Sign in to use this feature.

Years

Between: -

Subjects

remove_circle_outline
remove_circle_outline
remove_circle_outline
remove_circle_outline
remove_circle_outline
remove_circle_outline
remove_circle_outline
remove_circle_outline
remove_circle_outline

Journals

remove_circle_outline
remove_circle_outline
remove_circle_outline
remove_circle_outline
remove_circle_outline

Article Types

Countries / Regions

remove_circle_outline
remove_circle_outline
remove_circle_outline
remove_circle_outline

Search Results (436)

Search Parameters:
Keywords = trigonometric functions

Order results
Result details
Results per page
Select all
Export citation of selected articles as:
21 pages, 5837 KB  
Article
Harmonic Function Approximation-Based Acceleration and Deceleration Algorithm for Orthogonal-Motion AGVs in Intelligent Pallet Parking
by Shuaiti Gu, Wenna Zhang, Changhong Li and Xianyue Gang
World Electr. Veh. J. 2026, 17(4), 181; https://doi.org/10.3390/wevj17040181 - 1 Apr 2026
Viewed by 256
Abstract
With the growing adoption of electric vehicles (EVs) and increasing demand for efficient parking infrastructure, intelligent pallet-based parking systems with automated guided vehicles (AGVs) offer a promising solution for high-density EV storage and automated valet parking (AVP) operations. However, in such systems, orthogonal-motion [...] Read more.
With the growing adoption of electric vehicles (EVs) and increasing demand for efficient parking infrastructure, intelligent pallet-based parking systems with automated guided vehicles (AGVs) offer a promising solution for high-density EV storage and automated valet parking (AVP) operations. However, in such systems, orthogonal-motion AGVs often experience unstable transport conditions due to abrupt speed variations during operation, which can lead to vibrations and safety risks. Trigonometric acceleration and deceleration algorithms are known for their smooth transitions and low impact, but their high computational complexity makes them difficult to implement in embedded AGV systems that require real-time responsiveness. To address this challenge, this paper proposes an approach that approximates the sine function using a third-order Chebyshev polynomial, thereby constructing a complete acceleration and deceleration algorithm. The algorithm includes speed profile planning under conditions with and without constant-speed phases. Simulation analyses and scaled prototype experiments on an orthogonal-motion AGV were conducted. Compared with the traditional sine-based method, the scaled AGV prototype exhibited a maximum speed tracking error of 5 mm/s and a positioning error of 0.38 mm over an 800 mm travel distance. These results indicate that our approach not only preserves the smooth acceleration/deceleration profile of trigonometric curves but also enhances throughput, positional accuracy, and real-time responsiveness, making it suitable for practical EV parking and automated valet parking systems. Full article
(This article belongs to the Section Automated and Connected Vehicles)
Show Figures

Figure 1

16 pages, 407 KB  
Article
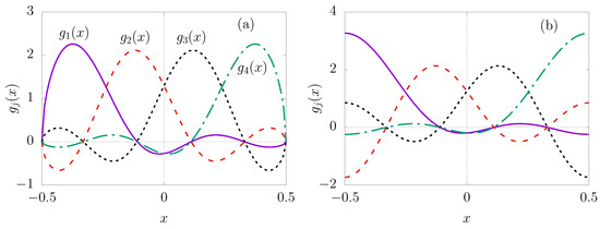
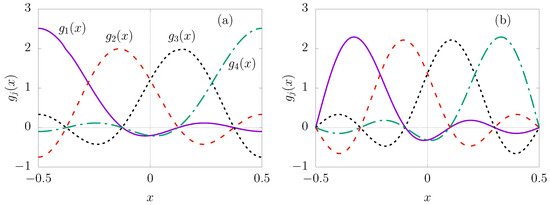
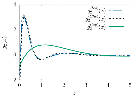
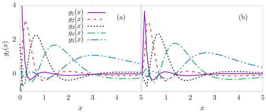
Modified Lagrange–Jacobi Functions
by Gaotsiwe Joel Rampho
Mathematics 2026, 14(7), 1090; https://doi.org/10.3390/math14071090 - 24 Mar 2026
Viewed by 202
Abstract
This paper presents modified Lagrange–Jacobi functions derived from the sine, exponential, and hyperbolic tangent coordinate transformations. The resulting Lagrange–Jacobi functions and their respective matrix elements for observables can be reduced to their respective Lagrange–Legendre, Lagrange–Chebyshev, and Lagrange–Gegenbauer functions. Furthermore, this paper postulates that [...] Read more.
This paper presents modified Lagrange–Jacobi functions derived from the sine, exponential, and hyperbolic tangent coordinate transformations. The resulting Lagrange–Jacobi functions and their respective matrix elements for observables can be reduced to their respective Lagrange–Legendre, Lagrange–Chebyshev, and Lagrange–Gegenbauer functions. Furthermore, this paper postulates that the Lagrange-mesh functions form an approximate complete set of basis, a property implied by their approximate orthogonality. Full article
(This article belongs to the Section E: Applied Mathematics)
Show Figures

Figure 1

22 pages, 7851 KB  
Article
Sharp Coefficient Estimates for Analytic Functions Subordinate to the Cusp Domain: Theory and Image Processing Applications
by Mohammad El-Ityan, Adel Salim Tayyah, Mohammed Hamzah Alsalihi, Basem Aref Frasin and Alina Alb Lupaş
Mathematics 2026, 14(6), 1075; https://doi.org/10.3390/math14061075 - 22 Mar 2026
Viewed by 263
Abstract
This article proposes a new type of analytic function called Mtan and introduces a new geometric structure that blends exponential and trigonometric properties. In addition, it obtains exact bounds for all second- and third-order Hankel determinants and establishes extremal results for the [...] Read more.
This article proposes a new type of analytic function called Mtan and introduces a new geometric structure that blends exponential and trigonometric properties. In addition, it obtains exact bounds for all second- and third-order Hankel determinants and establishes extremal results for the Fekete–Szegö and Zalcman functionals. Moreover, it discusses the validity of the Krushkal inequality. Furthermore, it applies the developed methodology to improve the contrast and quality of color images and demonstrates that the proposed enhancement filters yield notable improvements in contrast and quality compared to other filters, based on the PSNR, SSIM, MSE, RMSE, PCC, and MAE metrics. This article demonstrates its dual nature, namely advances in geometric function theory and practical advantages in digital image processing. Full article
(This article belongs to the Section C4: Complex Analysis)
Show Figures

Figure 1

29 pages, 426 KB  
Article
Umbral Theory and the Algebra of Formal Power Series
by Roberto Ricci
Axioms 2026, 15(3), 237; https://doi.org/10.3390/axioms15030237 - 21 Mar 2026
Viewed by 165
Abstract
Umbral theory, formulated in its modern version by S. Roman and G. C. Rota, has been reconsidered in more recent times by G. Dattoli and collaborators with the aim of devising a working computational tool in the framework of special function theory. Concepts [...] Read more.
Umbral theory, formulated in its modern version by S. Roman and G. C. Rota, has been reconsidered in more recent times by G. Dattoli and collaborators with the aim of devising a working computational tool in the framework of special function theory. Concepts like the umbral image and umbral vacuum have been introduced as pivotal elements of the discussion which, albeit effective, lack generality. This article is directed towards endowing the formalism with a rigorous formulation within the context of formal power series with complex coefficients (Ct,). The new formulation is founded on the definition of the umbral operator u as a functional in the “umbral ground state” subalgebra of analytically convergent formal series φC{t}. We consider in detail some specific classes of umbral ground states φ and analyse the conditions for analytic convergence of the corresponding umbral identities, defined as formal series resulting from the action on φ of operators of the form f(ζuμ) with fC{t} and μ,ζC. For these umbral states, we exploit the Gevrey classification of formal power series to establish a connection with the theory of Borel–Laplace resummation, allowing us to make rigorous sense of a large class of—even divergent—umbral identities. As an application of the proposed theoretical framework, we introduce and investigate the properties of new umbral images for the Gaussian trigonometric functions, which emphasise the trigonometric-like nature of these functions and enable defining the concept of a “Gaussian Fourier transform”, a potentially powerful tool for applications. Full article
(This article belongs to the Special Issue Applications in Functional Analysis)
Show Figures

Figure 1

25 pages, 6261 KB  
Article
Stochastic and Statistical Analysis of Cnoidal, Snoidal, Dnoidal, Hyperbolic, Trigonometric and Exponential Wave Solutions of a Coupled Volatility Option-Pricing System
by L. M. Abdalgadir, Shabir Ahmad, Bakri Youniso and Khaled Aldwoah
Entropy 2026, 28(3), 353; https://doi.org/10.3390/e28030353 - 20 Mar 2026
Viewed by 240
Abstract
We investigate a stochastic coupled nonlinear Schrödinger (Manakov-type) system for option price and volatility wave fields within the Ivancevic adaptive-wave option-pricing paradigm, and derive exact wave families together with statistical diagnostics of the resulting dynamics. This system combines behavioral market effects with classical [...] Read more.
We investigate a stochastic coupled nonlinear Schrödinger (Manakov-type) system for option price and volatility wave fields within the Ivancevic adaptive-wave option-pricing paradigm, and derive exact wave families together with statistical diagnostics of the resulting dynamics. This system combines behavioral market effects with classical efficient-market dynamics and incorporates a controlled stochastic volatility component. Randomness in both the option price and volatility is incorporated via white noise, and a system of stochastic partial differential equations (PDEs) is developed that governs the joint evolution of option prices and stock price volatility. We derive advanced solutions of the proposed system using a newly created methodology. The obtained solutions are expressions of cnoidal, snoidal, dnoidal, hyperbolic, trigonometric, and exponential functions. The stochastic dynamical investigation, together with the statistical measures are presented. The autocorrelation function (ACF) of squared returns for the obtained analytical solutions is demonstrated to show distinct differences in second-order temporal dependence, while asymmetries in the temporal evolution of the fluctuations are depicted via leverage correlation (LC). The probability distribution function (PDF) dynamics of the soliton solutions illustrate prominent temporal variability and non-stationary statistical dynamics. Differences in dynamical coupling between the two components of the considered system are presented via phase velocity cross-correlation analysis and are supported by phase difference dynamics visualizations. The strength and structure of coupling between components are displayed via the amplitude cross-correlation function. Mean amplitude dynamics and variance as a function of noise intensity σ, provide a systematic influence of stochastic forcing on their energy and a quantitative measure of stochastic dispersion of soliton solutions. All the results are displayed in 3D and 2D graphs of the stochastics and statistical dynamics of the obtained solutions. Full article
(This article belongs to the Special Issue Stochastic Processes in Pricing Financial Derivatives)
Show Figures

Figure 1

27 pages, 3308 KB  
Article
Exact Fractional Wave Solutions and Bifurcation Phenomena: An Analytical Exploration of (3 + 1)-D Extended Shallow Water Dynamics with β-Derivative Using MEDAM
by Wafaa B. Rabie, Taha Radwan and Hamdy M. Ahmed
Fractal Fract. 2026, 10(3), 190; https://doi.org/10.3390/fractalfract10030190 - 13 Mar 2026
Viewed by 307
Abstract
This study presents a comprehensive investigation of exact fractional wave solutions and bifurcation analysis for the (3 + 1)-dimensional extended shallow water wave (3D-eSWW) equation with β-derivative, which models nonlinear wave phenomena in fluid dynamics and coastal engineering. Leveraging the flexibility of [...] Read more.
This study presents a comprehensive investigation of exact fractional wave solutions and bifurcation analysis for the (3 + 1)-dimensional extended shallow water wave (3D-eSWW) equation with β-derivative, which models nonlinear wave phenomena in fluid dynamics and coastal engineering. Leveraging the flexibility of the fractional derivative, the model provides a more generalized and adaptable framework for describing shallow water wave propagation. The Modified Extended Direct Algebraic Method (MEDAM) is systematically employed to derive a broad spectrum of novel exact analytical solutions. These include the following: dark solitary waves, singular solitons, singular periodic waves, periodic solutions expressed via trigonometric and Jacobi elliptic functions, polynomial solutions, hyperbolic wave patterns, combined dark–singular structures, combined hyperbolic–linear waves, and exponential-type wave profiles. Each solution family is presented with explicit parameter constraints that ensure both mathematical consistency and physical relevance, thereby offering a robust classification of wave regimes under diverse conditions. A thorough bifurcation analysis is conducted on the reduced dynamical system to examine parametric dependence and stability transitions. Critical bifurcation thresholds are identified, and distinct solution branches are mapped in the parameter space spanned by wave numbers, nonlinear coefficients, external forcing, and the fractional order β. The analysis reveals how solution dynamics undergo qualitative transitions—such as the emergence of solitary waves from periodic patterns or the appearance of singular structures—driven by the interplay of nonlinearity, dispersion, and fractional-order effects. These insights are crucial for understanding wave stability, predictability, and the onset of extreme events in shallow water contexts. Graphical representations of selected solutions validate the analytical results and illustrate the influence of β on wave morphology, propagation, and stability. The simulations demonstrate that varying the fractional order can significantly alter wave profiles, highlighting the role of fractional calculus in capturing complex real-world behaviors. This work demonstrates the efficacy of the MEDAM technique in handling high-dimensional fractional nonlinear PDEs and provides a systematic framework for predicting and classifying wave regimes in real-world shallow water environments. The findings not only enrich the solution inventory of the 3D-eSWW equation but also advance the analytical toolkit for studying complex spatio-temporal dynamics in fractional mathematical physics and fluid mechanics. Ultimately, this research contributes to the development of more accurate models for coastal protection, tsunami forecasting, and marine engineering applications. Full article
(This article belongs to the Section General Mathematics, Analysis)
Show Figures

Figure 1

38 pages, 1698 KB  
Article
Research on Integrated Decision-Control Cooperative Target Assignment for Cross-Domain Unmanned Systems Based on a Bi-Level Optimization Framework
by Aoyu Zheng, Xiaolong Liang, Zhiyang Zhang, Yuyan Xiao and Jiaqiang Zhang
Drones 2026, 10(3), 193; https://doi.org/10.3390/drones10030193 - 10 Mar 2026
Viewed by 372
Abstract
Addressing prevalent challenges in current cooperative task assignment methods for cross-domain unmanned swarm, such as the disconnection between decision-making and execution processes, and the inadequate incorporation of platform kinematic constraints, this study introduces an integrated decision-control cooperative task assignment approach based on a [...] Read more.
Addressing prevalent challenges in current cooperative task assignment methods for cross-domain unmanned swarm, such as the disconnection between decision-making and execution processes, and the inadequate incorporation of platform kinematic constraints, this study introduces an integrated decision-control cooperative task assignment approach based on a bi-level optimization framework. The proposed framework formulates a bi-level programming model that tightly couples upper-level task assignment with lower-level optimal control. The upper-level model aims to minimize the maximum task completion time by optimizing the assignment and visitation sequences of diverse target types across heterogeneous unmanned platforms. The lower-level model, given the task sequences from the upper level, addresses a minimum-time optimal control problem based on a comprehensive nonlinear kinematic model. This approach enables precise computation of task execution times, which are subsequently fed back to the decision-making layer, thereby establishing a closed-loop optimization mechanism. To solve this complex model efficiently, the lower-level employs differential flatness transformation to eliminate trigonometric functions in the kinematic equations and discretizes the continuous-time optimal control problem into a nonlinear programming problem via the Radau pseudospectral method. For the upper-level combinatorial optimization, an improved genetic algorithm is developed, integrating hybrid encoding, dual-archive elitism preservation, adaptive crossover and mutation strategies, and periodic local search. Simulation results demonstrate that, compared with traditional Euclidean-distance-based assignment methods, the proposed approach generates kinematically feasible and smooth trajectories while thoroughly accounting for the kinematic constraints of heterogeneous platforms, thereby demonstrating its effectiveness and superiority in improving the comprehensive mission performance of cross-domain unmanned swarms. Full article
Show Figures

Figure 1

17 pages, 842 KB  
Article
In-Plane Vibration Analysis of Annular Plates Considering All Combinations of Edge Conditions
by Yoshihiro Narita
Vibration 2026, 9(1), 17; https://doi.org/10.3390/vibration9010017 - 9 Mar 2026
Viewed by 244
Abstract
The Ritz method is applied to an in-plane vibration analysis to obtain accurate frequencies of isotropic annular plates. The method is formulated in a manner that allows all combinations of free boundary conditions, two types of supported (constraining only either radial or circumferential [...] Read more.
The Ritz method is applied to an in-plane vibration analysis to obtain accurate frequencies of isotropic annular plates. The method is formulated in a manner that allows all combinations of free boundary conditions, two types of supported (constraining only either radial or circumferential displacement) boundary conditions, and clamped boundary conditions. Admissible functions for the two displacement components are chosen as products of trigonometric functions in the circumferential coordinate and special algebraic polynomials in the radial coordinate, enabling all possible boundary-condition combinations to be satisfied. In the numerical study, after the solution’s accuracy is verified through convergence and comparison tests, extensive and accurate frequency parameters are presented to cover all combinations of the four in-plane boundary conditions along the outer and inner edges of the annular plates. Full article
Show Figures

Figure 1

15 pages, 898 KB  
Article
Exploring Nonlinear Dynamics of the (3+1)-Dimensional Boussinesq-Type Equation: Wave Patterns and Sensitivity Insight
by Ejaz Hussain, Ali H. Tedjani and Muhammad Amin S. Murad
Axioms 2026, 15(3), 198; https://doi.org/10.3390/axioms15030198 - 6 Mar 2026
Viewed by 323
Abstract
This study examines a nonlinear partial differential equation, namely the (3+1)-dimensional Boussinesq-type equation. To explore this model, three versatile analytical approaches are applied: the Exp-function method, the Kudryashov method, and the Riccati equation method. Using these techniques, a range of exact analytical solutions [...] Read more.
This study examines a nonlinear partial differential equation, namely the (3+1)-dimensional Boussinesq-type equation. To explore this model, three versatile analytical approaches are applied: the Exp-function method, the Kudryashov method, and the Riccati equation method. Using these techniques, a range of exact analytical solutions is derived, exhibiting diverse structural forms such as periodic, kink-type, rational, and trigonometric solutions. The analysis reveals the rich dynamical behavior of the equation and demonstrates its effectiveness in modeling a variety of nonlinear wave phenomena across different physical contexts. Several of the obtained solutions are illustrated through graphical representations for better interpretation. The results include hyperbolic, trigonometric, and rational function solutions, along with a sensitivity analysis. To highlight the physical relevance of the findings, suitable parameter values are selected, and the corresponding wave behaviors are visualized using three-dimensional and contour plots generated with Maple 2024. Overall, the study provides valuable insights into the mechanisms underlying the generation and propagation of complex nonlinear phenomena in fields such as fluid dynamics, optical fiber systems, plasma physics, and ocean wave transmission. Full article
Show Figures

Figure 1

20 pages, 5655 KB  
Article
Semi-Analytical Modeling and Free Vibration Analysis of Joined Conical–Cylindrical Shells with Axially Stepped Thickness
by Lin Lu, Zhe Zhao, Ting Li, Cong Gao and Jiajun Zheng
Vibration 2026, 9(1), 13; https://doi.org/10.3390/vibration9010013 - 13 Feb 2026
Viewed by 484
Abstract
This study develops a semi-analytical method for free vibration analysis of joined conical–cylindrical shell with axially stepped thickness. The computational framework is built through the domain decomposition method, artificial spring technology and shear deformation shell theory. Kinematic admissible functions are constructed via superposition [...] Read more.
This study develops a semi-analytical method for free vibration analysis of joined conical–cylindrical shell with axially stepped thickness. The computational framework is built through the domain decomposition method, artificial spring technology and shear deformation shell theory. Kinematic admissible functions are constructed via superposition of Chebyshev orthogonal polynomials and trigonometric series. Subsequently, the Rayleigh–Ritz method is employed to solve for the system’s characteristic frequencies. The accuracy of the method is further verified by the excellent agreement between the current results and those from published studies and finite element simulations. Ultimately, the influence of boundary conditions, structural parameters and stepped thickness distribution on the free vibration characteristics of conical–cylindrical shells are systematically discussed. These findings reveal the critical methodological constraints in free vibration modeling of stepped thickness shell systems, thereby advancing vibration design optimization for the stepped thickness structures. Full article
Show Figures

Graphical abstract

17 pages, 512 KB  
Article
A New Trigonometric-Inspired Probability Distribution: The Weighted Sine Generalized Kumaraswamy Model with Simulation and Applications in Epidemiology and Reliability Engineering
by Murat Genç and Ömer Özbilen
Mathematics 2026, 14(3), 510; https://doi.org/10.3390/math14030510 - 31 Jan 2026
Viewed by 309
Abstract
The importance of statistical distributions in representing real-world scenarios and aiding in decision-making is widely acknowledged. However, traditional models often face limitations in achieving optimal fits for certain datasets. Motivated by this challenge, this paper introduces a new probability distribution termed the weighted [...] Read more.
The importance of statistical distributions in representing real-world scenarios and aiding in decision-making is widely acknowledged. However, traditional models often face limitations in achieving optimal fits for certain datasets. Motivated by this challenge, this paper introduces a new probability distribution termed the weighted sine generalized Kumaraswamy (WSG-Kumaraswamy) distribution. This model is constructed by integrating the Kumaraswamy baseline distribution with the weighted sine-G family, which incorporates a trigonometric transformation to enhance flexibility without adding extra parameters. Various statistical properties of the WSG-Kumaraswamy distribution, including the quantile function, moments, moment-generating function, and probability-weighted moments, are derived. Maximum likelihood estimation is employed to obtain parameter estimates, and a comprehensive simulation study is performed to assess the finite-sample performance of the estimators, confirming their consistency and reliability. To illustrate the practical advantages of the proposed model, two real-world datasets from epidemiology and reliability engineering are analyzed. Comparative evaluations using goodness-of-fit criteria demonstrate that the WSG-Kumaraswamy distribution provides superior fits compared to established competitors. The results highlight the enhanced adaptability of the model for unit-interval data, positioning it as a valuable tool for statistical modeling in diverse applied fields. Full article
(This article belongs to the Section D1: Probability and Statistics)
Show Figures

Figure 1

14 pages, 402 KB  
Article
Algebraic Properties of Generalized Trigonometric Function Transforms
by Ivanna Dronyuk, Renata Kawa and Hubert Dróżdż
Appl. Sci. 2026, 16(3), 1276; https://doi.org/10.3390/app16031276 - 27 Jan 2026
Viewed by 352
Abstract
The generalized trigonometric functions called Ateb-functions are considered. On this basis, a generalization of the Fourier transform is constructed and called the Ateb-transform. From the operator theory point of view, the Ateb-transform is considered as a formalism of the convolution [...] Read more.
The generalized trigonometric functions called Ateb-functions are considered. On this basis, a generalization of the Fourier transform is constructed and called the Ateb-transform. From the operator theory point of view, the Ateb-transform is considered as a formalism of the convolution algebra in which multiplication is defined by means of hypergroups of the generalized shift operator. In this formal approach, the algebraic structure is presented, and its properties are developed. The eigenvalue problem for the differential equation of nonlinear oscillation is investigated. Some properties are illustrated numerically. The application of this approach for modeling vibration motion is considered. Full article
(This article belongs to the Section Computing and Artificial Intelligence)
Show Figures

Figure 1

24 pages, 4004 KB  
Article
Spherical Bezier Curve-Based 3D UAV Smooth Path Planning Utilizing an Efficient Improved Exponential-Trigonometric Optimization
by Yitao Cao, Kang Chen and Gang Hu
Biomimetics 2026, 11(2), 85; https://doi.org/10.3390/biomimetics11020085 - 23 Jan 2026
Cited by 1 | Viewed by 547
Abstract
Path planning, as a key technology in unmanned aerial vehicle (UAV) systems, affects the overall efficiency of task completion and is often limited by energy consumption, obstacles, and maneuverability in complex application environments. Traditional algorithms have insufficient performance in nonlinear, multimodal, and multiconstraints [...] Read more.
Path planning, as a key technology in unmanned aerial vehicle (UAV) systems, affects the overall efficiency of task completion and is often limited by energy consumption, obstacles, and maneuverability in complex application environments. Traditional algorithms have insufficient performance in nonlinear, multimodal, and multiconstraints problems. Based on this, this paper proposes an improved exponential-trigonometric optimization (ETO) to solve a 3D smooth path planning model based on a spherical Bezier curve. Firstly, a fixed arc length resampling strategy is proposed to address the issue of the insufficient adaptability of existing path smoothing methods to dynamic threats. Generate a uniformly distributed set of reference points along the Bezier curve and combine it with spherical projection to improve the safety and efficiency of the flight path. On this basis, establish a total cost function that includes four types of costs. Secondly, a new ETO variant called IETO is proposed by introducing the alpha evolution strategy, noise and physical attack strategy, and opposition-based cross teaching strategy into ETO. Then, the effectiveness of IETO for addressing various optimization problems is showcased through population diversity analysis, ablation analysis, and benchmark experiments. Finally, the results of the simulation experiment indicate that IETO stably provides shorter and smoother safe paths for UAVs in three elevation maps with different terrain features. Full article
Show Figures

Figure 1

18 pages, 1794 KB  
Article
Qualitative Analysis for Modifying an Unstable Time-Fractional Nonlinear Schrödinger Equation: Bifurcation, Quasi-Periodic, Chaotic Behavior, and Exact Solutions
by M. M. El-Dessoky, A. A. Elmandouh and A. A. Alghamdi
Mathematics 2026, 14(2), 354; https://doi.org/10.3390/math14020354 - 20 Jan 2026
Viewed by 1949
Abstract
This work explores the qualitative dynamics of the modified unstable time-fractional nonlinear Schrödinger equation (mUNLSE), a model applicable to nonlinear wave propagation in plasma and optical fiber media. By transforming the governing equation into a planar conservative Hamiltonian system, a detailed bifurcation study [...] Read more.
This work explores the qualitative dynamics of the modified unstable time-fractional nonlinear Schrödinger equation (mUNLSE), a model applicable to nonlinear wave propagation in plasma and optical fiber media. By transforming the governing equation into a planar conservative Hamiltonian system, a detailed bifurcation study is carried out, and the associated equilibrium points are classified using Lagrange’s theorem and phase-plane analysis. A family of exact wave solutions is then constructed in terms of both trigonometric and Jacobi elliptic functions, with solitary, kink/anti-kink, periodic, and super-periodic profiles emerging under suitable parameter regimes and linked directly to the type of the phase plane orbits. The validity of the solutions is discussed through the degeneracy property which is equivalent to the transmission between the phase orbits. The influence of the fractional derivative order on amplitude, localization, and dispersion is illustrated through graphical simulations, exploring the memory impacts in the wave evolution. In addition, an externally periodic force is allowed to act on the mUNLSE model, which is reduced to a perturbed non-autonomous dynamical system. The response to periodic driving is examined, showing transitions from periodic motion to quasi-periodic and chaotic regimes, which are further confirmed by Lyapunov exponent calculations. These findings deepen the theoretical understanding of fractional Schrödinger-type models and offer new insight into complex nonlinear wave phenomena in plasma physics and optical fiber systems. Full article
Show Figures

Figure 1

12 pages, 260 KB  
Article
The Sneddon ℛ-Transform and Its Inverse over Lebesgue Spaces
by Hari Mohan Srivastava, Emilio R. Negrín and Jeetendrasingh Maan
Axioms 2026, 15(1), 63; https://doi.org/10.3390/axioms15010063 - 16 Jan 2026
Viewed by 426
Abstract
We study the Sneddon R-transform and its inverse in the setting of Lebesgue spaces. Generated by the mixed trigonometric kernel xcos(xt)+hsin(xt), the R-transform acts as a unifying operator [...] Read more.
We study the Sneddon R-transform and its inverse in the setting of Lebesgue spaces. Generated by the mixed trigonometric kernel xcos(xt)+hsin(xt), the R-transform acts as a unifying operator for sine- and cosine-type integral transforms. Boundedness, continuity, and weighted Lp-estimates are established in an appropriate Banach space framework, together with Parseval–Goldstein type identities. Initial and final value theorems are derived for generalized functions in Zemanian-type spaces, yielding precise asymptotic behaviour at the origin and at infinity. A finite-interval theory is also developed, leading to polynomial growth estimates and final value theorems for the finite R-transform. Full article
Back to TopTop