers. 2019. Available online: https://news.microsoft.com/source/features/digital-transformation/starbucks-turns-to-technology-to-brew-up-a-more-personal-connection-with-its-customers/ (accessed on 6 May 2019).
  11. Alamsyah, A.; Widiyanesti, S.; Wulansari, P.; Nurhazizah, E.; Dewi, A.S.; Rahadian, D.; Ramadhani, D.P.; Hakim, M.N.; Tyasamesi, P. Blockchain traceability model in the coffee industry. J. Open Innov. Technol. Mark. Complex. 2023, 9, 100008. [Google Scholar] [CrossRef]
  12. Sumit, S.; Shrey, B. Coordinating a closed loop supply chain with fairness concern by a constant wholesale price contract. Eur. J. Oper. Res. 2021, 295, 140–156. [Google Scholar]
  13. Li, X.; Cui, X.; Li, Y.; Xu, D.; Xu, F. Optimisation of reverse supply chain with used-product collection effort under collector’s fairness concerns. Int. J. Prod. Res. 2021, 59, 652–663. [Google Scholar] [CrossRef]
  14. Wang, Y.; Wang, D.; Cheng, T.C.E.; Zhou, R.; Gao, J. Decision and coordination of E-commerce closed-loop supply chains with fairness concern. Transp. Res. Part E Logist. Transp. Rev. 2023, 173, 103092. [Google Scholar] [CrossRef]
  15. Hua, W.; Jiang, J.; Sun, H.; Wu, J. A blockchain based peer-to-peer trading framework integrating energy and carbon markets. Appl. Energy 2020, 279, 115539. [Google Scholar] [CrossRef]
  16. Zhang, Y.-J.; Sun, Y.-F.; Huo, B.-F. The optimal product pricing and carbon emissions reduction profit allocation of CET-covered enterprises in the cooperative supply chain. Ann. Oper. Res. 2021, 329, 871–899. [Google Scholar] [CrossRef]
  17. Wu, X.; Niederhoff, J. Fairness in selling to the newsvendor. Prod. Oper. Manag. 2014, 23, 2002–2022. [Google Scholar] [CrossRef]
  18. Zhang, L.; Xue, B.; Liu, X. Carbon emission reduction with regard to retailer’s fairness concern and subsidies. Sustainability 2018, 10, 1209. [Google Scholar] [CrossRef]
  19. Zhou, Y.; Bao, M.; Chen, X.; Xu, X. Co-op advertising and emission reduction cost sharing contracts and coordination in low-carbon supply chain based on fairness concerns. J. Clean. Prod. 2016, 133, 402–413. [Google Scholar] [CrossRef]
  20. Zhang, J.J.; Nie, T.F.; Du, S.F. Optimal emission-dependent production policy with stochastic demand. Int. J. Soc. Syst. Sci. 2011, 3, 21–39. [Google Scholar] [CrossRef]
  21. Abdallah, T.; Farhat, A.; Diabat, A.; Kennedy, S. Green supply chains with carbon trading and environmental sourcing: Formulation and life cycle assessment. Appl. Math. Model. 2012, 36, 4271–4285. [Google Scholar] [CrossRef]
  22. Drake, D.F.; Kleindorfer, P.R.; Van Wassenhove, L.N. Technology choice and capacity portfolios under emissions regulation. Prod. Oper. Manag. 2016, 25, 1006–1025. [Google Scholar] [CrossRef]
  23. Hosseini-Motlagh, S.-M.; Ebrahimi, S.; Jokar, A. Sustainable supply chain coordination under competition and green effort scheme. J. Oper. Res. Soc. 2021, 72, 304–319. [Google Scholar] [CrossRef]
  24. Sun, H.; Yang, J. Optimal decisions for competitive manufacturers under carbon tax and cap-and-trade policies. Comput. Ind. Eng. 2021, 156, 107244. [Google Scholar] [CrossRef]
  25. Toptal, A.; Özlü, H.; Konur, D. Joint decisions on inventory replenishment and emission reduction investment under different emission regulations. Int. J. Prod. Res. 2014, 52, 243–269. [Google Scholar] [CrossRef]
  26. Wang, Q.; Zhao, D.; He, L. Contracting emission reduction for supply chains considering market low-carbon concerns. J. Clean. Prod. 2016, 120, 72–84. [Google Scholar] [CrossRef]
  27. Jiang, W.; Yuan, L.; Wu, L.; Guo, S. Carbon emission reduction and profit distribution mechanism of construction supply chain with fairness concern and cap-and-trade. PLoS ONE 2019, 14, e0224153. [Google Scholar] [CrossRef]
  28. Li, K.J.; Jain, S. Behavior-based pricing: An analysis of the impact of peer-induced fairness. Manag. Sci. 2016, 62, 2705–2721. [Google Scholar] [CrossRef]
  29. Du, S.; Wei, L.; Zhu, Y.; Nie, T. Peer-regarding fairness in supply chain. Int. J. Prod. Res. 2018, 56, 3384–3396. [Google Scholar] [CrossRef]
  30. Ho, T.; Su, X.; Wu, Y. Distributional and Peer-Induced Fairness in Supply Chain Contract Design. Prod. Oper. Manag. 2014, 23, 161–175. [Google Scholar] [CrossRef]
  31. Nie, T.; Du, S. Dual-fairness supply chain with quantity discount contracts. Eur. J. Oper. Res. 2017, 258, 491–500. [Google Scholar] [CrossRef]
  32. Wang, Y.; Fan, R.; Shen, L.; Jin, M. Decisions and coordination of green e-commerce supply chain considering green manufacturer’s fairness concerns. Int. J. Prod. Res. 2020, 58, 7471–7489. [Google Scholar] [CrossRef]
  33. Pan, K.; Cui, Z.; Lu, Q. Impact of fairness concern on retailer-dominated supply chain. Comput. Ind. Eng. 2020, 139, 106209. [Google Scholar] [CrossRef]
  34. Qin, F.; Mai, F.; Fry, M.J.; Raturi, A.S. Supply-chain performance anomalies: Fairness concerns under private cost information. Eur. J. Oper. Res. 2016, 252, 170–182. [Google Scholar] [CrossRef]
  35. Li, Q.; Guan, X.; Shi, T.; Jiao, W. Green product design with competition and fairness concerns in the circular economy era. Int. J. Prod. Res. 2020, 58, 165–179. [Google Scholar] [CrossRef]
  36. Liu, Y.; Wang, D.-D.; Xu, Q. A supply chain coordination mechanism with suppliers’ effort performance level and fairness concern. J. Retail. Consum. Serv. 2020, 53, 101950. [Google Scholar] [CrossRef]
  37. Niederhoff, J.; Kouvelis, P. Generous, spiteful, or profit maximizing suppliers in the wholesale price contract: A behavioral study. Eur. J. Oper. Res. 2016, 253, 372–382. [Google Scholar] [CrossRef]
  38. Liu, W.; Wang, D.; Shen, X.; Yan, X.; Wei, W. The impacts of distributional and peer-induced fairness concerns on the decision-making of order allocation in logistics service supply chain. Transp. Res. Part E Logist. Transp. Rev. 2018, 116, 102–122. [Google Scholar] [CrossRef]
  39. Sun, H.; Zhong, Y. Carbon emission reduction and green marketing decisions in a two-echelon low-carbon supply chain considering fairness concern. J. Bus. Ind. Mark. 2023, 38, 905–929. [Google Scholar] [CrossRef]
  40. Choi, T.-M. Blockchain-technology-supported platforms for diamond authentication and certification in luxury supply chains. Transp. Res. Part E Logist. Transp. Rev. 2019, 128, 17–29. [Google Scholar] [CrossRef]
  41. Lohmer, J.; Bugert, N.; Lasch, R. Analysis of resilience strategies and ripple effect in blockchain-coordinated supply chains: An agent-based simulation study. Int. J. Prod. Econ. 2020, 228, 107882. [Google Scholar] [CrossRef]
  42. De Giovanni, P. Blockchain and smart contracts in supply chain management: A game theoretic model. Int. J. Prod. Econ. 2020, 228, 107855. [Google Scholar] [CrossRef]
  43. Bai, C.; Zhu, Q.; Sarkis, J. Joint blockchain service vendor-platform selection using social network relationships: A multi-provider multi-user decision perspective. Int. J. Prod. Econ. 2021, 238, 108165. [Google Scholar] [CrossRef]
  44. Fan, Z.-P.; Wu, X.-Y.; Cao, B.-B. Considering the traceability awareness of consumers: Should the supply chain adopt the blockchain technology? Ann. Oper. Res. 2022, 309, 837–860. [Google Scholar] [CrossRef]
  45. Zhang, Z.; Ren, D.; Lan, Y.; Yang, S. Price competition and blockchain adoption in retailing markets. Eur. J. Oper. Res. 2022, 300, 647–660. [Google Scholar] [CrossRef]
  46. Niu, B.; Mu, Z.; Cao, B.; Gao, J. Should multinational firms implement blockchain to provide quality verification? Transp. Res. Part E Logist. Transp. Rev. 2021, 145, 102121. [Google Scholar] [CrossRef]
  47. Li, Q.; Ma, M.; Shi, T.; Zhu, C. Green investment in a sustainable supply chain: The role of blockchain and fairness. Transp. Res. Part E Logist. Transp. Rev. 2022, 167, 102908. [Google Scholar] [CrossRef]
  48. Wang, M.; Wu, J.; Chen, X.; Zhu, X. Grandfathering or benchmarking? The performance of implementing blockchain technology in a low-carbon supply chain. Energy 2023, 284, 128691. [Google Scholar] [CrossRef]
  49. Ferrer, G.; Swaminathan, J.M. Managing new and remanufactured products. Manag. Sci. 2006, 52, 15–26. [Google Scholar] [CrossRef]
  50. Li, Q.; Xiao, T.; Qiu, Y. Price and carbon emission reduction decisions and revenue-sharing contract considering fairness concerns. J. Clean. Prod. 2018, 190, 303–314. [Google Scholar] [CrossRef]
Figure 1. Changes in optimal decisions with b. (a) Changes in product’s carbon emission reduction with b ( k = 2.5). (b) Changes in the demand quantity of low-carbon products with b ( k = 2.5).
Figure 1. Changes in optimal decisions with b. (a) Changes in product’s carbon emission reduction with b ( k = 2.5). (b) Changes in the demand quantity of low-carbon products with b ( k = 2.5).
Mathematics 12 02550 g001
Figure 2. Effects of λ and k on the supply chain’s profit ( k = 2.5).
Figure 2. Effects of λ and k on the supply chain’s profit ( k = 2.5).
Mathematics 12 02550 g002
Figure 3. Effects of λ and k on the decision profit ( k = 2.5): (a) Effects of λ and k on the manufacturer’s profit. (b) Effects of λ and k on the retailer’s profit.
Figure 3. Effects of λ and k on the decision profit ( k = 2.5): (a) Effects of λ and k on the manufacturer’s profit. (b) Effects of λ and k on the retailer’s profit.
Mathematics 12 02550 g003
Table 1. Comparison of research differences.
Table 1. Comparison of research differences.
AuthorsCarbon Cap-and-Trade MechanismCarbon Emission
Reduction
Fairness ConcernBlockchain in Supply Chain
Motlagh et al. (2019) [23]
Sun et al. (2021) [24]
Wang et al. (2016) [26]
Jiang et al. (2019) [27]
Li et al. (2020) [28]
Sun et al. (2023) [39]
Wang et al. (2023) [14]
Zhang et al. (2022) [45]
Li et al. (2022) [47]
Wang et al. (2023b) [48]
This study
Table 2. Notations.
Table 2. Notations.
ParametersDescription
e Product’s carbon emission reduction
λ The reduction in the size of the market
θ Low-carbon concerns of consumer
t Carbon trading price
k The coefficient of cost for reducing carbon emissions
s Initial carbon emission of per unit product
b Cost per unit for implementing blockchain
c Manufacturer’s unit production cost
Q Manufacturer’s emission quota
α The maximum potential market demand,
γ Fairness concern coefficient
w The unit product’s wholesale price
p The unit product’s retail price
q Market demand quantity of low-carbon products
Disclaimer/Publisher’s Note: The statements, opinions and data contained in all publications are solely those of the individual author(s) and contributor(s) and not of MDPI and/or the editor(s). MDPI and/or the editor(s) disclaim responsibility for any injury to people or property resulting from any ideas, methods, instructions or products referred to in the content.

Share and Cite

MDPI and ACS Style

Gong, Y.; Jiang, X.; Wang, Z.; Zhan, J. Considering Blockchain Technology and Fairness Concerns for Supply Chain Pricing Decisions under Carbon Cap-and-Trade Mechanism. Mathematics 2024, 12, 2550. https://doi.org/10.3390/math12162550

AMA Style

Gong Y, Jiang X, Wang Z, Zhan J. Considering Blockchain Technology and Fairness Concerns for Supply Chain Pricing Decisions under Carbon Cap-and-Trade Mechanism. Mathematics. 2024; 12(16):2550. https://doi.org/10.3390/math12162550

Chicago/Turabian Style

Gong, Yande, Xinze Jiang, Zhe Wang, and Jizhou Zhan. 2024. "Considering Blockchain Technology and Fairness Concerns for Supply Chain Pricing Decisions under Carbon Cap-and-Trade Mechanism" Mathematics 12, no. 16: 2550. https://doi.org/10.3390/math12162550

APA Style

Gong, Y., Jiang, X., Wang, Z., & Zhan, J. (2024). Considering Blockchain Technology and Fairness Concerns for Supply Chain Pricing Decisions under Carbon Cap-and-Trade Mechanism. Mathematics, 12(16), 2550. https://doi.org/10.3390/math12162550

Note that from the first issue of 2016, this journal uses article numbers instead of page numbers. See further details here.

Article Metrics

Back to TopTop