Finite-Time Adaptive Fuzzy Control for Unmodeled Dynamical Systems with Actuator Faults
Abstract
1. Introduction
2. Problem Statement and Preliminaries
2.1. System Description
2.2. Fuzzy-Logic Systems
3. Main Results
3.1. Finite-Time Adaptive Fuzzy Fault-Tolerant Control Protocol
3.2. Stability Analysis
| Algorithm 1: Algorithm to Derived Finite-time Tracking Control Protocol. |
| Input: The parameters , , , and in actual controller (81) and virtual control laws (37), (60); the parameters , , , and in adaptive laws (38), (39), (61), (62), (82), and (83); the parameters in first-order filter (21), the fuzzy membership functions in (34), (57), and (78). Output: The adaptive finite-time fuzzy controller (81). Begin: 1: Step 1: Formulate the membership functions and establish the fuzzy basis functions. 2: Step 2: Select suitable design parameters and formulate adaptation laws (38), (39), (61), (62), (82), and (83), first-order filter (21), and intermediate virtual control (37) and (60). 3: Step 3: Choose suitable designed parameters and formulate actual control protocol (81). 4: Step 4: Determine the convergence time of the resulting system. 5: Step 5: Prove the tracking error is bounded in finite-time. end |
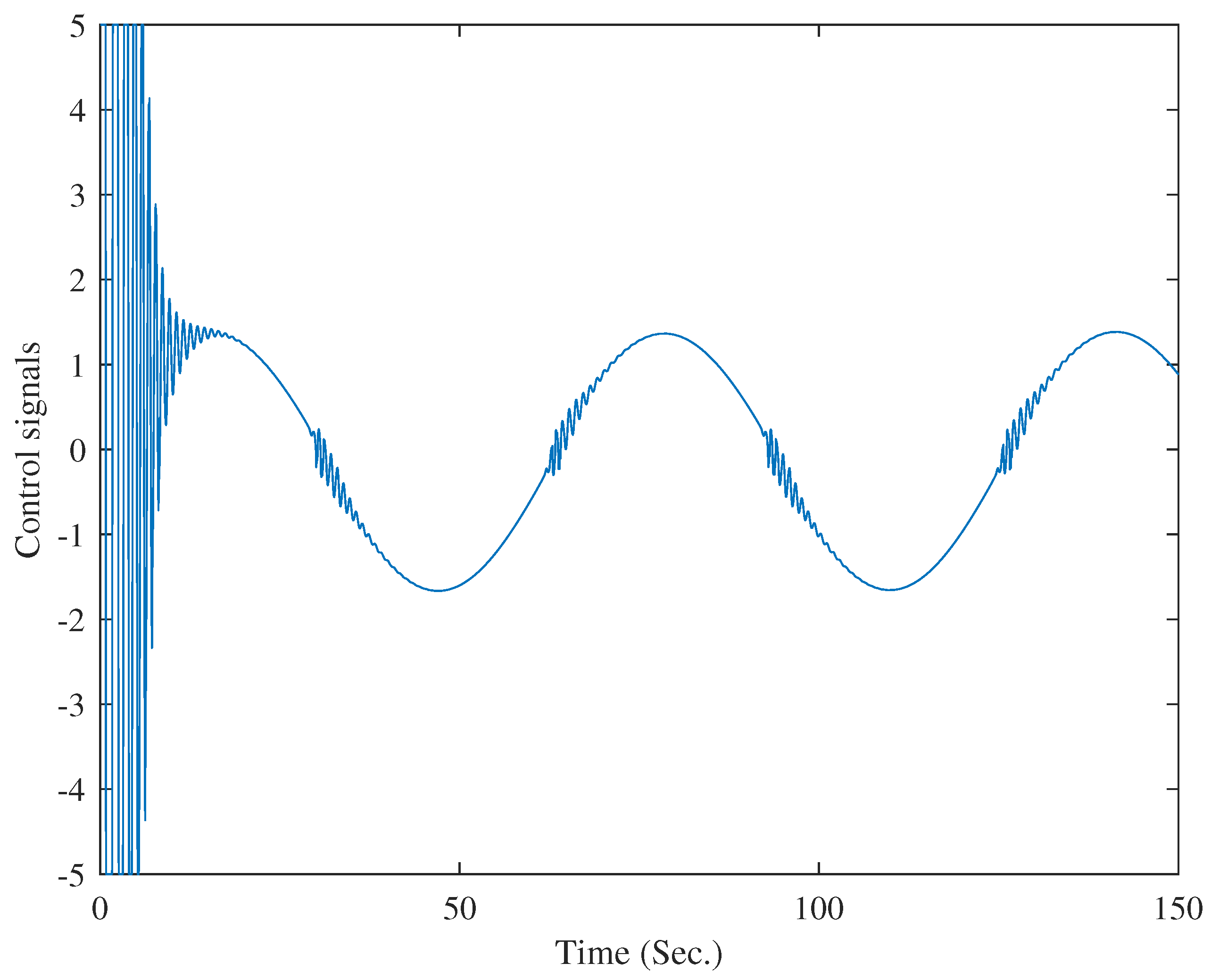
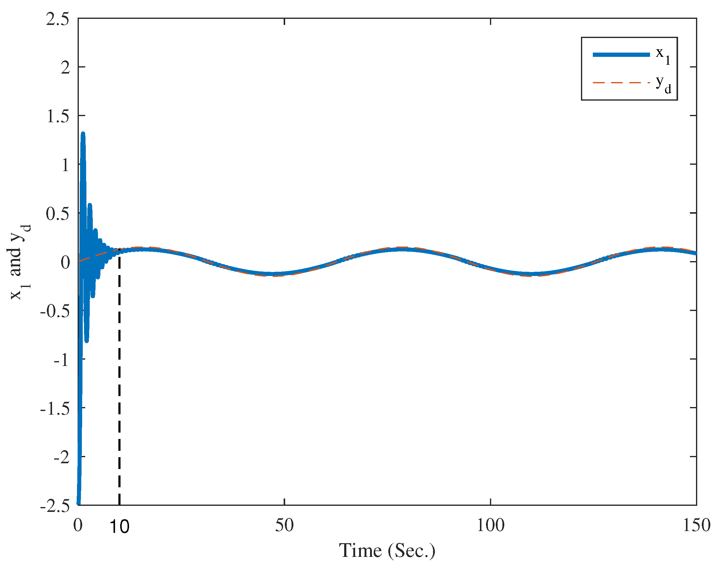
4. Illustrative Examples
5. Conclusions
Author Contributions
Funding
Data Availability Statement
Conflicts of Interest
References
- Zhuang, H.; Sun, Q.; Chen, Z.; Zeng, X. Robust adaptive sliding mode attitude control for aircraft systems based on back-stepping method. Aerosp. Sci. Technol. 2021, 118, 107069. [Google Scholar] [CrossRef]
- Zhang, L.; Ding, H.; Shi, J.; Huang, Y.; Chen, H.; Guo, K.; Li, Q. An adaptive backstepping sliding mode controller to improve vehicle maneuverability and stability via torque vectoring control. IEEE Trans. Veh. Technol. 2020, 69, 2598–2612. [Google Scholar] [CrossRef]
- Yu, J.; Shi, P.; Zhao, L. Finite-time command filtered backstepping control for a class of nonlinear systems. Automatica 2018, 92, 173–180. [Google Scholar] [CrossRef]
- Capone, A.; Hirche, S. Backstepping for partially unknown nonlinear systems using Gaussian processes. IEEE Control Syst. Lett. 2019, 3, 416–421. [Google Scholar] [CrossRef]
- Yan, S.; Gu, Z.; Park, J.H.; Xie, X. Synchronization of delayed fuzzy neural networks with probabilistic communication delay and its application to image encryption. IEEE Trans. Fuzzy Syst. 2023, 31, 930–940. [Google Scholar] [CrossRef]
- Wang, Y.; Xu, N.; Liu, Y.; Zhao, X. Adaptive fault-tolerant control for switched nonlinear systems based on command filter technique. Appl. Math. Comput. 2021, 392, 125725. [Google Scholar] [CrossRef]
- Yan, S.; Gu, Z.; Park, J.H.; Xie, X. Distributed-delay-dependent stabilization for networked interval type-2 fuzzy systems with stochastic delay and actuator saturation. IEEE Trans. Syst. Man Cybern. Syst. 2023, 53, 3165–3175. [Google Scholar] [CrossRef]
- Jiang, S.; Tian, F.; Sun, S.; Liang, W. Integrated guidance and control of guided projectile with multiple constraints based on fuzzy adaptive and dynamic surface. Def. Technol. 2020, 16, 1130–1141. [Google Scholar] [CrossRef]
- Liu, K.; Wang, R. Antisaturation adaptive fixed-time sliding mode controller design to achieve faster convergence rate and its application. IEEE Trans. Circuits Syst. II Express Briefs 2022, 69, 3555–3559. [Google Scholar] [CrossRef]
- Yan, S.; Gu, Z.; Park, J.H.; Xie, X. Sampled memory-event-triggered fuzzy load frequency control for wind power systems subject to outliers and transmission delays. IEEE Trans. Cybern. 2022, 1–11. [Google Scholar] [CrossRef]
- Liu, K.; Wang, R.; Zheng, S.; Dong, S.; Sun, G. Fixed-time disturbance observer-based robust fault-tolerant tracking control for uncertain quadrotor UAV subject to input delay. Nonlinear Dyn. 2022, 107, 2363–2390. [Google Scholar] [CrossRef]
- von Ellenrieder, K.D. Dynamic surface control of trajectory tracking marine vehicles with actuator magnitude and rate limits. Automatica 2019, 105, 433–442. [Google Scholar] [CrossRef]
- Li, Y.; Li, K.; Tong, S. Finite-time adaptive fuzzy output feedback dynamic surface control for MIMO nonstrict feedback systems. IEEE Trans. Fuzzy Syst. 2018, 27, 96–110. [Google Scholar] [CrossRef]
- Ma, H.; Liang, H.; Zhou, Q.; Ahn, C.K. Adaptive dynamic surface control design for uncertain nonlinear strict-feedback systems with unknown control direction and disturbances. IEEE Trans. Syst. Man Cybern. Syst. 2018, 49, 506–515. [Google Scholar] [CrossRef]
- Li, H.; Wu, Y.; Chen, M. Adaptive fault-tolerant tracking control for discrete-time multiagent systems via reinforcement learning algorithm. IEEE Trans. Cybern. 2020, 51, 1163–1174. [Google Scholar] [CrossRef] [PubMed]
- Hua, C.; Li, Z.; Li, K.; Chen, S.; Sun, J. Distributed control for uncertain nonlinear multiagent systems subject to hybrid faults. Int. J. Control. Autom. Syst. 2020, 18, 2589–2598. [Google Scholar] [CrossRef]
- Dong, G.; Ren, H.; Yao, D.; Li, H.; Lu, R. Prescribed performance consensus fuzzy control of multiagent systems with nonaffine nonlinear faults. IEEE Trans. Fuzzy Syst. 2020, 29, 3936–3946. [Google Scholar] [CrossRef]
- Du, H.; Wen, G.; Cheng, Y.; Lü, J. Design and implementation of bounded finite-time control algorithm for speed regulation of permanent magnet synchronous motor. IEEE Trans. Ind. Electron. 2020, 68, 2417–2426. [Google Scholar] [CrossRef]
- Lei, R.; Chen, L. Finite-time tracking control and vibration suppression based on the concept of virtual control force for flexible two-link space robot. Def. Technol. 2021, 17, 874–883. [Google Scholar] [CrossRef]
- Song, C.; Yu, J.; Zhao, L.; Ma, Y. Full-state constraints-based neuroadaptive finite-time control for induction motor drive systems with iron losses. Int. J. Control Autom. Syst. 2022, 20, 637–647. [Google Scholar] [CrossRef]
- Liu, K.; Wang, Y.; Ji, H.; Wang, S. Adaptive saturated tracking control for spacecraft proximity operations via integral terminal sliding mode technique. Int. J. Robust Nonlinear Control 2021, 31, 9372–9396. [Google Scholar] [CrossRef]
- Li, S.; Ahn, C.K.; Xiang, Z. Command-filter-based adaptive fuzzy finite-time control for switched nonlinear systems using state-dependent switching method. IEEE Trans. Fuzzy Syst. 2020, 29, 833–845. [Google Scholar] [CrossRef]
- Sun, W.; Wu, Y.; Sun, Z. Command filter-based finite-time adaptive fuzzy control for uncertain nonlinear systems with prescribed performance. IEEE Trans. Fuzzy Syst. 2020, 28, 3161–3170. [Google Scholar] [CrossRef]
- Lv, W. Finite time adaptive fault-tolerant control for nonlinear MIMO systems with actuator faults. Int. J. Control Autom. Syst. 2022, 20, 99–108. [Google Scholar] [CrossRef]
- Nguyen, N.P.; Mung, N.X.; Ha, L.N.N.T.; Huynh, T.T.; Hong, S.K. Finite-time attitude fault tolerant control of quadcopter system via neural networks. Mathematics 2020, 8, 1541. [Google Scholar] [CrossRef]
- Wang, Z.; Yuan, Y.; Yang, H. Adaptive fuzzy tracking control for strict-feedback Markov jumping nonlinear systems with actuator failures and unmodeled dynamics. IEEE Trans. Cybern. 2018, 50, 126–139. [Google Scholar] [CrossRef] [PubMed]
- Jing, Y.; Yang, G. Fuzzy adaptive fault-tolerant control for uncertain nonlinear systems with unknown dead-zone and unmodeled dynamics. IEEE Trans. Fuzzy Syst. 2019, 27, 2265–2278. [Google Scholar] [CrossRef]
- Yang, Y.; Tang, L.; Zou, W.; Ding, D.-W.; Ahn, C.K. A unified fixed-time framework of adaptive fuzzy controller design for unmodeled dynamical systems with intermittent feedback. Inf. Sci. 2022, 611, 628–648. [Google Scholar] [CrossRef]
- Wang, J.; Tian, Y.; Hua, L.; Shi, K.; Zhong, S.; Wen, S. New results on finite-time synchronization control of chaotic memristor-based inertial neural networks with time-varying delays. Mathematics 2023, 11, 684. [Google Scholar] [CrossRef]
- Li, Y.; Liang, H. Robust finite-time control algorithm based on dynamic sliding mode for satellite attitude maneuver. Mathematics 2022, 10, 111. [Google Scholar] [CrossRef]
- Hardy, H.; Littlewood, E.; Polya, J. Inequalities; Cambridge University Press: Cambridge, UK, 1995. [Google Scholar]
- Deng, H.; Krstic, M. Output-feedback stochastic nonlinear stabilization. IEEE Trans. Autom. Control 1999, 44, 328–333. [Google Scholar] [CrossRef]
- Wang, F.; Chen, B.; Liu, X.; Lin, C. Finite-time adaptive fuzzy tracking control design for nonlinear systems. IEEE Trans. Fuzzy Syst. 2017, 26, 1207–1216. [Google Scholar] [CrossRef]
- Meng, B.; Liu, W.; Qi, X. Disturbance and state observer-based adaptive finite-time control for quantized nonlinear systems with unknown control directions. J. Frankl. Inst. 2022, 359, 2906–2931. [Google Scholar] [CrossRef]
- Jiang, Z.; Praly, L. Design of robust adaptive controllers for nonlinear systems with dynamic uncertainties. Automatica 1998, 34, 825–840. [Google Scholar] [CrossRef]
- Deng, C.; Yang, G. Distributed adaptive fuzzy control for nonlinear multiagent systems under directed graphs. IEEE Trans. Fuzzy Syst. 2017, 26, 1356–1366. [Google Scholar]
- Liu, K.; Wang, R. Antisaturation command filtered backstepping control-based disturbance rejection for a quadarotor UAV. IEEE Trans. Circuits Syst. II Express Briefs 2021, 68, 3577–3581. [Google Scholar] [CrossRef]
- Kong, L.; Yu, X.; Zhang, S. Neuro-learning-based adaptive control for state-constrained strict-feedback systems with unknown control direction. ISA Trans. 2021, 112, 12–22. [Google Scholar] [CrossRef]










Disclaimer/Publisher’s Note: The statements, opinions and data contained in all publications are solely those of the individual author(s) and contributor(s) and not of MDPI and/or the editor(s). MDPI and/or the editor(s) disclaim responsibility for any injury to people or property resulting from any ideas, methods, instructions or products referred to in the content. |
© 2023 by the authors. Licensee MDPI, Basel, Switzerland. This article is an open access article distributed under the terms and conditions of the Creative Commons Attribution (CC BY) license (https://creativecommons.org/licenses/by/4.0/).
Share and Cite
Liu, R.; Xing, L.; Deng, H.; Zhong, W. Finite-Time Adaptive Fuzzy Control for Unmodeled Dynamical Systems with Actuator Faults. Mathematics 2023, 11, 2193. https://doi.org/10.3390/math11092193
Liu R, Xing L, Deng H, Zhong W. Finite-Time Adaptive Fuzzy Control for Unmodeled Dynamical Systems with Actuator Faults. Mathematics. 2023; 11(9):2193. https://doi.org/10.3390/math11092193
Chicago/Turabian StyleLiu, Ruixia, Lei Xing, Hong Deng, and Weichao Zhong. 2023. "Finite-Time Adaptive Fuzzy Control for Unmodeled Dynamical Systems with Actuator Faults" Mathematics 11, no. 9: 2193. https://doi.org/10.3390/math11092193
APA StyleLiu, R., Xing, L., Deng, H., & Zhong, W. (2023). Finite-Time Adaptive Fuzzy Control for Unmodeled Dynamical Systems with Actuator Faults. Mathematics, 11(9), 2193. https://doi.org/10.3390/math11092193
