Next Article in Journal
Thermostatistics, Information, Subjectivity: Why Is This Association So Disturbing?
Previous Article in Journal
Hub-and-Spoke Network Optimization with Flow Delay Cost: The Case of Goods Delivery on Urban Logistics Networks in Eastern China
 
 
Font Type:
Arial Georgia Verdana
Font Size:
Aa Aa Aa
Line Spacing:
Column Width:
Background:
Article

Exploring Zeros of Hermite-λ Matrix Polynomials: A Numerical Approach

1
Department of Mathematics, Faculty of Science, University of Tabuk, Tabuk 71491, Saudi Arabia
2
Department of Mathematics, Aligarh Muslim University, Aligarh 202002, India
3
Mathematics Section, Women’s College, Aligarh Muslim University, Aligarh 202002, India
4
Department of Mathematics and Natural Sciences, Prince Mohammad Bin Fahd University, P.O. Box 1664, Al Khobar 31952, Saudi Arabia
*
Author to whom correspondence should be addressed.
Mathematics 2024, 12(10), 1497; https://doi.org/10.3390/math12101497
Submission received: 8 April 2024 / Revised: 3 May 2024 / Accepted: 7 May 2024 / Published: 10 May 2024
(This article belongs to the Section E: Applied Mathematics)

Abstract

This article aims to introduce a set of hybrid matrix polynomials associated with λ -polynomials and explore their properties using a symbolic approach. The main outcomes of this study include the derivation of generating functions, series definitions, and differential equations for the newly introduced two-variable Hermite λ -matrix polynomials. Furthermore, we establish the quasi-monomiality property of these polynomials, derive summation formulae and integral representations, and examine the graphical representation and symmetric structure of their approximate zeros using computer-aided programs. Finally, this article concludes by introducing the idea of 1-variable Hermite λ matrix polynomials and their structure of zeros using a computer-aided program.

1. Introduction

The field of orthogonal matrix polynomials is rapidly advancing, yielding significant results from both theoretical and practical perspectives. The role of Orthogonal matrices is advancing due to their essence in numerical computations, geometry, signal processing, coding theory, cryptography, and quantum mechanics. Their versatility and efficiency make them indispensable across various fields, driving ongoing research and development. Special functions, as a mathematical discipline, hold paramount significance for scientists and engineers across a myriad of application areas. The theory of special functions is highly significant in the formalism of mathematical physics. Hermite and Chebyshev polynomials, fully examined in the publication by [1,2], are fundamental special functions widely recognized for their broad range of applications in physics, engineering, and mathematical physics. These applications span from theoretical number theory to solving real-world problems in the disciplines of physics and engineering. In addition, the Hermite matrix polynomials have been introduced and thoroughly researched in several articles [3,4,5,6]. Matrix polynomials in special functions have a vital role in mathematical physics, electrodynamics, and image processing.
Multi-variable special polynomials hold significant importance across various mathematical domains and applications. Defined in multiple variables, they extend the principles of classical uni-variate polynomials into higher dimensions. These polynomials find utility in algebraic geometry, mathematical physics, and computer science. The exploration of multi-variable special polynomials encompasses diverse families, each characterized by unique properties and applications, establishing them as valuable tools for scholars and practitioners alike.
Hermite polynomials stand out as highly applicable orthogonal special functions dating back to the classical period. They serve as solutions to differential equations equivalent to the Schrödinger equation for a harmonic oscillator in quantum mechanics. Furthermore, these polynomials play a crucial role in the investigation of classical boundary-value problems in parabolic regions, particularly when utilizing parabolic coordinates.
Recently, it has been shown that the symbolic method provides a powerful and efficient means to introduce, study special functions, and reform special functions [7,8]. This method is also been proven to be helpful in introducing certain extensions of several special functions. The umbral formalism can be considered as a sub-field of the symbolic methods. In umbral formalism, we obtain suitable “umbra” based on some boundary conditions of the special polynomials.
Dattoli considered the idea of umbra denoted by h ˜ v , for 2VHKdFP H n ( u , v ) as [9]:
h ˜ v s ϕ ^ 0 = v s 2 Γ s 2 + 1 cos s π 2 , ϕ ^ 0 0 ,
where ϕ ^ 0 serve as the polynomial vacuum for 2VHKdFP H n ( u , v ) thus, the action of ϕ ^ 0 yields 2VHKdFP H n ( u , v ) .
The exponential of umbra h ˜ v is particularly important to derive the generating function for 2VHKdFP H n ( u , v ) . In view of Equation (1), the exponential of umbra h ˜ v is of the form [9]:
e h ˜ v s ϕ ^ 0 = e v s 2 .
In view of Equation (1), the umbral image of 2VHKdFP H n ( u , v ) is given by
H n ( u , v ) = ( u + h ˜ v ) n ϕ ^ 0 .
Recently, Dattoli et al. discovered a link between trigonometric functions and Laguerre polynomials. They proposed a way to introduce a new family of polynomials that connects Laguerre polynomials with trigonometric functions. This family of polynomials is known as λ -polynomials [10]. They expanded on this concept by adding a parameter β and generalizing it to associated- λ polynomials.
The symbolic definition of associated- λ polynomials is of the form [10]:
λ n ( β ) ( u , v ) = ^ β ( v ^ u ) n ψ ˜ 0 ,
where ^ denotes a symbolic operator given by Dattoli et al. [11], which operates on the vacuum function ψ ˜ z = Γ ( z + 1 ) Γ ( 2 z + 1 ) as:
^ w ψ ˜ z = Γ ( w + z + 1 ) Γ ( 2 ( w + z ) + 1 ) , w + z 1 , w R
and
^ n ^ m = ^ n + m .
In particular, we have
^ w ψ ˜ 0 : = ^ w ψ ˜ z | z = 0 = Γ ( w + 1 ) Γ ( 2 w + 1 ) , w R , w 1 .
The generating relation and explicit form of associated- λ polynomials are [10]:
n = 0 λ n ( β ) ( u , v ) s n n ! = e v s cos ( u s ; β )
and
λ n ( β ) ( u , v ) = r = 0 ( 1 ) r Γ ( β + r + 1 ) u r v n r r ! ( n r ) ! Γ ( 2 ( β + r ) + 1 ) ,
respectively.
The associated cosine function cos ( u ; β ) is symbolically defined as [10]:
cos ( u ; β ) : = ^ β e ^ u 2 ψ ˜ 0 = n = 0 ( 1 ) n Γ ( β + n + 1 ) u 2 n n ! Γ ( 2 ( β + n ) + 1 ) , β N .
Recently, Zainab and Raza [12] introduced the 1-variable λ matrix polynomials λ n ( P ) ( u ) by interchanging the role of u and v in the Equation (4) and then taking v = 1 in the resultant expression as follows:
The symbolic image of λ polynomials is as follows [12]:
λ n ( P ) ( u ) = ^ P ( u ^ ) n ψ ˜ 0 , u , v R , n N ,
where matrix exponent of symbolic operator ^ is given by
^ P ψ ˜ 0 : = Γ ( P + I ) ( Γ ( 2 P + I ) ) 1
such that
^ P ^ Q = ^ P + Q ,
where P and Q are positive stable matrices C m × m and I C m × m .
The generating function and series definition of 1-variable λ matrix polynomials λ n ( P ) ( u ) is given by [12]:
n = 0 λ n ( P ) ( u ) s n n ! = e u s cos ( s ; P )
and
λ n ( P ) ( u ) = r = 0 ( 1 ) r Γ ( P + ( r + 1 ) I ) ( Γ ( 2 P + ( 2 r + 1 ) I ) ) 1 u n r r ! ( n r ) ! ,
respectively.
The associated cosine matrix function cos ( u ; P ) is defined by means of the following symbolic images [12]:
cos ( u ; P ) = ^ P e ^ u 2 ψ ˜ 0 = n = 0 ( 1 ) n Γ ( P + ( n + 1 ) I ) ( Γ ( 2 P + ( 2 n + 1 ) I ) ) 1 u 2 n n ! .
The term “quasi-monomial” figures to the polynomial sequence { S n ( x ) } n = 0 , having two operators, especially named as multiplicative operator Ω ^ + and derivative operator Ω ^ satisfying the following relations [13]:
Ω ^ + { S n ( x ) } = S n + 1 ( x )
and
Ω ^ { S n ( x ) } = n S n 1 ( x ) ,
respectively.
The following commutation relation satisfy by the operators Ω ^ + and Ω ^ :
[ Ω ^ , Ω ^ + ] = Ω ^ Ω ^ + Ω ^ + Ω ^ = 1 ˜ .
Thus, the operators Ω ^ + and Ω ^ satisfy a weyl group structure [13]. By making use of the operators Ω ^ + and Ω ^ , various characteristics of polynomial S n ( x ) can be obtained. If Ω ^ + and Ω ^ have differential realizations, then the following differential equation satisfies by the polynomial S n ( x ) :
Ω ^ + Ω ^ { S n ( x ) } = n S n ( x ) .
If D 0 represents the complex plane cut along the negative real axis, and log ( u ) denotes the principal logarithm of u, then u 1 2 is equivalent to exp 1 2 log ( u ) . For a matrix P in C N × N , its two-norm, denoted by P 2 , is defined as P 2 = P u 2 u 2 , where v 2 for a vector v C N represents the usual Euclidean norm, given by v 2 = ( v T v ) 1 2 . The set containing all eigenvalues of P is denoted by σ ( P ) . If f ˜ ( u ) and g ˜ ( u ) are holomorphic functions of the complex variable u, defined in an open set Ω of the complex plane, and P is a matrix in C N × N such that σ ( P ) Ω , then the matrix functional calculus dictates that
f ˜ ( P ) g ˜ ( P ) = g ˜ ( P ) f ˜ ( P ) .
If P is a matrix with σ ( A ) D 0 , then P 1 2 = P = exp 1 2 log ( P ) denotes the image by u 1 2 = u = exp 1 2 log ( u ) The matrix functional calculus acts on the matrix P. We say that P is a positive stable matrix [4,5,14] if
R e ( u ) > 0 , for all u σ ( P ) .
In this paper, we propose a convolution between the two variables Hermite polynomials and the λ -matrix polynomials to introduce a new family of polynomials called the 2-variable Hermite λ -matrix polynomials. Section 2 delves into this newly introduced family’s generating function, series definition, differential equation, and differential recurrence relation. Also, we establish the quasi-monomiality property of these polynomials. In Section 3, we obtain some summation formulae. In Section 4, by using the computer-aided program (Wolfram Mathematica), we consider some examples of this hybrid family and give their graphical representations, mainly to observe from several angles how zeros of these polynomials are distributed and located. Section 5 concludes this paper by introducing the concept of 1-variable Hermite λ -matrix polynomials and obtaining their zeros.

2. Hermite λ -Matrix Polynomials

In this section, we introduce the 2-variable Hermite λ -matrix polynomials by using a symbolic approach and obtain their generating function, series definition, multiplicative and derivative operators, differential equation, and differential recurrence relation.
Now, we recall the generating function and series definition of Classical Hermite polynomials H n ( u ) . The classical Hermite polynomials H n ( u ) are defined by the means of the following generating function [1]:
exp 2 u s s 2 = n = 0 H n ( u ) s n n !
and explicit representation
H n ( u ) = n ! r = 0 [ n / 2 ] ( 1 ) r ( 2 u ) n 2 r r ! ( n 2 r ) ! ,
respectively.
2-variable Hermite Kempe de Fériet polynomials (2VHKdFP) H n ( u , v ) is given by the following generating relation and series definition [15]:
exp u s + v s 2 = n = 0 H n ( u , v ) s n n !
and
H n ( u , v ) = n ! r = 0 [ n / 2 ] u n 2 r v r r ! ( n 2 r ) ! ,
respectively.
Now, we introduce the 2-variable Hermite λ -matrix polynomials (2vH λ MP) λ n ( P ) H   ( u , v ) by replacing u in (11) with the symbolic operator of Hermite polynomial as
λ n ( P ) H   ( u , v ) = ^ P ( u + h ^ v ^ ) n ϕ ^ 0 ψ ˜ 0 .
We obtain the following theorem for generating function and series definition of Hermite λ -matrix polynomials λ n ( P ) H   ( u , v ) :
Theorem 1.
The following generating function and series definition hold true for Hermite λ-matrix polynomials λ n ( P ) H   ( u , v ) :
n = 0 λ n ( P ) H   ( u , v ) s n n ! = e u s + v s 2 cos ( s ; P )
and
λ n ( P ) H   ( u , v ) = r = 0 n n r ( 1 ) r H n r ( u , v ) Γ ( P + ( r + 1 ) I ) ( Γ ( 2 P + ( 2 r + 1 ) I ) ) 1 ,
respectively.
Proof. 
From the Equation (27), we have
n = 0 λ n ( P ) H   ( u , v ) s n n ! = n = 0 ^ P ( u + h ^ v ^ ) n s n n ! ϕ ^ 0 ψ ˜ 0
or equivalently,
n = 0 λ n ( P ) H   ( u , v ) s n n ! = n = 0 ^ P e ( u + h ^ v ^ ) s ϕ ^ 0 ψ ˜ 0 .
Since, [ ( u + h ^ v ) s , ^ s ] = 0 ,
n = 0 λ n ( P ) H   ( u , v ) s n n ! = n = 0 ^ P e ( u + h ^ v ) s e ^ s ϕ ^ 0 ψ ˜ 0 .
In view of Equations (2) and (16), we have assertion (28).
Again from the Equation (27), we get
λ n ( P ) H   ( u , v ) = ^ P r = 0 n n r ( 1 ) r ( u + h ^ v ) n r ^ r ϕ ^ 0 ψ ˜ 0 .
In view of Equation (3), we get
λ n ( P ) H   ( u , v ) = ^ P r = 0 n n r ( 1 ) r H n r ( u , v ) ^ r ψ ˜ 0 .
In view of Equation (6), we get
λ n ( P ) H   ( u , v ) = r = 0 n n r ( 1 ) r H n r ( u , v ) ^ P + r I ψ ˜ 0 .
Using Equation (5), we have assertion (29). □
Theorem 2.
The Hermite λ-matrix polynomials λ n ( P ) H   ( u , v ) are quasi-monomial with respect to the following multiplicative and derivative operators:
M ^ H λ = ( u + h ^ v ^ )
and
P ^ H λ = D u ,
respectively.
Proof. 
Operating ( u + h ^ v ^ ) on both sides of Equation (27), we get
( u + h ^ v ^ ) H λ n ( P ) ( u , v ) = ^ P ( u + h ^ v ^ ) n + 1 ϕ ^ 0 ψ ˜ 0 .
which on again using Equation (27), gives
( u + h ^ v ^ ) H λ n ( P ) ( u , v ) = λ n + 1 ( P ) H   ( u , v ) .
again in view of Equations (17) and (39) we have the assertion (36).
Now, differentiating Equation (27) partially with respect to u, we find
D u λ n ( P ) H   ( u , v ) = ^ P ( u + h ^ v ^ ) n 1 ϕ ^ 0 ψ ˜ 0 ,
which on again using Equation (27) gives
D u λ n ( P ) H   ( u , v ) = n λ n 1 ( P ) H   ( u , v ) .
In view of Equations (18) and (41) we get assertion (37). □
Theorem 3.
The differential equation satisfied by Hermite λ-matrix polynomial λ n ( P ) H   is given by
[ ( u + h ^ v ^ ) D u n ] λ n ( P ) H   ( u , v ) = 0 .
Proof. 
In view of Equations (20), (36) and (37), we get the assertion (42). □
Theorem 4.
The Hermite λ-matrix polynomials λ n ( P ) H   ( u , v ) satisfy the following differential reccurence relation:
u λ n ( P ) H   ( u , v ) = n λ n 1 ( P ) H   ( u , v ) .
More generally,
r u r λ n ( P ) H   ( u , v ) = n ! ( n r ) ! λ n r ( P ) H   ( u , v ) .
Proof. 
On differentiating Equation (28) with respect to u, we have
u n = 0 λ n ( P ) H   ( u , v ) s n n ! = s e u s + v s 2 cos ( s ; P ) ,
which in view of Equation (28), we have
u n = 0 λ n ( P ) H   ( u , v ) s n n ! = n = 0 λ n ( P ) H   ( u , v ) s n + 1 n !
or, equivalently
u n = 0 λ n ( P ) H   ( u , v ) s n n ! = n n = 1 λ n 1 ( P ) H   ( u , v ) s n n ! .
On comparing the equal powers of s, we get the assertion (43).
We proceed with the proof of (44) by using mathematical induction. In view of Equation (43), result (44) is true for r = 1 .
By induction, assertion (43) follows assertion (44). □

3. Summation Formulae

In this section, we obtain certain summation formulae for 2vH λ MP λ n ( P ) H   ( u , v ) :
Theorem 5.
The following summation formula for Hermite λ- matrix polynomials λ n ( P ) H   ( u , v ) holds true:
λ n ( P ) H   ( u + w , v ) = k = 0 n n k w k λ n k ( P ) H   ( u , v ) .
Proof. 
Replacing u by u + w in the Equation (31), we have
n = 0 λ n ( P ) H   ( u + w , v ) s n n ! = n = 0 ^ P e ( u + w + h ^ v ^ ) t ϕ ^ 0 ψ ˜ 0 .
Or, equivalently
n = 0 λ n ( P ) H   ( u + w , v ) s n n ! = n = 0 ^ P e ( u + h ^ v ^ ) t e w t ϕ ^ 0 ψ ˜ 0 .
Expanding the second exponential in the right-hand side of the above equation and using Equation (31) in the resultant equation, we have
n = 0 λ n ( P ) H   ( u + w , v ) s n n ! = n = 0 k = 0 λ n ( P ) H   ( u , v ) s n n ! w k s n k ! ,
which on using the following series rearrangement
n = 0 k = 0 A ( n , k ) = n = 0 k = 0 n A ( n k , k ) ,
in the right hand side of Equation (51), we have
n = 0 λ n ( P ) H   ( u + w , v ) s n n ! = n = 0 k = 0 n n k w k λ n k ( P ) H   ( u , v ) s n n ! .
Comparing the equal powers of s from both sides of the above equation, we get the assertion (48). □
We obtain the following another theorem for summation formulae for Hermite λ - matrix polynomial λ n ( P ) H   ( u , v ) :
Theorem 6.
The following summation formula for Hermite λ- matrix polynomial λ n ( P ) H   ( u , v ) holds true:
λ k + l ( P ) H   ( w , v ) = n , r = 0 k , l k n l r ( w u ) n + r λ k + l n r ( P ) H   ( u , v ) ,
where n , r = 0 k , l : = n = 0 k r = 0 l .
Proof. 
Replacing s by s + t in the Equation (31) and then using the formula [16]:
n = 0 f ( n ) ( t + s ) n n ! = n , m = 0 f ( n + m ) s n n ! t m m !
in the right-hand side of the resultant equation, we find the following generating function for Hermite λ - matrix polynomial λ n ( P ) H   ( u , v ) :
^ P e ( u + h ^ v ^ ) ( t + s ) = k , l = 0 s n t l k ! l ! λ k + l ( P ) H   ( u , v ) ,
which can be written as
^ P e ( h ^ v ^ ) ( t + s ) = e u ( t + s ) k , l = 0 s k t l k ! l ! λ k + l ( P ) H   ( u , v ) .
Multiplying both sides of the above equation with e w ( t + s ) and then using Equation (55) in the left-hand side of the resultant equation, we find
k , l = 0 s k t l k ! l ! λ k + l ( P ) H   ( w , v ) = e ( w u ) ( t + s ) k , l = 0 s k t l k ! l ! λ k + l ( P ) H   ( u , v ) ,
or equivalently,
k , l = 0 s k t l k ! l ! λ k + l ( P ) H   ( w , v ) = n = 0 ( w u ) n ( t + s ) n n ! k , l = 0 s k t l k ! l ! λ k + l ( P ) H   ( u , v ) ,
which again, using Equation (55) in the first summation on the right-hand side gives
k , l = 0 s k t l k ! l ! λ k + l ( P ) H   ( w , v ) = n , r = 0 ( w u ) n + r s n u r n ! r ! k , l = 0 s k u l k ! l ! λ k + l ( P ) H   ( u , v ) ,
Now, replacing k by k n , l by l r and using Equation (52) in the right hand side of Equation (60), we find
k , l = 0 s k t l k ! l ! λ k + l ( P ) H   ( w , v ) = k , l = 0 n , r = 0 k , l ( w u ) n + r s n t r s k t l n ! r ! ( k n ) ! ( l r ) ! λ k + l n r ( P ) H   ( u , v ) .
On comparing equal powers of t and s in the above equation, we get the assertion (54). □

4. Graphical Representation and Distribution of Zeros

In this section, we obtain certain examples and give their graphical representation and distribution of zeros of 2-variable Hermite λ -matrix polynomials.
Example 1.
For P = 3 + 1 2 e π 1 C 2 × 2 and the eigenvalues of matrix P are { 4.4196 , 0.454048 } , so matrix P is satisfying the condition given in Equation (22) and hence, is positive stable matrix. For n = 5 , and in view of Equation (29), 2vHλMP λ 5 ( P ) H   ( u , v ) is given by
λ 5 ( P ) H   ( u , v ) : = 0.0072199 2.38192 x 4 + 0.0985647 x 5   0.00375439 + 1.22812 x 4 0.0495848 x 5 + x 2 ( 3.4672 28.583 y ) + ( 6.9344 28.583 y ) y   + x 2 ( 1.80096 + 14.7374 y ) + y ( 3.60192 + 14.7374 y ) + x 3 ( 6.36242 + 1.97129 y )   + x 3 ( 3.29875 0.991696 y ) + x ( 0.414261 + y ( 38.1745 + 5.91388 y ) )   + x ( 0.215341 + ( 19.7925 2.97509 y ) y )       0.0138707 + 4.53732 x 4 0.183192 x 5   0.00722114 2.38938 x 4 + 0.0997037 x 5 + x 3 ( 12.1873 3.66385 y ) + x 2 ( 6.6537 + 54.4478 y )   + x 2 ( 3.46914 28.6726 y ) + ( 6.93827 28.6726 y ) y + y ( 13.3074 + 54.4478 y )   + x 3 ( 6.37006 + 1.99407 y ) + x ( 0.795583 + ( 73.124 10.9915 y ) y )   + x ( 0.414383 + y ( 38.2203 + 5.98222 y ) ) .
Example 2.
Since in view of Equations (4) and (11), for P = μ C 1 × 1 , the λ-matrix polynomials λ n ( P ) ( u , v ) transform to the associated-λ polynomials λ n ( μ ) ( u , v ) . Therefore, for the same choice of P, 2vHλMP λ n ( P ) H   ( u , v ) transform to 2-variable Hermite λ associated polynomials (2vHaλP) λ n ( μ ) H   ( u , v ) . Thus, for P = μ C 1 × 1 ( μ Z ) , Equations (27)–(29), (36), (37) and (42)–(44) reduce to respective symbolic definition, generating function, series definition, multiplicative operator, derivative operator, differential equation and differential recurrence relation for 2vHaλP λ n ( μ ) H   ( u , v ) .
First, we draw the surface plots of 2vHa λ P λ n ( μ ) H   ( u , v ) , for n = 5 , μ = 1 and n = 6 and same choice for μ in Figure 1 and Figure 2.
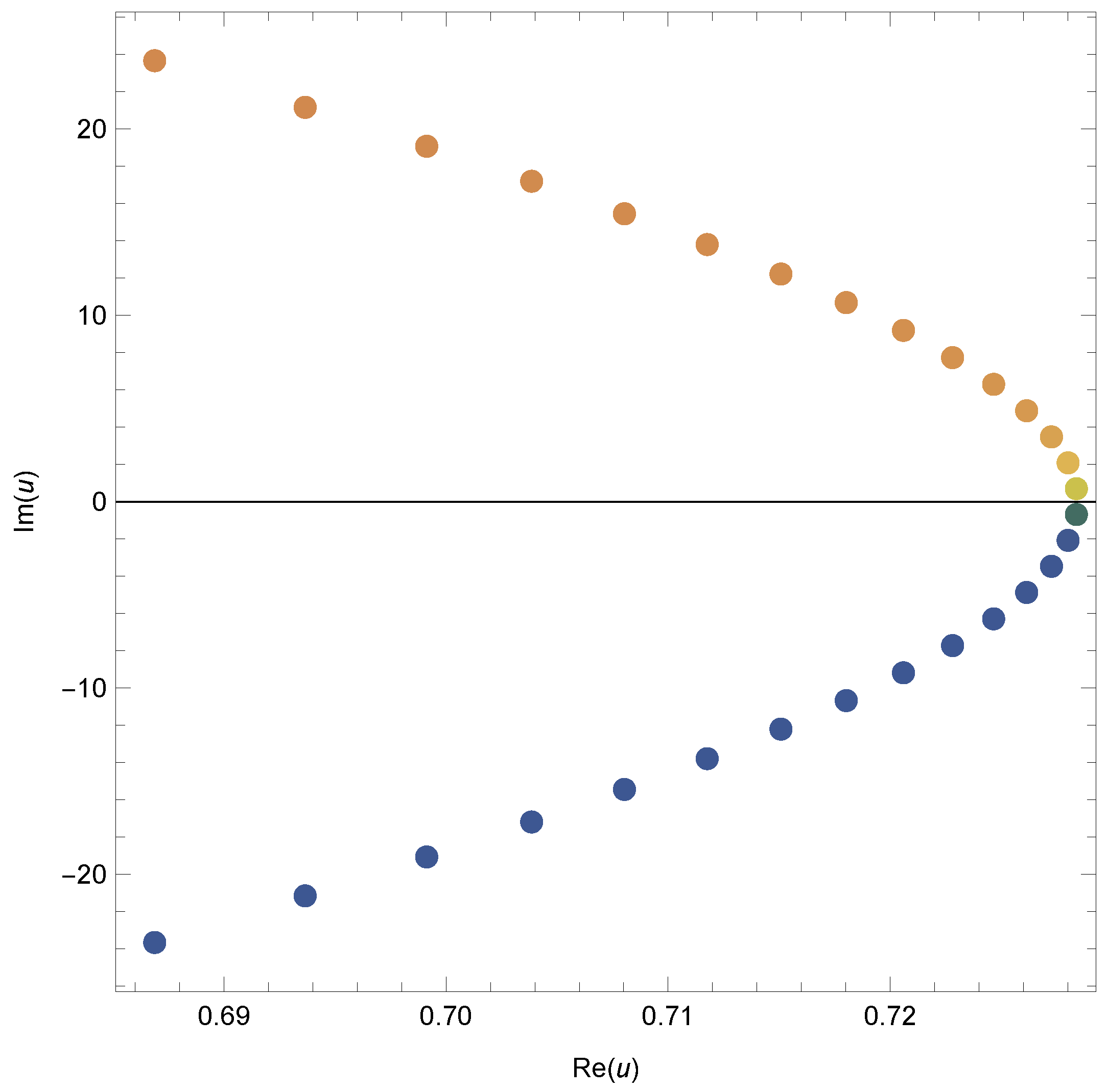
Now, we find the roots of equation λ n ( μ ) H   ( u , v ) = 0 for different choices for v. Figure 3 shows the roots of the equation λ n ( μ ) H   ( u , 1 / 2 ) = 0 , Figure 4 shows the roots of the equation λ n ( μ ) H   ( u , 2 ) = 0 , whereas Figure 5 and Figure 6 show the roots of the equation λ n ( μ ) H   ( u , 1 / 2 i ) = 0 and λ n ( μ ) H   ( u , 1 / 3 + i ) = 0 , respectively. Certain roots of the equation λ n ( μ ) H   ( u , v ) = 0 and beautiful graphical representation are shown. We plot the zeros of the 2vHa λ P λ n ( μ ) H   ( u , v ) for n = 30 and different choices of v and μ in Figure 3, Figure 4, Figure 5 and Figure 6. Some recent developments in this field can be found in [17,18].
In Figure 3, we choose v = 1 / 2 and μ = 10 . In Figure 4, we choose v = 2 and μ = 10 . In Figure 5, we choose v = 1 / 2 i and μ = 3 . In Figure 6, we choose v = 1 / 3 + i and μ = 3 .
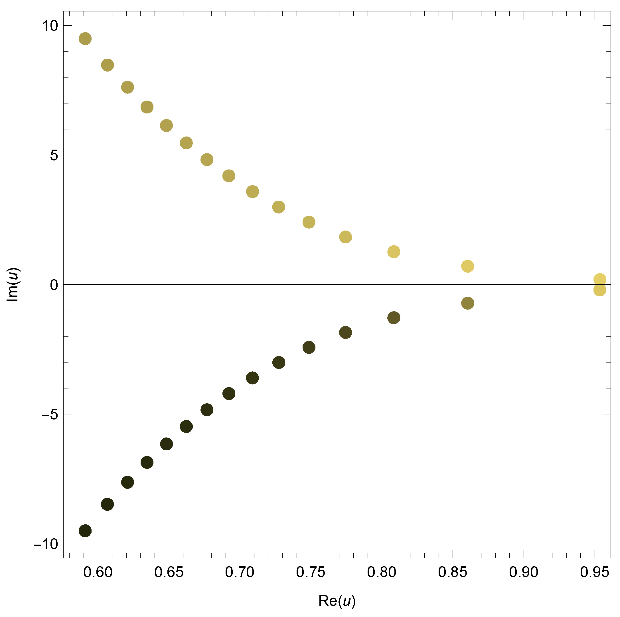
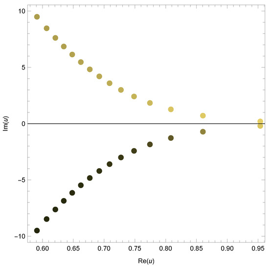
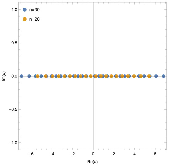
Plots of real roots of the 2vHa λ P λ n ( μ ) H   ( u , v ) for 1 n 30 are presented in Figure 7 and Figure 8. In Figure 7, we choose v = 2 and μ = 3 . In Figure 8, we choose v = 1 / 2 and μ = 1 . It is worth noticing that for negative values of v, no of real roots are more than that of positive values of v. Stacks of roots of the 2vHa λ P λ n ( μ ) H   ( u , v ) for 1 n 30 , v = 1 2 and μ = 1 from a 3D structure are presented in Figure 9.
Our numerical results for the solutions satisfying 2vHa λ P λ n ( μ ) H   ( u , 1 / 2 ) = 0 for n = 30 and μ = 1 are listed in Table 1.

5. Concluding Remarks

In concluding remarks, we introduce the idea of 1-variable Hermite λ -matrix polynomials (1vH λ MP) λ n ( P ) H   ( u ) .
From Equations (23) and (25) it is clear that the 2VHKdFP H n ( u , v ) is related to the classical Hermite polynomials H n ( u ) as:
H n ( u , v ) = H n ( 2 u , 1 ) .
In view of Equations (27) and (62), the symbolic definition of 1vH λ MP λ n ( P ) H   ( u ) is given by
λ n ( P ) H   ( u ) = ^ P ( 2 u + h ^ 1 ^ ) n ϕ ^ 0 ψ ˜ 0 .
Similarly, taking into account Equation (63), we obtain the generating function and series definition of 1vH λ MP λ n ( P ) H   ( u ) :
n = 0 λ n ( P ) H   ( u ) s n n ! = e 2 u s s 2 cos ( s ; P )
and
λ n ( P ) H   ( u ) = r = 0 n n r ( 1 ) r H n r ( u ) Γ ( P + ( r + 1 ) I ) ( Γ ( 2 P + ( 2 r + 1 ) I ) ) 1 ,
respectively.
The multiplicative and derivative operators of 1vH λ MP λ n ( P ) H   ( u ) :
M ˜ H λ = ( 2 u + h ^ 1 ^ )
and
P ˜ H λ = 1 2 D u ,
respectively.
In view of Equations (20), (66) and (67), the following differential equation is satisfied by 1vH λ MP λ n ( P ) H   ( u ) :
1 2 ( 2 u + h ^ 1 ^ ) D u n λ n ( P ) H   ( u ) = 0 .
Since in view of Equations (4) and (11), for P = μ C 1 × 1 ( μ Z ) , the λ -matrix polynomials λ n ( P ) ( u , v ) transform to the associated- λ polynomials λ n ( μ ) ( u , v ) . Therefore, for the same choice of P, 1vH λ MP λ n ( P ) H   ( u ) transform to 1-variable Hermite associated λ associated polynomials (1vHa λ P) λ n ( μ ) H   ( u ) . Thus, for P = μ C 1 × 1 ( μ Z ) , Equations (63)–(68) reduce to respective symbolic definition, generating function, series definition, multiplicative operator, derivative operator, and differential equation for 1vHa λ P λ n ( μ ) H   ( u ) .
Now, we illustrate the shape of 1vHa λ P λ n ( μ ) H   ( u ) and examine its zeros. In Figure 10, we present the graphs of 1vHa λ P λ n ( μ ) H   ( u ) .
Our numerical results for the solutions satisfying 1vHa λ P λ n ( μ ) H   ( u ) = 0 for n = 40 and μ = π are listed in Table 2.
Next in Figure 11 and Figure 12, we investigate the beautiful pattern of zeros of the 1vHa λ P λ n ( μ ) H   ( u ) = 0 . The plot of real zeros of the 1vHa λ P λ n ( μ ) H   ( u ) = 0 for 1 n 40 for μ = 4 structure are presented in Figure 11.
We can discern a consistent pattern in the complex roots of the 2-variable Hermite λ associated polynomials λ n ( μ ) H   ( u , v ) = 0 . Consequently, the following conjectures are plausible for the equation 1vHa λ P λ n ( μ ) H   ( u ) = 0 .
We observed that the solutions of the 1vHa λ P equations exhibit no I m ( u ) = α reflection symmetry for α R . It is anticipated that the solutions of the 1vHa λ P λ n ( μ ) H   ( u ) = 0 equations possess I m ( u ) = 0 reflection symmetry (refer to Figure 11 and Figure 12).
Conjecture 1.
Prove or disprove that 1vHaλP λ n ( μ ) H   ( u ) = 0 for u C and μ R has I m ( u ) = 0 reflection symmetry analytic complex functions.
Finally, we addressed the more general problem of determining the number of zeros of the equation λ n ( μ ) H   ( u ) = 0 . We were unable to ascertain whether this equation has n distinct solutions. Our interest lies in determining the number of complex zeros of the equation λ n ( μ ) H   ( u ) = 0 .
Conjecture 2.
Prove or disprove that 1vHaλP λ n ( μ ) H   ( u ) = 0 have n distinct roots.
As a result of investigating more n variables, it is still unknown whether the above conjectures are true or false for all variables n.
In this article, our aim is to introduce the set of hybrid matrix polynomials associated with λ -polynomials and explore their properties using a symbolic approach. The main outcomes of this study include the derivation of generating functions, series definitions, and differential equations for the newly introduced two-variable Hermite λ -matrix polynomials. Furthermore, we establish the quasi-monomiality property of these polynomials and derive summation formulae. Finally, we obtain the graphical representation and symmetric structure of their approximate zeros for different choices of v , n , and μ using computer-aided programs.
The results of this article have the potential to motivate researchers and readers to conduct further research on these special matrix polynomials. These results may be applied in mathematics, mathematical physics, and engineering.

Author Contributions

Conceptualization, M.S.A., M.K., N.R. and W.A.K.; methodology, M.S.A., M.K., N.R. and W.A.K.; software, M.K. and N.R.; validation, M.S.A., M.K., N.R. and W.A.K.; formal analysis, M.S.A., M.K., N.R. and W.A.K.; investigation, M.K. and N.R.; writing—original draft preparation, M.K. and N.R.; writing—review and editing, M.S.A., M.K., N.R. and W.A.K.; project administration, M.S.A., M.K., N.R. and W.A.K.; funding acquisition, M.S.A. All authors have read and agreed to the published version of the manuscript.

Funding

This research received no external funding.

Data Availability Statement

No data were used to support this study.

Conflicts of Interest

The authors declare no conflicts of interest.

References

  1. Rainville, E.D. Special Functions; Macmillan: New York, NY, USA, 1960. [Google Scholar]
  2. Rainville, E.D. Special Functions; Macmillan; Chelsea Publ. Co.: Bronx, NY, USA, 1971. [Google Scholar]
  3. Batahan, R.S. A new extension of Hermite matrix polynomials and its applications. Linear Algebra Appl. 2006, 419, 82–92. [Google Scholar] [CrossRef][Green Version]
  4. Jódar, L.; Defez, E. On Hermite matrix polynomials and Hermite matrix functions. J. Approx. Theory Appl. 1998, 14, 36–48. [Google Scholar] [CrossRef]
  5. Metwally, M.S.; Mohamed, M.T.; Shehata, A. On Hermite-Hermite matrix polynomials. Math. Bohem. 2008, 133, 421–434. [Google Scholar] [CrossRef]
  6. Sayyed, K.A.M.; Metwally, M.S.; Batahan, R.S. On generalized Hermite matrix polynomials. Electron. J. Linear Algebra 2003, 10, 272–279. [Google Scholar] [CrossRef][Green Version]
  7. Dattoli, G.; Germano, B.; Licciardi, S.; Martinelli, M.R. On an umbral treatment of Gegenbauer, Legendre and Jacobi polynomials. Int. Math. Forum 2017, 12, 531–551. [Google Scholar] [CrossRef]
  8. Dattoli, G.; Licciardi, S. Operational, umbral methods, Borel transform and negative derivative operator techniques. Integral Transform. Spec. Funct. 2020, 31, 192–220. [Google Scholar] [CrossRef]
  9. Dattoli, G.; Germano, B.; Martinelli, M.R.; Ricci, P.E. Lacunary generating functions of Hermite polynomials and symbolic methods. Ilir. J. Math. 2015, 4, 16–23. [Google Scholar]
  10. Dattoli, G.; Licciardi, S.; Palma, E.D.; Sabia, E. From circular to Bessel functions: A transition through the umbral method. Fractal Fract. 2017, 1, 9. [Google Scholar] [CrossRef]
  11. Dattoli, G.; Gorska, K.; Horzela, A.; Licciardi, S.; Pidatella, R.M. Comments on the properties of Mittag-Leffler function. Eur. Phys. J. Spec. Top. 2017, 226, 3427–3443. [Google Scholar] [CrossRef]
  12. Zainab, U.; Raza, N. The symbolic approach to study the family of Appell- λ matrix polynomials. Filomat 2024, 38, 1291–1304. [Google Scholar]
  13. Dattoli, G. Hermite-Bessel and Laguerre-Bessel functions: A by-product of the monomiality principle. Adv. Spec. Funct. Appl. 1999, 1, 147–164. [Google Scholar]
  14. Defez, E.; Hervás, A.; Jódar, L.A. Law: Bounding Hermite matrix polynomials. Math. Computer Model. 2004, 40, 117–125. [Google Scholar] [CrossRef]
  15. Appell, P.; Kampé de Fériet, J. Fonctions Hypergéométriques et Hypersphériques: Polynômes d’Hermite; Gautier Villars: Paris, France, 1926. [Google Scholar]
  16. Srivastava, H.M.; Manocha, H.L. A Treatise on Generating Functions; Hasted Press-Ellis Horwood Limited-John Wiley and Sons: New York, NY, USA; Chichester, UK; Brisbane, Australia; Toronto, ON, Canada, 1984. [Google Scholar]
  17. Al e’damat, A.; Khan, W.A.; Duran, U.; Kirmani, S.A.K.; Ryoo, C.-S. Exploring the depths of degenerate hyper-harmonic numbers in view of harmonic functions. J. Math. Comput. Sci. 2024, 35, 136–148. [Google Scholar] [CrossRef]
  18. Alatawi, M.S.; Khan, W.A.; Kızılateş, C.; Ryoo, C.S. Some Properties of Generalized Apostol-Type Frobenius–Euler–Fibonacci Polynomials. Mathematics 2024, 12, 800. [Google Scholar] [CrossRef]
Figure 1. Surface plot of λ 5 ( 1 ) H   ( u , v ) .
Figure 1. Surface plot of λ 5 ( 1 ) H   ( u , v ) .
Mathematics 12 01497 g001
Figure 2. Surface plot of λ 6 ( 1 ) H   ( u , v ) .
Figure 2. Surface plot of λ 6 ( 1 ) H   ( u , v ) .
Mathematics 12 01497 g002
Figure 3. Zeros of 2vHa λ P λ 30 ( 10 ) H   ( u , 1 / 2 ) = 0 .
Figure 3. Zeros of 2vHa λ P λ 30 ( 10 ) H   ( u , 1 / 2 ) = 0 .
Mathematics 12 01497 g003
Figure 4. Zeros of 2vHa λ P λ 30 ( 10 ) H   ( u , 2 ) = 0 .
Figure 4. Zeros of 2vHa λ P λ 30 ( 10 ) H   ( u , 2 ) = 0 .
Mathematics 12 01497 g004
Figure 5. Zeros of 2vHa λ P λ 30 ( 3 ) H   ( u , 1 / 2 i ) = 0 .
Figure 5. Zeros of 2vHa λ P λ 30 ( 3 ) H   ( u , 1 / 2 i ) = 0 .
Mathematics 12 01497 g005
Figure 6. Zeros of 2vHa λ P λ 30 ( 3 ) H   ( u , 1 / 3 + i ) = 0 .
Figure 6. Zeros of 2vHa λ P λ 30 ( 3 ) H   ( u , 1 / 3 + i ) = 0 .
Mathematics 12 01497 g006
Figure 7. Real zeros of λ n ( 3 ) H   ( u , 2 ) = 0 .
Figure 7. Real zeros of λ n ( 3 ) H   ( u , 2 ) = 0 .
Mathematics 12 01497 g007
Figure 8. Real zeros of λ n ( 1 ) H   ( u , 1 / 2 ) = 0 .
Figure 8. Real zeros of λ n ( 1 ) H   ( u , 1 / 2 ) = 0 .
Mathematics 12 01497 g008
Figure 9. Stacks of zeros of λ n ( 1 ) H   ( u , 1 / 2 ) = 0 .
Figure 9. Stacks of zeros of λ n ( 1 ) H   ( u , 1 / 2 ) = 0 .
Mathematics 12 01497 g009
Figure 10. λ n ( 4 ) H   ( u ) .
Figure 10. λ n ( 4 ) H   ( u ) .
Mathematics 12 01497 g010
Figure 11. Real zeros of λ n ( 4 ) H   ( u ) .
Figure 11. Real zeros of λ n ( 4 ) H   ( u ) .
Mathematics 12 01497 g011
Figure 12. Zeros of λ n ( μ ) H   ( u ) .
Figure 12. Zeros of λ n ( μ ) H   ( u ) .
Mathematics 12 01497 g012
Table 1. Approximate solutions of 2vHa λ P λ 30 ( μ ) H   ( u , 1 / 2 ) = 0 .
Table 1. Approximate solutions of 2vHa λ P λ 30 ( μ ) H   ( u , 1 / 2 ) = 0 .
Zeros of 2vHa λ P λ 30 ( 1 ) H   ( u , 1 / 2 ) = 0
1.14237 , 7.67816 , 22.5464 , 95.335 , 1.09401 0.500339 i , 1.09401 + 0.500339 i ,
0.754911 8.94696 i , 0.754911 + 8.94696 i , 0.778452 7.90285 i , 0.778452 + 7.90285 i ,
0.799677 7.03036 i , 0.799677 + 7.03036 i , 0.82017 6.24475 i , 0.82017 + 6.24475 i ,
0.840589 5.51366 i , 0.840589 + 5.51366 i , 0.861359 4.82038 i , 0.861359 + 4.82038 i
0.88286 4.15479 i , 0.88286 + 4.15479 i , 0.905547 3.5102 i , 0.905547 + 3.5102 i ,
0.930097 2.88186 i , 0.930097 + 2.88186 i , 0.957668 2.26639 i , 0.957668 + 2.26639 i
0.990483 1.66177 i , 0.990483 + 1.66177 i , 1.03321 1.06879 i , 1.03321 + 1.06879 i
Table 2. Approximate solutions of 1vHa λ P λ 40 ( π ) H   ( u ) = 0 .
Table 2. Approximate solutions of 1vHa λ P λ 40 ( π ) H   ( u ) = 0 .
Zeros of 1vHa λ P λ 40 ( π ) H   ( u ) = 0
8.18641 , 7.47314 , 6.88868 , 6.36866 , 5.88924 , 5.43833 ,
5.00873 , 4.59572 , 4.19599 , 3.80708 , 3.42708 , 3.05448 , 2.68801 ,
2.32663 , 1.96941 , 1.61554 , 1.26429 , 0.914982 , 0.567005 ,
0.219764 , 0.127309 , 0.474767 , 0.823165 , 1.17307 , 1.52505 , 1.87975 ,
2.23782 , 2.60003 , 2.96722 , 3.34036 , 3.72064 , 4.10948 , 4.50867 ,
4.92052 , 5.34816 , 5.796 , 6.27073 , 6.78346 , 7.3558 , 8.04435
Disclaimer/Publisher’s Note: The statements, opinions and data contained in all publications are solely those of the individual author(s) and contributor(s) and not of MDPI and/or the editor(s). MDPI and/or the editor(s) disclaim responsibility for any injury to people or property resulting from any ideas, methods, instructions or products referred to in the content.

Share and Cite

MDPI and ACS Style

Alatawi, M.S.; Kumar, M.; Raza, N.; Khan, W.A. Exploring Zeros of Hermite-λ Matrix Polynomials: A Numerical Approach. Mathematics 2024, 12, 1497. https://doi.org/10.3390/math12101497

AMA Style

Alatawi MS, Kumar M, Raza N, Khan WA. Exploring Zeros of Hermite-λ Matrix Polynomials: A Numerical Approach. Mathematics. 2024; 12(10):1497. https://doi.org/10.3390/math12101497

Chicago/Turabian Style

Alatawi, Maryam Salem, Manoj Kumar, Nusrat Raza, and Waseem Ahmad Khan. 2024. "Exploring Zeros of Hermite-λ Matrix Polynomials: A Numerical Approach" Mathematics 12, no. 10: 1497. https://doi.org/10.3390/math12101497

APA Style

Alatawi, M. S., Kumar, M., Raza, N., & Khan, W. A. (2024). Exploring Zeros of Hermite-λ Matrix Polynomials: A Numerical Approach. Mathematics, 12(10), 1497. https://doi.org/10.3390/math12101497

Note that from the first issue of 2016, this journal uses article numbers instead of page numbers. See further details here.

Article Metrics

Back to TopTop